查看原文
免责申明:同花顺翻译提供中文译文,我们力求但不保证数据的完全准确,翻译内容仅供参考!
前14a 1 tm2523451-1 _ pre14a.htm 前14a tm2523451-1 _ pre14a-无-3.4218703s
美国
证券交易委员会
华盛顿特区20549
附表14a
根据第14(a)条提交的代理声明
1934年证券交易法
(修订号。    )
由注册人提交
由注册人以外的一方提交☐
选中相应的框:

初步代理声明

机密,仅供委员会使用(在规则14a-6(e)(2)允许的情况下)

最终代理声明

确定的附加材料

根据§ 240.14a-12征集材料
创意媒体与社区信托公司
(注册人的名称在其章程中指明)
   
(提交代理声明的人的姓名,如非注册人)
缴纳备案费(勾选相应方框):

无需任何费用

之前用前期材料支付的费用。

根据《交易法》规则14a-6(i)(1)和0-11在下表中计算的费用。

 
初步代理声明—待完成,日期为2025年8月15日
创意媒体与社区信托公司
雪利巷5956号,700号套房
德克萨斯州达拉斯75225
[•], 2025
尊敬的各位股民:
诚邀您参加股东特别大会(以下简称“股东特别大会”)特别会议”)的子公司Creative Media & Community Trust Corporation,该公司是马里兰州的一家公司(“公司”),将于太平洋时间2025年9月23日上午9点召开。特别会议将通过www.virtualshareholdermeeting.com/CMCT2025SM2上的互联网网络直播以虚拟方式进行。就出席特别会议而言,本代理声明中所有提及“亲自出席”或“亲自出席”均指以虚拟方式出席特别会议。
有关特别会议的详情、将在特别会议上进行的业务,以及您在投票表决您的股份时应考虑的有关公司的信息,在本代理声明中进行了描述。
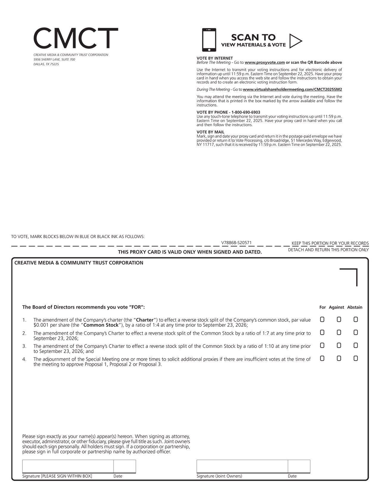
在特别会议上,我们将请股东批准以下提案:
1
公司章程的修订(以下简称“经宪章”)对公司普通股进行反向股票分割,每股面值0.00 1美元(“普通股”),在2026年9月23日之前的任何时间按1:4的比例;
2
修订公司章程,在2026年9月23日之前的任何时间以1:7的比例实施普通股的反向股票分割;
3
修订公司章程,在2026年9月23日之前的任何时间按1:10的比例对普通股进行反向股票分割;及
4
在会议召开时没有足够票数通过议案1、议案2或议案3的情况下,特别会议休会一次或多次征集额外代理人。
本公司董事会(以下简称“”)已确定批准将在特别会议上审议的事项符合公司的最佳利益。基于代理声明中提出的理由,董事会一致建议投票“”每一件事都要考虑。
我们希望你能参加特别会议。无论您是否计划参加特别会议,重要的是您阅读这份代理声明并尽快提交您填写好的代理。您可以通过互联网、电话或邮件授权您的代理,如本代理声明中所述的说明所述。我们鼓励您通过代理投票,以便您的股份将在会议上得到代表和投票,无论您是否可以出席。
你的投票很重要。如果您是截至2025年8月26日营业结束时登记在册的普通股股东,请授权代理人尽快使用以下方法之一对您的股份进行投票,以确保您的投票被计算在内,无论您是否希望参加虚拟特别会议:(1)在提供的已付邮资信封中填写、签名、注明日期并退回随附的代理卡,或(2)如本文另有说明。如果您通过银行、经纪人或其他代名人以“街道名称”持有您的股份,您将需要遵循您的银行、经纪人或其他代名人向您提供的关于如何指示您的银行、经纪人或其他代名人在特别会议上投票您的股份的指示,或者在允许的范围内,关于如何自己在特别会议上投票您的股份的指示。如果您是登记在册的普通股股东,并且您参加虚拟特别会议并希望在特别会议上投票,您可以撤回您的代理并在特别会议上在线投票。
我谨代表董事会和公司的高级职员和员工,借此机会感谢您一直以来的支持。
真诚的,
David Thompson
首席执行官
寄发特别会议通知及代理材料的大致日期:
[•], 2025
 

 
创意媒体与社区信托公司
股东特别会议通知
时间: 太平洋时间上午9:00
日期: 2025年9月23日
地点: 特别会议(the "特别会议”)的马里兰州公司Creative Media & Community Trust Corporation的股东(“公司”),将通过可访问www.virtualshareholdermeeting.com/CMCT2025SM2的网络直播以远程通信方式举行。您可以在网上出席特别会议,并在网上会议期间投票表决您的股份。您还可以通过在www.virtualshareholdermeeting.com/CMCT2025SM2加入特别会议并输入您的16位控制号码,参加会议当天的特别会议。特别会议将于会议当天太平洋时间上午8时45分在特别会议召开前15分钟开始电子输入。请准备好您的16位控件,这可以在您的代理卡或投票指示表上找到。如果您在访问虚拟会议时遇到任何困难,请拨打将发布在虚拟会议页面上的技术支持电话。
目的:
审议并表决以下事项:
1
公司章程的修订(以下简称“经宪章”)对公司普通股进行反向股票分割,每股面值0.00 1美元(“普通股”),在2026年9月23日之前的任何时间按1:4的比例;
2
修订《章程》,在2026年9月23日之前的任何时间以1:7的比例实施普通股的反向股票分割;
3
《章程》的修订,以在2026年9月23日之前的任何时间以1:10的比例实施普通股的反向股票分割;及
4
在会议召开时没有足够票数通过议案1、议案2或议案3的情况下,特别会议休会一次或多次征集额外代理人。
根据我们的章程和马里兰州一般公司法,只有本特别会议通知中规定的事项才能提交特别会议。
可以投票的人:
如果您是任何普通股股份的记录所有者,您可以投票,截至特别会议的记录日期2025年8月26日营业结束时。我们首先在2025年[ • ]或前后向我们的股东提供这份代理声明。
你的投票对我们很重要。无论你是否计划出席特别会议,请立即授权一名代理人对你的股份进行投票。您可以通过互联网授权您的代理或投票指令,通过电话或通过签署代理卡并将其日期并通过邮件将其退回给我们。
真诚的,
Barry N. Berlin
首席财务官、司库兼秘书
 
1

 
初步代理声明—待完成,日期为2025年8月15日
创意媒体与社区信托公司
特别会议的代理声明
G总管Information
这份代理声明(the "代理声明”)正在向Creative Media & Community Trust Corporation的股东提供(“公司,” “我们,” “我们,”和“我们的“)代表本公司董事会(以下简称””)就公司股东特别大会征集使用代理(“特别会议”)将于太平洋时间2025年9月23日上午九时正举行,并于会议任何休会或延期举行。特别会议将通过www.virtualshareholdermeeting.com/CMCT2025SM2上的互联网网络直播以虚拟方式举行。请提供您的16位控件,这可以在您的代理卡或投票指示表上找到。
代理材料的互联网可用性通知
我们于2025年[ • ]或前后开始向我们的股东邮寄代理材料的纸质副本。我们有时会把这份代理声明和代理卡一起称为“代理材料.”
我们还在2025年[ • ]或前后通过互联网提供了代理材料。您可以在www.proxyvote.com上阅读、打印和下载代理材料。
我们在记录日期(定义见下文)营业结束时登记在册的股东将收到打印的代理材料以及有关如何以电子方式访问和审查代理材料中包含的所有重要信息的说明。它还指导您如何通过邮件、互联网、免费电话或在特别会议上虚拟提交您的代理。
Q意见 AnswersR种植 S特别Meeting
为什么会收到这些材料?
董事会正在征求您的代理人在特别会议上投票,或在任何延期或休会时投票。持有我们普通股股份的股东(以下简称“股东”)截至股权登记日2025年8月26日收市时(以下简称“公记录日期”),有权在特别会议上投票。你们应该仔细审查代理材料,因为它们提供了有关将在特别会议上进行表决的提案的重要信息,以及有关公司的其他重要信息。
如何参加特别会议?
我们的特别会议将是完全虚拟的会议,完全通过网络直播进行。会议将于太平洋时间2025年9月23日上午9点准时开始。我们鼓励您在开始时间之前访问特别会议。在线报到将于太平洋时间上午8点45分特别会议开始前15分钟开始,请留出充足的时间办理报到手续。请准备好您的16位控件,这可以在您的代理卡或投票指示表上找到。如果您在访问虚拟专用会议平台时遇到任何困难,包括投票或提交问题时遇到任何困难,您可以拨打会议现场常见问题解答指南中将发布的技术支持电话。
谁能在特别会议上投票?
只有公司普通股的记录持有人,每股面值0.00 1美元(“普通股"),截至记录日期的营业时间结束时,有权获得特别会议的通知并在特别会议上投票。
登记在册的股民和“街名”持股的股民有什么区别?
如果你的股票登记在你名下,你就是登记在册的股东。如果你的股份是以你的银行、经纪人或其他代名人的名义持有,你的股份是以“街道名称”持有的,你是实益拥有人。
 
2

 
我们的普通股持有人的投票权是什么?
截至记录日期,公司有[ • ]股已发行普通股。我们普通股的股东有权就任何提交股东批准的事项每股投一票。不允许对特别会议审议的任何事项进行累积投票。
什么构成特别会议的法定人数?
有权在特别会议上投票的所有有权投票的过半数的股东通过网络或由代理人代表出席是构成特别会议或其任何延期或休会的法定人数所必需的。但是,如果出席特别会议的人数未达到法定人数,特别会议主席可将特别会议延期至原记录日期后不超过120天的日期,而无需在特别会议上发布公告以外的通知。
我被要求在特别会议上对哪些提案进行表决?
在特别会议上,股东将根据以下提案采取行动:
提案1
公司章程的修订(以下简称“经宪章”)在2026年9月23日之前的任何时间以1:4的比例对普通股进行反向股票分割(“1:4反向拆股”);
提案2
修订《章程》,在2026年9月23日之前的任何时间,按1:7的比例实施普通股的反向股票分割(“1:7反向拆股”);
提案3
《章程》的修订,以在2026年9月23日之前的任何时间按1:10的比例实施普通股的反向股票分割(“1:10反向拆股”);以及
提案4
特别会议休会一次或多次以征集额外代理人,如果在特别会议召开时没有足够票数批准提案1、提案2或提案3。
为什么这些提案和公司最近召开的年度股东大会上提出的提案一样?
在公司最近召开的2025年年度股东大会上,公司提出了与本委托书所载提案相当的提案。虽然每项提案都获得了压倒性的投票支持(获得了超过82%的最低支持票),但这些提案勉强未能获得所有有权投票的多数票的必要赞成票。在会议召开之前和召开时,该公司从其代理招标公司获悉,已获得通过提案所需的投票,因此该公司停止了任何进一步的招标努力。如果不是因为这一点,公司将在会议之前继续进行征集工作和/或休会公司2025年年度会议,以征集更多赞成这些提案的投票。
董事会建议我如何对这些提案进行投票?
董事会建议您投票:
除非另有相反指示,根据本次征集收到的有效代理人所代表的所有股份(且未按照下述程序被撤销)将按以下方式进行投票:
(1)
为”提案1;
(2)
为”提案2;
(3)
为”提案3;和
(4)
”提案4。
如果股东通过随附的代理指定了不同的选择,这些股份将按照所制定的规范进行投票。
 
3

 
批准每一项提案的投票要求是什么?
在特别会议上批准每项拟进行表决的提案的投票要求,以及对每项提案投反对票、弃权票和经纪人不投票的影响,均在提案中进行了说明。
当以“街道名称”为实益拥有人持有股份的代名人不对特定提案进行投票时,将发生“经纪人不投票”,因为代名人对该提案没有酌处权,也没有收到实益拥有人关于股份投票的指示。特别会议选举监察员应确定出席特别会议的普通股股份数量、法定人数的存在以及代理人的有效性和效力,并应对选票和投票进行清点和制表并确定结果。为确定法定人数,已收到但被标记为弃权的代理人,以及经纪人未投票(如有)将被包括在被视为出席特别会议的股份数量的计算中。
如何在特别会议上投票?
您将需要您的代理卡或投票指示表上包含的16位控制号码。请访问您的代理材料中提供的链接,www.virtualshareholdermeeting.com/CMCT2025SM2,输入您的16位控制号,这将允许您进入会议并允许您在现场会议期间投票您的股份。
如果你的股票以银行、经纪人或其他代名人的名义以“街道名称”持有,你将需要从你的银行、经纪人或其他代名人处获得合法代理人。一旦获得法定代理人,必须提交法定代理人的副本。请注意,获得法定代理人可能需要几天时间。
我可以用哪些不同的方法来投票?
根据您持有普通股股份的方式,您通常可以选择授权代理人通过邮寄、电话、网络或出席特别会议并参加投票(如上所述)的方式对您的股份进行投票。你的投票方式不影响你出席特别会议的权利。
如果您的股份是通过我们的股票转让代理机构ComputerShare Trust Company,N.A.直接登记在您的名下,您可以授权代理人投票您的股份:

通过邮件:填写、签署、注明日期、邮寄随本委托书收到的书面代理卡。

通过电话:通过电话拨打您的代理卡上显示的电话号码。

线上:在特别会议之前,通过在www.proxyvote.com在线提交您的代理,并附上您的16位控制号码,从2025年[ • ]开始的任何时间开始,到2025年9月22日东部时间晚上11:59结束。
如果你的股份是以银行、经纪人或其他代名人的名义以“街道名称”持有,你可以按照你的银行、经纪人或其他代名人向你提供的指示投票你的股份,这可能允许你在网上或通过邮件或电话投票。要在特别会议上亲自投票,请遵循上述问题中提供的指示。
我可以改投吗?
归还你的代理卡绝不会限制你出席特别会议并在网上投票的权利。股东可以通过以下方式撤销代理:

向公司秘书发出书面撤销通知,该通知必须在太平洋时间2025年9月19日上午9点之前由公司收到;

按照下文问题所述程序交付较晚日期的代理;或者

如前所述参加虚拟特别会议和在线投票(单独参加虚拟特别会议不会撤销您的代理)。
 
4

 
如果您的股票存放在银行、经纪人或其他代名人的账户中,并且您希望在会议上改变您的投票或以电子方式投票,您应该联系您的银行、经纪人或其他代名人,以获得如何这样做的指示。
如果我不出席特别会议,我的股份投票截止日期是什么?
如果您是普通股记录持有人并且没有出席特别会议,您的代理人必须在美国东部时间2025年9月22日晚上11:59或之前收到,以便您的股票在特别会议上投票。
如果您是以“街道名称”持有的普通股的实益拥有人,请遵守持有您股份的银行、经纪人或其他代名人提供的投票指示中包含的截止日期。
其他事项能否在特别会议上决定?
根据我们的章程(以下简称"附例”),以及《马里兰州一般公司法》(the“MGCL”),只有特别会议通知中载列的事项,方可向特别会议提出。
投票结果何时公布?
初步投票结果将在虚拟特别会议上公布。最终投票结果将在提交给美国证券交易委员会的8-K表格当前报告中公布(“SEC”)特别会议后的四个工作日内。
与代理材料和特别会议有关的费用由谁支付?
准备、组装和邮寄代理材料的费用,以及在网站上发布代理材料的费用,由我们承担。除使用邮件外,我们CIM Capital,LLC的某些董事、高级职员或雇员可能会亲自或通过电话、传真和其他电子方式征集代理人。除正常工资外,他们将不会获得任何补偿。我们可能会要求银行、经纪人和其他托管人、被提名人和受托人将代理材料的副本转发给他们的委托人,并请求授权执行代理。我们可能会报销这些人这样做的费用。
我会在特别会议上提出的任何事项上拥有异议者的权利吗?
马里兰州法律和我们的组织文件均未就将在特别会议上提交的任何事项规定异议股东的评估或其他类似权利。因此,股东将无权提出异议并获得其股份的付款。
提交下一届股东年会股东提案或董事提名的截止日期是什么?
希望在2026年年度股东大会之前提出董事提名或提出其他提案(但不包括在公司该次会议的代理材料中)的股东必须向公司主要行政办公室的公司秘书提供有关该提案的书面通知,地址为5956 Sherry Lane Suite 700,Dallas,TX 75225,注意:秘书。此类提案必须不早于第150天收到,也不迟于上一年年会的代理声明日期一周年之前的东部时间下午5:00。因此,为了及时召开下一次年会,我们一般必须在不早于2026年1月28日且不迟于美国东部时间2026年2月27日下午5:00之前收到提名或提案的提前通知。任何股东提案或董事提名必须遵守章程的其他规定,并以书面形式提交公司主要行政办公室的公司秘书。
根据经修订的《1934年证券交易法》第14a-8条规定的股东提案(“交易法”),如要纳入公司的代理声明和公司下一次年度股东大会的代理表格,必须在公司的主要执行办公室收到,并且必须不迟于2026年2月27日提交。
 
5

 
此外,除公司被提名人外,有意征集代理以支持董事提名人的股东必须提供符合通用代理规则的通知,该规则规定了《交易法》第14a-19条规定的信息,包括不迟于2026年6月2日提供《交易法》第14a-19(b)条规定的通知。
我们还没有确定下一次股东年会的日期。在此类年会之前,我们将在《交易法》第14a-5条规定的范围内宣布年会日期和上述指定的任何日期。
其他问题应该联系谁?
如果您对本代理声明或特别会议还有其他问题,或者您想要本代理声明的额外副本,请联系Creative Media & Community Trust Corporation,5956 Sherry Lane Suite 700,Dallas,TX 75225,收件人:秘书,电话:(972)349-3200。
一般概况
提案1、提案2和提案3的目的是维持我国普通股在纳斯达克资本市场(“纳斯达克”).
该公司在纳斯达克上市的缺陷
如先前所报告,该公司此前未能遵守纳斯达克上市规则5550(a)(2),该规则要求我们维持每股1.00美元的最低买入价,以使普通股的股价不会连续30个工作日收盘低于1.00美元(“纳斯达克最低买入价规则”).如先前报道,在出现不符合纳斯达克最低投标价格规则的情况后,该公司此前已有资格获得并获得180天的期限,以重新遵守纳斯达克最低投标价格规则(“纳斯达克合规宽限期”).该公司不再符合参加纳斯达克合规宽限期的资格。因此,如果该公司未能在任何时候保持遵守纳斯达克最低买入价规则,那么它可能会立即从纳斯达克退市。
虽然该公司目前遵守了纳斯达克的最低买入价规则,但自2024年8月该公司宣布打算赎回并已赎回其A系列优先股股票(每股面值0.00 1美元)以来,普通股买入价已承受重大下行压力(“A系列优先股”)和A1系列优先股,每股面值0.00 1美元(“A1系列优先股”,连同A系列优先股和公司D系列优先股,每股面值0.00 1美元(“D系列优先股”),该“优先股”)并以普通股股份支付赎回价款。优先股持有人有权根据每个此类持有人的选择,要求公司以每股25.00美元的赎回价格赎回此类持有人的任何或全部优先股股份,再加上相当于截至赎回日(包括赎回日)所有应计但未支付的股息(如有)的金额,但须遵守《宪章》中规定的此类优先股的条款。该持有人赎回价格可由公司选择以现金或普通股股份(基于紧接适用赎回日期前20个交易日的普通股VWAP,每一条款均在章程中定义)支付。“VWAP”是指,对于任何交易日,成交量加权平均价格,计算方法为:正常时间在纳斯达克交易的普通股总价值(每股价格乘以交易的股份数量)除以该交易日在纳斯达克(或该普通股上市的其他国家证券交易所或自动报价系统)交易的普通股总成交量(股份数量),或者,如果无法获得该成交量加权平均价格,则为董事会以商业上合理的方式确定的该交易日的一股普通股的市值,采用成交量加权平均价格法。最近,该公司选择以普通股股份支付此类赎回,以增加其普通股权益在资产中的百分比并提高其流动性。
此外,公司过去曾行使其选择赎回优先股股份的权利(受章程中规定的优先股条款的约束),并以普通股股份支付赎回价格,公司未来可能会再次这样做。
 
6

 
我们认为,为满足赎回请求以及与公司可选择的赎回有关而发行的大量普通股对我们普通股的投标价格构成了显着的下行压力。如果我们的普通股价格下跌,根据20天VWAP公式可以发行更多的普通股,这反过来可能会对我们普通股的投标价格造成进一步的下行压力。
建议的目的及不批准的后果
提案1、提案2和提案3旨在向上调整普通股的投标价格,以努力保持符合纳斯达克最低投标价格规则。我们的董事会认为,每一项提议都符合公司的最佳利益,每一个反向股票分割比例都将提高我们普通股的价格水平,以便我们能够遵守纳斯达克最低买入价规则。
如果提案1、提案2和提案3未获得股东批准,可能会对公司造成重大不利后果,包括可能从纳斯达克退市。如果我们的普通股从纳斯达克退市,我们可能会被迫寻求让普通股在场外交易公告板或“粉单”中交易或报价。这类替代品通常被认为是效率较低的市场,且不如纳斯达克那么广泛,因此不太可取。如果公司的普通股从纳斯达克退市,公司可能会面临重大不利后果,包括:

普通股的市场报价有限;

流动性减少;

确定普通股为“仙股”,这将要求交易公司股票的经纪人遵守更严格的规则,这可能导致其证券在二级交易市场的交易活动水平降低;

公司的新闻和分析师报道量有限;

a未来增发证券或获得额外融资的能力下降;

潜在需要根据适用的国家证券或“蓝天”法登记公司选择发行的任何普通股,以在所需现金无法获得时赎回优先股以代替现金;和

如果无法在特定州完成根据适用的州证券或“蓝天”法律进行的注册,并且无法获得此类赎回所需的现金,则在满足所有其他赎回标准时,可能无法赎回优先股。
尽管做出了上述努力,但无法保证公司最终将保持对纳斯达克最低买入价规则的遵守。
 
7

 
Proposal1
批准修订我们的章程以实施1:4反向股票分割
概述
在特别会议上,我们的股东将被要求批准对我们章程的修订,以实现1:4的反向股票分割。1:4反向股票分割是按1:4的比例合并普通股。
如果我们的股东批准了1:4的反向股票分割,那么公司可酌情在2026年9月23日之前的任何时间以1:4的比例实施1:4的反向股票分割。我们的董事会认为,以1:4的比例进行1:4的反向股票分割旨在最大限度地为公司及其股东带来预期利益。在确定1:4反向股票分割的1:4比例时,我们的董事会考虑了(其中包括)以下因素:

我们普通股的历史交易价格和交易量;

我们普通股当时的交易价格和交易量以及1:4反向股票分割对我们普通股交易市场的预期影响;

我们有能力让我们的普通股继续在纳斯达克上市,包括维持在纳斯达克注册的普通股所需数量;

1:4反向股票分割对我们筹集额外融资能力的预期影响;

优先股赎回对普通股投标价格造成的潜在下行压力;以及

普遍的一般市场和经济状况。
如果1:4反向股票分割获得我们的股东批准,并且公司全权酌情决定实施1:4反向股票分割,我们将发布新闻稿,宣布1:4反向股票分割的1:4生效日期(定义见下文),并将提交修订条款,基本上以附录A所附的格式(“提议的1:4修正案”),实现1:4反向拆股。1:4反向股票分割自修订章程所述生效时间(“1:4生效日期”),经美国马里兰州评估和税务部(“马里兰州SDAT”).1:4生效日期不迟于2026年9月23日。
倘建议1、建议2及建议3各自于特别会议上获得通过,公司可全权酌情选择在2026年9月23日之前的任何时间只执行其中一项已获批准的建议或不执行任何建议。为公司提供酌情权,以根据建议修订所设想的三个比率之一选择实施反向股票分割的交换比率,而不是要求批准单一的固定比率,使公司能够灵活地应对当时的市场条件,通过反向股票分割实现其目标,并以公司的最佳利益行事。倘建议1、建议2或建议3的若干但并非全部将于特别会议上获得批准,公司可全权酌情选择在2026年9月23日之前的任何时间仅实施其中一项已获批准的建议,或不就该等已获批准的建议采取任何行动。
1:4反向拆股原因
如先前报道,该公司此前未能遵守纳斯达克最低买入价规则。如之前报道的那样,在出现不符合纳斯达克最低买入价规则的情况后,该公司此前已获得并获得了纳斯达克合规宽限期的资格。该公司不再符合参加纳斯达克合规宽限期的资格。因此,如果该公司未能在任何时候保持遵守纳斯达克最低买入价规则,那么它可能会立即从纳斯达克退市。
 
8

 
虽然公司目前遵守了纳斯达克最低买入价规则,但自2024年8月公司宣布有意赎回并已赎回其优先股股份并以普通股股份支付赎回价格以来,普通股投标价格承受了显着的下行压力。优先股持有人有权根据每个此类持有人的选择,要求公司以每股25.00美元的赎回价格赎回此类持有人的任何或全部优先股股份,再加上相当于截至赎回日(包括赎回日)所有应计但未支付的股息(如有)的金额,但须遵守《宪章》中规定的此类优先股的条款。该持有人赎回价格可由公司选择以现金或普通股股份(基于紧接适用赎回日期前20个交易日普通股的VWAP,每一条款均在章程中定义)支付。最近,该公司选择以普通股股份支付此类赎回,以增加其普通股权益在资产中的百分比并提高其流动性。
此外,公司过去曾行使其选择赎回优先股股份的权利(受章程中规定的优先股条款的约束),并以普通股股份支付赎回价格,公司未来可能会再次这样做。
我们认为,为满足赎回请求以及与公司可选择的赎回有关而发行的大量普通股对我们普通股的投标价格构成了显着的下行压力。如果我们的普通股价格下跌,根据20天VWAP公式可以发行更多的普通股,这反过来可能会对我们普通股的投标价格造成进一步的下行压力。
提议的1:4反向股票分割旨在向上调整普通股的投标价格,以努力保持符合纳斯达克最低投标价格规则。我们的董事会认为,1:4的反向股票分割比例1:4符合公司的最佳利益,这样的比例将提高我们普通股的价格水平,从而我们能够遵守纳斯达克的最低买入价规则。但是,我们无法向您保证,在1:4反向股票分割之后,我们普通股的市场价格将按比例增加,以反映1:4反向股票分割的比例,我们普通股的市场价格将不会下降到拆分前的水平,我们的市值将等于1:4反向股票分割之前的市值,或者我们将能够维持在纳斯达克的上市。
未批准本议案的后果
如果提案1未获得股东批准,可能会对公司造成重大不利后果,包括可能从纳斯达克退市。如果我们的普通股从纳斯达克退市,我们可能会被迫寻求让普通股在场外交易公告板或“粉红单”中交易或报价。这类替代品通常被认为是效率较低的市场,且不如纳斯达克那么广泛,因此不太可取。如果公司的普通股从纳斯达克退市,公司可能会面临重大不利后果,包括:

普通股的市场报价有限;

流动性减少;

确定普通股为“仙股”,这将要求交易公司股票的经纪人遵守更严格的规则,这可能导致其证券在二级交易市场的交易活动水平降低;

公司的新闻和分析师报道量有限;

a未来增发证券或获得额外融资的能力下降;

潜在需要根据适用的国家证券或“蓝天”法登记公司选择发行的任何普通股,以在所需现金无法获得时赎回优先股以代替现金;和

如果无法在特定州完成根据适用的州证券或“蓝天”法律进行的注册,并且无法获得此类赎回所需的现金,则在满足所有其他赎回标准时,可能无法赎回优先股。
 
9

 
尽管做出了上述努力,但无法保证公司最终将保持对纳斯达克最低买入价规则的遵守。
批准本建议的潜在不利影响
我们无法向您保证,如果实施1:4的反向股票分割,将会提高我们的股价并产生预期的效果,以保持对纳斯达克最低买入价规则的遵守。
董事会预计,如果实施1:4的反向股票分割,将提高我们普通股的市场价格,以便我们能够保持对纳斯达克最低买入价规则的遵守。然而,1:4的反向股票分割对我们普通股市场价格的影响无法确切预测,类似情况下的公司类似的反向股票分割的历史是多种多样的。
我们的普通股在实施1:4反向股票分割后的每股价格可能不会与由此导致的已发行普通股的股份数量减少成比例上升,并且1:4反向股票分割后的每股市场价格可能不会超过或在持续的一段时间内保持在每股1.00美元以上。即使我们实施1:4的反向股票分割,我们普通股的市场价格也可能由于与1:4的反向股票分割无关的因素而下降,包括我们未来的财务和经营业绩。如果1:4反向股票分割完成,而我们普通股的交易价格下降,作为绝对数字和占我们总市值百分比的下降百分比可能比没有1:4反向股票分割的情况下发生的更大。
实施1:4反向股票分割可能会降低我们普通股的流动性。
考虑到1:4反向股票分割后流通在外的普通股股份数量减少,特别是如果股价没有因此而上涨,我们普通股的流动性可能会因实施1:4反向股票分割而受到损害。此外,投资者可能会认为1:4反向股票分割导致的未发行法定股本与已发行股本的比例增加在某些情况下具有反收购效果,因为该比例允许稀释性发行,这可能会阻止某些股东改变董事会的组成或使与另一实体合并的要约收购更难成功完成。董事会不打算让1:4反向拆股产生任何反收购效果。
1:4反向拆股的主要影响
普通股和优先股.
如果1:4反向股票分割在特别会议上获得我们的股东批准,并且公司全权酌情决定实施1:4反向股票分割,公司计划发布新闻稿,宣布1:4反向股票分割的1:4生效日期,并将以作为附录A的拟议1:4修正案的形式向马里兰州SDAT提交修订条款,以在2026年9月23日之前实施1:4反向股票分割。除下文所述处理零碎股份可能导致的调整外,在紧接1:4生效日期之前的每一股已发行普通股将自动自1:4生效日期起变更为基于1:4比例的零碎股份。此外,还将根据我公司股权激励计划及其他条款对可发行股票的最大数量进行比例调整。
除可能因处理普通股零碎股份而产生的调整外,如下所述,由于1:4反向股票分割将适用于所有已发行的普通股股份,实施1:4反向股票分割不会改变我们现有股东的相对权利和偏好,也不会影响任何股东在公司的比例股权。例如,在紧接1:4反向股票分割生效之前持有已发行普通股大约百分之二(2%)投票权的持有人通常将在紧接其后继续持有已发行普通股大约百分之二(2%)的投票权。此外,我们普通股的在册股东人数不会受到1:4反向股票分割的影响。
 
10

 
拟议的1:4修正案,如果获得通过,将不会改变我们的普通股或优先股的条款。1:4反向股票分割生效后,普通股股份将拥有相同的投票权以及股息和其他分配的权利,并将在所有其他方面与现在授权的普通股相同。在1:4反向股票分割之后,普通股将保持全额支付和不可评估。
1:4反向股票分割生效后,我们普通股的面值将与1:4反向股票分割的1:4比例成比例增加。然而,董事会将根据MGCL第2-605(a)(2)条行使其权利,此后立即降低拆分后普通股的最终面值,使其保持在每股0.00 1美元。
对授权股份数目的影响。
我们被授权发行的股本总数不受1:4反向股票分割的影响,将保持在十亿(1,000,000,000)股股票,包括九亿(900,000,000)股普通股和一亿(100,000,000)股优先股,每股面值0.00 1美元。尽管股本的法定股份数量不会因1:4反向股票分割而发生变化,但已发行和流通的普通股股份数量将按照1:4反向股票分割的1:4比例减少。因此,1:4反向股票分割将有效地增加可用于未来发行的普通股的授权和未发行股份的数量,其数量相当于1:4反向股票分割实现的减少数量。普通股授权和未发行股份数量的相对增加将允许在未来融资、股权激励计划和其他可取的公司活动方面发行额外股份的能力,而无需我们的股东在每次考虑采取任何此类行动时批准增加股本的授权股份数量。如果实施1:4反向股票分割,所有或任何已授权和未发行的普通股股份可能会在未来发行,用于我们的董事会不时认为可取的公司目的和考虑,但受我们章程的任何限制,无需我们的股东采取进一步行动,也无需先向我们的股东提供此类股份。
由于我们的股东没有购买或认购我们任何未发行普通股的优先购买权,未来增发普通股将减少我们当前股东在普通股总流通股中的百分比所有权权益。在我们未来收益和账面价值没有按比例增加的情况下,普通股流通股的数量增加将稀释我们预计的未来每股收益(如果有的话)以及我们所有已发行普通股的每股账面价值。如果这些因素反映在我们普通股的市场价格中,股东投资的潜在变现价值可能会受到不利影响。因此,增发股票可能会对股东投资的潜在变现价值产生不利影响。
上市.
我们的普通股目前在纳斯达克交易。实施1:4的反向股票分割将直接影响我们的普通股在纳斯达克的上市,我们认为1:4的反向股票分割可能会潜在地提高我们的股价,促进遵守纳斯达克的最低买入价规则。在1:4的反向股票分割之后,我们打算让我们的普通股继续在纳斯达克上市,代码为“CMCT”,这取决于我们是否有能力继续遵守纳斯达克的规则,尽管我们的普通股将有一个新的统一证券识别程序编号委员会,该编号用于识别我们的普通股。
“上市公司”地位.
我们的普通股目前是根据《交易法》第12(b)条注册的,我们受《交易法》的“上市公司”定期报告和其他要求的约束。拟议的1:4反向股票分割不会影响我们作为上市公司的地位或根据《交易法》进行的注册。1:4的反向股票分割并非旨在产生《交易法》第13e-3条所涵盖的“私有化交易”的效果。
 
11

 
奇数成交.
很可能,在1:4的反向股票分割之后,我们的一些股东将拥有不到100股普通股的“零股”。购买或出售不到100股普通股(“零股”交易)可能会导致通过某些经纪商,特别是“全套服务”经纪商的交易成本逐渐增加,而且通常可能比“整数”出售更难。因此,那些在1:4反向股票分割后拥有少于100股的股东可能需要支付更高的交易成本,如果他们随后决定出售他们的股票,可能会遇到一些困难或延迟。
可能的反收购影响.
如果股东批准1:4反向股票分割并且董事会实施1:4反向股票分割,则1:4反向股票分割可能会产生反收购效果,因为这将导致在实施1:4反向股票分割后,股本的法定股份数量相对于已发行股本的股份数量的比例增加。我们的股本法定股份数量的相对增加可能会使董事会更加困难或阻止一方试图通过要约收购或其他方式获得公司控制权的企图。
在公开或非公开出售、合并或类似交易中发行股本将增加有权投票的股本流通股的数量,增加批准公司控制权变更所需的票数,并稀释试图获得公司控制权的一方的利益。任何此类发行都可能剥夺股东可能因试图获得公司控制权而产生的利益,例如实现该尝试可能导致的高于市场价格的溢价。此外,向对董事会友好的人士发行股本可能会使现任高级管理人员和董事的免职变得更加困难,即使这一变化总体上对股东有利。然而,这种反收购效应并不是我们董事会的目的或意图。我们目前无意将获授权但未发行的股本数目的相对增加用于反收购目的。董事会目前无意授权发行额外股本股份,以阻止取得公司控制权的努力(如果出现)。
零碎股份
将不会就1:4的反向股票分割发行普通股零碎股份;相反,原本会因1:4的反向股票分割而获得普通股零碎股份发行的股东将获得现金付款,以代替该零碎股份,金额等于股份零碎乘以1:4生效日期纳斯达克股票市场报告的普通股收盘价的乘积。
美国联邦所得税后果
以下摘要描述了1:4反向股票分割对我们普通股持有人的某些重大美国联邦所得税后果。本摘要以经修订的1986年《国内税收法》的所得税条款为基础(“代码”)、据此颁布的美国财政部条例、行政裁决和司法权威,均自本协议发布之日起生效。美国联邦所得税法的后续发展,包括可能追溯适用的法律变更或不同解释,可能会导致1:4反向股票分割的美国联邦所得税后果与下文讨论的不同。
本摘要并未涉及根据我们普通股持有人的特定情况或可能受特别税收规则约束的持有人可能相关的所有美国联邦所得税后果,包括但不限于银行、保险公司、储蓄机构、其他金融机构、受监管投资公司、房地产投资信托基金、个人控股公司、外国实体、非居民外国人个人、经纪自营商、S公司、合伙企业或其他传递实体、免税组织、美国侨民、对替代最低税负有责任的持有人、选择使用盯市会计方法的证券交易者,证券或货币交易商、功能货币不是美元的我们普通股的持有者、作为“跨式”头寸的一部分或作为“对冲”的一部分持有我们普通股的持有者,
 
12

 
出于联邦所得税目的的“转换”或其他综合投资交易,因就业或其他服务履行而获得我们普通股股份的人,实际或建设性持有我们普通股百分之十以上(10%)的持有人,或不持有我们普通股作为《守则》中定义的“资本资产”的人(通常是为投资而持有的财产)。如果合伙企业(或出于美国联邦所得税目的归类为合伙企业的其他实体)是我们普通股的受益所有人,合伙企业中合伙人的美国联邦所得税待遇通常将取决于合伙人的地位和合伙企业的活动。持有我们普通股的合伙企业,以及这类合伙企业的合伙人,应就1:4反向股票分割的美国联邦所得税后果咨询他们自己的税务顾问。
本摘要不涉及州、地方、非美国和非所得税法下的税收考虑。此外,尚未就1:4反向股票分割的后果获得法律或税务顾问的裁决或税务意见。
税务事项复杂,1:4反向拆股的税务后果取决于每个股东的具体情况。因此,每个股东应就美国联邦、州、地方和外国收入以及1:4反向股票分割的其他税务后果咨询自己的税务顾问。
就本讨论而言,“美国持有人”是普通股的受益所有人,即,就美国联邦所得税而言:

美国公民或居民个人;

在美国、其任何州或哥伦比亚特区的法律中或根据法律创建或组织的公司(或任何其他为美国联邦所得税目的应作为公司征税的实体);

遗产,无论其来源如何,其收入均需缴纳美国联邦所得税;或者

信托(i)其管理受美国法院的主要监督,且有一名或多名美国人有权控制信托的所有实质性决定,或(ii)已根据适用的财政部条例作出有效选择被视为国内信托。
就美国联邦所得税目的而言,“非美国持有人”是普通股的受益所有人,而非美国持有人或美国联邦所得税目的的合伙企业。
1:4反向拆股的税务后果
1:4的反向股票分割应该构成美国联邦所得税目的的“资本重组”。除下文所述的代替零碎股份而收到的现金外,美国持有人不应确认因1:4反向股票分割而产生的收益或损失。美国持有人根据1:4反向股票分割收到的普通股股份的合计计税基础应等于美国持有人在所交出的普通股股份中的合计计税基础(不包括分配给任何普通股零碎股份的任何部分),该美国持有人在所收到的普通股股份中的持有期应包括所交出的普通股股份的持有期。根据《守则》颁布的财政部条例规定了将根据1:4反向股票分割交出的普通股股份的计税基础和持有期分配给根据1:4反向股票分割收到的普通股股份的详细规则。持有在不同日期以不同价格获得的普通股股票的美国持有人应就此类股票的计税基础和持有期限的分配问题咨询其税务顾问。
根据1:4反向股票分割,收到现金代替普通股的零碎股份将是美国联邦所得税目的的应税交易。美国持有人收到现金以换取零碎股份,一般会为美国联邦所得税目的确认收益或损失,等于收到的代替零碎股份的现金金额与美国持有人调整后的税基分配给零碎股份的部分之间的差额(如果有的话)。
 
13

 
非美国持有者
根据下文对备用预扣税的讨论,非美国持有人一般不会因1:4反向股票分割导致的任何收益或损失缴纳美国联邦所得税或预扣税,包括收到的现金代替普通股的零碎股份,前提是(a)此类收益或损失与该非美国持有人在美国开展的贸易或业务没有有效联系(或者,如果适用某些所得税条约,则不归属于非美国持有人在美国的常设机构),(b)对于作为个人的非美国持有人,该非美国持有人在1:4反向股票分割的纳税年度内在美国停留的时间少于183天,且满足其他条件,且(c)该非美国持有人遵守某些认证要求。如果这类收益与非美国持有人在美国开展贸易或业务有效相关,且如果适用的所得税条约如此规定,该收益可归属于非美国持有人在美国维持的常设机构或固定基地,则非美国持有人将按正常税率和适用于美国持有人的方式按净收入基础征税,如果非美国持有人是公司,则按30%的税率征收额外的分支机构利得税,或适用的所得税条约可能规定的较低税率,也可能适用。如果非美国持有人是在1:4反向股票分割的纳税年度内在美国停留183天或以上的个人,且满足某些其他要求,则非美国持有人将对我们普通股股份交换的净收益征收30%的税(或美国与该持有人居住国之间适用的所得税条约可能规定的较低税率),该税可能会被非美国持有人的某些美国来源的资本损失(如果有)所抵消。
信息报告和备份扣留
普通股持有人根据1:4反向股票分割收到的现金付款可能需要进行信息报告,如果持有人未能遵守某些认证程序或以其他方式确立备用预扣的豁免,也可能需要按照美国国税局规定的适用税率(目前为24%)进行备用预扣。备用预扣税不是额外的美国联邦所得税。相反,备用预扣税对象的美国联邦所得税负债将减少预扣税额。如果备用预扣税导致多缴税款,只要及时向美国国税局提供所需信息,就可以获得退款。
会计后果
在1:4反向股票分割的1:4生效日期之后,如果有的话,净收益或亏损以及每股账面净值将会增加,因为发行在外的股票将会减少。我们预计不会因1:4反向股票拆分而产生任何其他会计后果。
股份交换
以记账形式持有的股份
公司登记股东可以在我们的转让代理人处以电子记账式形式持有其部分或全部股份,并获得一份反映其账户中登记的股份数量的对账单。

若以记账式形式持有记名股票,则在1:4反向股票分割生效后,无需采取任何行动以记账式形式接收股票。

交易对账单将在1:4生效日期后尽快由我们的转让代理自动发送至您的记录地址,表明您持有的股份数量。
以“街道名称”持有的股份
在实施1:4反向股票分割后,我们打算将通过银行、经纪人或其他代名人以“街道名称”持有我们股票的股东,与其股票登记在其名下的登记股东同等对待。银行、经纪商和其他被提名人将被指示对其以“街道名称”持有我们股票的实益持有人实施1:4的反向股票分割。
 
14

 
然而,这类银行、券商和其他代名人处理1:4反向股票分割的程序可能与注册股东不同。如果您在银行、经纪人或其他代名人处以“街道名称”持有您的股份,如果您有这方面的任何问题,我们鼓励您与您的银行、经纪人或代名人联系。
评估权
根据马里兰州法律或我们的章程或章程,股东没有与1:4反向股票分割相关的评估权。
本议案中若干人士的权益
当您考虑我们董事会的建议投票赞成本提案1时,您应该知道我们的某些董事和高级管理人员由于拥有普通股股份而对本提案有兴趣。然而,我们不认为我们的董事和高级管理人员在此提案中拥有与我们任何其他股东不同或更大的利益。
《宪章》拟议的1:4修正案案文
本委托书附录A中提议的1:4修订反映了实现1:4反向股票分割的修订全文,这对本提案1中的摘要进行了限定。1:4反向股票分割将在向马里兰州SDAT提交修订条款并生效后生效。敦促股东阅读附录A的实际文本。如果本摘要与附录A中提议的1:4修正案的文本存在冲突,则适用于附录A中规定的条款。
所需投票
本议案1需获得有权投的全体表决票过半数的赞成票,方可通过议案1。就本提案1的表决而言,弃权和经纪人未投票将被视为出席,以确定是否存在法定人数。但是,如果您没有指示您的经纪人如何对此提案进行投票,并且您的经纪人没有对这些股份进行投票,您的股份将被视为经纪人无票。弃权、券商不投票和其他未投票的股份将与“反对”本议案1的投票具有同等效力。股东可以投票“,” “反对,”或“弃权”关于本提案1。
我们预计该提案1将被视为适用的证券交易所规则下的例行事项。因此,在没有贵方具体指示的情况下,贵方的银行、经纪人或其他代名人将拥有就本议案1投票表决贵方股份的酌情权。然而,我们了解到,某些券商在没有你的投票指示的情况下,甚至选择不对“常规”事项进行投票。如果你的银行、经纪人或其他被提名人做出了这一决定,而你没有提供投票指示,你的投票将不会被投。因此,我们敦促您指示您的银行、经纪人或其他代名人如何投票,方法是按指示返回您的投票材料,或从您的经纪人或其他代名人处获得代理,以便亲自在特别会议上对您的股份进行投票。经纪人不投票将与投票具有同等效力“反对”本议案1。
董事会一致建议股东投票“”对这一提案1的批准。
 
15

 
Proposal2
批准修订我们的章程以实施1:7反向股票分割
概述
在特别会议上,我们的股东将被要求批准对我们章程的修订,以实现1:7的反向股票分割。1:7反向股票分割是按1:7的比例合并普通股。
如果我们的股东批准了1:7的反向股票分割,那么公司可酌情在2026年9月23日之前的任何时间以1:7的比例实施1:7的反向股票分割。我们的董事会认为,以1:7的比例进行1:7的反向股票分割旨在最大限度地为公司及其股东带来预期利益。在确定1:7反向股票分割的1:7比例时,我们的董事会考虑了(其中包括)以下因素:

我们普通股的历史交易价格和交易量;

我们普通股当时的交易价格和交易量以及1:7反向股票分割对我们普通股交易市场的预期影响;

我们有能力让我们的普通股继续在纳斯达克上市,包括维持在纳斯达克注册的普通股所需数量;

1:7反向股票分割对我们筹集额外融资能力的预期影响;

优先股赎回对普通股投标价格造成的潜在下行压力;以及

普遍的一般市场和经济状况。
如果1:7反向股票分割获得我们的股东批准,并且公司全权酌情决定实施1:7反向股票分割,我们将发布新闻稿,宣布1:7反向股票分割的1:7生效日期(定义见下文),并将提交修订条款,基本上以附录B所附的格式(“建议1:7修订”),实现1:7反向拆股。1:7反向股票分割自修订章程所述生效时间起生效(“1:7生效日期”),在修正条款被马里兰州SDAT接受备案后。1:7生效日期不迟于2026年9月23日。
倘建议1、建议2及建议3各自于特别会议上获得通过,公司可全权酌情选择在2026年9月23日之前的任何时间只执行其中一项已获批准的建议或不执行任何建议。为公司提供酌情权,以根据建议修订所设想的三个比率之一选择实施反向股票分割的交换比率,而不是要求批准单一的固定比率,使公司能够灵活地应对当时的市场条件,通过反向股票分割实现其目标,并以公司的最佳利益行事。倘建议1、建议2或建议3的若干但并非全部将于特别会议上获得批准,公司可全权酌情选择在2026年9月23日之前的任何时间仅实施其中一项已获批准的建议,或不就该等已获批准的建议采取任何行动。
1:7反向拆股的原因
如先前报道,该公司此前未能遵守纳斯达克最低买入价规则。如之前报道的那样,在出现不符合纳斯达克最低买入价规则的情况后,该公司此前已获得并获得了纳斯达克合规宽限期的资格。该公司不再符合参加纳斯达克合规宽限期的资格。因此,如果该公司未能在任何时候保持遵守纳斯达克最低买入价规则,那么它可能会立即从纳斯达克退市。
虽然公司目前遵守了纳斯达克最低买入价规则,但自2024年8月公司
 
16

 
宣布打算赎回,并已赎回其优先股的股份,并以普通股股份支付赎回价格。优先股持有人有权根据每个此类持有人的选择,要求公司以每股25.00美元的赎回价格赎回此类持有人的任何或全部优先股股份,再加上相当于截至赎回日(包括赎回日)所有应计但未支付的股息(如有)的金额,但须遵守《宪章》中规定的此类优先股的条款。该持有人赎回价格可由公司选择以现金或普通股股份(基于紧接适用赎回日期前20个交易日普通股的VWAP,每一条款均在章程中定义)支付。最近,该公司选择以普通股股份支付此类赎回,以增加其普通股权益在资产中的百分比并提高其流动性。
此外,公司过去曾行使其选择赎回优先股股份的权利(受章程中规定的优先股条款的约束),并以普通股股份支付赎回价格,公司未来可能会再次这样做。
我们认为,为满足赎回请求以及与公司可选择的赎回有关而发行的大量普通股对我们普通股的投标价格构成了显着的下行压力。如果我们的普通股价格下跌,根据20天VWAP公式可以发行更多的普通股,这反过来可能会对我们普通股的投标价格造成进一步的下行压力。
提议的1:7反向股票分割旨在向上调整普通股的投标价格,以努力保持符合纳斯达克最低投标价格规则。我们的董事会认为,1:7的反向股票分割比例1:7符合公司的最佳利益,并且这样的比例将提高我们普通股的价格水平,以便我们能够遵守纳斯达克的最低买入价规则。但是,我们无法向您保证,在1:7反向股票分割之后,我们普通股的市场价格将按比例增加,以反映1:7反向股票分割的比例,我们普通股的市场价格将不会下降到拆分前的水平,我们的市值将等于1:7反向股票分割之前的市值,或者我们将能够维持在纳斯达克的上市。
未批准本议案的后果
如果提案2未获得股东批准,可能会对公司造成重大不利后果,包括可能从纳斯达克退市。如果我们的普通股从纳斯达克退市,我们可能会被迫寻求让普通股在场外交易公告板或“粉红单”中交易或报价。这类替代品通常被认为是效率较低的市场,且不如纳斯达克那么广泛,因此不太可取。如果公司的普通股从纳斯达克退市,公司可能会面临重大不利后果,包括:

普通股的市场报价有限;

流动性减少;

确定普通股为“仙股”,这将要求交易公司股票的经纪人遵守更严格的规则,这可能导致其证券在二级交易市场的交易活动水平降低;

公司的新闻和分析师报道量有限;

a未来增发证券或获得额外融资的能力下降;

潜在需要根据适用的国家证券或“蓝天”法登记公司选择发行的任何普通股,以在所需现金无法获得时赎回优先股以代替现金;和

如果无法在特定州完成根据适用的州证券或“蓝天”法律进行的注册,并且无法获得此类赎回所需的现金,则在满足所有其他赎回标准时,可能无法赎回优先股。
 
17

 
尽管做出了上述努力,但无法保证公司最终将保持对纳斯达克最低买入价规则的遵守。
批准本建议的潜在不利影响
我们无法向您保证,如果实施1:7的反向股票分割,将会提高我们的股价并产生预期的效果,以保持对纳斯达克最低买入价规则的遵守。
董事会预计,如果实施1:7的反向股票分割,将提高我们普通股的市场价格,以便我们能够保持对纳斯达克最低买入价规则的遵守。然而,1:7反向股票分割对我们普通股市场价格的影响无法确切预测,类似情况下的公司类似反向股票分割的历史是多种多样的。
我们的普通股在实施1:7反向股票分割后的每股价格有可能不会与由此导致的已发行普通股的股份数量减少成比例上升,并且在持续一段时间内,1:7反向股票分割后的每股市场价格可能不会超过或保持在每股1.00美元以上。即使我们实施1:7的反向股票分割,我们普通股的市场价格也可能由于与1:7的反向股票分割无关的因素而下降,包括我们未来的财务和经营业绩。如果1:7反向股票分割完成,而我们普通股的交易价格下降,作为绝对数字和占我们总市值百分比的下降百分比可能比没有1:7反向股票分割的情况下发生的更大。
实施1:7反向股票分割可能会降低我们普通股的流动性。
考虑到1:7反向股票分割后流通在外的普通股股份数量减少,特别是如果股价没有因此而上涨,实施1:7反向股票分割可能会损害我们普通股的流动性。此外,投资者可能会认为1:7反向股票分割导致的未发行法定股本与已发行股本的比例增加在某些情况下具有反收购效果,因为该比例允许稀释性发行,这可能会阻止某些股东改变董事会的组成或使与另一实体合并的要约收购更难成功完成。董事会不打算让1:7反向拆股产生任何反收购效果。
1:7反向拆股的主要影响
普通股和优先股.
如果1:7反向股票分割在特别会议上获得我们的股东批准,并且公司全权酌情决定实施1:7反向股票分割,公司计划发布新闻稿,宣布1:7反向股票分割的1:7生效日期,并将以作为附录B的拟议1:7修正案的形式向马里兰州SDAT提交修订条款,以在2026年9月23日之前实施1:7反向股票分割。除下文所述的零碎股份处理可能导致的调整外,紧接1:7生效日期之前的每一股已发行普通股将自动自1:7生效日期起变更为基于1:7比例的零碎股份。此外,将根据我公司股权激励计划及其他条款对可发行股票的最大数量进行比例调整。
除可能因处理普通股零碎股份而产生的调整外,如下所述,由于1:7反向股票分割将适用于所有已发行的普通股股份,实施1:7反向股票分割不会改变我们现有股东的相对权利和偏好,也不会影响任何股东在公司的比例股权。例如,在紧接1:7反向股票分割生效之前持有已发行普通股大约百分之二(2%)投票权的持有人通常将在紧接其后继续持有已发行普通股大约百分之二(2%)的投票权。此外,我们普通股的在册股东人数不会受到1:7反向股票分割的影响。
 
18

 
拟议的1:7修正案,如果获得通过,将不会改变我们的普通股或优先股的条款。1:7反向股票分割生效后,普通股股份将拥有相同的投票权以及股息和其他分配的权利,并将在所有其他方面与现在授权的普通股相同。在1:7反向股票分割之后,普通股将保持全额支付和不可评估。
1:7反向股票分割生效后,我们普通股的面值将与1:7反向股票分割的1:7比例成比例增加。然而,董事会将根据MGCL第2-605(a)(2)条行使其权利,此后立即降低拆分后普通股的最终面值,使其保持在每股0.00 1美元。
对授权股份数目的影响。
我们被授权发行的股本总数不受1:7反向股票分割的影响,将保持为十亿(1,000,000,000)股股票,包括九亿(900,000,000)股普通股和一亿(100,000,000)股优先股。尽管股本的法定股份数量不会因1:7反向股票分割而发生变化,但已发行和流通的普通股股份数量将按照1:7反向股票分割的1:7比例减少。因此,1:7反向股票分割将有效地增加可用于未来发行的普通股的授权和未发行股份的数量,其数量相当于1:7反向股票分割所实现的减少数量。普通股授权和未发行股份数量的相对增加将允许在未来融资、股权激励计划和其他可取的公司活动方面发行额外股份的能力,而无需我们的股东在每次考虑采取任何此类行动时批准增加股本的授权数量。如果实施1:7反向股票分割,所有或任何已授权和未发行的普通股股份可能会在未来发行,用于我们的董事会不时认为可取的公司目的和考虑,但受我们章程的任何限制,我们的股东无需采取进一步行动,也无需先向我们的股东提供此类股份。
由于我们的股东没有购买或认购我们任何未发行普通股的优先购买权,未来增发普通股将减少我们当前股东在普通股总流通股中的百分比所有权权益。在我们未来收益和账面价值没有按比例增加的情况下,普通股流通股的数量增加将稀释我们预计的未来每股收益(如果有的话)以及我们所有已发行普通股的每股账面价值。如果这些因素反映在我们普通股的市场价格中,股东投资的潜在变现价值可能会受到不利影响。因此,增发股票可能会对股东投资的潜在变现价值产生不利影响。
上市.
我们的普通股目前在纳斯达克交易。实施1:7的反向股票分割将直接影响我们的普通股在纳斯达克的上市,我们认为1:7的反向股票分割可能会潜在地提高我们的股价,促进遵守纳斯达克的最低买入价规则。在1:7的反向股票分割之后,我们打算让我们的普通股继续在纳斯达克上市,代码为“CMCT”,这取决于我们是否有能力继续遵守纳斯达克的规则,尽管我们的普通股将有一个新的统一证券识别程序编号委员会,该编号用于识别我们的普通股。
“上市公司”地位.
我们的普通股目前是根据《交易法》第12(b)条注册的,我们受《交易法》的“上市公司”定期报告和其他要求的约束。拟议的1:7反向股票分割不会影响我们作为上市公司的地位或根据《交易法》进行的注册。1:7的反向股票分割并非旨在产生《交易法》第13e-3条所涵盖的“私有化交易”的效果。
 
19

 
奇数成交.
很可能,在1:7反向股票分割后,我们的一些股东将拥有不到100股普通股的“零股”。购买或出售不到100股普通股(“零股”交易)可能会导致通过某些经纪商,特别是“全套服务”经纪商的交易成本逐渐增加,而且通常可能比“整数”出售更难。因此,那些在1:7反向股票分割后拥有少于100股的股东可能需要支付更高的交易成本,如果他们随后决定出售他们的股票,可能会遇到一些困难或延迟。
可能的反收购影响.
如果股东批准1:7反向股票分割并且董事会实施1:7反向股票分割,则1:7反向股票分割可能会产生反收购效果,因为这将导致在实施1:7反向股票分割后,股本的法定股份数量相对于已发行股本的股份数量的比例增加。我们的股本法定股份数量的相对增加可能会使董事会更加困难或阻止一方试图通过要约收购或其他方式获得公司控制权的企图。
在公开或非公开出售、合并或类似交易中发行股本将增加有权投票的股本流通股的数量,增加批准公司控制权变更所需的票数,并稀释试图获得公司控制权的一方的利益。任何此类发行都可能剥夺股东可能因试图获得公司控制权而产生的利益,例如实现该尝试可能导致的高于市场价格的溢价。此外,向对董事会友好的人士发行股本可能会使现任高级管理人员和董事的免职变得更加困难,即使这一变化总体上对股东有利。然而,这种反收购效应并不是我们董事会的目的或意图。我们目前无意将获授权但未发行的股本数目的相对增加用于反收购目的。董事会目前无意授权发行额外股本股份,以阻止取得公司控制权的努力(如果出现)。
零碎股份
对于1:7的反向股票分割,将不会发行普通股的零碎股份;相反,原本会因1:7的反向股票分割而获得普通股零碎股份的股东,将获得现金付款,以代替该零碎股份,金额等于股份零碎乘以1:7生效日期纳斯达克股票市场报告的普通股收盘价的乘积。
美国联邦所得税后果
以下摘要描述了1:7反向股票分割对我们普通股持有人的某些重大美国联邦所得税后果。本摘要基于《守则》的所得税条款、据此颁布的美国财政部条例、行政裁决和司法权威,所有这些均自本协议发布之日起生效。美国联邦所得税法的后续发展,包括可能追溯适用的法律变更或不同解释,可能会导致1:7反向股票分割的美国联邦所得税后果与下文讨论的不同。
本摘要并未涉及根据我们普通股持有人的特定情况或可能受特别税收规则约束的持有人可能相关的所有美国联邦所得税后果,包括但不限于银行、保险公司、储蓄机构、其他金融机构、受监管投资公司、房地产投资信托基金、个人控股公司、外国实体、非居民外国人个人、经纪自营商、S公司、合伙企业或其他传递实体、免税组织、美国侨民、对替代最低税负有责任的持有人、选择使用盯市会计方法的证券交易者,证券或货币交易商、功能货币不是美元的我们普通股的持有者、作为“跨式”头寸的一部分或作为“对冲”的一部分持有我们普通股的持有者,
 
20

 
出于联邦所得税目的的“转换”或其他综合投资交易,因就业或其他服务履行而获得我们普通股股份的人,实际或建设性地持有我们普通股百分之十以上(10%)的持有人,或不持有我们普通股作为《守则》中定义的“资本资产”的人(通常是为投资而持有的财产)。如果合伙企业(或出于美国联邦所得税目的归类为合伙企业的其他实体)是我们普通股的受益所有人,合伙企业中合伙人的美国联邦所得税待遇通常将取决于合伙人的地位和合伙企业的活动。持有我们普通股的合伙企业,以及这类合伙企业的合伙人,应就1:7反向股票分割的美国联邦所得税后果咨询他们自己的税务顾问。
本摘要不涉及州、地方、非美国和非所得税法下的税收考虑。此外,尚未就1:7反向股票分割的后果获得法律或税务顾问的裁决或税务意见。
税务事项复杂,1:7反向拆股的税务后果取决于每个股东的具体情况。因此,每个股东应就1:7反向股票分割的美国联邦、州、地方、外国收入和其他税务后果咨询自己的税务顾问。
就本讨论而言,“美国持有人”是普通股的受益所有人,即,就美国联邦所得税而言:

美国公民或居民个人;

在美国、其任何州或哥伦比亚特区的法律中或根据法律创建或组织的公司(或任何其他为美国联邦所得税目的应作为公司征税的实体);

遗产,无论其来源如何,其收入均需缴纳美国联邦所得税;或者

信托(i)其管理受美国法院的主要监督,且有一名或多名美国人有权控制信托的所有实质性决定,或(ii)已根据适用的财政部条例作出有效选择被视为国内信托。
就美国联邦所得税目的而言,“非美国持有人”是普通股的受益所有人,而非美国持有人或美国联邦所得税目的的合伙企业。
1:7反向拆股的税务后果
1:7的反向股票分割应该构成美国联邦所得税目的的“资本重组”。除下文所述的代替零碎股份而收到的现金外,美国持有人不应确认因1:7反向股票分割而产生的收益或损失。美国持有人根据1:7反向股票分割收到的普通股股份的合计计税基础应等于美国持有人在交出的普通股股份中的合计计税基础(不包括分配给普通股任何零碎股份的任何部分),该美国持有人在收到的普通股股份中的持有期应包括交出的普通股股份的持有期。根据《守则》颁布的财政部条例规定了将根据1:7反向股票分割交出的普通股股份的计税基础和持有期分配给根据1:7反向股票分割收到的普通股股份的详细规则。持有在不同日期以不同价格获得的普通股股票的美国持有人应就此类股票的计税基础和持有期限的分配问题咨询其税务顾问。
根据1:7反向股票分割收到现金代替普通股的零碎股份将是美国联邦所得税目的的应税交易。美国持有人收到现金以换取零碎股份,通常会为美国联邦所得税目的确认收益或损失,等于收到的代替零碎股份的现金金额与美国持有人调整后的税基分配给零碎股份的部分之间的差额(如果有的话)。
 
21

 
非美国持有者
根据下文对备用预扣税的讨论,非美国持有人一般不会因1:7反向股票分割导致的任何收益或损失缴纳美国联邦所得税或预扣税,包括收到的现金代替部分普通股,前提是(a)此类收益或损失与该非美国持有人在美国开展的贸易或业务没有有效联系(或者,如果适用某些所得税条约,则不归属于非美国持有人在美国的常设机构),(b)对于作为个人的非美国持有人,该非美国持有人在1:7反向股票分割的纳税年度内在美国停留的时间少于183天,且满足其他条件,且(c)该非美国持有人遵守某些认证要求。如果这种收益与非美国持有人在美国进行贸易或业务有效相关,并且如果适用的所得税条约如此规定,该收益可归属于非美国持有人在美国维持的常设机构或固定基地,则非美国持有人将按正常税率和适用于美国持有人的方式按净收入基础征税,如果非美国持有人是公司,则按30%的税率征收额外的分支机构利得税,或适用的所得税条约可能规定的较低税率,也可能适用。如果非美国持有人是在1:7反向股票分割的纳税年度内在美国停留183天或以上的个人,且满足某些其他要求,则非美国持有人将对我们普通股股份交换的净收益征收30%的税(或美国与该持有人居住国之间适用的所得税条约可能规定的较低税率),该税可能会被非美国持有人的某些美国来源的资本损失(如果有)所抵消。
信息报告和备份扣留
普通股持有人根据1:7反向股票分割收到的现金付款可能会受到信息报告的约束,如果持有人未能遵守某些认证程序或以其他方式确立备用预扣税豁免,也可能会按照美国国税局规定的适用税率(目前为24%)进行备用预扣税。备用预扣税不是额外的美国联邦所得税。相反,备用预扣税对象的美国联邦所得税负债将减少预扣税额。如果备用预扣税导致多缴税款,只要及时向美国国税局提供所需信息,就可以获得退款。
会计后果
在1:7反向股票分割的1:7生效日期之后,如果有的话,净收益或亏损以及每股账面净值将会增加,因为发行在外的股票将会减少。我们预计不会因1:7反向股票拆分而产生任何其他会计后果。
股份交换
以记账形式持有的股份
公司登记股东可以在我们的转让代理人处以电子记账式形式持有其部分或全部股份,并获得一份反映其账户中登记的股份数量的对账单。

若以记账式形式持有记名股票,则在1:7反向股票分割生效后,无需采取任何行动以记账式形式接收股票。

交易对账单将在1:7生效日期后尽快由我们的转让代理自动发送至您的记录地址,表明您持有的股份数量。
以“街道名称”持有的股份
在实施1:7反向股票分割后,我们打算将通过银行、经纪人或其他代名人以“街道名称”持有我们股票的股东,与其股票登记在其名下的登记股东同等对待。银行、经纪商和其他被提名人将被指示对其以“街道名称”持有我们股票的实益持有人实施1:7的反向股票分割。
 
22

 
然而,这类银行、券商和其他代名人处理1:7反向股票分割的程序可能与注册股东不同。如果您在银行、经纪人或其他代名人处以“街道名称”持有您的股份,如果您有这方面的任何问题,我们鼓励您与您的银行、经纪人或代名人联系。
评估权
根据马里兰州法律或我们的章程或章程,股东没有与1:7反向股票分割相关的评估权。
本议案中若干人士的权益
当您考虑我们董事会的建议投票赞成本提案2时,您应该知道,我们的某些董事和高级管理人员由于拥有普通股股份而与本提案有利益关系。然而,我们并不认为我们的董事和高级管理人员在这项建议中拥有不同于或大于我们任何其他股东的利益。
《宪章》拟议的1:7修正案案文
本代理声明附录B中提议的1:7修订反映了实现1:7反向股票分割的修订全文,这对本提案2中的摘要进行了限定。1:7反向股票分割将在向马里兰州SDAT提交修订条款并生效后生效。敦促股东阅读附录B的实际文本。如果本摘要与附录B中提议的1:7修正案的文本存在冲突,则适用附录B中规定的条款。
所需投票
本议案2需获得有权投的全体表决票过半数票的赞成票,方可通过议案2。就本提案2的表决而言,弃权和经纪人未投票将被视为出席,以确定是否存在法定人数。但是,如果您没有指示您的经纪人如何对此提案进行投票,并且您的经纪人没有对这些股份进行投票,您的股份将被视为经纪人无票。弃权、券商不投票和其他未投票的股份将与“反对”本议案2的投票具有同等效力。股东可以投票“,” “反对,”或“弃权”关于本提案2。
我们预计该提案2将被视为适用的证券交易所规则下的例行事项。因此,在没有贵方具体指示的情况下,贵方的银行、经纪人或其他代名人将拥有就本议案2投票表决贵方股份的酌处权。然而,我们了解到,某些券商在没有你的投票指示的情况下,甚至选择不对“常规”事项进行投票。如果你的银行、经纪人或其他被提名人做出了这一决定,而你没有提供投票指示,你的投票将不会被投。因此,我们敦促您指示您的银行、经纪人或其他代名人如何投票,方法是按指示返回您的投票材料,或从您的经纪人或其他代名人处获得代理,以便亲自在特别会议上对您的股份进行投票。经纪人不投票将与投票具有同等效力“反对”本议案2。
董事会一致建议股东投票“”这一提议的批准2。
 
23

 
Proposal3
批准修订我们的章程以实施1:10反向股票分割
概述
在特别会议上,我们的股东将被要求批准对我们章程的修订,以实现1:10的反向股票分割。1:10反向股票分割是按1:10的比例合并普通股。
如果我们的股东批准了1:10的反向股票分割,那么公司可酌情在2026年9月23日之前的任何时间以1:10的比例实施1:10的反向股票分割。我们的董事会认为,以1:10的比例进行1:10的反向股票分割旨在最大限度地为公司及其股东带来预期利益。在确定1:10反向股票分割的1:10比例时,我们的董事会考虑了(其中包括)以下因素:

我们普通股的历史交易价格和交易量;

我们普通股当时的交易价格和交易量以及1:10反向股票分割对我们普通股交易市场的预期影响;

我们有能力让我们的普通股继续在纳斯达克上市,包括维持在纳斯达克注册的普通股所需数量;

1:10反向股票分割对我们筹集额外融资能力的预期影响;

优先股赎回对普通股投标价格造成的潜在下行压力;以及

普遍的一般市场和经济状况。
如果1:10反向股票分割获得我们的股东批准,并且公司全权酌情决定实施1:10反向股票分割,我们将发布新闻稿,宣布1:10反向股票分割的1:10生效日期(定义见下文),并将提交修订条款,基本上以附录C所附的形式(“建议1:10修订”),实现1:10反向拆股。1:10反向股票分割自《修订章程》规定的生效时间起生效(“1:10生效日期”),在《修正条款》被马里兰州SDAT接受备案后。1:10的生效日期不迟于2026年9月23日。
倘建议1、建议2及建议3各自于特别会议上获得通过,公司可全权酌情选择在2026年9月23日之前的任何时间只执行其中一项已获批准的建议或不执行任何建议。为公司提供酌情权,以根据建议修订所设想的三个比率之一选择实施反向股票分割的交换比率,而不是要求批准单一的固定比率,使公司能够灵活地应对当时的市场条件,通过反向股票分割实现其目标,并以公司的最佳利益行事。倘建议1、建议2或建议3的若干但并非全部将于特别会议上获得批准,公司可全权酌情选择在2026年9月23日之前的任何时间仅实施其中一项已获批准的建议,或不就该等已获批准的建议采取任何行动。
1:10反向拆股的原因
如先前报道,该公司此前未能遵守纳斯达克最低买入价规则。如之前报道的那样,在出现不符合纳斯达克最低买入价规则的情况后,该公司此前已获得并获得了纳斯达克合规宽限期的资格。该公司不再符合参加纳斯达克合规宽限期的资格。因此,如果该公司未能在任何时候保持遵守纳斯达克最低买入价规则,那么它可能会立即从纳斯达克退市。
 
24

 
虽然公司目前遵守了纳斯达克最低买入价规则,但自2024年8月公司宣布有意赎回并已赎回其优先股股份并以普通股股份支付赎回价格以来,普通股投标价格承受了显着的下行压力。优先股持有人有权根据每个此类持有人的选择,要求公司以每股25.00美元的赎回价格赎回此类持有人的任何或全部优先股股份,再加上相当于截至赎回日(包括赎回日)所有应计但未支付的股息(如有)的金额,但须遵守《宪章》中规定的此类优先股的条款。该持有人赎回价格可由公司选择以现金或普通股股份(基于紧接适用赎回日期前20个交易日普通股的VWAP,每一条款均在章程中定义)支付。最近,该公司选择以普通股股份支付此类赎回,以增加其普通股权益在资产中的百分比并提高其流动性。
此外,公司过去曾行使其选择赎回优先股股份的权利(受章程中规定的优先股条款的约束),并以普通股股份支付赎回价格,公司未来可能会再次这样做。
我们认为,为满足赎回请求以及与公司可选择的赎回有关而发行的大量普通股对我们普通股的投标价格构成了显着的下行压力。如果我们的普通股价格下跌,根据20天VWAP公式可以发行更多的普通股,这反过来可能会对我们普通股的投标价格造成进一步的下行压力。
提议的1:10反向股票分割旨在向上调整普通股的投标价格,以努力保持符合纳斯达克最低投标价格规则。我们的董事会认为,1:10的反向股票分割比例1:10符合公司的最佳利益,这样的比例将提高我们普通股的价格水平,以便我们能够遵守纳斯达克最低买入价规则。但是,我们无法向您保证,在1:10反向股票分割之后,我们普通股的市场价格将按比例增加,以反映1:10反向股票分割的比例,我们普通股的市场价格将不会下降到拆分前的水平,我们的市值将等于1:10反向股票分割之前的市值,或者我们将能够维持在纳斯达克的上市。
未批准本议案的后果
如果提案3未获得股东批准,可能会对公司造成重大不利后果,包括可能从纳斯达克退市。如果我们的普通股从纳斯达克退市,我们可能会被迫寻求让普通股在场外交易公告板或“粉红单”中交易或报价。这类替代品通常被认为是效率较低的市场,且不如纳斯达克那么广泛,因此不太可取。如果公司的普通股从纳斯达克退市,公司可能会面临重大不利后果,包括:

普通股的市场报价有限;

流动性减少;

确定普通股为“仙股”,这将要求交易公司股票的经纪人遵守更严格的规则,这可能导致其证券在二级交易市场的交易活动水平降低;

公司的新闻和分析师报道量有限;

a未来增发证券或获得额外融资的能力下降;

潜在需要根据适用的国家证券或“蓝天”法登记公司选择发行的任何普通股,以在所需现金无法获得时赎回优先股以代替现金;和

如果无法在特定州完成根据适用的州证券或“蓝天”法律进行的注册,并且无法获得此类赎回所需的现金,则在满足所有其他赎回标准时,可能无法赎回优先股。
 
25

 
尽管做出了上述努力,但无法保证公司最终将保持对纳斯达克最低买入价规则的遵守。
批准本建议的潜在不利影响
我们无法向您保证,如果实施1:10的反向股票分割,将会提高我们的股价并产生预期的效果,以保持对纳斯达克最低买入价规则的遵守。
董事会预计,如果实施1:10的反向股票分割,将提高我们普通股的市场价格,以便我们能够保持对纳斯达克最低买入价规则的遵守。然而,1:10反向股票分割对我们普通股市场价格的影响无法确切预测,类似情况下的公司类似反向股票分割的历史是多种多样的。
我们的普通股在实施1:10反向股票分割后的每股价格可能不会与由此导致的已发行普通股股份数量的减少成比例上升,并且1:10反向股票分割后的每股市场价格可能不会超过或在持续的一段时间内保持在每股1.00美元以上。即使我们实施1:10反向股票分割,我们普通股的市场价格也可能会由于与1:10反向股票分割无关的因素而下降,包括我们未来的财务和经营业绩。如果1:10反向股票分割完成,而我们普通股的交易价格下降,作为绝对数字和占我们总市值百分比的下降百分比可能比没有1:10反向股票分割的情况下发生的更大。
实施1:10反向股票分割可能会降低我们普通股的流动性。
考虑到1:10反向股票分割后流通在外的普通股股份数量减少,特别是如果股价没有因此而上涨,我们普通股的流动性可能会因实施1:10反向股票分割而受到损害。此外,投资者可能会认为1:10反向股票分割导致的未发行法定股本与已发行股本的比例增加在某些情况下具有反收购效果,因为该比例允许稀释性发行,这可能会阻止某些股东改变董事会的组成或使与另一实体合并的要约收购更难成功完成。董事会不打算让1:10反向拆股产生任何反收购效果。
1:10反向拆股的主要影响
普通股和优先股.
如果1:10反向股票分割在特别会议上获得我们的股东批准,并且公司全权酌情决定实施1:10反向股票分割,公司计划发布新闻稿,宣布1:10反向股票分割的1:10生效日期,并将以作为附录C的拟议1:10修正案的形式向马里兰州SDAT提交修订条款,以在2026年9月23日之前实施1:10反向股票分割。除下文所述的零碎股份处理可能导致的调整外,紧接1:10生效日期之前的每一股已发行普通股股份将自动更改为基于1:10比例的零碎股份,自1:10生效日期起。此外,还将根据我公司股权激励计划及其他条款对可发行股票的最大数量进行比例调整。
除可能因处理普通股零碎股份而产生的调整外,如下所述,由于1:10反向股票分割将适用于所有已发行的普通股股份,实施1:10反向股票分割不会改变我们现有股东的相对权利和偏好,也不会影响任何股东在公司的比例股权。例如,紧接1:10反向股票分割生效前持有已发行普通股大约百分之二(2%)投票权的持有人一般会继续持有
 
26

 
紧随其后的已发行普通股的大约百分之二(2%)的投票权。此外,我们普通股的在册股东人数不会受到1:10反向股票分割的影响。
拟议的1:10修正案,如果获得通过,将不会改变我们的普通股或优先股的条款。1:10反向股票分割生效后,普通股股份将拥有相同的投票权以及股息和其他分配的权利,并将在所有其他方面与现在授权的普通股相同。在1:10反向股票分割之后,普通股将保持全额支付和不可评估。
1:10反向股票分割生效后,我们普通股的面值将与1:10反向股票分割的1:10比例成比例增加。然而,董事会将根据MGCL第2-605(a)(2)条行使其权利,此后立即降低拆分后普通股的最终面值,使其保持在每股0.00 1美元。
对授权股份数目的影响。
我们被授权发行的股本总数不受1:10反向股票分割的影响,将保持为十亿(1,000,000,000)股股票,包括九亿(900,000,000)股普通股和一亿(100,000,000)股优先股。尽管股本的法定股份数量不会因1:10反向股票分割而发生变化,但已发行和流通的普通股股份数量将按照1:10反向股票分割的1:10比例减少。因此,1:10反向股票分割将有效地增加可用于未来发行的普通股的授权和未发行股份的数量,其数量相当于1:10反向股票分割实现的减少数量。普通股的授权和未发行股份数量的相对增加将允许在未来融资、股权激励计划和其他可取的公司活动方面发行额外股份的能力,而无需我们的股东在每次考虑采取任何此类行动时批准增加股本的授权股份数量。如果实施1:10反向股票分割,所有或任何已授权和未发行的普通股股份可能会在未来发行,用于我们的董事会不时认为可取的公司目的和考虑,但受我们章程的任何限制,无需我们的股东采取进一步行动,也无需先向我们的股东提供此类股份。
由于我们的股东没有购买或认购我们任何未发行普通股的优先购买权,未来增发普通股将减少我们当前股东在普通股总流通股中的百分比所有权权益。在我们未来收益和账面价值没有按比例增加的情况下,普通股流通股的数量增加将稀释我们预计的未来每股收益(如果有的话)以及我们所有已发行普通股的每股账面价值。如果这些因素反映在我们普通股的市场价格中,股东投资的潜在变现价值可能会受到不利影响。因此,增发股票可能会对股东投资的潜在变现价值产生不利影响。
上市.
我们的普通股目前在纳斯达克交易。实施1:10的反向股票分割将直接影响我们的普通股在纳斯达克的上市,我们认为1:10的反向股票分割可能会潜在地提高我们的股价,促进遵守纳斯达克的最低买入价规则。在1:10反向股票分割之后,我们打算让我们的普通股继续在纳斯达克上市,代码为“CMCT”,这取决于我们是否有能力继续遵守纳斯达克的规则,尽管我们的普通股将有一个新的统一证券识别程序编号委员会,该编号用于识别我们的普通股。
“上市公司”地位.
我们的普通股目前是根据《交易法》第12(b)条注册的,我们受《交易法》的“上市公司”定期报告和其他要求的约束。建议的1:10反向股票分割不会影响我们作为公众公司的地位或根据
 
27

 
《交易法》。1:10的反向股票分割并非旨在产生《交易法》第13e-3条所涵盖的“私有化交易”的效果。
奇数成交.
很可能,在1:10反向股票分割后,我们的一些股东将拥有不到100股普通股的“零股”。购买或出售不到100股普通股(“零股”交易)可能会导致通过某些经纪商,特别是“全套服务”经纪商的交易成本逐渐增加,而且通常可能比“整数”出售更难。因此,那些在1:10反向股票分割后拥有少于100股的股东可能需要支付更高的交易成本,如果他们随后决定出售他们的股票,可能会遇到一些困难或延迟。
可能的反收购影响.
如果股东批准1:10反向股票分割并且董事会实施1:10反向股票分割,则1:10反向股票分割可能会产生反收购效果,因为这将导致在实施1:10反向股票分割后,股本的法定股份数量相对于已发行股本的股份数量的比例增加。我们的股本法定股份数量的相对增加可能会使董事会更加困难或阻止一方试图通过要约收购或其他方式获得公司控制权的企图。
在公开或非公开出售、合并或类似交易中发行股本将增加有权投票的股本流通股的数量,增加批准公司控制权变更所需的票数,并稀释试图获得公司控制权的一方的利益。任何此类发行都可能剥夺股东可能因试图获得公司控制权而产生的利益,例如实现该尝试可能导致的高于市场价格的溢价。此外,向对董事会友好的人士发行股本可能会使现任高级管理人员和董事的免职变得更加困难,即使这一变化总体上对股东有利。然而,这种反收购效应并不是我们董事会的目的或意图。我们目前无意将获授权但未发行的股本数目的相对增加用于反收购目的。董事会目前无意授权发行额外股本股份,以阻止取得公司控制权的努力(如果出现)。
零碎股份
将不会就1:10反向股票分割发行普通股零碎股份;相反,原本会因1:10反向股票分割而获得普通股零碎股份的股东将收到现金付款,以代替该零碎股份,金额等于股份零碎乘以1:10生效日期纳斯达克股票市场报告的普通股收盘价的乘积。
美国联邦所得税后果
以下摘要描述了1:10反向股票分割对我们普通股持有人的某些重大美国联邦所得税后果。本摘要基于《守则》的所得税条款、根据《守则》颁布的美国财政部条例、行政裁决和司法权威,所有这些均自本守则发布之日起生效。美国联邦所得税法的后续发展,包括可能追溯适用的法律变更或不同解释,可能会导致1:10反向股票分割的美国联邦所得税后果与下文讨论的不同。
本摘要并未涉及根据我们普通股持有人的特定情况或可能受特别税收规则约束的持有人可能相关的所有美国联邦所得税后果,包括但不限于银行、保险公司、储蓄机构、其他金融机构、受监管投资公司、房地产投资信托基金、个人控股公司、外国实体、非居民外国人个人、经纪自营商、S公司、合伙企业或其他传递实体、免税组织、美国侨民、对替代最低税负责任的持有人、选择使用盯市会计方法的证券交易者,经销商在
 
28

 
证券或货币,功能货币不是美元的普通股持有者,持有我们的普通股作为“跨式”头寸的一部分或作为“对冲”的一部分的持有者,出于联邦所得税目的的“转换”或其他综合投资交易,因就业或其他服务履行而获得我们普通股股份的人,实际或建设性地持有我们普通股百分之十以上(10%)的持有人,或不持有我们普通股作为《守则》中定义的“资本资产”的人(通常是为投资而持有的财产)。如果合伙企业(或出于美国联邦所得税目的归类为合伙企业的其他实体)是我们普通股的受益所有人,合伙企业中合伙人的美国联邦所得税待遇通常将取决于合伙人的地位和合伙企业的活动。持有我们普通股的合伙企业,以及这类合伙企业的合伙人,应就1:10反向股票分割的美国联邦所得税后果咨询他们自己的税务顾问。
本摘要不涉及州、地方、非美国和非所得税法下的税收考虑。此外,尚未就1:10反向股票分割的后果获得法律或税务顾问的裁决或税务意见。
税务事项复杂,1:10反向拆股的税务后果取决于每个股东的具体情况。因此,每个股东应就1:10反向股票分割的美国联邦、州、地方、外国收入和其他税务后果咨询自己的税务顾问。
就本讨论而言,“美国持有人”是普通股的受益所有人,即,就美国联邦所得税而言:

美国公民或居民个人;

在美国、其任何州或哥伦比亚特区的法律中或根据法律创建或组织的公司(或任何其他为美国联邦所得税目的应作为公司征税的实体);

遗产,无论其来源如何,其收入均需缴纳美国联邦所得税;或者

信托(i)其管理受美国法院的主要监督,且有一名或多名美国人有权控制信托的所有实质性决定,或(ii)已根据适用的财政部条例作出有效选择被视为国内信托。
就美国联邦所得税目的而言,“非美国持有人”是普通股的受益所有人,而非美国持有人或美国联邦所得税目的的合伙企业。
1:10反向拆股的税务后果
1:10的反向股票分割应该构成美国联邦所得税目的的“资本重组”。除下文所述的代替零碎股份而收到的现金外,美国持有人不应确认因1:10反向股票分割而产生的收益或损失。美国持有人根据1:10反向股票分割收到的普通股股份的合计计税基础应等于美国持有人在交出的普通股股份中的合计计税基础(不包括分配给普通股任何零碎股份的任何部分),该美国持有人在收到的普通股股份中的持有期应包括交出的普通股股份的持有期。根据《守则》颁布的财政部条例规定了将根据1:10反向股票分割交出的普通股股份的计税基础和持有期分配给根据1:10反向股票分割收到的普通股股份的详细规则。持有在不同日期以不同价格收购的普通股股票的美国持有人应就此类股票的计税基础和持有期限的分配问题咨询其税务顾问。
根据1:10反向股票分割收到现金代替普通股的零碎股份将是美国联邦所得税目的的应税交易。美国持有人获得现金以换取零碎股份,一般会为美国联邦所得税目的确认收益或损失相等
 
29

 
到收到的代替零碎股份的现金金额与美国持有人调整后的税基分配给零碎股份的部分之间的差额(如果有的话)。
非美国持有者
受制于下文对备用预扣税的讨论,非美国持有人一般不会因1:10反向股票分割导致的任何收益或损失而被征收美国联邦所得税或预扣税,包括就收到的现金代替普通股的零碎份额而言,前提是(a)此类收益或损失与该非美国持有人在美国的贸易或业务行为没有有效联系(或者,如果适用某些所得税条约,则不归属于非美国持有人在美国的常设机构),(b)对于作为个人的非美国持有人,该非美国持有人在1:10反向股票分割的纳税年度内在美国停留的时间少于183天,且满足其他条件,且(c)该非美国持有人遵守某些认证要求。如果这种收益与非美国持有者在美国进行的贸易或业务有效关联,如果适用的所得税条约如此规定,该收益可归属于非美国持有者在美国维持的常设机构或固定基地,则非美国持有者将按正常税率和适用于美国持有者的方式按净收入基础征税,如果非美国持有者是一家公司,则按30%的税率征收额外的分支机构利得税,或适用的所得税条约可能规定的较低税率,也可能适用。如果非美国持有人是在1:10反向股票分割的纳税年度内在美国停留183天或以上的个人,且满足某些其他要求,则非美国持有人将对我们普通股股份交换的净收益征收30%的税(或美国与该持有人居住国之间适用的所得税条约可能规定的较低税率),这可能会被非美国持有人的某些美国来源的资本损失(如果有的话)所抵消。
信息报告和备份扣留
普通股持有人根据1:10反向股票分割收到的现金付款可能需要提交信息报告,如果持有人未能遵守某些认证程序或以其他方式确立备用预扣税豁免,也可能需要按照美国国税局规定的适用税率(目前为24%)缴纳备用预扣税。备用预扣税不是额外的美国联邦所得税。相反,备用预扣税对象的美国联邦所得税负债将减少预扣税额。如果备用预扣税导致多缴税款,只要及时向美国国税局提供所需信息,就可以获得退款。
会计后果
在1:10反向股票分割的1:10生效日期之后,如果有的话,净收益或亏损以及每股账面净值将会增加,因为发行在外的股票将会减少。我们预计不会因1:10反向股票拆分而产生任何其他会计后果。
股份交换
以记账形式持有的股份
公司登记股东可以在我们的转让代理人处以电子记账式形式持有其部分或全部股份,并获得一份反映其账户中登记的股份数量的对账单。

以记账式形式持有记名股票的,在1:10反向股票分割生效后,无需采取任何行动以记账式形式接收股票。

交易对账单将在1:10生效日期后尽快由我们的转让代理自动发送至您的记录地址,注明您持有的股份数量。
以“街道名称”持有的股份
在实施1:10反向股票分割后,我们打算通过银行、经纪人或其他代名人,以与登记相同的方式对待以“街道名称”持有我们股票的股东
 
30

 
股票登记在其名下的股东。银行、经纪商和其他被提名人将被指示对其以“街道名称”持有我们股票的实益持有人实施1:10的反向股票分割。然而,这类银行、券商和其他被提名人处理1:10反向股票分割的程序可能与注册股东不同。如果您在银行、经纪人或其他代名人处以“街道名称”持有您的股份,如果您有这方面的任何问题,我们鼓励您与您的银行、经纪人或代名人联系。
评估权
根据马里兰州法律或我们的章程或章程,股东没有与1:10反向股票分割相关的评估权。
本议案中若干人士的权益
当您考虑我们董事会的建议投票赞成本提案3时,您应该知道,我们的某些董事和高级管理人员由于拥有普通股股份而与本提案有利益关系。然而,我们不认为我们的董事和高级管理人员在此提案中拥有与我们任何其他股东不同或更大的利益。
《宪章》拟议的1:10修正案案文
本委托书附录C中提议的1:10修订反映了实现1:10反向股票分割的修订全文,这对本提案3中的摘要有保留。1:10反向股票分割将在向马里兰州SDAT提交修订条款并生效后生效。敦促股东阅读附录C的实际文本。如果本摘要与附录C中提议的1:10修正案的文本存在冲突,则适用附录C中规定的条款。
所需投票
本议案3需获得有权投的全体表决票过半数票的赞成票,方可通过议案3。就本提案3的表决而言,弃权和经纪人未投票将被视为出席,以确定是否存在法定人数。但是,如果您没有指示您的经纪人如何对此提案进行投票,并且您的经纪人没有对这些股份进行投票,您的股份将被视为经纪人无票。弃权、券商不投票和其他未投票的股份将与“反对”本议案3的投票具有同等效力。股东可以投票“,” “反对,”或“弃权”关于本议案3。
我们预计该提案3将被视为适用的证券交易所规则下的例行事项。因此,在没有贵方具体指示的情况下,贵方的银行、经纪人或其他代名人将拥有就本议案3投票表决贵方股份的酌处权。然而,我们了解到,某些券商在没有你的投票指示的情况下,甚至选择不对“常规”事项进行投票。如果你的银行、经纪人或其他被提名人做出了这一决定,而你没有提供投票指示,你的投票将不会被投。因此,我们敦促您指示您的银行、经纪人或其他代名人如何投票,方法是按指示返回您的投票材料,或从您的经纪人或其他代名人处获得一名代理人,以便亲自在特别会议上对您的股份进行投票。经纪人不投票将与投票具有同等效力“反对”本议案3。
董事会一致建议股东投票“”对这一提案3的批准。
 
31

 
Proposal4
如有必要或可取,特别会议休会以征求更多代理
股东被要求授权代理持有人投票赞成特别会议的一次或多次休会,如有必要,如果在特别会议召开时没有足够的票数来批准提案1、提案2或提案3,则可以征集额外的代理。如果本提案4获得批准,特别会议可延期一次或多次至未来日期。如果休会征集额外的代理,已经提交代理的股东将可以在使用前的任何时间撤销。
另外,根据附例,如出席特别会议的有权投票的已发行股份少于过半数,特别会议主席可暂停特别会议,而无须另行通知。如果在此种休会后出席重新召开的特别会议或派代表出席会议的人数达到法定人数,则可以处理原本可能在特别会议上处理的任何事务。在马里兰州法律允许的范围内,公司还保留完全权力,可以延期特别会议,或在特别会议召开之前延迟或推迟特别会议,无论是否征得任何股东的同意。
如发生任何休会,不论根据本建议4或其他方式,只要特别会议在根据附例的记录日期后120天内举行,公司将有权使用记录日期作为确定有权在特别会议上投票的股东的日期。
所需投票
通过提案4需要获得出席达到法定人数的特别会议所投过半数票的赞成票。就本提案4的表决而言,弃权和经纪人未投票将被视为出席,以确定是否存在法定人数。但是,如果您没有指示您的经纪人如何对此提案进行投票,并且您的经纪人没有对这些股份进行投票,您的股份将被视为经纪人无票。票弃权、券商不投票及其他股份未投票对本议案4的表决结果不产生影响。股东可以投票“,” “反对,”或“弃权”关于本提案4。
我们预计该提案4将被视为适用的证券交易所规则下的例行事项。因此,在没有贵方具体指示的情况下,贵方的银行、经纪人或其他代名人将有酌情权就本议案4投票表决贵方的股份。然而,我们了解到,某些券商在没有你的投票指示的情况下,甚至选择不对“常规”事项进行投票。如果你的银行、经纪人或其他被提名人做出了这一决定,而你没有提供投票指示,你的投票将不会被投。因此,我们敦促您指示您的银行、经纪人或其他代名人如何投票,方法是按指示返回您的投票材料,或从您的经纪人或其他代名人处获得代理,以便亲自在特别会议上对您的股份进行投票。经纪人未投票将不计入有权对本提案4进行投票的投票,因此对投票结果没有影响。
董事会一致建议股东投票“”这一提议的批准4。
 
32

 
S安全Ownership CertainBenefficialOwners M管理 R兴高采烈
S托架M阿特斯
董事和执行官
下表列出了关于截至记录日期我们的普通股、A系列优先股和A1系列优先股的实益所有权的信息,由(1)每个指定的执行官、(2)每个现任董事和(3)所有执行官和董事作为一个整体。在每种情况下,类别拥有的百分比反映了截至记录日期已发行普通股的股份数量。截至本委托书之日,公司没有任何指定的执行官或董事拥有任何D系列优先股。
普通股
A系列
优先股
A1系列
优先股
实益拥有人名称
股数
百分比
编号
股份
百分比
编号
股份
百分比
David Thompson
[102] *
Barry N. Berlin
[113] *
Richard Ressler
[49,908](1)(2) [6.3]% [568,681] [14.1]% [36,663] [0.4]%
Avraham Shemesh
[49,593](1)(3) [6.3]% [568,681] [14.1]% [36,663] [0.4]%
Shaul Kuba
[49,953](1)(3) [6.3]% [568,681] [14.1]% [36,663] [0.4]%
Douglas Bech
[8,993] [1.1]%
玛西·爱德华兹
[8,877] [1.1]%
John Hope Bryant
[8,819] [1.1]%
Elaine Wong
[8,850] [1.1]%
董事和执行官作为一个群体(9人)
[86,032] [10.9]%
*
不到1%。
(1)
【CIM Group,LLC是CIM Urban Sponsor,LLC、CIM CMCTMLP,LLC、CIM Capital Real Property Management,LLC.和CIM Capital IC Management,LLC各自的间接唯一股权成员。CIM Capital IC Management,LLC是CIM Real Assets & Credit Fund的投资顾问。由于在CIM Group,LLC任职,CIM Group的创始人Shaul Kuba、Richard Ressler和Avraham Shemesh可被视为实益拥有CIM CMCTMLP,LLC直接拥有的[ 37,414 ]股普通股和[ 568,681 ]股A系列优先股、CIM Urban Sponsor,LLC直接拥有的[ 1,930 ]股普通股、CIM Real Assets & Credit Fund直接拥有的[ 1,584 ]股普通股以及CIM Capital Real Property Management,LLC直接拥有的[ 8,480 ]股和[ 36,663 ]股普通股和A1系列优先股。Ressler、Shemesh和Kuba先生分享了对所有这些股份的投票权和投资权。Ressler先生、Shemesh先生和Kuba先生各自放弃对所有这些股份的实益所有权,但他在其中的金钱利益除外。
(2)
Ressler先生对Ressler先生为其家庭成员的利益而成立的信托子公司所持有的[ 500 ]股普通股拥有唯一的投票权和投资权。
(3)
Shemesh先生和Kuba先生各自拥有对各自家族信托持有的[ 185 ]股普通股的投票权和投资权,他们是这些信托的设保人。]
我们5%以上普通股的实益拥有人
下表列出了关于我们普通股、A系列优先股和A1系列优先股的实益所有权的某些信息,这些信息基于截至记录日期我们所知道的每个实益拥有我们普通股5%以上的人向SEC提交的文件。在每种情况下,类别拥有的百分比反映了截至记录日期已发行普通股的股份数量。
 
33

 
普通股
A系列
优先股
A1系列
优先股
实益拥有人名称及地址
股数
百分比
编号
股份
百分比
股数
百分比
Richard Ressler(1)
[49,908](2) [6.3]% [568,681] [14.1]% [36,663] [0.4]%
Avraham Shemesh(1)
[49,593](3) [6.3]% [568,681] [14.1]% [36,663] [0.4]%
Shaul Kuba(1)
[49,593](3) [6.3]% [568,681] [14.1]% [36,663] [0.4]%
(1)
[ Messrs. Ressler,Shemesh and Kuba的营业地址,就本协议而言,是c/o CIM Group,LLC,4700 Wilshire Boulevard,Los Angeles,California 90010。CIM Group,LLC是CIM Urban Sponsor,LLC、CIM CMCTMLP,LLC、CIM Capital Real Property Management,LLC和CIM Capital IC Management,LLC各自的间接唯一股权成员。CIM Capital IC Management,LLC是CIM Real Assets & Credit Fund的投资顾问。由于在CIM Group,LLC任职,CIM Group的创始人Shaul Kuba、Richard Ressler和Avraham Shemesh可被视为实益拥有CIM CMCTMLP,LLC直接拥有的[ 37,414 ]股普通股和[ 568,681 ]股A系列优先股、CIM Urban Sponsor,LLC直接拥有的[ 1,930 ]股普通股、CIM Real Assets & Credit Fund直接拥有的[ 1,584 ]股普通股以及CIM Capital Real Property Management,LLC直接拥有的[ 8,480 ]股和[ 36,663 ]股普通股和A1系列优先股。Ressler、Shemesh和Kuba先生分享了对所有这些股份的投票权和投资权。Ressler先生、Shemesh先生和Kuba先生各自放弃对所有这些股份的实益所有权,但他在其中的金钱利益除外。
(2)
Ressler先生对Ressler先生为其家庭成员的利益而成立的信托子公司所持有的[ 500 ]股普通股拥有唯一的投票权和投资权。
(3)
Shemesh先生和Kuba先生各自拥有对各自家族信托持有的[ 185 ]股普通股的投票权和投资权,他们是这些信托的设保人。]
杂项
其他事项
根据附例及MGCL的规定,只有特别会议通告所列的事项才可提交特别会议。
代理材料的持有
美国证交会通过的规则允许公司和中介机构(例如经纪商)通过向这些股东交付一份单一的代理声明来满足关于两个或多个股东共享同一地址的代理声明和年度报告的交付要求。多位账户持有人为公司股东的券商这样“家喻户晓”公司代理材料。如果您是受影响的股东并且不再希望参与持家,或者如果您正在收到多份代理材料和股东特别会议通知并且希望只收到一份,请通知您的经纪人,如果您的股票是在经纪账户中持有,或者我们的转让代理,ComputerShare Trust Company,N.A.,地址为150 Royall Street,Suite 101,Canton,MA 02021,如果您是您股票的记录持有人,请通知您的经纪人或(866)242-1266。
此外,根据向公司股东关系部提出的书面或口头请求,我们将立即向任何受影响的股东提供额外的代理材料副本或股东特别会议通知(如适用),地址为5956 Sherry Lane,Suite 700,Dallas,Texas 75225或(972)349-3200。
 
34

 
前瞻性陈述
本代理声明包含经修订的1933年《证券法》第27A条和《交易法》第21E条含义内的某些前瞻性陈述,这些陈述旨在涵盖在由此创建的安全港中。这些声明包括管理层对未来运营的计划和目标,包括与我们业务的未来增长和资金可用性相关的计划和目标。此类前瞻性陈述可以通过使用前瞻性术语来识别,例如“可能”、“将”、“项目”、“目标”、“预期”、“打算”、“可能”、“相信”、“预期”、“可能”、“将”、“继续”、“追求”、“潜力”、“预测”、“寻求”、“计划”、“应该”或“目标”或其否定词或其他变体或类似词或短语。除其他外,此类前瞻性陈述还包括关于我们与未来增长和前景相关的计划和目标的陈述。此类前瞻性陈述基于我们的管理层根据其经验做出的特定假设,以及其对预期未来发展的看法以及它认为在当时情况下适当的其他因素。前瞻性陈述必然是反映我们管理层判断的估计,涉及许多风险和不确定性,可能导致实际结果与前瞻性陈述所暗示的结果存在重大差异。这些风险和不确定性包括与(i)我们的开发活动的时间、形式和运营影响、(ii)我们将原地租金提高到现有市场租金以及维持或提高入住率的能力、(iii)市场租金的波动、(iv)通货膨胀和持续较高的利率对我们的运营和盈利能力的影响、以及(v)总体经济、市场和其他条件相关的风险和不确定性,包括高失业率、持续或重新出现的通货膨胀以及经济增长的任何衰退或放缓的影响。可能导致我们的实际结果与我们的预期存在重大差异的其他重要因素在我们的10-K表格年度报告的“第1A项——风险因素”和我们的10-Q表格季度报告的“第1A项——风险因素”中进行了讨论。此处包含的前瞻性陈述基于当前的预期,无法保证这些预期将会实现。与上述相关的假设涉及对(其中包括)未来经济、竞争和市场状况以及未来商业决策的判断,所有这些都难以或不可能准确预测,其中许多超出我们的控制范围。尽管我们认为前瞻性陈述背后的假设是合理的,但任何假设都可能不准确,因此,无法保证本委托书中明示或暗示的前瞻性陈述将被证明是准确的。鉴于本文明示或暗示的前瞻性陈述中固有的重大不确定性,包含此类信息不应被视为我们或任何其他人表示我们的目标和计划将会实现。告诫读者不要过分依赖前瞻性陈述。前瞻性陈述仅在作出之日起生效。我们不承诺更新它们以反映在作出之日之后发生的变化,除非适用法律可能要求。
 
35

 
附录A
创意媒体与社区信托公司
修正条款— 1:4反向股票分割
这是为了证明:
第一:现对马里兰州公司(“公司”)的章程(“章程”)进行修订,规定自生效时间(定义见下文)起,公司在生效时间之前已发行和流通的每4股普通股(每股面值0.00 1美元)应合并为一股公司已发行和流通的普通股(每股面值0.04美元)(“普通股”)。自生效时间起,将不会或将不会继续发行公司普通股的零碎股份,每个有权获得零碎股份的股东应有权获得代替现金,金额等于股份的零碎乘以在生效时间之日纳斯达克股票市场报告的普通股收盘价的乘积。
第二:上述章程的修订已获董事会妥为告知,并按法律规定获公司股东批准。
第三次:公司的认可股份并无因上述章程修订而增加。
第四次:本修正条款自[ ]日起生效,美国东部时间202 [ ]日(“生效时间”)起生效。
第五次:以下签署人承认本修订条款是公司的公司行为,而就所有须经宣誓核实的事项或事实而言,以下签署人承认,据其所知、所知和所信,这些事项和事实在所有重大方面都是真实的,并且本声明是根据作伪证的处罚作出的。
[签名页如下]
 
A-1

 
作为证明,公司已安排以其名义并由其[ ]代表其签署本修订条款,并由其[ ]在[ ]、202 [ ]的这个[ ]日证明。
ATTEST:Creative Media & Community Trust
株式会社
签名:  (封印)
姓名:
[                 ]
姓名:[ ]
职位:
[                 ]
标题:[ ]
 
A-2

 
附录b
创意媒体与社区信托公司
修正条款— 1:7反向拆股
这是为了证明:
第一:现对马里兰州公司(“公司”)的章程(“章程”)进行修订,规定自生效时间(定义见下文)起,公司在紧接生效时间之前已发行和流通的每7股普通股(每股面值0.00 1美元)应合并为一股公司已发行和流通的普通股(每股面值0.07美元)(“普通股”)。自生效时间起,将不会或将不会继续发行公司普通股的零碎股份,每个有权获得零碎股份的股东应有权获得代替现金,其金额等于股份的零碎乘以生效时间之日纳斯达克股票市场报告的普通股收盘价的乘积。
第二:上述章程的修订已获董事会妥为告知,并按法律规定获公司股东批准。
第三次:公司的认可股份并无因上述章程修订而增加。
第四次:本修订条款自[ ]日起生效,美国东部时间202 [ ]日(“生效时间”)生效。
第五次:以下签署人承认本修订条款是公司的公司行为,而就所有须经宣誓核实的事项或事实而言,以下签署人承认,据其所知、所知和所信,这些事项和事实在所有重大方面都是真实的,并且本声明是根据作伪证的处罚作出的。
[签名页如下]
 
B-1

 
作为证明,公司已安排以其名义并由其[ ]代表其签署本修订条款,并由其[ ]在[ ]、202 [ ]的这个[ ]日证明。
ATTEST:Creative Media & Community Trust
株式会社
签名:  (封印)
姓名:
[                 ]
姓名:[ ]
职位:
[                 ]
标题:[ ]
 
B-2

 
附录C
创意媒体与社区信托公司
修正条款— 1:10反向股票分割
这是为了证明:
第一:特此修订马里兰州公司(“公司”)的章程(“章程”),规定自生效时间(定义见下文)起,在紧接生效时间之前已发行和流通的公司每10股普通股(每股面值0.00 1美元)应合并为一股公司已发行和流通的普通股(每股面值0.010美元)(“普通股”)。自生效时间起,将不会或将不会继续发行公司普通股的零碎股份,每个有权获得零碎股份的股东应有权获得代替现金,其金额等于股份的零碎乘以生效时间之日纳斯达克股票市场报告的普通股收盘价的乘积。
第二:上述章程的修订已获董事会妥为告知,并按法律规定获公司股东批准。
第三次:公司的认可股份并无因上述章程修订而增加。
第四次:本修正条款自[ ]起生效,美国东部时间202 [ ](“生效时间”)起生效。
第五次:以下签署人承认本修订条款是公司的公司行为,而就所有须经宣誓核实的事项或事实而言,以下签署人承认,据其所知、所知和所信,这些事项和事实在所有重大方面都是真实的,并且本声明是根据作伪证的处罚作出的。
[签名页如下]
 
C-1

 
作为证明,公司已安排以其名义并由其[ ]代表其签署本修订条款,并由其[ ]在[ ]、202 [ ]的这个[ ]日证明。
ATTEST:Creative Media & Community Trust
株式会社
签名:  (封印)
姓名:
[                 ]
姓名:[ ]
职位:
[                 ]
标题:[ ]
 
C-2

[MISSING IMAGE: px_25cmctproxy1pg01-bw.jpg]
签名【请在方框内签名】日期签名(共同所有人)dateto vote,在下面用蓝色或黑色墨水标记方块如下:为您的记录保留这一部分This代理卡只有在签名并注明日期时才有效。拆分并返回这一部分onLYV78868-S20571for反对弃权!!!!!!!!!!!!Creative Media & Community Trust CORPORATION5956 SHERRY LANE,SUITE 700DALLAS,TX 75225Vote by InternetBefore the meeting-Go to www.proxyvote.com or scan the QR barcode above Use the Internet to transmit your voting instructions and for electronic delivery ofinformation until 11:59 p.m. eastern time on September 22,2025。访问网站时请准备好您的代理卡,并按照指示获取您的记录和创建电子投票指示表。会议期间-请访问www.virtualshareholdermeeting.com/CMCT2025SM2您可以通过互联网参加会议并在会议期间投票。是否有箭头标记的框中打印的信息可用,并按照说明进行。电话投票-1-800-690-6903截至2025年9月22日美国东部时间晚上11:59前,使用任何按键式电话传送您的投票指示。打电话的时候把你的代理卡拿在手里
然后按照说明进行投票。通过邮寄标记进行投票,在您的代理卡上签名并注明日期,然后将其放入我们提供的已付邮资的信封中退回或退回给投票处理,c/o Broadridge,51 Mercedes Way,Edgewood,NY 11717,以便在美国东部时间2025年9月22日晚上11:59之前收到。Creative Media & Community Trust Corporation董事会建议您投票“赞成”:1。修订公司章程(“章程”),在2026年9月23日之前的任何时间以1:4的比例对公司普通股(每股面值0.00 1美元)(“普通股”)进行反向股票分割;2。修订公司章程,在2026年9月23日之前的任何时间以1:7的比例对普通股进行反向股票分割;3。修订公司章程,在2026年9月23日之前的任何时间以1:10的比例对普通股进行反向股票分割;及4。特别会议休会一次或多次以征集额外代理人,如果在开会时没有足够票数通过议案1、议案2或议案3,请完全按照您在此出现的姓名签名。以律师、被执行人、管理人、其他受托人身份签字时,请按此提供全称。共同所有人应各自亲自签字。所有持有人必须签字。如为公司或合伙企业,请由授权人员签署完整的公司或合伙名称。Scan TOVIEW Materials & Vote wV78869-s20571续并在反面签署

[MISSING IMAGE: px_25cmctproxy1pg02-bw.jpg]
关于特别会议代理材料可用性的重要通知:股东特别会议通知和代理声明可在www.proxyvote.com.creative media & Community Trust CORPORATION股东特别会议上查阅2025年9月23日上午9:00 PACIFIC TIMETHIS ProxY代表董事会征集以下签名的马里兰州公司(“公司”)Creative Media & Community Trust Corporation的股东,特此任命David Thompson和Barry Berlin,或他们中的任何一人,具有替代权,作为代理人和实际代理人,并在此授权他们代表和投票,作为以下签署人有权投票的所有普通股股份,并酌情对将在www.virtualshareholdermeeting.com/CMCT2025SM2上虚拟举行的公司股东特别会议之前可能适当进行的其他事项进行投票。本委托书在得到适当执行后,将按照此处指示的方式进行投票。如果没有做出这样的指示,这个代理将按照董事会的建议进行投票。