附件 4.7
2025年1月14日
名创优品集团控股有限公司
名創優品集團控股有限公司
(作为发行人)
和
纽约梅隆银行伦敦分行
(作为受托人)
信托契约
有关
每美分550,000,000美元0.50。2032年到期的股票挂钩证券
内容
条款 |
页 |
|
|
|
|
1. |
口译 |
1 |
|
|
|
2. |
须支付的证券及契约额 |
6 |
|
|
|
3. |
证券的形式 |
7 |
|
|
|
4. |
印花税及税项 |
9 |
|
|
|
5. |
与行使权利有关的盟约 |
9 |
|
|
|
6. |
与行使权利有关的通知 |
11 |
|
|
|
7. |
对运动价格的调整 |
13 |
|
|
|
8. |
无偿性 |
15 |
|
|
|
9. |
受托人收到款项的申请 |
16 |
|
|
|
10. |
盟约 |
17 |
|
|
|
11. |
受托人的薪酬及补偿 |
21 |
|
|
|
12. |
1925年《受托人法》和2000年《受托人法》的补充条款 |
22 |
|
|
|
13. |
受托人的照顾责任及法律责任 |
31 |
|
|
|
14. |
弃权和违约证明 |
31 |
|
|
|
15. |
受托人未被排除订立合同 |
32 |
|
|
|
16. |
修改和放弃 |
32 |
|
|
|
17. |
受托人的委任、退休及罢免 |
32 |
|
|
|
18. |
货币赔偿 |
33 |
|
|
|
19. |
通讯 |
34 |
|
|
|
20. |
1999年《合同(第三方权利)法》 |
35 |
|
|
|
21. |
进一步的问题 |
35 |
|
|
|
22. |
对应物 |
36 |
|
|
|
23. |
管辖法律和管辖权 |
36 |
|
|
|
附表1 |
37 |
|
|
|
|
|
全球证书的形式 |
|
|
证书的格式 |
|
|
|
|
附表2 |
50 |
|
|
|
|
|
证券的条款及条件 |
|
|
|
|
附表3 |
84 |
|
|
|
|
|
证券持有人会议的规定 |
|
|
|
|
附表4 |
90 |
|
|
|
|
|
致受托人的信纳证明表格 |
|
|
|
|
附表5 |
93 |
|
|
|
|
|
向受托人提交的合规证明表格 |
|
|
|
|
附表6 |
94 |
|
|
|
|
|
主要附属公司的证明书表格 |
|
本信托契据于2025年1月14日之间订立:
(1) |
名创优品集团控股有限公司(MINISO GROUP HOLDING LIMITED MINISO GROUP HOLDING LIMITED),一间于开曼群岛注册成立的有限公司,作为发行人(“发行人”);及 |
(2) |
纽约梅隆银行伦敦分行,一家根据纽约州法律组建和存在的有限责任银行公司,通过其在伦敦的分行运营,地址为160 Queen Victoria Street,London EC4V 4LA,United Kingdom(“受托人”,在上下文如此承认的情况下,该表述包括本信托契约的任何继任受托人或其他受托人)。 |
鉴于:
(A) |
发行人,在开曼群岛注册成立的有限责任公司,已授权发行550,000,0000.50美元/美分。2032年到期的股票挂钩证券将由本信托契据构成。 |
(b) |
受托人已同意根据以下条款和条件担任本信托契约的受托人。 |
本信托契约见证,声明如下:
1. |
口译 |
1.1 |
定义:以下表述具有以下含义: |
“代理协议”指《条件》中所指的协议,包括受托人以书面形式批准委任继任代理人或修订、更改、更新或补充任何该等协议的任何其他协议;
“代理人”指委托代理人、登记官和转让代理人、其继任者或其中任何一人,并应包括根据代理协议不时委任的其他代理人或代理人,而对代理人的提述是指他们仅通过其指定的办事处行事;
“适用法律”是指任何法律或条例,包括但不限于:(i)任何法规或条例;(ii)任何一方受其约束或任何一方习惯于遵守的任何管理局的任何规则或惯例;(iii)任何当局之间的任何协议;(iv)任何管理局与任何一方之间的任何习惯协议;
「被委任人」具有第12.21条赋予的涵义;
「经审核财务报告」指,就有关期间而言,发行人及其综合附属公司的年度经审核综合损益表及其他全面收益表、综合财务状况表及综合现金流量表连同任何报表、报告(包括任何董事及核数师报告)及附注,均根据国际财务报告准则编制,并拟与其中任何一份一并阅读;
「核数师」指发行人当时的核数师,或如他们不能或不愿进行根据本信托契据要求他们采取的任何行动,则指发行人可能提名并为此目的以书面通知受托人的其他国际会计师事务所;
“授权签字人”是指就发行人而言,发行人的任何董事或任何其他高级人员,已获发行人授权代表发行人签署本信托契约、代理协议或任何其他交易文件所要求的或预期的证书和其他文件,从而对发行人具有约束力,且发行人已
1
按代理协议第17.14条的规定不时以书面通知受托人及代理人;
“权威”是指任何司法管辖区的任何主管监管、起诉、税务或政府当局;
“证书”指代表一种或多种证券的证书,除条件规定的情况外,包括证券持有人对其证券的全部持有,且除全球证书的情况外,基本上采用附表1第2部分所列形式的证书;
“Clearstream”指Clearstream Banking S.A.;
“法典”是指经修订的1986年美国国内税收法典;
“共同存托人”是指,就证券而言,Euroclear和Clearstream的共同存托人;
“条件”是指适用于证券的条款和条件,该条款和条件应大致采用附表2中规定的形式,经修订,就全球证书所代表的任何证券而言,应由该全球证书的规定予以修订,并应在相关证书上背书,对特别编号的条件的任何提及均应作相应解释;
“证监会”具有条件4(d)赋予的含义;
“董事”是指,就发行人而言,发行人的董事会成员不时担任;
“电子同意”具有附表3赋予的含义;
“电子手段”系指以下通信方式:(i)非安全的传输或通信方式,例如电子邮件传输和(ii)包含受托人和/或代理人签发的适用授权代码、密码和/或认证密钥的安全电子传输,或受托人和/或代理人指定的可用于其在本协议项下的服务的其他方式或系统;
“Euroclear”指Euroclear Bank SA/NV;
“违约事件”是指条件10中描述的事件;
“特别决议”的含义载于附表3;“FATCA”是指:
(a) |
不时修订的《守则》第1471至1474条或任何相关条例、指示或其他官方指引; |
(b) |
在任何其他法域颁布或修订的任何条约、法律、条例、指示或其他官方指南,或与美国与任何其他法域之间的政府间协定有关的任何条约、法律、条例、指示或其他官方指南,(在任何一种情况下)均有助于本定义上文(a)款的实施; |
(c) |
根据本定义上文(a)或(b)段的实施与美国国内税务局、美国政府或任何其他司法管辖区的任何政府或税务当局达成的任何协议;或 |
2
(d) |
任何其他法域不时颁布或修订的与本定义(a)或(b)款类似的任何条约、法律、条例、指示或其他官方指导,以及根据执行任何此类条约、法律、条例、指示或其他官方指导与任何法域的任何政府或税务当局达成的任何协议; |
“FATCA预扣”是指根据《守则》第1471(b)节所述协议所要求的任何预扣或扣除,或根据《守则》第1471至1474节、其下的任何法规或协议、其任何官方解释或对其实施政府间做法的任何法律以其他方式施加的任何预扣或扣除;
“FSMA”是指《2000年金融服务和市场法》;
“全球证书”指以附表1第1部所列格式、代表以共同存管人代名人和/或任何其他结算系统名义登记的证券的证书;
「香港交易所」指香港联合交易所有限公司;
“香港”是指中华人民共和国香港特别行政区;
“国际财务报告准则”是指国际会计准则理事会发布的国际财务报告准则;
“发行日”指2025年1月14日;
“发改委”具有条件4(d)赋予的含义;
“未偿还”指,就证券而言,除(i)已根据条件赎回的证券外的所有已发行证券,(ii)已发生赎回日期的证券及赎回款项(包括溢价(如有)、截至该赎回日期该等证券应计的违约利息(如有)及根据该条件于该日期后应付的任何违约利息已按第2条规定妥为支付予受托人或按主要付款代理人,并仍可根据条件支付,(iii)已作废或已就其订明债权的证券,(iv)已按条件规定购买及注销的证券,(v)已就其妥为行使及解除行使权利的证券(及为免生疑问,已就其发生行使日期的证券须当作仍未清偿,直至即使持有人在交换过程中从证券持有人名册上除名,行使权利已获信纳及解除),及(vi)任何全球证书所代表的证券,但该证券须已根据其条文就该证券交换另一全球证书或交换最终形式的证书;并订明,为(a)确定出席任何证券持有人会议及在任何会议上投票的权利,(b)就第16条、条件10、14及15及附表3的目的确定有多少证券尚未发行,及(c)行使任何酌情权,受托人须明示或默示行使或参照证券持有人的利益行使的权力或授权,不论载于本信托契据或任何其他文件或法律规定,由发行人或其任何附属公司或其代表实益持有并以书面通知受托人且未被注销的证券,均应被视为未继续未清偿(除非不再如此持有);
「付款代理人」指任何根据代理协议获委任为付款代理人的人,各自透过其指定办事处行事,或任何继任付款代理人,包括委托代理人;
3
“潜在违约事件”是指可能随着发出通知、时间流逝、颁发证书和/或满足条件10中规定的任何其他要求而成为违约事件的事件或情况;
「中华人民共和国」指中华人民共和国,就本信托契据而言,中华人民共和国不包括中华人民共和国香港特别行政区、中华人民共和国澳门特别行政区及台湾地区;
“委托代理”是指《条件》中这样命名的机构以其通过其指定办事处作为主要支付代理人和主要交换代理人的身份集体行事,或任何继任委托代理人;
“记录日期”是指根据发行人的组织章程确定的或发行人为确定向股份持有人发放股息或其他分配的权利或权利而另有规定的日期;
“注册官”是指通过其指定办事处行事的《条件》中这样命名的机构,或任何继任注册官;
“负责人员”是指任何董事总经理、副总裁、信托协理、关系经理、交易经理、客户服务经理、任何信托人员或位于受托人指定企业信托办公室的任何其他人员,其惯常履行的职能类似于当时应分别担任该等人员的任何人员所履行的职能,或由于该人员对特定主体的了解和熟悉而被转介给的任何企业信托事项,在每一种情况下,对本信托契约的日常管理负有直接责任;
“登记营业日”具有条件4(d)赋予的含义;
“相关事件”具有条件8(e)赋予的含义;
「有关期间」指,就经审核财务报告而言,截至发行人财政年度最后一日止的每十二个月期间(现为该财政年度12月31日),就未经审核半年度财务报告而言,截至发行人财政年度上半年最后一日止的每六个月期间(现为该财政年度6月30日);
「有关证券交易所」指在任何时间,就股份而言,香港联交所或另类证券交易所;
「特定企业信托办事处」指纽约梅隆银行香港分行,一家根据纽约州法律组建和存在的银行有限责任公司,并通过其在香港的分行在香港皇后大道东1号太古广场三号第26层经营;注意:环球企业信托–【名创优品】;邮箱:honctrmta@bny.com。
“证券”是指发行人2032年到期的550,000,000,0000.50%美元的股票挂钩证券,除文意另有所指外,该表述应包括根据条件15发行并与之合并形成单一系列的任何额外证券,并在文意允许的情况下,包括代表该证券的全球证书;
“证券持有人”,就任何证券而言,“持有人”是指证券以其名义登记在证券持有人名册中的人(如为共同持有人,则为第一名指定持有人),但只要该证券或其任何部分由存放于共同存托人的全球证书代表,则每一人
4
在Euroclear或Clearstream(Clearstream除外,如果Clearstream应为Euroclear的账户持有人,以及Euroclear,如果Euroclear应为Clearstream的账户持有人)的记录中显示为证券特定本金金额的持有人,就本信托契约的所有目的而言,除就支付该证券的本金或利息外,该证券的登记持有人应被视为不是持有人,就发行人和受托人而言,应仅归属于共同存托人的权利,为此目的,共同存托人应被视为根据其条款和本信托契约的规定并受其约束的该等证券本金金额的持有人;持有人和持有人等字样及相关表述(如适用)应作相应解释;
「购股权计划」指发行人或其附属公司的任何雇员购股权计划、股份奖励计划、受限制股份计划或雇员股份激励计划或计划(而该等计划或计划符合有关联交所的上市规则);
「股东」指股份登记于发行人股东名册内的人;
「股份」指发行人每股面值0.00001美元的普通股;
「新加坡证券交易所」指新加坡证券交易所有限公司;
“特定职位”是指,就代理人而言,在条件末尾以其名称标识的职位或根据代理协议第18.4条通知受托人及根据第10.10条通知证券持有人的任何其他职位;
“附属公司”具有条件4(d)中规定的含义;
「继任人」就代理人而言,指根据第10.10条向证券持有人发出其委任通知,并经受托人书面批准及按其书面批准的条款(薪酬除外)不时获发行人委任为代理人的其他人或其他人;
“税”或“税”是指由任何有权征税的当局或其代表征收、征收、征收、代扣代缴或评估的任何现行或未来的税项、关税、评估或任何性质的政府收费,“税”应作相应解释;
「本信托契据」指本信托契据(不时根据本信托契据修订、更改、更新及/或补充)及根据本信托契据签立的任何其他文件(不时如此修订、更改、更新或补充),并表示为对本信托契据的补充;
「过户代理人」指根据代理协议委任的过户代理人,或任何继任过户代理人;
“信托公司”是指信托公司(定义见1925年《财产法》)或根据与受托人有关的适用法律有权担任受托人的公司;
「未经审核半年度财务报告」指,就有关期间而言,发行人及其综合附属公司的未经审核综合损益表及其他全面收益表、综合财务状况表及综合现金流量表,连同任何报表、报告(包括任何董事及核数师报告)及附注(如有的话),根据国际财务报告准则编制;及
5
“书面决议”具有附表3赋予的含义。
1.2 |
某些参考文献的构建:参考文献: |
(a) |
成本、收费、报酬或开支包括就其收取的任何预扣税、增值税、流转税或类似税; |
(b) |
“美元”、“美元”对暂时合法的美利坚合众国货币; |
(c) |
「港元」、「港元」、「港元」及「港仙」指中华人民共和国香港特别行政区的法定货币;及 |
(d) |
为强制执行债权人权利而提出的诉讼、补救或司法程序方法,包括提及在英格兰或香港以外的司法管辖区进行的诉讼、补救或司法程序方法,这应与之最接近。 |
1.3 |
标题:解释本信托契据时,应忽略标题。 |
1.4 |
附表:附表为本信托契据的一部分,并相应生效。 |
1.5 |
条款:本信托契约中对条款的提述,除另有说明外,均指本信托契约中的条款。 |
1.6 |
替代清算系统:本信托契据中对Euroclear和Clearstream的提述,在上下文允许的情况下,应被视为包括对发行人选定并经受托人、委托代理人和登记官书面批准的任何附加或替代清算系统(“替代清算系统”)的提述。 |
1.7 |
条件:在本信托契据中,除文意要求或另有定义外,条件中定义且未在此另有定义的词语在本信托契据中具有相同的含义。 |
1.8 |
经修订的文件:除另有相反说明外,本信托契据中对任何其他协议或文件的任何提述,应解释为对该等其他协议或文件的提述,因为该等协议或文件可能已经或可能不时被修订、更改、更新或补充。 |
2. |
须支付的证券及契约额 |
2.1 |
证券金额:根据条件15和第21条,证券的本金总额以550,000,000美元为限。 |
2.2 |
支付契约:发行人将在任何证券到期赎回的任何日期,以即时可用资金无条件地向或向受托人的顺序以美元支付于该日期到期赎回或偿还的证券本金金额,连同任何适用的利息或溢价,并将(根据条件)直至该等付款(在判决之前和之后)无条件地向或向受托人的顺序支付条件中规定的未偿还证券本金金额的利息,前提是: |
(a) |
在符合第2.4条的规定下,根据代理协议的规定向委托代理人支付任何就证券到期的款项,须在该范围内履行该义务,但其后续未能根据条件向相关证券持有人支付的情况除外;和 |
6
(b) |
在到期日后或根据条件10作出的付款,当主要代理人或受托人已收到到期的全部款项(包括应计利息)并已向证券持有人发出大意如此通知(如根据第10.8条要求)时,将被视为已作出,但根据条件向相关证券持有人的后续付款失败的情况除外。 |
受托人将以信托方式为自己和证券持有人持有本契约的利益。
2.3 |
解除:除第2.4条另有规定外,发行人或受托人就证券须作出的任何付款可按条件规定作出,而如此作出的任何付款(根据第2.4条)在该程度上将是对发行人或受托人(视情况而定)的良好及完全解除,但其其后未能向有关证券持有人作出付款的情况除外。 |
2.4 |
违约后的偿付:在违约事件或潜在违约事件发生后的任何时间,受托人可以: |
(a) |
向发行人和代理人发出书面通知,要求代理人在收到相反通知之前,在适用法律允许的范围内: |
(一) |
根据本信托契据及证券担任受托人的代理人,根据代理协议的条款(并视需要作出相应修订,但受托人就代理人的赔偿、薪酬及开支承担的责任将限于受托人当时根据本信托契据的条款就证券持有并可用于该目的的金额除外),其后根据受托人的命令持有其就证券持有的所有凭证及所有款项、文件及纪录;及/或 |
(二) |
将其持有的与证券有关的所有凭证及所有款项、文件及纪录交付予受托人或按受托人在该通知中指示或其后指示交付予受托人,但本条2.4(a)不适用于有关代理人根据其所受任何法律或法规有义务不予以发布的任何文件或纪录;及 |
(b) |
向发行人发出书面通知,要求其向受托人或根据受托人的命令而非向委托代理人支付有关证券的所有后续付款,自向发行人发出任何该等通知起生效;自该等通知被撤回之日起,上述第2.2(a)条不再有效。 |
3. |
证券的形式 |
3.1 |
全球证书:证券最初将由注册形式的全球证书代表,其本金金额为550,000,000美元,将存放于Euroclear和Clearstream的共同存托人。全球证书应以共同保存人的代名人的名义登记。全球证书将可兑换为最终形式的证书,仅限于全球证书中规定的。 |
3.2 |
证书的格式:最终格式的证书如获发行,将根据证券上市的适用证券交易所的要求印制,并将大致采用附表1第2部所载的格式,并附有条件背书。 |
3.3 |
证券上的传奇 |
7
由全球证书或根据本条款3.3须载有或须载有本条款3.3所列图例的最终证书所代表的每份证券(“受限制证券”),均须受本条款3.3所列转让限制(包括下文所列图例)的规限,除非该等转让限制须经发行人书面同意而消除或以其他方式放弃,而每份该等受限制证券的证券持有人经该证券持有人接受后,同意受所有该等转让限制的约束。如本第3.3条所用,“转让”一词包括任何受限制证券的任何出售、质押、转让或其他处分。
任何证明该证券的凭证,只要适用,就应带有大致如下形式的图例:
该证券尚未根据经修订的1933年《证券法》(“证券法”)或任何国家或其他司法管辖区的证券法进行登记。本证券或此处的任何权益或参与均不得在没有此种登记的情况下提供、出售、转让、转让、质押、担保或以其他方式处置,除非此种交易免于或不受此种登记的约束。
该证券的持有人在此接受,同意代表其已购买证券的任何投资者账户,在该日(“分销合规期结束日”)即原发行日期后40天之前(a)向名创优品集团控股有限公司(“公司通过其在此的收购(包括对此处任何权益的任何收购),持有人在此表示,它不是美国人,也不是为美国人的账户购买,并且正在根据《证券法》条例S在离岸交易中获得这种担保。
除事先征得公司书面同意外,公司的任何附属公司(如《证券法》第144条所界定)或在紧接前三个月内曾为公司的附属公司(如《证券法》第144条所界定)的人均不得购买、以其他方式获得或拥有本证券或此处的受益权益。
3.4 |
签署:证书须由获正式授权并由注册处处长或代表注册处处长以手工认证的发行人的授权签字人代表发行人以手工或传真方式签署。发行人可以使用在证书签署之日为获授权签字人的人的传真签名,即使在该证书所代表的证券发行时他不再担任该职务和/或不再获得此种授权。由如此签立和认证的证书(包括全球证书)所代表的证券将是发行人具有约束力的有效义务。 |
3.5 |
将持有人视为拥有人的权利:任何证券的持有人(除由有管辖权的法院下令或除法律另有规定外)将被视为其所有目的的绝对拥有人(无论该证券是否逾期,且不论其上的任何所有权、信托或任何权益通知或任何书面(经背书的转让形式除外),或盗窃 |
8
或遗失、就其发出的证明书),而任何人将不会因此而对该持有人承担法律责任,而受托人或任何代理人均不会因任何相反的通知而受影响。
4. |
印花税及税项 |
4.1 |
印花税:发行人将在开曼群岛、中国、香港、英国、比利时、卢森堡和任何其他司法管辖区就证券的创设、发行和发售以及本信托契约和代理协议的签署或交付支付任何印花税、发行款、注册款、跟单、转让款或其他税款、关税、评估或政府收费,包括利息和罚款。受托人不承担在任何司法管辖区支付任何此类税款、关税、评估和/或政府收费的责任,并且不应关注、或有义务或被要求查询发行人或任何证券持有人为此目的支付的任何金额的充足性,也不应对因发行人或任何证券持有人未付款而导致的任何损失承担责任。发行人将在税后基础上赔偿受托人和证券持有人,使其免于或免于因受托人或代表受托人或(视情况而定)证券持有人为强制执行发行人在本信托契约、代理协议和/或证券项下的义务而在任何司法管辖区支付的所有印花、发行、登记、跟单、转让或其他税款、关税、评估和/或政府费用。本协议各方承认,上述赔偿在受托人辞职或被免职和/或证券不再未清偿和/或本信托契约终止后仍然有效。 |
4.2 |
税务管辖范围的变更:如发行人一般成为受制于某一地区或该地区或该地区内的税务机关的税务管辖范围,有权对开曼群岛或中国以外的地区或该地区或该地区内的任何此类机关或该地区内的任何此类机关征税,则发行人在知悉后将在切实可行范围内尽快以书面通知受托人,并根据条件9的条款向受托人作出形式和实质上令其满意的承诺,并予以替代,或,视情况需要,增加该条件中对开曼群岛和中国的提述,即对发行人已成为其征税管辖范围的其他或额外领土或当局的提述。在此情况下,本信托契据及证券将作相应解读。 |
4.3 |
Tax Opt-Out:为免生疑问,在证券持有人根据条件8(b)(ii)选择不赎回其证券后,如果利息金额因此类要求的扣除或代扣而减少,发行人应立即将适用的预扣税率通知Euroclear和Clearstream。发行人将全权负责确定证券持有人的纳税状况,向相关税务机关计算、管理、申报和/或汇出预扣税款。 |
5. |
与行使权利有关的盟约 |
只要任何证券仍未偿还,除特别决议批准外,发行人将:
5.1 |
Par Value:不提出任何要约、发行、授予或分派或采取任何行动,其效果将是将行使价降至低于股份面值,但始终不得禁止发行人在法律许可的范围内购买其股份; |
5.2 |
有限发行股份:不发行或缴付任何证券,在任何情况下均以利润或储备资本化的方式,除非在任何此类情况下,引起(或将,如果调整将是当时有效的行使价的百分之一或更多,则会引起)行使价的调整,但发行人可通过向股东和其他有权获得其的人发行缴足股份以利润或储备资本化的方式发行或缴付任何证券(i),(ii)透过根据适用法律以利润或储备缴足而发行股份以代替现金股息或 |
9
(iii)透过向同一类别的权益股本持有人及其他有权享有该等权益的人发行缴足股本(股份除外),但在每宗个案中均须遵守条件6(c)的规定;
5.3 |
有限修改权利:不修改股份所附的与投票、股息或清算有关的权利,也不发行任何其他类别的普通股股本,其附带的任何权利比股份所附的权利更有利,但本条款5.3中的任何规定均不得阻止(i)根据任何购股权计划发行股本;(ii)合并或拆细股份或将任何股份转换为股票,反之亦然;(iii)对股份所附权利的修改,但不是,独立财务顾问认为,对证券持有人的利益构成重大损害;(iv)将股份转换为或发行任何股份,非证明形式(或将非证明形式的股份转换为证明形式)或修订发行人的组织章程,以使发行人的证券(包括股份)的所有权能够得到证明和转让,而无需就本第5.3条所述事项作出书面文书或对发行人的组织章程作出任何其他更改,或对上述任何事项作出补充或附带的(包括为使能或便利与该等事项有关的程序而作出的修订以及涉及权利的修订根据该等程序处理的证券(包括股份)持有人的义务)或(v)导致(或将,如果调整将是当时有效的行使价的百分之一或更多,否则将导致)行使价调整的任何股本发行; |
5.4 |
有限授出权利:促使任何发行的证券(不论由发行人或其任何附属公司发行)在没有权利转换为或交换或认购股份的情况下,其后均不得以低于建议纳入该等权利的公告日期的每股现行市价的95%的代价授出该等权利,除非该等权利产生(或将,如果调整将是当时有效的行使价的百分之一或更多,引起)的行权价格调整,且任何时候均不得有面值不同的已发行股份。为免生疑问,本条第5.4款概不阻止发行人根据任何购股权计划发行任何股本或根据条件6所载证券的行使条文发行任何股本(包括股份); |
5.5 |
授权签字人证明书:如某事件因此而发生,而行使价可能会在切实可行范围内尽快根据条件作出调整,则向受托人寄发一份由发行人的一名授权签字人代表发行人签署的英文证明书,列明该事件的详情,是否将对行使价作出调整,如是,则调整前的行使价、经调整的行使价及该调整生效日期,是否将根据第7.2(c)条结转一笔金额,如果是,将结转的金额,并在任何情况下列出受托人可能要求的其他信息; |
5.6 |
延长要约:倘向所有(或尽可能接近所有)股东,或除要约人及/或要约人的任何联系人或联系人以外的所有(或尽可能接近所有)股东提出要约,以收购发行人的全部或大部分已发行股本,或如任何人就该等收购提出计划,须遵守适用法律及任何监管、行政或监察机构的规则及规例(包括但不限于,香港收购及合并守则)在发行人向其股东(或其后在切实可行范围内尽快)发出任何有关要约或计划的通知的同时,向证券持有人发出该等要约或计划的通知,述明有关该等要约或计划的详情可向代理人的指明办事处索取,并向代理人提供该等详情; |
10
5.7 |
其他承诺:只要任何证券仍未清偿,除非经特别决议案批准或经受托人事先批准,而受托人认为给予该批准并无实质上损害证券持有人的利益,发行人将: |
(a) |
股份上市:尽其合理努力维持所有已发行股份于香港联交所的上市,如发行人未能取得或维持该等上市,已尽该等努力,发行人将尽其合理努力取得并维持所有已发行股份在发行人可能不时确定的替代证券交易所的上市(并事先书面通知受托人),并将随即根据任何该等证券交易所将股份(作为一个类别)上市或除牌的条件16向证券持有人发出通知; |
(b) |
证券上市:运用其合理努力维持证券在新加坡证券交易所的上市,如果发行人无法维持该上市或该上市过于繁重,则运用其合理努力取得并维持在债务证券报价或上市常用的其他证券交易所的上市(并事先书面通知受托人),并将随即根据任何该等证券交易所将证券上市或除牌的条件16向证券持有人发出通知;和 |
5.8 |
不减少已发行股本:不作出任何减少其普通股本或与此有关的任何未赎回责任或任何股份溢价账户或资本赎回储备基金,除非在每种情况下,减少是适用法律允许的,并导致(或将,但不是为了提供有关四舍五入或结转调整的条件,导致)对行权价格的调整,或在确定是否应进行此类调整时被考虑在内,但始终不得禁止发行人在法律允许的范围内购买其股份。 |
就本第5条而言,“股本”是指公司的股本,不包括该资本的任何部分,而该部分在股息和资本方面均不附带任何超过规定数额的参与分配的权利。
6. |
与行使权利有关的通知 |
6.1 |
要求给予通知:如在本信托契据日期后: |
(a) |
发行人授权向购股权、权利或认股权证的股份持有人授予、发行或要约认购或购买任何可转换为、或可交换为或授予购买股份权利的股份或证券,这些股份或证券在授予、发行或要约时将根据条件6(c)导致行使价调整; |
(b) |
发行人宣布、或支付或作出资本分配,或授权授予、发行或要约作为一类权利或认股权证,以认购或购买股份以外的任何证券或可转换为或可交换的任何证券或授予购买股份或股份以外的证券的权利,这些证券或证券在申报或支付时,或在作出时,或在授予、发行或要约时,会根据条件6(c)导致行使价调整; |
(c) |
存在股份重新分类(包括发行人已发行股份的细分或合并)或发行人作为一方的合并、合并或合并或出售或转让全部或几乎全部资产或 |
11
发行人的业务,一旦发生此类事件,将导致根据条件6(c)调整行使价;
(d) |
除第6.1(a)条或第6.1(b)条所提述外,发行人授权发行任何可转换为或可交换为股份的证券或任何股份或股份以外的证券或权利或认股权证以认购或购买股份或任何股份或股份以外的任何股份或证券,而该等发行将会或授权发行任何股份,(或,如在任何该等情况下,发行人的董事会厘定的相关代价或发售价获采纳,将于相关股东大会上建议,will)on issue cause a adjustment to the exercise price according to condition 6(c);or |
(e) |
发行人存在自愿或非自愿解散、清算或清盘的情形, |
发行人其后须在切实可行范围内尽快向受托人及委托代理人发出有关的书面通知,此外,发行人须(除非适用法律或规例阻止)在适用的(如属本条第6.1条下文第(i)款)纪录日期或(如属本条第6.1条下文第(ii)款)纪录日期、呈交日期、生效日期或交换日期(以较早者为准)或(如属本条第6.1条下文第(iii)款)提交日期前至少五个营业日,或(如属本条第6.1条下文第(iv)款)发行日期或(如属本条第6.1条下文第(v)款)记录日期或生效日期,以较早者为准,根据条件16向证券持有人发出通知,述明(视属何情况而定):
(一) |
授予、发行或要约期权、权利或认股权证或资本分配(如该资本分配未提交股东大会批准)的记录日期(以及,如授予、发行或要约期权、权利或认股权证,可行使该等期权、权利或认股权证的期间); |
(二) |
(a)该等重新分类、拆细或合并、合并、合并、出售、转让、解散、清算或清盘须提交发行人的股东大会批准的日期,及(b)该等重新分类、拆细或合并、合并、合并、出售、转让、解散、清算或清盘预期生效的日期,及(d)预期股份持有人自该日期起(如有的话)有权将其股份交换为该等重新分类时可交付的证券或其他财产,拆分或合并、合并、合并、出售、转让、解散、清算或清盘; |
(三) |
(如发生上述第6.1(b)条所指的资本分配的申报,其支付必须提交股东大会批准后方可支付或作出该资本分配)提交的日期; |
(四) |
(如发生上文第6.1(d)条所提述的问题)该问题的日期;或 |
(五) |
(如该等重新分类、合并、合并、合并、变卖、转让、解散、清算或清盘事项未提交发行人的股东大会批准)(a)相同的股权登记日(如适用),及(b)相同的生效日期; |
但如本条第6.1款上文第(ii)款或第(iii)款所指的任何该等呈文的确切日期在向
12
受托人及委托代理人,该等通知须注明大致日期,发行人须在切实可行范围内尽快向受托人及委托代理人发出第二次通知,指明提交的确切日期,并进一步规定,如在向受托人及委托代理人发出首次通知时并不知悉本条第6.1款上文第(i)段所提述的期间或本条第6.1款上文第(ii)段所提述的生效日期或交换日期或本条第6.1款上文第(iv)段或(v)段所提述的发出日期或生效日期,则发行人须向受托人及委托代理人发出第二次通知(须以书面形式),在指明该期间(及其开始日期)及/或该日期前至少五个营业日或(视属何情况而定)在指明该期间(及其开始日期)及/或该日期前,亦须(在第(i)款内的情况下,本条第6.1条第(ii)款或上文第(v)款)安排在适用期间开始前至少五个营业日或(视属何情况而定)生效日期或交换日期前向证券持有人发出该第二次通知,但已在向证券持有人发出的第一次通知中指明该期间或日期的除外。然而,就上文第6.1(d)条所提述的任何发行而言,发行人无须在发行人厘定该发行的每股有关代价的日期前发出任何上述通知,但在这种情况下,发行人须在厘定该等代价后立即根据本条第6款发出通知。
6.2 |
如需调整行使价:如根据第6.1条规定的通知中提及的事件将导致对行使价的调整,则该通知应说明在要求发出该通知时有效的行使价以及在该事件生效后将导致的行使价,或如该调整后的行使价当时无法确定,则可能导致对行使价进行调整的事实。 |
6.3 |
调整通知:如在任何行使权可行使或可行使或成为可行使时,根据条件6(c)(4)、条件6(c)(5)、条件6(c)(6)及条件6(c)(7)对任何发行、销售或分销的条款作出任何调整或公告,以及根据条件6(c)(8)作出任何建议修改的公告,则发行人须(i)在切实可行范围内尽快(该通知须由授权签署人签署)将引起调整的事件的详情以书面通知证券持有人、受托人及主要代理人,调整前的行权价格及调整后的行权价格(如当时可确定)、调整很可能生效的日期、证券持有人在此之前行使其行权权利的效果以及受托人可能要求的其他相关信息,以及(ii)在调整生效后立即向证券持有人、受托人和委托代理人发出通知,说明行权价格已调整,并载列导致调整的事件、调整前有效的行权价格,调整后的行权价格及调整生效日期。然而,根据本条第6款另一款作出的通知,正确述明根据本条第6.3款规定须提供的任何资料,就该等资料而言,须符合本条第6.3款的规定。 |
6.4 |
最后行权期结束通知:发行人应在最后行权期结束前不少于30日且不超过60日向证券持有人(根据条件16)和受托人及代理人发出书面通知,通知其当时有效的行权权利和行权价格。 |
7. |
对运动价格的调整 |
7.1 |
行权价格调整:行权价格将根据条件6(c)中规定的证券发行后发生的某些事件进行调整。 |
13
7.2 |
应收代价的计算:就根据条件6(c)(7)及6(c)(8)计算应收代价而言: |
(a) |
发行股份换现金:以现金方式发行股份的应收总代价应为该等现金的金额,但在任何情况下均不得扣除发行人就发行的任何包销或与此有关的其他方面而支付或招致的任何佣金或任何费用; |
(b) |
于转换或行使证券时发行股份:(i)将于任何证券的转换或交换时发行的股份的应收总代价须视为发行人就任何该等证券所收取或应收的代价,及(ii)将于行使任何证券所附带的认购权时发行的股份的应收总代价须视为发行人就该等证券所收取或应收的代价中由发行人归属于该等认购权的部分(可能为全部),或如该等代价中没有任何部分如此归属于该等认购权于独立财务顾问善意厘定的该等证券的发行条款公告日期的公平市场价值,加上就本条第7.2(b)款的上述(i)及(ii)项而言,发行人就该等证券的转换或交换,或就行使该等认购权而收取的额外最低代价(如有)(所有该等情况下的代价将根据第7.2(a)条的但书厘定)及(iii)发行人就转换或交换,或就行使该等附属认购权而应收的每股代价,该等证券须为本条第7.2(b)款(视属何情况而定)上文(i)或(ii)所提述的总代价(如该等代价以港元以外的货币按独立财务顾问可能厘定的汇率表示为于该等证券的发行条款公告日期收市时有效的即期汇率)除以于该等转换或交换或首次转换时行使时将于该等转换或交换或行使时将予发行的股份数目,交换或认购价格或费率; |
(c) |
四舍五入及轻微调整:于任何调整时,所得行使价,如非一港仙的整数倍,须四舍五入至最接近的港仙。如该等调整(如适用则向下取整)少于当时有效的行使价的百分之一,则不得对行使价作出调整。任何无须作出的调整,及/或行使价已四舍五入的任何金额,须结转并在任何其后的调整中予以考虑,而该等其后的调整,须以在有关时间已作出无须作出的调整及/或(视属何情况而定)尚未作出有关四舍五入为基础。如有调整,发行人应按照条件16向证券持有人发出通知,并在确定后立即书面通知受托人和交易所代理人; |
(d) |
Quick Succession中的一个以上事件:如果在如此短的时间内发生了一个以上导致或可能导致对行使价进行调整的事件,以致独立财务顾问认为前述规定需要在经过某种修改后才能给出预期结果,则应对上述规定的操作进行该独立财务顾问可能建议的、其认为适合于该目的的修改,以给出该预期结果;和 |
(e) |
不上调行权价:不会作出涉及上调行权价的调整,但合并或重新分类的情况除外 |
14
条件6(c)(1)中提及的股份。发行人可在根据条件16向受托人和证券持有人发出书面通知后的任何时间和仅在规定的一段时间内降低行权价格,但须遵守条件6(c)。
7.3 |
确定和计算:受托人没有义务履行、监督或核实根据条件或本信托契约要求的行使价或与之相关的计算或对其的任何调整,并有权依赖发行人和/或独立财务顾问达成或作出的所有计算、报告、意见和确定,而无需进一步调查或承担责任。受托人不对证券持有人、发行人或任何其他人因任何该等失败或依赖或发行人或独立财务顾问延迟作出任何计算或确定或发行人或独立财务顾问作出任何错误计算或确定而产生的任何损失负责或承担责任。 |
7.4 |
独立财务顾问的结论性决定:如对行权价格的适当调整或对如何根据条件6(c)对行权价格进行调整产生任何疑问,并经发行人与独立财务顾问协商后,由发行人选择,费用由发行人承担,该独立财务顾问就此发表的书面意见应是结论性的,对发行人、证券持有人、代理人和受托人具有约束力,但出现明显错误的情况除外。 |
7.5 |
独立财务顾问:受托人不对委任独立财务顾问负责或承担任何义务,也不对核实其作出、给予或达成的任何计算、确定、证明、建议或意见承担任何责任或义务。 |
7.6 |
无监察责任:受托人及代理人并无任何责任监察是否已发生或存在任何可能需要对行使价作出调整的事件或情况,或作出或核实与行使价有关的任何计算或确定并不会就证券持有人或任何其他人因其未能这样做或发行人或任何独立财务顾问延迟作出确定或计算或与行使价有关的任何错误确定或计算而产生的任何损失向证券持有人或任何其他人负责。 |
8. |
无偿性 |
8.1 |
暂记账户:受托人就发行人根据本信托契据或证券应付的任何款项而收取或追讨的任何款项(发行人根据第2.2条向受托人支付的款项除外)可存入暂记账户,并在受托人认为合适的情况下在该账户上保存一段时间。 |
8.2 |
避免付款:发行人因任何理由(包括任何破产、无力偿债、清盘、解散或任何司法管辖区的类似法律)被要求退还其就发行人根据本信托契约或任何担保应付的任何款项而收到或收回的任何款项的全部或部分,并应在任何情况下向受托人支付或应要求向受托人支付其退还的款项,发行人应按要求向受托人支付的任何费用、损失、费用或赔偿责任,并应按要求在税后基础上向受托人支付。 |
8.3 |
赔偿:作为单独、独立和替代的规定,发行人无条件和不可撤销地同意作为主要义务,就因发行人根据本信托契约明示应支付的任何款项或证券未在该日期或以本信托契约规定的其他方式支付或发行人根据本信托契约或证券承担的任何支付义务因任何原因或成为无效、可作废或不可执行(无论是否现已存在和 |
15
不论是否现已知悉或正为受托人所知悉),该损失的金额为发行人就有关款项表示须支付的金额。
9. |
受托人收到款项的申请 |
9.1 |
信托声明:受托人就证券收取的所有款项或根据本信托契据和条件应付的款项,尽管发行人将全部或部分拨付,但将由受托人以信托方式持有以适用这些款项(受第9.2条规限): |
(a) |
第一,在支付所有费用时,受托人在履行其职能和/或职责和/或根据本信托契据、证券和/或代理协议(为免生疑问,其中包括受托人根据本协议指定的任何受委任人和代理人在担任受托人代理人期间应支付的费用、成本、收费、开支及所有其他款项)而适当招致的所有成本、收费及开支及所有负债(包括但不限于应付予其的薪酬); |
(b) |
其次,在支付就证券所欠的任何金额(包括本金、溢价(如有)及利息)时,按同等权益及应课差税率; |
(c) |
第三,在支付或清偿每名代理人在履行其根据代理协议或与其有关的职责、酌情权或职能时所招致或应付的所有费用、成本、收费、开支及负债(包括但不限于应付予其的报酬)或与该证券有关但未获支付的一切费用、成本、收费、开支及负债;及 |
(d) |
第四,为自己向发行人支付任何余额(如有)。 |
如受托人就证券持有的任何款项已作废,则受托人将以该等信托持有该等款项。
9.2 |
累积:如根据第9.1条可于任何时间就证券支付的款项的金额少于当时未偿还证券本金的10%,受托人可全权酌情将该等款项存入计息账户(及为免生疑问,受托人不得被要求以受托人在该银行或其他金融机构的名义或在其控制下,并以受托人根据交易的现金需求而非为了产生收入而认为合适的货币,就该等存款获得最优惠利率或行使任何形式的投资酌情权。受托人可随时将如此存入的任何款项转换为任何其他货币,并且不对任何该等存款所造成的任何损失负责,不论是由于贬值、汇率波动或其他原因,除非该等损失是由于受托人的重大过失、故意不当行为或欺诈造成的。受托人可酌情累积该等款项,直至累积金额连同当时在其控制下并可用于支付该等款项的任何其他资金至少达到当时未偿还证券本金的10%,然后该等累积金额及资金(在扣除或拨备任何适用税项后)将按第9.1条的规定适用。为免生疑问,受托人在任何情况下,均不得有任何酌情权将本条第9.2条所提述的任何款项投资于合资格投资或其他方面。 |
9.3 |
本信托契约中的任何内容均不得要求(a)受托人或发行人做出任何可能违法或违反适用法律或法规(包括但不限于《多德-弗兰克华尔街改革和消费者保护法》第619条)的行为,(b)受托人做出任何可能导致受托人被视为《多德-弗兰克华尔街改革和消费者保护法》第619条规定的受保基金发起人的行为 |
16
及根据本条例颁布的任何规例,或(c)受托人在履行其职责或行使本条例下的任何权利、权力、授权或酌情权及/或与证券有关的过程中支出或承担自有资金或风险或以其他方式招致任何财务责任,除非其以绝对酌情权相信已向其保证偿还该等资金或就该等风险或责任作出足够弥偿,或就该等风险或责任作出担保或预先注资,而受托人可在采取任何该等行动前要求预先向其支付其酌情认为(在不影响任何进一步要求的情况下)足以作出赔偿、预先垫付和/或担保的款项。
10. |
盟约 |
只要任何证券未到期,发行人将:
10.1 |
账簿:备存并促使其每一附属公司备存适当的账簿,并在违约事件或潜在违约事件发生后的任何时间,或在受托人认为或被通知该等事件已发生后的任何时间,或在适用法律许可的范围内,在证券持有人提出请求后,应受托人的书面请求,或在适用法律许可的任何其他时间,允许并促使每一该等附属公司将允许的受托人及其指定的任何人,在正常营业时间内的所有合理时间查阅发行人及/或相关附属公司(视情况而定)的账簿; |
10.2 |
违约事件通知:在知悉任何违约事件或潜在违约事件的发生及其提议采取的行动生效后立即书面通知受托人和代理人,而无需等待受托人采取任何进一步行动; |
10.3 |
信息:在适用法律允许的范围内,以其合理要求或认为必要的形式(包括但不限于发行人采购受托人根据第10.5条和第12.6条要求的所有此类证书)向受托人提供其合理要求的信息、意见、证明和证据,以履行其在本信托契约下的职能和/或义务和/或行使其作为受托人的权利、权力和酌处权,代理协议和/或证券或根据本协议或根据本协议要求或设想的任何其他文件,或与本协议或其中设想的或通过法律运作的交易有关的任何其他文件; |
10.4 |
财务报表等:向受托人提供: |
(a) |
根据国际财务报告准则编制的每一相关期间结束后120天内的相关经审计财务报告副本(由国家或国际认可的独立会计师事务所(可能是发行人在发布日期的审计师)审计),如该等报表应使用中文,连同一份由(i)一间国家或国际认可的独立会计师事务所(可能是发行人于发行日期的核数师)或(ii)一间专业翻译服务供应商翻译并由一间国家或国际认可的独立会计师事务所(可能是发行人于发行日期的核数师)核对的英文译本,连同一份由发行人的授权签字人签署的证明该等译本完整及准确的英文证明; |
(b) |
在每一相关期间结束后90天内按与经审计财务报告一致的基础编制的相关未经审计半年度财务报告的副本,且该等报表须为中文,连同由(i)一家国家或国际认可的独立会计师事务所(可能是发行人在发行日期的审计师)或(ii)一家专业翻译服务提供商翻译并经国家或国际认可的独立会计师事务所(可能 |
17
为发行人于发行日期的核数师),连同一份由发行人的授权签字人签署的证明该等翻译完整及准确的英文证明,
但如发行人的股本在任何时间在认可证券交易所上市交易,发行人可在可获得的情况下但无论如何不得超过发行人的任何财务或其他报告在该时间向发行人股本上市交易的交易所提交后10个日历日内向受托人提供向该交易所提交的任何财务或其他报告的真实及正确副本,以代替上文第10.4(a)及10.4(b)条所指明的报告,及如该等财务报告或其他报告须为中文,连同该等报告的英文译本,并由(a)一间国家或国际认可的独立会计师事务所(可能是发行人于发行日期的核数师)或(b)一间专业翻译服务供应商翻译,并由一间国家或国际认可的独立会计师事务所(可能是发行人于发行日期的核数师)核对,连同一份由发行人的授权签字人签署的证明该等翻译完整及准确的英文证明;
10.5 |
发行人证明书:(i)在根据第10.4(a)条提供的经审核财务报告或根据第10.4条但书(视属何情况而定)提供的年度经审核财务报表的同时,向受托人寄发(ii)在受托人提出任何要求后的14天内,由发行人的授权签字人签署的大致采用附表5所列格式的发行人合规证明书,该证明书在作出所有合理查询后,据所知,发证人在不超过发证日期前五天的某一日期(“发证日”)的信息和信念: |
(a) |
自上一份此类证书的认证日期或(如果没有)本信托契约的日期以来,没有发生任何相关事件、违约事件或潜在违约事件,或者,如果发生了此类事件,则提供详细信息;和 |
(b) |
发行人已遵守其在本信托契约和证券项下的所有契诺和义务,如果发生了不遵守情况,则提供详细信息。 |
受托人有权最终依赖本第10.5条中的上述凭证,并且不对发行人、任何证券持有人或任何其他人承担此类依赖的责任;
10.6 |
向证券持有人发出的通知:在提议的公布日期前至少五个工作日向受托人发送一份将发给证券持有人以供受托人批准的每份通知的格式副本(在每种情况下应为英文),以及一旦发出,每份通知的副本(该批准不构成就FSMA第21条而言对FSMA第21条含义内所传达的任何此类通知的批准)。为免生疑问,受托人不得关注、亦无义务或要求查询该等通知内容的充分性或准确性,亦不得就受托人的任何该等批准向发行人、证券持有人或任何其他人承担责任; |
10.7 |
进一步作为:在适用法律允许的范围内,执行所有此类进一步文件并做受托人合理认为可能需要的所有进一步事情,以使本信托契约、代理协议和/或证券生效; |
10.8 |
逾期付款通知:应受托人的书面请求,立即向证券持有人发出通知,将在该等付款到期日后就该证券所作的任何到期款项无条件支付予委托代理人或受托人; |
10.9 |
[保留] |
18
10.10 |
变更代理人:根据条件16提前至少14天通知证券持有人未来任何代理人的任命、辞职或免职或其指定职位的代理人的任何变更,未经受托人事先书面批准不得作出任何此类任命或免职。发行人应时刻保持条件17中规定的代理; |
10.11 |
发行人等持有的证券:在受托人以书面提出如此要求后,在合理可行的范围内尽快(无论如何不迟于14日)向受托人发送一份发行人的证书,该证书由发行人的授权签字人签署,说明在该证书日期由任何发行人及其任何子公司或其代表实益持有的证券数量; |
10.12 |
行权满足通知:在任何行权权利已被适当行使以及该行权权利已被适当行使并解除的证券本金金额时,及时通知或促使通知受托人和委托代理人; |
10.13 |
可选赎回:根据条件8(b)和/或8(c)向受托人、委托代理人和任何拟议可选赎回的证券持有人发出书面事先通知; |
10.14 |
相关事件的通知:至迟于知悉相关事件发生之日起14天内,按条件书面通知受托人及证券持有人; |
10.15 |
备案、登记和报告:适当和准时遵守或促使遵守根据适用法律和法规不时以任何方式与本信托契约、证券和/或代理协议相关的所有备案、登记、报告和类似要求; |
10.16 |
同意、批准及授权:取得、遵守及作出一切必要的事情,以维持任何同意、批准、授权、豁免、备案、许可、命令、记录或登记(i)使发行人能够合法订立、行使其权利,并在需要时履行及遵守其在证券及/或本信托契据下的义务,(ii)确保该等义务具有法律约束力及可强制执行,及(iii)使证券、本信托契据及/或代理协议在香港法院的证据可予接纳; |
10.17 |
合规:遵守并履行和遵守本信托契约、代理协议、证券及与任何证券有关的条件的所有条款,并被表述为对其具有约束力。条件对发行人和证券持有人具有约束力。受托人有权强制执行发行人在证券和条件下的义务,如同在本信托契据中载列和包含的义务一样,该信托契据应被理解为与证券的一份文件; |
10.18 |
法律意见:在对本信托契约、代理协议、证券和条件中的任何一项作出任何修改或修正或补充之前,促使向受托人交付关于英文和任何其他相关法律的法律意见,日期为该等修改或修正或补充的日期(视情况而定),且形式和实质均为受托人可接受的法律顾问提供的受托人可接受的法律顾问; |
10.19 |
主要附属公司:在受托人提出书面要求后30天内,提供由发行人的授权签字人签署的大致采用附表6所列格式的证明,其中载列截至发行人最后一个财政年度最后一天或截至该要求所指明日期的主要附属公司名单(定义见条件4(d)); |
19
10.20 |
向发改委、证监会发行后备案的通知:遵守关于以下方面的要求: |
(a) |
条件4(b)中规定的证券方面的必要信息和文件向发改委的备案,包括但不限于发改委发行后的首次备案(如下文第10.21条所述);和 |
(b) |
根据条件4(c)的规定向中国证监会提交有关证券的必要信息和文件,包括但不限于首次在中国证监会发行后提交文件(如下文第10.21条所述)。 |
10.21 |
首次发改委发行后备案和首次证监会发行后备案:遵守关于首次发改委发行后备案和首次证监会后- |
条件4(d)(i)中规定的发行备案,并应
(a) |
在(i)提交首次发改委发行后备案和(ii)提交首次证监会发行后备案(如有)两者中较晚者后的十个登记营业日内,向受托人提供一份由发行人授权签字人签署的确认提交(x)首次发改委发行后备案和(y)首次证监会发行后备案的英文证明,以及证明(x)首次发改委发行后备案(如有)和(y)首次证监会发行后备案(如有)的相关文件副本;和 |
(b) |
(i)首次发改委发行后备案完成和(ii)首次证监会发行后备案完成后的较晚日期后的十个登记营业日内,向受托人提供证明提交(x)首次发改委发行后备案和(y)首次证监会发行后备案的相关文件(如有)。 |
(本条第10.21款(a)项和(b)项中的文件合在一起,为“登记文件”)
此外,发行人应当在登记文件送达受托管理人后十个登记营业日内(按照条件16)向证券持有人发出通知,确认提交首次发改委发行后备案和首次证监会发行后备案。发行人应当在完成首次发改委发行后备案和首次证监会发行后备案后的十个登记营业日内(按照条件16)向证券持有人发出通知,确认完成首次发改委发行后备案和首次证监会发行后备案。
受托人没有义务或义务监测或协助或确保首次发改委发行后备案或首次证监会发行后备案分别提交或完成,或核实与首次发改委发行后备案、首次证监会发行后备案和/或登记文件有关或与之相关的任何文件的准确性、有效性和/或真实性,或翻译或促使将与首次发改委发行后备案相关或与之相关的登记文件或文件翻译成英文,首次证监会发行后备案或向证券持有人发出通知,确认完成首次发改委发行后备案和首次证监会发行后备案,不对发行人、证券持有人或任何其他人不这样做承担责任;和
10.22 |
向发行人各自的股东或一般发行人的债权人发出的所有通知、声明、通函和文件的信息材料:向受托人发送副本或翻译件(在每种情况下均为英文),这些通知、声明、通函和文件在其发行日期后在合理可行的范围内尽快(但不迟于30天)在证券背景下是重要的,并尽可能多地提供给代理人(代理人无需支付费用) |
20
为满足证券持有人不时提出的任何要求而可能要求的副本或翻译。
11. |
受托人的薪酬及补偿 |
11.1 |
正常报酬:只要有任何证券未偿付,发行人将在每种情况下的日期向受托人支付其作为受托人的服务的报酬,金额为他们可能不时书面同意的日期。该等报酬将自本信托契据之日起按日累计。然而,如果向证券持有人支付与交换证券时的任何证券有关的到期款项被不当扣留或拒绝,则该等报酬将从该扣留或拒绝之日起再次累积,直至向该证券持有人或受托人的付款或交付得到适当支付或交付。 |
11.2 |
额外报酬:如果违约事件或潜在违约事件应已发生,或如果受托人认为或被告知该事件已发生,发行人在此同意,受托人有权获得按其不时有效的正常小时费率计算的额外报酬。在任何其他情况下,如受托人认为合宜或必要,或被发行人要求承担受托人认为属例外性质或超出受托人根据本信托契约、代理协议、证券及/或条件的正常职责范围的职责,则发行人将支付受托人与发行人可能同意的额外薪酬(并可参考不时有效的受托人的正常小时费率计算)或,未能就本条例草案第11.2条中的任何事项(或第11.1条所提述的款项)达成协议,而该等事项是由受托人选定并经发行人批准的金融机构或人士(作为专家行事)所厘定,或在未能取得该等批准的情况下,由英格兰及威尔士律师会主席暂时提名。此类提名所涉及的费用及此类金融机构的费用由发行人承担。此类金融机构或个人的认定将具有结论性,对发行人、受托人和证券持有人具有约束力。 |
11.3 |
费用:发行人还将根据受托人的要求,支付或解除受托人在编制和执行本信托契约、代理协议和证券以及履行其职能和职责以及行使其在本信托契约、代理协议和证券项下的权利、权力和/或指示方面适当发生的所有费用、成本、收费和开支以及所有责任,包括但不限于为履行其职能和职责和/或行使其任何权利而寻求法律、财务、会计或其他建议方面适当发生的费用,上述权力和/或酌情权、差旅费、与任何受委任人的委任或聘用有关或因之产生的任何金额,以及受托人就受托人对发行人提起或预期的任何法律程序或为强制执行本信托契约、代理协议或证券的任何规定而支付的任何印花、单证或其他税款或关税,在每种情况下连同任何适用的增值税、销售、印花、发行、登记、单证或其他税款或关税。这些成本、费用、负债和开支将: |
(a) |
如受托人在该要求前已付款,则自要求之日起按相当于2%的利率计息,年利率高于受托人通知的受托人作出该等付款之日的资金成本;及 |
(b) |
在其他情况下,自要求之日起30天后或(如要求指明将在较早日期付款)自该较早日期起按该利率计息。 |
11.4 |
赔偿:发行人在此无条件和不可撤销地承诺,并承诺应要求向受托人(包括任何前任受托人)作出赔偿并使其免受损害,其 |
21
董事、高级职员、雇员和代理人(各自为“受偿方”)在任何时候都在税后基础上全额支付适当发生的所有成本、费用、开支和支出(包括但不限于法律顾问和其他专家的费用、成本和支出)以及该受偿方可能遭受或提起或可能承担的所有损失、责任、诉讼、诉讼、索赔、要求、处罚、损害赔偿和其他责任(所有此类成本、费用、开支、支出、支出、损失、责任、诉讼、诉讼、索赔、要求、处罚、损害赔偿、税款、关税、征费和其他任何责任,统称“损失”)由于或与(i)他们根据本协议被任命或参与,或行使或不行使他们根据本协议或根据证券行使的任何权利、酌处权、职能、权力或义务,或根据本信托契约、代理协议、证券或其通常惯例的条款采取任何行为;或(ii)本信托契约、代理协议、证券和与本协议或其中所设想的交易有关的任何其他交易文件,或(iii)任何指示、证明、通信,受托人根据本信托契约、代理协议和/或证券可最终依赖的指示或其他文件(不承担责任),以及受赔偿方为抵御或调查与上述有关的任何索赔或责任而适当招致的费用、成本和开支;或(iv)与为强制执行受托人获得赔偿、补偿或赔偿的权利而提起的任何诉讼、索赔或诉讼有关的费用和适当招致的律师费用和法庭费用,但在有管辖权的法院确定该受赔偿方因欺诈、故意不当行为或重大过失而招致或遭受或针对该受赔偿方提起的任何此类损失的情况下,本赔偿不适用于受赔偿方。1999年《合同(第三方权利)法》适用于这一条款11.4。
11.5 |
税收:发行人在此进一步向受托人承诺,除非法律强制,否则其根据本信托契约(包括但不限于第11条、第4.1条和第18条)应付给受托人或任何受偿方的所有款项,应在没有抵销或反索赔的情况下作出,且不得为或因任何当前或未来的任何税收、关税、评估或政府收费而扣除或扣缴,无论其性质如何,均由或在任何司法管辖区或其任何政治分区或由其当局或其中有权征税的当局征收、征收、代扣代缴或评估,在此情况下,发行人将支付额外金额,导致受托人或其他受偿方收到其根据本信托契约(包括但不限于第11条、第4.1条和第18条)在没有任何此类抵销、反索赔、扣除或预扣的情况下本应支付给受托人或该受偿方的金额。 |
11.6 |
利息:在到期日未支付的所有应付给受托人的薪酬,自该到期日起,按受托人通知的在该到期日适用的资金成本的百分之二的年利率计息,直至全额支付该等薪酬之日止。 |
11.7 |
持续效力:即使不再是受托人或证券不再未偿还或本信托契据已终止或已届满,第11条对受托人亦将继续具有全面效力及效力。 |
12. |
1925年《受托人法》和2000年《受托人法》的补充条款 |
作为对1925年《受托人法》和2000年《受托人法》的补充,并受第13条的约束,明确声明如下:
12.1 |
建议:受托人及其每名董事、高级人员、雇员及妥为委任的人士可聘请任何法律顾问、专家或其他专业顾问(包括任何律师、估值师、会计师、测量师、银行家、 |
22
经纪人、拍卖师、核数师、投资银行或财务顾问)由其选定,并可依赖任何该等顾问及受托人的意见或意见,或从中获得的任何报告、确认、证明或资料行事,以及其各自的董事、高级人员、雇员及妥为委任的人士,概不对证券持有人或任何其他人根据该等意见、意见、意见、报告、确认、证明或资料所采取或未采取或遭受的任何行动所引致的任何损失或责任负责,不论该等意见、意见、建议、报告、确认,证书或信息由发行人、受托人或任何其他人获得或寄给发行人、受托人或任何其他人,尽管有任何货币或其他责任限制或范围或依据限制。任何该等意见、意见、建议、报告、确认、证明或资料可透过信函、电子邮件、其他电子通讯发送或取得,而受托人及其每名董事、高级人员、雇员及妥为委任的人士,即使最终依赖或依据任何看来是藉该等方式传达的意见、建议、报告、确认、证明或资料,即使其中包含某些错误或并非真实,且不论与此有关的责任是否因参考货币上限、方法或其他方式而受到限制,均不对任何人承担法律责任。
12.2 |
受托人承担履约:受托人无需将本信托契约、代理协议或本文或其中提及的任何其他文件的执行情况通知任何人或采取任何行动以查明是否已发生违约事件或潜在的违约事件或相关事件。在受托人的负责人员收到相反的书面明示通知之前,受托人可以假定没有发生违约事件或潜在的违约事件或相关事件。为免生疑问,根据第19条向受托人发出的任何通知或通讯,连同一份副本送交其香港分行,须当作已送交受托人的一名负责人员。 |
12.3 |
无监测义务:在不违反第12.21条的情况下,受托人没有义务监测或监督任何其他人在证券、本信托契约、代理协议或与本协议或其中所设想的交易有关的任何其他协议或文件下的职能,并有权在没有或明确书面通知违反义务的情况下,假定每一此类人正在适当和充分履行并遵守其义务。特别是,受托人没有义务监督发行人的任何业绩(财务或其他方面),受托人不对证券持有人因未能这样做而产生的任何损失负责或承担责任。受托人不对上述任何人根据证券、本信托契据、代理协议和本文或其中提及的任何其他文件履行或与之相关的履行承担任何责任或义务。 |
12.4 |
证券持有人的决议:受托人将不对任何人就声称(i)已在证券持有人会议上通过且已就其作出会议记录并签署会议记录或(ii)是根据附表3第22段作出的书面决议或获得的电子同意的决议采取行动,即使后来发现该会议的组成或决议的通过存在缺陷或该决议对证券持有人无效或不具约束力。 |
12.5 |
受托人资金违法/支出:本信托契约、证券、代理协议或本文或其中提及的任何其他文件中的任何内容均不得要求受托人做任何事情,受托人可在任何州或司法管辖区不做任何其认为:(i)可能违法或违反任何适用的法律、指令、法院命令,任何政府机构或州或司法管辖区的仲裁裁决或财政要求;或(ii)它将无权凭借该州或司法管辖区的任何适用法律在该州或司法管辖区作出,或如果它被该州或司法管辖区的任何法院或其他主管当局确定它没有这种权力,或(iii)可能导致它在履行其任何职责或行使其任何权利、权力时消耗或冒着自有资金的风险,或以其他方式承担任何财务责任,根据本协议或根据条件和/或代理协议的授权或酌处权,如果它认为偿还 |
23
此类资金或针对此类风险或责任的令人满意的赔偿,和/或担保和/或预先资助,不向其保证。此外,尽管本信托契据、代理协议或条件中另有任何规定,受托人可(a)不做其认为会或可能违反证券上市或通过其持有和/或清算证券的任何相关证券交易所或其他市场或结算系统的规则、操作程序或市场惯例的事情,或会或可能使其对任何州或司法管辖区的任何人承担责任的事情,以及(b)不做其认为,必须遵守上述任何适用法律、指令、法院命令、仲裁裁决、财政要求、规则、操作程序或市场惯例。
12.6 |
获授权签署人签署的证明:如受托人在行使其根据本信托契据、代理协议、证券或受托人以其身份为一方的任何其他文件项下的职能、职责、权利、权力和/或酌情权时,要求信纳或掌握关于任何事实或任何行为的权宜性的信息,则可要求并接受由发行人的授权签署人就该事实或该行为的权宜性签署的证明,作为该事实或该行为的充分证据,或大意为,他们认为,该行为是权宜之计,受托人无需要求提供进一步证据,也不会对任何证券持有人或任何其他人因依赖或根据此类证明行事而造成的任何损失负责或承担责任。 |
12.7 |
文件的存放:受托人可按任何条款委任其业务包括安全保管文件的任何银行或实体或任何律师或律师事务所作为托管人,并可将本信托契据及任何其他文件存放于该托管人,并按发行人的成本支付与此有关的所有应付款项,且受托人不负责或被要求为与该存款有关的任何损失投保。受托人没有义务指定应付无记名证券的托管人。 |
12.8 |
酌情权:尽管本信托契约、代理协议和/或条件有任何相反的规定,受托人将对行使或不行使其在本信托契约、代理协议、证券、条件和任何其他交易文件下的职能、义务、权利、权力和酌情权拥有绝对和不受约束的酌情权,并且不对其行使或不行使可能导致的任何损失、责任、成本、索赔、诉讼、要求、费用或不便负责。每当在本信托契据、代理协议及证券或法律上,受托人拥有任何酌情权或许可权时,在未经证券持有人批准或以特别决议方式作出指示的情况下,可拒绝行使同样的酌情权或许可权。受托人不受约束行使任何职能、义务、权利、酌处权或权力,或应证券持有人的请求或指示行事,除非先就其认为可能使自己承担责任的所有诉讼、程序、索赔和要求作出弥偿和/或担保和/或预先注资以使其满意,以及因此而可能招致的所有费用、成本、收费、损害赔偿、开支和责任。至于受托人与证券持有人之间,行使该等酌情权具有结论性及约束力。如受托人正在寻求该等指示或指示,或如所寻求的指示或指示并非由证券持有人提供,则受托人对任何人因延迟行使任何该等酌情权或权力或采取任何行动、作出任何决定或作出任何指示而招致的任何损失或法律责任概不负责或承担法律责任。受托人无须就发行人或任何其他人根据指示或根据证券持有人的指示行事(不论以特别决议或本信托契约及/或证券所设想或许可的其他方式)而招致或遭受的任何费用、损失、成本、收费、责任及开支,向发行人或任何其他人承担责任。 |
12.9 |
代理人:在不违反第12.21条的规定下,每当其认为有利于证券持有人利益时,受托人在进行其信托业务时,可不经任何其他方许可而非亲自采取行动,聘用其选定的代理人并向其支付报酬, |
24
不论是否为律师或其他专业人士,进行交易或进行或同意交易或进行任何业务及进行或同意进行受托人须作出的一切行为(包括收付款项)。
12.10 |
转授:在不违反第12.21条的规定下,受托人可在执行及行使本信托契据、代理协议及条件赋予其的全部或任何信托、权利、权力、授权及酌情权时,由受托人的负责人员或一名负责人员行事,而受托人亦可在其认为适当时(不论是藉授权书或其他方式)转授予任何人士或人士或波动的人士团体(不论是否为联属公司,是否为本信托契约的共同受托人)本信托契约、代理协议和/或证券赋予其的全部或任何信托、权力、授权和酌情权以及任何此类转授可根据受托人认为合适的条款和条件并受其认为合适的法规(包括转授的权力)作出。 |
12.11 |
被提名人和托管人:就其根据本信托契约持有的任何资产而言,受托人可在无任何其他方许可的情况下(费用由发行人承担)指定任何人以任何条款担任其代名人或托管人。 |
12.12 |
伪造入册:受托人将不会因已接受为有效或未拒绝任何证书或任何登记册上声称是此类且后来被发现是伪造或不真实的记项而对发行人或任何证券持有人承担责任,也不会对依赖其认为是真实的且已由适当各方出示或签署的任何文件、证书或通讯而采取或不采取的任何行动承担责任。 |
12.13 |
保密: |
发行人:
(a) |
承认与发行人有关或与本信托契约项下拟进行的交易有关的信息可能会被转移到没有严格的数据保护或数据隐私法的司法管辖区; |
(b) |
确认允许转让/披露/使用的此类信息包括发行人向受托人提供的有关第三方的任何信息;和 |
(c) |
声明其已向受托人发送或收到其向其提供信息的任何人为允许处理该信息所需的任何通知、同意和豁免,并表示其将在未来提供此类信息之前这样做。 |
除非有管辖权的法院或任何司法管辖区的任何监管机构下令或根据适用法律的要求这样做,否则不得要求受托人向任何证券持有人或任何其他人披露发行人或其各自子公司向受托人提供的任何机密财务或其他信息,任何证券持有人或任何第三方均无权采取任何行动从受托人处获得任何此类信息。
12.14 |
结论性裁定:就其本身与证券持有人之间而言,受托人可裁定就本信托契据、代理协议及证券的任何条款所产生的所有问题及疑问。此类确定,无论是就受托人的行为或程序中实际提出或暗示的此类问题作出的,都将是结论性的,并对所有其他方当事人和证券持有人具有约束力。 |
25
12.15 |
货币兑换:如有必要或可取地将任何款项从一种货币兑换为另一种货币,则(除非特此另有规定或法律要求)将按受托人酌情指明但须考虑现行汇率(如有)的方法及日期按一种或多种汇率兑换。如此规定的任何费率、方法和日期将对发行人和证券持有人具有约束力。 |
12.16 |
违约事件等:受托人可但无义务酌情确定违约事件或潜在违约事件或任何其他提议的行动或任何情况是否在其看来能够补救和/或对证券持有人的利益造成重大损害。任何此类认定将是决定性的,并对证券持有人具有约束力。受托人将不对发行人或任何证券持有人或任何其他人因未能作出此类确定而产生的任何损失负责或承担责任。在不损害前述规定的原则下,受托人没有义务根据本条第12.16款作出裁定,除非先就其认为可能使自己承担责任的所有诉讼、程序、索赔和要求作出弥偿和/或担保和/或预先注资以使其满意,以及其认为这样做可能引起的所有费用、费用、损害赔偿、费用和责任。 |
12.17 |
证券的付款及交付:受托人将不负责(i)发行人收取或申请发行证券的收益,(ii)任何证券交换或(iii)将证券交付予有权获得其收益的人。 |
12.18 |
行权价格:受托人没有义务或责任确定是否存在可能需要调整行权价格的事实或任何事件或情况已经发生或存在,或确定作出任何此类调整时的性质或程度,或作出调整时使用或将使用的方法,或作出与行权价格有关的任何确定或计算(或任何确定或计算的任何验证),而受托人将不对证券持有人或任何其他人因其未能这样做而引起的损失负责或承担责任。 |
12.19 |
加速:受托人可(但无义务)根据条件10宣布证券立即到期应付,除非持有当时未偿还证券本金总额至少25%的证券持有人以书面要求受托人这样做或由特别决议如此指示,除非在任何此类情况下,该证券已就所有费用、索赔、责任、诉讼、诉讼、要求、处罚、损害赔偿、费用获得赔偿和/或担保和/或预先资助以使其满意,它在该日期已发生的付款和费用,以及它认为它可能因此和因此而使自己承担或已使自己承担责任的款项和费用。 |
12.20 |
发行人等持有的证券:在没有相反的明确书面通知的情况下,受托人可以不经查询(根据第10.11条要求提供证明除外)假定没有证券由发行人或其子公司或其子公司当时或代表其持有。 |
12.21 |
代理人等的责任:如受托人在选择根据本信托契据委任的任何托管人、代理人、转授权人或代名人(各自称为“被委任人”)时行使应有的谨慎,则不承担监督或监察被委任人的任何义务,亦不对因被委任人的作为、不作为、不当行为或失责或被委任人委任的任何替代人的作为、不作为、不当行为或失责而招致的任何损失、责任、成本、索偿、诉讼、要求或费用负责。 |
12.22 |
持有人通过清算系统的利益:在考虑全球证书代表清算系统持有或以任何代名人的名义登记的证券持有人的利益时,受托人可能已考虑到该清算系统或其经营者向其提供的任何证书、报告或任何其他信息,有关其拥有全球证书权利的账户持有人的身份(单独或按类别),并可能考虑此类利益,就好像该账户持有人是证券的持有人一样 |
26
以全球证书为代表。受托人可要求有关结算系统发出任何证明书或其他文件,以证明任何人的帐户所持有的全球证书所证明的证券本金金额。任何该等证明或其他文件,在没有明显错误的情况下,对所有目的均具有结论性和约束力。受托人不应因已接受为有效或未拒绝任何看来是由有关结算系统发出并随后被发现是伪造或不真实或不正确的证明或其他文件而对证券持有人、发行人或任何其他人承担责任。
12.23 |
不对陈述等承担责任:受托人不对本信托契据或与证券有关的任何其他交易文件或与此有关的其他文件所载的任何其他方的陈述、陈述、保证、陈述、陈述或契诺承担责任,而该等交易文件或与此有关的其他文件应被视为发行人的陈述,也不应被视为受托人通过执行本信托契据就证券或本信托契据的有效性、充分性或可执行性作出任何陈述。受托人有权就任何该等协议或其他文件或由此或依据其构成的任何担保的执行、合法性、有效性、充分性、真实性、有效性、可执行性或可采纳性承担其准确性和正确性。 |
受托人不对本信托契约、代理协议、证券或与本协议或其有关的任何其他文件的执行、交付、合法性、有效性、充分性、真实性、有效性、可执行性或可采纳性的证据,或对以任何方式与本信托契约、代理协议、证券或与本协议或其有关的任何其他文件有关的任何事项或事情、执行、交付、合法性、有效性、充分性、真实性、有效性、履行、可执行性或可采纳性的证据、代理协议、证券或与本协议或其有关的任何其他文件负责。此外,受托人不得就行使或不行使其在本协议下的任何权利、权力、职责和/或酌处权的效果向证券持有人或任何其他人负责,除非有管辖权的法院在最终的、不可上诉的判决中确定,受托人本身的重大过失、故意违约或欺诈是证券持有人或该其他人遭受任何损失的原因。
受托人或任何代理均不负责监督或以任何方式确定与发行人在本信托契约、代理协议和/或条件或发行人所要求的任何政府或监管同意、批准、授权、决议、许可或豁免相关的法律或法规的存在、生效或变更,或确定发行人、任何证券持有人或任何其他人是否已进行任何证明(如适用),并且不对发行人的任何失败承担责任,任何证券持有人或任何其他人获得或维持任何政府或监管机构的同意、批准、授权、决议、许可或豁免和/或提供任何此类证明。
12.24 |
发行人条件不负责任:各证券持有人对发行人的财务状况、资信状况、状况、事务、地位和性质等情况自行作出并持续作出独立评估和调查,受托人在任何时候均不对此承担任何责任,证券持有人不得就此依赖受托人。 |
12.25 |
强制执行:受托人可酌情对发行人采取和/或提起任何步骤、行动和/或程序,以在证券到期应付后强制执行证券的付款或宣布证券到期应付,但受托人不承担任何义务执行上述任何一项,除非至少25%的持有人以书面提出要求,否则在当时未偿还证券的本金金额或应已通过特别决议如此指示,在任何此类情况下,它应已获得赔偿和/或担保和/或预先资助以使其满意。 |
27
12.26 |
同意:受托人为本信托契据、代理协议或证券的目的而给予的任何同意,或行使的任何权利、酌情权或权力,可按受托人认为合适的条款和条件(如有)给予,且尽管本信托契据有任何相反规定,代理协议或证券可追溯给予或行使。 |
12.27 |
[保留] |
12.28 |
特别损害及连带损失:尽管本信托契据、代理协议或上述任何一项或其中任何一项所设想的条件或任何其他交易文件的任何其他条款或规定与此相反,受托人及其董事、高级职员、雇员和正式委任的受委人员在任何情况下均不对任何种类的特别、惩罚性、间接或后果性损失或损害承担责任,包括但不限于业务、商誉、声誉、机会或利润的损失或预期的节省,在每一种情况下,无论以何种方式造成或产生,无论是直接或间接产生,也无论是否可预见,即使受托人实际上知道或已被告知此类损失或损害的可能性,也无论就此类损失或损害提出索赔的诉讼形式是否为疏忽、违约、违反信托、违反信托义务或其他原因。本条款第12.28条的规定在本信托契约终止或届满和/或证券不再未清偿和/或受托人辞职或被免职后仍然有效。 |
12.29 |
证券持有人的利益:就行使其权力、信托、授权或酌情权(包括但不限于与任何违反或建议违反本信托契据、代理协议或证券的任何条件或任何规定的任何拟议修改、放弃或授权有关的那些)而言,受托人应将证券持有人的一般利益视为一个类别,而不应考虑因个别证券持有人的特定情况(无论其人数)而产生的任何利益,尤其但不限于,不得考虑因个人证券持有人出于任何目的在任何特定领土注册或居住、或以其他方式与任何特定领土有关或受其管辖或以其他方式受其税务后果影响而导致的此类行使对个人证券持有人的后果(无论其人数如何),且任何证券持有人均无权就任何此类行使对个人证券持有人的任何税务后果向发行人或受托人主张任何赔偿或付款。 |
12.30 |
不可抗力:尽管本信托契据、代理协议、证券或任何其他交易文件中有任何相反规定,受托人或其董事、高级职员、雇员及妥为委任的人士在任何情况下,如因受托人无法控制的任何情况而阻止其履行其义务或行使其权利、权力和/或酌情权,则均不对未能或延迟履行其在本协议项下或根据本协议项下的义务或行使其权利、权力和酌情权承担任何责任,或由于在任何法域持有资产的一般风险,包括但不限于任何现有或未来的法律、命令、判决或条例、超国家或监管机构、司法当局或自律组织或政府当局的任何现有或未来行为、对银行业或证券业的监管,包括市场规则或惯例的变化、货币限制、贬值或波动、影响交易执行或结算或资产价值的市场条件、任何第三方运输、电信、计算机服务或系统的故障、故障或故障、国有化、征用、其他政府行为、自然灾害,上帝的行为、流行病、洪水、火灾、战争,无论宣布或未宣布,恐怖主义、叛乱、革命、暴乱、叛乱、民间骚动、罢工、封锁、其他工业行动、电力或其他供应的一般故障、飞机相撞、技术故障、意外或机械或电气故障、通信或计算机设施中断、计算机故障或任何SWIFT或货币传输系统故障或任何其他原因 |
28
这是受托人无法控制的。本条款第12.30条的规定在本信托契约终止或到期和/或证券不再未清偿和/或受托人辞职或被免职后仍然有效。
12.31 |
保险:受托人不承担任何义务为任何文件或任何有关的凭证、票据、债券或其他证据投保,或要求任何其他人投保任何该等保险。 |
12.32 |
管辖法院的裁定:受2006年《公司法》第750和751条的约束,尽管本信托契约、代理协议、条件和与此或与此有关的任何其他交易文件中有任何相反的规定,受托人不对其采取或遗漏的任何行动承担责任,除非有管辖权的法院在最终的、不可上诉的判决中确定,受托人自己的欺诈、重大疏忽或故意违约是证券持有人或发行人遭受任何损失的原因。 |
12.33 |
[保留] |
12.34 |
判断错误:受托人不对受托人指派管理其公司信托事项的受托人的任何高级管理人员、董事、代理人或雇员作出的任何判断错误承担责任,但有管辖权的法院确定受托人自身的重大过失、故意违约或欺诈是造成任何损失的原因的情况除外。 |
12.35 |
扣除或扣缴的权利:尽管本信托契约、代理协议和/或证券在任何适用法律要求的范围内有任何规定,受托人有权从其根据证券支付的任何款项中扣除或扣缴任何税款,前提是且仅限于适用法律要求的范围内,在此情况下,受托人应在扣除或扣留该等款项后支付该款项,并应在允许的时间内向有关当局说明如此扣除或扣留的金额,或根据其选择,应在支付该款项后合理地立即向发行人退还如此扣除或扣留的金额,在此情况下,发行人应为免生疑问而向有关当局如此说明该等金额,FATCA预扣是为本条款12.35的目的而被视为适用法律要求的扣除或扣留。 |
12.36 |
关于信息报告和收集义务的承诺:在不损害本信托契约的其他规定的情况下,发行人应在对方和/或受托人提出书面请求后十个工作日内,向该受托人提供受托人为受托人遵守适用法律的目的合理要求的与其、其运作或证券有关的表格、文件和其他信息,并在其知悉任何表格、其提供的文件或其他信息在任何重要方面都(或变得)不准确;但条件是,不得要求任何一方根据本条第12.36款提供任何表格、文件或其他信息,只要:(i)任何此类表格,文件或其他信息(或要求在此类表格或文件上提供的信息)不能合理地提供给该方,该方无法通过合理努力获得;或(ii)这样做将或可能在该方的合理意见中构成违反任何:(a)适用法律;(b)信托义务;或(c)保密义务。 |
12.37 |
可能预扣的通知:如果发行人确定受托人根据证券将支付的任何款项是一笔可能因任何税款(包括但不限于根据FATCA)而被扣除或预扣的款项,则发行人应以书面通知受托人,如果此类款项是支付给通常无法因任何税款(包括但不限于根据FATCA)而获得免于任何扣除或预扣的付款的收款人,以及在多大程度上相关 |
29
但是,付款被如此处理,但条件是发行人根据本条款12.37承担的义务仅适用于此类付款因发行人、证券或两者的特征而被如此处理的情况。
12.38 |
税务赔偿:尽管本信托契据另有任何规定,发行人应按要求赔偿受托人因发行人有义务代扣代缴或扣除任何金额的税款而招致的任何责任或损失,包括但不限于FATCA预扣税。 |
12.39 |
法律意见:受托人不对任何人负责(i)未能要求、要求或收到与证券、本信托契据和/或代理协议有关的任何法律意见或(ii)检查或评论任何该等法律意见的内容或(iii)任何该等法律意见的内容,且受托人不对由此产生的任何损失、责任、成本、索赔、诉讼、要求、费用或不便承担责任。 |
12.40 |
合并、合并等:受托人不负责发行人的任何合并、合并、合并、重建或计划,或发行人的全部或实质上全部资产的任何出售或转让,或与此有关的任何计划的形式或实质或其对任何证券持有人的后果。 |
12.41 |
免除冲突:发行人在此不可撤销地免除根据《代理协议》、本信托契据和与证券有关的任何其他文件或为受托人的其他客户而因受托人或受托人的任何关联机构以不同身份行事而可能产生的任何利益冲突,有利于受托人。发行人在此确认,受托人及其关联机构(统称“受托方”)可能在发行人或担保人可能认为与其利益有冲突的其他利益方中拥有权益,或可能正在向其提供或未来可能向其提供财务或其他服务,并且可能拥有信息(无论对发行人是否重要),但根据本协议或根据代理协议作为受托人或代理人(如适用)的受托方各方可能无权与发行人分享的信息(无论是否对发行人重要)。发行人同意,每一受托各方均可就任何一方的证券进行交易(无论是为其自身或其客户的账户)或就其提供建议,并且就发行目的或就证券、本信托契约、代理协议或与证券有关的任何其他文件而言,此类交易或提供建议将不会构成利益冲突。 |
12.42 |
反洗钱和恐怖主义:受托人可采取并可指示任何代理人或受委托人采取其全权酌情决定认为适当的任何行动,以遵守与防止欺诈、洗钱、恐怖主义或其他犯罪活动或向受制裁个人或实体提供金融和其他服务有关的任何适用法律、公众或监管机构的任何请求或受托人的任何政策(包括了解您的客户和其他合规政策和程序),费用由发行人承担。此类行动可包括但不限于拦截和调查发行人账户上的交易(特别是涉及资金国际转移的交易),包括支付到发行人账户或从发行人账户支付的资金的来源或预期接收者。在某些情况下,此类行动可能会延迟或阻止发行人指令的处理、发行人账户交易的结算或受托人履行其在本信托契约、代理协议和/或证券项下的义务。受托人或任何代理人或转授权人概不对受托人或任何代理人或转授权人根据本条款第12.42条采取的任何行动所造成的全部或部分损失(不论是直接或后果性损失,包括但不限于利润或利息损失)承担法律责任。 |
12.43 |
不负责上市:本信托契据中的任何内容均不得要求受托人承担发行人的义务或根据上市、招股说明书、披露或透明度规则(或任何其他适用的主管当局的同等规则)的任何规定而产生的义务。 |
30
12.44 |
无默示义务:受托人有义务履行此类义务,仅履行此处或本信托契约、代理协议或条件(如适用)中具体规定的义务,不得将任何默示义务或义务解读为此类文件中针对受托人的行为。 |
12.45 |
权力、酌情权和职能附加:本信托契约、代理协议和/或条件赋予受托人的权力、酌情权和职能,应是受托人根据一般法律或作为任何证券的持有人可能拥有的任何权力、酌情权和职能之外的补充。 |
12.46 |
制裁 |
(a) |
发行人承诺并声明,其或其任何关联公司、子公司、董事或高级管理人员均不是美国政府(包括美国财政部外国资产控制办公室(“OFAC”))、联合国安全理事会、欧盟或英国财政部(统称“制裁”)实施的任何制裁的目标或对象。 |
发行人承诺并声明,其或其任何关联公司、子公司、董事或高级管理人员均不会使用根据本信托契约支付的任何款项,(i)资助或便利在此类资助或便利时为制裁对象或目标的任何人的任何被禁止的活动或与其开展的业务,(ii)资助或便利作为制裁对象或对象的任何国家或领土的任何被禁止的活动或与其开展的业务,或(iii)以任何其他方式将导致任何人违反制裁。
12.47 |
不承担责任 |
受托人有权在没有任何批准、指示或指示的情况下不采取行动,并且不对在这种情况下不采取行动承担责任。
13. |
受托人的照顾责任及法律责任 |
2000年《受托人法案》第1节不适用于受托人与本信托契约所构成的信托有关的任何职能或义务。凡1925年《受托人法》、2000年《受托人法》与本信托契约的规定有任何不一致之处,在法律允许的范围内,以本信托契约的规定为准。在与2000年《受托人法案》有任何不一致的情况下,本信托契约的规定应构成该法案目的的限制或排除。
14. |
弃权和违约证明 |
14.1 |
豁免:受托人可在不经证券持有人同意及在不损害其就任何其后违约而享有的权利的情况下,在其认为证券持有人的利益不会因此而受到重大损害的情况下,不时及在任何时间,根据其认为合宜的条款,豁免或授权本信托契据发行人的任何违约或建议违约,证券,代理协议或条件或确定违约事件或潜在违约事件将不会被视为此类,前提是受托人不会在违反特别决议发出的明确指示或根据条件10提出的请求的情况下这样做。受托人的放弃或授权可能取决于其获得赔偿和/或担保和/或预先资助以使其满意,以及受托人要求的任何其他条件,包括但不限于从任何投资银行或法律或其他专家和/或审计师处获得建议或意见,以及/或由发行人的授权签字人签署的证明。受托人有权但无义务依赖此类建议或意见。任何此类指示或请求都不会影响先前的放弃、授权或确定。任何该等放弃、授权或决定将具有约束力 |
31
关于证券持有人,除非受托人另有约定,发行人将在其后根据条件16在合理可行的范围内尽快通知证券持有人。
14.2 |
违约证明:发行人未能向任何一只证券的持有人支付一笔应付款项的证明(除非证明相反)将足以证明其就当时应支付的所有其他证券作出了同样的违约。 |
15. |
受托人未被排除订立合同 |
受托人和与受托人有关联的实体及其任何高级职员、董事和雇员可以成为任何证券或股份的所有者,并/或可以获得其拥有的任何权益,如果受托人不是根据本信托契约被任命的,则其或他将拥有相同的权利,并且可以与发行人和任何其他人进行任何金融或其他交易或在其中拥有权益,并且可以作为,或作为存托人、受托人、托管人或代理人,任何证券持有人委员会或团体或发行人或任何其他人的其他义务,如同受托人并非根据本信托契据获委任一样自由,并有权保留且不以任何方式向发行人、证券持有人或任何其他人就由此或与此有关的任何利润或经纪业务或佣金或薪酬的份额或所收到的其他金额或利益承担责任。
16. |
修改和放弃 |
未经证券持有人同意,受托人可(但无义务)同意(i)对条件或本信托契约或代理协议的任何条款作出其认为属形式、轻微或技术性质的任何修改,或为纠正明显错误或遵守任何强制性法律规定而作出的任何修改,及(ii)任何其他修改,以及对任何违约或拟议违约的任何放弃或授权,或任何未能遵守本信托契约及/或代理协议的任何条件或任何条款,而受托人认为该等条件或条款并无实质损害证券持有人的利益,但本款(ii)项所述的权力并不延伸至附表3第3段但书所述的任何该等修改。任何该等修改、授权或放弃对证券持有人具有约束力,除非受托人另有约定,否则任何修改、授权或放弃须由发行人在其后合理可行范围内根据条件16尽快通知证券持有人。
17. |
受托人的委任、退休及罢免 |
17.1 |
委任:在符合下文第17.2条规定的情况下,发行人有权委任新的受托人,但除非事先以特别决议批准,否则不得如此委任任何人。信托公司在任何时候都将是受托人,并可能是唯一的受托人。任何新受托人的委任将由发行人在切实可行范围内尽快通知证券持有人。 |
17.2 |
退任及免职:任何受托人在向发行人发出至少45天的书面通知后,可随时退任,而无须说明任何理由,亦无须负责因该等退任或委任新受托人而引起的任何成本、收费及开支,而证券持有人可藉特别决议案罢免任何受托人,但唯一信托法团的退任或免职在委任信托法团为继任受托人前不会生效。倘一间唯一信托法团发出退休通知或一项特别决议案获通过将其免职,则发行人将尽其合理努力促使另一间信托法团获委任为受托人,但如在该45天通知期届满前15天当日或(视属何情况而定)在该特别决议案日期后30天当日并无委任该等替代受托人,则受托人有权(i)向任何有管辖权的法院呈请其 |
32
辞职条件是其在此之前已通知发行人,并且(ii)任命新的受托人,在每种情况下,费用由发行人承担。受托人不得负责监督或监督任何该等新受托人。
17.3 |
共同受托人:尽管有第17.1条的规定,受托人仍可藉向发行人发出书面通知而委任任何人与受托人共同担任额外受托人: |
(a) |
如受托人认为委任符合证券持有人的利益; |
(b) |
符合某一特定行为将在其中实施的法域的法律要求、限制或条件;或 |
(c) |
在任何司法管辖区取得判决或强制执行判决或本信托契约的任何条文。 |
在符合本信托契据的规定下,受托人可授予任何如此委任的人其认为合适的职能。受托人可向发行人发出书面通知,并由该人解除该人的职务。应受托人的要求,发行人将立即做所有可能需要做的事情,以完善此类任命或罢免。受托人不负责监察或监督任何该等额外受托人,亦不对任何额外受托人的作为及/或不作为承担法律责任。各共同受托人的义务应为若干项,不得为连带。
17.4 |
多数受托人的职权范围:如果有两个以上的受托人,他们中的大多数将有资格履行受托人的职能,前提是大多数包括一家信托公司。受托人的义务和责任应当是若干项,而不是连带的。 |
17.5 |
继承者:受托人可合并或转换成的任何公司或与其合并的任何公司,或因受托人应为一方的任何合并、转换或合并而产生的任何公司,或任何继承受托人全部或实质上全部公司信托业务的公司,均为本协议项下受托人的继承者,而无需签署或归档任何文件或本协议任何一方的任何进一步行为。如发生本条款17.5所述的任何事件,受托人须在合理切实可行范围内尽快向发行人发出通知。 |
18. |
货币赔偿 |
18.1 |
记账和支付货币:美元(“合同货币”)是发行人根据本信托契约、代理协议和证券应付或与之相关的所有款项(包括损害赔偿)的唯一记账和支付货币。 |
18.2 |
解除程度:以合同货币以外的货币收到或追回的金额(无论是由于任何司法管辖区的法院的判决或命令的执行,还是在发行人破产、清盘或解散或其他情况下),由受托人或任何证券持有人就发行人表示应向其支付的任何款项,将仅解除发行人或在收款人能够在该收到或收回之日以如此收到或以该其他货币收回的金额购买的合同货币金额的范围内(或者,如果在该日期不切实可行,则在切实可行的第一个日期这样做)。 |
18.3 |
赔偿:如果该合同货币金额低于本信托契约、代理协议或证券项下表示应支付给收款人的合同货币金额,发行人将按要求在税后基础上对其因此遭受的任何损失进行赔偿。无论如何,发行人将在税后基础上根据要求对收款人进行任何此类购买的成本进行赔偿。 |
33
18.4 |
弥偿分开:本第18条及第4.1及11.4条中的弥偿与本信托契据中的其他义务构成分开且独立的义务,将产生单独且独立的诉讼因由,将适用于无论受托人和/或任何证券持有人授予任何放任,并将继续完全有效,尽管就本信托契据、代理协议和/或证券或任何其他判决或命令项下的任何到期款项作出任何判决、命令、索赔或清算金额的证明。 |
18.5 |
持续效力:本条例第18条即使不再是受托人,亦对受托人继续具有充分的效力及效力。 |
19. |
通讯 |
任何通讯须以信函或电邮方式:
在与发行人通信的情况下,在以下网址向其发送:
名创优品集团控股有限公司
名創優品集團控股有限公司
琶洲大道109号M广场16F
广东省广州市海珠区510000中华人民共和国
邮箱:chronos@miniso.com
关注:名创优品项目Chronos团队
以及在与受托人的通讯中,在以下地点向其发出:
纽约梅隆银行,伦敦分行
维多利亚女王街160号
伦敦EC4V 4LA
英国
注意:受托管理经理/Project Chronos附副本至:
纽约梅隆银行,香港分行
太古广场三号26层
皇后大道东1号
香港
邮箱:honctrmta@bny.com
关注:Global Corporate Trust/Project Chronos
任何此类通信应在电子邮件的情况下生效,当该通信的相关收据被读取时,或发件人未要求读取收据时,在发送时生效,但条件是发件人在发送电子邮件后24小时内未收到发送失败通知,或在信件的情况下,在送达时;但在收件地的营业日或非营业日下午5时后收到(或视为按照前述规定生效)的任何通信,应视为在该地点的下一个营业日营业时生效。根据本信托契约向任何一方交付的任何通信将被发送,将是书面法律证据。
34
上述任何一方可为本第19条的目的更改其地址,方法是向本信托契约的其他各方发出此类更改通知。
除非受托人另有约定,本协议项下的所有通知和其他通信均应以英文发出,或应附有经具有专业资格的笔译员或其他有能力这样做的人认证为真实准确翻译的英文译文。受托人可决定性地依赖任何该等译本,并有权假定该译本是原件的完整和准确的译本,而受托人不对发行人、任何证券持有人、代理人或任何其他人这样做负责或承担责任。
受托人就本信托契约和/或证券和/或代理协议所涵盖的任何事项或任何证书、指示、意见、通知、信函、电子邮件或其他文件或文书(包括但不限于从Euroclear或Clearstream或任何其他替代清算系统、通过或代表Euroclear或Clearstream或任何其他替代清算系统收到的电文)、原件或副本,可最终依赖并应获得充分授权和保护,且不承担作为或不作为的责任,以电子邮件或电子方式交付或发送给它,并被它认为是真实的,并且是由一个或多个适当的人发送的,并且不承担任何责任或义务来核实或确认发出相同信息的人被正式授权代表发行人发出指示、指示、通知、证书或其他通信,并且不对发行人和证券持有人或任何其他人因依赖或遵守该等指示而招致或承受的任何损失、责任、成本或开支承担责任,指示、通知、证明或其他通讯。发行人同意,第11.4条规定的赔偿适用于受托人因根据以电子方式发送的指示和指示行事而遭受的任何损失或赔偿责任。
在任何情况下,受托人均不对因从发行人(或任何获授权人)接收任何数据或将任何数据传送给发行人(或任何获授权人)或通过任何电子方式根据任何通知、指示或其他通信行事而引起的任何损失承担责任。受托人没有责任或义务核实或确认发出该等指示或指示的人事实上是获授权代表发行人(或任何获授权人)发出指示或指示的人。发行人同意,与传送任何此类通知、指示或其他通信有关的任何安全程序(如果有的话),根据其特殊需要和情况向其提供商业上合理程度的保护。
20. |
1999年《合同(第三方权利)法》 |
根据1999年《合同(第三方权利)法》,不是本信托契约一方的人没有权利强制执行本信托契约的任何条款,但本信托契约明确规定该法案适用于其任何条款的范围(如有)除外。本信托契约的当事人有权修改、变更或撤销本信托契约的任何条款,而无需征得任何该等第三方的同意。
21. |
进一步的问题 |
21.1 |
进一步发行:发行人可不时在不征得证券持有人同意的情况下,创设和发行在所有方面与证券具有相同条款和条件的进一步债券,以便该进一步发行的债券应与未偿还的证券合并并形成单一系列。 |
21.2 |
补充信托契约:任何与该证券形成单一系列的进一步证券应由本信托契约的补充契约构成。在任何该等情况下,发行人须在任何该等进一步证券发行前签立并向受托人交付信托契据 |
35
本信托契据的补充(发行人已就其支付所有适用的印花税或其他文件费用、关税或税款,如适用,妥为盖章或据此注明)载有发行人以第2.2条比照形式订立的契诺,内容涉及受托人要求的进一步证券及其他条文(不论是否与本信托契据所载的任何条文相对应),包括作出受托人要求的对本信托契据的相应修改,以及受托人为使任何该等进一步证券的发行生效而可能要求的其他文件和意见。
21.3 |
受托人背书:每份该等补充信托契据的备忘录须由受托人在本信托契据上背书,并由发行人在其本信托契据的副本上背书。 |
21.4 |
致受托人的通知:每当建议创设及发行任何进一步证券时,发行人须提前不少于14日向受托人发出书面通知,表明其这样做的意向,述明建议创设及发行的进一步证券的金额,该通知须附有建议的补充信托契据草案。 |
22. |
对应物 |
本信托契据(及其任何补充信托契据)可以对应签立,所有这些合并在一起构成同一文书。
23. |
管辖法律和管辖权 |
23.1 |
准据法:本信托契据、代理协议、证券以及由此产生或与之相关的任何非合同义务应受英国法律管辖并按其解释。 |
23.2 |
管辖权:发行人不可撤销地服从香港法院的专属管辖权,以解决因本信托契据、代理协议或证券而可能产生或与之相关的任何争议,并因此可在该等法院对发行人提起因本信托契据、代理协议或证券而产生或与之相关的任何法律诉讼或程序(“程序”)。发行人不可撤销地服从此类法院的管辖权,并放弃对此类法院的诉讼程序的任何异议,无论是以地点为由还是以诉讼程序是在不方便的法院地提起的为由。 |
23.3 |
豁免豁免:发行人特此放弃要求主权或其他管辖或执行豁免及任何类似抗辩的任何权利,并不可撤销地同意给予任何救济或任何程序的问题,包括但不限于针对任何财产(无论其用途或预期用途)作出、强制执行或执行与任何程序有关的任何命令或判决(无论其用途或预期用途)。 |
36
附表1
第1部分
全球证书的形式
该证券尚未根据经修订的1933年《证券法》(“证券法”)或任何国家或其他司法管辖区的证券法进行登记。本证券或此处的任何权益或参与均不得在没有此种登记的情况下提供、出售、转让、转让、质押、担保或以其他方式处置,除非此种交易免于或不受此种登记的约束。
本证券的持有人在此接受,同意代表其自己和为其购买证券的任何投资者账户在原发行日期后40天的日期(“发行合规期结束日期”)之前提供、出售或以其他方式转让该证券,仅限于
(a)向名创优品集团控股有限公司(“发行人”)或其子公司之一或(b)根据《证券法》第s条规定的美国境外发生的向非美国人的要约和销售。通过其在此获得(包括对此处任何权益的任何收购),持有人在此表示,它不是美国人,也不是为美国人的账户购买,并且正在根据《证券法》第s条在离岸交易中获得这种担保。
除事先征得发行人书面同意外,发行人的任何附属公司(如《证券法》第144条所界定)或在紧接前三个月内曾是发行人的附属公司(如《证券法》第144条所界定)的人均不得购买、以其他方式获得或拥有本证券或此处的受益权益。
ISIN:XS2972964857
通用代码:297296485
名创优品集团控股有限公司
(于开曼群岛注册成立的有限责任公司)
每美分550,000,000美元0.50。2032年到期的股票挂钩证券
全球证书
全球证书编号。[●]
注册持有人:The Bank of New York Depository(Nominees)Limited(“注册持有人”)
本全球证书就名创优品集团控股有限公司(“发行人”)的上述证券(“证券”)的本金金额发行。这份全球证书证明,
37
登记持有人于本协议日期登记为该证券本金金额的持有人。
发行本凭证所涉及的证券,在符合条件和信托契据的情况下,可按现金结算金额进行交换。
解释和定义
本全球证书中对“条件”的提述是指适用于证券的条款和条件(其格式载于发行人与作为受托人的纽约梅隆银行伦敦分行之间日期为2025年1月14日的信托契据(“信托契据”)附表2,因为该格式由本全球证书的规定补充和/或修改和/或取代,在发生任何冲突时以此为准)。本全球证书中使用的其他大写术语应具有条件或信托契约中赋予它们的含义。
本全球证书受信托契约中所有此类条款的约束,证券持有人被转介至信托契约以获得所有此类条款的声明。在适用法律允许的范围内,如本全球证书的条款与信托契约的条款有任何不一致之处,将以信托契约的条款为准。
承诺支付
发行人,对于收到的价值,承诺向本全球证书所代表的证券持有人支付(以交回本全球证书为准如不须就该等证券作出进一步付款)在到期日(或在根据条件赎回或偿还时应付的金额可能变得可根据条件偿还的较早日期)就本全球证书所代表的证券作出赎回或偿还时应付的金额,以及自2025年1月14日(“发行日”)起按付款日的利率支付该等证券的拖欠利息,及根据条件中规定的计算方法,但有关计算是就本全球证书所代表的证券的总总金额,连同根据条件可能须支付的其他款项及额外金额(如有)而根据条件作出的除外。
每笔款项将于紧接缴款日期前的结算系统营业日收市时向名册上登记其姓名的人支付或按其顺序支付,其中“结算系统营业日”指除12月25日和1月1日外的工作日(星期一至星期五,含)。
就本全球证书而言,(a)本全球证书所代表的证券的持有人受信托契约的所有条款以及代理协议中对其适用的条款的约束,(b)发行人证明注册持有人在本协议签署之日已作为本全球证书所代表的证券的持有人登记在登记册中,(c)本全球证书仅为权利的证据,(d)本全球证书所代表的证券的所有权仅在登记册上进行适当登记时才转移,及(e)只有本全球证书所代表的证券的持有人有权就本全球证书所代表的证券获得付款。
以全球证书为代表的证券交易所
如Euroclear或Clearstream或发行人选定并经受托人、委托代理人和持有证券的登记官书面批准的任何其他清算系统(“替代清算系统”)连续14天停业(节假日、法定或其他原因除外)或宣布永久停止营业的意向,则发行本全球证书所涉及的证券的权益所有人将有权拥有以其名义登记的证券的所有权并获得个别最终证书
38
或者实际上这样做了。在这种情况下,发行人将促使签立足够的个别最终证书并交付给注册处处长,以完成、认证和发送给证券的相关持有人。在发行本全球证书所涉及的证券中拥有权益的人,必须在其指定办事处向注册处处长提供不少于30天的通知,告知该持有人打算进行此类交换,以及载有指示的书面命令以及发行人和注册处处长可能要求填写、执行和交付此类个别最终证书的其他信息。
通告
只要证券由全球证书代表,且全球证书是代表Euroclear和Clearstream或任何替代清算系统持有,则应通过向Euroclear和Clearstream或此类替代清算系统交付相关通知的方式向证券持有人发出通知,由其向有权获得证券权益的账户持有人进行通信,以替代证券条款和条件要求的通知。
会议
就任何证券持有人会议而言,就证券持有人会议的任何法定人数要求而言,本全球证书所代表的证券持有人应被视为两人,并有权就本全球证书所发行的每一本金额为200,000美元的证券拥有一票表决权。
证券持有人的赎回
证券持有人在条件8(d)和条件8(e)中的赎回选择权可由本全球证书持有人在条件规定的期限内向委托代理人发出行使选择权所涉及的证券本金金额的通知后行使。
发行人的赎回
条件8(b)和8(c)中规定的发行人的选择权应由发行人在条件规定的期限内向证券持有人发出通知并包含条件要求的信息的情况下行使。
证券持有人的税务选择
证券持有人不按条件8(b)规定赎回证券的选择权,应通过在条件8(b)规定的期限内向委托代理人出示已妥为填写的证券持有人选举通知并载有条件8(b)要求的信息来行使。
转让
证券权益的转让将根据Euroclear和Clearstream(或任何替代清算系统)及其各自的直接和间接参与者的规则和程序,通过Euroclear和Clearstream(或任何替代清算系统)及其各自参与者的记录进行。
取消
发行人或其任何附属公司在赎回、行使或购买本全球证书后注销本全球证书所代表的任何证券,将通过减少证券持有人名册上的证券本金以及本全球证书在提交给注册处处长或按其顺序在本全球证书附表A中进行注释(仅供参考)时的证券本金金额来实现。
39
运动
在符合Euroclear和Clearstream(或任何替代清算系统)的要求的情况下,可在行权期内的任何时间通过向任何交易所代理人或根据其命令出示由该证券的记账权益持有人或代表该证券的记账权益持有人妥为填写的一份或多份行权通知来行使本全球证书所涉及的证券所附带的行权权利。无需将本全球证书连同相关行权通知一起交存于交易所代理。行使权利应由相关交易所代理通知注册官和本全球证书持有人。
受托人的权力
在本全球证书以清算系统代名人的名义注册期间考虑证券持有人的利益时,受托人可在其认为在当时情况下适当的范围内这样做,但无义务这样做,(a)已考虑由有关结算系统或其营运商或代表有关结算系统或其营运商可能向其提供的有关其账户持有人(个别或以类别方式)的身份与证券有关的权利的任何资料,及(b)基于该等账户持有人为发行本全球证书所针对的证券的持有人而考虑该等权益。
本全球证书在经注册官认证或代表注册官认证之前,不得用于任何目的。
根据1999年《合同(第三方权利)法》,不是本全球证书当事人的人无权强制执行本全球证书的任何条款,但条件10和12所设想的范围以及其他情况除外,但本全球证书明确规定该法案适用于其任何条款的范围(如有)除外。
本全球证书以及由此产生或与之相关的任何非合同义务应受英国法律管辖并按其解释。
40
作为见证,其中发行人已促使本全球证书由其代表签署。
截至发行日期。
名创优品集团控股有限公司
签名: |
|
|
|
|
|
|
|
姓名: |
|
|
|
职位: |
|
认证证书
这张全球证书是经过认证的
由注册官或代表注册官
没有追索权、保证或责任。
纽约梅隆银行SA/NV,都柏林分行
作为注册官由:
签名: |
|
|
|
|
|
|
|
姓名: |
|
|
|
职位: |
|
仅供认证之用。
41
转让的形式
对于收到的价值,以下签名的转账至 |
|
|
|
|
(请打印或打字转让人姓名和地址)
美元[ ● ]本全球证书所代表的证券的本金金额,及其项下的所有权利。
过时的 |
|
已签署 |
认证签名 |
注意事项:
1 |
进行转让的人的签名应符合由本全球证书所代表的证券的持有人提供的正式授权样本签名清单,或(如果该签名与本全球证书表面上显示的名称相对应)由公证人或认可银行认证或由转让代理人或书记官长可能要求的其他证据支持。 |
2 |
证券持有人的代表应说明他以何种身份签署,例如遗嘱执行人。 |
首席代理人
纽约梅隆银行伦敦分行
维多利亚女王街160号
伦敦EC4V 4LA
英国
书记官长和过户代理人
纽约梅隆银行SA/NV,都柏林分行
河滨二号
约翰·罗杰森爵士的码头
大运河码头
都柏林2,爱尔兰
42
附表a
本所关乎的证券的本金增加/减少附表
全球证书颁发
发行本全球证书所涉证券本金额的以下增加/减少是由于:(i)行使证券所附的行使权利,(ii)赎回证券,(iii)购买和注销证券,或(iv)部分交换最终证书或(v)进一步发行。
日期(说明原因 |
|
增加/减少金额 |
|
本金金额 |
|
或作出的记号 |
43
第二部分
证书的格式
该证券尚未根据经修订的1933年《证券法》(“证券法”)或任何国家或其他司法管辖区的证券法进行登记。本证券或此处的任何权益或参与均不得在没有此种登记的情况下提供、出售、转让、转让、质押、担保或以其他方式处置,除非此种交易免于或不受此种登记的约束。
本证券的持有人在此接受,同意代表其自己和为其购买证券的任何投资者账户在原发行日期后40天的日期(“发行合规期结束日期”)之前提供、出售或以其他方式转让该证券,仅限于
(a)向名创优品集团控股有限公司(“公司”)或其子公司之一或(b)根据《证券法》第s条规定的条例所指的在美国境外发生的向非美国人的要约和销售。通过其在此的收购(包括对此处任何权益的任何收购),持有人在此表示,它不是美国人,也不是为美国人的账户购买,并且正在根据《证券法》第s条在离岸交易中获得这种担保。
除事先征得公司书面同意外,公司的任何附属公司(如《证券法》第144条所界定)或在紧接前三个月内曾为公司的附属公司(如《证券法》第144条所界定)的人均不得购买、以其他方式获得或拥有本证券或此处的受益权益。
ISIN:XS2972964857
通用代码:297296485
正面:
名创优品集团控股有限公司
(于开曼群岛注册成立的有限责任公司)
2032年到期的550,000,000美元0.50股票挂钩证券
证书
证号。[●]
登记持有人:[ ● ](“登记持有人”)
本证明证明登记持有人于本协议日期登记为名创优品集团控股有限公司(“发行人”)的上述证券(“证券”)本金金额持有人。证券受本协议所背书的条款及条件(“条件”)所规限,并受条件所指的信托契据所规限,并在其利益下发行。条件中定义的表达式在本证书中具有相同的含义。
44
发行本凭证所涉及的证券,在符合条件和信托契据的情况下,可按现金结算金额进行交换。
发行人,对于收到的价值,承诺,或按照以下顺序,在到期日(或在根据条件赎回或偿还时根据条件应付的金额可能成为根据条件应付的较早日期)向本证书所代表的证券的持有人支付根据条件赎回或偿还时应付的金额,连同根据条件可能应付的其他款项和额外金额(如有)根据条件可能应付的其他款项和额外金额(如有)。
就本证书而言,(a)本证书所代表的证券的持有人受信托契据的所有条款及代理协议中对其适用的条款的约束,(b)发行人证明登记持有人于本协议日期已作为本证书所代表的证券的持有人进入登记册,(c)本证书仅为权利的证据,(d)本证书所代表的证券的所有权仅在登记册上适当登记后才转移,及(e)只有本证书所代表的证券的持有人有权就本证书所代表的证券获得付款。
本证明书须经注册主任认证或代表注册主任认证后,方可作任何用途之用。
根据1999年《合同(第三方权利)法》,非本证书当事人的人无权强制执行本证书的任何条款,但条件10和12所设想的范围以及其他情况除外,但本证书明确规定该法案适用于其任何条款的范围(如有)除外。
本证书,以及由此产生或与之相关的任何非合同义务,应受英国法律管辖并按其解释。
45
为见证其中发行人已促使本证书代其签署。
日期:[ ● ]
名创优品集团控股有限公司
签名: |
|
|
|
|
|
|
|
姓名: |
|
|
|
职位: |
|
认证证书
这张证书认证了
由注册官或代表注册官
没有追索权、保证或责任。
纽约梅隆银行SA/NV,都柏林分行
作为注册官由:
签名: |
|
|
|
|
|
|
|
姓名: |
|
|
|
职位: |
|
仅供认证之用。
46
背面:
证券的条款及条件
47
转让的形式
对于收到的价值,以下签名的转账至 |
|
|
|
|
(请打印或打字转让人姓名和地址)
美元[ ● ]本凭证所代表证券的本金金额,及其项下的所有权利。
过时的 |
|
已签署 |
认证签名 |
注意事项:
1 |
实施转让的人的签字应符合由本证书所代表的证券的持有人提供的正式授权样本签字清单,或(如该签字与本证书表面所显示的名称相对应)由公证人或认可银行认证或由转让代理人或书记官长可能要求的其他证据支持。 |
2 |
证券持有人的代表应说明他以何种身份签署,例如遗嘱执行人。 |
48
【须由受让人完成:
[插入任何所需的受让人代表、证书等] ]
首席代理人
纽约梅隆银行伦敦分行
维多利亚女王街160号
伦敦EC4V 4LA
英国
书记官长和过户代理人
纽约梅隆银行SA/NV,都柏林分行
河滨二号
约翰·罗杰森爵士的码头
大运河码头
都柏林2,爱尔兰
49
附表2
证券的条款及条件
50
证券的条款及条件
除斜体段落外,以下为证券的条款和条件,但须经修订,因为它们将出现在代表证券的每份最终证书的反面:
发行本金总额为0.5%、于2032年到期的550,000,000美元股票挂钩证券(“证券”,除非文意另有所指,否则该术语应包括名创优品集团控股有限公司(“发行人”)根据条件15(进一步发行)并与之合并并形成单一系列的任何进一步证券)已获发行人董事会日期为2025年1月6日的书面决议授权。证券由发行人与纽约梅隆银行伦敦分行订立的日期为2025年1月14日(“发行日”)的信托契据(经不时修订和/或补充,“信托契据”)构成,该银行是一家根据纽约州法律组织和存在的银行有限责任公司,并通过其位于伦敦的分行(地址为160 Queen Victoria Street,London,EC4V 4LA,United Kingdom)运营(“受托人”,该表述应包括任何继任受托人和所有当其时作为受托人或信托契约项下的受托人的人)为其本身和证券持有人(定义见下文)的受托人。这些条款和条件(这些“条件”)包括信托契约的摘要,并受其详细规定的约束,其中包括证券的形式。发行人已订立日期为2025年1月14日的有关证券的支付、行使及转让代理协议(经不时修订及/或补充,“代理协议”),由发行人、受托人、作为主要支付代理人的纽约梅隆银行、伦敦分行及主要交换代理人(以该等身份统称为“委托代理人”,该等表述应包括就证券不时委任的任何继任委托代理人)、作为注册商的丨纽约梅隆银行纽约梅隆银行 SA/NV、都柏林分行(“注册商”,该表述应包括就证券不时委任的任何继任登记官)和过户代理人(“过户代理人”,该表述应包括就证券不时委任的任何额外或继任过户代理人),以及其中指定的其他付款代理人、交易所代理人和过户代理人(各自为“付款代理人”、“交易所代理人”或(如适用)“过户代理人”,连同登记官和委托代理人,“代理人”)。下文所指的“委托代理人”、“注册处处长”及“代理人”,是指证券的委托代理人、注册处处长及当时的代理人。除非另有定义,本条件中使用的术语具有信托契约中规定的含义。
信托契据及代理协议的副本可于(a)除公众假期外的通常营业时间(星期一至星期五(伦敦时间)上午九时至下午三时)的所有合理时间(即在发行证券时,在英国伦敦EC4V 4LA维多利亚女王街160号)按事先书面要求及由主要代理人信纳的持有证明及身份证明及(b)由主要代理人以电子方式查阅,遵循事先书面要求并提供持有证明和身份证明令委托代理人满意。证券持有人(定义见下文)有权受益于信托契约的所有条款并受其约束,并被视为已收到(i)信托契约的所有条款和(ii)适用于他们的代理协议条款的通知。
1 |
现状 |
证券构成发行人的直接、无条件、非次级和(根据条件4(a)(负质押))无担保债务,并在任何时候享有同等地位,相互之间没有任何优先权或优先权。发行人在证券项下的付款义务,除适用法律的强制性条款可能规定的例外情况和受条件4(a)(负面质押)约束外,应在任何时候至少与其各自的所有其他当前和未来的无担保和非次级债务具有同等地位。
2 |
形式、面额和标题 |
(a) |
形式及面额:证券以记名形式发行,面额为20万美元,超过部分为20万美元的整数倍(“授权面额”),不附带息票。将就其登记持有的证券向各证券持有人颁发证券证书(各为“证书”)。每份证书将按序号编号,并附有识别号码,该号码将记录于有关证书及发行人将促使注册处处长备存的证券持有人名册(“名册”)内。 |
51
发行后,证券将由存放于Euroclear Bank SA/NV(“Euroclear”)和Clearstream Banking S.A.(“Clearstream”)的共同存托人并代表以其名义登记的证券的全球证书代表。当证券由全球证书代表时,条件由全球证书中包含的某些条款修改。见“与全球形式的证券有关的规定”。
(b) |
标题:证券所有权仅通过条件3(证券转让;出具证明)中所述的转让和登记登记方式通过。任何证券的持有人(除非法律另有规定或由有管辖权的法院命令)就所有目的(不论其是否逾期,且不论其所有权、信托或任何权益通知或就其发出的证书上的任何书面(背书转让表格除外),或被盗或遗失),均须被视为其绝对拥有人,而受托人、代理人及任何其他人无须为如此对待该持有人而承担法律责任。在这些条件中,“证券持有人”和(就证券而言)“持有人”是指证券以其名义在登记册中登记的人(或在共同持有的情况下,首先被点名的人)。 |
3 |
证券的转让;出具证明 |
(a) |
注册纪录册:发行人将促使注册纪录册存放于香港及英国以外的注册处处长的指定办事处,并根据代理协议的条款,输入证券持有人的姓名及地址,以及他们所持有的证券的详情,以及证券的所有转让、赎回及行使的详情。每个证券持有人就其全部持有的证券仅有权获得一份证书。 |
(b) |
转让:在符合条件3(e)(封闭期)和3(f)(条例)以及代理协议条款的情况下,可通过交付就该证券签发的证书的方式转让证券,背面的转让形式正式填写并由持有人或其书面正式授权的律师签署,连同登记官或转让代理人(视属何情况而定)可能要求证明转让人的所有权及已签立转让表格的个人的权限等证据,向登记官或转让代理人的指定办事处;但如证券不得转让,则除非所转让的证券的本金金额及(如并非持有人所持有的全部证券正在转让)未如此转让的证券余额的本金金额为授权面额。凡并非所有已交还证券所代表的证券均为转让标的,将就该证券的余额向转让人发出新的证券。任何证券的转让将是有效或有效的,除非且直至登记在登记册上。 |
全球证书所代表的证券的权益转让将根据相关清算系统的规则和程序进行。
(c) |
新证书的交付:每份将于转让或(如适用)行使证券时发出的新证书,将于注册处处长或(视属何情况而定)收到原证书的有关转让代理人及妥为填妥及签署的转让表格后七个营业日内,在注册处处长的指明办事处或该等其他有关转让代理人处供收取,或在以转让形式要求的情况下,由有权获得证券的持有人承担风险(但对持有人免费,费用由发行人承担)以无保价邮件方式邮寄至转账方式指定的地址。书记官长将在书记官长或任何转让代理人收到上述文件后的七个工作日内,对有关转让进行登记。 |
除全球证书中描述的有限情况外,证券权益所有人将无权接收证书的实物交付。证券不以无记名形式发行。
凡只转让、赎回、行使或购回发行证书所关乎的证券(即一种或多种证券的证券)的部分本金,则就该证券而非如此转让、赎回、行使或购回的新证书,将在原证书交付后七个营业日内
52
向登记官或转让代理人提供,可在登记官或转让代理人的指定办事处领取,或在以转让形式提出要求时,以无保险邮件邮寄,风险由证券持有人未如此转让、赎回、行使或回购(但向持有人免费并由发行人承担费用)至登记册上出现的该持有人的地址。
就本条件3(转让证券;发行证书)和条件6(行使)而言,“营业日”是指在注册处指定办事处(如就转让或行使而向其存放证书)或就转让、结算或行使而向其存放证书的转让代理人所在城市的银行营业的星期六、星期日或公众假期以外的一天。
(d) |
免费办理手续:将由发行人、注册处处长或任何转让代理或代表发行人、注册处处长或任何转让代理向该等证券的相关持有人免费办理证券转让登记和发行新凭证的手续,但(i)在就任何税款支付(或给予发行人可能合理要求或注册处处长或转让代理可能要求的此类赔偿和/或担保和/或预先资助)时,可能就该等转让或发行而征收或征收的关税或其他政府收费,以及(ii)处长或转让代理人(视属何情况而定)以绝对酌情决定权信纳提出申请的人的所有权或身份文件,及(iii)处长或转让代理人(视属何情况而定)信纳条件3(f)(规例)已获遵守。 |
(e) |
封闭期:任何证券持有人均不得要求在根据本条件(包括条件8(a)(到期)支付任何本金的日期(包括)结束的七天期间内登记证券的转让(i),条件8(b)(因课税理由而赎回)及条件8(c)(发行人可选择的赎回));(ii)就证券交付行使通知(定义见条件6(b)(行使程序))后;(iii)根据条件8(e)(退市或控制权变更的赎回)就该等证券交存相关事件赎回通知(定义见条件8(e)(退市或控制权变更的赎回)后或根据条件8(d)(证券持有人可选择的赎回)就该等证券交存认沽通知后;及(iv)截至(及包括)任何利息记录日期(定义见条件7(a)(付款))的七天期间。每一个这样的时期都是“封闭期”。 |
(f) |
规定:所有证券的转让和登记事项将以证券转让的详细规定为准,其初始形式安排到代理协议。条例可由发行人(经注册处处长及受托人事先书面批准)或由注册处处长(经受托人事先书面批准)更改。现行规例的副本将由注册处处长在书面要求下(免费并由发行人承担费用)邮寄予任何证券持有人,并附有令注册处处长满意的持有证明及身份证明。 |
4 |
盟约 |
(a) |
负质押:只要任何证券仍未清偿(定义见信托契约),发行人将不会,且发行人应促使其主要附属公司(任何上市附属公司或该上市附属公司的附属公司除外)不会对其各自目前或未来的承诺、资产或收入(包括任何未赎回资本)的全部或任何部分产生、允许存续或产生或有未清偿的任何产权负担,以担保任何相关债务或就任何相关债务担保任何担保或赔偿,除非,同时或在此之前,证券均以(i)与之相同或以相同的产权负担、(ii)受托人可(但无义务)以其绝对酌情权认为对证券持有人的利益并无重大减益的担保或(iii)以特别决议(定义见信托契据)批准的其他担保、担保、弥偿或其他安排以同等和可按比例分摊的方式作担保。 |
(b) |
发改委备案:发行人承诺在发行日之后的相关规定时限内向国家发改委(定义见下文)备案所需 |
53
根据《企业中长期外债审查登记管理办法(企业中长期外债审查登记管理办法(国家发展和改革委员会令第56号))》(“第56号令”)发布并自2023年2月10日起生效的与证券有关的信息和文件以及发改委不时发布的任何实施细则、报告、证明、批准或指引,包括但不限于发改委首次发行后备案(定义见下文)。
(c) |
证监会备案:发行人承诺根据《中国证监会备案规则》(定义见下文)在发行日之后的相关规定时间范围内向中国证监会(定义见下文)备案有关证券的必要信息和文件(“证监会发行后备案”,其术语为避免疑问,包括首次中国证监会发行后备案(定义见下文),并遵守《中国证监会备案规则》和中国证监会不时发布的任何实施规则规定的持续义务。 |
(d) |
首次发改委发行后备案和首次证监会发行后备案的报送通知:发行人应当: |
(一) |
(i)根据第56号令规定须于发行日期后十个登记营业日内向国家发改委或其主管当地对应机构提交的与发行该证券有关的信息和文件的首次发改委发行后备案(“发改委发行后首次备案”)和(ii)中国证监会的备案报告及与该证券有关的其他必要信息和文件的首次根据《中国证监会备案规则》要求在发行日后三个登记营业日内向中国证监会备案的(“首次证监会发行后备案”),并 |
(二) |
(a)在(a)提交首次发改委发行后备案,及(b)提交首次证监会发行后备案的较晚者后的十个登记营业日内,向受托人提供一份经授权签字人(定义见信托契约)签署的英文证明(大体上采用预定格式),确认(x)提交首次发改委发行后备案,及(y)提交首次证监会发行后备案及证明(x)首次发改委发行后备案的相关文件副本(如有),(y)首次证监会发行后备案(如有);(b)在(a)首次发改委发行后备案完成、(b)首次证监会发行后备案完成后的较晚者后的十个登记营业日内,向受托人提供证明首次发改委发行后备案和首次证监会发行后备案提交的相关文件(如有)(本条件4(d)(二)中(a)和(b)中的文件合称“登记文件”)。此外,发行人应当在登记文件送达受托管理人后十个登记营业日内(按照条件16(通知))向证券持有人发出通知,确认提交首次发改委发行后备案和首次证监会发行后备案。发行人应当在完成首次证监会发行后备案后的十个登记营业日内,向证券持有人发出通知(按照条件16(通知)确认完成首次证监会发行后备案。 |
受托人没有义务或义务监督或协助或确保分别提交或完成首次发改委发行后备案或首次证监会发行后备案,或核实与首次发改委发行后备案、首次证监会发行后备案和/或登记文件有关或与之相关的任何文件的准确性、有效性和/或真实性,或翻译或促使将与首次发改委发行后备案相关或与之相关的登记文件或文件翻译成英文,首次证监会发行后备案或向证券持有人发出通知,确认完成首次发改委发行后备案和首次证监会发行后备案,不对发行人、证券持有人或任何其他人承担责任。
在这些条件下:
54
(一) |
“证监会”指中国证监会; |
(二) |
“中国证监会备案报告”是指发行人根据《中国证监会备案规则》规定在发行日后三个登记营业日内向中国证监会提交的与发行证券有关的备案报告; |
(三) |
“证监会备案规则”指中国证监会于2023年2月17日发布的、经不时修订、补充或以其他方式修改的《境内公司境外发行证券并上市试行管理办法(境内企业境外发行证券及上市管理试行办法)》及配套指引; |
(四) |
“产权负担”是指任何抵押、押记、质押、留置权或其他产权负担或担保权益,以担保任何人的任何义务或具有类似经济效果的任何其他安排; |
(五) |
任何人的「上市附属公司」指该人的任何附属公司,其普通股在任何国际认可的证券交易所上市或买卖; |
(六) |
“发改委”指中国国家发展和改革委员会; |
(vii) |
「中华人民共和国」指中华人民共和国,就本条件而言,除文意另有所指外,不包括中华人民共和国香港特别行政区、中华人民共和国澳门特别行政区及台湾; |
(八) |
「主要附属公司」指发行人的任何附属公司: |
(A) |
其收入或(如属本身有附属公司的附属公司)其最近一期经审计利润表显示的合并收入至少为发行人及其附属公司最近一期经审计的合并利润表显示的合并收入的10%,作为一个整体;或 |
(b) |
其资产总额或(如属本身有子公司的子公司)其最近一期经审计的资产负债表所示的合并总资产至少为发行人及其子公司最近一期经审计的合并资产负债表所示发行人及其子公司合并总资产的10%,其中包括为免生疑问,发行人对其账目未与发行人的合并经审计账目合并并经少数股东权益调整后的各子公司的投资;或者 |
(c) |
向其转让紧接该等转让前为主要附属公司的附属公司的全部或基本上全部资产,但条件是(i)如此转让其资产的主要附属公司须于该等转让后随即不再为主要附属公司,而如此转让资产的附属公司须成为主要附属公司,及(ii)在发行人于该等转让后的日期编制的第一份可供使用的经审计账目(如适用,合并)发出之日或之后,该转让方子公司或该受让子公司是否为主要子公司,应根据该等账目依据本定义(a)或(b)或(c)款的规定确定, |
前提是,就本定义的上述(a)和(b)款而言:
(一) |
如公司或其他经营实体在发行人最近一期合并审计账目所涉及的财务期间结束后成为附属公司,则为进行上述计算而参考发行人当时最近一期合并审计账目,直至发行人就有关公司或其他业务实体成为附属公司的财政期间的合并经审核帐目刊发后,视为参考发行人当时经调整后的最近一期合并经审核帐目,以在该等帐目中合并该附属公司的最近一期经审核帐目(如附属公司本身设有附属公司则为合并帐目); |
55
(二)如在与发行人或其任何本身拥有附属公司的附属公司有关的任何相关时间,没有编制和审计合并账目,则发行人和/或任何该等附属公司的收入或总资产应根据发行人为此目的编制的备考合并账目确定;
(iii)如在与发行人的任何附属公司有关的任何相关时间,没有对账目进行审计,则其收入或总资产(如适用,则为合并)应根据发行人为此目的编制的相关附属公司的备考账目(如适用,则为合并)确定;和
(IV)如任何附属公司(并非上述(i)但书所指的附属公司)的帐目未与发行人的帐目合并,则确定该附属公司是否为主要附属公司应基于其帐目(如适用,合并)与发行人的合并帐目(根据上述情况确定)的备考合并。
由发行人的授权签字人签署的大致与信托契约所预定格式相同的英文证书,其中列出发行人认为截至发行人最近一个财政年度的最后一天,或截至该请求所指明的日期,主要附属公司如对发行人的任何附属公司是否为主要附属公司有争议,须具有结论性,并对发行人具有约束力,发行人和证券持有人在无明显错误的情况下,如同时附有国家认可的会计师事务所致发行人的报告,说明发行人在确定发行人主要子公司时所使用的数字的正确提取和计算的数学准确性;
(九) |
「登记营业日」指商业银行一般在中国北京营业的一天,但星期六、星期日或公众假期除外; |
(x) |
“相关债务”指在中国境外以债券、贷款股票、债券、票据、无记名参与凭证、存托凭证、存单或其他类似证券或票据的形式或由其代表的任何未来或当前债务,或通过为筹集资金而提取或接受的汇票而在任何证券交易所或柜台或任何其他证券市场进行报价、上市、通常交易或交易的任何未来或当前债务,为免生疑问,“相关债务”不包括任何双边项下的债务,银团或俱乐部贷款或信贷便利;和 |
(十一) |
凡提及任何人的“附属公司”或“附属公司”,均指(i)该人拥有或控制(直接或通过一个或多个其他附属公司)的任何公司或其他业务实体超过50%的已发行股本或其他所有权权益,具有选举该公司或其他业务实体的董事、经理或受托人或同等机构的普通投票权,或(ii)任何公司或其他业务实体,其账户在任何时候与该人的账户合并,或根据法律,开曼群岛或香港不时订立的条例或公认会计原则,应将其帐目与该人的帐目合并。 |
5 |
利息 |
证券自发行日(包括发行日)起按年利率0.5%计息其未偿还本金,每半年于每年1月14日及7月14日(各为“付息日”)等额分期支付,自2025年7月14日起开始。每份证券将停止计息:
(a) |
(在符合条件6(b)(iii)(利息应计)的情况下)如附属于其的行使权须已由证券持有人行使,则自紧接相关行使日(定义见下文)之前的利息支付日(包括该日)起,或如无,则为发行日;或 |
(b) |
根据条件8(赎回、购买和注销)或条件10(违约事件)赎回或偿还此类证券的,自到期赎回或偿还之日起, |
56
除非在适当提出后,本金或保费(如有)的支付被不当扣留或拒绝。在这种情况下,该等未付本金将继续按1.5%的年息(在判决之前和之后)直至但不包括(i)相关持有人或其代表收到截至该日就该等证券到期的所有款项之日和(ii)受托人或委托代理人通知证券持有人收到截至该第七日就所有证券到期的所有款项后七天之日中较早者(除非根据本条件向相关持有人的后续支付存在失败)。
如果需要计算少于一个完整利息期(定义见下文)的期间的利息,则相关的日数分数将根据由十二个月组成的360天年度确定,每个月为30天,在不完整的月份的情况下,则根据经过的天数确定。
在这些条件中,自发行日(含)起至但不包括第一个付息日止的期间,以及自一个付息日(含)起至但不包括下一个付息日止的每一连续期间,称为“计息期”。
任何证券的利息应按证券本金每20万美元(“计算金额”)计算。除上述有关等额分期的规定外,任何期间的每计算金额应付的利息金额,须等于上述利率、计算金额及有关期间的日数分数的乘积,将所得数字四舍五入至最接近的一分(向上四舍五入半分)。
6 |
运动 |
(a) |
行使权利 |
(一) |
行权期:在以下规定的情况下,证券持有人有权要求发行人在行权期内的任何时间将其持有的证券兑换为其按照条件6(a)(v)(现金结算金额)计算的现金结算金额(“行权权利”)。“行权期”是指初始行权期或最终行权期。 |
根据本条件的规定,可根据证券持有人的选择,并根据任何适用的财政或其他法律或法规以及下文的规定,行使与证券有关的行使权利,
(一) |
在2031年1月14日(“初始行权期开始日”)或之后的任何时间(“初始行权期开始日”)至到期日前70个预定交易日(“初始行权期结束日”)(包括首尾两天)的日期(包括首尾两天),或如根据条件8(b)(因税务原因赎回)或条件8(c)(发行人可选择赎回)在初始行权期结束日前赎回该等证券,则不迟于10第根据条件8(b)(因税务原因而赎回)或条件8(c)(由发行人选择赎回)确定的赎回日期(视属何情况而定)前的营业日,除非在确定赎回的日期未能就该等证券作出付款,在此情况下,行使权利可直至该等付款的全部金额可供支付且该等可用性的通知已根据条件16(通知)妥为给予证券持有人的日期为止,或如较早,下降10的日期第到期日之前的预定交易日(“初始行权期”);或 |
(二) |
自到期日前69个预定交易日(“最后行权期开始日”)起至到期日前10个预定交易日(“最后行权期结束日”)止的日期(包括首尾两天)止的任何时间,或如根据条件8(b)(因税务原因赎回)及条件8(c)(发行人可选择赎回)在最后行权期结束日前赎回该等证券,则不迟于根据条件8(b)(因税务原因赎回)及 |
57
条件8(c)(发行人可选择的赎回),除非在确定的赎回日期就该等证券作出付款时出现违约,在这种情况下,行使权利可直至该等付款的全部金额可供支付且该等可用性通知已根据条件16(通知)妥为给予证券持有人的日期,或(如更早)到期日前10个预定交易日的日期(“最后行权期”),
在每种情况下,但如该等行使权利的最后日期并非在上述地点的营业日,则证券持有人行使权利的期限应于紧接前一营业日在上述地点结束。
尽管有上述规定,如有关证券的行使日期原本会落在发行人股东名册一般截止的期间内,或为确立股份所附的任何分配或其他权利的权利(“账簿截止期”),则该行使日期须延至该账簿截止期届满后的首个证券交易所营业日(定义见条件6(b)(i)(行使通知))。
如有关行使任何行使权利的行使日期因前述条文而推迟至行权期届满后或有关赎回日期后的日期,则该行使日期须视情况被视为该行权期的最后一天或有关赎回日期。
(二) |
行使价:根据本条件6(a)(行使权)(“行使价”)交换证券的行使价初步将为每股64.395港元,但将按条件6(c)(对行使价的调整)和/或条件6(d)(控制权变更时的调整)规定的方式进行调整。 |
(三) |
违约后的恢复和/或存续:尽管有条件6(a)(i)(行权期)的规定,如果(1)发行人未能就任何证券全额支付款项,而该证券应已在确定的赎回日期被赎回或被赎回,(2)任何证券已因条件10下的任何事件(违约事件)的发生而在到期日之前到期应付,或(3)任何证券未在根据条件8(a)(到期)的到期日或根据条件8(d)(由证券持有人选择赎回)或条件8(e)(因退市或控制权变更而赎回)的适用赎回日期赎回,该证券所附带的行使权将恢复和/或将继续行使,直至,包括,尽管条件6(a)(i)(行权期)的规定,在主要代理人或受托人已妥为收到就该等证券应付的全部款项并已妥为向证券持有人发出有关该等款项的通知之日的营业结束时(在代表该等证券的证书存放以供行使之处),任何证券如在该日期前存放证书及行使通知书以供行使,则须于有关行使日期(定义见下文)行使,即使有关该等证券的应付款项的全数须已于该行使日期前由主要代理人或受托人收到,或行权期可能已于该行使日期前届满。 |
(四) |
“股份”的含义:如本条件所用,“股份”一词是指发行人每股面值为0.00001美元的普通股或因该等股份的任何细分、合并或重新分类而产生的任何类别或类别的股份,它们之间在股息或在发行人自愿或非自愿清算或解散的情况下应付的金额方面没有优先权。为免生疑问,就条件6(c)(转换价格的调整)中的“股份”表述而言,应包括美国 |
58
发行人的存托股份(“ADS”)和任何ADS所代表的基础股份。
(五) |
现金结算金额:一旦就一种或多种证券有效行使行权权利,发行人应在不迟于相关现金结算计算期结束后的第五个香港营业日(为免生疑问,无论该日期是否在到期日之前、当日或之后)之前,以其现金结算金额交换行权证券持有人的证券。 |
现金结算金额由发行人根据相关证券持有人在相关行权通知中的指示,通过转账方式支付至收款人开立的美元账户。为免生疑问,该等付款由发行人直接向相关证券持有人支付,且任何代理人均不对该等支付现金结算金额承担任何责任或义务。
发行人就相关行权通知履行任何行权义务的,只有在足额支付相关现金结算金额后才能解除。在足额支付任何行使证券持有人的行使权利的相关现金结算金额后,该行使证券持有人就已行使行使权利的证券项下的本金、溢价(如有)、利息或任何其他金额的任何偿还的权利即告消灭。
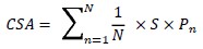
“现金结算金额”是指,就相关行权期而言,就任何行使行权而言,发行人按照以下公式计算的、在行使行权时应按本条件规定支付给证券持有人的金额:
(a)初始行权期:

CSA |
= |
现金结算金额; |
S |
= |
以现金结算的股份; |
Pn |
= |
在相关交易日,该交易日股票在相应现金结算计算期内下跌的成交量加权平均价格,按该交易日的现行汇率折算成美元;以及 |
N |
= |
60,为现金结算计算期内的交易日数。 |
(b)最后行使期限:

CSA |
= |
现金结算金额; |
S |
= |
以现金结算的股份; |
Pn |
= |
在相关交易日,(i)适用的行使价和(ii)在相应现金结算计算期内下跌的该交易日股票的成交量加权平均价格中的较高者,按该交易日的现行汇率换算成美元;和 |
59
N |
= |
60,为现金结算计算期内的交易日数。 |
「现金结算股份」指,就任何日期而言,按该证券持有人作为相关行使行使权标的的证券的本金总额除以于该日期有效的行使价而厘定的股份数目。
“现金结算计算期”是指:
(a) |
在首个行权期内,自有关行权通知日期后的首个交易日起的连续60个交易日;或 |
(b) |
最后一个行权期内,自68日开始的连续60个交易日第到期日前的预定交易日。 |
“香港营业日”是指除周六、周日或公众假期外,商业银行和外汇市场在香港普遍营业的一天。
「成交量加权平均价格」指,就股份于任何交易日而言,该股份于「 9896 HK Equity VWAP 」(或其后续网页)或独立财务顾问(定义见下文)于该交易日确定为适当的其他来源出现于或源自彭博的订单簿成交量加权平均价格,但如在任何该等交易日该价格无法获得或无法按上述规定以其他方式确定,该股份于该交易日的成交量加权平均价格,须为可如此厘定的紧接前一个交易日按上述规定厘定的成交量加权平均价格。
(b) |
运动程序 |
(一) |
行权通知:行使任何证券所附的行权,其持有人必须在上午9:00至3:00期间完成、执行并自费交存 |
下午。于任何交易所代理的指定办事处所在地的任何营业日,以表格(当其时)形式发出行使通知(“行使通知”),连同有关证书,或如该证券持有人已根据条件8(d)(由证券持有人选择赎回)或条件8(e)(退市或控制权变更赎回)发出要求赎回的通知,则直至发出该通知前一天的营业时间结束(在上述地点)。交易所权利的行使应在每种情况下遵守相关行使通知所送达的交易所代理的特定办事处所在司法管辖区适用的任何适用的财政或其他法律或法规。
证券的行使日期(“行使日期”)必须在本条件中表示该证券所附带的行使权利可行使(受条件6(a)(iii)(违约后的恢复和/或存续)和条件10(违约事件)的规定所规限)的时间内发生,并将被视为紧接就该证券交出证书及交付该行使通知的日期后的联交所营业日,以及(如适用),根据本条件就行使该行使权而须作出的任何付款或作出的弥偿。在上述指明的时间以外或在有关交易所代理的指明办事处所在地的非营业日的某一天交存的行权通知,就所有目的而言,均须当作已在上述指明的时间内于该日的下一个营业日交存于该交易所代理。任何证券持有人在封闭期内存入行权通知,将不得在封闭期结束后的下一个营业日之前将证券兑换为现金(如行权通知中规定),该营业日(如已满足向交易所提交的所有其他条件)
60
将为该等证券的行使日期,尽管该日期可能不在行权期内。行权通知一经送达即不可撤销,不得撤回,除非发行人书面同意撤回。在本条件中,“联交所营业日”指香港联合交易所有限公司(“香港联交所”)或另类证券交易所(定义见下文条件6(c)(行使价调整))(视情况而定)开放进行证券买卖的任何一天(星期六或星期日除外)。
(二) |
追溯调整:如果与任何证券有关的行权日期应在根据条件6(c)(对行权价格的调整)引起行权价格调整的任何发行、分配、授予、要约或其他事件的记录日期或之后但在相关调整在相关条件下生效之前(“追溯调整”),则在相关调整生效时,发行人应促使向行权证券持有人支付款项(或根据行权通知中包含的指示(受适用的外汇管制或其他法律或其他法规的约束)),的额外现金金额,连同根据上述条件6(a)(v)(现金结算金额)应付的现金结算金额,相等于如果已对行使价作出相关调整并在相关记录日期或之后立即生效且在此情况下本应支付的现金结算金额。 |
(三) |
应计利息:如在15日或之后根据条件8(b)(因税务原因赎回)或条件8(c)(发行人可选择赎回)发出任何要求赎回任何证券的通知第就股份应付的任何股息或分派而言,如该通知指明赎回日期落在该记录日期之后的下一个利息支付日期后14天的日期或之前,则该记录日期之前的香港营业日,该记录日期自上一个利息支付日期(或如属第一个利息期,则自发行日期起)发生,利息须(按以下规定规限)自(包括)前一个利息支付日(或,如该行使日在第一个利息支付日之前)起至(但不包括)该行使日起计,就该证券而言,其行使权应已获行使,而就该证券而言,行使日在该记录日期之后及在该记录日期之后的下一个利息支付日或之前。任何该等利息须由发行人根据有关证券持有人在行使通知中发出的指示,以转账方式支付至收款人在银行开立的美元账户,最迟于相关行使日期后14日支付,但付款代理人不得以任何方式对任何该等利息支付负责。 |
(c) |
行权价格调整:一旦发生下述任一情形,行权价格调整如下: |
(1) |
合并、拆细、重新指定或重新分类:如因合并、拆细、重新指定或重新分类而导致股份面值发生变动,则行使价须按紧接该等变动前有效的行使价乘以以下分数进行调整: |

哪里:
A |
为紧接该等更改后的一股股份的名义金额;及 |
B |
为紧接该等更改前的一股股份的名义金额。 |
该等调整自该等合并、细分、重新指定或重新分类生效之日起生效。
(2) |
利润或准备金资本化: |
61
(一) |
如发行人须以利润或储备(包括任何股份溢价账户)资本化的方式向股份持有人(“股东”)发行任何记为缴足股款的股份,包括从可分配利润或储备及/或股份溢价账户缴足的股份(任何以股代息(定义见下文)除外),且不会构成资本分派(定义见下文),则行使价须按紧接该发行前有效的行使价乘以以下分数调整: |

哪里:
A是紧接该发行前已发行股份的总面值;及
之二紧接该等发行后已发行股份的总面值。
该等调整须于该等股份发行日期生效,或如已就此订定记录日期,则须紧接该记录日期后生效。
(二) |
倘以以股代息方式发行股份,而该等以股代息方式发行的股份经参考该等以股代息条款公告日期的每股现行市价(定义见下文)厘定的总值超过有关现金股息(定义见下文)或其有关部分的金额,而该金额不会构成资本分派,行使价须按紧接该等股份发行前的有效行使价乘以以下零头调整: |

哪里:
A |
为紧接该发行前已发行股份的总面值; |
B |
指以该等以股代息方式发行的股份的总面值乘以其中(i)分子为股东选择收取作为以股代息方式发行的股份的全部或有关部分的金额及(ii)分母为参考每股现行市价厘定的以股代息方式发行的该等股份的总值;及 |
C |
为以该等以股代息方式发行的股份的总面值。 |
该等调整须于以以股代息方式发行该等股份的发行日期或如已就此确定记录日期,则于紧接该记录日期后生效。
(3) |
资本分配:如发行人须向股东缴付或作出任何资本分配(根据上述条件6(c)(2)(利润或储备资本化)调整的行权价格除外),则行权价格须按紧接该资本分配前有效的行权价格乘以以下分数进行调整: |

62
哪里:
A |
为本次资本分配公告日前最后一个交易日一股的现行市价;及 |
B |
是资本分配中归属于一股的部分的公平市值(定义见下文)。 |
该等调整自该等资本分配实际作出或缴付之日起生效,或如已就此确定记录日期,则紧接该记录日期后生效。为上述目的,公允市场价值(以“公允市场价值”定义中规定的为准)应在资本分配首次公开宣布之日确定,如果更晚,则应在本规定的相关资本分配的公允市场价值能够确定的第一个日期确定。
在根据本条件6(c)(3)(资本分配)进行任何计算时,作为独立财务顾问可能认为适当的此类调整(如有)应反映(a)股份的任何合并或拆分,(b)以利润或储备资本化的方式发行股份,或任何类似或类似事件,(c)股份股息的任何权利的修改或(d)发行人财政年度的任何变化。
(4) |
供股股份或购股权:如及每当发行人须以权利方式向全体或基本上所有股东作为一个类别发行股份,或以权利、期权、认股权证或其他权利方式向全体或基本上所有股东作为一个类别发行或授出认购、购买或以其他方式取得任何股份的权利,在每宗个案中,按发行或授出条款首次公告日期的每股现行市价的95%以下,行使价须按紧接该发行或授出前有效的行使价乘以以下分数调整: |

哪里:
A |
为紧接该公告前的已发行股份总数; |
B |
指以权利方式发行的股份或以权利方式发行或授出的期权或认股权证或其他权利的应收总代价及其中所包含的股份总数按该每股现行市价认购、购买或以其他方式取得的股份数目;及 |
C |
指已发行或(视属何情况而定)包含于发行或授出的股份总数。 |
该等调整自发行该等股份或发行或授出该等期权、认股权证或其他权利(视属何情况而定)之日起生效,或在设定记录日期的情况下,该等股份于首个除权、除权或除权交易日期(视属何情况而定)起生效。
(5) |
其他证券的供股:如及每当发行人须以权利方式向全体或基本上所有股东作为一个类别发行任何证券(股份或期权、认股权证或其他认购、购买或以其他方式取得股份的权利除外),或以权利、期权、认股权证或其他认购、购买或以其他方式取得任何证券的权利(股份或期权、认股权证或其他认购、购买或以其他方式取得股份的权利除外)的方式向全体或基本上所有股东作为一个类别发行或授予,行使价应按紧接该发行或授予前有效的行使价乘以以下分数进行调整: |
63

哪里:
A |
为该等发行或授予公告之日的每股现行市价;及 |
B |
为该等公告日期的每股公平市值可归属于一股的权利部分。 |
该等调整须于证券的发行或该等权利、期权或认股权证(视属何情况而定)的发行日期或在设定记录日期时(视属何情况而定)的股份除权、除权或除权交易的首个日期生效。就上述而言,公平市场价值(受“公平市场价值”定义所规定的规限)应于有关发行或授出的条款公布之日确定,或如较后,则应于有关该发行或授出的股份应占合计权利的公平市场价值能够按本条例所规定确定之首个日期确定。
(6) |
以低于当前市价发行:如及每当发行人须发行(除上述条件6(c)(4)(供股股份或购股权)所述外)任何股份(因行使任何转换为或交换或认购股份的权利而发行的股份除外)或须发行或授予(除上述条件6(c)(4)(供股股份或购股权)所述外)任何认购、购买或以其他方式取得股份的期权、认股权证或其他权利,在每宗个案中,以每股价格低于该等授予或发行条款的首次公告日期的每股现行市价的95%计算,行使价须按紧接该等发行前有效的行使价乘以以下分数进行调整: |

哪里:
A |
为紧接发行该等额外股份或授出该等期权、认股权证或其他认购或购买或以其他方式收购任何股份的权利前已发行的股份总数; |
B |
是指就发行将予发行的股份的最高数目或行使该等期权、认股权证或其他权利而应收的总代价将按该每股现行市价购买的股份数目;及 |
C |
为紧接该等额外股份发行后的已发行股份总数。 |
上述公式中提及的额外股份,在发行人发行期权、认股权证或其他认购、购买或以其他方式取得股份的权利的情况下,是指假设该等期权、认股权证或其他权利在发行或授予该等期权、认股权证或其他权利之日按初始行权价格(如适用)全额行使而将发行的该等股份。
该等调整自该等额外股份发行或(视属何情况而定)该等期权、认股权证或其他权利的发行或授出之日起生效。
(7) |
以低于当前市价发行的其他证券:除根据适用于该等证券本身的条款转换或交换而产生的证券发行属于本条件6(c)(7)(以低于当前市价发行的其他证券)外,发行人或其任何附属公司(条件6(c)(4)(股份的供股或购股权)、6(c)(5)(其他证券的供股)或6(c)(6)(以低于当前市价发行)或(以 |
64
发行人或其任何附属公司的指示或要求或根据与发行人或其任何附属公司的任何安排)任何其他公司、个人或实体发行的任何证券,其根据其发行条款附带转换为或交换或认购发行人在转换、交换或认购时将发行的股份的权利,每股代价低于该等证券发行条款首次公告之日的每股现行市价的95%,行权价按紧接发行前有效的行权价乘以以下分数进行调整:

哪里:
A |
为紧接该发行前已发行股份总数; |
B |
指发行人就将于行使或交换或行使附属于该等证券的认购权时发行的股份而应收的总代价将按该每股现行市价购买的股份数目;及 |
C |
是指在行使或交换该等证券时或在行使该等证券所附的该等认购权时按该等证券发行日的初始行权、交换或认购价或费率发行的最大股份数量。 |
该等调整自该等证券发行之日起生效。
(8) |
修改行使权利等:如任何证券所附的行使、交换或认购权利因其发行条款而带有转换为股份、交换或认购的权利(根据该等证券的条款除外)发生任何变更,以便在该等变更后,每股对价(就行使时可获得的股份数量而言,修改后的交换或认购)低于该等修改提议公告之日的现行每股市场价格的95%。行权价格应按紧接该等修改前有效的行权价格乘以以下分数进行调整: |

哪里:
A |
为紧接该等修改前的已发行股份总数; |
B |
指发行人就将于行使或交换或行使如此修改的证券所附认购权时发行的股份而应收的总代价按该等每股现行市价或(如较低)该等证券的现有行使、交换或认购价购买的最大股份数目;及 |
C |
指根据本条件6(c)(7)(修改行使权等)或条件6(c)(7)(修改行使权等)或条件6(c)(7)(以低于当前市场价格发行的其他发行),在行使或交换该等证券或行使其所附的该等认购权时,但以独立财务顾问认为适当的方式(如果有的话)给予信用的最大股份数量。 |
该等调整自该等证券所附行权、交换或认购权变更之日起生效。
65
(9) |
向股东作出的其他要约:倘发行人或其任何附属公司或(应发行人或其任何附属公司的指示或要求或根据与其任何附属公司的任何安排)任何其他公司、个人或实体发行、出售或分销与要约有关的任何证券,据此,股东一般有权参与其可能收购该等证券的安排(除非根据条件6(c)(4)(股份的供股或购股权)、6(c)(5)(其他证券的供股)调整行使价,6(c)(6)(以低于当前市场价格发行)或6(c)(7)(以低于当前市场价格发行的其他发行)),行权价格应按紧接该发行、销售或分销前有效的行权价格乘以以下分数进行调整: |

哪里:
A |
为公开宣布该发行、出售或分派之日的每股现行市价;及 |
B |
是归属于一股的那部分权利的公允市场价值。 |
该等调整自证券发行、出售或分销之日起生效。为上述目的,公平市场价值(受“公平市场价值”定义规定的约束)应在首次公开宣布此类发行、出售或分销证券的条款之日确定,如果更晚,则应在可按本规定确定归属于股份的合计权利部分的公平市场价值的第一个日期确定。
(10) |
其他事件:如发行人因本条件6(c)(对行权价格的调整)中未提及的一个或多个事件或情况而确定应对行权价格进行调整,发行人应自费咨询独立财务顾问,以尽快确定对行权价格进行何种调整(如有)是公平合理的,以考虑到这一点,如果该调整将导致行权价格降低,及该等调整应于生效日期及在独立财务顾问作出该等决定后,该等调整(如有)须根据该等决定作出及生效。尽管有上述规定,任何该等修改的每股价值不得超过该等事件或情况导致股东在发行人权益中的权益被稀释的每股价值。 |
在本条件6(c)(对行权价格的调整)中,凡根据本条件6(c)(对行权价格的调整)根据上述任何一项调整而引起任何调整的事件或情况已经导致或将导致行权价格的调整,或由于已经引起或将引起行权价格调整的事件或情况而引起引起任何调整的事件或情况,应对本条件6(行使)的规定的操作进行独立财务顾问认为适当的修改(如有),以给出预期结果。
就本条件而言:
“另类证券交易所”是指在任何时候,就股份而言,如果当时股份未在香港联交所上市及买卖,该等其他国际认可的证券交易所即股份当时上市或报价或买卖的主要证券交易所或证券市场。
“资本分配”是指(i)发行人在任何财政期间的实物资产分配总额(无论何时支付或作出,但以何种方式描述)(为此目的,实物资产分配包括但不限于以储备资本化方式记为全额或部分支付的股份或其他证券的发行,但不包括根据条件6(c)(2)(i)(利润或储备资本化)就行使价作出调整而记为全额支付的任何股份和根据条件6(c)(2)(ii)调整的以股代息
66
(利润或储备资本化));及(ii)发行人在任何财政期间(无论何时支付及不论如何描述)的任何种类的现金股息或按毛额基准分派的总额(包括但不限于以股代息的相关现金金额),除非包括由发行人或其代表购买或赎回股份(或由发行人的附属公司或其代表购买股份),凡有关该等购买的任何一天的加权平均价格或代价(扣除开支前)不超过该日期股份的现行市价(1)的105%,或(2)如已就在未来某一日期以指明价格购买股份的意向作出公告,则在紧接该公告日期的前一个交易日,如就第(1)或(2)款中的任何一项而言,有关日期并非交易日,则为紧接的前一个交易日,在这种情况下,此类购买或赎回应被视为构成资本分配,金额等于就购买或赎回的此类股份支付的总对价(扣除费用前)超过(i)该等当前市场价格的105%和(ii)如此购买或赎回的股份数量的乘积的金额。
股份于任何交易日的“收市价”,须为香港联交所刊发的每日报价表或(视属何情况而定)于该交易日的替代证券交易所的同等报价表所刊发的价格。
“当前市价”是指,就某一股份于特定日期而言,一股股份(即一股附有全部股息权利的股份)于紧接该日期前一个交易日(包括该日)结束的连续20个交易日的收盘价的平均值;但如果在上述20个交易日期间的任何时间,该股份应已报价除息,而在该期间的其他部分,该股份应已报价暨股息,则:
(一) |
如在该等情况下拟发行的股份与有关股息不符,则就本定义而言,该等股份应予报价暨股息的日期的收盘价应被视为减少的金额,金额等于该每股股息的公平市场价值;或 |
(二) |
如在该等情况下拟发行的股份与有关的股息享有同等地位,则就本定义而言,该等股份应予除息报价的日期的收盘价应视为该等股份按该每股股息的公平市场价值增加的金额; |
并进一步规定,如果上述20个交易日中的每个交易日的股份已就已宣布或宣布的股息报价暨股息,但将发行的股份与该股息无关,则就本定义而言,每个该等日期的收盘价应被视为减少的金额,金额等于每股该股息的公平市场价值。
“提前平仓”是指在香港联交所或(如适用)另类证券交易所的任何一天的平仓时间之前,否则将确定该天的收盘价。
“交易所中断”是指一般情况下扰乱或损害市场参与者能力的任何事件(提前关闭除外):
(一) |
在香港联交所或(如适用)另类证券交易所进行交易或取得股份的市值;或 |
(二) |
在香港联交所或(如适用)另类证券交易所进行与股份有关的期货或期权联系人的交易或取得其市场价值。 |
“公允市场价值”是指,就任何资产、证券、期权、认股权证或其他权利而言,在任何日期,该资产、证券、期权、认股权证或其他权利的公允市场价值由独立财务顾问根据普遍接受的市场估值方法并考虑其认为适当的因素确定,前提是在(i)资本分配以现金支付的情况下,独立财务顾问将无需确定公允市场价值,在这种情况下,每股该现金资本分配的公允市场价值应为每股该现金资本分配的金额,(ii)任何其他金额以现金支付,在这种情况下,该现金金额的公允市场价值应为现金金额,以及(iii)期权、认股权证或其他权利或证券在发行时正在或将在流动性充足的市场上公开交易(如确定
67
由该等独立财务顾问),该等期权、认股权证或其他权利或证券的公允市场价值应等于该等期权、认股权证或其他权利或证券在该等期权、认股权证或其他权利或证券公开交易的第一个该等交易日开始的相关市场上的五个交易日期间内每日收盘价的算术平均值。该等金额如以港元以外的货币表示,须按该日期的现行汇率换算为港元。此外,在本定义的上述(i)和(ii)但书的情况下,公允市场价值应按总额确定,不考虑为税收或因税收而需要进行的任何预扣或扣除,也不考虑任何相关的税收抵免。
“独立财务顾问”是指由发行人自费选聘并以书面形式通知受托人的信誉良好的独立财务顾问或具有适当专业知识的金融机构。受托人不对委任独立财务顾问负责或承担任何义务,受托人或任何代理人均不对核实任何独立财务顾问作出、给予或达成的任何计算、确定、证明、建议或意见承担任何责任或义务。
“市场扰乱事件”是指,发生或存在:
(一) |
a交易中断; |
(二) |
在香港联交所或(如适用)另类证券交易所的常规交易时段内的任何时间出现交易所中断,而该中断合计(按各交易所个别计算)持续超过一个半小时,而不考虑在常规交易时段以外的盘后交易或任何其他交易;或 |
(三) |
提前一个半小时以上封盘。 |
「现行汇率」指,就任何一天的任何货币而言,于该日期中午12时或前后(香港时间)出现于或衍生自彭博或(如没有该等网页)在显示有关资料的路透或该等其他资讯服务供应商上的有关货币之间的投标汇率,或如当时无法确定该等汇率,则为可如此确定该汇率的紧接前一天中午12时或前后(香港时间)的现行汇率。
“相关现金股利”是指发行人明确宣派的任何现金股利。
「以股代息」指代任何有关现金股息的全部或任何部分而发行的任何股份,为有关股东本应或本可收取的股息,而该股息不会构成资本分派(及为免生疑问,根据条件6(c)(3)(资本分配),不会就股份的当前市场价格超过相关现金股息或其相关部分的金额作出调整,但不影响根据条件6(c)(2)(利润或储备资本化)在该等情况下需要作出的任何调整。
「交易日」指香港联交所或(视属何情况而定)另类证券交易所开放进行证券交易业务的日子(市场扰乱事件发生的日子除外),但就任何需要作出收市价的计算而言,如连续一个或多个交易日没有报告收市价,则该一天或数天将在任何有关计算中不予考虑,并在确定任何期间的交易日时视为不存在。
“交易中断”是指由香港联交所或(如适用)另类证券交易所或其他机构对交易施加的任何暂停或限制,无论是否由于价格变动超过香港联交所或(如适用)另类证券交易所允许的限制或其他原因:
(一) |
有关香港联交所或(视属何情况而定)其他联交所的股份,或 |
(二) |
有关股份于香港联交所或(视属何情况而定)其他证券交易所的期货或期权合约。 |
68
如有任何调整,有关行使价,如不是一港仙的整数倍,则须向下取整至最接近的港仙。如该等调整(如适用则向下取整)低于当时有效的行权价的百分之一,则不得对行权价作出调整。任何无须作出的调整,以及行权价格向下取整的任何金额,均应结转,并在以后的任何调整中予以考虑。任何调整的通知须由发行人根据条件16(通知)向证券持有人发出,并在确定后在切实可行范围内尽快以书面向受托人及主要代理人发出。
尽管本条件有任何相反规定,行使价不得因本协议项下的任何调整而降至低于股份面值或低于当时在开曼群岛和香港有效的适用法律所允许的该面值或该最低水平。
如对是否应对行权价格作出调整或应如何根据条件6(c)(行权价格调整)或条件6(d)(控制权变更时的调整)对行权价格作出调整产生任何疑问,且经发行人与独立财务顾问协商后,该独立财务顾问就此发表的书面意见应为结论性意见,并对发行人、证券持有人和受托人具有约束力,但出现明显错误的情况除外。凡在如此短的时间内发生多个导致或可能导致对行使价进行调整的事件,以致独立财务顾问认为前述条文须经某种修改后才能给出预期结果,则须对前述条文的运作作出该独立财务顾问认为适当的修改,以给出该预期结果。
此处任何提及“确定”对价的日期,如果对价最初是通过参考一个公式表达的,而该公式在以后的日期之前不能表示为实际现金金额,则应被解释为提及可以确定该实际现金金额的第一天。
当根据任何购股权、股份奖励、受限制股份或雇员激励计划或计划(而该等计划或计划符合香港联合交易所有限公司证券上市规则(“上市规则”)或(如适用)另一联交所的上市规则)(“股份计划股份/期权”)发行股份或任何其他证券的任何权利或期权时,将不会调整行使价,除非任何授予或发行股份计划股份/期权(但就本条文而言,将需要根据本条件6(行使)进行调整)将导致在每个日历年度内授予的该等股份计划股份/期权行使时可发行的股份总数合计超过该日历年度内已发行和流通在外的平均股份数量的3%,在这种情况下,在根据本条件6(行使)确定调整行使价时,仅应考虑授予或发行股份计划股份/期权超过相关日历年内已发行及流通股份平均数的3%的部分。
除条件6(c)(1)(合并、拆细、重新指定或重新分类)中提及的股份合并情况外,将不会作出涉及提高行使价的调整。发行人可在根据条件16(通知)向受托人和主要代理人以及证券持有人发出通知后的任何时间和仅在指定的一段时间内,降低行权价格,但须遵守本条件6(c)的其他规定(行权价格的调整)。
如在如此短的时间内发生多个导致或可能导致对行使价进行调整的事件,以致独立财务顾问认为需要对前述条文进行某些修改才能给出预期结果,则应对前述条文的操作进行该独立财务顾问可能建议的其认为适当的修改,以便给出该预期结果。
受托人或代理人均无责任监察是否已发生或存在任何可能要求或导致对行使价作出调整或与行使价有关的任何计算(或核实)的事件或情况,而彼等均不会就任何证券持有人或任何其他人因任何
69
他们未能这样做。根据条件6(c)对行权价格的所有调整(行权价格调整)应由发行人和(如适用)独立财务顾问确定,受托人或代理人均不负责核实或以其他方式对此类确定承担责任,或核实与此类确定有关的任何计算、证明、建议或意见。
(d) |
控制权变更时的调整:如发生控制权变更(定义见条件8(e)(退市赎回或控制权变更)),发行人应在知悉该控制权变更后七日内,根据条件16(通知)向受托人和委托代理人以及证券持有人发出该事实的书面通知(“控制权变更通知”)。在发出控制权变更通知后,一旦任何行使权利使得相关行使日期在(i)相关控制权变更和(ii)向证券持有人发出控制权变更通知之日(以较晚者为准)之后的30天期间内(该期间,“控制权变更行权期”),行权价格应按照以下公式进行调整: |

哪里:
“c”是指自控制权变更发生之日起(含)至但不包括到期日的天数。
“EP”是指32.5%。以零头表示。“NEP”是指新的行权价格。
“OEP”是指在相关行权日生效的行权价。
“t”是指自发行日(含)起至但不包括到期日的天数,
但根据本条件6(d)(控制权变更时的调整),行权价格不得低于适用法律法规不时允许的水平(如有)。
如控制权变更行权期的最后一天落在封闭期内,控制权变更行权期应予延长,使其最后一天为15日第封闭期最后一天的翌日。
(e) |
事业 |
发行人已在信托契据中承诺,除其他外,只要任何证券仍未清偿,除非获得证券持有人特别决议(定义见信托契据)的批准:
(一) |
其将尽其合理努力(a)维持所有已发行股份于香港联交所上市,及(b)如发行人无法取得或维持该上市,以其合理努力取得并维持所有已发行股份在另一证券交易所的上市作为发行人不时选择并通知受托人并将随即根据条件16(通知)就任何该等证券交易所的股份上市或除牌向证券持有人发出通知(作为一个类别); |
(二) |
其将不会作出任何减少其普通股本或与此有关的任何未收回负债或任何股份溢价账户或资本赎回储备基金的任何减少,除非在每种情况下,有关减少是适用法律允许的,并导致(或将导致,如果没有有关四舍五入或调整结转的本条件的规定,将导致)对行使价的调整或以其他方式 |
70
为决定是否应作出该等调整而考虑(及为免生疑问,不得根据《上市规则》及适用法律限制发行人在香港联交所回购任何股份);
(三) |
其将尽其合理努力在新加坡证券交易所有限公司的正式名单上上市及其后维持该证券的上市,如发行人无法维持该上市,则将尽一切合理努力在另一国际认可证券交易所取得及维持上市,并将随即根据条件16(通知)向证券持有人发出通知,并以书面形式向受托人及任何该等证券交易所将该证券上市或除牌的主要代理人发出通知;及 |
(四) |
在信托契据中,发行人还与受托人承诺,只要任何证券仍未偿还,其将不会提出任何要约、发行或分配或采取任何行动,其效果将是将行使价降至低于发行人股份面值的水平,但始终不得禁止发行人在法律允许的完全范围内购买其股份。 |
发行人亦已在信托契据中就行使权的保障作出若干其他承诺。
(f) |
行权价格变动通知 |
发行人应根据条件16(通知)就行权价格的任何变动向受托人和委托代理人以及证券持有人发出书面通知。任何有关行使价变动的该等通知,须列明引起调整的事件、该调整前的行使价、调整后的行使价及该调整的生效日期。
7 |
付款 |
(a) |
付款:本金、利息、溢价(如有)和违约利息(如有)以及任何其他到期金额(现金结算金额除外)将通过转账方式支付至证券持有人的注册账户。只有在付款代理的指定办公室交出相关证书后,才会进行此类付款。 |
付息日到期的证券利息将于利息到期支付日(“利息记录日”)的第十五天营业时间结束时登记簿上所示的持有人的利息到期支付日支付。每份证券的利息将以转账方式支付至证券持有人的注册账户。
只要证券由全球证书代表,而该全球证书是代表清算系统持有,则将于有关到期日前一个营业日(即Euroclear和Clearstream开放营业的一天)的营业日结束时(即为此目的的一天)向登记册内出现的持有人支付本金、利息、溢价(如有)和任何其他到期证券金额(任何现金结算金额除外)。
(b) |
注册账户:就本条件7而言,证券持有人的注册账户是指由其或代表其维持的美元账户,其详细信息在利息记录日期营业时间结束时出现在登记册上,证券持有人的注册地址是指其当时在登记册上出现的地址。 |
(c) |
财政法:证券项下的所有本金、溢价(如有)和利息(如有)的支付在所有情况下均受(i)支付地任何适用的财政或其他法律法规的约束,但不影响条件9(税收)和(ii)的规定(如适用)根据经修订的1986年美国国内税收法典第1471(b)节(“法典”)中描述的协议所要求的任何预扣或扣除,或根据该法典第1471至1474节、任何法规或协议及其任何官方解释以其他方式施加的任何预扣或扣除,或(在不损害 |
71
条件9(税收))实施政府间处理办法的任何法律(任何此类预扣或扣除,“FATCA预扣”)。为免生疑问,发行人、受托人及代理或任何其他人均无须就FATCA预扣税支付任何额外款项。不得就该等付款向证券持有人收取佣金或费用。
(d) |
付款启动:付款指示(针对到期日期的价值,或,如果那不是一个工作日(定义见下文),则针对随后的第一个工作日(即一个工作日)的价值)将在到期付款日期(或,如果该日期不是一个工作日,则在随后的第一个工作日(即一个工作日)发起,或者,在支付本金的情况下,如果更晚,则在相关证书在代理人的指定办事处交回的工作日发起。 |
(e) |
延迟付款:如果到期日不是营业日,或者如果证券持有人延迟交出其证书(如果需要这样做),证券持有人将无权因逾期收到到期金额而获得任何利息或其他付款。 |
(f) |
营业日:在本条件7(付款)中,“营业日”是指商业银行一般在香港、纽约市、在委托代理的指定办事处所在城市营业的周六、周日或公众假期以外的一天,以及在交出证书的情况下,在交出证书付款的相关付款代理的指定办事处所在城市营业的一天。倘证券上到期的金额未获足额支付,注册处处长将在注册纪录册内附加一份有关实际已支付的金额(如有的话)的记录。 |
(g) |
四舍五入:在向证券持有人付款时,一分钱的零头将被四舍五入到最接近的一分钱(半分钱向上四舍五入)。 |
8 |
赎回、购买及注销 |
(a) |
到期:除非先前已赎回、购买及注销,或除非已按本协议规定行使有关该等证券的行使权利,否则发行人将于2032年1月14日(“到期日”)按本金赎回每份证券,连同截至但不包括该日期的应计但未支付的利息。发行人不得在该日期之前自行选择赎回证券,除非下文条件8(b)(因税务原因赎回)或条件8(c)(由发行人选择赎回)中有规定(但不影响条件10(违约事件))。 |
(b) |
因课税原因而赎回 |
(一) |
发行人可在任何时间根据条件16(通知)向证券持有人发出不少于30天或不超过60天的通知(“税款赎回通知”)并以书面向受托人和委托代理人发出赎回税款赎回通知指定日期(“税款兑付日”)时,选择全部但不是部分赎回证券,按其在该日期的本金金额连同截至但不包括该日期的应计但未支付的利息(如有),如发行人在紧接发出该通知前通知受托人,(a)由于开曼群岛、香港或中国的法律或法规或(在每种情况下)任何政治分部或其任何有权征税的当局或其中有权征税的任何变更,或该等法律或法规的一般适用或官方解释的任何变更,发行人已经或将有义务支付条件9(税收)中规定或提及的额外税额,该变更或修订于2025年1月6日或之后生效,且(b)发行人采取其可利用的合理措施无法避免该义务,但条件是变更发行人的组织管辖权应被视为不是合理措施,并进一步规定不得在发行人有义务支付该额外税额的最早日期前90天之前发出任何税款赎回通知,这是就当时到期的证券支付的款项。在根据本条件8(b)(因税务原因而赎回)刊发任何税款赎回通知之前,发行人应向受托人(x)交付由发行人的授权签字人签署的英文证明,说明所提及的义务 |
72
发行人采取其可用的合理措施和(y)具有公认地位的独立法律或税务顾问的意见,即由于本条件8(b)(i)(因税务原因赎回)中上述变更或修订,发行人已经或将有义务支付此类额外税额,因此无法避免上述(a)中的情形。受托人有权确凿地依赖和接受该证明和意见(无需进一步调查或查询)作为其充分证据,在这种情况下,该证明和意见应是结论性的,并对发行人和证券持有人具有约束力。受托人对任何证券持有人或任何其他人如此接受并最终依赖该证明或意见不承担任何责任。
在税款兑付日,发行人将有义务按税款兑付日的本金金额连同截至但不包括该日期的应计但未支付的利息(如有)赎回证券,但条件是根据本条件8(b)(i)(因税务原因赎回)的赎回可能不会在封闭期结束后的七天内发生,但在本条件中表示行使权利可行使时可能会发生其他情况。
(二) |
如果发行人根据条件8(b)(i)(因税务原因赎回)发出税款赎回通知,则每个证券持有人将有权选择其证券(ies)不得赎回,并且条件9(税收)的规定不适用于在相关税款赎回日期之后到期的就该证券支付的任何本金、利息、现金结算金额、溢价(如有)或违约利息(如有),据此,发行人不得根据条件9(税收)支付与此相关的额外金额,并在遵守Euroclear和Clearstream的适用程序的情况下,发行人就该证券持有人向该证券持有人支付的所有金额应在扣除或预扣所需扣除或预扣的任何税款的情况下进行。就Global Certificates代理的证券而言,在没有适用的Euroclear和Clearstream程序进行此类要求的扣除或代扣或发行人未能将适用的代扣代缴税率通知Euroclear和Clearstream(如果利息金额因此类要求的扣除或代扣而减少)的情况下,发行人承认并同意付款代理将无法便利向证券持有人付款。为根据本条件8(b)(ii)(因课税理由而赎回)行使权利,有关证券的持有人必须在正常营业时间(即上午9时至下午3时(在有关付款代理的指定办事处所在地))在任何付款代理的指定办事处填妥、签署及交存一份妥为填妥及签署的行使通知书,其格式为当其时,可在任何付款代理人的指定办事处(“税务选择权行使通知”)连同代表该证券的证书于税款兑付日10日前一日或之前取得。税务选择权行权通知,一经送达,不可撤销,未经发行人同意不得撤回。 |
(c) |
发行人选择赎回 |
在根据条件16(通知)(该通知将不可撤销)以书面形式向委托代理人和受托人以及证券持有人发出不少于30天但不超过60天的通知(“可选赎回通知”)后,发行人可在到期日之前的任何时间按其本金额全部(但不是部分)赎回当时未偿还的证券,连同截至但不包括该日期应计但未支付的利息(如有),前提是在该通知日期之前,最初发行的证券的本金至少90%.已被赎回、购买和注销或已就其行使行权。
本条件8(c)项下的赎回(发行人可选择的赎回)不得在封闭期结束后的七天内发生,但在这些条件中表示行使权可行使时可能会发生其他情况。
(d) |
证券持有人选择赎回:发行人将根据任何证券的持有人的选择,于2028年1月14日和14日赎回全部或仅部分该持有人的证券 |
73
2030年1月(每份,一个“看跌期权日期”)的本金连同截至但不包括该日期的应计但未支付的利息(如有)。为行使该选择权,持有人必须在付款代理的指定办事处存放一份正式填妥并经签署的当期格式的认沽通知(“任选认沽行使通知”),该通知可在付款代理的指定办事处取得,连同代表将于相关认沽期权日期前不超过60日且不少于30日赎回的证券的证书。
认沽通知一经送达,即不可撤销(且不得撤回,除非发行人同意撤回),发行人应当在相关认沽期权日赎回前述送达的认沽通知标的证券。
(e) |
退市或控制权变更的赎回:在相关事件(定义见下文)发生后,每份证券的持有人将有权根据该持有人的选择,要求发行人在相关事件赎回日(定义见下文)按其本金金额连同截至但不包括该日期的应计但未支付的利息(如有)赎回全部或仅部分该持有人的证券。为行使该权利,相关证券的持有人必须在付款代理的指定办事处存入一份妥为填妥并经签署的赎回通知书,该通知书的格式为当其时,可从付款代理的指定办事处取得,指明须予赎回的证券数目及已发生的有关事件(“有关事件赎回通知书”),连同代表将予赎回的证券的证书,最迟不迟于有关事件发生后60天,或,如较后,自发行人根据条件16(通知)向证券持有人发出通知之日起60天后。“相关事件兑付日”为14日第上述60天期限届满后的第二天。 |
相关事件赎回通知一经送达,即为不可撤销且未经发行人同意不得撤回且发行人应当在相关事件赎回日按前述方式赎回相关事件赎回通知标的证券。发行人应在知悉相关事件发生的第一天后的14天内,最迟向受托人和委托代理人以及根据条件16(通知)向证券持有人发出书面通知,该通知应指明证券持有人根据本条件8(e)(退市赎回或控制权变更)要求赎回证券的权利的行使程序,并应提供相关事件的简要细节。
受托人或代理人均无须监测或采取任何步骤以确定有关事件或任何可能导致有关事件的事件是否已经发生或可能发生,并有权在收到发行人的相反书面通知之前假定没有发生此类事件。不得要求受托人及代理人采取任何步骤确定根据本条件8(e)(退市赎回或控制权变更)行使权利的条件是否已经发生。受托人或代理人均不负责根据本条件8(e)(退市或控制权变更的赎回)确定或核实证券是否将被接受赎回,并且不对发行人、任何证券持有人或任何其他人因其未能这样做而引起的任何损失或责任负责或承担责任。受托人或代理均无任何责任厘定、计算或核实根据本条件8(e)(退市或控制权变更的赎回)应付的赎回金额,且不对发行人、任何证券持有人或任何其他人因其未能这样做而产生的任何损失或责任负责或承担责任。
就本条件8(e)(退市赎回或控制权变更)而言:“控制权变更”是指发生以下一项或多项事件:
(一) |
获准持有人合共不再(直接或间接)拥有至少50%的发行人已发行股本; |
(二) |
许可持有人合计不再是发行人表决权的单一最大持有人; |
74
(三) |
任何人或共同行事的人(许可持有人除外)取得发行人的控制权;或 |
(四) |
发行人与发行人合并或合并,或出售或转让发行人的全部或实质上全部资产予任何其他人,除非合并、合并、出售或转让不会导致另一人或多人(许可持有人除外)取得对发行人或继承实体的控制权, |
但为确定是否已发生“控制权变更”,Mini Investment Limited须被视为拥有其根据Mini Investment Limited与一名联席牵头经办人(或其联属公司)于2025年1月6日或前后订立的证券借贷契据不时借出的发行人的任何已发行股本(因为该契据可不时修订或延长);
“控制权”是指(i)有权任命和/或罢免相关实体董事会或其他理事机构的全部或多数成员,无论是直接或间接获得,也无论是通过拥有股本、拥有投票权、合同或其他方式获得;或(ii)获得或控制相关实体已发行股本50%以上的投票权;
「准许持有人」指叶国富先生、杨云云女士及Mini Investment Limited合计持股及:
(一) |
叶国富先生或杨云云女士的任何继承人、遗产、直系后代(或其配偶)、配偶或父母;或 |
(二) |
任何信托、公司、合伙企业或其他实体,其直接或间接受益人、权益持有人、合伙人或所有人为叶国富先生、杨云云女士、Mini Investment Limited和/或第段所指的其他人 |
(i)以上;
“人”包括任何个人、公司、公司、事务所、合伙企业、合营企业、企业、协会、组织、信托、国家或国家的机构(在每种情况下,无论是否为单独的法人实体),但不包括(i)发行人的董事会或任何其他理事委员会或(ii)发行人的全资直接或间接附属公司;
发生“相关事件”:
(一) |
(x)股份停止在香港联交所或(如适用)另类证券交易所连续30个交易日上市或获准买卖或暂停买卖,或(y)发行人自愿停止在任何纽约证券交易所、纳斯达克全球精选市场、纳斯达克全球市场或纳斯达克资本市场上市或报价其ADS(各自称为“退市”);或 |
(二) |
当控制权发生变更时;以及 |
“投票权”是指发行人在股东大会上的一般投票权(无论当时任何其他类别或类别的股票是否因任何事件或意外事件的发生而拥有或可能拥有投票权);和
为免生疑问,发行人在纽约证券交易所、纳斯达克全球精选市场、纳斯达克全球市场或纳斯达克资本市场之间的上市转让不构成相关事件。
(f) |
购买:发行人及其任何子公司均可在不违反适用法律法规的情况下,随时并不时在公开市场以任何价格或其他方式购买证券。 |
(g) |
注销:所有被赎回、或由发行人或其任何附属公司购买或已就其行使权利的证券,将随即 |
75
取消了。有关所有被注销证券的证书将被转发给或转递给注册处处长的命令,而该等证券不得重新发行或转售。
(h) |
赎回通知:由发行人或代表发行人根据本条件8(赎回、购买及注销)向证券持有人发出的所有通知将是不可撤销的,并将根据条件16(通知)发出,具体说明:(i)于有关通知日期的行使价,(ii)可行权的最后一天,(iii)于公告刊发前最后实际可行日期的股份收市价,(iv)本金额,连同任何应计及未付利息,(v)赎回日期,(vi)作出赎回的方式及(vii)于公告刊发前的最后实际可行日期的未偿还证券的本金总额。 |
如果不止一次发出赎回通知(即发行人或证券持有人根据本条件8(赎回、购买和注销)发出的通知),则以第一次为准。受托人或代理人概不负责计算或核实根据本条件应付的任何金额的任何计算。
受托人或代理人均不负责确定或核实证券是否在此条件下被接受赎回,并且不对证券持有人或任何其他人因其未能这样做而引起的任何损失或责任负责或承担责任。受托人或代理人概无责任厘定、计算或核实根据本条件须支付的赎回金额,而彼等概不对任何证券持有人或任何其他人因其未能这样做而产生的任何损失或责任负责或承担法律责任。
9 |
税收 |
发行人根据或就证券、信托契据或代理协议作出的所有付款,将不受任何限制或条件限制,且无须扣除或扣缴由开曼群岛、中国香港或(在每种情况下)其任何有权征税的当局或其中任何有权征税的任何现行或未来的税项、关税、评估或任何性质的政府收费或因其或代表而征收或征收、收取、扣缴或评估的任何性质的税项、关税、评估或政府收费,除非扣除或扣缴该等税项、关税,评估或政府收费是依法强制执行的。
如发行人由中国或在中国境内进行此类预扣或扣除,直至并包括2025年1月6日适用的总费率(“适用费率”),则发行人将在要求的范围内增加其支付的金额,使证券持有人收到的净额等于如果不需要此类预扣或扣除本应由其应收的金额。
如发行人被要求作出(a)由中国或在中国境内超过适用税率的扣除或预扣,或(b)由开曼群岛或香港境内或在中国境内,则发行人将支付额外金额(“额外税额”),该额外金额将导致证券持有人收到扣除或预扣后的净额,相等于如果不需要此类扣除或预扣本应由他们应收的金额,但无需就任何证券支付额外税额:
(a) |
其他关联:向因与开曼群岛有某种关联而须就此类担保缴纳此类税款、关税、评估或政府收费的持有人(或代表持有人的第三方),香港或中国,但不是仅仅通过持有该证券或通过收取有关该证券的款项,或如果持有人向该持有人在法律上有能力和有能力作出但没有这样做的适当机构作出非居住声明或其他类似的豁免申索,可以避免预扣或扣除;或者 |
(b) |
在有关日期后30天以上呈交:(如属支付本金的情况)有关该等证券的证明书如在有关日期后30天以上交出,则持有人本有权收取该等额外税项的情况除外 |
76
在该期限30天的最后一天交出有关证明书以作付款时的金额。
就本协议而言,“有关日期”是指(1)该等付款首次到期的日期及(2)如受托人或委托代理人在该到期日期或之前未收到全额应付款项,则须向证券持有人发出大意为该等通知及作出付款的日期,两者中较后者为准。
本条件中对本金、溢价(如有)、违约利息(如有)和就证券应付的任何其他金额的提述,应被视为也是指根据本条件9(税收)或在此之外作出的任何承诺或契诺或根据信托契约作为替代而可能应付的任何额外金额。
受托人或任何代理人均不负责支付本条件9(税务)中提及的任何税款、关税、评估、政府收费或其他付款,或确定是否应支付这些金额或其金额,且他们均不对发行人、任何证券持有人或任何其他人未能在任何司法管辖区支付此类税款、关税、评估、政府收费或其他付款或提供任何允许的通知或信息负责或承担责任,使能够或便利支付证券项下或与证券有关的任何本金或其他金额,而无需为任何司法管辖区或在任何司法管辖区征收的任何税款、关税、评估、政府收费或其他付款而扣除或预扣。
10 |
违约事件 |
如发生以下任何事件(每项均为“违约事件”),受托人可全权酌情决定,如持有人以不少于25%的书面要求,则在当时未偿还证券的本金总额或特别决议指示的情况下,应(在任何一种情况下均须由持有人作出弥偿和/或担保和/或预先提供资金以令其满意)通知发行人,该证券应立即到期并按其本金金额偿还,连同截至但不包括该日期的任何应计但未付利息(如有)、溢价(如有)、违约利息或其他未付款项(如有)(以下文规定为准,且在不损害证券持有人根据条件6(行使)就其证券行使行使行使权利的权利的情况下):
(a) |
不支付本金或溢价:就证券到期的任何本金或溢价(如有)的支付发生违约,且该等违约持续7天; |
(b) |
未支付利息:发行人未能在到期时支付任何证券的任何利息且该未能支付持续10天的期间; |
(c) |
违反其他义务:发行人不履行或不遵守其在违约无法补救的证券或信托契据中的一项或多项其他义务,或在能够补救的情况下,在受托人已向发行人发出该违约的书面通知后30日内未得到补救; |
(d) |
资不抵债:发行人或其任何主要附属公司(或目前或可能被法律或法院视为)资不抵债或破产或无法支付其债务、停止、暂停或威胁停止或暂停支付其全部或重要部分债务、提议或作出任何协议,以延期、重新安排或以其他方式重新调整其全部债务(或其将或可能无法在到期时支付的重要部分),就发行人或其任何主要附属公司的全部或重大部分债务,就或影响发行人或其任何主要附属公司的全部或重大部分债务,与相关债权人就任何该等债务或为相关债权人的利益提出或作出一般转让或安排或组合,或同意或宣布暂停;发行人或其任何主要附属公司或资产的全部或重大部分的管理人或清盘人发行人或其任何主要附属公司的更替获委任(或申请任何该等委任); |
(e) |
交叉违约:(i)由于任何实际或潜在违约、违约事件或类似事件(无论如何描述),发行人或其任何子公司就所借或筹集的款项或就其而言的任何其他当前或未来债务(无论是实际或或或有的)在其规定的到期日之前成为(或能够被宣布)到期和应付,或(ii)任何该等 |
77
债务未在到期时或(视属何情况而定)在任何适用的宽限期内支付,或(iii)发行人或其任何附属公司未能在到期时支付其根据任何现时或未来对任何借入或筹集的款项的担保或赔偿而应付的任何款项,但有关债务的总金额,本条件10(e)(交叉违约)中的一项或多项上述事件已发生的担保和赔偿,在该债务到期应付或未支付或任何该等金额到期应付或未根据任何该等担保或赔偿支付之日,金额等于或超过30,000,000美元或其等值的任何其他货币(按任何主要银行所报的相关货币兑美元即期中间汇率合理确定);
(f) |
强制执行程序:对发行人或任何主要子公司的财产、资产或收益的任何重大部分征收、强制执行或起诉的遇险、扣押、执行、判决前扣押或其他法律程序,且在20天内未解除或停留; |
(g) |
清盘:就发行人或任何附属公司的清算、清盘或解散、司法管理或行政作出命令或通过有效决议,或发行人或任何附属公司停止或威胁停止进行其全部或大部分业务或经营,但任何附属公司除外,目的是并随后进行有偿付能力的清盘、重建、合并、重组、合并或合并(i)按证券持有人特别决议批准的条款,或(ii)就附属公司而言,据此,该附属公司的承诺和资产转移或以其他方式归属于发行人或其各自主要附属公司的另一方,无论是否由于该附属公司在公平基础上的处置或其他原因; |
(h) |
强制执行的担保:设押人或被担保方占有或行政或其他接管人或管理人或其他类似人员被指定对发行人或其任何主要子公司(视情况而定)的全部或重要部分财产、资产或收入,且不在20天内解除; |
(一) |
国有化:(i)任何人为扣押、强制收购、征收或国有化发行人或其任何附属公司的全部或重要部分资产而采取的任何步骤或(ii)发行人或其任何附属公司被阻止对其全部或重要部分财产、资产和收入行使正常控制; |
(j) |
授权及同意:任何行动、条件或事情(包括取得或实现任何必要的同意、批准、授权、豁免、备案、许可、命令、记录或登记)在任何时间为(i)使发行人能够合法订立、行使其权利并履行和遵守其在证券和信托契据下的义务而需要采取、履行或完成,(ii)确保这些义务是有效的、合法的,具约束力及可强制执行及(iii)使证券及信托契据在开曼群岛或香港法院的证据可予接纳并无取得、履行或作出; |
(k) |
违法:发行人履行或遵守其在任何证券或信托契据项下的任何一项或多项义务是或将成为违法;或者 |
(l) |
类比事件:根据任何相关司法管辖区的法律发生的与条件10(d)(破产)、10(f)(强制执行程序)、10(h)(清盘)和10(i)(强制执行担保)中提及的任何事件具有类比效果的任何事件。 |
受托人或任何代理人均不对发行人及发行人就证券而委任的任何其他人履行其就证券所表达的职责和义务负责或承担责任,受托人及代理无须做任何事情来确定或监控潜在的违约事件或违约事件是否已经发生或正在持续,也不会对发行人负责或承担责任,任何证券持有人或任何其他人因未能这样做而引起的任何损失或法律责任,而除非受托人或该等代理人(视属何情况而定)已收到发行人的相反书面通知,否则受托人及每名代理人须假定该等通知正妥为履行。
78
11 |
处方 |
有关证券到期款项的索偿将成为订明,除非在有关日期(定义见条件9(税务))起计的10年内(如根据本协议须支付的本金或其他款项)及5年内(如利息或违约利息)就有关日期作出。
12 |
强制执行 |
在证券到期及须予偿还后的任何时间,受托人可酌情而无须另行通知,对发行人采取其认为合适的行动及/或步骤及/或提起程序,以强制执行证券的偿还,并强制执行证券、信托契据及代理协议的规定,但其并无义务采取任何该等行动及/或步骤及/或提起任何该等程序,除非(a)其已获不少于25%的证券持有人以书面要求,或已获证券持有人特别决议案指示,且(b)其已获弥偿及/或担保及/或预先注资,令其信纳。任何证券持有人将无权直接对发行人提起诉讼,除非受托人在成为有义务这样做的情况下未能在合理期限内这样做,并且这种失败应继续存在。
13 |
证券持有人会议、变更及豁免 |
(a) |
会议:信托契据载有召开证券持有人会议以审议影响其利益的任何事项的规定,包括但不限于以特别决议制裁证券的修改或本条件、信托契据或代理协议的规定。此类会议可由发行人或受托人召集,并应由受托人在收到持有不少于10%的证券持有人的书面请求时召集。该证券的本金总额为当时未偿还的证券,并已就所有费用、成本和开支获得赔偿和/或担保和/或预先资助以使其满意。在任何该等会议上通过特别决议的法定人数将为两名或两名以上持有或代表超过50%的人士。以当时未偿还证券的本金总额计,或在任何续会该等会议上,两名或两名以上正或代表证券持有人的人士,不论如此持有或代表的证券本金数额,除非该等会议的业务包括审议提案,除其他外,(i)修改任何有关该证券的付款的到期日期或就该证券支付利息的日期,(ii)减少或取消就该证券应付的本金、利息或溢价的金额或更改利息的计算方法,(iii)更改该证券的支付货币,(iv)修改或取消行使权利(除非单方面无条件降低行使价,或仅为修订行使权利的结算方法(不论是通过现金或交付股份)及任何相应变动)而对行使权利作出的任何修改,或(v)修改有关任何证券持有人会议所需法定人数或通过特别决议所需的多数的规定,在这种情况下,通过特别决议所需的法定人数将是两名或两名以上持有或代表不少于662/3%的人士,或在任何续会该等会议上不少于33%的人士。,以当时未偿还证券的本金总额计。在任何证券持有人会议上通过的特别决议将对所有证券持有人具有约束力,无论他们是否出席会议。 |
信托契据规定,(a)由持有人或代表持有人签署的不少于未偿还证券本金总额的90%的书面决议或(b)通过电子同意书(定义见信托契据)通过的书面决议,与证券持有人正式通过的特别决议一样有效。此类书面决议可载于一份文件或几份格式相同的文件中,每份文件均由一名或多名证券持有人或其代表签署。以书面形式通过的决议和/或电子同意将对所有证券持有人具有约束力,无论他们是否参与了该书面决议和/或该电子同意。
(b) |
修改及豁免:受托人可(但无须)同意(i)对任何违反或建议违反本条件的任何修改(信托契据中所述者除外),或对任何违反或建议违反本条件的任何放弃或授权,而无须证券持有人同意 |
79
或信托契约及代理协议的任何条款,但受托人认为该等修改、放弃或授权不会对证券持有人的利益构成重大损害,或(ii)对上述任何条件或信托契约及代理协议的任何条款作出的任何修改,而受托人认为该等修改属形式、轻微或技术性质,或为纠正明显错误或遵守适用法律的任何强制性规定。受托人可以(但无义务)在未经证券持有人同意的情况下,确定任何违约事件或潜在违约事件不应被视为此类事件,但受托人认为,证券持有人的利益不会因此受到重大损害。任何该等修改、授权或放弃对证券持有人具有约束力,除非受托人另有约定,发行人应根据条件16(通知)迅速将该等修改、授权或放弃通知证券持有人。受托人可要求并最终依赖(不承担责任)由发行人的授权人员签署的证书和/或大律师关于在任何放弃、修改和修订方面遵守上述条件的意见。
如果根据条件13(a)(会议)通过特别决议或根据条件13(b)(修改和豁免)作出修改、放弃或授权,发行人将促使根据条件16(通知)通知证券持有人。
(c) |
证券持有人的指示:受托人或代理人均不对发行人、任何证券持有人或任何其他人根据证券持有人的任何指示、指示、要求或决议采取的任何行动承担责任。受托人有权最终(不承担责任)依赖证券持有人发出的任何指示、指示、请求或根据信托契据召集和召开的证券持有人会议上通过的未偿还证券必要本金金额的持有人作出的任何指示、指示、请求或决议。每当受托人根据信托契约、代理协议或本条件的条款被要求或有权行使任何酌情权、权利或权力、采取任何行动、作出任何决定或作出任何指示时,受托人有权在其行使任何该等酌情权、权利或权力、采取任何该等行动、作出任何该等决定或作出任何该等指示之前,以特别决议的方式向证券持有人寻求指示,而受托人对发行人招致的任何损失或责任概不负责或承担责任,任何证券持有人或任何其他人因其在受托人寻求该等指示或在该等指示未获发出的情况下行使该等酌情决定权、权利或权力、采取该等行动、作出该等决定或作出该等指示的任何延误。受托人不承担任何义务监督任何人遵守信托契约、代理协议或本条件的规定。 |
(d) |
证书/报告:任何专家、专业顾问(包括独立财务顾问)或其他人士根据本条件或为本条件的目的要求或向受托人提供的任何证书、报告、意见或意见(不论是否由受托人取得或致予受托人),受托人可最终依赖代理协议或信托契据作为其中事实的充分证据(且在没有明显错误的情况下,应是结论性的并对各方具有约束力),尽管该等证书、报告、受托人、代理人和/或发行人就此订立的意见或建议和/或聘书或其他文件载有对相关专家或个人就此承担的责任的金钱或其他限制。 |
(e) |
受托人的权利:就履行和行使其职能、权利、权力、授权和/或酌情权(包括但不限于本条件13(证券持有人会议、修改和放弃))而言,受托人应将证券持有人的利益视为一个类别,不得考虑此类行使对个别证券持有人的后果,受托人无权要求,也无权要求任何证券持有人,发行人或受托人就任何此类行使对个别证券持有人的任何税务后果作出的任何赔偿或支付。 |
80
14 |
更换证书 |
如任何证明书被毁损、污损、毁损、被盗或遗失,则可在申索人支付与此有关的可能招致的费用后,在注册官的指明办事处更换,并按发件人和注册官可能要求的证据(包括持有证明和令注册官满意的身份证明)以及赔偿、担保和/或预先资助的条款予以更换。残缺或污损的证明必须交还后才能发放补发。
15 |
进一步问题 |
发行人可以不时在未经证券持有人同意的情况下,创设和发行在所有方面(或在除发行日、首次支付利息以及遵守本条件中规定的与国家发改委备案和中国证监会备案有关的要求的时间以及向受托人和证券持有人的证明和通知的时间之外的所有方面)与证券具有相同条款和条件的进一步证券,并使该进一步发行与证券合并并形成单一系列。经受托人同意,该等进一步证券可由补充信托契据的契据构成。
16 |
通告 |
所有发给证券持有人的通知,如按注册处处长备存的注册纪录册内各自的地址邮寄予他们,或在亚洲普遍发行的主要报章上刊发,均须有效发出。任何该等通知须当作已于该等刊物的日期(以较后者为准)及如此邮寄后的第7天(视属何情况而定)发出。通知和其他通信也可以根据条件和信托契约的条款通过电子方式(定义见信托契约)发送。
只要证券由全球证书代表,且全球证书由Euroclear或Clearstream或替代清算系统代表持有,可通过向Euroclear或Clearstream或此类替代清算系统交付相关通知的方式向证券持有人发出通知,由其向有资格的账户持有人进行通信,以替代条件要求的通知。
17 |
代理商 |
初始代理的名称及其指定办事处载列如下。发行人保留在受托人事先书面批准的情况下,随时更改或终止任何代理人的委任以及委任任何额外或替代代理人的权利。发行人将在任何时候维持(a)一名主要代理人、(b)一名将在香港及英国以外地区维持注册纪录的注册处处长及(c)一名转让代理。发行人将立即向证券持有人发出任何此类终止或任命、任何代理的指定办公室发生任何变化以及任何代理的身份发生任何变化的通知。
18 |
受托人及代理人的赔偿 |
信托契据载有关于受托人的赔偿和免除责任的条款,包括但不限于免除其采取行动步骤和/或行动或提起程序以强制执行其在证券、信托契据、代理协议和/或这些条件下的权利以及就证券和根据其下的付款或采取其他步骤和/或行动和/或提起其他程序的条款,除非首先获得赔偿和/或担保和/或预先资助以使其满意,并优先于证券持有人的债权获得支付其费用、成本、开支、负债、赔偿付款和其他金额。
受托人、代理及其附属公司有权(a)与发行人及与发行人有关的任何实体进行业务交易,并担任发行人发行或担保的任何其他证券的持有人或与发行人有关的任何其他证券的受托人、代理人、存托人和/或托管人,以及与发行人直接或间接有关的任何实体,(b)行使和强制执行其权利、遵守其义务并履行其在任何此类交易项下或与任何此类托管(视情况而定)相关的任何此类托管项下或与之相关的职责,不考虑以下各方的利益,或对证券持有人造成的后果,以及(c)保留并无责任对由此或与此有关的任何利润或收到的任何其他金额或利益进行会计处理。
81
受托人及每名代理人可就任何会计师、核数师、律师、估值师、拍卖师、测量师、经纪人、财务顾问、金融机构或任何其他专家的任何报告、资料、确认或证明,或任何意见或建议,作出最终依赖,而无须向证券持有人、发行人或任何其他人承担责任,不论其是否向其提出,以及其与此有关的责任是否因参考货币上限、方法或其他方式而受到限制(受其条款或任何与此有关的聘书或以任何其他方式)。受托人及每名代理人可接受并有权最终(不承担责任)依赖任何该等报告、资料、确认、证明、意见或建议,在此情况下,该等报告、资料、确认、证明、意见或建议对发行人及证券持有人具有约束力。
受托人及代理人不得被视为知悉任何违约事件或任何潜在违约事件,除非及直至代理人,或视情况而定,受托人的负责人员获得有关该违约事件或潜在违约事件的书面通知,说明该等事件的情况,并指明构成该违约事件或任何潜在违约事件的情况。
受托人或任何代理人均不对发行人、任何证券持有人或任何其他人根据证券持有人的指示、指示或要求采取的任何行动承担责任。受托人有权最终(不承担责任)依赖未偿还证券必要本金金额持有人发出的任何指示、指示、请求或证券持有人的决议,或根据信托契约或通过书面决议或电子同意方式召集和召开的证券持有人会议上通过的任何指示、指示、请求或决议。
每当受托人根据信托契约、代理协议或本条件的条款被要求或有权行使任何酌情权或权力、采取或不采取任何行动、作出任何决定或给予任何指示时,受托人有权在其行使任何该等酌情权或权力、采取或不采取任何该等行动、作出任何该等决定或给予任何该等指示之前,(a)以特别决议的方式或在信托契约和/或证券另有设想或许可的情况下向证券持有人寻求指示或澄清,及(b)就其可能承担或将承担责任的所有诉讼、法律程序、申索及要求,以及其可能就此而招致的所有费用、收费、损害赔偿、开支(包括但不限于法律费用及开支)及法律责任,获得弥偿及/或担保及/或预先资助以使其信纳,而受托人无须就发行人、证券持有人或任何其他人因其迟延行使该等酌处权或权力、采取或不采取该等行动、作出该等决定而招致的任何损失或法律责任,或在受托人寻求证券持有人作出该等指示或澄清时或在未收到该等指示的情况下作出该等指示。
各证券持有人应全权负责对发行人的财务状况、资信、状况、事务、地位和性质作出并继续作出自己的独立评估和调查,受托人在任何时候均不对此承担任何责任或义务,各证券持有人不得就此依赖受托人。
19 |
1999年合同(第三方权利)法 |
任何人均无权根据1999年《合同(第三方权利)法》强制执行证券的任何条款或条件或信托契约的任何条款,除非条件12(强制执行)中所设想的情况和在明确规定的范围内。
20 |
管辖法律和服从管辖 |
(a) |
准据法:证券、信托契据和代理协议以及由此产生或与之相关的任何非合同义务受英格兰法律管辖,并应按其解释。 |
(b) |
司法管辖权:发行人不可撤销地提交香港法院的专属司法管辖权,以解决因证券、信托契据及代理协议而可能产生或与之有关的任何争议,并因此可在该等法院对发行人提起因证券、信托契据及代理协议而可能产生或与之有关的任何法律诉讼或程序(“程序”)。根据信托契据,发行人已不可撤销地提交该等法院的司法管辖权,并放弃任何反对 |
82
在任何这类法院以地点为由或以诉讼程序已在不方便的法院提起为由提起的诉讼。
(c) |
豁免放弃:发行人特此放弃要求主权或其他管辖或执行豁免及任何类似抗辩的任何权利,并不可撤销地同意给予任何救济或任何程序的问题,包括但不限于针对任何财产(无论其用途或预期用途)作出、强制执行或执行与任何程序有关的任何命令或判决(无论其用途或预期用途)。 |
83
附表3
证券持有人会议的规定
释义
1. |
在这份附表中: |
1.1 |
提及会议是指实体会议、虚拟会议或证券持有人混合会议,除非上下文另有要求,否则包括任何休会; |
1.2 |
“代理人”是指代理人或代表; |
1.3 |
“电子同意”具有第22段所述含义; |
1.4 |
“特别决议”是指在根据本信托契约正式召开和举行的会议上以至少75%的多数票通过的决议(i); |
(ii)以书面决议或(iii)以电子同意;
1.5 |
“书面决议”具有第22段所述含义;以及 |
1.6 |
提及代表证券一定比例的人是指证券持有人或代理人合计持有或代表当时未偿还的证券本金金额至少该比例。 |
委任代理人或代表
2. |
在下列情况下可委任代理人或代表: |
2.1 |
证券持有人可藉一份英文书面文书(“代理表格”),其格式可自任何代理人的指明办事处取得,由持有人签署,如属法团,则须盖盖其法团的法团印章或由法团的律师或正式授权人员代其签署,并可在有关会议的订定时间前不少于48小时交付处长或转让代理人的指明办事处,委任该人士(“代理人”)就任何证券持有人会议及任何延期的该等会议代表其行事。 |
2.2 |
任何证券持有人如属法团,可透过不迟于为任何会议订定的时间前48小时向任何代理人交付其董事或其他理事机构的英文决议,授权任何人就任何证券持有人会议及任何延期的该等会议担任其代表(“代表”)。 |
2.3 |
如证券的持有人是替代清算系统或替代清算系统的代名人,而该替代清算系统的规则或程序有此要求,则该代名人或替代清算系统可根据该替代清算系统所采用的形式委任代理人,作为其不时与证券持有人会议有关的通常程序的一部分。任何如此委任的代理人,可藉一份英文书面文书,其格式可从指明的注册主任办事处索取,或藉受托人最少在订定会议日期前七日批准的其他格式,由该代理人签署,或如属法团,则由该代理人盖上其法团的法团印章或由法团的一名律师或正式授权人员代其签署,并不迟于任何会议的订定时间前48小时交付注册主任,委任委托代理人或其提名的任何雇员(“次级代理人”)就任何证券持有人会议或建议的会议代表其行事。除本段2.3外,本附表中所有对“代理”或“代理”的提述均应理解为包括对“次级代理”或“次级代理”的提述。 |
84
2.4 |
只要该证券有资格通过Euroclear、Clearstream或替代清算系统的记账式结算系统进行结算,且Euroclear、Clearstream或此类替代清算系统的规则或程序有此要求,发行人可以为任何会议的目的确定一个记录日期,但该记录日期不超过应在召开会议的通知中指明的为该会议确定的日期之前10天。 |
2.5 |
任何根据上文第2.1或2.3段委任的代理人或根据上文第2.2段委任的代表,只要该等委任仍然完全有效,就有关的证券持有人会议或续会的所有目的而言,均须当作该等委任所关乎的证券的持有人,而就该等目的而言,该证券的持有人须分别当作不是持有人或拥有人。 |
会议的权力
3. |
会议在符合条件的情况下,并在不损害本信托契据赋予其他人的任何权力的情况下,有权以特别决议: |
3.1 |
对发行人或受托人提出的针对发行人的任何修改、废除、变更或妥协证券持有人权利或与其有关的安排的任何提议进行制裁,无论这些权利是否在本信托契约或证券项下产生; |
3.2 |
制裁发行人或任何其他实体交换或替代其证券,或将该证券转换为股份、债券或其他债务或证券; |
3.3 |
同意发行人或受托人对本信托契约、代理协议或证券提出的任何修改; |
3.4 |
授权任何人同意并采取任何必要措施,以执行和实施特别决议; |
3.5 |
给予特别决议规定的任何授权、指示或制裁; |
3.6 |
委任任何人士(不论是否证券持有人)为一个或多个委员会,以代表证券持有人的利益,并授予他们证券持有人本身可藉特别决议行使的任何权力或酌情权; |
3.7 |
批准建议的新受托人及罢免受托人; |
3.8 |
根据证券、代理协议和/或本信托契约,批准任何实体替代发行人(或任何先前的替代人)作为主要债务人或担保人(如适用);和 |
3.9 |
就受托人根据本信托契据、代理协议或证券可能成为其责任的任何作为或不作为,解除或免除受托人的任何责任, |
但第10段中的特别法定人数规定应适用于任何特别决议(“特别法定人数决议”),为第3.2或3.8段的目的,或为对本信托契约或证券作出具有以下效果的修改:
(a) |
修改证券期限或认沽期权日; |
85
(b) |
修改发行人或证券持有人根据条件8(b)、条件8(c)、条件8(d)或条件8(e)有权赎回证券的情形;或 |
(c) |
减少或注销就证券应付的本金、利息或其他金额;或 |
(d) |
变更证券的面额或支付币种;或 |
(e) |
修改(单方面无条件降低行权价格除外)或者注销行权权利;或者 |
(f) |
修改本附表中有关任何证券持有人会议所需法定人数或通过特别决议所需多数的规定;或 |
(g) |
修订本但书。 |
召开会议
4. |
发行人或者受托人可以随时召开会议。如果受托人收到持有至少10%.的证券持有人的书面请求,该证券当时未偿还的本金总额,并获得赔偿和/或担保和/或预先注资以抵偿其所有成本、负债和费用,则受托人应召开会议。每次会议应在受托人认可的时间和地点召开。 |
已根据本款第4款紧接前一款有效召开的会议,可由召开该会议的人取消,方法是向证券持有人发出至少七天的通知(不包括发出通知的日期和会议的日期)(并抄送由发行人召开该会议的受托人或由受托人召开该会议的发行人)。根据本分段取消的会议,视为未召开。
5. |
证券持有人应至少提前21天(不包括发出通知之日和会议召开之日)发出通知。召开会议的一方应向其他各方提供一份通知副本。通知应指明会议的日期、时间和地点,除非受托人另有约定,否则应指明拟提出的决议的性质,并应解释证券持有人如何任命代理人或代表以及适用的时限的详细信息,如果将在会议上提出特别决议,则应在该通知中指明该决议的条款或说明该决议如获通过对证券持有人的影响。 |
董事长
6. |
会议主席由受托人以书面提名的人担任,但如未作出提名或被提名的人自会议确定的时间起15分钟内未出席,则出席的证券持有人或代理人应从其人数中选择一人担任主席,否则发行人可委任一名主席。 |
7. |
董事长可以但不必是证券持有人或代理人。续会主席不必与原会议主席为同一人。 |
出席情况
8. |
以下人员可出席会议并发言: |
86
8.1 |
证券持有人和代理人; |
8.2 |
主席;及 |
8.3 |
发行人和受托人(通过其各自的代表)及其各自的财务和法律顾问。 |
任何人不得出席或发言。
法定人数和休会
9. |
会议不得办理任何事务(除推选主席外),除非在业务开始时达到法定人数。自最初确定的会议召开时间起15分钟内未达到法定人数的,应证券持有人要求召开或者发行人与受托人同意召开的,解散。在任何其他情况下,应延期至主席决定的日期,不少于14日或不超过42天,以及时间和地点。如此休会的会议自确定的时间起15分钟内未达到法定人数的,会议解散。 |
10. |
两个或两个以上证券持有人或代理人亲自出席或委托代理人出席应为法定人数: |
10.1 |
在下表注明“无最低比例”的情况下,无论其所代表的证券比例如何;以及 |
10.2 |
在任何其他情况下,仅当它们代表下表所示的证券比例时。 |
第1栏 |
|
第2栏 |
|
第3栏 |
会议目的 |
|
除第3栏所指的会议外的任何会议 |
|
此前因缺乏法定人数而休会的会议 |
|
所需比例 |
|
所需比例 |
|
通过特别法定人数决议 |
|
不低于662/3%。 |
|
不低于33%。 |
通过任何其他特别决议案 |
|
超过50%。 |
|
无最低比例 |
任何其他目的 |
|
不低于10%。 |
|
无最低比例 |
11. |
就证券持有人会议的任何法定人数要求而言,全球证书的持有人(除非该全球证书仅代表一种证券)应被视为两人。 |
12. |
主席可在会议同意下(如由会议指示)不时并在不同地方休会。只有原本可以在原会议上处理的事务,才可以在根据本款或第9款休会的会议上处理。 |
13. |
因缺乏法定人数而休会的会议,应以与原会议相同的方式发出至少10天的通知,且该通知应说明休会会议所需的法定人数。然而,无需发出通知,否则将发出休会会议。 |
87
投票
14. |
除非主席、发行人、受托人或一名或多于一名代表不少于2%的人士要求以投票表决方式(在宣布举手表决结果前或在宣布举手表决结果时),否则每项提交会议的问题均须以举手表决方式决定。 |
15. |
除非要求进行投票,否则主席宣布某项决议已获通过或未获通过,即为事实的确凿证据,而无须证明赞成或反对的票数或比例。 |
16. |
如要求进行投票表决,则须按主席指示的方式及(以下文所规定为准)立即或在休会后进行。投票结果应视为截至表决之日被要求表决的会议的决议。要求投票不应妨碍会议继续进行已被要求的问题以外的业务交易。 |
17. |
对选举主席或休会问题提出要求的投票,应立即进行。 |
18. |
举手表决时,每一位亲自出席并出示证券或作为代理人的人都有一票表决权。在一次投票中,每一个这样的人对如此制作的或他作为代理人或代表的本金金额为20万美元的证券有一票。在不影响代理人义务的情况下,有权获得一票以上表决权的人不必全部使用或以相同方式全部投出。 |
19. |
在票数相等的情况下,主席除可能拥有的任何其他票数外,还应在举手表决和投票表决中拥有决定票。 |
特别决议的效力及公布
20. |
特别决议对全体证券持有人,不论是否出席会议,均具有约束力,每一方均有义务相应生效。这种决议的通过,应当是证明其有理由通过的确凿证据。发行人应在14日内向证券持有人发出通过特别决议的通知,但不这样做不应使该决议无效。 |
分钟
21. |
每次会议的所有决议和议事程序均应作会议记录,如看来是由该次会议或下一次会议的主席签署,则应为其中事项的确凿证据。在相反证明成立之前,每一次会议如已如此制作并签署会议记录,均须当作已妥为召集及举行,而在会上通过的所有决议或进行的程序均已妥为通过及处理。 |
书面决议和电子同意
22. |
在符合以下一句的规定下,由持有人签署的不少于未偿还证券本金总额的90%的书面决议(“书面决议”)可载于一份文件或以类似形式的若干文件中,每份文件均由一名或多名证券持有人签署或代表其签署。 |
只要证券的形式是以Euroclear、Clearstream或替代清算系统(“相关清算系统”)中一个或多个的任何代名人的名义注册的全球证书,那么,就发行人或受托人提出的任何决议而言:
88
22.1 |
凡建议决议案的条款已透过相关结算系统通知证券持有人,发行人及受托人各自均有权依赖发行人或受托人(视属何情况而定)根据其运作规则及程序通过相关结算系统的电子通讯系统以电子同意的方式给予的建议决议案的批准,由持有人或代表持有人不少于未偿还证券本金总额的90%(“电子同意”)。发行人或受托人均不得就该等依赖向任何人承担法律责任或对其负责;及 |
22.2 |
在未寻求电子同意的情况下,为确定书面决议是否已有效通过,发行人和受托人有权依赖直接以书面形式向发行人和/或受托人(视情况而定)发出的同意或指示,(a)清算系统中的账户持有人有权获得该全球证书和/或, |
(b)凡账户持有人代表另一人持有任何该等权利,须经该账户持有人所指明为持有该等权利的人的书面同意或书面指示。为确立给予任何该等同意或指示的权利,发行人及受托人有权依赖(如属上述(a)的情况)Euroclear、Clearstream或任何其他相关替代清算系统(“相关清算系统”)签发的任何证书或其他文件,如属上述(b)的情况,则依赖相关清算系统和相关清算系统为上述(b)目的而确定的人。以这种方式通过的任何决议对所有证券持有人具有约束力,即使相关同意或指示被证明是有缺陷的。任何该等证书或其他文件,对所有目的而言,均属结论性及具约束力。任何此类证书或其他文件可能包含相关清算系统(包括Euroclear的EUCLID或Clearstream的CreationOnline系统)按照其通常程序提供的任何形式的对账单或打印出来的电子记录,其中特定证券本金金额的账户持有人与此类持有的金额一起被明确识别。发行人和受托人均不得因已接受为有效或未拒绝任何看来是由任何该等人签发并随后被发现是伪造或不具真实性的证明或其他文件而对任何人承担法律责任。
书面决议和/或电子同意书应作为特别决议生效。书面决议和/或电子同意将对所有证券持有人具有约束力,无论他们是否参与了此类书面决议和/或电子同意。
如果发行人指定单独的实体作为信息代理,则受托人或代理或共同存托人或其作为证券登记持有人(以这种身份)的指定人均无需提供任何大宗投票指示或投票指示,或核实持有人的电子同意立场。
受托人订明规例的权力
23. |
在不违反本信托契据的所有其他规定的情况下,受托人可在未经证券持有人或任何其他人同意的情况下,订明其全权酌情决定的有关举行会议及出席会议和投票的进一步规例,包括(但不限于)受托人认为适当的规定,以使自己确信声称根据本信托契据提出任何要求的人有权这样做,并使自己确信声称出席会议或在会议上投票或签署书面决议或提供电子同意的人有权这样做。 |
89
附表4
致受托人的信纳证明表格
至:
纽约梅隆银行伦敦分行(“受托人”)
维多利亚女王街160号
伦敦EC4V 4LA
英国
关注:受托管理经理/Project Chronos
附一份副本至:
纽约梅隆银行,香港分行
太古广场三号26层
皇后大道东1号
香港
关注:Global Corporate Trust/Project Chronos
并:
纽约梅隆银行伦敦分行(“委托代理”)
维多利亚女王街160号
伦敦EC4V 4LA
英国
关注:企业信托管理/项目Chronos
[日期]
尊敬的先生们
与550,000,000美元0.50%有关的备案条件满意证明。名创优品集团控股有限公司(“发行人”)发行的2032年到期的股票挂钩证券(“证券”)(ISIN:XS2972964857;通用代码:297296485)
根据证券条款和条件(“条件”)的条件4(d)(ii)和日期为2025年1月[ 14 ]日的信托契据(“信托契据”)的条款10.21,兹证明信托契据条件4(d)和条款10.21中所述的首次发改委发行后备案和首次证监会发行后备案已完成。
【兹随函附上初次发改委发行后备案和初次证监会发行后备案证明文件的相关文件【一份/份】。
本通知还应被视为对委托代理人的指示,以将附加的通知交付给证券持有人至Euroclear和Clearstream,以继续传送给证券持有人。
信托契约中定义的所有词语和表达(除本文另有规定或文意另有所指外)在本文中具有相同的含义。
签名:
90
名创优品集团控股有限公司
姓名:
职位:
91
附录1
完成首次发改委发行后备案和首次证监会发行后备案的通知
ISIN:XS2972964857
通用代码:297296485
550,000,000美元0.50%。名创优品集团控股有限公司发行的2032年到期的股票挂钩证券(“证券”)
兹提述证券条款及条件(「条件」)之条件4(d)(ii)。条件中定义的所有词语和表达(除本文另有规定或文意另有所指外)在本通知中具有相同含义。
兹通知证券持有人,我们已按照条件4(d)中规定的时间范围,完成了首次发改委发行后备案和首次证监会发行后备案。
签名:
名创优品集团控股有限公司
姓名:
职位:
1 |
表格将作为单独文件摘录(不含“附录”),并连同首次发改委发行后备案和首次证监会发行后备案完成证明作为附件发送给受托机构和委托代理人 |
92
附表5
向受托人提交的合规证明表格
纽约梅隆银行伦敦分行(“受托人”)
维多利亚女王街160号
伦敦EC4V 4LA
英国
关注:受托管理经理/Project Chronos
附一份副本至:
纽约梅隆银行,香港分行
太古广场三号26层
皇后大道东1号
香港
关注:Global Corporate Trust/Project Chronos
[日期]
尊敬的先生们
与550,000,000美元相关的合规证明0.50%。名创优品集团控股有限公司(“发行人”)发行的2032年到期的股票挂钩证券(“证券”)(ISIN:XS2972964857;通用代码:297296485)
根据日期为2025年1月14日的信托契据(“信托契据”)有关证券的第10.5条,我们谨此确认,经作出一切合理查询后,以我们于[日期](“认证日期”)所尽所知、所知及所信:
(一) |
自上次此类证书的认证日期(或如果没有,则为信托契约日期)以来,没有发生任何相关事件、违约事件或潜在违约事件,[插入任何相关事件/违约事件/潜在违约事件的详细信息(如适用)]和 |
(二) |
发行人已遵守其在信托契约和证券项下的所有契诺和义务[如适用,请插入任何不遵守情况的详细信息]。 |
此处使用且未定义的大写术语应具有证券条款和条件中给出的含义。
签名:
名创优品集团控股有限公司
姓名:
职位:
93
附表6
主要附属公司的证明书表格
纽约梅隆银行伦敦分行(“受托人”)
维多利亚女王街160号
伦敦EC4V 4LA
英国
关注:受托管理经理/Project Chronos
附一份副本至:
纽约梅隆银行,香港分行
太古广场三号26层
皇后大道东1号
香港
关注:Global Corporate Trust/Project Chronos
[日期]
尊敬的先生们
主要子公司证书涉及550,000,000美元0.50%。名创优品集团控股有限公司(“发行人”)发行的2032年到期的股票挂钩证券(“证券”)(ISIN:XS2972964857;通用代码:297296485)
根据与证券有关的日期为2025年1月[ 14 ]日的信托契据(“信托契据”)第10.19条,发行人兹证明以下实体于[其上一个财政年度的最后一天(即截至[ • ])]/[受托人要求本证明所指明的日期]为主要附属公司:
| ● | [列出清单]. |
此处使用且未定义的大写术语应具有证券条款和条件中给出的含义。
签名:
名创优品集团控股有限公司
姓名:
职位:
94
本信托契据按开头所述日期交付。
作为契据由 |
) |
/s/叶国富先生 |
|
|
) |
||
授权签字人 |
) |
||
名创优品集团控股有限公司 |
) |
叶国富先生 |
|
|
|
董事会主席、执行董事兼首席执行官 |
|
|
|
|
|
在有:
/s/张晶晶 |
|
姓名:张晶晶 |
|
标题:首席财务官 &副总裁 |
|
签署页-TMST契据
作为契据由
纽约梅隆银行伦敦分行
签名: |
/s/Joe Lin |
|
|
姓名:Joe Lin |
|
|
职称:副总裁 |
|
签署页-TMST契据