查看原文
免责申明:同花顺翻译提供中文译文,我们力求但不保证数据的完全准确,翻译内容仅供参考!
DEFA14A 1 tm257037d2 _ defa14a.htm DEFA14A

 

 

美国
证券交易委员会
华盛顿特区20549

 

 

 

附表14a

 

 

 

根据《公约》第14(a)节作出的代理声明
1934年证券交易法

 

由注册人提交 x
   
由注册人以外的一方提交 ¨

 

选中相应的框:

 

¨ 初步代理声明
   
¨ 机密,仅供委员会使用(在规则14a-6(e)(2)允许的情况下)
   
¨ 最终代理声明
   
x 确定的附加材料
   
¨ 根据§ 240.14a-11(c)或§ 240.14a-2征集材料

 

AMC娱乐控股有限公司。

(注册人的名称如其章程所指明)

 

不适用

(提交代理声明的人的姓名,如非注册人)

 

缴纳备案费(勾选所有适用的方框):

 

x 无需任何费用
   
¨ 之前用前期材料支付的费用
   
¨ 根据《交易法》规则14a-6(i)(1)和0-11,项目25(b)要求在展品中的表格上计算的费用

 

 

 

 

 

GRAPHIC

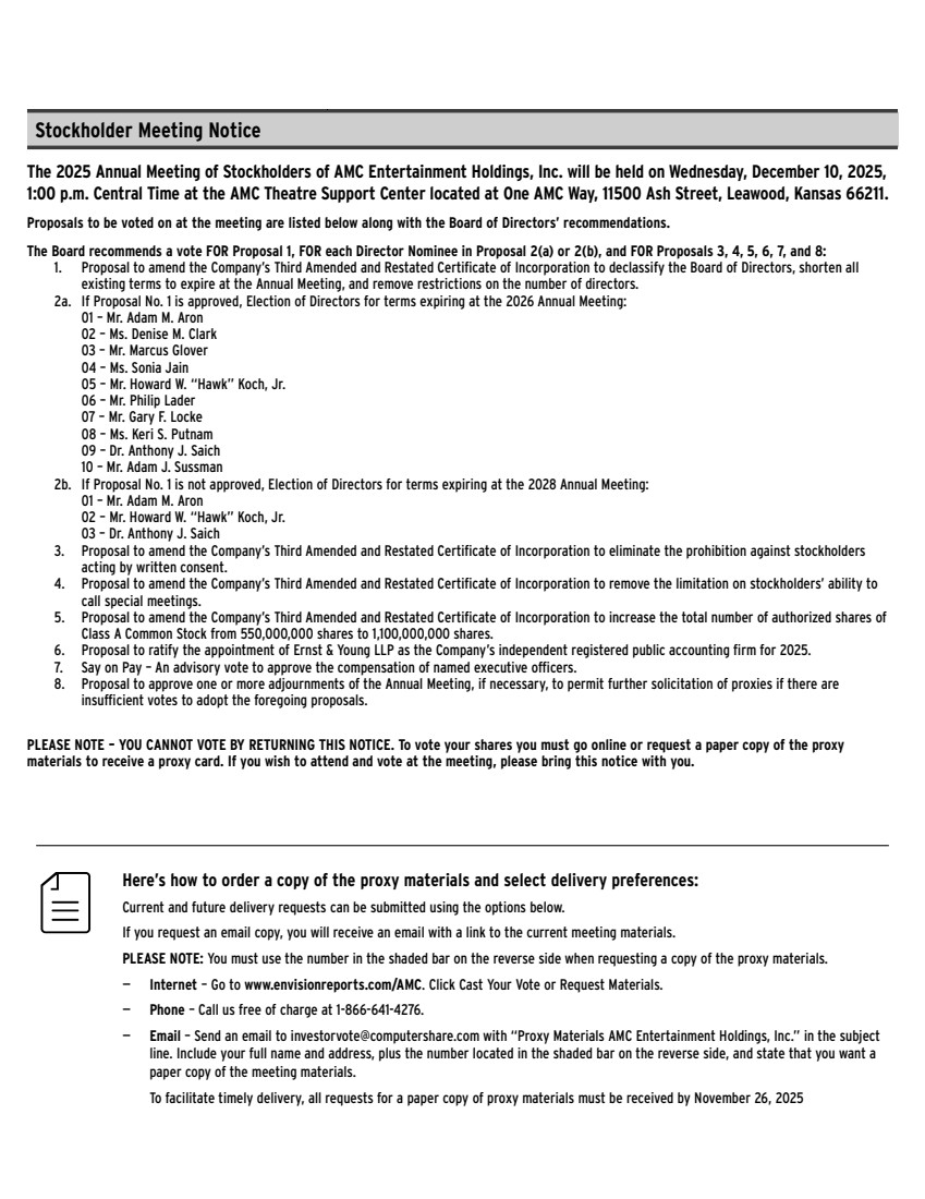
第一步:登陆www.envisionreports.com/AMC。第二步:点击投你的票或要求材料。第三步:按照屏幕上的说明登录。www.envisionreports.com/AMC在线前往www.envisionreports.com/AMC或扫描二维码—登录详情位于下方阴影栏。股东大会通知046X7C关于将于2025年12月10日召开的AMC院线股份有限公司股东大会代理材料备齐的重要通知。根据美国证券交易委员会的规则,您收到的通知是,年度股东大会的代理材料可在互联网上获得。按照以下说明查看材料并在线投票或索取副本。年会的表决项目和地点在反面。你的投票很重要!本通讯仅概述您在互联网上可以获得的更完整的代理材料。我们鼓励您在投票前访问和审查代理材料中包含的所有重要信息。向股东提交的2025年代理声明和2024年年度报告可在以下网址查阅:获取代理材料的副本–如果您想收到代理材料的副本,您必须索取一份。索取复印件不向你收费。请于2025年11月26日或之前按反面指示提出要求,以方便及时交付。2Not Easy Online Access — View your proxy materials and vote。当你上网时,你还可以通过同意接收未来材料的电子交付来帮助环境。第4步:根据您的交付偏好,在每个屏幕上按照指示进行选择。第五步:投票表决你的股份。25-7037-2 C1.1 P2

GRAPHIC

以下是订购代理材料副本并选择交付首选项的方法:可以使用以下选项提交当前和未来的交付请求。如果您要求电子邮件副本,您将收到一封电子邮件,其中包含当前会议材料的链接。请注意:请求代理材料副本时,必须使用反面阴影栏中的数字。—互联网–请访问www.envisionreports.com/AMC。点击投票或索取材料。—电话–免费致电1-866-641-4276。—邮箱–发送邮件至investorvote@computershare.com,主题行中注明“Proxy Materials AMC院线,Inc.”。包括您的全名和地址,加上位于反面阴影栏的号码,并说明您想要一份会议材料的纸质副本。为便于及时交付,所有索取代理材料纸质副本的请求必须在2025年11月26日之前收到。AMC院线公司2025年年度股东大会将于美国中部时间2025年12月10日(星期三)下午1:00在位于堪萨斯州利伍德阿什街11500号AMC Way一号的AMC剧院支持中心举行,地址为66211。会议拟表决的议案连同董事会建议列示如下。董事会建议对提案1进行投票,对提案2(a)或2(b)中的每位董事提名人进行投票,对提案3、4、5、6、7和8进行投票:1。建议修订公司第三份经修订及重述的法团注册证明书,以解密董事会、缩短所有现有任期至年会届满,并取消董事人数限制。2a。如果第1号提案获得通过,则在2026年年度会议上选举任期届满的董事:01 – Adam M. Aron先生02 – Denise M. Clark女士03 – Marcus Glover先生04 – Sonia Jain女士05 – Howard W.“Hawk”Koch,Jr.先生06 – Philip Lader先生07 – Gary F. Locke先生08 – Keri S. Putnam女士09 – Anthony J. Saich博士10 – Adam J. Sussman先生2b。如果第1号提案未获通过,则在2028年年会上选举任期届满的董事:01 – Adam M. Aron先生02 – Howard W.“Hawk”Koch,Jr.先生03 – Anthony J. Saich博士3。建议修订公司第三份经修订及重述的法团注册证明书,以取消禁止股东以书面同意行事的规定。4.建议修订公司第三份经修订及重述的法团注册证明书,取消股东可召开特别会议的限制。5.建议修订公司第三份经修订及重述的法团注册证明书,将A类普通股的授权股份总数由550,000,000股增加至1,100,000,000股。6.批准聘任安永会计师事务所为公司2025年独立注册会计师事务所的议案。7.Say on Pay –一项咨询投票,以批准指定执行官的薪酬。8.提议批准一次或多次年度会议休会(如有必要),以便在没有足够票数通过上述提案时允许进一步征集代理人。请注意–您不能通过返回此通知进行投票。要投票你的股份,你必须上网或索取代理材料的纸质副本,以获得代理卡。如欲出席会议并参加表决,请随身携带本通知。股东大会通知25-7037-2 C1.1 P3