市场挂钩证券—具有内存特性和或有下行空间的或有券可自动赎回
与英伟达公司普通股挂钩的主要风险证券将于2026年10月26日到期
GS Finance Corp.可在证券的首次销售中使用本招股说明书。此外,高盛 Sachs & Co.LLC或GS Finance Corp.的任何其他关联公司可以在证券首次出售后的做市交易中使用本招股说明书。除非GS Finance Corp.或其代理在销售确认书中另行通知买方,否则本招股说明书正在做市交易中使用。
富国银行 Advisors(“WFA”)是富国银行 Clearing Services,LLC和富国银行 Advisors Financial Network,LLC、SIPC成员、富国银行集团公司的独立注册经纪自营商和非银行关联公司使用的商号。
在定价日(参考高盛 Sachs & Co.LLC(GS & Co.)使用的定价模型并考虑到我们的信用利差确定)您的证券条款设定时,您的证券的估计价值约等于每1,000美元面值金额983美元,低于原发行价格。您的证券在任何时候的价值将反映许多因素,无法预测;但是,GS & Co.最初购买或出售证券的价格(不包括GS & Co.的惯常买卖价差)(如果它做市,它没有义务这样做)以及GS & Co.最初将用于账户报表或其他方面的价值大约等于定价时您的证券的估计价值,再加上额外的金额(最初等于每1,000美元面值金额12美元)。
在2026年1月21日之前,GS & Co.买入或卖出你的证券的价格(不包括GS & Co.的惯常买卖价差)(如果它做市,它没有义务这样做)将大约等于(a)你的证券当时的估计价值(由参考GS & Co.的定价模型确定)加上(b)任何剩余的额外金额(从定价时到2026年1月20日,额外金额将直线下降为零)的总和。在2026年1月21日及之后,GS & Co.买入或卖出贵方证券的价格(不包括GS & Co.的惯常买卖价差)(如果其做市)将大约等于参照此类定价模型确定的贵方证券当时的估计价值。
市场挂钩证券—具有内存特性和或有下行空间的或有券可自动赎回
与英伟达公司普通股挂钩的主要风险证券将于2026年10月26日到期
证券并不适合所有投资者。对于以下投资者而言,该证券可能是一种适当的投资:
▪
寻求以每份证券60.375美元的或有息票支付(相当于每年24.15%的或有息票利率)进行投资,直至规定的到期日或自动赎回中较早者为止,如果,并且只有当、标的股票在适用计算日的股票收盘价大于或等于票息阈值价格;
▪
了解如果期末价格小于下跌阈值价格,他们将充分暴露于标的股票较起始价格的下跌,可能会损失其在证券上的全部或相当大一部分投资;
▪
愿意承担在证券期限内可能收到很少或没有或有息票支付的风险;
▪
了解证券可能会在规定的到期日之前被自动赎回,并且证券的期限可能会缩短;
▪
愿意放弃参与任何标的股票的增值和标的股票的分红;并且
对于以下情况的投资者而言,该证券可能不是适当的投资:
▪
不愿意购买截至定价日估值低于原发行价格的证券,如封面所述;
▪
不愿意接受期末价格可能小于下跌阈值价格的风险;
▪
不愿意接受GS Finance Corp.和高盛集团的信用风险;或者
▪
偏好信用评级相当的公司发行的期限相当的常规固定收益投资的较低风险。
上述考虑因素并非详尽无遗。该证券是否适合您投资将取决于您的个人情况,您应在您和您的投资、法律、税务、会计和其他顾问根据您的特定情况仔细考虑投资该证券的适当性后才能做出投资决定。您还应仔细查看此处的“选定的风险考虑因素”,以及随附招股说明书、随附招股说明书补充文件中描述的风险和考虑因素,以及与投资该证券相关的风险随附产品补充文件中的“风险因素”。有关标的股票的更多信息,请看下面标题为“英伟达公司”的部分。
市场挂钩证券—具有内存特性和或有下行空间的或有券可自动赎回
与英伟达公司普通股挂钩的主要风险证券将于2026年10月26日到期
如果证券之前没有被自动赎回,在每个或有息票支付日,您要么收到或有息票支付(以及任何之前未支付的或有息票支付),要么不收到或有息票支付,具体取决于相关计算日的标的股票收盘价,具体如下:

如果证券在规定的到期日之前没有被自动赎回,那么在到期时,您将收到(除了最终的或有息票支付和任何先前未支付的或有息票支付,如果到期)每只证券的现金支付(到期支付金额),计算如下:

市场挂钩证券—具有内存特性和或有下行空间的或有券可自动赎回
与英伟达公司普通股挂钩的主要风险证券将于2026年10月26日到期
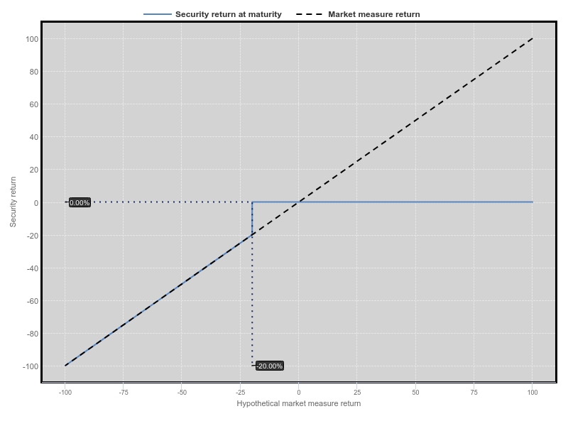
以下简介说明了基础股票从起始价格到结束价格的一系列假设表现的证券的潜在到期支付金额(不包括最终或有息票支付和任何先前未支付的或有息票支付,如果到期),假设证券在规定的到期日之前没有被自动赎回。正如本简况所示,在任何情况下,您都不会仅根据到期时收到的到期付款金额获得正收益率;任何正收益将仅基于在证券期限内收到的或有息票付款(如果有的话)。这张图表仅为说明目的而准备。您的实际收益将取决于实际的期末价格以及您是否将您的证券持有到规定的期限。

市场挂钩证券—具有内存特性和或有下行空间的或有券可自动赎回
与英伟达公司普通股挂钩的主要风险证券将于2026年10月26日到期
投资贵公司的证券须遵守下述风险,以及随附招股说明书、随附招股说明书补充文件和随附WFS产品补充文件第5号“风险因素”项下所述的风险和考虑因素。您应仔细审查这些风险和考虑因素以及本文和随附的招股说明书、随附招股说明书补充文件和随附的WFS产品补充文件第5号中描述的证券条款。与普通债务证券相比,您的证券是一种风险更高的投资。还有,你的证券并不等同于直接投资于标的股票。鉴于您的特殊情况,您应该仔细考虑所提供的证券是否合适。
与Structure、估值及二级市场销售相关的风险
在定价日(参考GS & Co.使用的定价模型确定)设定贵国证券条款时贵国证券的估计价值小于贵国证券的原始发行价格。
贵公司证券的原始发行价格超过了参考GS & Co.的定价模型并考虑到我们的信用利差确定的截至定价日贵公司证券条款确定时贵公司证券的估计价值。该等于定价日的预估值载于上文“贵司证券的预估值”项下;定价日后,参考该等模型确定的预估值将受到市场条件变化、作为发行人的GS Finance Corp.的资信状况、作为担保人的高盛集团的资信状况以及其他相关因素的影响。GS & Co.最初购买或出售您的证券的价格(如果GS & Co.做市,它没有义务这样做),以及GS & Co.最初用于账户报表和其他方面的价值,也超过了参考这些模型确定的您的证券的估计价值。根据GS & Co.和分配参与者的约定,该超额部分(即“贵公司证券的估计价值”项下所述的额外金额)将在自本协议日期至上述“贵公司证券的估计价值”项下所述适用日期的期间内以直线法下降为零。此后,如果GS & Co.购买或出售您的证券,它将以反映当时参考此类定价模型确定的估计价值的价格进行。GS & Co.将在任何时候购买或出售您的证券的价格也将反映其当时对类似规模的结构性证券交易的当前买卖价差。
如上文“贵公司证券的估计价值”项下所披露,在估计贵公司证券在定价日条款设定时的价值时,GS & Co.的定价模型考虑了某些变量,主要包括我们的信用利差、利率(预测、当前和历史利率)、波动性、价格敏感性分析和证券的到期时间。这些定价模型是专有的,部分依赖于对未来事件的某些假设,这可能被证明是不正确的。因此,如果您在二级市场上向他人出售您的证券(如果有的话),您将获得的实际价值可能与参考我们的模型确定的您的证券的估计价值存在重大差异,原因之一是定价模型或他人使用的假设存在任何差异。见下文“—你的证券市值可能受到很多不可预测因素的影响”。
贵公司在定价日设定证券条款时的证券估计价值与原发行价格之间的差额是某些因素造成的,主要包括承销折扣和佣金,创建、记录和营销证券所产生的费用,以及我们向GS & Co.支付的金额与GS & Co.就贵公司的证券向我们支付的金额之间的差额的估计。我们向GS & Co.支付的金额基于我们将支付给具有类似期限的非结构化证券持有人的金额。作为此类付款的回报,GS & Co.向我们支付我们在贵公司证券项下所欠的金额。
除了上面讨论的因素外,你的证券在任何时候的价值和报价都会反映很多因素,无法预测。如果GS & Co.在证券中做市,GS & Co.报的价格将反映市场条件和其他相关因素的任何变化,包括我们的信誉或感知信誉或高盛集团的信誉或感知信誉的任何恶化。这些变化可能会对您的证券价值产生不利影响,包括您在任何做市交易中可能收到的证券价格。如果GS & Co.在证券中做市,报价将反映当时参考GS & Co.的定价模型确定的估计价值,加上或减去其当时对类似规模的结构性证券交易的当前买卖价差(并以上述递减的超额金额为准)。
此外,如果你卖出你的证券,你很可能会被收取二级市场交易的佣金,或者价格很可能反映了交易商的折扣。这种佣金或折扣将进一步减少您在二级市场出售您的证券所获得的收益。
无法保证GS & Co.、WFS或任何其他方愿意以任何价格购买您的证券,在这方面,GS & Co.和WFS没有义务在证券中做市。请参阅随附产品补充中的“风险因素——您的证券可能没有活跃的交易市场”。
市场挂钩证券—具有内存特性和或有下行空间的或有券可自动赎回
与英伟达公司普通股挂钩的主要风险证券将于2026年10月26日到期
证券受发行人和担保人的信用风险。
尽管证券的或有息票(如有)和回报将基于相关股票的表现,但支付证券到期的任何金额均受制于作为证券发行人的GS Finance Corp.的信用风险以及作为证券担保人的高盛集团的信用风险。这些证券是我们的无担保债务。投资者依赖于我们支付证券到期的所有金额的能力,因此投资者受到我们的信用风险和市场对我们信用的看法变化的影响。同样,投资者依赖于作为证券担保人的高盛集团支付证券到期的所有金额的能力,因此也受到其信用风险和市场对其信用度看法变化的影响。请参阅随附的招股章程补充文件第S-5页的“我们可能提供的票据的说明——关于我们的中期票据,F系列计划的信息——票据与其他债务的排名”和随附的招股章程第65页的“我们可能提供的债务证券的说明——由高盛集团提供担保”。
你可能会失去对证券的全部投资。
你可能会损失你在证券上的全部投资。假设您的证券不被自动赎回,您的证券上的到期支付金额(如有)在规定的到期日将根据最终计算日从起始价到股票收盘价计量的标的股票的表现。如果期末价格小于下跌阀值价格,您将拥有正股价格较起始价下跌的全部下跌风险敞口,期末价格低于起始价每1%,您将损失证券面额的1%。因此,你可能会失去你在证券上的全部投资。
此外,在赎回结算日或规定的到期日(视情况而定)之前,您的证券的市场价格可能明显低于您为证券支付的购买价格。因此,如果您在规定的到期日之前卖出您的证券,您获得的收益可能远低于您在证券中的投资金额。
尽管标的股票价格只有很小的变化,但贵司证券的收益率可能会有很大的变化。
如果您的证券未被自动赎回且期末价格低于下跌阈值价格,您将收到少于证券面值的收益,您可能会损失您在该证券上的全部或大部分投资。这意味着,虽然期末价格下跌至下跌阈值价格不会导致证券本金损失,但期末价格下跌至低于下跌阈值价格将导致证券面值的很大一部分损失,尽管标的股票价格仅有很小的变化。
您可能不会在任何或有息票支付日收到或有息票。
若相关计算日的标的股票股票收盘价低于票息阈值价格,则在适用的或有票息支付日不收取票息款项。如果在每个计算日都发生这种情况,那么您在证券上获得的总体回报将低于零,并且这种回报将低于您通过投资按现行市场利率计息的证券所获得的回报。
如果相关计算日的标的股票股票收盘价大于或等于票息阈值价格,您将仅在一个或有票息支付日收到一张或有票息(加上任何先前未支付的或有票息付款,不包括先前未支付的此类金额的利息)。请注意,对于任何未导致支付或有息票的先前计算日,您将不会因通货膨胀和其他与货币时间价值相关的因素而隐含的任何机会成本获得补偿。此外,无法保证您将在任何时候收到与证券有关的任何或有息票付款,并且您可能会损失您在证券中的全部投资。
较高的或有票息、较低的票息门槛价格和/或较低的下行门槛价格可能反映出标的股票的预期波动较大,而较大的预期波动一般表明标的股票价格下跌的风险增加,并可能在到期时出现重大亏损。
证券的经济条款,包括或有票息、票息门槛价格和下跌门槛价格,部分基于证券条款设定时标的股票的预期波动性。“波动率”是指标的股票价格变动的频率和幅度。
截至定价日标的股票的较高预期波动率一般表明截至该日期的较大预期:(i)期末价格最终可能低于下行阈值价格,这将导致您在证券上的投资损失很大一部分或全部,或(ii)任何计算日的标的股票收盘价将低于票息阈值价格,这将导致未支付或有票息。在设定证券条款时,较高的预期波动性一般将反映在较高的或有票息、较低的票息门槛价格和/或较低的下行门槛价格上,而与同一发行人发行的具有相同期限(考虑到发行人在到期前赎回证券的任何能力)但具有一种或多种不同基础股票的其他可比证券相比。然而,无法保证在定价日为您的证券设定的较高或有票息、较低票息门槛价格或较低下行门槛价格将充分补偿您,从
市场挂钩证券—具有内存特性和或有下行空间的或有券可自动赎回
与英伟达公司普通股挂钩的主要风险证券将于2026年10月26日到期
风险-潜在回报角度,对于在任何或有息票支付日没有收到或有息票或损失部分或全部投资于证券的更大风险。
相对较高的或有票息(与其他可比证券相比),如果标的股票的股票收盘价大于或等于计算日的票息阈值价格,则会增加正收益,或者相对较低的票息阈值价格,会增加标的股票在证券没有资格获得特定票息支付之前的计算日可能减少的金额,通常可能表明标的股票价格大幅下降的风险增加,这将导致在部分或全部或有息票支付日未能支付或有息票。
同样,相对较低的下行阈值价格(与其他可比证券相比),这将增加本金损失的缓冲,通常可能表明基础股票价格大幅下降的风险增加。如果期末价格低于下行阈值价格,这将导致到期时的重大损失。此外,相对较低的下行阈值价格可能并不表明该证券基于基础股票的表现有更大的可能性在到期时获得本金回报。
不应将标的股票的历史波动率作为其未来波动的指示。你应该愿意接受正股的下跌市场风险和可能不会收到一些或有息票并损失你在证券上的很大一部分或全部投资。
您的证券将被自动赎回。
如果按照任一赎回日的计量,标的股票的股票收盘价大于或等于起始价,我们将在赎回结算日自动赎回您的全部证券,但不是部分证券。因此,您的证券的期限可能会减少。在证券被自动赎回后,您将不会收到任何额外的或有息票付款,并且如果证券在到期前被自动赎回,您可能无法将投资于证券的收益以类似风险水平的可比回报进行再投资。为免生疑问,如果您的证券被自动赎回,将不会返利或减少本文所述的任何折扣、佣金或费用。
或有票息不反映标的股票自定价日至任一计算日或自计算日至计算日的实际表现。
每个或有息票支付日的或有息票不同于、且可能低于根据定价日期与任何计算日或两个计算日之间标的股票收盘价的百分比差异确定的息票。据此,证券上的或有息票(如有)可能低于您在根据定价日期至任何计算日或从计算日至计算日的标的股票表现支付息票的与标的股票挂钩的另一工具上可赚取的回报。
你的证券市值可能受到很多不可预测因素的影响。
当我们提到您的证券的市场价值时,我们指的是如果您选择并能够在规定的到期日之前在公开市场上出售您的证券,您可以获得的价值。许多因素,其中许多是我们无法控制的,影响债券和期权的价值,将影响您的证券的市场价值,包括:
●
经济、金融、监管、政治、军事、公共卫生等一般影响股票市场和标的股票所属细分市场、可能影响标的股票价格的事件;
●
我们的信誉和高盛集团的信誉,无论是实际的还是感知到的,包括我们信用评级或高盛信用评级的实际或预期的上调或下调,或其他信用措施的变化。
在不限制前述内容的情况下,您的证券的市场价值可能会受到利率上升的负面影响。利率上升的这种不利影响可能会在期限较长的证券中显着增强,这些证券的市场价值通常对利率上升更为敏感。
如果您在到期前卖出证券,这些因素将影响您将收到的价格,包括您在任何做市交易中可能收到的证券价格。如果您在到期前卖出您的证券,您可能会收到少于您的证券面值金额或少于如果您持有您的证券到期将会收到的金额。
不能根据标的股票的历史波动来预测其未来价格。标的股票在证券存续期内的实际价格可能与标的股票的历史收盘价或本定价补充文件其他部分所示的假设实例关系很小或根本没有关系。
市场挂钩证券—具有内存特性和或有下行空间的或有券可自动赎回
与英伟达公司普通股挂钩的主要风险证券将于2026年10月26日到期
我们不会为了你的利益而持有正股的股份。
管辖贵公司证券的契约不包含对我们的能力或我们的任何关联公司出售、质押或以其他方式转让我们或他们获得的一股或多股基础股票的能力的任何限制。我们和我们的关联公司都不会为了您的利益而质押或以其他方式持有标的股票的股份,以使您能够在任何情况下以您的证券换取股份。因此,在我们破产、资不抵债或清算的情况下,我们拥有的基础股票的任何股份将受到我们债权人的一般债权的约束,并且不会专门为您的利益而提供。
你没有股东权利或权利收取标的股票。
投资你的证券不会使你成为标的股票的持有者。您或您的证券的任何其他持有人或所有者都不会拥有与基础股票有关的任何权利,包括任何投票权、任何收取股息或其他分配的权利、任何对基础股票提出索赔的权利或基础股票任何股份的持有人的任何其他权利。您的证券将以现金支付,任何息票支付也将以现金支付,您将无权接收任何相关股票的交割。
与税务相关的风险
保险公司和员工福利计划的某些考虑。
受经修订的1974年《雇员退休收入保障法》(我们称之为“ERISA”)或经修订的1986年《国内税收法》(包括IRA或Keogh计划(或适用类似禁令的政府计划)的禁止交易规则约束的养老金计划或其他雇员福利计划的任何保险公司或受托人,并且正在考虑以保险公司的资产或此类计划的资产购买所提供的证券,鉴于上述任何类别的购买者或持有人通过购买和持有所提供的证券被视为作出的陈述,应就购买或持有所提供的证券是否可能成为ERISA、《国内税收法》或任何实质上类似的禁令下的“禁止交易”咨询其律师。这将在下文“雇员退休收入保障法”下进行更详细的讨论。
投资你的证券的税务后果是不确定的。
投资于您的证券的税务后果是不确定的,无论是关于您的证券的任何收入纳入的时间和性质。
美国国税局于2007年12月7日宣布,它正在考虑发布关于贵国证券等工具的税务处理的指导意见,任何此类指导意见都可能对贵国证券的价值和税务处理产生不利影响。除其他事项外,美国国税局可能会决定要求持有人在当前基础上计提普通收入,并在到期付款时确认普通收入,并可能对非美国投资者征收预扣税。此外,2007年,国会提出立法,如果颁布,将要求在法案颁布后获得贵国证券等票据的持有人在此类票据的期限内累积利息收入,即使在此类票据的期限内可能没有利息支付。无法预测未来是否会颁布类似或相同的法案,或任何此类法案是否会影响您的证券的税务处理。我们在下文“补充讨论美国联邦所得税考虑因素——美国持有者——可能的法律变化”下更详细地描述了这些发展。关于这件事,你应该咨询你的税务顾问。除法律另有规定外,我们打算继续按照下文“补充讨论美国联邦所得税考虑因素”中所述的处理方式为美国联邦所得税目的处理证券,除非并直到国会、财政部或美国国税局确定某些其他处理方式更为合适。还请咨询您的税务顾问,有关美国联邦所得税以及在您的特定情况下拥有您的证券对您的任何其他适用的税务后果。
Foreign Account Tax Compliance Act(FATCA)预扣税可能适用于对您的证券的付款,包括由于您持有证券的银行或经纪人未能向税务机关提供信息。
请参阅随附的招股说明书中“美国税收——债务证券的税收——外国账户税收合规法案(FATCA)预扣税”下的讨论,了解FATCA对贵公司证券支付的适用性的描述。
市场挂钩证券—具有内存特性和或有下行空间的或有券可自动赎回
与英伟达公司普通股挂钩的主要风险证券将于2026年10月26日到期
如果证券被自动调用:
如果证券在规定的到期日之前被自动赎回,您将在赎回结算日收到您的证券面值加上最终或有息票付款和任何以前未支付的或有息票付款。如果证券被自动赎回,您的证券总回报将等于在赎回结算日之前收到的任何或有息票付款和在赎回结算日收到的或有息票付款。
如果证券没有被自动赎回:
如果证券未在规定的到期日之前自动赎回,下表说明,对于一系列假设的业绩因素,每份证券在规定的到期日应付的假设到期付款金额(不包括最终的或有息票支付和任何先前未支付的或有息票支付,如果到期)。绩效因子是以起始价格的百分比表示的期末价格(即期末价格除以起始价格)。
|
|
|
假设业绩因素 |
每只证券假设到期支付金额 |
175.00% |
$1,000.00 |
160.00% |
$1,000.00 |
150.00% |
$1,000.00 |
140.00% |
$1,000.00 |
130.00% |
$1,000.00 |
120.00% |
$1,000.00 |
110.00% |
$1,000.00 |
100.00% |
$1,000.00 |
90.00% |
$1,000.00 |
85.00% |
$1,000.00 |
80.00% |
$1,000.00 |
79.99% |
$799.90 |
60.00% |
$600.00 |
50.00% |
$500.00 |
40.00% |
$400.00 |
30.00% |
$300.00 |
25.00% |
$250.00 |
0.00% |
$0.00 |
上述数字并未考虑在证券期限内收到的或有息票付款(如有)。如上所述,在任何情况下,您都不会仅根据到期时收到的到期付款金额获得正收益率;任何正收益将仅基于在证券期限内收到的或有息票付款(如果有的话)。
以上数字仅供说明之用,为便于分析,可能已四舍五入。如果证券没有在规定的到期日之前被自动赎回,您在规定的到期日收到的实际金额将取决于实际的起始价格和结束价格。
市场挂钩证券—具有内存特性和或有下行空间的或有券可自动赎回
与英伟达公司普通股挂钩的主要风险证券将于2026年10月26日到期
下文列举的例子说明了如何确定是否将支付或有息票付款(以及是否将支付任何先前未支付的或有息票付款)以及是否将在规定的到期日之前的或有息票支付日(如适用)自动赎回证券。下面的例子假定相关的计算日也是一个赎回日。在2026年1月计算日之前,这些证券将不会被自动赎回。以下示例反映了60.375美元的或有息票(相当于每年24.15%的或有息票率),并假设示例中所示标的股票的假设起始价格、息票门槛价格和股票收盘价。用于这些假设示例目的的术语并不代表任何实际的起始价格或息票门槛价格。选择标的股票的假设起始价格100.00美元仅用于说明目的,并不代表实际起始价格。实际起始价和票息门槛价格在上述“证券条款”项下列出。有关标的股票实际收盘价的历史数据,请参见此处提供的历史信息。这些示例仅用于说明目的,为便于分析,示例中使用的值可能已四舍五入。
例1 –假设计算日# 1。标的股票在假设计算日# 1的股票收盘价大于或等于票息阈值价格且小于起始价格。因此,投资者在适用的或有息票支付日收到或有息票支付,证券不会被自动赎回。
|
|
|
英伟达公司普通股 |
假设起步价: |
$100.00 |
相关计算日假设股票收盘价: |
$90.00 |
假设票息门槛价: |
$80.00 |
由于基础股票在假设计算日# 1的假设股票收盘价大于或等于票息阈值价格,但低于起始价,您将在适用的或有票息支付日收到每份证券60.375美元的或有票息支付,证券将不会被自动赎回。
例2 –假设计算日# 2。假设计算日# 2正股股票收盘价小于票息阈值价格。因此,投资者不会在适用的或有息票支付日收到或有息票支付,证券也不会被自动赎回。
|
|
|
英伟达公司普通股 |
假设起步价: |
$100.00 |
相关计算日假设股票收盘价: |
$65.00 |
假设票息门槛价: |
$80.00 |
由于基础股票在假设计算日# 2的假设股票收盘价低于票息阈值价格,您将不会在适用的或有票息支付日收到或有票息支付,证券将不会被自动赎回。
例3 –假设计算日# 3。假设计算日# 3日标的股票的股票收盘价大于或等于起始价。因此,证券将在适用的或有息票支付日自动赎回面值加上最终的或有息票支付(加上之前未支付的或有息票支付)。
|
|
|
英伟达公司普通股 |
假设起步价: |
$100.00 |
相关计算日假设股票收盘价: |
$130.00 |
假设票息门槛价: |
$80.00 |
由于假设计算日# 3日标的股票的假设股票收盘价大于或等于起始价,证券将被自动赎回,您将收到面值加上最后一笔或有息票付款和之前未支付的或有息票付款。由于没有收到与假设计算日# 2相关的或有息票付款,您还将在适用的或有息票支付日(也称为通知结算日)收到之前未支付的或有息票付款。在看涨结算日,您将收到1,120.75美元的每份证券。
在通知结算日期之后,您将不会收到任何进一步的付款。
市场挂钩证券—具有内存特性和或有下行空间的或有券可自动赎回
与英伟达公司普通股挂钩的主要风险证券将于2026年10月26日到期
下文列出了计算在规定的到期日应付的到期付款金额的示例,假设证券在规定的到期日之前没有被自动赎回,并假设示例中显示的假设起始价、票息阈值价格、下行阈值价格和期末价格。用于这些假设示例目的的术语并不代表任何实际的起始价格、票息门槛价格或下行门槛价格。选择100.00美元的假设起始价格仅用于说明目的,并不代表实际起始价格。实际起始价、票息门槛价和下行门槛价列于上文“证券条款”项下。有关标的股票实际收盘价的历史数据,请参见此处提供的历史信息。这些示例仅用于说明目的,为便于分析,示例中使用的值可能已四舍五入。
例1。期末价格大于起始价,到期支付金额等于到期时您的证券面值并收到最终或有息票付款(加上之前未支付的任何或有息票付款):
|
|
|
英伟达公司普通股 |
假设起步价: |
$100.00 |
假设期末价格: |
$125.00 |
假设票息门槛价: |
$80.00 |
假设下行阈值价格: |
$80.00 |
由于假设的期末价格大于假设的下行阈值价格,到期支付金额将等于票面金额。虽然该场景下假设的期末价格明显大于假设的起始价,但到期支付金额不会超过票面金额。
除了在证券期限内收到的任何或有息票付款外,在规定的到期日,您将收到每份证券1,000美元。此外,由于假设的期末价格大于票息阈值价格,您将在规定的到期日收到最终的或有票息付款(加上任何以前未支付的或有票息付款)。
例2。期末价格低于起始价但大于下跌门槛价和票息门槛价,到期支付金额等于到期时您的证券面值并收到最终或有息票付款(加上任何先前未支付的或有息票付款):
|
|
|
英伟达公司普通股 |
假设起步价: |
$100.00 |
假设期末价格: |
$90.00 |
假设票息门槛价: |
$80.00 |
假设下行阈值价格: |
$80.00 |
由于假设的期末价格小于假设的起始价格,但大于下跌阈值价格,您将在到期时收到您的证券面值。
除了在证券期限内收到的任何或有息票付款外,在规定的到期日,您将收到每份证券1,000美元。此外,由于假设的期末价格大于票息阈值价格,您将在规定的到期日收到最终的或有票息付款(加上任何以前未支付的或有票息付款)。
市场挂钩证券—具有内存特性和或有下行空间的或有券可自动赎回
与英伟达公司普通股挂钩的主要风险证券将于2026年10月26日到期
例3。期末价格低于下行阈值价格,到期支付金额低于到期时您的证券面值且您未收到最终或有息票付款或任何先前未支付的或有息票付款:
|
|
|
英伟达公司普通股 |
假设起步价: |
$100.00 |
假设期末价格: |
$45.00 |
假设票息门槛价: |
$80.00 |
假设下行阈值价格: |
$80.00 |
由于假设的期末价格低于下行阈值价格,您将损失证券面值的一部分,并获得相当于每份证券450.00美元的到期付款金额,计算如下:
= 1000美元×绩效系数
= $1,000 × 45.00%
= $450.00
除了在证券期限内收到的任何或有息票付款外,在规定的到期日,您将收到每份证券450.00美元。由于假设的期末价格低于票息阈值价格,您将不会在规定的到期日收到最终的或有票息付款或任何先前未支付的或有票息付款。
这些例子说明,你不会参与任何正股的升值,但如果期末价格小于下跌阈值价格,就会充分暴露正股的下跌。
如果起始价格、票息阈值价格、下行阈值价格和期末价格与上述假定的值不同,则上述结果将有所不同。
市场挂钩证券—具有内存特性和或有下行空间的或有券可自动赎回
与英伟达公司普通股挂钩的主要风险证券将于2026年10月26日到期
可获取标的股票发行人信息的
标的股票是根据1934年《证券交易法》注册的。根据《交易法》注册证券的公司必须定期提交美国证券交易委员会(“SEC”)规定的财务和其他信息。基础股票发行人以电子方式向SEC提交的信息可以通过SEC维护的网站进行审查。SEC网站的地址是sec.gov。
有关标的股票发行人的信息也可能从其他来源获得,例如新闻稿、报纸文章和其他可公开获得的文件。
我们不对上述任何材料的准确性或完整性作出任何陈述或保证,包括基础股票发行人向SEC提交的任何文件。
我们从标的股票发行人公开备案中获得了标的股票发行人信息
本定价补充仅涉及贵司证券,不涉及标的股票或标的股票发行人的其他证券。本定价补充文件中有关标的股票发行人的所有信息,我们均是从上一小节所指的公开信息中得出的。我们没有参与任何这些文件的准备工作,也没有就贵方证券的发行对标的股票发行人进行任何“尽职调查”调查或询问。此外,我们不知道在本定价补充文件日期之前发生的所有事件--包括会影响上述公开文件的准确性或完整性以及标的股票的股票交易价格的事件-是否已公开披露。任何这类事件的后续披露或有关基础股票发行人的重大未来事件的披露或未披露可能会影响您在到期时将获得的价值,从而影响您的证券的市场价值。
我们或我们的任何关联公司均未就标的股票的表现向您作出任何陈述。
我们或我们的任何关联机构目前或不时可能与标的股票发行人开展业务,包括向标的股票发行人提供贷款或股权投资或向标的股票发行人提供咨询服务,包括并购咨询服务。在该业务过程中,我们或我们的任何关联机构可能会获取有关标的股票发行人的非公开信息,此外,我们的一个或多个关联机构可能会发布有关标的股票发行人的研究报告。作为证券的投资者,您应该对基础股票发行人进行您认为适当的独立调查,以就投资证券作出知情决定。
市场挂钩证券—具有内存特性和或有下行空间的或有券可自动赎回
与英伟达公司普通股挂钩的主要风险证券将于2026年10月26日到期
根据公开信息,NVIDIA Corporation是一家全栈计算基础设施公司,提供数据中心规模的产品。基础股票发行人根据《交易法》向SEC提交的信息可通过参考其SEC文件编号000-23985进行定位。
历史信息
标的股票的收盘价在过去有过波动,未来可能会出现大幅波动。特别是,正股最近经历了极端和不寻常的波动。标的股票收盘价在以下所示期间的任何历史上涨或下跌趋势,均不表示标的股票在您的证券存续期内的任何时间或多或少有上涨或下跌的可能性。
您不应将标的股票的历史价格作为标的股票未来表现的指示,包括因为上述最近的波动。我们无法就标的股票的未来表现将导致您在规定的到期日收到任何或有息票付款或收到您的证券的未偿面值向您提供任何保证。
我们或我们的任何关联公司均未就标的股票的表现向您作出任何陈述。在投资发售的证券前,您应查阅公开资料以确定在本定价补充文件日期至您购买发售证券日期之间的标的股票价格,并且鉴于上述近期波动,您应特别关注标的股票的近期价格。标的股票在发售证券存续期内的实际表现,以及到期支付金额,可能与以下所示的历史收盘价关系不大。
下图显示了标的股票在2020年1月1日至2025年10月21日期间的每日历史收盘价,如适用,则根据公司事件进行了调整。因此,下图没有反映始于2008年的全球金融危机,这场危机对大多数股本证券的价格产生了实质性的负面影响。我们从彭博金融服务公司获得了下图中的收盘价,未经独立验证。下图中英伟达公司的每日历史收盘价针对2021年7月20日开市前生效的4比1拆股和2024年6月10日开市前生效的10比1拆股进行了调整。
英伟达公司历史业绩

市场挂钩证券—具有内存特性和或有下行空间的或有券可自动赎回
与英伟达公司普通股挂钩的主要风险证券将于2026年10月26日到期
以下部分补充并在与之不一致的范围内取代随附招股说明书中关于美国联邦所得税的讨论。
以下部分是GS Finance Corp.和高盛集团的法律顾问Sidley Austin LLP的意见。此外,Sidley Austin LLP认为,如下文所讨论的,根据证券条款将需要为美国联邦所得税目的对证券进行定性是对现行法律的合理解释。
如果您是受特殊规则约束的持有人类别的成员,则本节不适用于您,例如:
●
选择对您的证券持仓采用盯市方法核算的证券交易者;
●
因使用财务报表而被适用特殊税务会计规则的权责发生制纳税人;
●
拥有作为套期保值的证券或者对利率风险进行套期保值的人;
●
为税务目的而拥有作为跨式或转换交易一部分的证券的人;或
●
美国持有者(定义见下文),其用于征税目的的功能货币不是美元。
虽然本节以经修订的1986年美国《国内税收法》为基础,但其立法历史、《国内税收法》下现有和拟议的法规、已公布的裁决和法院判决,均与目前有效的一样,没有任何法定、司法或行政当局直接涉及如何对待您的证券以用于美国联邦所得税目的,因此,您投资于您的证券的美国联邦所得税后果是不确定的。此外,这些法律可能会发生变化,可能具有追溯力。
|
您应该咨询您的税务顾问有关美国联邦所得税和您的证券投资的任何其他适用的税务后果,包括州、地方或其他税法的适用以及联邦或其他税法变化的可能影响。 |
美国持有者
只有当您是持有您的证券作为资本资产用于税务目的的美国持有人时,本节才适用于您。如果您是您的每份证券的实益拥有人,并且您是:
●
无论其来源如何,其收入均需缴纳美国联邦所得税的遗产;或
●
如果美国法院可以对信托的管理行使主要监督,并且一名或多名美国人被授权控制信托的所有重大决定,则为信托。
税务处理。通过购买证券,您同意——在没有法律变更、行政裁定或相反的司法裁决的情况下——将您的证券用于所有税务目的定性为与基础股票有关的有收入的预付衍生品合同。除下文另有说明外,本文的讨论假定证券将被如此对待。
您收到的息票付款应包含在您收到付款时或付款累积时的普通收入中,根据您的美国联邦所得税目的的常规会计方法。
市场挂钩证券—具有内存特性和或有下行空间的或有券可自动赎回
与英伟达公司普通股挂钩的主要风险证券将于2026年10月26日到期
在您的证券出售、交换、赎回或到期时,您应确认资本收益或损失,该资本收益或损失等于您在该时间收到的现金金额(不包括应计和未支付的息票付款的任何金额,将按上述方式征税)与您在您的证券中的计税基础之间的差额(如有)。您在证券中的计税基础通常将等于您为证券支付的金额。如果持有证券超过一年,其收益或损失一般为长期资本收益或损失。如果你持有你的证券一年或更短,收益或损失一般是短期的资本收益或损失。短期资本收益一般按适用于普通收入的边际税率征税。
我们不会试图确定基础股票发行人是否会被视为《国内税收法》第1297条含义内的“被动外国投资公司”(“PFIC”)。如果基础股票发行人被如此对待,某些不利的美国联邦所得税后果可能适用于美国持有人。如果基础股票发行人是或成为PFIC,您应该参考向SEC提交的有关基础股票发行人的信息,并就可能对您造成的任何后果咨询您的税务顾问。
没有任何法定、司法或行政当局直接讨论应如何对待您的证券以用于美国联邦所得税目的。因此,您投资于证券的美国联邦所得税后果是不确定的,并且有可能进行替代定性。因此,我们敦促您咨询您的税务顾问,以确定在您的特定情况下投资于您的证券的税务后果,包括州、地方或其他税法的适用以及联邦或其他税法变化的可能影响。
替代疗法。没有司法或行政当局讨论应如何对待您的证券以用于美国联邦所得税目的。因此,美国国税局可能会断言,除上述待遇之外的待遇更为合适。例如,美国国税局可以将您的证券视为单一债务工具,但须遵守有关或有付款债务工具的特殊规则。根据这些规则,您需要在每个应计期内考虑的利息金额将通过构建证券的预计付款时间表并应用类似于在具有该预计付款时间表的假设非或有债务工具上应计原始发行折扣的规则来确定。这种方法的应用是,首先确定可比收益率——即我们将发行条款和条件类似于您的证券的非或有固定利率债务工具的收益率——然后确定截至发行日将产生可比收益率的付款时间表。这些规则可能具有要求您在收到可归属于该收入的现金之前将有关您的证券的利息包括在收入中的效果。
如果适用有关或有偿付债务工具的规则,您在出售、交换、赎回或证券到期时确认的任何收益将被视为普通利息收入。您当时确认的任何损失将被视为普通损失,以您在当前或以前的纳税年度就您的证券计入为收入的利息为限,此后则被视为资本损失。
如果适用关于或有偿付债务工具的规则,则特别规则将适用于以非为税收目的确定的调整后发行价格购买证券的人。
美国国税局可能会断言,您的证券一般应按上述描述进行定性,但(1)您在出售、交换、赎回或证券到期时确认的收益应被视为普通收入或(2)您不应在收到息票时将息票支付计入收入,而是您应减少您在证券中的基础,减少您收到的息票支付的金额。美国国税局也有可能试图以一种方式对你的证券进行定性,从而给你带来与上述不同的税务后果。
美国国税局也有可能寻求将你的证券定性为名义本金合同。也有可能,就美国联邦所得税而言,息票支付不会被视为普通收入或利息,而是以某种其他方式处理。
您应该咨询您的税务顾问,以了解您的证券可能用于美国联邦所得税目的的替代特征。
法律可能发生的变化
2007年12月7日,美国国税局发布通知称,美国国税局和财政部正在积极考虑发布关于所提供证券等工具的适当美国联邦所得税处理的指导意见,包括是否应要求持有人在当前基础上计提普通收入,以及收益或损失应是普通收入还是资本收入。目前还无法确定他们最终将发布何种指导,如果有的话。然而,有可能在这种指导下,证券持有人最终将被要求当前累积收入,这可以追溯适用。美国国税局和财政部也在考虑其他相关问题,包括此类票据的外国持有者是否应就任何视为应计收入缴纳预扣税,以及《国内税收法》第1260条的特殊“建设性所有权规则”是否可能适用于此类票据。除了
市场挂钩证券—具有内存特性和或有下行空间的或有券可自动赎回
与英伟达公司普通股挂钩的主要风险证券将于2026年10月26日到期
在法律另有规定的范围内,我们打算继续按照上述“税务处理”下所述的处理方式为美国联邦所得税目的处理证券,除非并直到国会、财政部或美国国税局确定某些其他处理方式更为合适。
此外,2007年,国会提出立法,如果颁布,将要求在法案颁布后获得贵国证券等票据的持有人在此类票据的期限内累积利息收入,即使在此类票据的期限内可能没有利息支付。无法预测未来是否会颁布类似或相同的法案,或任何此类法案是否会影响您的证券的税务处理。
无法预测任何此类立法或行政或监管指导可能提供什么,以及任何立法或指导的生效日期是否会影响在此类立法或指导发布之日之前发布的证券。我们促请您就任何立法或行政行为可能对您的证券的税务处理产生不利影响的可能性咨询您的税务顾问。
备份扣缴和信息报告
就贵公司的证券付款而言,贵公司将受制于随附的招股说明书中“美国税收—债务证券的税收—备用预扣税和信息报告—美国持有人”项下所讨论的普遍适用的信息报告和备用预扣税要求,尽管我们不打算将证券视为税收目的的债务,我们打算对贵方证券的此类付款进行备用预扣税,除非贵方遵守随附招股说明书中“美国税收——债务证券的税收——美国持有人”中规定的避免债务工具备用预扣税(在这种情况下,贵方将不受此类备用预扣税的约束)的必要要求。请参阅随附的招股说明书中“美国税收——债务证券的税收——备用预扣税和信息报告——美国持有人”下的讨论,了解备用预扣税和信息报告规则对您的证券支付的适用性的描述。
非美国持有者
只有当你是非美国持有者时,这一部分才适用于你。如果您是证券的受益所有人,并且出于美国联邦所得税目的,您是非美国持有人:
●
一种遗产或信托,在任何一种情况下,均无需根据证券的收入或收益按净收入基础缴纳美国联邦所得税。
由于证券的息票支付的美国联邦所得税处理(包括预扣税的适用性)不确定,在没有进一步指导的情况下,我们打算按照30%的税率或根据“其他收入”或类似条款适用的所得税条约规定的较低税率对向您支付的息票付款进行预扣税。我们不会支付任何额外的金额。要申请降低的预扣税条约税率,您通常必须提供有效的美国国税局W-8BEN表格、美国国税局W-8BEN-E表格或可接受的替代表格,在该表格上您可以证明您作为非美国持有者的身份以及您享受较低条约税率的权利,但会受到伪证罪的处罚。只有当这种降低的条约税率适用于任何可能的付款定性(包括,例如,如果息票付款被定性为合同费用)时,才会以降低的条约预扣税率向贵方付款。在以下情况下,向您支付的息票付款也可能不适用预扣税:(i)息票付款与您在美国的贸易或业务行为“有效关联”,并包含在您的美国联邦所得税毛收入中,(ii)如果适用的税收条约要求,息票付款可归属于您在美国维持的常设机构,以及(iii)您遵守必要的认证要求(通常是通过提供美国国税局W-8ECI表格)。如果您有资格获得降低的美国预扣税税率,您可以通过及时向美国国税局提出退款申请,获得超过该税率的任何预扣金额的退款。
包含在您的美国总收入中的“有效连接”付款通常按适用于美国公民、外籍居民和国内公司的税率征税;如果您是非美国公司持有者,“有效连接”付款在某些情况下可能需要缴纳额外的“分支机构利得税”。
就贵公司的证券付款而言,贵公司将受制于随附的招股说明书中“美国税收—债务证券的税收—备用预扣税和信息报告—非美国持有人”项下所讨论的普遍适用的信息报告和备用预扣税要求,尽管我们不打算将证券视为税收目的的债务,我们打算对贵方证券的此类付款进行备用预扣税,除非贵方遵守所附招股说明书中“美国税收——债务证券的税收——非美国持有人”中规定的避免债务工具备用预扣税(在这种情况下,贵方将不受此类备用预扣税的约束)的必要要求。
市场挂钩证券—具有内存特性和或有下行空间的或有券可自动赎回
与英伟达公司普通股挂钩的主要风险证券将于2026年10月26日到期
如上文所述,为美国联邦所得税目的对证券进行替代定性是可能的。如果对证券的另一种定性,由于法律的变更或澄清、法规或其他原因,导致与证券有关的付款需要缴纳预扣税,我们将按适用的法定税率预扣税款,并且我们或适用的预扣税代理人将不会支付任何额外金额。证券的潜在非美国持有者应在这方面咨询其税务顾问。
此外,2007年12月7日,美国国税局发布了第2008-2号通知,征求公众对各种问题的意见,包括贵国证券到期或赎回时等工具是否应被扣缴。因此,未来可能会发布规则,可能具有追溯效力,这将导致对您的证券的付款被扣留,即使您遵守了关于您的外国身份的认证要求。
我们不会试图确定基础股票发行人是否会被视为“美国不动产控股公司”(“USRPHC”),这在《国内税收法》第897条的含义内。如果基础股票发行人被如此对待,某些不利的美国联邦所得税后果可能适用于非美国持有者。如果基础股票发行人是或成为USRPHC,您应该参考向SEC提交的有关基础股票发行人的信息,并就可能对您造成的任何后果咨询您的税务顾问。
此外,财政部还发布了规定,根据这些规定,某些被视为可归属于美国来源股息的金融工具(“871(m)金融工具”)已支付或视为已支付的金额可视具体情况全部或部分视为“股息等值”支付,须按30%的税率(或适用条约下的较低税率)征税,在任何息票支付以及您在出售、交换、赎回或证券到期时收到的任何金额的情况下,可通过代扣代缴方式收取。如果这些规定适用于证券,如果在证券期限内就标的股票支付任何美国来源的股息,我们可能需要预扣此类税款。我们还可以要求您在任何息票支付或证券到期之前进行认证(例如,适用的美国国税局W-8表格),以避免或尽量减少预扣义务,如果未收到或不满意此类认证,我们可以相应地扣留(取决于您可能有权要求美国国税局退款)。如果需要预扣,我们将不需要就如此预扣的金额支付任何额外金额。这些条例一般适用于2027年1月1日或之后发行(或经重大修改并被视为已相互关联订立的金融工具组合)的871(m)金融工具(或被视为已相互关联订立的金融工具组合),但也适用于某些Delta(定义见适用的财政部条例)为1且在2017年1月1日或之后发行(或经重大修改并被视为已相互关联订立的金融工具组合)的871(m)金融工具(或被视为已相互关联订立的金融工具组合)。此外,这些规定将不适用于引用“合格指数”(如规定中所定义)的金融工具。我们已确定,截至贵司证券发行日,贵司证券将不按本规则进行代扣代缴。然而,在某些有限的情况下,您应该意识到,根据这些规则,即使在不需要预扣税的情况下,非美国持有人也可能对被视为相互关联订立的交易组合承担纳税义务。您应该就这些规定、随后的官方指导以及为美国联邦所得税目的而对您的证券进行的任何其他可能的替代特征咨询您的税务顾问。
根据现行法律,虽然这一事项并不完全清楚,但个人非美国持有者,以及其财产可能包含在这些个人的美国联邦遗产税目的的总遗产中的实体(例如,由此类个人出资并为其保留了某些利益或权力的信托),应注意,在没有适用的条约利益的情况下,证券很可能被视为美国原址财产,需缴纳美国联邦遗产税。这些个人和实体应该就投资证券的美国联邦遗产税后果咨询他们自己的税务顾问。
外国账户税收合规法案(FATCA)预扣
根据财政部规定,外国账户税收合规法案(FATCA)预扣税(如随附招股说明书中“美国税收—债务证券税收—外国账户税收合规法案(FATCA)预扣税”中所述)一般将适用于2014年7月1日或之后发行的债务;因此,证券一般将受FATCA预扣税规则的约束。
市场挂钩证券—具有内存特性和或有下行空间的或有券可自动赎回
与英伟达公司普通股挂钩的主要风险证券将于2026年10月26日到期
见随附产品补充第S-41页的“补充分配计划”和随附招股说明书第127页的“分配计划-利益冲突”;GS Finance Corp.估计,不包括承销折扣和佣金在内,其在总发行费用中的份额约为10,000美元。
GS Finance Corp.将出售给GS & Co.,GS & Co.将从GS Finance Corp.购买本定价补充文件封面规定的发售证券的总面值。GS & Co.建议初步按本定价补充文件封面所载的原始发行价格向公众发售该证券。富国银行 Securities,LLC(“WFS”)是代理分销该证券的机构。WFS将获得所售证券总面值的1.325%的承销折扣(每1000美元面值证券13.25美元)。代理人可以按证券的原始发行价格减去证券总面值的1.00%(每1,000美元证券面值10.00美元)的让步后,将证券转售给富国银行顾问公司(“WFA”)。除了WFA获得的出售特许权外,WFS建议,WFA还将从承销折扣中获得WFA出售的每1,000美元面值证券(每1,000美元面值证券0.75美元)的0.075%的分销费用。此外,就本次发行中出售的某些证券而言,GS & Co.可向选定的证券交易商支付最高不超过所售证券总面值0.05%的费用(每1,000美元证券面值最高不超过0.50美元),作为与向其他证券交易商分销证券有关的营销和其他服务的对价。请注意,本定价补充文件封面所载有关原发行日期和原发行价格的信息仅与首次分配有关。
GS & Co.是GS Finance Corp.和高盛,Inc.的关联公司,因此,在本次证券发行中将存在金融业监管局(FINRA)第5121条规则所指的“利益冲突”。因此,本次证券发行将按照FINRA规则5121的规定进行。未经账户持有人事先具体书面批准,GS & Co.将不得向其行使酌情权的账户出售本次发行中的证券。我们被告知,GS & Co.还将向iCapital Markets LLC支付费用,这是一家经纪交易商,GS Finance Corp.的关联公司在其中持有间接少数股权,就其提供的与此次发行相关的服务。
我们将于本定价补充文件封面所载的原始发行日期在纽约州纽约州交付票据。根据1934年《证券交易法》第15c6-1条,二级市场的交易一般要求在一个工作日内结算,除非任何此类交易的当事人另有明确约定。因此,希望在交付前一个工作日之前的任何日期交易票据的购买者将被要求指定替代结算安排,以防止结算失败。
有关对冲活动的信息,请参见随附产品补充文件第S-10页的“风险因素— 高盛 Sachs或我们的分销商的对冲活动可能会对证券的投资者产生负面影响,并导致我们以及我们的客户和交易对手的利益与证券投资者的利益背道而驰。”
GS & Co.和WFS告知我们,他们打算在证券上做市。然而,GS & Co.、WFS或它们各自的任何做市关联公司都没有义务这样做,它们中的任何一个都可以随时停止这样做,恕不另行通知。不能对该证券的流动性或交易市场作出保证。
市场挂钩证券—具有内存特性和或有下行空间的或有券可自动赎回
与英伟达公司普通股挂钩的主要风险证券将于2026年10月26日到期
Sidley Austin LLP作为GS Finance Corp.和高盛集团的法律顾问认为,当本定价补充文件提供的证券已由GS Finance Corp.执行和发行时,该等证券已由受托人根据契约进行认证,且该等证券已按此处设想的付款交付,(a)该等证券将是GS Finance Corp.的有效且具有约束力的义务,可根据其条款强制执行,但须遵守适用的破产、无力偿债和一般影响债权人权利的类似法律,合理性概念和普遍适用的衡平法原则(包括但不限于诚实信用、公平交易和不存在恶意的概念),前提是该律师不就欺诈性转让、欺诈性转让或适用法律的类似规定对上述结论的影响发表意见,并且(b)与此类证券有关的担保将是高盛集团的有效且具有约束力的义务,可根据其条款强制执行,但须遵守适用的破产、无力偿债和影响债权人权利的类似法律,合理性概念和普遍适用的公平原则(包括但不限于善意、公平交易和缺乏恶意的概念),前提是此类律师不就欺诈性转让、欺诈性转让或适用法律的类似规定对上述结论的影响发表意见。本意见自本协议发布之日起生效,仅限于纽约州法律和特拉华州一般公司法,自本协议发布之日起生效。此外,本意见受制于有关受托人授权、执行和交付契约以及签名真实性和某些事实事项的惯常假设,所有这些都在该律师日期为2025年1月27日的信函中所述,该信函已作为GS Finance Corp.和高盛公司于2025年1月27日向美国证券交易委员会提交的S-3表格登记声明的附件 5.6提交。