这份定价补充文件不完整,可能会发生变化,涉及1933年《证券法》下的有效注册声明。本定价补充文件及随附的产品补充文件、招股说明书补充文件和招股说明书不是在不允许此类要约的任何国家或司法管辖区出售这些票据的要约。
|
•
|
与纳斯达克100指数表现最差挂钩的或有收益发行人可赎回收益率票据®科技板块指数,罗素2000®Index and the VanEck®半导体ETF,将于2029年11月28日到期(“票据”),预计将于2024年11月22日定价,预计将于2024年11月27日发行。
|
|
•
|
如果未在到期前赎回,期限约为5年。
|
|
•
|
票据的支付将取决于纳斯达克100指数的个别表现®科技板块指数,罗素2000®Index and the VanEck®半导体ETF(各自为“标的”)。
|
|
•
|
或有票面年利率14.00%(每月1.1667%)按月支付若观察值为每个假设票据未被赎回,则适用观察日的标的大于或等于其起始值的75.00%。
|
|
•
|
自2025年5月28日起,我们可选择按月赎回,金额等于本金额加上相关或有息票付款(如另有支付)。
|
|
•
|
假设票据未在到期前赎回,如果任何标的较其起始价值下跌超过40%,到期时您的投资将受到表现最差标的价值下跌的1:1下行敞口,最高100%的本金面临风险;否则,到期时,您将收到本金金额。到期时,如果观察值为每个最终观察日标的大于等于其起始值的75.00%。
|
|
•
|
票据的所有付款均须承担BoFA Finance LLC(“BoFA Finance”或“发行人”)作为票据发行人及美国银行股份有限公司(“BAC”或“担保人”)作为票据担保人的信用风险。
|
|
•
|
票据将不会在任何证券交易所上市。
|
|
•
|
CUSIP编号09711FQ91。
|
|
|
公开发行价格(1)
|
承销折扣(1)(2)(3)
|
收益,未计费用,给美国银行财务(2)
|
|
每注
|
$1,000.00
|
$2.50
|
$997.50
|
|
合计
|
|
|
|
|
(1)
|
某些交易商购买票据以出售予某些收费顾问帐户,可放弃部分或全部出售优惠、费用或佣金。投资者在这些收费咨询账户中购买票据的公开发行价格可能低至每1000.00美元票据本金997.50美元。
|
|
(2)
|
每1000.00美元本金票据的承销折扣可能高达2.50美元,导致扣除费用前给美国银行财务公司的收益低至每1000.00美元本金票据997.50美元。
|
|
(3)
|
除上述承销折扣外,如果有任何折扣,BoFA Finance的关联公司将支付与向其他注册经纪交易商分销票据有关的每1,000.00美元票据本金最高2.50美元的介绍费。
|
|
未向FDIC投保
|
不是银行担保
|
可能会失去价值
|
|
|
销售代理
|
|
|
|
|
|
发行人:
|
美国银行金融
|
|
保证人:
|
BAC
|
|
面额:
|
这些票据将以1000.00美元的最低面额和超过1000.00美元的整倍倍数发行。
|
|
任期:
|
大约5年,除非之前叫过。
|
|
标的:
|
纳斯达克100®科技板块指数(彭博代码:“NDXT”),一种价格回报指数,罗素2000®指数(Bloomberg symbol:“RTY”),一个价格回报指数和VanEck®半导体ETF(彭博代码:“SMH”)。
|
|
定价日期*:
|
2024年11月22日
|
|
发行日期*:
|
2024年11月27日
|
|
估值日期*:
|
2029年11月23日,可按随附产品补充文件中“票据说明——票据的某些条款——与观察日期相关的事件”中所述进行延期。
|
|
到期日*:
|
2029年11月28日
|
|
起始值:
|
就NDXT而言,其在定价日的收盘水平。
关于RTY,其在定价日的收盘水平。
SMH方面,其定价日收盘市价。
|
|
观察值:
|
相对于NDXT,其在适用观察日的收盘水平。
相对于RTY,其在适用观察日的收盘水平。
对于SMH而言,其在适用观察日的收盘市价,乘以其价格乘数。
|
|
期末值:
|
对于每个标的,其在估值日的观察值。
|
|
价格乘数:
|
关于SMH,1,如所附产品补充文件PS-28页开始的“票据说明——与ETF有关的反稀释和终止调整”中所述,可能会就与该标的相关的某些事件进行调整。
|
|
票息障碍:
|
就各标的而言,其起始值的75.00%。
|
|
门槛值:
|
就每个标的而言,为其起始值的60.00%。
|
|
或有息票支付:
|
如果,在任何月度观察日,观察值为每个基础大于或等于其票息障碍,我们将在适用的或有支付日(包括到期日)支付每1,000.00美元票据本金11.667美元的或有票息支付(相当于每月1.1667%或每年14.00%的利率)。
|
|
可选提前赎回:
|
在任何每月赎回付款日期,我们有权按提前赎回金额赎回全部(但不少于全部)票据。可选提前赎回后将不再支付任何金额。我们将在适用的催缴付款日期前至少五个工作日但不超过60个日历日向受托人发出通知。
|
|
提前赎回金额:
|
每1000.00美元本金的票据,1000.00美元,加上相应观察日每个标的的观察值大于或等于其票息障碍的适用的或有票息支付。
|
|
赎回金额:
|
如果票据未在到期前赎回,则每1000.00美元本金票据的赎回金额为:
a)如果表现最差的标的的期末值大于或等于其门槛值:
|
|
或有收入发行人可赎回收益率票据| PS-2
|
|
|
|
|
|
b)如果表现最差的标的的期末值小于其门槛值:
在这种情况下,赎回金额(不包括任何最终或有息票支付)将低于本金额的60.00%,您可能会损失高达100.00%的票据投资。
如果表现最差的标的的期末价值大于或等于其票息障碍,赎回金额还将包括最终的或有票息支付。
|
|
|
观察日期*:
|
如PS-4页开头所述
|
|
或有付款日期*:
|
如PS-4页开头所述
|
|
通知付款日期*:
|
正如PS-6页开头所述。每个通知支付日也是一个或有支付日。
|
|
计算剂:
|
BoFA Securities,Inc.(简称“BoFAS”),是BoFA Finance的关联公司。
|
|
销售代理:
|
美国银行
|
|
CUSIP:
|
09711FQ91
|
|
基础回报:
|
关于每个底层证券,
|
|
表现最差的标的:
|
标的回报率最低的标的。
|
|
违约和加速事件:
|
如果发生违约事件,如与票据相关的高级契约和随附招股说明书第54页题为“BoFA Finance LLC债务证券说明——违约事件和加速权;违反契约”一节中所定义,就票据而言,发生并仍在继续,则在高级契约允许的任何加速时应付给票据持有人的金额将等于上述“赎回金额”标题下所述的金额,计算得好像加速日期是票据的到期日,而估值日期是加速日期前的第三个交易日。我们还将根据被视为估值日期的标的价值确定是否需要支付最终或有息票付款;任何此类最终或有息票付款将由计算代理按比例分配,以反映最终或有付款期的长度。如果票据的支付出现违约,无论是在到期时还是在加速时,票据将不承担违约利率。
|
|
或有收入发行人可赎回收益率票据| PS-3
|
|
|
|
|
|
|
观察日期*
|
或有付款日期
|
|
2024年12月23日
|
2024年12月27日
|
|
2025年1月22日
|
2025年1月27日
|
|
2025年2月24日
|
2025年2月27日
|
|
2025年3月24日
|
2025年3月27日
|
|
2025年4月22日
|
2025年4月25日
|
|
2025年5月22日
|
2025年5月28日
|
|
2025年6月23日
|
2025年6月26日
|
|
2025年7月22日
|
2025年7月25日
|
|
2025年8月22日
|
2025年8月27日
|
|
2025年9月22日
|
2025年9月25日
|
|
2025年10月22日
|
2025年10月27日
|
|
2025年11月24日
|
2025年11月28日
|
|
2025年12月22日
|
2025年12月26日
|
|
2026年1月22日
|
2026年1月27日
|
|
2026年2月23日
|
2026年2月26日
|
|
2026年3月23日
|
2026年3月26日
|
|
2026年4月22日
|
2026年4月27日
|
|
2026年5月22日
|
2026年5月28日
|
|
2026年6月22日
|
2026年6月25日
|
|
2026年7月22日
|
2026年7月27日
|
|
2026年8月24日
|
2026年8月27日
|
|
2026年9月22日
|
2026年9月25日
|
|
2026年10月22日
|
2026年10月27日
|
|
2026年11月23日
|
2026年11月27日
|
|
2026年12月22日
|
2026年12月28日
|
|
2027年1月22日
|
2027年1月27日
|
|
2027年2月22日
|
2027年2月25日
|
|
2027年3月22日
|
2027年3月25日
|
|
2027年4月22日
|
2027年4月27日
|
|
2027年5月24日
|
2027年5月27日
|
|
2027年6月22日
|
2027年6月25日
|
|
2027年7月22日
|
2027年7月27日
|
|
2027年8月23日
|
2027年8月26日
|
|
或有收入发行人可赎回收益率票据| PS-4
|
|
|
|
|
|
|
观察日期*
|
或有付款日期
|
|
2027年9月22日
|
2027年9月27日
|
|
2027年10月22日
|
2027年10月27日
|
|
2027年11月22日
|
2027年11月26日
|
|
2027年12月22日
|
2027年12月28日
|
|
2028年1月24日
|
2028年1月27日
|
|
2028年2月22日
|
2028年2月25日
|
|
2028年3月22日
|
2028年3月27日
|
|
2028年4月24日
|
2028年4月27日
|
|
2028年5月22日
|
2028年5月25日
|
|
2028年6月22日
|
2028年6月27日
|
|
2028年7月24日
|
2028年7月27日
|
|
2028年8月22日
|
2028年8月25日
|
|
2028年9月22日
|
2028年9月27日
|
|
2028年10月23日
|
2028年10月26日
|
|
2028年11月22日
|
2028年11月28日
|
|
2028年12月22日
|
2028年12月28日
|
|
2029年1月22日
|
2029年1月25日
|
|
2029年2月22日
|
2029年2月27日
|
|
2029年3月22日
|
2029年3月27日
|
|
2029年4月23日
|
2029年4月26日
|
|
2029年5月22日
|
2029年5月25日
|
|
2029年6月22日
|
2029年6月27日
|
|
2029年7月23日
|
2029年7月26日
|
|
2029年8月22日
|
2029年8月27日
|
|
2029年9月24日
|
2029年9月27日
|
|
2029年10月22日
|
2029年10月25日
|
|
2029年11月23日(「估值日」)
|
2029年11月28日(“到期日”)
|
|
或有收入发行人可赎回收益率票据| PS-5
|
|
|
|
|
|
|
通知付款日期
|
|
2025年5月28日
|
|
2025年6月26日
|
|
2025年7月25日
|
|
2025年8月27日
|
|
2025年9月25日
|
|
2025年10月27日
|
|
2025年11月28日
|
|
2025年12月26日
|
|
2026年1月27日
|
|
2026年2月26日
|
|
2026年3月26日
|
|
2026年4月27日
|
|
2026年5月28日
|
|
2026年6月25日
|
|
2026年7月27日
|
|
2026年8月27日
|
|
2026年9月25日
|
|
2026年10月27日
|
|
2026年11月27日
|
|
2026年12月28日
|
|
2027年1月27日
|
|
2027年2月25日
|
|
2027年3月25日
|
|
2027年4月27日
|
|
2027年5月27日
|
|
2027年6月25日
|
|
2027年7月27日
|
|
2027年8月26日
|
|
2027年9月27日
|
|
2027年10月27日
|
|
2027年11月26日
|
|
2027年12月28日
|
|
2028年1月27日
|
|
2028年2月25日
|
|
2028年3月27日
|
|
或有收入发行人可赎回收益率票据| PS-6
|
|
|
|
|
|
|
通知付款日期
|
|
2028年4月27日
|
|
2028年5月25日
|
|
2028年6月27日
|
|
2028年7月27日
|
|
2028年8月25日
|
|
2028年9月27日
|
|
2028年10月26日
|
|
2028年11月28日
|
|
2028年12月28日
|
|
2029年1月25日
|
|
2029年2月27日
|
|
2029年3月27日
|
|
2029年4月26日
|
|
2029年5月25日
|
|
2029年6月27日
|
|
2029年7月26日
|
|
2029年8月27日
|
|
2029年9月27日
|
|
2029年10月25日
|
|
或有收入发行人可赎回收益率票据| PS-7
|
|
|
|
|
|


|
或有收入发行人可赎回收益率票据| PS-8
|
|
|
|
|
|
|
或有息票支付次数
|
或有息票支付总额
|
|
0
|
$0.000
|
|
2
|
$23.334
|
|
4
|
$46.668
|
|
6
|
$70.002
|
|
8
|
$93.336
|
|
10
|
$116.670
|
|
12
|
$140.004
|
|
14
|
$163.338
|
|
16
|
$186.672
|
|
18
|
$210.006
|
|
20
|
$233.340
|
|
22
|
$256.674
|
|
24
|
$280.008
|
|
26
|
$303.342
|
|
28
|
$326.676
|
|
30
|
$350.010
|
|
32
|
$373.344
|
|
34
|
$396.678
|
|
36
|
$420.012
|
|
38
|
$443.346
|
|
40
|
$466.680
|
|
42
|
$490.014
|
|
44
|
$513.348
|
|
46
|
$536.682
|
|
48
|
$560.016
|
|
50
|
$583.350
|
|
52
|
$606.684
|
|
54
|
$630.018
|
|
56
|
$653.352
|
|
58
|
$676.686
|
|
60
|
$700.020
|
|
或有收入发行人可赎回收益率票据| PS-9
|
|
|
|
|
|
|
表现最差标的的期末价值
|
表现最差的标的收益
|
每张票据的赎回金额(包括任何最终或有息票支付)
|
票据的回报(1)
|
|
160.00
|
60.00%
|
$1,011.667
|
1.1667%
|
|
150.00
|
50.00%
|
$1,011.667
|
1.1667%
|
|
140.00
|
40.00%
|
$1,011.667
|
1.1667%
|
|
130.00
|
30.00%
|
$1,011.667
|
1.1667%
|
|
120.00
|
20.00%
|
$1,011.667
|
1.1667%
|
|
110.00
|
10.00%
|
$1,011.667
|
1.1667%
|
|
105.00
|
5.00%
|
$1,011.667
|
1.1667%
|
|
102.00
|
2.00%
|
$1,011.667
|
1.1667%
|
|
100.00(2)
|
0.00%
|
$1,011.667
|
1.1667%
|
|
90.00
|
-10.00%
|
$1,011.667
|
1.1667%
|
|
80.00
|
-20.00%
|
$1,011.667
|
1.1667%
|
|
75.00(3)
|
-25.00%
|
$1,011.667
|
1.1667%
|
|
74.99
|
-25.01%
|
$1,000.000
|
0.0000%
|
|
70.00
|
-30.00%
|
$1,000.000
|
0.0000%
|
|
60.00(4)
|
-40.00%
|
$1,000.000
|
0.0000%
|
|
59.99
|
-40.01%
|
$599.900
|
-40.0100%
|
|
50.00
|
-50.00%
|
$500.000
|
-50.0000%
|
|
0.00
|
-100.00%
|
$0.000
|
-100.0000%
|
|
(1)
|
“票据的回报”是根据赎回金额和潜在的最终或有息票支付计算的,不包括任何在到期前支付的或有息票支付。
|
|
(2)
|
上表中使用的假设起始值100仅用于说明目的,并不代表任何底层证券的可能起始值。
|
|
(3)
|
这是表现最差标的的假设票息壁垒。
|
|
(4)
|
这是表现最差标的的假设门槛值。
|
|
或有收入发行人可赎回收益率票据| PS-10
|
|
|
|
|
|
|
•
|
你的投资可能会导致亏损;本金没有保证收益。票据到期并无固定本金偿还金额。如果票据未在到期前赎回,期末价值为任何标的低于其门槛值,到期时,您的投资将受到表现最差标的价值下降的1:1下行风险敞口,表现最差标的的期末价值低于其起始价值的每1%,您将损失本金的1%。在这种情况下,您将损失您在票据上的很大一部分或全部投资。
|
|
•
|
您对票据的回报仅限于票据期限内的或有息票支付(如果有的话)所代表的回报。您对票据的回报仅限于在票据期限内支付的或有票息付款,无论任何标的的观察值或期末价值在多大程度上超过其票息障碍或起始价值(如适用)。同样,到期或可选提前赎回时应付的金额永远不会超过本金和适用的或有息票支付的总和,无论任何标的的观察值或期末值超过其起始值的程度如何。相比之下,直接投资于标的或一项或多项标的所持有或包含的证券(如适用)将允许您获得其价值任何升值的好处。票据的任何回报将不会反映如果您实际拥有这些证券并收到已支付的股息或就其进行的分配,您将实现的回报。
|
|
•
|
票据可选择提前赎回,这将限制您在票据的整个期限内收到或有息票付款的能力。在每个通知支付日,根据我们的选择,我们可能会全部通知您的票据,但不是部分通知。如果票据在到期日之前被赎回,您将有权在适用的赎回付款日期收到提前赎回金额,并且不会在票据上支付更多金额。在这种情况下,您将失去在可选提前赎回日期之后继续收到或有息票付款的机会。如果票据在到期日之前被赎回,您可能无法投资具有类似风险水平的其他证券,这些证券可以提供与票据类似的回报。即使我们不行使赎回贵公司票据的选择权,我们这样做的能力可能会对贵公司票据的市场价值产生不利影响。是否在任何此类赎回支付日提前赎回您的票据是我们的唯一选择,我们可能会或可能不会出于任何原因行使此选择权。由于这种可选的提前赎回潜力,你的票据期限可能在六到六十个月之间。
|
|
•
|
您可能不会收到任何或有息票付款。票据不提供任何定期固定息票支付。票据的投资者不一定会收到票据的任何或有息票付款。如果任何标的在某个观察日的观察值小于其票息障碍,您将不会收到适用于该观察日的或有票息支付。如果在票据期限内的所有观察日,任何标的的观察值均低于其票息壁垒,则在票据期限内,您将不会收到任何或有票息支付,也不会收到票据的正收益。
|
|
•
|
您的票据收益可能低于期限相当的常规债务证券的收益率。您在票据上获得的任何回报可能低于您在购买具有相同到期日的常规债务证券时获得的回报。因此,当您考虑影响货币时间价值的因素,例如通货膨胀时,您对票据的投资可能无法反映您的全部机会成本。此外,如果在票据期限内利率上升,或有息票支付(如有)可能低于可比较期限的常规债务证券的收益率。
|
|
•
|
或有息票支付、提前赎回金额或赎回金额(如适用)将不反映观察日以外标的价值的变化。票据期限内除观察日以外的标的价值不影响票据的支付。尽管有上述规定,投资者在持有票据时一般应了解标的的表现,因为标的的表现可能会影响票据的市场价值。计算代理将确定是否支付每笔或有息票付款,并将计算提前赎回金额或赎回金额(如适用),方法是仅将起始价值、息票障碍或阈值(如适用)与每个标的的观察值或期末值进行比较。不会考虑标的的其他价值。因此,如果票据未在到期前被赎回,且表现最差的基础资产的期末价值低于其阈值价值,即使每个基础资产的价值在估值日期之前始终高于其阈值,您在到期时收到的收益也将低于本金金额。
|
|
•
|
由于票据与表现最差(而非平均表现)的标的挂钩,即使一个标的的观察值或期末值大于或等于其票息障碍或阈值(如适用),您可能不会从票据中获得任何回报,并可能损失您在票据中的大部分或全部投资。你的票据与表现最差的标的挂钩,一个标的价值的变化可能与其他标的价值的变化不相关。票据不与由基础资产组成的篮子挂钩,在该篮子中的贬值
|
|
或有收入发行人可赎回收益率票据| PS-11
|
|
|
|
|
|
|
|
一个标的的价值可能会在一定程度上被其他标的价值的升值所抵消。就票据而言,每个标的的个别表现不会合并,一个标的的价值贬值不会被其他标的价值的任何升值所抵消。即使某一标的在观察日的观察值处于或高于其票息障碍,如果另一标的在该日的观察值低于其票息障碍,您也不会收到该观察日的或有票息支付。此外,即使一只标的物的期末价值达到或高于其门槛值,如果表现最差的标的物的期末价值低于其门槛值,您将损失您在票据上的相当大的部分或全部投资。
|
|
•
|
票据的任何付款均受我们的信用风险和担保人的信用风险影响,我们或担保人的信誉的任何实际或感知变化预计将影响票据的价值。这些票据是我们的高级无抵押债务证券。票据的任何付款将由担保人提供全额无条件担保。票据不受担保人以外的任何实体担保。因此,贵方收到票据的任何付款将取决于我们的能力和担保人在适用的付款日期偿还我们在票据下各自义务的能力,无论标的的履行情况如何。无法保证我们的财务状况或担保人在票据定价日之后的任何时间的财务状况。如果我们和担保人无法履行我们各自到期的财务义务,您可能无法收到根据票据条款应付的金额。 此外,我们的信用评级和担保人的信用评级是评级机构对我们各自支付义务能力的评估。因此,我们或担保人的感知信誉以及我们或担保人信用评级的实际或预期下降或到期日前我们各自证券的收益率与美国国债收益率之间的利差增加(“信用利差”)可能会对票据的市场价值产生不利影响。然而,由于贵公司对票据的回报取决于除我们的能力和担保人支付我们各自义务的能力以外的因素,例如标的价值,我们或担保人信用评级的改善不会降低与票据相关的其他投资风险。 |
|
•
|
我们是一家财务子公司,因此没有独立的资产、运营或收入。我们是担保人的财务子公司,除了与由担保人担保的我们的债务证券的发行、管理和偿还相关的业务外,没有其他业务,并且依赖担保人和/或其其他子公司在正常过程中履行我们在票据下的义务。因此,我们支付票据的能力可能受到限制。
|
|
•
|
您为这些票据支付的公开发行价格将超过其初始估计价值。本初步定价补充文件封面上提供的票据初始估计值范围,以及将在最终定价补充文件中提供的截至定价日期的初始估计值,均仅为每个估计值,通过参考我们和我们的关联公司的定价模型在特定时间点确定。这些定价模型考虑了某些假设和变量,包括我们和担保人的信用利差、担保人的内部资金利率、对冲交易的中间市场条款、对利率、股息和波动性的预期、价格敏感性分析以及票据的预期期限。这些定价模型部分依赖于对未来事件的某些预测,这可能被证明是不正确的。如果您试图在到期前出售票据,其市场价值可能低于您为其支付的价格,并低于其初始估计价值。这是由于(其中包括)标的价值的变化、担保人内部资金利率的变化,以及在公开发行价格中包含承销折扣(如有)、介绍费和对冲相关费用,所有这些都在下文“构建票据”中进一步描述。这些因素,连同票据期限内的各种信贷、市场和经济因素,预计会降低你可能在任何二级市场上出售票据的价格,并以复杂和不可预测的方式影响票据的价值。
|
|
•
|
初始估计值并不代表我们、BAC、美国银行或我们的任何其他关联机构愿意在任何时间在任何二级市场(如果存在)购买贵公司票据的最低或最高价格。贵司票据在发行后任何时候的价值都会根据很多无法准确预测的因素而变化,包括标的的表现、我们和BAC的资信情况以及市场条件的变化等。
|
|
•
|
我们无法向贵国保证,贵国票据的交易市场将永远发展或保持下去。我们不会在任何证券交易所上市票据。我们无法预测这些票据将如何在任何二级市场交易,也无法预测该市场是否具有流动性或流动性不足。
|
|
•
|
我们、担保人和我们的任何其他关联公司(包括美国银行)的交易和对冲活动可能会与您产生利益冲突,并可能影响您对票据的回报及其市场价值。我们、担保人或我们的一个或多个其他关联公司,包括美国银行,可以购买或出售标的的股份或单位,或标的持有或包含在标的中的证券(如适用),或标的或这些证券上的期货或期权合约或交易所交易工具,或价值源自标的或这些证券的其他工具。虽然我们、担保人或我们的一个或多个其他关联公司,包括美国银行同业公会,可能不时拥有标的或标的所代表的证券的股份或单位,但除BAC的普通股可能包含在标的中外,我们、担保人和我们的其他关联公司,包括美国银行同业公会,并未控制任何包含在标的中的公司,也未核实任何其他公司所作的任何披露。我们、保证人或一人或
|
|
或有收入发行人可赎回收益率票据| PS-12
|
|
|
|
|
|
|
|
我们更多的其他关联公司,包括美国银行,可能会为我们自己或他们自己的账户、出于商业原因或与对冲我们在票据下的义务有关的情况下执行此类购买或销售。这些交易可能会在您在票据中的利益与我们、担保人和我们的其他关联公司(包括美国银行)在我们或他们的自营账户中、在为我们或他们的其他客户促进交易(包括大宗交易)以及在我们或他们管理的账户中可能拥有的利益之间产生利益冲突。这些交易可能会对标的资产的价值产生不利影响,从而可能对您在票据中的投资产生不利影响。在定价日期或之前,我们、担保人或我们的其他关联公司(包括美国银行或代表我们或他们的其他人)的任何购买或销售(包括那些用于对冲我们与票据相关的部分或全部预期风险的购买或销售)可能会影响标的的价值。因此,标的物的价值可能会在定价日期之后发生变化,这可能会对票据的市场价值产生不利影响。 我们、担保人或我们的一个或多个其他关联公司,包括美国银行,也预计会从事可能影响定价日标的价值的对冲活动。此外,这些对冲活动,包括解除对冲,可能会在到期前降低您的票据的市场价值,并可能影响票据上需要支付的金额。我们、担保人或我们的一个或多个其他关联公司,包括美国银行,可能会购买或以其他方式获得票据的多头或空头头寸,并可能持有或转售票据。例如,美国银行可就其从事的任何做市活动进行这些交易。我们无法向贵方保证,这些活动不会对标的价值、贵方票据到期前的市场价值或票据应付金额产生不利影响。 |
|
•
|
可能存在潜在的利益冲突涉及计算代理,这是我们的关联公司。我们有权任免计算代理。我们的一家关联公司将担任票据的计算代理,因此将做出与票据相关的各种决定,包括将在票据上支付的金额。在某些情况下,这些职责可能会导致其作为我们关联公司的地位与其作为计算代理的责任之间的利益冲突。
|
|
•
|
票据受制于与小市值公司相关的风险。组成RTY的股票由小市值公司发行。小规模公司的股价可能比大市值公司的股价波动更大。相对于规模较大的公司,小型资本化公司可能更难以承受不利的经济、市场、贸易和竞争条件。小型资本化公司也可能更容易受到与其产品或服务相关的不利发展的影响。
|
|
•
|
科技行业的不利条件可能会降低你的票据回报率。此次纳入NDXT的股票全部由科技领域的公司发行。影响科技公司和严重依赖技术进步的公司的市场或经济因素可能会对NDXT的投资价值产生重大影响。科技公司和严重依赖技术的公司的股票价格特别容易受到技术产品周期快速变化、产品迅速过时、政府监管和国内和国际竞争的影响,包括来自生产成本较低的外国竞争对手的竞争。科技公司和严重依赖技术的公司的股票,尤其是那些规模较小、经验不足的公司的股票,往往比整体市场波动更大。科技公司严重依赖专利和知识产权,其损失或减值可能会对盈利能力产生不利影响。此外,技术领域的公司可能会面临增长率的巨大变化,而且往往是无法预测的,以及对合格人员服务的竞争。这些因素中的任何一个都可能对票据的回报产生不利影响。因此,通过投资票据,您将不会受益于与在多个行业运营的公司相关的投资可能导致的多元化。
|
|
•
|
半导体生产和设备部门的不利条件可能会降低你的票据回报率。SMH所持有的全部或基本全部股票发行对象为主营业务与半导体生产和设备板块直接相关的公司。SMH面临的风险是,处于半导体生产和设备领域的公司可能会受到特定经济或市场事件的类似影响。随着产品周期缩短和制造能力增加,这些公司可能会越来越多地受到激进定价的影响,从而阻碍盈利能力。由于产品快速淘汰,半导体公司很容易受到证券价格宽幅波动的影响。许多半导体公司可能无法成功推出新产品、开发和维持忠诚的客户群或实现其产品的普遍市场认可,如果不这样做,可能会对其业务、经营业绩和财务状况产生重大不利影响。终端用户产品需求减少、制造产能利用不足等因素可能对半导体生产和设备领域公司的经营业绩产生不利影响。半导体公司通常面临高昂的资金成本,这类公司可能需要额外的融资,这可能很难获得。它们还可能面临与研发成本以及组件的可用性和价格相关的风险。此外,它们可能严重依赖知识产权,并可能因这些权利的损失或减值而受到不利影响。半导体生产及设备板块涉及的部分公司还从事与半导体业务无关的其他业务条线,可能会遇到这些业务条线的问题,从而对经营业绩产生不利影响。许多半导体公司的国际业务使它们面临与不稳定和经济和政治状况变化、外汇波动、外国法规变化、关税和贸易争端、来自生产成本较低的有补贴外国竞争对手的竞争以及国际业务固有的其他风险相关的风险。半导体生产和设备板块具有较强的周期性,可能导致很多半导体公司的经营业绩差异较大。公司在
|
|
或有收入发行人可赎回收益率票据| PS-13
|
|
|
|
|
|
|
|
半导体生产和设备领域也可能受到新市场进入者的竞争。与整体市场相比,半导体生产和设备领域公司的股价一直并将很可能继续极度波动。这些因素可能会影响半导体生产和设备部门,并可能影响在票据期限内由SMH持有的股本证券的价值和SMH的价格,从而可能对贵司票据的价值产生不利影响。
|
|
•
|
票据受制于与外国证券市场相关的风险。NDXT包括某些外国股本证券。您应该知道,与外国股本证券价值挂钩的证券投资涉及特定风险。与美国或其他证券市场相比,组成NDXT的外国证券市场的流动性可能更低,波动性可能更大,市场发展对外国市场的影响可能与美国或其他证券市场不同。政府为稳定这些外国证券市场而进行的直接或间接干预,以及对外国公司的交叉持股,可能会影响这些市场的交易价格和交易量。此外,与那些受SEC报告要求约束的美国公司相比,关于外国公司的公开信息通常更少,而且外国公司受到的会计、审计和财务报告标准和要求与适用于美国报告公司的标准和要求不同。
|
|
•
|
股票由或持有纳入NDXT和的SMH主要集中在两个板块。NDXT包括和SMH分别持有技术板块和半导体生产与设备板块公司发行的证券。因此,一些将决定票据表现的股票集中在两个板块。尽管对票据的投资不会赋予持有人对NDXT和SMH持有或包含在这些证券中的任何所有权或其他直接权益,但对票据投资的回报将受到与对这些行业的公司进行直接股权投资相关的某些风险的影响。因此,通过投资票据,您将不会受益于与在多个行业运营的公司相关的投资可能导致的多元化。
|
|
•
|
SMH的表现可能与其标的指数的表现以及SMH的每股或单位净资产值并不相关,尤其是在市场波动期间。SMH及其标的指数的表现通常会因交易成本、管理费用、某些公司行为以及时机差异等因素而有所不同。此外,也有可能SMH的表现可能无法完全复制,或者在某些情况下可能与其标的指数的表现出现显着分化。这可能是由于,例如,SMH并未持有全部或基本全部包含在其标的指数中的标的资产和/或持有未包含在其标的指数中的资产,某些证券暂时无法在二级市场上流通,SMH持有的任何衍生工具表现良好,SMH(或SMH持有的标的资产)与其标的指数的交易时间存在差异,或其他情况。这种性能变化被称为“跟踪误差”,有时,跟踪误差可能很大。此外,由于SMH的股份或单位是在证券交易所交易的,受市场供给和投资者需求的影响,SMH的一股或单位的市场价格可能与其每股或单位的资产净值存在差异;SMH的股份或单位交易价格可能高于或低于其每股或单位的资产净值。在市场波动期间,SMH持有的证券可能无法在二级市场获得,市场参与者可能无法准确计算出SMH的每股或单位净资产值,SMH的流动性可能会受到不利影响。市场波动也可能扰乱市场参与者交易SMH的股票或单位的能力。此外,市场波动可能会对市场参与者愿意买卖SMH股票或单位的价格产生不利影响,有时甚至会产生重大影响。因此,在这些情况下,SMH的股份或单位的市场价值可能与SMH的每股或单位净资产值存在较大差异。
|
|
•
|
反稀释调整幅度将有限。计算代理可能会调整SMH的价格乘数和票据的其他条款,以反映SMH的某些行为,如随附产品补充中“票据的说明——与ETF相关的反稀释和终止调整”部分所述。计算代理将不会被要求对可能影响SMH的每一个事件进行调整,并且将拥有广泛的酌情权来确定是否需要调整以及在多大程度上需要调整。
|
|
•
|
发行人或标的的保荐机构或投资顾问可能会以影响其价值的方式调整该标的,发行人或保荐机构或投资顾问没有义务考虑您的利益。底层证券的发布者或保荐人或投资顾问可以添加、删除或替换该底层证券中包含的成分,或进行可能改变其价值的其他方法更改。这些行为中的任何一个都可能对您的Notes的价值产生不利影响。
|
|
•
|
投资于票据的美国联邦所得税后果是不确定的,可能对票据持有人不利。没有任何法定、司法或行政当局直接针对美国联邦所得税目的对票据或类似票据的证券进行定性。因此,投资票据的美国联邦所得税后果的重要方面并不确定。根据票据条款,贵公司将与我们同意将票据视为或有
|
|
或有收入发行人可赎回收益率票据| PS-14
|
|
|
|
|
|
|
|
有收益的单一金融合同,如下文“美国联邦所得税摘要——一般”中所述。如果美国国税局(“IRS”)成功地为票据主张了替代定性,则与票据相关的收入、收益或损失的时间和性质可能有所不同。不会要求IRS就票据作出裁决,也不能保证IRS将同意题为“美国联邦所得税摘要”的部分中的陈述。我们敦促您就投资票据的美国联邦所得税后果的所有方面咨询您自己的税务顾问。
|
|
或有收入发行人可赎回收益率票据| PS-15
|
|
|
|
|
|
|
或有收入发行人可赎回收益率票据| PS-16
|
|
|
|
|
|
|
•
|
该证券在美国上市必须是在纳斯达克全球精选市场或纳斯达克全球市场独家上市(除非该证券在2004年1月1日之前曾在另一美国市场双重上市并持续保持该上市方式);
|
|
•
|
证券必须是非金融企业;
|
|
•
|
目前处于破产程序中的发行人不得发行该证券;
|
|
•
|
证券必须有至少20万股的三个月日均成交量;
|
|
•
|
如果证券的发行人是根据美国以外的司法管辖区的法律组建的,那么这类证券必须有在美国认可的期权市场上市的期权或有资格在美国认可的期权市场上市的期权交易;
|
|
•
|
证券的发行人可能没有订立可能导致证券不再有资格被纳入NDX的最终协议或其他安排;
|
|
•
|
证券发行人可能不存在被当期撤回审计意见的年度财务报表;以及
|
|
•
|
该证券的发行人必须在纳斯达克、纽约证券交易所或纽交所美国证券交易所“经验丰富”。一般来说,一家公司在一个市场上市至少满三个月(不包括首次上市的第一个月),就被认为是老练的。
|
|
•
|
证券在美国上市必须是在纳斯达克全球精选市场或纳斯达克全球市场独家上市;
|
|
•
|
证券必须是非金融企业;
|
|
或有收入发行人可赎回收益率票据| PS-17
|
|
|
|
|
|
|
•
|
目前处于破产程序中的发行人不得发行该证券;
|
|
•
|
证券必须有至少20万股的三个月日均成交量;
|
|
•
|
如果证券的发行人是根据美国以外的司法管辖区的法律组建的,那么这类证券必须有在美国认可的期权市场上市的期权或有资格在美国认可的期权市场上市的期权交易(在排名审查过程中每年衡量);
|
|
•
|
该证券的调整后市值必须等于或超过每个月末NDX调整后总市值的0.10%。若某公司连续两个月末不符合这一标准,将于次月第三个星期五收盘后从NDX中剔除生效;而
|
|
•
|
证券发行人可能没有被撤回审计意见的年度财务报表。
|
|
或有收入发行人可赎回收益率票据| PS-18
|
|
|
|
|
|
|
或有收入发行人可赎回收益率票据| PS-19
|
|
|
|
|
|
|
或有收入发行人可赎回收益率票据| PS-20
|
|
|
|
|
|
|
或有收入发行人可赎回收益率票据| PS-21
|
|
|
|
|
|
|
或有收入发行人可赎回收益率票据| PS-22
|
|
|
|
|
|
|
或有收入发行人可赎回收益率票据| PS-23
|
|
|
|
|
|
|
或有收入发行人可赎回收益率票据| PS-24
|
|
|
|
|
|
|
(1)
|
可投资范围内最大的50只股票(按完全市值计算)符合条件。
|
|
(2)
|
这50只股票以两种不同的方式进行排名——按自由流通市值降序排列(最大公司获得排名“1”),然后按三个月平均每日交易量降序排列(最具流动性公司获得排名“1”)。这两个段位加起来。
|
|
(3)
|
然后将这50只股票按其在步骤2中的两个排名之和按升序排列。如果两家公司的排名总和相同,则将较大的公司放在首位。
|
|
a.
|
最初,排名最高的25家公司组成了MVSMH。
|
|
b.
|
进行中,适用10-40缓冲:排名最高的10家公司符合条件。其余15家公司是从排名最高的剩余当前MVSMH组件中选出的,排名在11至40之间。如果入选公司数量仍在25家以下,则选择排名最高的剩余股票,直至25家公司入选。
|
|
或有收入发行人可赎回收益率票据| PS-25
|
|
|
|
|
|
|
(1)
|
所有MVSMH组件均按其自由流通市值加权。
|
|
或有收入发行人可赎回收益率票据| PS-26
|
|
|
|
|
|
|
(2)
|
所有超过4.5%但至少是最大的5家和最多是最大的10家公司被归为一类(所谓“大权重”)。所有其他公司也被归为一类(所谓“小权重”)。
|
|
(3)
|
大权重的加总权重上限为50%:
|
|
a.
|
大权重:如果大权重所有公司的加总权重超过50%,则计算一个封顶因子,使权重下降到50%;同时计算小权重的第二个封顶因子,使加总权重增加到50%。然后将这两个因子分别应用于大权重或小权重中的所有公司。
|
|
b.
|
大权重:任一个股最大权重为20%,最小权重为5%。如果某只股票高于最大或低于最小权重,那么权重将减少到最大权重或增加到最小权重,多余的权重将按比例重新分配给大权重中所有其他剩余的MVSMH成分股。
|
|
c.
|
小权重:任何一只股票的最大权重为4.5%。如果一只股票高于最大权重,那么权重将减少到最大权重,多余的权重将按比例重新分配给小权重中所有其他剩余的MVSMH成分。
|
|
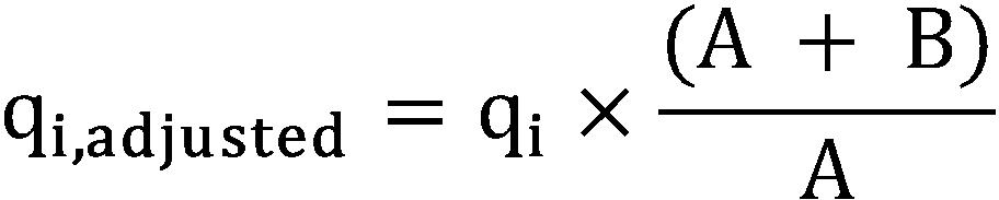
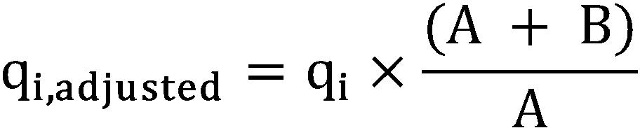
特别现金股息
pi,adjusted = pi –(股息x(1 –预扣税))
|
除数变化:是
|
|
拆分
股东每持有一股“A”股就获得“B”股新股。
|
除数变化:否
|
|
供股
股东每持有一股“A”股就获得“B”股新股。
如果申购价格不是买不到就是不低于收盘价,那就不做调整。
|
除数变化:否
|
|
或有收入发行人可赎回收益率票据| PS-27
|
|
|
|
|
|
|
股票股息
股东每持有一股“A”股就获得“B”股新股。
|
除数变化:否
|
|
来自库房的股票股息
库存股票股利调整为普通现金股利。股东每持有‘A’股可获发‘B’股新股。
|
除数变化:是
|
|
不同公司证券的股票红利
股东每持有一股“A”股,即获得不同公司的“B”股。
|
除数变化:是
|
|
分拆
股东每持有一股“A”股,即获得不同公司的“B”股。
|
除数变化:是
|
|
增加/删除公司
市值净变动决定除数调整。
|
除数变化:是
|
|
流通股/自由流通股变动
凡二次发行、股份回购、回购、要约收购、荷兰式拍卖、交换要约、买入交易股权发行或招股说明书发行,变动幅度小于10%的,在半年度审核时更新。大于10%的变动将预先公告(提前3个交易日通知),并在尽力基础上实施。如有必要且信息可用,将考虑由此产生的浮动变化。审核公告至实施的一周内不实施股份变动。
|
除数变化:是
|
|
因合并/接管/分拆而产生的变动
自由流通市值净变动决定除数调整。如无变化,除数变化为0。
|
除数变化:是
|
|
或有收入发行人可赎回收益率票据| PS-28
|
|
|
|
|
|
|
或有收入发行人可赎回收益率票据| PS-29
|
|
|
|
|
|
|
或有收入发行人可赎回收益率票据| PS-30
|
|
|
|
|
|
|
或有收入发行人可赎回收益率票据| PS-31
|
|
|
|
|
|
|
或有收入发行人可赎回收益率票据| PS-32
|
|
|
|
|
|
|
或有收入发行人可赎回收益率票据| PS-33
|
|
|
|
|
|
|
或有收入发行人可赎回收益率票据| PS-34
|
|
|
|
|
|
|
或有收入发行人可赎回收益率票据| PS-35
|
|
|
|
|
|
|
或有收入发行人可赎回收益率票据| PS-36
|
|
|
|
|
|
|
•
|
2022年12月30日产品补充权益-1: https://www.sec.gov/archives/edgar/data/1682472/000119312522315473/d429684d424b2.htm |
|
•
|
日期为2022年12月30日的A系列MTN招股章程补充及日期为2022年12月30日的招股章程: https://www.sec.gov/archives/edgar/data/1682472/000119312522315195/d409418d424b3.htm |
|
或有收入发行人可赎回收益率票据| PS-37
|
|