| 以完成为准 初步条款清单 日期为2025年7月18日 |
根据第433条规则提交 注册声明第333-272447号 (至2023年9月5日的招股章程, 2023年9月5日的招股章程补充文件及 Product Supplement Equity Indices MITTS-1 dated 2023年9月5日) |
|
定价日期* |
2025年7月 2030年7月 |
|||
| *可根据票据首次向公众发售定价的实际日期(“定价日期”)作出更改
|
|||||
|
|||||
市场指数目标-期限证券®与国际股票指数篮子挂钩
§期限约五年
§【110.00%至120.00%】杠杆上行风险敞口对篮子增加
§如果篮子持平或减少,到期付款将是本金
§篮子将由欧元斯托克50组成®指数,富时指数®100指数、日经平均指数、瑞士市场指数®,标普®/ASX 200指数、富时®中国50指数。欧元斯托克50®指数将被赋予40.00%的初始权重,富时各®100指数和日经平均指数将被赋予20.00%的初始权重,瑞士市场指数各®和标普®/ASX 200指数将获得7.50%的初始权重,富时®中国50指数将被赋予5.00%的初始权重
§所有款项均发生在到期时,受制于加拿大帝国商业银行的信用风险
§不定期付息
§除了下文所述的承销折扣外,这些票据还包括每单位0.05美元的对冲相关费用。见“构建笔记”
§二级市场流动性有限,无交易所上市
§即使到期前不会收到任何款项,您也可能需要每年对票据计息并缴纳税款。见“美国联邦所得税后果概要”
§票据为无担保债务证券,不是银行的储蓄账户或受保存款。这些票据不受加拿大存款保险公司、美国联邦存款保险公司或美国、加拿大或任何其他司法管辖区的任何其他政府机构的保险或担保 |
这些票据由加拿大帝国商业银行(“CIBC”)发行。票据与一种常规的债务证券有重要区别,包括不同的投资风险和一定的额外成本。请参阅本条款清单TS-6页开始的“风险因素”和“附加风险因素”,以及产品补充权益指数MITTS-1的PS-6页开始的“风险因素”。
截至定价日,这些票据的初步估计价值预计在每单位9.014美元至9.386美元之间,低于以下列出的公开发行价格。有关更多信息,请参阅下一页的“摘要”、本条款清单第TS-6页开始的“风险因素”和本条款清单第TS-27页的“构建票据”。你的笔记在任何时候的实际价值都会反映很多因素,无法准确预测。
美国证券交易委员会(“SEC”)、任何州证券委员会或任何其他监管机构均未批准或不批准这些证券,或确定本票据招股说明书(定义见下文)是否真实或完整。任何相反的陈述都是刑事犯罪。
| 每单位 | 合计 | |
| 公开发行价格(1) | $ 10.00 | $ |
| 承销折扣(1) | $ 0.25 | $ |
| 收益,未计费用,给CIBC | $ 9.75 | $ |
| (1) | 对于个人投资者在此次发行中的单笔交易或与投资者家庭的合并交易中购买的任何30万股或更多,公开发行价格和承销折扣将分别为每股9.95美元和每股0.20美元。见下文“分配预案补充”。 |
笔记:
| 未向FDIC投保 | 不是银行担保 | 可能会失去价值 |
美银证券
2025年7月
| 市场指数目标-期限证券® 与国际股票指数篮子挂钩,2030年7月到期 |
|
总结
大盘指数目标-期限证券®与2030年7月到期的国际股票指数篮子(“票据”)挂钩的是我们的高级无担保债务证券。这些票据不受加拿大存款保险公司、美国联邦存款保险公司或美国、加拿大或任何其他司法管辖区的任何其他政府机构的担保或保险,也不受抵押品的担保。票据并非可保释债务证券(定义见招股章程第6页)。这些票据将与我们所有其他无担保和非次级债务具有同等地位。票据到期的任何付款,包括本金的任何偿还,将受到CIBC的信用风险。这些票据为你提供了一个杠杆收益,如果市场度量的期末值,也就是下面描述的国际股票指数篮子(“篮子”),大于起始值。如果篮子持平或减少,您将只收到您的票据的本金金额。票据的任何付款将根据每单位10美元的本金金额计算,并将取决于篮子的表现,但须遵守我们的信用风险。见下文“票据条款”。
篮子将由欧元斯托克50®指数,富时指数®100指数、日经平均指数、瑞士市场指数®,标普®/ASX 200指数、富时®中国50指数(每个,一个“篮子成分”)。定价日,欧元斯托克50®指数将被赋予40.00%的初始权重,富时各®100指数和日经平均指数将被赋予20.00%的初始权重,瑞士市场指数各®和标普®/ASX 200指数将获得7.50%的初始权重,富时®中国50指数将被给予5.00%的初始权重。
票据的经济条款(包括参与率)基于我们的内部资金利率,即我们通过发行市场挂钩票据借入资金所支付的利率,以及某些相关对冲安排的经济条款。我们的内部资金利率通常低于我们发行常规固定利率债务证券时支付的利率。这种资金利率的差异,以及下文所述的承销折扣和与套期保值相关的费用以及某些服务费,将降低票据对你们的经济条款和票据在定价日的初始估计价值。由于这些因素,您购买票据所支付的公开发行价格将高于票据的初始估计价值。
在这份条款清单的封面上,我们提供了票据的初步估计价值范围。这个初步估计的价值范围是根据我们的定价模型确定的。截至定价日的初步估算值将基于我们在定价日的内部资金利率、当时存在的市场情况和其他相关因素,以及我们对市场参数的假设。有关初始估计值和票据结构的更多信息,请参阅TS-27页的“构建票据结构”。
| 票据条款 | ||
| 发行人: | 加拿大帝国商业银行(“CIBC”) | 赎回金额厘定 |
| 本金金额: | 每台10.00美元 |
在到期日,您将收到按以下方式确定的每单位现金付款:
您将获得每单位10.00美元的最低赎回金额
(赎回金额将不低于每单位最低赎回金额。)
|
| 任期: | 约五年 | |
| 市场衡量: | 由欧元斯托克50组成的国际股票指数篮子®指数(彭博代码:“SX5E”),富时®100指数(彭博代码:“UKX”)、日经平均指数(彭博代码:“NKY”)、瑞士市场指数®(Bloomberg代码:“SMI”),the 标普®/ASX 200指数(彭博代码:“AS51”),以及富时®中国50指数(Bloomberg symbol:“XIN0I”)。每个篮子成分都是一个价格回报指数。 | |
| 起始值: | 定价日起算值设为100.00 | |
| 期末值: | 到期估值期内每个计算日的篮子平均值,按产品补充权益指数MITTS-1第TS-8页“篮子”和第PS-21页“MITTS描述—篮子市场度量—篮子期末价值”中的规定计算。如产品补充权益指数MITTS-1第PS-21页所述,如果发生市场扰乱事件,预定的计算日可能会推迟。 | |
| 最低赎回金额: | 每台10.00美元。如果您在到期日之前卖出您的票据,您可能会收到低于每单位最低赎回金额。 | |
| 参与率: | [ 110.00%至120.00% ]。实际参与率将在定价日确定。 | |
| 到期估值期: | 到期日前不久的五个预定计算日。 | |
| 收费项目: | 封面所列每单位0.25美元的承销折扣,以及TS-27页“结构化票据”中描述的每单位0.05美元的对冲相关费用。 | |
| 计算剂: | BoFA Securities,Inc.(“BoFAS”) | |
| 市场指数目标-期限证券® | TS-2 |
| 市场指数目标-期限证券® 与国际股票指数篮子挂钩,2030年7月到期 |
|
票据的条款和风险载于本条款清单及以下各项:
| § | 2023年9月5日产品补充权益指数MITTS-1: https://www.sec.gov/archives/edgar/data/1045520/000110465923098275/tm2325339d5_424b5.htm |
| § | 2023年9月5日招股章程补充: |
https://www.sec.gov/archives/edgar/data/1045520/000110465923098166/tm2322483d94_424b5.htm
| § | 2023年9月5日招股章程: https://www.sec.gov/archives/edgar/data/1045520/000110465923098163/tm2325339d10_424b3.htm |
这些文件(合称“票据招股说明书”)已作为注册声明的一部分提交给SEC,可按上述方式在SEC网站上免费查阅,或通过致电1-800-294-1322从美林、Pierce、Fenner & Smith Incorporated(“MLPF & S”)或美国银行获得。在您投资之前,您应该阅读票据招股说明书,包括本条款清单,以了解有关我们和本次发行的信息。您可能收到的任何先前或同期口头陈述以及任何其他书面材料均由Note Prospectus取代。
本术语表中使用但未定义的大写术语具有产品补充权益指数MITTS-1中规定的含义。除非另有说明或上下文另有要求,本文件中所有提及“我们”、“我们”、“我们的”或类似的提及均指CIBC。
投资者注意事项
在以下情况下,您不妨考虑投资票据:
| § | 您预计篮子的价值将从起始值增加到结束值。 | |
| § | 您接受如果篮子的价值没有从起始值增加到结束值,票据的回报将为零。 | |
| § | 您愿意放弃对常规计息债务证券支付的利息。 | |
| § | 你愿意放弃拥有篮子组件中包含的股票的股息或其他好处。 | |
| § | 您愿意在到期前接受有限或没有市场的销售,并理解票据的市场价格(如果有的话)将受到各种因素的影响,包括我们的实际和感知的信誉、我们的内部资金利率以及票据上的费用和收费。 | |
| § | 您愿意承担我们的信用风险,作为票据发行人,在票据下的所有付款,包括赎回金额。 |
在以下情况下,这些票据可能不适合您进行投资:
| § | 您认为篮子的价值将从起始价值下降到期末价值,或者在票据期限内不会有足够的增长来为您提供您想要的回报。 | |
| § | 您寻求超过最低赎回金额的保证收益。 | |
| § | 您寻求对您的投资的利息支付或其他当前收入。 | |
| § | 您希望获得对Basket Components中包含的股票支付的股息或其他分配。 | |
| § | 你寻求的投资将有一个流动的二级市场。 | |
| § | 您不愿意或无法对票据承担市场风险或承担我们作为票据发行人的信用风险。 |
我们敦促您在投资票据之前咨询您的投资、法律、税务、会计和其他顾问。
| 市场指数目标-期限证券® | TS-3 |
| 市场指数目标-期限证券® 与国际股票指数篮子挂钩,2030年7月到期 |
|
假设支付概况和到期付款示例
下图基于假设的数字和数值。
| 市场指数目标-期限证券®
|
这张图反映了票据的回报,基于115.00%的假设参与率(参与率范围的中点[ 110.00%至120.00% ])。蓝线反映了票据的回报,而虚线灰线反映了直接投资于篮子成分中包含的股票的回报,不包括股息。
这张图表仅为说明目的而准备。 |
下表和示例仅供说明之用。它们基于假设值,并在票据上显示假设收益。它们说明了基于100.00的起始值、115.00%的假设参与率、10.00美元/单位的最低赎回金额和一系列假设期末值计算的赎回金额和总收益率。您收到的实际金额和由此产生的总收益率将取决于实际期末价值和参与率,以及您是否持有票据到期。以下示例未考虑投资票据的任何税务后果。
有关篮子的假设历史价值,请参见下面的“篮子”部分。有关篮子组件的近期实际水平,请参阅下面的“篮子组件”部分。每个篮子成分都是一个价格回报指数,因此期末价值将不包括任何篮子成分中包含的股票所支付的股息所产生的任何收入,否则,如果您直接投资于这些股票,您将有权获得这些收入。此外,票据上的所有付款都受到发行人信用风险的影响。
| 期末价值 | 与起点相比的百分比变化 价值到期末价值 |
赎回金额 每单位(1) |
总回报率 在笔记上 |
|||
| 0.00 | -100.00% | $10.000(2) | 0.00% | |||
| 50.00 | -50.00% | $10.000 | 0.00% | |||
| 75.00 | -25.00% | $10.000 | 0.00% | |||
| 80.00 | -20.00% | $10.000 | 0.00% | |||
| 90.00 | -10.00% | $10.000 | 0.00% | |||
| 95.00 | -5.00% | $10.000 | 0.00% | |||
| 100.00(3) | 0.00% | $10.000 | 0.00% | |||
| 110.00 | 10.00% | $11.150 | 11.50% | |||
| 115.00 | 15.00% | $11.725 | 17.25% | |||
| 150.00 | 50.00% | $15.750 | 57.50% | |||
| 160.00 | 60.00% | $16.900 | 69.00% | |||
| 170.00 | 70.00% | $18.050 | 80.50% | |||
| 180.00 | 80.00% | $19.200 | 92.00% |
| (1) | 每单位赎回金额按假设参与率115.00%。 | |
| (2) | 每单位赎回金额将不低于最低赎回金额。 | |
| (3) | 定价日起算值设置为100.00。 |
| 市场指数目标-期限证券® | TS-4 |
| 市场指数目标-期限证券® 与国际股票指数篮子挂钩,2030年7月到期 |
|
赎回金额计算实例
| 例1 | |
| 期末值为90.00,为起始值的90.00%: | |
| 起始值:100.00 | |
| 期末值:90.00 | |
![]() |
= 9.000美元,但由于票据的赎回金额不能低于最低赎回金额,赎回金额将为每单位10.000美元。 |
| 例2 | |
| 期末值为110.00,为起始值的110.00%: | |
| 起始值:100.00 | |
| 期末值:110.00 | |
![]() |
=每单位赎回金额11.150美元 |
| 市场指数目标-期限证券® | TS-5 |
| 市场指数目标-期限证券® 与国际股票指数篮子挂钩,2030年7月到期 |
|
风险因素
这些票据与一种常规的债务证券有重要区别。对票据的投资涉及重大风险,包括以下所列风险。您应该仔细查看产品补充权益指数MITTS-1第PS-6页、招股说明书补充第S-1页以及上述招股说明书第1页开始的“风险因素”部分中与附注相关的更详细的风险解释。我们还敦促您在投资票据之前咨询您的投资、法律、税务、会计和其他顾问。
结构相关风险
| § | 根据到期日前不久衡量的篮子表现,您的投资可能不会获得正回报。 |
| § | 您的投资回报可能低于直接投资于篮子组件中包含的股票的可比投资。 |
| § | 其中一个篮子组件的电平变化可能会被其他篮子组件电平的变化所抵消。由于初始组件权重不同,部分篮子组件水平的变化将比其他篮子组件水平的类似变化对篮子价值产生更大的实质性影响。的 |
| § | 您在票据上的回报可能低于您拥有期限相当的传统固定或浮动利率债务证券所能获得的收益率。 |
| § | 票据的付款受制于我们的信用风险,我们的信用的实际或感知变化预计将影响票据的价值。如果我们资不抵债或无法支付我们的义务,您可能会损失您的全部投资。 |
估值和市场相关风险
| § | 我们对票据的初步估计价值将低于票据的公开发行价格。票据的公开发行价格将超过我们的初步估计价值,因为与出售和构建票据以及对冲票据相关的成本,所有这些都在TS-27页的“构建票据”中进一步描述,均包含在票据的公开发行价格中。 |
| § | 我们的初步估计值不代表票据的未来价值,可能与其他人的估计不同。我们的初步估计值仅为估计值,将在票据条款设定时参考我们的内部定价模型确定。这一估计值将基于当时存在的市场条件和其他相关因素、我们在定价日的内部资金利率以及我们对市场参数的假设,其中可以包括波动性、股息率、利率等因素。不同的定价模型和假设可以为票据提供高于或低于我们初始估计值的估值。此外,未来的市场状况和其他相关因素可能会发生变化,任何假设都可能被证明是不正确的。在未来日期,票据的市场价值可能会发生重大变化,其中包括市场条件的变化,包括篮子的价值、我们的信誉、利率变动和其他相关因素,这可能会影响MLPF & S、美国银行或任何其他方愿意在任何二级市场交易中向你们购买票据的价格。我们的估计价值并不代表MLPF & S、美国银行或任何其他方愿意在任何时候在任何二级市场(如果存在)购买贵公司票据的最低价格。 |
| § | 我们对这些票据的初步估计价值将不会参考我们常规固定利率债务的信用利差来确定。在确定我们对票据的初始估计价值时将使用的内部资金利率通常代表我们常规固定利率债务的信用利差的折扣。贴现是基于(其中包括)我们对票据的融资价值的看法,以及与我们传统固定利率债务的这些成本相比,票据的发行、运营和持续负债管理成本更高。如果我们使用我们传统的固定利率债务所隐含的利率,我们预计票据的经济条款将对您更有利。因此,我们对与市场挂钩的票据使用内部资金利率将对票据的经济条款、票据在定价日的初始估计价值以及票据的任何二级市场价格产生不利影响。 |
| § | 预计不会为这些票据发展交易市场。我们、MLPF & S或美国银行都没有义务为这些票据做市或回购。无法保证任何一方愿意在任何二级市场以任何价格购买您的票据。 |
冲突相关风险
| § | 我们的业务、对冲和交易活动,以及MLPF & S、BOFAS和我们各自的关联公司的业务、对冲和交易活动(包括篮子组件中包含的公司股票交易),以及我们、MLPF & S、BOFAS或我们各自的关联公司为我们客户的账户从事的任何对冲和交易活动,可能会影响票据的市场价值和回报,并可能与您产生利益冲突。 |
| § | 可能存在涉及计算代理的潜在利益冲突,这就是美国银行。我们有权任免计算代理。 |
| 市场指数目标-期限证券® | TS-6 |
| 市场指数目标-期限证券® 与国际股票指数篮子挂钩,2030年7月到期 |
|
市场计量相关风险
| § | 指数赞助商可能会以影响其水平的方式调整各自的篮子成分,没有义务考虑您的利益。 |
| § | 您将不享有Basket Components所代表的证券的持有人的权利,并且您将无权获得这些证券的发行人提供的证券、股息或其他分配。 |
| § | 虽然我们、MLPF & S、美国银行或我们各自的关联公司可能不时拥有篮子组件中包含的公司的证券,但我们、MLPF & S、美国银行和我们各自的关联公司并不控制任何篮子组件中包含的任何公司,也没有核实任何其他公司所作的任何披露。 |
| § | 您的票据回报可能会受到影响国际证券市场的因素的影响,特别是篮子成分所代表的国家的市场。此外,如果您在票据期限内拥有包含在篮子组件中的证券,您将不会获得篮子组件所包含的证券对美元交易的货币价值增加的任何好处,尽管篮子的价值可能会受到市场一般汇率变动的不利影响。 |
涉税风险
| § | 票据的美国联邦所得税后果是不确定的,可能对票据持有人不利。见下文“美国联邦所得税后果摘要”和产品补充权益指数MITTS-1第PS-27页开始的“美国联邦所得税摘要”。有关投资于票据的加拿大联邦所得税后果的讨论,请参见招股说明书中的“重大所得税后果——加拿大税收”,并辅以此处“加拿大联邦所得税注意事项摘要”下的讨论。 |
额外风险因素
最近的行政命令可能会对你在票据上的投资产生不利影响。根据2020年11月发布的经修订的行政命令(“行政命令”),禁止美国人参与某些公司的公开交易证券的交易,这些公司被确定与中华人民共和国(“中国”)军事、情报和安全机构有关联。该禁令还涵盖此类证券的衍生或旨在提供此类证券的投资敞口的任何证券。
如果FTSE的任何成分证券的发行人®中国50指数在未来被指定为这样一家禁止上市公司,这类公司的价值可能会受到不利影响,或许会受到重大影响,从而对富时指数的表现产生不利影响®中国50指数。此外,在这些情况下,富时罗素已公开表示,他们预计将把任何此类被禁止公司的证券从富时中移除®中国50指数。富时指数组成的任何变动®中国50指数回应行政命令可能对富时指数表现造成不利影响®中国50指数,因此,市值,并回报,票据。
无法预测任何特定公司的证券是否会受到行政命令或任何类似行政行动或其他法律限制的约束,在这种情况下,无法保证FTSE Russell最终会将这些被禁止的证券从FTSE中移除®中国50指数。尽管我们、MLPF & S或美国银行目前都不认为票据受行政命令约束,但有可能扩大或修改行政命令以包括票据,或者如果FTSE的任何成分证券,票据可能成为行政命令的约束®中国50指数如此禁止,不会从富时中剔除®中国50指数。在这种情况下,票据的价值可能会受到不利影响,票据的交易或持有可能会成为美国法律所禁止的。如果您被迫在预定到期之前出售票据,您可能会遭受重大损失。
票据的其他条款
市场衡量业务日
以下定义将取代和取代产品补充权益指数MITTS-1中对“市场计量营业日”的定义。
“市场计量营业日”是指:
| (A) | 欧洲期货交易所(EURO StoXX50)的每®Index)、伦敦证券交易所(就FTSE®100指数)、东京证券交易所(关于日经平均指数)、瑞士六大交易所(关于瑞士市场指数®)、澳大利亚证券交易所(关于标普®/ASX 200指数),以及香港联合交易所(就富时®中国50指数)(或上述交易所的任何继任者)开放交易;和 | |
| (b) | Basket Components或其任何后继组件被计算并发布。 |
| 市场指数目标-期限证券® | TS-7 |
| 市场指数目标-期限证券® 与国际股票指数篮子挂钩,2030年7月到期 |
|
篮子
篮子旨在让投资者参与篮子价值从起始价值到结束价值的百分比变化。篮子组件在下面标题为“篮子组件”的部分中进行了描述。每个篮子组件将在定价日期被分配一个初始权重,如下表所示。
有关篮子价值计算的更多信息,请参见产品补充权益指数MITTS-1第PS-19页开始的标题为“MITTS的描述——篮子市场措施”的部分。
如果以2025年7月11日为定价日,对于每个篮子成分,初始成分权重、收盘水平、假设成分比和对篮子价值的初始贡献如下:
| 篮子组件 | 彭博 符号 |
初始 成分 重量 |
收盘水平(1)(2) | 假设 成分 比(1)(3) |
初始篮子 价值 贡献 |
|||||
| 欧元斯托克50®指数 | SX5E | 40.00% | 5,383.48 | 0.00743014 | 40.00 | |||||
| 富时®100指数 | UKX | 20.00% | 8,941.12 | 0.00223686 | 20.00 | |||||
| 日经平均指数 | NKY | 20.00% | 39,569.68 | 0.00050544 | 20.00 | |||||
| 瑞士市场指数® | SMI | 7.50% | 11,937.42 | 0.00062828 | 7.50 | |||||
| 标普®/ASX 200指数 | AS51 | 7.50% | 8,580.130 | 0.00087411 | 7.50 | |||||
| 富时®中国50指数 | XIN0I | 5.00% | 16,651.30 | 0.00030028 | 5.00 | |||||
| 起始值 | 100.00 |
| (1) | 每个篮子组件的实际收盘水平和由此产生的实际组件比率将在定价日确定,但如产品补充权益指数MITTS-1第PS-19页开始的标题为“MITTS的描述——篮子市场措施——确定每个篮子组件的组件比率”一节中更全面描述的调整,如果在定价日就任何篮子组件发生了市场扰乱事件,或由于特殊事件、发生、声明或其他。 |
| (2) | 这些是篮子成分在2025年7月11日的收盘水平。 |
| (3) | 每个假设成分比率等于相关篮子成分的初始成分权重(百分比)乘以100,然后除以该篮子成分在2025年7月11日的收盘水平并四舍五入到小数点后八位。 |
到期日估值期内的每个计算日,计算代理将通过(a)每个篮子成分在该日的收盘水平和(b)该篮子成分的成分比率的乘积相加,计算该篮子在该日的价值。篮子的期末值将是到期估值期间每个计算日的篮子平均值。如果任何篮子成分在预定计算日发生市场扰乱事件,则该篮子成分的收盘水平将按照产品补充权益指数MITTS-1第PS-21页题为“MITTS的描述——篮子市场措施——篮子的期末价值”一节中更全面的描述来确定。
| 市场指数目标-期限证券® | TS-8 |
| 市场指数目标-期限证券® 与国际股票指数篮子挂钩,2030年7月到期 |
|
虽然在定价日期之前不会存在篮子的实际历史信息,但下图列出了篮子在2015年1月1日至2025年7月11日期间的假设历史表现。该图表基于篮子成分的实际每日历史水平,基于篮子成分截至2014年12月31日的收盘水平的假设成分比率,以及截至该日期的篮子价值100.00。篮子上的这种假设历史数据并不一定表明篮子的未来表现或票据的价值可能是多少。篮子价值在下文所列任何期间的任何假设历史上升或下降趋势,均不表示篮子价值在票据期限内的任何时间或多或少可能增加或减少。
假设篮子的历史表现

| 市场指数目标-期限证券® | TS-9 |
| 市场指数目标-期限证券® 与国际股票指数篮子挂钩,2030年7月到期 |
|
篮子组件
本条款清单中包含的有关篮子组件的所有披露,包括但不限于其构成、计算方法以及其组件的变化,均来自公开来源。该信息反映了斯托克有限公司(“斯托克”)各自关于欧元斯托克50的政策,并可能因此而发生变化®指数(“SX5E”)、富时国际有限公司(“FTSE”)就富时®100指数(the“UKX”)和富时®中国50指数(“XIN0I”)、Nikkei Inc.(“Nikkei”)就日经平均指数(“NKY”)、日内瓦、苏黎世、SIX Group Ltd.、其某些子公司以及SIX Swiss Exchange(“SIX Exchange”)管理委员会就瑞士市场指数®(“SMI”)以及标普 Dow Jones Indices LLC(“浦发银行”)就标普®/ASX 200指数(“AS51”)(TOXX、FTSE、Nikkei、SPDJI和Six Exchange合称“指数发起者”)。指数主办人,其许可对篮子组件的版权和所有其他权利,没有义务继续发布,并且可以停止或暂停发布任何篮子组件。任何指数发起人停止发布篮子成分的后果在产品补充权益指数MITTS-1第PS-18页开始的题为“MITTS的描述——指数的终止”的部分中进行了讨论。我们、计算代理、MLPF & S或美国银行均不对任何篮子组件或任何后续指数的计算、维护或发布承担任何责任。
欧元斯托克50®指数
SX5E是由德意志交易所集团的全资子公司斯托克公司创建的。SX5E于1998年2月开始发布,基于1991年12月31日的初始指数水平为1,000。SX5E源自EURO TOXX总市场指数(简称“TMI”),涵盖8个欧元区国家的50只蓝筹股:比利时、芬兰、法国、德国、爱尔兰、意大利、荷兰、西班牙。SX5E由彭博社报道,股票代码为“SX5E”。
索引组成和维护
所代表的欧元区国家的股票按自由流通市值排名。最大的股票被添加到精选名单中,直到覆盖范围接近但仍低于对应的欧元斯托克TMI自由流通市值的60%,后者覆盖了所代表的欧元区国家95%的自由流通市值。如果排名次高的股票使绝对覆盖率接近60%,那么它也被加入到入选名单中。当前SX5E中的股票全部加入入选名单。然后对入选名单上的所有股票按自由流通市值进行排名,产生最终的指数入选名单。甄选名单上最大的40只股票;其余10只股票从排名在41至60之间的最大剩余当前股票中选出;如果入选股票数量仍在50只以下,则选出剩余最大的股票,直到有50只股票。欧元斯托克TMI的最低流动性标准也适用于SX5E组件的选择。
SX5E组件受制于10%的上限最高指数权重,该指标按季度应用。
SX5E的组成每年9月进行审查。审核截止日为8月最后一个交易日。
如下文所述,用于计算SX5E的每只成分股的自由流通量因子将按季度进行审查、计算和实施,并固定到下一个季度审查。
SX5E受“快速退出规则”约束。根据每月甄选名单排名(即持续每月)监测指数成分是否有任何变化。如果出现以下情况,SX5E将删除一个组件:(a)它在月度评选榜单上排名75或以下,(b)它在上个月的评选榜单上排名75或以下。不是指数成分的排名最高的股票将取代它。变更将于当月第五个交易日收盘时实施,并于下一交易日生效。
SX5E还受到“快速进入规则”的约束。最新入选名单上的所有股票和首次公开发行(“IPO”)股票将按季度进行快速加入审核。添加一只股票,如果(a)它符合2月底、5月、8月或11月生成的最新的斯托克蓝筹精选名单的资格,并且(b)它在这份精选名单上的排名在“较低缓冲”(排名1-25)之内。如果加入库存,它将取代SX5E中最小的组件库存。
SX5E也在持续审查中。对影响指数构成的公司行为(包括IPO、合并和接管、分拆、退市和破产)立即进行审查。任何改变都是根据企业行动的类型和影响的大小而宣布、实施和生效的。
一只删除的股票立即更换,以保持50只成份股的固定数量。如果某只股票在定期审查日期之间被删除,但仍是欧元股票指数TMI的组成部分,那么该股票将保留在SX5E中,直到下一次定期审查。
指数计算
SX5E使用“Laspeyres公式”计算,该公式针对固定的基数数量权重衡量成分股的总价格变化。指数水平的计算公式可表述如下:
| 指数= | 指数自由流通市值 | |
| 指数除数 |
“指数的自由流通市值”等于截至SX5E计算时每只成分股的价格、流通股数量、自由流通因子、加权上限因子和汇率从当地货币到指数货币的乘积之和。
| 市场指数目标-期限证券® | TS-10 |
| 市场指数目标-期限证券® 与国际股票指数篮子挂钩,2030年7月到期 |
|
SX5E还受制于一个除数,该除数进行调整,以保持指数水平在因公司行为而发生变化时的连续性,例如删除和增加股票、股票替代、股票股息和股票分割。
我们或我们的任何关联公司,包括销售代理,均不对SX5E或SX5E的任何继任者的计算、维护或发布,或任何错误、遗漏或中断承担任何责任。斯托克不保证SX5E或SX5E中包含的任何数据的准确性或完整性。对于SX5E的计算和传播过程中的任何错误、遗漏或中断,斯托克不承担任何责任。对于SX5E的计算和传播过程中出现的任何错误或遗漏,或在确定票据到期应付金额时应用SX5E的方式,斯托克公司不承担任何责任。
下图展示了SX5E在2015年1月1日至2025年7月11日期间的每日历史表现。我们从Bloomberg L.P.获得了这一历史数据。我们没有独立验证从Bloomberg L.P.获得的信息的准确性或完整性。2025年7月11日,SX5E的收盘水平为5383.48。
欧元斯托克50的历史表现®指数

这些关于SX5E的历史数据并不一定表明SX5E未来的表现,也不一定表明这些笔记的价值可能是多少。SX5E的水平在上述任何时期内的任何历史上升或下降趋势并不表明SX5E的水平在票据期限内的任何时间或多或少有可能增加或减少。
在投资这些笔记之前,您应该咨询SX5E级别的公开来源。
许可协议
我们与斯托克公司签订了一项协议,为我们和该协议中确定的我们的某些关联公司或子公司提供非排他性许可,并有权有偿使用由斯托克公司拥有和发布的与某些证券(包括票据)相关的SX5E。
除了SX5E和与票据相关使用的相关商标的许可外,斯托克及其许可人(“许可人”)与我们没有任何关系。
斯托克及其许可人不赞助、背书、销售或推广票据;建议任何人投资票据;对票据的时间、金额或定价承担任何责任或义务或作出任何决定;对票据的行政、管理或营销承担任何责任或义务;或在确定、组成或计算SX5E时考虑票据或票据所有者的需要或有任何义务这样做。
斯托克及其许可方将不承担与票据有关的任何责任。具体地说,斯托克及其许可人不就以下事项作出任何明示或暗示的保证,并否认任何和所有保证:票据、票据所有者或任何其他人在使用SX5E和SX5E中包含的数据方面将获得的结果;SX5E及其数据的准确性或完整性;以及SX5E及其数据的适销性和特定目的或用途的适用性。对于SX5E或其数据中的任何错误、遗漏或中断,斯托克及其许可方将不承担任何责任。在任何情况下,斯托克或其许可方都不会对任何利润损失或间接、惩罚性、特殊或后果性损害或损失承担责任,即使斯托克或其许可方知道这些情况可能发生。我们与斯托克公司之间的许可协议完全是为了我们和斯托克公司的利益,而不是为了票据所有者或任何其他第三方的利益。
| 市场指数目标-期限证券® | TS-11 |
| 市场指数目标-期限证券® 与国际股票指数篮子挂钩,2030年7月到期 |
|
富时指数®100指数
UKX是由富时罗素计算、发布和传播的市值加权指数。UKX旨在衡量通过在伦敦证券交易所集团有限公司(“伦敦证交所”)交易的规模和流动性筛选的100家最大的英国上市蓝筹股公司的综合表现。UKX于1984年1月3日发射,基期为1983年12月30日。UKX由彭博社报道,股票代码为“UKX”。
索引组成
只有金融行为监管局在其《上市规则》原始手册中定义的“溢价上市”的股票,才有资格被纳入UKX,这些股票已获准在伦敦证券交易所以英镑计价的价格在证券交易所电子交易服务(SETS)上进行交易。指数宇宙中的所有证券都被赋予国籍。只有获得英国国籍的公司才有资格被纳入UKX。
符合条件的证券在加入UKX之前需要通过以下筛选:
| · | 价格:为了确定企业的市场价值,必须有一个准确可靠的价格。 | |
| · | 最低投票权:要求公司在无限售条件股东手中拥有公司5%以上表决权。 | |
| · | 可投资性权重:UKX的成分股根据自由流通量和外国所有权限制(如适用于英国投资者)进行调整。自由流通量是使用可用的已公布信息计算的,四舍五入到小数点后12位。自由流通量在5%或以下的公司被排除在UKX之外。要获得纳入UKX的资格,如果发行公司是在英国注册成立的,证券的最低自由流通量必须为10%,如果是非在英国注册成立的,则必须为25%。然而,一家新公司可能会被初始纳入UKX,其自由流通量低于上述参数(前提是高于5%),其中自由流通量预计将在公司上市首日的12个月内满足最低要求。初始自由流通量为5%或以下的新公司没有资格被纳入UKX。 | |
| · | 流动性:各证券将于6月通过计算其日交易量的月度中位数,每年进行流动性测试。对于年度测试,流动性将从前一年5月的第一个工作日计算到当年4月的最后一个工作日。就每个月而言,每只证券的每日成交量计算为按月底自由流通量调整的当日已发行股份的百分比。然后将这些日值按降序排列,如果有奇数天数,则选择中间排名日的值,如果有偶数天数,则选择中间两个的平均值,取中位数: |
| o | 在年度指数审查前的十二个月中至少有十个月没有根据每月中位数成交至少0.025%的已发行股份(在应用任何可投资性加权后)的证券,将在下一次年度审查之前没有资格被纳入UKX。 | |
| o | 根据年度指数审查前十二个月中至少八个月的每月中位数(在应用任何可投资性权重后),现有成分股至少未成交其已发行股份的0.015%,将被移除,在下一次年度审查之前将没有资格被纳入UKX。 | |
| o | 没有十二个月交易记录的打新,复核时必须有最少二十天的交易记录。他们必须根据每月中位数(在应用任何可投资性权重后)每月至少成交0.025%的已发行股份,自溢价上市或英国国籍分配日(如果非英国注册成立)起按比例成交。 |
指数计算
UKX是一种算术加权指数,其中的权重是每家公司的市值。UKX的计算方法是UKX内所有公司的自由流通调整市值(或资本)的总和除以除数。在基日,除数计算为UKX成分股的市值之和除以初始指数值1000。该除数随后将根据UKX成分股的任何资本变化进行调整。为了防止在公司行为或成分发生变化时UKX出现中断,有必要对用于计算UKX的价格进行调整,以确保UKX在连续两个日期之间的变化仅反映市场变动,而不包括由于公司行为或成分变化的影响而产生的变化。这确保了指数价值在一段时间内保持可比性,并且UKX水平的变化正确地反映了权重与UKX相同的UKX成分投资组合的价值变化。富时罗素使用的调整是基于Paasche公式(也称为当前加权公式),该公式调整公司行动前一天的UKX除数,并计算公司行动发生次日从该调整后指数到该指数的变化。
指数维持
UKX在3月、6月、9月和12月根据审查月份第一个星期五之前的周二收盘数据按季度进行审查。有资格被纳入UKX的证券将包括受监测名单。在定期审议时,包括被监测名单在内的所有证券将按完全市值(即在应用可投资性权重之前)从大到小进行排名。涨到90就会插入一种证券第监测名单上的或以上,一只证券跌至111将被删除第或低于受监控名单。如果有资格在UKX中插入的公司数量多于有资格被删除的公司,将删除目前被纳入UKX的排名最低的成分,以确保在定期审查中插入和删除的公司数量相同。同样,如果有资格被删除的公司数量多于有资格被插入的公司,则将插入目前未被纳入UKX的排名最高的公司的证券,以匹配定期审查时被删除的公司数量。
| 市场指数目标-期限证券® | TS-12 |
| 市场指数目标-期限证券® 与国际股票指数篮子挂钩,2030年7月到期 |
|
如果UKX成分股计划在定期审查变更宣布后但尚未实施之前被删除,则选择排名最高的富时全股票成分股(目前不是UKX的成员)作为替代公司。但是,如果该替代公司已经被安排作为指标审查的一部分被添加,那么将选择排名第二高的公司作为替代。如果作为定期审查的一部分,被删除的公司已经将在UKX中被替换,它将被先前宣布为该指数的审查补充的最大公司所替换。也就是说,审核新增将提前,与季度内删除同步实施。
一只新证券(IPO)若满足资格标准且流动性筛选以外的筛选且其全部市值(即在应用任何可投资性加权之前)使用正式无条件交易首日的收盘价大于快速入场水平,则将在季度审查之外被添加到UKX中。Fast Entry Level是指公司完全市值,即在应用单个成分可投资性权重之前)必须在被监测名单中排名第75位或以上;而证券可投资市值(即在应用任何可投资性权重之后)必须达到或大于20亿英镑。UKX排名最低的证券将被选中移除。
下图显示了UKX在2015年1月1日至2025年7月11日期间的每日历史表现。我们从Bloomberg L.P.获得了这一历史数据。我们没有独立验证从Bloomberg L.P.获得的信息的准确性或完整性。2025年7月11日,UKX收盘水平为8,941.12。
富时指数的历史表现®100指数

UKX的这些历史数据并不一定表明UKX的未来表现或票据的价值可能是多少。UKX的水平在上述任何时期的任何历史上升或下降趋势,并不表明UKX的水平在票据期限内的任何时候或多或少有可能增加或减少。
在投资这些票据之前,您应该咨询公开的来源,了解UKX的水平。
许可协议
我们与FTSE签订了一项非排他性许可协议,据此,作为费用的交换,我们将被允许在包括票据在内的某些产品中使用由FTSE拥有和发布的UKX。
富时和伦敦证交所均未就一般投资结构性产品或特别投资于票据的可取性,或UKX追踪一般股票市场表现的能力,向票据所有者或任何公众作出任何明示或暗示的陈述或保证。富时和伦敦证交所与发行人的唯一关系是分别许可富时的某些商标和商号,而不考虑我们或票据。富时和伦敦证交所没有义务在确定、组成或计算UKX时考虑发行人或票据持有人的需要。富时和伦敦证交所均不负责也没有参与确定发行票据的时间、价格或数量,或参与确定或计算票据到期时到期的金额。富时和伦敦证交所均不对票据的管理、营销或交易承担任何义务或责任。
这些票据绝不是由富时或伦敦证交所以任何方式赞助、背书、出售或推广的,富时和伦敦证交所均不对使用UKX将获得的结果和/或上述成分在任何特定日期的任何特定时间所处的数字或其他情况作出任何明示或暗示的保证或陈述。UKX被编译和
| 市场指数目标-期限证券® | TS-13 |
| 市场指数目标-期限证券® 与国际股票指数篮子挂钩,2030年7月到期 |
|
由FTSE计算。然而,FTSE和LSE均不对任何人就UKX中的任何错误承担责任(无论是疏忽还是其他),并且FTSE和LSE均无义务就其中的任何错误通知任何人。
“富时®,”“FTSETM”,“FT-SE®”和“Footsie®”是伦敦证券交易所集团旗下公司的商标,由富时国际有限公司根据许可使用。“All-World”“All-Share”“All-Small”是富时国际有限公司的商标。
日经平均指数
日经平均指数,又称日经指数、日经指数或日经225,由日经指数计算、维护和发布。NKY由Bloomberg L.P.报道,代码为“NKY”。
NKY是一种调整后的价格权重指数,用于衡量某些日本股票的综合价格表现。NKY目前基于在东京证券交易所上市的225只标的股票,Inc.(“TSE”)代表了日本各行业的广泛领域。ETF、REITs、优先股、优先证券和跟踪股票被排除在外。NKY的所有225个部件都在TSE Prime市场上市。在TSE Prime市场上市的股票是TSE交投最活跃的股票之一。指数规则要求将流动性最强的75个问题(占NKY组成部分的三分之一)纳入NKY。
索引组成和维护
NKY每年审查两次,基准日期分别为1月底和7月,结果分别于4月初和10月生效。重新洗牌的成分股数量上限为3只。但临近定期审议时点因企业重组导致的成分变动不受此限制。新增市场流动性高的股票,删除流动性低的股票。同时,考虑到行业结构的变化,指数主办人考察了板块的平衡,在成分数方面。股票的流动性是通过“交易价值”和“以成交量计算的价格波动幅度”两个衡量标准来评估的,这两个衡量标准分别计算为(高价/低价)/成交量。在TSE Prime市场的股票中,选择流动性排名前450的股票组成“高流动性群体”。那些不在高流动性组别中的成分被删除。加入那些处于高流动性组别前75的非成分股。在流动性删除和增加后,删除和增加成分,以平衡各板块之间的成分数量,并使成分总数等于225。
纳入NKY的225家公司分为六个行业类别:科技、金融、消费品、材料、资本货物/其他以及运输和公用事业。六个板块大类划分为36个产业分类如下:
| · | 科技—医药、电机、汽车与汽车零部件、精密仪器、通信; |
| · | 金融—银行、其他金融服务、证券、保险; |
| · | 消费品—渔业、食品、零售、服务; |
| · | 材料—矿业、纺织服装、造纸纸浆、化工、石油、橡胶、玻璃陶瓷、钢铁、有色、贸易公司; |
| · | 资本货物/其他—建筑、机械、造船、运输设备、其他制造业、房地产;和 |
| · | 运输及公用事业—铁路及巴士、陆运、海运、空运、仓储、电力、燃气。 |
在450只“高流动性”股票中,属于任何一个板块的股票有一半被指定为该板块的“适当数量的股票”。然后将一个部门的实际成分数量与其“适当数量”进行比较,如果实际数量大于或小于“适当数量”,则根据需要删除或增加成分。拟删除的股票从流动性较低的股票中选择,拟添加的股票从流动性较高的股票中选择。按上述程序选出的股票,视情况为增、删候选股票,最终由指数主办人确定。
为了应对破产或合并等非同寻常的事态发展,NKY也会受到持续审查。由于以下任何原因而从TSE主要市场移除的任何股票将从NKY中移除:(i)被指定为“将被除牌的证券”或“处于戒备状态的证券”;(ii)因合并、股份交换或股份转让等公司重组而被除牌;或(iii)转移至主要市场以外的市场。此外,被指定为“被监管证券”的成份股在被指定时仍为成分股。不过,日经可能会在将此类股票保留为成分股非常不合适的情况下,以预先公告的方式取代此类成分股。一旦从NKY中删除某只股票,指数发起人一般会选择与被删除股票同时处于“高流动性组”和同一板块的最具流动性的股票作为替代。在事先知道删除的情况下,可以选择替换,作为定期审查过程的一部分或使用类似程序。
指数计算
NKY是一种调整后的价格加权指数(即股票在NKY中的权重基于其每股价格而不是发行人的总市值),其中成分股价格的总和,经假定的面值调整后,除以除数。
NKY的计算方法是:(i)将没有面值50日元的成份股转换为面值50日元;(ii)计算每个成份股的调整后股价之和;(iii)将该总和除以除数。日本多数上市公司的票面价值为50日元。纳入NKY的所有公司按面值50日元给予同等权重。股票
| 市场指数目标-期限证券® | TS-14 |
| 市场指数目标-期限证券® 与国际股票指数篮子挂钩,2030年7月到期 |
|
与不规则的票面价值被修改以反映50日元的票面价值。例如,面值500日元的股票,其股价会被10除以,得出50日元的面值价格。在TSE交易时间内,NKY的水平每5秒计算一次。
为了在非市场事件导致某些变化的情况下保持NKY的连续性,对除数进行了更改。影响成分股票的非市场因素,如股票的添加或删除、股票的替代、股票分割或向股东分配资产,计算NKY时使用的除数以旨在防止NKY水平的任何瞬时变化或不连续的方式进行调整。此后,除数保持在新的值,直到由于另一个变化而需要进一步调整。由于这种变化影响到任何成分股,除数的调整方式是,紧接这种变化后的所有股价的总和乘以适用的权重系数并除以新的除数(即紧接这种变化后的NKY水平)将等于紧接变化前的NKY水平。价格调整因素也可能会改变为大规模拆分和反向拆分,以保持其连续性。除数不变,只要调整后的价格在这种拆分前后不变。
下图显示了2015年1月1日至2025年7月11日期间NKY的每日历史表现。我们从Bloomberg L.P.获得了这一历史数据。我们没有独立验证从Bloomberg L.P.获得的信息的准确性或完整性。2025年7月11日,NKY收盘水平为39,569.68。
日经平均指数历史表现

NKY的这一历史数据并不一定表明NKY未来的表现或票据的价值可能是多少。NKY水平在上述任何时期的任何历史上升或下降趋势,并不表明NKY水平在票据期限内的任何时候或多或少有可能增加或减少。
在投资这些票据之前,您应该咨询公开来源,了解NKY的水平。
许可协议
我们将与日经达成协议,为我们提供非排他性许可,并有权使用NKY,以换取费用。NKY是日经新闻的知识产权。“日经”、“日经225”、“日经平均指数”和“日经平均指数”是日经指数的服务标记。日经新闻保留对NKY的所有权利,包括版权。
这些票据绝不是由日经新闻赞助、背书或推广的。日经新闻不对将获得的关于使用NKY的结果或NKY在任何特定日期所处的数字或其他情况作出任何明示或暗示的保证或陈述。NKY仅由日经新闻编制和计算。然而,日经不应就NKY中的任何错误向任何人承担责任,并且日经没有义务就其中的任何错误通知任何人,包括票据的买方或卖方。日经将有权更改NKY的详细信息并暂停公告。此外,日经新闻不保证计算NKY所使用的任何方法有任何修改或改变,也没有义务继续计算、出版和传播NKY。
| 市场指数目标-期限证券® | TS-15 |
| 市场指数目标-期限证券® 与国际股票指数篮子挂钩,2030年7月到期 |
|
瑞士市场指数®
SMI是六大交易所20只最大交易股票的价格回报浮动调整市值加权指数。The SMI was first launched with a base level of 1,500 as of June 30,1988。它由SIX Group Ltd.、其若干附属公司及SIX Exchange管理委员会(“管理委员会”)(就本节而言统称为“指数主办人”)计算、发布和维护。SMI由彭博报道,股票代码为“SMI”。
SIX交易所的管理委员会在所有与指数相关的事项上都得到咨询委员会(“指数委员会”)的支持,特别是在对指数规则的修改以及在既定审查和接受期之外的调整、增加和排除方面。指数委员会每年至少召开两次会议。
指数构成和选择标准
SMI旨在衡量SIX交易所蓝筹证券的表现。选择在SIX交易所交易的20只规模最大、流动性最强的股本证券作为指数成分,按其自由流通市值加权。每个指数成分的权重上限为18%。
每年9月的第三个星期五,在普通指数评审中根据6月的评选名单更新指数构成。以截止日期为3月31日、9月30日和12月31日,创建临时遴选名单。它是非常公司行为调整的基础。
组件选择规则。该指数的指数范围是瑞士绩效指数(简称“SPI”),它是瑞士整体股票市场的基准。指数的成分选择如下表所示:
| 指数 | 组件数量 | 直选 | 缓冲 |
| SMI | 20 | 等级1-18 | 等级19-22 |
该指数的20个成分从入选名单中选出。为减少指数波动,对排名19至22的候选人申请缓冲。前18名候选人直接入选指数。在排名第19至22位的候选人中,目前的组成部分优先于其他候选人选出。选择缓冲区外的新组件,直到达到20个组件为止。在不止一家证券交易所一级上市且在六大交易所产生的总成交额不到50%的证券需要满足额外的流动性标准,才能被选入该指数。为此,SPI的所有成分都是根据它们在过去12个月的订单簿成交额上的累计相对于指数宇宙的总成交额进行排名的。对于这份名单,只有在证券主要上市的情况下才考虑股票交易所的成交额。具有多个主要上市的证券必须在订单簿成交额列表的前18个组成部分中排名,才能被选入指数。证券一旦排名第23位或更低,就会被排除在指数之外。
指数维持
成分变化。在公司行为导致市场发生重大变化的情况下,六所管理委员会可应指数委员会的要求,决定一种证券在普通指数审查期之外被纳入指数,只要它明确履行指数选择规则。出于同样的原因,如果不再满足纳入指数的要求,则可以排除某个成分。作为一般规则,在3月、6月、9月和12月的第三个星期五收盘后,按季度在三个月期限后进行非常接受指数(例如,在11月底之前的第五个交易日或之前上市的证券,直到随后的3月才能被纳入)。在计划退市的情况下,如有可能,在3月、6月、9月或12月的第三个星期五的下一个普通指数审核日排除指数成分。但是,如果退市在普通指数审核之前就已经生效,则该成分在退市生效之日被排除在指数之外。如果指数成分因待完成的收购而不再符合留在指数中的标准,则可能会被提前移除。若某成分被排除在普通指数审查之外的指数之外,则将由尚未成为指数组成部分的遴选名单上排名最好的候选者取代,以保持20个成分。
股份数目及自由流通量。经审核的股份数量和自由流通量因子以审核名单传达给市场。它给出了每个指数成分的股票数量和自由流通因子。它作为计算指数成分自由流通市值的基础。自由流通因子是一个相对分数乘以股票数量,以确保在指数计算中只考虑可供交易的股票。自由流通系数仅计算有投票权的股份。达到或超过5%门槛且实盘持有的大额持股,从总市值中减去。
以下股份视为实盘持有:
| · | 受股东或锁定协议约束的一个人或一组人获得的股权。 |
| · | 根据公开已知的事实,由一个人或一群人获得的股权,对一家公司具有长期利益。 |
以上独立,以下各类机构持股视同自由浮动:
| · | 托管人提名人 |
| 市场指数目标-期限证券® | TS-16 |
| 市场指数目标-期限证券® 与国际股票指数篮子挂钩,2030年7月到期 |
|
| · | 受托公司 |
| · | 投资基金 |
| · | 养老基金 |
| · | 投资公司 |
SIX交易所自行决定对因活动区域或缺乏重要信息而无法明确分配的个人和人员群体进行分类。发行人有不同类别的股份上市的,这些在自由流通股计算中分别予以考虑。
指数计算
指数发起人使用“Laspeyres公式”计算SMI,该公式使用定义的证券发行数量的加权算术平均值。指标值的计算公式可表述如下:
| 指数= | 指数自由流通市值 |
| 除数 |
“指数的自由流通市值”等于最后支付价格、股票数量、自由流通因子的乘积之和,如果包括一只外国股票,则等于计算指数价值时所有成分股的当前瑞郎汇率。指数值是实时计算的,每当对成分股进行交易时就会更新。任何一个交易日任何指数成份股票价格不可用时,指数主办人将使用该成份股票的最后报告价格。在计算SMI时,仅使用来自SIX交易所电子订单簿的价格。
除数是一个用于计算SMI的技术数字,经调整后可反映由于公司事件导致的市场资本变化,并由指数发起人进行调整以反映公司事件,如指数规则中所述。
| 市场指数目标-期限证券® | TS-17 |
| 市场指数目标-期限证券® 与国际股票指数篮子挂钩,2030年7月到期 |
|
下图为2015年1月1日-2025年7月11日期间SMI的日度历史表现。我们从Bloomberg L.P.获得了这一历史数据。我们对从Bloomberg L.P.获得的信息的准确性或完整性没有进行独立验证。2025年7月11日,SMI收盘水平为11937.42。
瑞士市场指数历史表现®

SMI上的这些历史数据并不一定代表SMI未来的表现或票据的价值。在上述任何时期内,SMI水平的任何历史上升或下降趋势,并不表明SMI水平在票据期限内的任何时间或多或少可能增加或减少。
在投资票据之前,您应该查阅公开来源以了解SMI的水平。
许可协议
我们与SIX Exchange签订了一项协议,为我们和该协议中确定的某些关联公司或子公司提供非排他性许可,并有权有偿使用SIX Exchange拥有和发布的与某些证券(包括票据)相关的SMI。
SIX Exchange及其许可人(“许可人”)与我们并无任何关系,惟有就票据使用的SMI及相关商标的许可。
SIX Exchange及其许可人不对票据进行保荐、背书、销售或推广;推荐任何人投资于票据;对票据的时间、金额或定价承担任何责任或义务或作出任何决定;对票据的行政、管理或营销承担任何责任或义务;或在确定、组成或计算SMI时考虑票据或票据所有者的需要或有任何义务这样做。
SIX Exchange及其许可方将不承担与票据有关的任何责任。具体而言,SIX Exchange及其许可人不就以下事项作出任何明示或暗示的保证,并否认作出任何及所有保证:票据、票据所有者或任何其他人在使用SMI和包含在SMI中的数据方面将获得的结果;SMI及其数据的准确性或完整性;以及SMI及其数据的适销性和特定目的或用途的适用性。SIX Exchange及其许可方将对SMI或其数据中的任何错误、遗漏或中断不承担任何责任。在任何情况下,SIX Exchange或其许可方都不会对任何利润损失或间接、惩罚性、特殊或后果性损害或损失承担责任,即使SIX Exchange或其许可方知道这些情况可能发生。我们与SIX Exchange之间的许可协议将完全是为了我们和SIX Exchange的利益,而不是为了票据所有者或任何其他第三方的利益。
| 市场指数目标-期限证券® | TS-18 |
| 市场指数目标-期限证券® 与国际股票指数篮子挂钩,2030年7月到期 |
|
标普®/ASX 200指数
AS51旨在衡量澳大利亚证券交易所(“ASX”)上市的200只最大的符合指数标准的股票的表现。AS51由浦发银行主办、策划、发布、传播。据彭博社报道,AS51的代号为“AS51”。
索引组成
AS51根据全球行业分类标准(“GICS®”),为可复制、定制、以行业为重点的投资组合创建了统一的基本规则。它还可以对跨区域的部门和行业进行有意义的比较。
上市和维护标准
标普®/ASX指数委员会(就本节而言,为“指数委员会”)旨在设计一个高流动性和可交易的指数,其总市值足够大,足以接近其所捕获的细分市场,同时将股票数量保持在最低水平。市值和流动性均使用前六个月的数据进行评估。季度审查变更在3月、6月、9月和12月的第三个星期五生效。
指数添加的标准包括但不限于:
| · | 上市.只有在ASX上市的证券才被考虑纳入AS51; |
| · | 市值.股票纳入的市值标准是以一只证券过去六个月的日均市值为基础。股价历史(过去六个月,根据调整价格的公司行为进行了调整)、最新可发行股票和可投资权重因子(“IWF”)是计算的相关变量。IWF是一个变量,主要用于确定ASX上市证券的证券的可用流通量;和 |
| · | 流动性.只有定期交易的证券才有资格被纳入AS51。一只股票的流动性是相对于它的同行来衡量的。相对流动性计算如下: |
| 相对流动性= | 股票流动性中位数 |
| 市场流动性 |
哪里:
| o | 股票流动性中位数是每只股票的每日交易金额中位数除以前六个月的平均流通市值/指数权重调整后市值;以及 |
| o | 市场流动性是使用所有普通股指数中500家公司的股票流动性中位数的市值加权平均值确定的,该指数包括几乎所有在ASX上市的普通股。 |
股票必须有至少50%的相对流动性才能被纳入AS51和更高等级的指数。如果任何股票的相对流动性下降到50%阈值的一半以下,它就不符合资格,并在下一次再平衡时被移除。
| · | 合资格证券。普通股和股权优先股(不具有固定收益性质)必须按GICS分类。混合型股票,如提供保证固定回报的可转换股票、债券、认股权证和优先股,不符合条件。投资于证券组合的上市投资公司(LIC)和上市投资信托基金(LIT)不符合纳入指数的条件。股权和抵押REITs符合纳入条件。 |
季度内增加/删除。在重新平衡日期之间,AS51的新增通常只有在因索引删除而产生空缺时才会进行。指数加法是根据市场规模和流动性进行的。IPO或直接上市仅在出现适当空缺或由于重新平衡时才添加到AS51中,并受制于至少八周的经证明的流动性。对于交易量可观证明纳入指数是合理的非凡的大型发行,可能会有一个例外。由于收购、合并和分拆,或由于暂停或破产,可能会在指数再平衡日期之间发生删除。一旦有足够证据表明交易将完成,将做出从AS51中删除股票的决定。由于并购活动而被移除的股票将以现金要约价格从AS51中移除,仅用于现金要约。否则,采用市场上最优可得价格。
再平衡。AS51系列的再平衡定期发生。市值和流动性均使用前六个月的数据进行评估,以确定指数资格。股票和国际货币基金组织的更新也定期应用。重新平衡公告在3月、6月和12月的第一个星期五发布;因此,在这些审查中重新平衡生效之前,提供了两周的通知期。对于9月份的再平衡,六个月的交易数据所使用的参考日期是再平衡前一个月的第二个至上周五。
指数委员会可能会因包括在预定的再平衡日期发生的市场假期等原因而更改特定再平衡的日期。任何此类变化将在可能的情况下提前适当通知予以宣布。
缓冲区。为了限制指数成交额水平,符合条件的非成分证券只有在另一只当前成分股由于足够低的排名和/或流动性而被排除在外时,才会被考虑纳入指数,基于流通调整市值。潜在的指数纳入和排除需要在股票相对于股票的排名方面满足缓冲要求
| 市场指数目标-期限证券® | TS-19 |
| 市场指数目标-期限证券® 与国际股票指数篮子挂钩,2030年7月到期 |
|
AS51。以下缓冲旨在限制每个季度再平衡时可能发生的指数换手水平,最大限度地提高效率并限制与持有指数投资组合相关的成本。
加入AS51的Rank Buffer是179第或更高,并且删除,221St或更低。
这一浮动调整市值排名缓冲作为指数委员会用来得出AS51任何潜在成分变化的指导方针。然而,指数委员会拥有完全的酌情权,可在情况需要时绕过这些规则。
频率。AS51成分股每季度进行再平衡,以确保充足的市值和流动性。季度再平衡变化在3月、6月、9月、12月第三个星期五收市后生效。
分享更新。所有指数成分股的股票数量每季度更新一次,并四舍五入到最接近的千(‘000)。外国注册证券的股票更新将在每个季度再平衡时进行。只有当CDI的三个月平均数或在发行人保荐登记册的澳大利亚分支(如有提供)和CHESS中持有的证券总数(在再平衡基准日)与当前使用的股份数量有5%或更多的差异时,才会对已发行股份数量进行更新。
指数计算
AS51是使用基础加权汇总方法计算的,因此AS51的水平反映了所有成分股相对于特定基期的总市值。一家公司的总市值是通过将其股票价格乘以流通股(IWF)调整后的可用股数确定的。索引数字用于表示此计算的结果,以便使该值更易于使用并随时间跟踪。
股票在AS51中的权重由该股票的流通调整市值决定。发行在外的股票数量减少,以将密切持有的股票排除在指数计算之外,因为投资者无法获得此类股票。AS51计算一个可投资权重因子(“IWF”),它是包含在该指数中的总流通股的百分比。AS51中的所有成分股都被分配了一个IWF。一家公司的IWF最低必须为0.3,才有资格被纳入指数,但是对于正在进行的指数成员资格,不需要达到或超过该水平的IWF。
在任何一天,指数值是其成分股的总可用市值和除数的商。指数价值的连续性是通过调整基准日后所有成分股股本变动的除数来保持的。这包括对AS51的增删、供股、股票回购和发行、分拆以及可用性的调整。除数的时间序列实际上是影响指数基础资金的所有变化的时间汇总。除数进行调整,使得基础资本发生变化前一瞬间的指数值等于紧随该变化后一瞬间的指数值。该除数将进行调整,以考虑AS51新增或删除以及某些公司行为,例如特别现金股息、某些股票股息、供股、新股发行、减资和合并。
指数治理
AS51由指数委员会维护。浦发银行担任指数委员会主席,该委员会由代表浦发银行和ASX的五名有投票权的成员组成。
指数委员会作出的决定包括与指数建立和维护有关的所有事项。指数委员会定期举行会议,审查市场发展,并根据需要召开会议,讨论重大的公司行动。指数委员会全权负责决定与方法、维护、成分选择和指数程序有关的所有事项。指数委员会根据所有可公开获得的信息做出决定,并对讨论进行保密,以避免对市场交易产生任何不必要的影响。
| 市场指数目标-期限证券® | TS-20 |
| 市场指数目标-期限证券® 与国际股票指数篮子挂钩,2030年7月到期 |
|
下图展示了AS51在2015年1月1日至2025年7月11日期间的每日历史表现。我们从Bloomberg L.P.获得了这一历史数据。我们没有独立验证从Bloomberg L.P.获得的信息的准确性或完整性。2025年7月11日,AS51的收盘水平为8,58 0.130。
标普历史表现®/ASX 200指数

AS51上的这些历史数据并不一定表明AS51未来的表现或票据的价值可能是多少。AS51水平在上述任何时期的任何历史上升或下降趋势均不表明AS51水平在票据期限内的任何时间或多或少可能增加或减少。
在投资这些票据之前,您应该咨询公开的来源,了解AS51的水平。
许可协议
我们已订立一项非排他性许可协议,规定向我们分许可使用AS51与发行票据有关的权利,以换取费用。
AS51是浦项制铁的产品,已经授权给我们使用。标准普尔®和标普®是Standard & Poor’s Financial Services LLC的注册商标;这些商标已被SPDJI许可使用,并被我们分许可用于特定目的。这些票据并非由浦发银行、标准普尔金融服务有限责任公司、其各自的任何关联公司(统称“标普道琼斯指数”)赞助、背书、销售或推广。对于一般投资于证券或特别投资于票据的可取性或AS51跟踪一般市场表现的能力,标普道琼斯指数不向票据持有人或任何公众成员作出任何明示或暗示的陈述或保证。对于AS51,标普道琼斯指数与我们的唯一关系是AS51以及标普道琼斯指数或其许可人的某些商标、服务标记和/或商号的许可。AS51是由标普道琼斯指数确定、组成和计算的,不考虑我们或票据。标普道琼斯指数公司没有义务在确定、编制或计算AS51时考虑我们的需要或票据持有人的需要。标普道琼斯指数公司不负责也没有参与票据价格、金额的确定或票据发行或出售的时间安排,或参与票据转换为现金的等式的确定或计算。标普道琼斯指数公司在票据的管理、营销或交易方面没有义务或责任。无法保证基于AS51的投资产品将准确跟踪AS51的表现或提供积极的投资回报。浦发银行不是投资顾问。将证券纳入AS51并非标普道琼斯指数推荐的购买、出售或持有此类证券的建议,也不被视为投资建议。
标普道琼斯指数不保证AS51或与之相关的任何数据或任何通信的充分性、准确性、及时性和/或完整性,包括但不限于与之相关的口头或书面通信(包括电子通信)。标普 DOW JONES INCES不应因其中的任何错误、遗漏或延误而遭受任何损害或责任。标普 DOW JONES INCES未作出任何明示或暗示的保证,并明确否认所有保证、可营利性或适当性以用于特定目的或用途,或导致美国、票据持有人或任何其他人或实体因使用AS51或就任何
| 市场指数目标-期限证券® | TS-21 |
| 市场指数目标-期限证券® 与国际股票指数篮子挂钩,2030年7月到期 |
|
数据与此相关。在不限制上述任何规定的情况下,在任何情况下,标普道琼斯指数均不得对任何间接的、特殊的、偶发的、惩罚性的或后果性损害负责,包括但不限于利润损失、交易损失、时间损失或善意,即使他们已被告知此类损害的可能性,无论是在合同、侵权、严格赔偿标普道琼斯指数与美国之间没有任何协议或安排的第三方受益人,除了标普道琼斯指数的许可方。
富时指数®中国50指数
XIN0I此前被称为“富时中国25指数”。2014年9月22日,富时罗素将XIN0I扩容为50股指,并由富时中国25指数更名为富时®中国50指数。XIN0I是由富时罗素计算、发布和传播的股票指数,旨在代表可供国际投资者使用的中国大陆市场表现。XIN0I目前以规模最大、流动性最好的50只中国股票(称为“H股”、“P芯片”和“红筹”)为基础,在港交所上市交易。目前,只有“H”股、“红筹”股和“P筹”股符合纳入XIN0I的条件。「 H 」股是指在中华人民共和国注册成立并经中国政府提名于香港联交所上市及买卖的公司的证券。“红筹”股份是指在中华人民共和国境外注册成立的公司的证券,这些公司实质上由中国政府直接或间接拥有,其大部分收入或资产来自中国大陆,并在香港联交所上市。“P芯”股份是指在中华人民共和国境外注册成立的公司的证券,这些公司由位于中国大陆的个人控制,其大部分收入或资产来自中国大陆,并在香港联交所上市。
富时指数®中国50指数以港元和美元计算和公布。富时指数®彭博资讯报道中国50指数(以港元计),股票代码为“XIN0I”。
上市和维护标准
所有类别的已发行股权都有资格被纳入XIN0I,但受到某些限制,但是,每个成分股还必须是FTSE的成分股®全球指数。富时指数®All-World Index是一种市值加权指数,旨在代表来自FTSE的大中型股的表现®Global Equity Index Series and covering about 90.00% to 95.00% of the world's investable market capitalization。业务为持有股权和其他投资(例如投资信托)的公司不符合纳入条件。可转换优先股和贷款股票在转换前被排除在外。
证券必须具有足够的流动性才能进行交易,因此,除其他外,以下标准用于确保将非流动性证券排除在外:
| · | 价格。要有一个准确可靠的价格,才能决定企业的市场价值。 | |
| · | 流动性.每只证券在3月和9月每半年进行一次流动性测试,方法是计算其作为富时指数一部分的每日交易量的月度中值®All-World Index Review。在计算某一特定月份任何证券的日交易量的中位数时,该月份最少必须存在5个交易日,否则该月份将被排除在测试之外。 |
就每个月而言,每只证券的每日成交量以经审核截止日自由流通量调整后的当日已发行股份的百分比计算。然后将这些日值按降序排列,如果有奇数天数,则选择中间排名日的值,如果有偶数天数,则选择中间两个的平均值,从而取中位数。
交易量为零的每日总量被纳入排名;因此,一个月内超过一半的天数未能交易的证券,该月的交易量中位数将为零。
任何期间暂停将不包括在测试中。
流动性测试将在测试期不足12个月的情况下按比例应用:
| i. | 根据全面市场审查前十二个月中的十个月的每月日交易量中位数计算,未成交至少0.05%的已发行股份(在应用任何自由流通股加权后)的非成分股,将不符合纳入XIN0I的资格。 | |
| ii. | 根据在全面市场审查前的十二个月中至少八个月的每月每日成交量中位数计算,未成交至少0.04%的已发行股份(在应用任何自由流通盘权重后)的现有成分将从XIN0I中剔除。 | |
| iii. | 没有十二个月交易记录的新发行在审核时必须有至少三个月的交易记录。自上市以来,它们必须根据每月每日交易量的中位数,按比例成交至少0.05%的自由流通股调整后股份。在测试流动性时,将使用截至测试期间最后一个日期的自由流通权重计算该期间的全部。这一规则将不适用于作为富时指数一部分的快速进入纳入项下新增的问题®All-World Index Review。 |
富时罗素全权酌情决定,上述百分比数字可能会在3月和9月的审查中最多调整0.01%,以便在富时罗素看来,XIN0I更好地反映该地区流动性可投资市场。这一酌处权可能仅在全市场范围内行使,不得适用于个别证券。
| 市场指数目标-期限证券® | TS-22 |
| 市场指数目标-期限证券® 与国际股票指数篮子挂钩,2030年7月到期 |
|
在FTSE的3月和9月审查中®All-World Index,新上市公司将按比例评估其流动性。
| · | 新问题.不符合早期进入者资格的新发行将有资格在富时全球指数的3月和9月审查中被纳入,条件是自正式无条件交易开始以来,在该审查日期之前至少三个交易月,并且自上市以来按比例按每月每日交易量中位数计算的已发行自由流通股调整后股份的至少0.05%的成交额。 |
纳入早期入场将不需要最低交易记录。
XIN0I与富时罗素的其他指数一样,由一个独立的咨询委员会——富时罗素亚太区域股票咨询委员会管理,该委员会确保XIN0I按照其公布的基本规则运作,并确保规则与XIN0I保持相关性。富时罗素亚太区域股票咨询委员会负责承担XIN0I的审核工作,并批准成分股的变更。
指数计算
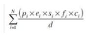
XIN0I采用富时罗素自由流通指数计算方法进行计算。XIN0I使用以下公式计算:

哪里:
“N”为XIN0I证券数量;
“PI”是成分证券“i”的最新交易价(或XIN0I前一日收盘时的价格);
“ei”是将证券币种转换为XIN0I基础货币所需的汇率;
“si”是FTSE用于该证券的已发行股份数量;
“fi”是FTSE公布的可投资性加权因子,适用于此类证券对其权重的所有修正,表示为0到1之间的数字,其中1代表100.00%的自由流通量;
“ci”是FTSE发布的上限因子,用于应用于一种证券,以在XIN0I中对该证券进行正确加权;而
“d”是除数,这一数字代表XIN0I在基准日期的已发行股本总额,该数字可能会进行调整,以允许在不扭曲XIN0I的情况下对个别证券的已发行股本进行变动。
封顶因子的作用是将任何单个公司的权重限制为不超过XIN0I的9.00%,并将所有权重大于4.50%的公司的总权重限制为不超过XIN0I的38.00%。
XIN0I对有当地证券交易所报价的证券采用实际交易价格。
自由流通量限制是使用可用的已公布信息计算的。自由流通盘在5.00%或以下的公司被排除在XIN0I之外。6月,无论规模大小,都将更新成分股的自由流通量。没有应用缓冲区。自由流通量的季度更新将在3月、6月、9月和12月的第三个星期五收盘后应用。公司活动导致的自由流通量变化将不受上文详述的缓冲限制,并将根据活动实施。
XIN0I将定期审查自由流通量的变化。这些评论将与XIN0I的季度评论相吻合。实施任何变更将发生在3月、6月、9月和12月的第三个星期五收盘时。
如有必要,还将审查和调整一个成分的自由流通量:
| · | 通过识别有必要改变自由流通权重的信息; | |
| · | 在公司活动之后;或 | |
| · | 锁定条款到期。 |
如果企业事件包括影响XIN0I的企业行动,自由流通量的任何变化将与企业行动同时实施。
外国所有权限制,如有,将在计算实际自由流通量限制后适用。富时的方法考虑了对外国人持有公司股权的限制,这些限制是由政府或监管机构实施的,例如对国防和电信等战略敏感的工业部门,或者在公司章程中明确规定的情况。如果存在外资所有权限制对外资所有权造成的限制比计算的公司自由流通量更具限制性,则为了计算公司的可投资性权重,使用精确的外资所有权限制来代替自由流通量。如果外资所有权限制的限制性较小或等于自由流通股限制,则适用自由流通股限制,但须遵守上述规定。
公司发行的股票部分缴款或零缴款且赎回日期已确定且已知的,为计算其市值,将对市场价格进行调整,以包括所有此类赎回(即全额缴款价格)。
| 市场指数目标-期限证券® | TS-23 |
| 市场指数目标-期限证券® 与国际股票指数篮子挂钩,2030年7月到期 |
|
定期审查成分
XIN0I成分的季度审查在3月、6月、9月和12月进行。将使用2月、5月、8月和11月第三个周五之后的周一收盘时的数据对成分股进行审查。凡中国或香港在第三个星期五之后的星期一有市场假期,将使用两个市场均开放的第三个星期五之后的星期一之前的最后一个交易日的收盘时间。任何成分变动将于3月、6月、9月及12月第三个星期五收市后实施。
在季度审查中,XIN0I的成分股使用截至3月、6月、9月和12月第二个星期五收盘时根据企业行为调整的价格设置上限。封顶在3月、6月、9月和12月的第三个星期五收市后根据复核月份第三个星期五后的下一个交易日的成分股、已发行股份和自由流通股实施。
季度变更在3月、6月、9月和12月的第一个星期五之前的星期三营业结束后发布,以便在实施前向XIN0I的用户提供有关变更的充分通知。
经审查,XIN0I的所有成分都必须是FTSE的现有或待定成分®All-World Index,即审查将考虑到FTSE的任何成分变化®FTSE公布的All-World Index,因此将在这些变更实施日期之前进行。
当符合条件的公司按完全市值排名时(在应用任何可投资权重之前),如果公司上升到第40位或以上,将在定期审议时插入XIN0I。
XIN0I中的公司在符合条件的公司按完全市值排名时(在应用任何可投资性权重之前),如果跌至第61位或以下,则在定期审议时删除。
XIN0I将保持恒定数量的成分。凡有资格在XIN0I中插入的公司多于有资格被删除的公司,将删除目前在XIN0I中包含的排名最低的成分,以确保在定期审议时插入和删除的公司数量相同。同样,如果符合删除条件的公司数量多于符合插入条件的公司,则将插入目前未被纳入XIN0I的排名最高的公司的证券,以匹配定期审议时被删除的公司数量。
| 市场指数目标-期限证券® | TS-24 |
| 市场指数目标-期限证券® 与国际股票指数篮子挂钩,2030年7月到期 |
|
下图展示了XIN0I在2015年1月1日至2025年7月11日期间的每日历史表现。我们从Bloomberg L.P.获得了这一历史数据。我们没有独立验证从Bloomberg L.P.获得的信息的准确性或完整性。2025年7月11日,XIN0I的收盘水平为16651.30。
富时指数的历史表现®中国50指数

这些关于XIN0I的历史数据并不一定表明XIN0I未来的表现或票据的价值可能是多少。XIN0I的水平在上述任何时期的任何历史上升或下降趋势并不表明XIN0I的水平在票据期限内的任何时间或多或少可能增加或减少。
在投资这些票据之前,您应该咨询公开的来源,了解XIN0I的水平。
许可协议
我们将与FTSE签订非排他性许可协议,据此,我们和我们的关联公司和子公司将被允许使用FTSE拥有和发行的XIN0I,用于某些产品,包括票据。
FTSE和LSE均未就一般投资于结构性产品或特别投资于票据的可取性,或XIN0I跟踪一般股票市场表现的能力,向票据所有者或任何公众作出任何明示或暗示的陈述或保证。FTSE和LSE与我们的唯一关系是分别许可FTSE的某些商标和商号,而不考虑我们或票据。富时和伦敦证交所没有义务在确定、组成或计算XIN0I时考虑到美国或票据持有人的需要。富时和伦敦证交所均不负责也没有参与确定将发行的票据的时间、价格或数量,或参与确定或计算票据到期时的到期金额。富时和伦敦证交所均不对票据的管理、营销或交易承担任何义务或责任。
这些票据绝不是由FTSE或LSE以任何方式赞助、背书、出售或推广的,FTSE和LSE均不对使用XIN0I将获得的结果和/或上述成分在任何特定日期的任何特定时间所处的数字或其他情况作出任何明示或暗示的索赔、预测、保证或陈述,或XIN0I是否适合与票据有关的投放目的。XIN0I由富时编制计算。然而,FTSE和LSE均不对任何人就XIN0I中的任何错误承担责任(无论是疏忽还是其他),并且FTSE和LSE均无义务将其中的任何错误告知任何人。
“富时®,”和“富时TM,”是伦敦证券交易所集团公司的商标,由富时国际有限公司根据许可使用。“All-World”“All-Share”“All-Small”是富时国际有限公司的商标。
| 市场指数目标-期限证券® | TS-25 |
| 市场指数目标-期限证券® 与国际股票指数篮子挂钩,2030年7月到期 |
|
分配计划的补充
根据我们与美国银行的分销协议,美国银行将按本条款清单封面所示的公开发行价格(减去所示承销折扣)作为本金向我们购买票据。MLPF & S将反过来从美国银行购买票据以进行转售,它将获得与票据销售有关的销售特许权,金额不超过本条款清单封面所载承销折扣的全部金额。
我们将向美国银行的关联公司因就本次发行提供某些服务而拥有所有权权益的经纪交易商支付费用,这将降低票据对您的经济条款。
我们可能会在定价日期后一个工作日以上的日期在纽约州纽约州交付票据。根据1934年《证券交易法》第15c6-1条,二级市场的交易一般要求在一个工作日内结算,除非任何此类交易的当事人另有明确约定。因此,如果票据的初始结算发生在定价日期后的一个工作日以上,则希望在原始发行日期前一个工作日以上交易票据的购买者将被要求指定替代结算安排,以防止结算失败。
这些票据将不会在任何证券交易所上市。在最初的票据发售中,票据将以最低100个单位的投资金额出售。如果您下单购买票据,则表示您同意MLPF & S和/或其关联公司之一作为委托人为您的账户进行交易。
MLPF & S和美国银行可能会回购和转售票据,回购和转售的价格与当时的市场价格相关或按协议价格进行,这些价格将包括MLPF & S和美国银行的交易佣金和加价或减价。MLPF & S和BOFAS可在这些做市交易中担任委托人或代理人;但是,两者均无义务从事任何此类交易。MLPF & S和美国银行可酌情在票据发行后的短暂、未确定的初始期间内,以可能超过票据初始估计价值的价格在二级市场上提出购买票据。MLPF & S或BOFAS为票据提供的任何价格将基于当时的市场条件和其他考虑,包括篮子的表现和票据的剩余期限。然而,我们、MLPF & S、美国银行或我们各自的任何关联公司均无义务以任何价格或任何时间购买贵公司的票据,我们无法向您保证,我们、MLPF & S、美国银行或我们各自的任何关联公司将以等于或超过票据初始估计价值的价格购买贵公司的票据。
贵国账户报表上显示的票据价值将基于美国银行对票据价值的估计,如果美国银行或其其他关联公司要在票据中做市,它没有义务这样做。这一估计将基于美国银行根据当时的市场状况可能为票据支付的价格,以及如上所述的其他考虑,并将包括交易成本。在某些时候,这一价格可能高于或低于票据的初始估计价值。
与这些要约或销售有关的票据招股说明书的分发将完全是为了向投资者提供就其首次发售向投资者提供的票据条款的描述。二级市场投资者不应、也不会被授权依赖票据招股说明书获取有关CIBC的信息或用于前一句所述以外的任何目的。
如本条款清单封面所述,投资者的家庭一般将包括由以下任何一方持有的账户,这些账户由MLPF & S酌情确定,并根据MLPF & S当时可获得的信息以善意行事:
| · | 投资者的配偶(含一名境内伴侣)、兄弟姐妹、父母、祖父母、配偶的父母、子女、孙子女,但不包括阿姨、叔叔、堂兄弟姐妹、侄女、侄子或个人投资者不在其直接或直接以上或以下的任何其他家庭关系的账户; |
| · | 家庭投资工具,包括基金会、有限合伙企业和个人控股公司,但前提是该工具的受益所有人仅由上述投资者或投资者家庭成员组成;和 |
| · | 信托的设保人和/或受益人仅由上述投资者或投资者家庭成员组成的信托;条件是,信托购买票据一般不能与受托人个人账户进行的任何购买合并。 |
退休账户中的购买将不被视为个人投资者个人或其他非退休账户的同一家庭的一部分,但个人退休账户(“IRAs”)、简化员工养老金计划(“SEPs”)、员工储蓄激励匹配计划(“SIMPLE”)以及单一参与者或仅所有者账户(即除其配偶外没有员工的个体经营者、企业主或合伙人持有的退休账户)除外。
如果您对这些规定适用于您的具体情况有任何疑问或认为您符合条件,请联系您的美林财务顾问。
| 市场指数目标-期限证券® | TS-26 |
| 市场指数目标-期限证券® 与国际股票指数篮子挂钩,2030年7月到期 |
|
构建笔记
这些票据是我们的债务证券,其回报与篮子的表现挂钩。正如我们所有的债务证券,包括我们的市场挂钩票据的情况一样,票据的经济条款反映了我们在定价时的实际或感知的信誉。我们在与市场挂钩的票据定价中使用的内部资金利率通常低于我们在发行具有可比期限的常规固定利率债务证券时支付的利率。这种差异是基于(其中包括)我们对票据的融资价值的看法,以及与我们传统的固定利率债务的这些成本相比,票据的发行、运营和持续负债管理成本更高。这种通常相对较低的内部资金利率反映在票据的经济条款中,以及与市场挂钩票据相关的费用和收费,通常会导致票据在定价日的初始估计价值低于其公开发行价格。
到期时,我们需要向票据持有人支付赎回金额,这将根据篮子的表现和每单位本金10美元计算。为履行这些付款义务,在我们发行票据时,我们可能会选择与美国银行或其关联公司之一订立某些对冲安排(其中可能包括看涨期权、看跌期权或其他衍生工具)。这些对冲安排的条款是通过征求市场参与者的出价确定的,包括美国银行及其关联公司,并考虑了许多因素,包括我们的信誉、利率变动、篮子组成部分的波动性、票据的期限和对冲安排的期限。票据的经济条款及其初步估计价值部分取决于这些对冲安排的条款。
美国银行已告知我们,对冲安排将包括每单位约0.05美元的对冲相关费用,反映出这些交易将记入美国银行的估计利润。由于对冲带来风险,并可能受到不可预测的市场力量的影响,这些对冲安排带来的额外利润和损失可能由美国银行或任何第三方对冲商实现。
如需更多信息,请参阅产品补充权益指数MITTS-1第PS-7页开始的“风险因素——估值和市场相关风险”和招股说明书补充第S-14页的“收益用途”。
加拿大联邦所得税注意事项摘要
在我们的加拿大税务顾问Blake,Cassels & Graydon LLP看来,以下摘要描述了根据《所得税法》(加拿大)及其条例(“加拿大税法”)在本协议日期普遍适用于根据本条款清单获得票据实益所有权的购买者的主要加拿大联邦所得税考虑因素,并且为《加拿大税法》的目的和在所有相关时间:(a)既不是加拿大居民,也不被视为加拿大居民;(b)与CIBC进行公平交易及买方向其处置票据的任何加拿大境内的受让人居民(或被视为居民);(c)不使用或持有票据,也不被视为在加拿大开展业务或在此过程中使用或持有票据;(d)有权收取票据上支付的所有款项(包括任何利息和本金);(e)不是a,并与任何,公平交易,就《加拿大税法》中的薄资本化规则而言,CIBC的“特定股东”;(f)不是CIBC或买方处置、贷款或以其他方式转让票据的任何加拿大受让人居民(或被视为居民)所针对的实体,也不是就此类受让人而言的“特定实体”,在每种情况下,就下文定义的混合错配规则而言(“非居民持有人”)。本摘要不讨论适用于在加拿大和其他地方开展业务的非居民保险公司的特殊规则。
本摘要假定,此处描述的已支付或应付给持有人的任何金额都不会是“混合错配安排”的扣除部分,根据该安排,付款产生于《加拿大税法》中关于“混合错配安排”(“混合错配规则”)的规则含义内。投资者应注意,混合错配规则高度复杂,其解释和适用仍存在重大不确定性。
本摘要是对随附招股说明书中“重大所得税后果——加拿大税收”项下与非居民持有人拥有票据相关的重大加拿大联邦所得税考虑因素的描述的补充,应与该描述一起阅读,非居民持有人也应仔细阅读该描述。
本摘要仅为一般性质,并非旨在,也不应被解释为向任何特定非居民持有人提供法律或税务建议。建议非居民持有人根据自己的具体情况咨询自己的税务顾问。
基于加拿大税务顾问对加拿大税务局行政政策的理解,并考虑到票据的条款,票据的应付利息不应被视为《加拿大税法》中定义的“参与债务利息”,因此,非居民持有人不应就CIBC在票据上支付或贷记或被视为已支付或贷记的金额作为、由于或代替支付或满足利息而缴纳加拿大非居民预扣税。
非居民持有人应咨询其自己的顾问,了解为《加拿大税法》的目的,将票据处置给与其不进行公平交易的人对其造成的后果。
| 市场指数目标-期限证券® | TS-27 |
| 市场指数目标-期限证券® 与国际股票指数篮子挂钩,2030年7月到期 |
|
美国联邦所得税后果汇总
您应该在票据中考虑投资的美国联邦所得税后果,包括以下内容:
| · | 不存在直接涉及票据定性的法定、司法、行政机关。 |
| · | 我们打算采取的立场是,这些票据将被视为美国联邦所得税目的的“或有支付债务工具”,根据“非或有债券法”征税。无法保证美国国税局或任何法院会同意这种定性和税务处理。 |
| · | 根据这种对票据的定性和税务处理,美国持有人将被要求根据票据的“可比收益率”和“预计付款时间表”报告原始发行折扣(“OID”)或利息收入,而不考虑票据上收到的现金(如果有的话)。 |
| · | 下表基于假设的预计付款时间表(包括假设的赎回金额)和假设的可比收益率等于每年4.66%(每年复合)。假设可比收益率是我们目前根据截至本条款清单日期的市场情况对可比收益率的估计。它是由我们确定的,目的是说明《守则》和财政部条例对票据的适用,就好像票据已于2025年7月31日发行并计划于2030年7月26日到期一样。这一应计税表是基于每10美元本金票据的假设预计付款时间表,其中将包括到期时单笔付款12.55 13美元。下表仅供说明之用,我们对实际赎回金额不作任何表述或预测。实际的“预计付款时间表”将在定价日完成,并包含在最终条款清单中。 |
| 应计期 | 利息视为 应计票据 应计期内每单位 |
视为拥有的权益总额 截至年底的应计票据 每单位应计期 |
| 2025年7月31日至2025年12月31日 | $0.1955 | $0.1955 |
| 2026年1月1日至2026年12月31日 | $0.4751 | $0.6706 |
| 2027年1月1日至2027年12月31日 | $0.4972 | $1.1678 |
| 2028年1月1日至2028年12月29日 | $0.5204 | $1.6882 |
| 2029年1月1日至2029年12月29日 | $0.5447 | $2.2329 |
| 2030年1月1日至2030年7月26日 | $0.3184 | $2.5513 |
假设预计赎回金额=每单位票据12.55 13美元。
| · | 在票据到期前出售、交换或报废时,美国持有人一般会确认应税收益或损失,等于出售、交换或报废实现的金额与票据中持有人的计税基础之间的差额。美国持有人一般会将任何收益视为普通利息收入,将任何损失视为普通损失,最高可达先前应计的OID金额,然后视为资本损失。在到期时,(i)如果实际赎回金额超过预计赎回金额,美国持有人必须包括利息收入等超额部分,或(ii)如果预计赎回金额超过实际赎回金额,美国持有人通常会首先将此种超额部分视为对该纳税年度先前应计OID的抵消,然后在所有先前OID包含的范围内视为普通损失,然后再将其视为资本损失。 |
| · | 关于产品补充文件中有关“股息等值”支付的讨论,美国国税局发布通知规定,股息等值支付的预扣将不适用于不属于delta-one工具且在2027年1月1日之前发行的特定ELI。 |
您应该咨询您自己的税务顾问,了解获得、拥有和处置票据对您的美国联邦所得税后果,以及根据任何州、地方、外国或其他税务管辖区的法律产生的任何税务后果,以及美国联邦或其他税法变化可能产生的影响。您应该仔细查看产品补充权益指数MITTS-1第PS-27页开始的题为“美国联邦所得税摘要”部分下的讨论。
在哪里可以找到更多信息
我们已就本条款清单所涉及的发行向SEC提交了注册声明(包括产品补充、招股说明书补充和招股说明书)。在您投资之前,您应该阅读票据招股说明书,包括这份条款清单,以及我们向SEC提交的其他文件,以获得有关我们和此次发行的更完整信息。您可以通过访问SEC网站www.sec.gov上的EDGAR免费获得这些文件。或者,如果您提出要求,我们、任何代理或参与此次发行的任何经销商将安排向您发送这些文件,请拨打MLPF & S或BOFAS免费电话1-800-294-1322。
“市场指数目标-期限证券®”和“MITTS®”是MLPF & S和美国银行的母公司美国银行公司的注册服务标志。
| 市场指数目标-期限证券® | TS-28 |