查看原文
免责申明:同花顺翻译提供中文译文,我们力求但不保证数据的完全准确,翻译内容仅供参考!
EX-3.3 2 certificateandarticlesof.htm EX-3.3 certificateandarticlesof
修订证明Loi canadienne sur les soci é t é s par actionsCanada Business Corporations Act Certificat de modification Novelis Inc. 1414571-2 Corporate Name/D é nomination sociale Corporation number/Num é ro de soci é t é hantz Prosper Date of Amendment(YYY-MM-DD)Date de modification(AAAA-MM-JJ)Director/Directeur 2024-05-24 I hereby certify that the above named corporate的条款根据《加拿大商业公司法》第178条进行了修订,如所附修订条款中所述。JE CERTIFIE que les Statuts de la soci é t é susmentionn é e sont modifi é s aux termes de l‘article 178 de la Loi canadienne sur les soci é t é s par actions,tel qu’il est indiqu é dans les clause modificatrices ci-jointes。


 
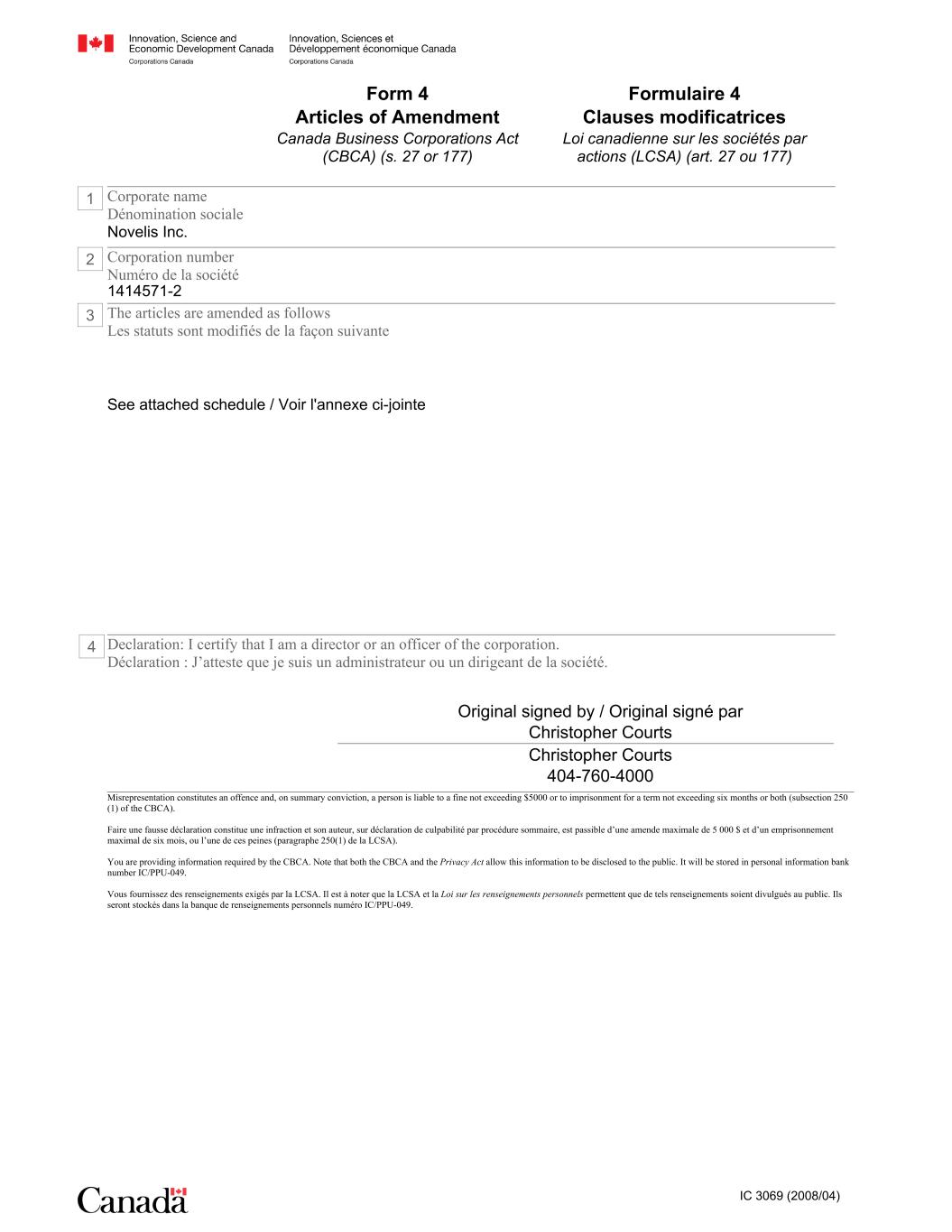
表格4加拿大商业公司法(CBCA)(第27或177条)表格4 Loi canadienne sur les soci é t é s par actions(LCSA)(第27或177条)修订条款条款条款修改公司名称D é nomination sociale 1 Novelis Inc.公司编号Num é ro de la soci é t é 2 1414571-2条款修订如下Les statuts sont modifi é s de la fa ç on suivante 3见附表/Voir l'annexe ci-jointe虚假陈述构成犯罪,一经即决定罪,任何人可被处以不超过$ 5000的罚款或不超过六个月的监禁,或两者兼施(CBCA第250(1)款)。Faire une fausse declaration constitue une infraction et son auteur,sur declaration de culpabilit é par proc é dure sommaire,est passible d‘une amende maximale de 5000 $ et d’un emprisonement maximal de six mois,ou l'une de ces peines(paragraphe 250(1)de la LCSA)。您提供的是CBCA要求的信息。请注意,CBCA和隐私法都允许向公众披露这些信息。将存储在个人信息银行号码IC/PPU-049中。Vous Fournissez des renseignements exig é s par la LCSA。Il est à noter que la LCSA et la Loi sur les renseignements personnels permettent que de tels renseignements soient divulgu é s au public。Ils seront stock é s dans la banque de renseignements personnels num é ro IC/PPU-049。Christopher Courts 404-760-4000 Christopher Courts Original signed by/Original sign é par 4声明:本人证明自己是公司的董事或高级职员。声明:J’atteste que je suis un administrateur ou un dirigeant de la soci é t é。IC 3069(2008/04)


 
附表/附件修订附表/附件-修改公司章程特此修订,将公司股本中的1,100股已发行和已发行普通股细分为公司股本中的600,000,000股普通股。