查看原文
免责申明:同花顺翻译提供中文译文,我们力求但不保证数据的完全准确,翻译内容仅供参考!
F-3/a 1 tm2532823d1 _ f3a.htm F-3/a

 

于2025年12月5日向美国证券交易委员会提交

 

注册号:333-277955

 

 

美国 

证券交易委员会 

华盛顿特区20549

 

FORM F-3 

第3号修正案

根据1933年《证券法》作出的注册声明 

 

北京奥瑞金种业股份有限公司 

(在其章程中指明的注册人的确切名称)

 

英属维尔京群岛   不适用
(国家或其他司法   (I.R.S.雇主
公司或组织)   识别号)

 

奥瑞金种业股份有限公司 

双埠头村Origin研发中心 

通州区宋庄镇徐双路 

中国北京101119 

电话:(86-10)8958-6206

传真:(86-10)8958-6207

(地址,包括邮编,电话号码,包括

Registrant主要行政办公室的区号)

 

Theodore Han先生 

第826期第238期PL SE,F单元 

博塞尔WA 98021 

电话:6105074845 

(姓名、地址、包括邮政编码、电话号码,

包括地区代码,代理服务)

 

复制到:

Andrew D. Hudders,esq。 

Golenbock Eiseman Assor Bell & Peskoe LLP 

第三大道711号 

纽约,纽约10017 

(212) 907-7300

 

建议向公众出售的大致开始日期:不时于本登记声明生效日期后。

 

如果在本表格上登记的唯一证券是根据股息或利息再投资计划发售的,请勾选以下方框。¨

 

如果根据1933年《证券法》第415条规则在本表格上登记的任何证券将延迟或连续发售,但仅与股息或利息再投资计划相关的证券除外,请勾选以下方框。x

 

如果提交此表格是为了根据《证券法》第462(b)条为发行注册额外证券,请选中以下方框,列出同一发行的较早有效注册声明的《证券法》注册声明编号。¨

 

如果本表格是根据《证券法》第462(c)条规则提交的生效后修订,请选中以下方框,列出同一发行的较早生效登记声明的《证券法》登记声明编号。¨

 

如果本表格是根据一般指令I.C.提供的登记声明,或根据《证券法》第462(e)条在向委员会提交后生效的修订,请选中以下方框,..。

 

如果本表格是对根据《证券法》第413(b)条为注册额外证券或额外类别证券而根据一般指令I.C.提交的注册声明的生效后修订,请选中以下方框。¨

 

通过复选标记指明注册人是大型加速申报人、加速申报人、非加速申报人、较小的报告公司还是新兴成长型公司。参见《交易法》第12b-2条中“大型加速申报人”、“加速申报人”、“小型申报公司”、“新兴成长型公司”的定义。

 

大型加速披露公司¨ 加速披露公司¨ 非加速披露公司¨
较小的报告公司x   新兴成长型公司¨

 

注册人特此在可能需要的一个或多个日期修订本注册声明,以延迟其生效日期,直至注册人提交进一步修订,其中明确指出本注册声明此后应根据《证券法》第8(a)节生效,或直至注册声明在证券交易委员会根据上述第8(a)节可能确定的日期生效。

 

 

 

 

 

本招股说明书中的信息不完整,可能会发生变更。在向证券交易委员会提交的登记声明生效之前,我们不得出售这些证券。本招股章程不是出售这些证券的要约,也不是在不允许要约或出售的任何司法管辖区征求购买这些证券的要约。

 

待完成,日期为2025年12月5日

 

前景

 

北京奥瑞金种业股份有限公司

 

$30,000,000

 

普通股

认股权证

单位

 

本招股章程涉及普通股和认股权证以及由股份和认股权证组成的单位,我们可能会在一次或多次发行中不时出售,在本招股章程所包含的注册声明生效日期后的三年内,公开发行总价不超过30,000,000美元,条款将在出售时确定。我们将在本招股说明书的补充文件中提供这些证券的具体条款。投资前应认真阅读本招股说明书及任何补充资料。除非附有该等证券的招股章程补充文件,否则不得使用本招股章程发售证券。

 

我们的普通股在纳斯达克股票市场资本市场上市,代码为“SEED”。2025年12月4日,纳斯达克的普通股收盘价为1.41美元。

 

我们可以通过不时指定的交易商或代理人、向或通过承销商或通过这些方法的组合直接出售这些证券。见本招募说明书“分配预案”。我们还可能在任何适用的招股说明书补充文件中描述这些证券的任何特定发行的分配计划。如有任何承销商、交易商或代理商参与本招股章程正就其交付的任何证券的销售,我们将在招股章程补充文件中披露他们的姓名以及我们与他们的安排的性质。我们预计从任何此类出售中获得的净收益也将包含在招股说明书补充文件中。

 

与在中国经营有关的问题

 

投资者持有股份的公众公司,奥瑞金种业股份有限公司,简称奥瑞金种业或Origin,是一家在英属维尔京群岛注册成立的控股公司。目前,我们所有的业务活动都是通过母公司奥瑞金种业以下的各公司在中国开展的。我们的部分业务是通过可变利益企业或VIE在中国进行的。业务中属于VIE的部分为海南奥宇及其子公司。我们的运营余额是通过在Origin Biotechnology内或在Origin Biotechnology下的全部和部分股权拥有的运营进行的,而Origin Biotechnology又是State Harvest Holdings Limited(“State Harvest”)拥有的100%股权。因为是多层控股公司结构,所有运营公司都在中国,所以奥瑞金种业的一个投资者可能永远也不会拥有这些中国公司的股权。

 

由于中国法律对某些食品开发和生产的外资所有权以及从事转基因种子产品研发的公司及其相关业务的限制,我们没有对我们业务的那些部分拥有完全的股权所有权。相反,我们依赖我们的中国子公司及其名义股东之间的合同安排来控制业务运营中不是通过VIE安排拥有的部分。我们认为,这些VIE合同协议使我们能够(i)对VIE行使合同控制权,(ii)获得VIE的经济利益,以及(iii)在中国法律允许的时间和范围内拥有购买VIE全部或部分股权的独家看涨期权。由于这些合同安排,我们在美国公认会计原则下将VIE的财务业绩合并到我们的财务报表中。我们普通股的投资者正在购买一家英属维尔京群岛控股公司的股权,该公司反过来拥有其在中国的一些子公司的股权,并通过另一实体与VIE所有者达成合同安排。因为这种多层次、受限、有限的合同所有权结构,奥瑞金种业的投资者可能永远也不会拥有这些中国业务的股权。有关我们的VIE Structure和运营协议的更多信息,(a)请参看下文本封面第(v和vi)页、第9页“VIE Structure评估”和第38页“VIE TERM2评估”,以及(b)请参阅截至2024年9月30日止财政年度经修订的20-F表格年度报告的第4项,C子部分,组织结构和股票寄售协议。

 

(一)

 

 

我们在中国的子公司和我们控制的VIE面临与在中国开展业务相关的各种法律和运营风险和不确定性。这些实体因此受到复杂和不断变化的中国法律法规的约束。这些实体面临与监管机构批准离岸发行、使用可变利益实体、反垄断监管行动、网络安全和数据隐私相关的风险,这可能会影响我们开展某些业务、接受外国投资或在美国或其他外汇交易所上市的整体能力。我们目前拥有以下业务运营批准来经营我们的业务:(i)种子生产经营许可证,由新疆奥瑞金博种子有限公司持有;(ii)对于向境外投资者发行证券,我们需要在每次发行后的3个工作日内向中国证监会备案。如果我们没有获得所需的批准或未能完成所需的备案,因为我们无法获得它们,它们被取消或我们无意中忽略了获得它们,通常我们将在我们的运营和母公司控股公司普通股的价值方面经历重大不利变化。此外,(i)未取得种子生产经营许可证生产、销售种子的,可能被责令整改许可,没收我们的种子和违法所得,违法种子市值不足1万元的,可能被处以3000元以上3万元以下的罚款,或者违法种子市值1万元以上的,可能被处以种子市值三倍以上五倍以下的罚款,可能被吊销种子生产经营许可证,(ii)如我们未能就我们发行证券向证监会备案,(a)我们可能会被责令整改、被出具警示函、被处以100万元至1000万元人民币的罚款,有关的主管人员及其他责任人可能会被出具警示函及罚款50万元至500万元人民币,及(b)限制或完全阻碍我们向投资者提供或继续提供证券的能力,或导致该等证券大幅贬值或变得一文不值。任何这些问题也可能导致限制公司维持普通股在美国证券交易所和其他资本市场上市的能力。

 

我们的公司结构受到与VIE和这些合同安排的当事方的合同安排相关的风险的影响。BVI控股公司的投资者可能永远不会对VIE开展的业务部分拥有直接所有权权益。如果中国政府发现建立我们在中国经营业务的结构的协议不符合中国法律法规,或者如果这些法规或现有法规的解释在未来发生变化或有不同的解释,我们在中国的运营公司和我们控制的VIE可能会受到严厉处罚或被迫放弃我们在受VIE约束的那些运营部分的权益。这将导致VIE出于财务报表目的被取消合并。导致VIE取消合并的事件将对我们的运营产生重大影响,并导致普通股的价值减少甚至变得一文不值。我们的控股公司、我们的中国子公司和VIE,以及我们普通股的投资者面临中国政府未来可能采取的行动的不确定性,这些行动可能会影响与VIE的合同安排的可执行性,从而显着影响VIE和我们公司整体的财务业绩。

 

由于我们在开发转基因种子方面的业务和参与种子生产以及出于其他原因,中国政府可能会干预或采取行动影响我们的整体运营,或可能对在海外进行的发行和/或外国对我们的投资施加更多控制。这种对我们经营方式的干预或影响可能导致我们的经营或我们普通股的价值发生重大变化。中国政府对在海外进行的发行或外国投资于中国发行人的发行实施更多监督和控制的任何行动,都可能严重限制或完全阻碍我们向投资者提供或继续提供证券的能力,并导致此类证券和我们其他未偿还证券的价值大幅下降或一文不值。

 

(二)

 

 

2021年7月6日,中共中央办公厅、国务院办公厅联合印发《关于依法严厉打击非法证券活动的意见》。这些意见强调,要加强对非法证券活动的管理和对中资公司境外上市的监管。这些意见提出,采取有效措施,如推动相关监管制度建设,应对中国境外上市公司面临的风险和事件以及网络安全和数据隐私保护需求。这些意见和任何相关的实施规则可能会使我们在未来受到额外的合规要求。

 

随着全球反垄断监管加强的趋势,中国政府自2021年以来发布了一系列反垄断法律法规,更加关注企业合规。2021年2月7日,中国国务院反垄断委员会颁布了《平台经济领域反垄断指南》。2021年11月15日,中国国家市场监督管理总局颁布了《企业海外反垄断合规指引》。我们认为,这些规定目前对我们影响不大,但我们不能保证监管机构会同意我们的意见或这些规定不会影响我们未来的业务运营。这些措施是以1998年颁布并经修订的《全面中国证券法》为基础,规范中国证券市场的整体法律法规体系的一部分。

 

网络安全和数据隐私与安全问题在中国受到越来越多的立法和监管关注。中国国务院于2021年7月30日颁布了《关键信息基础设施安全保护条例》(“《CII条例》”),自2021年9月1日起施行。这项规定除其他外,要求某些主管当局确定关键的信息基础设施。中国网络安全管理局(简称“CAC”)等多个国务院部门于2021年12月28日公布了《网络安全审查办法》,自2022年2月15日起施行。根据这一规定,购买网络产品和服务的关键信息基础设施运营者和开展数据处理活动的网络平台运营者,对影响或可能影响国家安全的,要求进行网络安全审查。我们认为这些规定对我们影响不大,因为我们既不是这些规定意义上的关键信息基础设施运营商,也不是网络平台运营商。但是,我们不能保证监管机构会同意我们的看法。

 

2021年9月1日,《中国数据安全法》生效,对开展数据相关活动的实体和个人规定了数据安全和隐私义务,并引入了数据分类分级保护制度。此外,中国全国人大常委会于2021年8月20日颁布了《个人信息保护法》(简称“PIPL”),自2021年11月1日起施行。PIPL进一步强调了处理者对个人信息保护的义务和责任,并规定了处理个人信息的基本规则和个人信息跨境转移规则。2022年7月7日,CAC颁布了《出境数据传输安全评估办法》(“评估办法”),该办法自2022年9月1日起生效,并有六个月的实施宽限期,连同指引一起发布。根据评估办法,数据处理者有下列情形之一的,应当对其通过所在地省级网信办向CAC的外传数据传输申报安全评估:(一)数据处理者向境外提供关键数据的;(b)关键信息基础设施运营者或者处理个人个人信息的数据处理者向境外提供个人信息的,超过一百万的;(c)数据处理者自上一年度1月1日以来累计向境外提供个人信息10万人或者个人敏感信息1万人的;(d)CAC规定的需要申报外发数据传输安全评估的其他情形。我们有机会接触、获取或接触我们的订户及其近亲属的个人信息。一旦属于前述情形之一,我们可能会被要求申报安全评估,根据上述规定,我们的业务经营可能会受到限制。

 

2023年2月17日,证监会发布《境内公司境外发行证券并上市试行管理办法》或《境外上市试行办法》及五项配套指引,自2023年3月31日起施行。根据《境外上市试行办法》,(1)境内公司寻求在境外直接或间接发行证券或者上市的,应当履行备案程序,并向证监会报告相关信息;境内公司未履行备案程序或者在备案文件中隐瞒重大事实或者伪造重大内容的,该境内公司可能受到责令改正、出具警示函、罚款等行政处罚,其控股股东、实际控制人、直接负责的主管人员和其他直接责任人员也可能受到警告、罚款等行政处罚;(二)发行人同时符合下列条件的,境外发行上市确定为境内公司间接境外发行上市:(一)资产总额、净资产、发行人的中国境内经营实体在最近一个会计年度的收入或利润占发行人同期经审计合并财务报表相应数字的50%以上;或(ii)其主要经营活动在中国境内进行或其主要营业地位于中国,或发行人负责经营管理的高级管理人员多为中国公民或住所在中国;及(3)境内公司寻求在境外市场间接发行证券并上市的,发行人应当指定境内主要经营主体负责向中国证监会办理全部备案手续,发行人提出境外市场上市申请的,发行人应当在提交申请后三个营业日内向中国证监会提交备案。

 

(三)

 

 

同日,证监会还召开境外上市试行办法发布新闻发布会,发布《关于境内公司境外发行上市备案管理的通知》,其中明确,在境外上市试行办法生效之日(即2023年3月31日)或之前已在境外上市的境内公司,视同现有发行人,或现有发行人。现有发行人无需完成填报手续,涉及再融资等后续事项时需向证监会备案。

 

根据境外上市试行办法,境外上市公司在同一市场完成后续证券发行后三个营业日内向中国证监会备案,境外上市公司在其申请发行并在不同市场上市后三个营业日内向中国证监会备案。境外上市公司通过单次或多次收购、换股、股份转让或其他方式购买中国境内资产,且该购买行为构成中国境内资产直接或间接上市的,还需向中国证监会备案。此外,要求境外上市公司在发生并公告后三个营业日内,向中国证监会报告发生以下任一重大事件:(一)上市公司控制权发生变更;(二)外国证券监管机构或相关主管部门对上市公司采取的调查、制裁或其他措施;(三)上市地位发生变更或上市板块发生转移;(四)上市公司自愿或强制退市。境外发行上市后上市公司主营业务发生重大变化使上市公司不再需要向中国证监会备案的,应当在本情形发生后三个营业日内向中国证监会备案具体报告和境内律师事务所出具的法律意见书。

 

由于这些监管行动相对复杂,不确定立法或行政法规制定机构将如何应对,以及根据这些行动将修改或颁布哪些现有或新的法律或法规或详细的实施和解释,或此类修改或新的法律法规将对我们的日常业务运营,或我们接受外国投资和在美国或其他外汇上市的能力产生的整体潜在影响。中国法律及其解释和执行不断发展并可能发生变化,中国政府未来可能会采取其他规则和限制措施。

 

迄今为止,我们认为Origin及其在中国的子公司和VIE实体遵守所有适用的法律、规则和法规,并已获得所有必要的监管批准、认证和其他授权,可在中国和BVI经营其业务。

 

内部现金转移和股息

 

现金通过我组织按以下方式划转:

 

·Origin是一家控股公司,也是在美国国家证券交易所上市的英属维尔京群岛实体,通过State Harvest,一家英属维尔京群岛控股公司和Origin的全资子公司,控制着几家直接和间接的子公司,并间接拥有VIE。State Harvest拥有Origin Biotechnology,而Origin Biotechnology反过来又拥有其他几家公司的控股股权。Origin Biotechnology还与海南奥宇有VIE安排。海南奥宇拥有多家附属公司的控股权益。

 

(四)

 

 

·截至本报告发布之日,Origin从未向美国投资者支付股息或进行分配。

 

·在我们的公司结构内,从Origin向其中国子公司和受控实体跨境转移资金是合法且符合中国法律法规的。Origin获准以股东贷款或出资的形式向其在中国大陆的子公司提供资金,但须满足相关司法管辖区适用的政府登记、批准和备案要求。根据中国法规,Origin对其在中国大陆的子公司的出资能力没有金额限制。然而,如果Origin通过贷款将任何资金转移给中国子公司之一或合同关联公司,那么根据中国现行法律,我们将需要向外管局登记贷款,以及我们可能兑换成人民币的金额,而贷款将受到适用的外管局法规的限制,以(i)批准的实体投资总额与其注册资本总额之间的差额,以及(ii)中国实体净资产的两倍中的较大者为限。

 

·Origin依靠其在中国的运营公司支付的基于股权的股息和其他分配来满足其部分现金需求,包括向其股东支付股息和其他现金分配或为其可能产生的任何费用提供资金可能需要的资金。对于在中国的运营公司,他们将首先根据中国适用的法律法规将资金转移至State Harvest,然后State Harvest将合法可用的资金(如果有的话)转移至Origin。Origin随后将按其各自持股比例向其股东分配股息(如有)。截至本报告日,我们的任何子公司或控股公司均未进行任何转让、股息或其他分配以基金股息或分配由Origin。我们打算保留所有可用资金和任何未来收益,以促进我们在中国业务的发展和增长,并且预计在可预见的未来不会派发股息。

 

·我们在中国的实体分配股息的能力基于其可分配收益。中国现行法规允许公司仅从根据中国会计准则和法规确定的累积利润(如有)中向各自的股东支付股息。此外,中国的公司须每年拨出至少10%的税后利润(如有的话),作为法定储备金,直至该储备金达到其注册资本的50%。这些准备金不作为现金股利进行分配。此外,如果一家公司在未来以自己的名义发生债务,管理这类债务的工具可能会限制其支付股息的能力。我们认为,除上述情况外,中国现行法规并未禁止或限制使用企业集团内一个实体产生的现金为企业集团内另一家公司的运营提供资金。我们目前没有自己的现金管理政策和程序来规定资金如何转移。

 

请参阅本节以下选定的简明综合财务信息。

 

VIE Structure评估

 

我们拥有的寄售协议或VIE结构为外国投资于中国公司提供了合同机会,中国法律禁止外国直接投资于运营公司。例如,食品生产和转基因种子相关业务的外资所有权在中国受到重大监管。出于会计目的,Origin部分通过某些合同安排获得海南奥宇及其子公司的经济利益。此类合同安排使Origin能够根据美国公认会计原则或GAAP在我们的合并财务报表中合并VIE及其各自子公司的财务业绩,该VIE结构涉及投资者的独特风险。我们的普通股是英属维尔京群岛的控股公司Origin的股份,而不是我们的中国子公司或VIE或它们各自在中国的子公司的股份。截至本报告之日,合同安排尚未在中国或美国的法庭上进行测试。无论是控股公司的投资者,还是Origin,都没有对VIE的完全股权所有权、直接对外投资,或与股权所有权一样有效的控制权。

 

由于Origin并不直接持有VIE或其各自子公司的全部股权,我们在中国的子公司和VIE受到中国法律法规的解释和适用的风险和不确定性的影响,包括但不限于合同安排的有效性和执行以及中国政府导致不允许VIE结构的任何未来行动的不确定性。我们根据合同安排进行的业务的损失可能会导致我们的整体业务发生重大变化,我们普通股的价值可能会大幅贬值或变得一文不值。

 

(五)

 

 

Origin根据FASB ASC 810,Consolidation评估与可变利益实体(“VIE”)的所有交易和关系,以确定它是否是这些实体的主要受益人。Origin在VIE要求下评估交易和关系的总体方法包括以下两个步骤:

 

·确定该实体是否符合VIE资格的标准;以及

 

·确定公司是否为VIE的主要受益人。

 

在执行第一步时,Origin在确定一个实体是否为VIE时考虑的重要因素和判断包括:

 

·实体的设计,包括其风险的性质和实体创建的目的,以确定实体旨在创建和分配给其利益持有人的可变性;

 

·管理层参与实体的性质;

 

·是否可以通过不涉及投票股权的安排实现对实体的控制;

 

·是否有足够的风险股权投资为实体的活动提供资金;以及

 

·权益持有人以外的其他方是否有吸收预期损失的义务或收取剩余收益的权利。

 

如果Origin基于上述考虑认定VIE,则进行第二步,通过考虑以下重要因素和判断,评估其是否为VIE的主要受益人:

 

·实体是否有权指导可变利益实体对实体经济绩效影响最大的活动;以及

 

·该实体是否有义务吸收该实体可能对可变利益实体产生重大影响的损失或有权从该实体获得可能对可变利益实体产生重大影响的利益。

 

基于其对上述因素的评估和判断,截至2022年9月30日、2023年和2024年9月30日,Origin合并了其作为主要受益人的所有VIE。

 

与VIE Structure相关的风险

 

我们在截至2024年9月30日的财政年度的20-F表格年度报告的第3项D小节中更详细地讨论了作为一家仅在中国开展业务的BVI控股公司的风险。

 

(六)

 

 

精选简明综合财务资料

 

下表列出了我们的第一级控股公司奥瑞金种业股份有限公司、我们在美国公认会计原则下作为VIE主要受益者的全资子公司(“VIE的主要受益者”)、我们非VIE的其他子公司(“其他子公司”)以及我们在列报日期合并的VIE及其子公司的简明财务状况合并时间表如下:

 

(1)母公司:奥瑞金种业股份有限公司(BVI);

 

(2)其他拥有权益的子公司:OAL SMY Limited(美国)、Beijing Aoyu Science Development Limited;Origin BioScience Limited;Beijing Origin State Harvest Biotechnology(PRC)及其部分拥有权益的子公司安徽奥宇、湖北奥宇、山东奥瑞西农。

 

(3)VIE的主要受益人:北京Origin State Harvest Biotechnology(PRC);及

 

(4)VIE及VIE附属公司:Hainan Aoyu Biotechnology Limited(PRC)及其控股附属公司、Xinjiang Originbo Seed Limited(PRC)及Beijing Origin Agriculture Limited(PRC)Aoyu(Sanya)Technology Co.,Ltd.(PRC)徐州Aoyu(PRC)、河南Aoyu(PRC)、安徽Origin Agriculture Co.,Ltd.(PRC)及湖北Origin Agriculture Co.,Ltd.(PRC)。

 

(七)

 

 

精选简明合并资产负债表数据

 

单位:人民币’000

 

    截至2024年9月30日  
    家长     其他
子公司
    初级
受益人
VIE的
    VIE和
VIE
子公司
(中国)
    消除
调整
    合并
合计
 
公司间应收款(1)     233,294       116,133                   (349,427 )      
流动资产总额     239,440       152,707             57,028       (349,427 )     99,748  
对子公司的投资(2)           3,322             144,541       (147,863 )      
通过VIE和VIE的子公司受益(2)                     233,520               (233,520 )      
营运资金(赤字)     219,342       68,769       (210,192 )     (162,454 )           (84,535 )
总资产     239,440       156,244       233,520       233,040       (730,682 )     131,562  
公司间应付款项(1)                 210,176       139,251       (349,427 )      

 

    截至2023年9月30日  
    家长     其他
子公司
    初级
受益人
VIE的
    VIE和
VIE
子公司
(中国)
    消除
调整
    合并
合计
 
公司间应收款(1)     237,923       119,300                   (357,223 )      
流动资产总额     246,788       181,944             70,273       (357,223 )     141,782  
对子公司的投资(2)           11,386             130,541       (141,927 )      
通过VIE和VIE的子公司受益(2)                 233,520             (233,520 )      
营运资金(赤字)     239,913       (38,630 )     (215,363 )     (157,599 )           (171,679 )
总资产     246,788       241,062       233,520       220,777       (703,641 )     238,506  
公司间应付款项(1)                 215,347       141,876       (357,223 )      

 

(八)

 

 

选定的简明合并运营报表数据

 

    截至2024年9月30日止年度  
    家长     其他
子公司
    初级
受益人
VIE的
    VIE和
VIE
子公司
(中国)
    消除
调整
    合并
合计
 
第三方收入           31,025             82,356             113,381  
集团内收入           4,380                       (4,380 )      
总收入           35,405             82,356       (4,380 )     113,381  
收入的第三方成本           (24,137 )           (73,177 )           (97,314 )
集团内部收入成本           (4,380 )                 4,380        
收入总成本           (28,517 )           (73,177 )     4,380       (97,314 )
总营业费用     (16,272 )     (27,692 )           (11,907 )     3,205       (52,666 )
子公司及VIE亏损     (30,674 )             (30,674 )           61,348        
营业外收入(亏损)           (8,255 )           1,174       62,419       55,338  
所得税费用前收入(亏损)     (46,946 )     (29,059 )     (30,674 )     (1,554 )     126,972       18,739  
减:所得税费用           (61 )                       (61 )
净收入     (46,946 )     (29,120 )     (30,674 )     (1,554 )     126,972       18,678  
减:归属于非控股权益的净亏损                             (2,034 )             (2,034 )
归属于奥瑞金种业股份有限公司股东的净利润(亏损)     (46,946 )     (29,120 )     (30,674 )     480       126,972       20,712  

 

    截至2023年9月30日止年度  
    家长     其他
子公司
    初级
受益人
VIE的
    VIE和
VIE
子公司
(中国)
    消除
调整
    合并
合计
 
第三方收入           39,696             53,611             93,307  
集团内收入           18,574                   (18,574 )      
总收入           58,270             53,611       (18,574 )     93,307  
收入的第三方成本           (30,208 )           (45,876 )     24       (76,060 )
集团内部收入成本           (18,574 )                 18,574        
收入总成本           (48,782 )           (45,876 )     18,598       (76,060 )
总营业费用     (5,022 )     (20,448 )           (7,568 )     800       (32,238 )
子公司及VIE收入     39,458             39,458             (78,916 )      
营业外收入(亏损)           (39,394 )           89,807       27,409       77,822  
所得税费用前收入     34,436       (50,354 )     39,458       89,974       (50,683 )     62,831  
减:所得税费用           (162 )                       (162 )
净收入(亏损)     34,436       (50,516 )     39,458       89,974       (50,683 )     62,669  
减:归属于非控股权益的净利润                       7,337             7,337  
归属于奥瑞金种业股份有限公司股东的净利润(亏损)     34,436       (50,516 )     39,458       82,637       (50,683 )     55,332  

 

(九)

 

 

    截至二零二二年九月三十日止年度  
    家长     其他
子公司
    初级
受益人
VIE的
    VIE和
VIE
子公司
(中国)
    消除
调整
    合并
合计
 
第三方收入           45,000             7,580             52,580  
集团内收入           2,584             3,224       (5,808 )      
总收入           47,584             10,804       (5,808 )     52,580  
收入的第三方成本           (31,591 )           (4,795 )           (36,386 )
集团内部收入成本           (2,584 )           (3,224 )     5,808        
收入总成本           (34,175 )           (8,019 )     5,808       (36,386 )
总营业费用     (5,261 )     (17,000 )           (10,345 )     3,516       (29,090 )
子公司及VIE收入     6,316                   6,316       (12,632 )      
营业外收入(亏损)           (57,603 )           75,056       (2,246 )     15,207  
所得税费用前收入     1,055       (61,194 )     6,316       67,496       (11,362 )     2,311  
减:所得税优惠           14                         14  
净收入(亏损)     1,055       (61,180 )     6,316       67,496       (11,362 )     2,325  
减:归属于非控股权益的净利润                       8,590             8,590  
归属于奥瑞金种业股份有限公司股东的净利润(亏损)     1,055       (61,180 )     6,316       58,906       (11,362 )     (6,265 )

 

选定的简明合并现金流量信息

 

    截至2024年9月30日止年度  
    家长     其他
子公司
    初级
受益人
VIE的
    VIE和
VIE
子公司
(中国)
    消除
调整
    合并
合计
 
经营活动提供(使用)的现金总额   (20,945 )   163         5,751         (15,031 )
用于投资活动的现金总额               (4,972 )       (4,972 )
筹资活动提供(使用)的现金总额   20,023     (14,019 )       (1,506 )       4,498  
汇率变动的影响   172                     172  
受限制现金                        
现金、现金等价物和受限制现金净减少额   (750 )   (13,856 )       (727 )       (15,333 )

 

(x)

 

 

    截至2023年9月30日止年度  
    家长     其他
子公司
    初级
受益人
VIE的
    VIE和
VIE
子公司
(中国)
    消除
调整
    合并
合计
 
经营活动提供(使用)的现金总额   (19,864 )   2,717         11,691         (5,456 )
用于投资活动的现金总额       (2,312 )       (8,912 )       (11,224 )
筹资活动提供(使用)的现金总额   17,636     6,884         (1,587 )       22,933  
汇率变动的影响   (214 )                   (214 )
受限制现金                        
现金,现金等价物和限制现金的净增加(减少)   (2,442 )   7,289         1,192         6,039  

 

经修订的《控股外国公司责任法》(“HFCAA”)要求,SEC每年都会确定提交年度报告的财务报表由位于外国司法管辖区的审计师审计的任何上市公司(“经委员会认定的发行人”或“CIIs”),而PCAOB已确定由于外国当局采取的立场(“PCAOB认定的司法管辖区”)无法完全检查或调查。根据HFCAA,一旦一家公司被确定为连续两年的CII,SEC必须对该CII的证券适用某些交易禁令。此外,所有CII均在SEC网站www.sec.gov/HFCAA上列出,每个CII都必须向投资者和SEC提供其被认定为CII的每一年的某些披露。对于属于CII的外国发行人,要求披露的内容包括外国政府实体拥有的股份百分比、外国司法管辖区的政府实体是否控制发行人、在发行人董事会或发行人运营实体中的所有中国共产党(“CCP”)官员的身份证明,以及发行人的公司章程是否包含任何CCP的“章程”。SEC正在评估如何实施HFCAA的其他要求,包括上述上市和交易禁止要求。公司尚未确定为CII。我们的独立注册会计师事务所是Enrome LLP,总部位于新加坡,地址为143 Cecil St,# 19-03/04 GB Building,Singapore 069542,在PCAOB注册。

 

投资我们的证券涉及一定的风险。请参阅本招股说明书及任何招股说明书补充文件中的“风险因素”部分,然后再作出投资决定。

 

证券交易委员会和任何州证券委员会均未批准或不批准这些证券或传递本招募说明书的充分性或准确性。任何相反的陈述都是刑事犯罪。

 

本招股说明书的日期为2025年12月。

 

(十一)

 

 

目 录

 

   
关于这个前景   1
     
您可以在哪里找到更多信息;通过引用并入   1
     
前瞻性陈述   2
     
前景摘要   3
     
风险因素   22
     
商业   27
     
收益用途   29
     
股息政策   30
     
我们可能提供的普通股描述   30
     
我们可能提供的授权说明   34
     
分配计划   35
     
某些美国联邦所得税考虑因素   37
     
转让代理   37
     
法律事项   37
     
专家   37
     
民事责任的可执行性   38

 

我们没有授权任何经纪自营商、销售人员或其他人员提供任何信息或作出任何陈述,但本招股章程及本招股章程所附补充文件所载或以引用方式并入的信息除外。您不得依赖本招股章程或随附的招股章程补充文件中未包含或以引用方式并入的任何信息或陈述。本招股章程及其随附的本招股章程补充文件不构成出售证券的要约或购买证券的要约邀请,本招股章程及其随附的本招股章程补充文件也不构成在任何司法管辖区向任何向其作出该等要约或邀请为非法的人出售证券的要约或购买证券的要约邀请。本招股章程及随附的招股章程补充文件所载的资料仅说明截至其各自日期,即使本招股章程及任何随附的招股章程补充文件已于稍后日期交付或出售证券,亦可能无法反映我们业务、财务状况、经营业绩及前景的后续变化。

 

 

 

关于这个前景

 

您应该阅读本招股说明书和任何招股说明书补充资料,以及标题“在哪里可以找到更多信息”下描述的附加信息。

 

在本招募说明书中,除非另有说明或文意另有所指,否则:

 

“我们”、“我们的公司”、“该公司”、“我们的”或“Origin”是指奥瑞金种业股份有限公司,一家根据BVI业务公司法(经修订)(“BC法”)注册为有限责任的股份有限公司,其全资和部分拥有的子公司,以及在完全合并基础上重新VIE的某些实体;

 

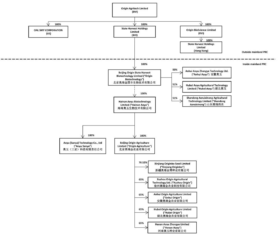
由于公司结构复杂,有众多的子公司和几个作为VIE控制的实体,本文有时会提及特定的子公司或控制的VIE,投资者应参考本文第4页的结构图。凡提及特定的子公司或VIE控制的公司,将在本招股说明书正文中按照本说明书第4页结构图括号内所示的指定用语进行命名。

 

凡提及“$”、“美元”或“美元”,均指美国法定货币;凡提及“人民币”,均指中华人民共和国法定货币;且

 

“股份”或“普通股”是指奥瑞金种业股份有限公司的授权普通股,无面值。

 

这份招股说明书是我们向美国证券交易委员会(SEC)提交的货架注册声明的一部分,该声明使用的是“货架”注册流程。通过使用货架登记声明,我们可以在一次或多次发售中,在连续或延迟的基础上出售我们的普通股和认股权证以获取普通股。本招股说明书仅向您提供这些证券的概要说明。每次我们出售证券时,我们将提供一份本招股说明书的补充文件,其中包含有关所发售证券的具体信息以及该发售的具体条款。补充还可能增加、更新或变更本招募说明书所载信息。本招股说明书中的信息与任何招股说明书补充资料如有不一致之处,应以招股说明书补充资料为准。在购买任何证券之前,您应该仔细阅读本招股说明书和任何补充文件,以及标题“您可以在哪里找到更多信息”下描述的附加信息。

 

您可以在哪里找到更多信息;通过引用并入

 

我们向美国证券交易委员会(“SEC”)提交年度报告和特别报告、代理声明和其他信息。您可以在SEC的公共资料室查阅和复制这些报告、代理声明和其他信息,地址为100 F Street,N.E.,Washington,D.C. 20549。请致电SEC,电话1-800-SEC-0330,了解有关公共资料室的更多信息。SEC还维护一个网站,其中包含有关发行人的报告、代理和信息声明以及其他信息(www.sec.gov)。我们的网站位于www.originseed.com.cn。本网站所载资料不属于本招股章程的一部分。

 

本招股说明书“通过引用纳入”了我们根据经修订的1934年《证券交易法》(“交易法”)向SEC提交的某些信息。这意味着我们通过向您推荐这些文件向您披露重要信息。我们通过引用纳入以下所列文件以及我们未来根据《交易法》第13(a)、13(c)或15(d)条向SEC提交的任何文件,直至发行终止:

 

  · 我们的截至2024年9月30日财政年度的20-F表格年度报告,于2025年2月10日向SEC提交,作为经第1号修正案修正,于2025年4月11日提交;
     
  · 我们目前关于表格6-K的报告,于2024年12月23日,2025年6月26日,2025年9月12日,和2025年9月30日;

 

  · 就本招股章程项下的每项证券发售而言,我们随后在表格20-F上的所有年度报告以及任何在表格6-K上表明其正以引用方式并入的报告,在每种情况下,我们在首次向SEC提交注册声明之日或之后向SEC提交或提供,直至本招股章程项下的发售终止或完成;和

 

1

 

 

  · 日的登记声明所载关于我们普通股的说明表格8-A,于2005年10月18日向SEC提交,包括其后为更新该等说明而提交的任何进一步修订或报告,包括附件 4.17经修订的于2025年2月10日提交的表格20-F年报。

 

作为一家外国私人发行人,我们不受《交易法》第14条规定提供代理声明和内容的规则的约束,我们的高级职员、董事和主要股东不受《交易法》第16条的报告和其他规定的约束。

 

经书面或口头请求,我们将免费向贵方(包括本招股说明书交付给的我们普通股的任何实益拥有人)提供以引用方式并入本文的任何或所有文件的副本,而不是这些文件的附件,除非这些附件通过引用方式具体并入本招股说明书所包含的信息。如欲索取书面副本,请致电中国北京市昌平区盛名园路21号奥瑞金种业股份有限公司,向首席执行官索取,地址为102206,电话:(86-10)5890-7588,传真:(86-10)5890-7577。

 

前瞻性陈述

 

本招股说明书中列出或以引用方式并入本招股说明书的某些信息可能包含经修订的1933年《证券法》第27A条(“证券法”)和经修订的1934年《证券交易法》第21E条(“交易法”)含义内的前瞻性陈述,这些陈述旨在由这些部分创建的“安全港”涵盖。前瞻性陈述基于某些假设,描述了我们未来的计划、战略和预期,通常可以通过使用前瞻性术语来识别,例如“相信”、“预期”、“可能”、“将”、“应该”、“将”、“可能”、“寻求”、“打算”、“计划”、“估计”、“目标”、“预期”、“项目”或其他类似术语。前瞻性陈述涉及固有风险和不确定性,这些风险和不确定性可能导致实际结果与前瞻性陈述中的结果存在重大差异,原因包括各种因素,包括本招股说明书中“风险因素”标题下包含的风险和不确定性,以及通过引用并入本招股说明书的文件中描述的风险和不确定性。我们敦促您在评估我们的前瞻性陈述时考虑这些风险和不确定性。可归属于我们或代表我们行事的人的所有后续书面和口头前瞻性陈述均受到适用的警示性陈述的明确限定。我们进一步提醒读者,不要过分依赖任何此类前瞻性陈述,这些陈述仅代表作出之日的情况。除联邦证券法另有要求外,我们不承担任何义务或承诺公开发布对此处或随附招股说明书(或其他地方)中包含的任何前瞻性陈述的任何更新或修订,以反映我们对此预期的任何变化或任何此类陈述所依据的事件、条件或情况的任何变化。

 

2

 

 

前景摘要

 

这份招股说明书是我们使用“货架”注册流程向SEC提交的F-3表格注册声明的一部分。在此储架程序下,我们可能不时在一项或多项发售中出售本招股章程所述的任何证券组合。本招股说明书为您提供了我们可能提供的证券的一般说明。每次我们出售证券时,我们都会提供一份招股说明书补充文件,其中将包含有关所发售证券的条款和特定于该发行的风险因素的具体信息。

 

我们可能会在招股说明书补充文件中添加或修改本招股说明书或我们通过引用并入本招股说明书的文件中包含的任何信息。如本招股说明书中的信息与招股说明书补充资料有不一致之处,应以该招股说明书补充资料为准。您应该同时阅读本招股说明书和任何适用的招股说明书补充资料,以及上述“您可以在哪里找到更多信息”标题下所述的附加信息。

 

在获取本招募说明书中讨论的任何证券时,您应依赖本招股说明书和招股说明书补充文件中提供的信息,包括通过引用并入的信息。无论是我们,还是任何承销商、交易商或代理商,都没有授权任何人向您提供不同的信息。我们没有在任何禁止此类要约的州提供证券。您不应假定本招股章程、任何招股章程补充文件或任何以引用方式并入的文件中的信息在该等文件封面所述日期以外的任何日期都是真实或完整的。您还应该仔细查看标题为“风险因素”的部分,其中强调了与投资我们的证券相关的某些风险,以确定投资我们的证券是否适合您。

 

公司Structure

 

投资者持有股份的上市公司Origin是一家在英属维尔京群岛注册成立的控股公司。通过一系列子公司和可变利益企业,或VIE,我们目前所有的业务活动都在中国进行。业务为VIE的部分为海南奥宇生物科技有限公司,简称海南奥宇,及其子公司。我们的运营余额是通过在北京Origin State Harvest Biotechnology Limited(简称Origin Biotechnology)或其下的全资和部分股权拥有的运营进行的,而后者又是State Harvest Holding Limited(BVI)(简称State Harvest)拥有的100%股权。

 

3

 

 

 

 

与在中国经营有关的问题

 

投资者持有股份的上市公司Origin是一家在英属维尔京群岛注册成立的控股公司。我们目前所有的业务活动都在中国进行。我们的部分业务是通过可变利益企业或VIE在中国进行的。业务中属于VIE的部分为海南奥宇及其子公司。我们的运营余额是通过在Origin Biotechnology或在Origin Biotechnology下的全部和部分股权拥有的运营进行的,而Origin Biotechnology又是State Harvest拥有的100%股权。

 

由于中国对某些食品开发和生产的外国所有权以及从事转基因种子产品研发的公司及其相关业务的法律限制,Origin没有对我们业务的那些部分拥有完全的股权所有权。相反,我们依赖于我们的中国子公司及其名义股东之间的合同安排,以控制不是通过VIE安排拥有的业务运营部分。我们认为,这些VIE合同协议使我们能够(i)对VIE行使合同控制权,(ii)获得VIE的经济利益,以及(iii)在中国法律允许的时间和范围内拥有购买VIE全部或部分股权的独家看涨期权。由于这些合同安排,我们在美国公认会计原则下将VIE的财务业绩合并到我们的财务报表中。我们普通股的投资者正在购买一家英属维尔京群岛控股公司的股权,该公司反过来拥有其在中国的一些子公司的股权以及与VIE所有者的合同安排。

 

4

 

 

我们的运营子公司和VIE面临与在中国开展业务相关的各种法律和运营风险和不确定性。这些实体和VIE因此受到复杂和不断演变的中国法律法规的约束。例如,这些实体面临与监管机构批准离岸发行、使用可变利益实体、反垄断监管行动、网络安全和数据隐私相关的风险,这可能会影响我们开展某些业务、接受外国投资或在美国或其他外汇交易所上市的能力。我们目前有以下业务经营许可来经营我们的业务:(一)种子生产经营许可证,由新疆奥瑞金博种子有限公司持有;(二)向境外投资者发行证券,我们需要在发行结束后的3个工作日内向中国证监会报.。如果我们没有获得所需的批准或未能完成所需的备案,因为我们无法获得它们,它们被取消或我们无意中忽略了获得它们,通常我们将在我们的运营和母公司控股公司普通股的价值方面经历重大不利变化。此外,(一)未取得种子生产经营许可证生产、销售种子的,可能被责令整改许可,没收我们的种子和违法所得,违法种子市值不足1万元的,可能被处以3000元以上3万元以下的罚款,或者违法种子市值1万元以上的,可能被处以种子市值三倍以上五倍以下的罚款,可能被吊销种子生产经营许可证,(ii)如我们未能就我们发行证券向证监会备案,(a)我们可能会被处以责令改正、被出具警示函、被处以100万元人民币至1000万元人民币的罚款,有关的主管人员及其他责任人可能会被出具警示函及被处以50万元人民币至500万元人民币的罚款,以及(b)限制或完全阻碍我们向投资者提供或继续提供证券的能力,或导致该等证券大幅贬值或变得一文不值。任何这些问题也可能导致限制公司维持普通股在美国证券交易所和其他资本市场上市的能力。

 

我们的公司结构受到与VIE和这些合同安排的各方的合同安排相关的风险的影响。BVI控股公司的投资者可能永远不会对VIE开展的业务部分拥有直接所有权权益。如果中国政府发现建立我们在中国经营业务的结构的协议不符合中国法律法规,或者如果这些法规或对现有法规的解释在未来发生变化或有不同的解释,运营子公司和VIE可能会受到严厉处罚或被迫放弃在这些部分经营中使用的VIE。这将导致VIE出于财务报表目的被取消合并。导致VIE取消合并的事件将对我们的运营产生重大影响,并导致普通股的价值减少甚至变得一文不值。我们的控股公司、我们的中国子公司和VIE以及我们普通股的投资者面临中国政府未来可能采取的行动的不确定性,这些行动可能会影响与VIE的合同安排的可执行性,从而显着影响VIE和我们公司整体的财务业绩。

 

由于我们在转基因种子开发和参与种子生产方面的业务以及出于其他原因,中国政府可能会干预或采取行动影响我们的运营,或可能对在海外进行的发行和/或对我们的外国投资施加更多控制。这种对我们经营方式的干预或影响可能导致我们的经营或我们普通股的价值发生重大变化。中国政府对在海外进行的发行或对中国发行人的外国投资实施的发行实施更多监督和控制的任何行动,都可能严重限制或完全阻碍我们向投资者提供或继续提供证券的能力,并导致此类证券和我们其他未偿还证券的价值大幅下降或一文不值。

 

2021年7月6日,中共中央办公厅、国务院办公厅联合印发《关于依法严厉打击非法证券活动的意见》。这些意见强调,要加强对非法证券活动的管理和对中资公司境外上市的监管。这些意见提出,采取有效措施,如推动相关监管制度建设,应对中国境外上市公司面临的风险和事件以及网络安全和数据隐私保护需求。这些意见和任何相关的实施规则可能会使我们在未来受到额外的合规要求。

 

5

 

 

随着全球反垄断监管加强的趋势,中国政府自2021年以来发布了一系列反垄断法律法规,更加关注企业合规。2021年2月7日,中国国务院反垄断委员会颁布了《平台经济领域反垄断指南》。2021年11月15日,中国国家市场监督管理总局颁布了《企业海外反垄断合规指引》。我们认为,这些规定目前对我们影响不大,但我们不能保证监管机构会同意我们的意见或这些规定不会影响我们未来的业务运营。这些措施是以1998年颁布并经修订的《全面中国证券法》为基础,规范中国证券市场的整体法律法规体系的一部分。

 

网络安全和数据隐私与安全问题在中国受到越来越多的立法和监管关注。中国国务院于2021年7月30日颁布了《关键信息基础设施安全保护条例》(“《CII条例》”),自2021年9月1日起施行。这项规定除其他外,要求某些主管当局确定关键的信息基础设施。中国网络安全管理局(简称“CAC”)等多个国务院部门于2021年12月28日公布了《网络安全审查办法》,自2022年2月15日起施行。根据这一规定,购买网络产品和服务的关键信息基础设施运营者和开展数据处理活动的网络平台运营者,对影响或可能影响国家安全的,要求进行网络安全审查。我们认为这些规定对我们影响不大,因为我们既不是这些规定意义上的关键信息基础设施运营商,也不是网络平台运营商。但是,我们不能保证监管机构会同意我们的看法。

 

2021年9月1日,《中国数据安全法》生效,对开展数据相关活动的实体和个人规定了数据安全和隐私义务,并引入了数据分类分级保护制度。此外,中国全国人大常委会于2021年8月20日颁布了《个人信息保护法》(简称“PIPL”),自2021年11月1日起施行。PIPL进一步强调了处理者对个人信息保护的义务和责任,并规定了处理个人信息的基本规则和个人信息跨境转移规则。2022年7月7日,CAC颁布了《出境数据传输安全评估办法》(“评估办法”),该办法自2022年9月1日起生效,并有六个月的实施宽限期,连同指引一起发布。根据评估办法,数据处理者有下列情形之一的,应当对其通过所在地省级网信办向CAC的外传数据传输申报安全评估:(一)数据处理者向境外提供关键数据的;(b)关键信息基础设施运营者或者处理个人个人信息的数据处理者向境外提供个人信息的,超过一百万的;(c)数据处理者自上一年度1月1日以来累计向境外提供个人信息10万人或者个人敏感信息1万人的;(d)CAC规定的需要申报外发数据传输安全评估的其他情形。我们有机会接触、获取或接触我们的订户及其近亲属的个人信息。一旦属于前述情形之一,我们可能会被要求申报安全评估,根据上述规定,我们的业务经营可能会受到限制。

 

2023年2月17日,证监会发布《境内公司境外发行证券并上市试行管理办法》或《境外上市试行办法》及五项配套指引,自2023年3月31日起施行。根据《境外上市试行办法》,(1)境内公司寻求在境外直接或间接发行证券或者上市的,应当履行备案程序,并向证监会报告相关信息;境内公司未履行备案程序或者在备案文件中隐瞒重大事实或者伪造重大内容的,该境内公司可能受到责令改正、出具警示函、罚款等行政处罚,其控股股东、实际控制人、直接负责的主管人员和其他直接责任人员也可能受到警告、罚款等行政处罚;(二)发行人同时符合下列条件的,境外发行上市确定为境内公司间接境外发行上市:(一)资产总额、净资产、发行人的中国境内经营实体在最近一个会计年度的收入或利润占发行人同期经审计合并财务报表相应数字的50%以上;或(ii)其主要经营活动在中国境内进行或其主要营业地位于中国,或发行人负责经营管理的高级管理人员多为中国公民或住所在中国;及(3)境内公司寻求在境外市场间接发行证券并上市的,发行人应当指定境内主要经营主体负责向中国证监会办理全部备案手续,发行人提出境外市场上市申请的,发行人应当在提交申请后三个营业日内向中国证监会提交备案。

 

6

 

 

同日,证监会还召开境外上市试行办法发布新闻发布会,发布《关于境内公司境外发行上市备案管理的通知》,其中明确,在境外上市试行办法生效之日(即2023年3月31日)或之前已在境外上市的境内公司,视同现有发行人,或现有发行人。现有发行人无需完成填报手续,涉及再融资等后续事项时需向证监会备案。

 

根据境外上市试行办法,境外上市公司在同一市场完成后续证券发行后三个营业日内向中国证监会备案,境外上市公司在其申请发行并在不同市场上市后三个营业日内向中国证监会备案。境外上市公司通过单次或多次收购、换股、股份转让或其他方式购买中国境内资产,且该购买行为构成中国境内资产直接或间接上市的,还需向中国证监会备案。此外,要求境外上市公司在发生并公告后三个营业日内,向中国证监会报告发生以下任一重大事件:(一)上市公司控制权发生变更;(二)外国证券监管机构或相关主管部门对上市公司采取的调查、制裁或其他措施;(三)上市地位发生变更或上市板块发生转移;(四)上市公司自愿或强制退市。境外发行上市后上市公司主营业务发生重大变化使上市公司不再需要向中国证监会备案的,应当在本情形发生后三个营业日内向中国证监会备案具体报告和境内律师事务所出具的法律意见书。

 

由于这些监管行动相对复杂,不确定立法或行政法规制定机构将如何应对,以及根据这些行动将修改或颁布哪些现有或新的法律或法规或详细的实施和解释,或此类修改或新的法律法规将对我们的日常业务运营,或我们接受外国投资和在美国或其他外汇上市的能力产生的整体潜在影响。中国法律及其解释和执行不断发展并可能发生变化,中国政府未来可能会采取其他规则和限制措施。

 

本年度报告所载我们的财务报表已由总部设在新加坡的独立注册公共会计师事务所Enrome LLP审计。它是一家在美国上市公司会计监督委员会(简称“PCAOB”)注册的公司,根据美国法律要求接受PCAOB的定期检查,以评估其遵守美国法律和专业标准的情况。因此,我们认为,2020年3月生效的《中国证券法》第一百七十七条不应适用于我们。该法律规定,任何境外证券监管机构均不得在中国境内直接开展调查或取证活动。因此,未经中国主管证券监管机构和有关部门同意,任何组织或个人不得向境外当事人提供与证券业务活动有关的文件和资料。美国《外国控股公司责任法》(HFCA Act)于2020年12月18日颁布。HFCA法案规定,如果SEC认定一家公司提交了注册公共会计师事务所出具的审计报告,且自2021年起连续三年未接受PCAOB的检查,SEC应禁止此类普通股在美国的全国性证券交易所或场外交易市场进行交易。SEC通过了实施HFCA法案的规则,根据HFCA法案,PCAOB发布了一份报告,通知美国证券交易委员会,它确定目前无法检查总部位于中国大陆或香港的会计师事务所。此外,美国参议院还通过了《加速控股外国公司责任法》,即《AHFCA法案》,该法案如果获得通过,将把“非检查年”的时间从三年减少到两年,从而减少证券可能被禁止交易或退市的时间。目前,我们不认为我们受到上述各种法律的约束,我们也不认为我们的普通股会因为这些法律而从纳斯达克退市。

 

7

 

 

2022年12月15日,PCAOB发布报告,撤销2021年12月16日的认定,将中国大陆和香港从无法检查或调查完全注册的公共会计师事务所的司法管辖区名单中删除。出于这个原因,我们预计不会被确定为HFCAA下的委员会认定发行人。

 

2022年12月29日,总统签署了《2023年综合拨款法》,其中除其他外,对HFCAA进行了修订,将发行人可以被确定为委员会确定的发行人的连续年数减少,在此之前,委员会必须对发行人的证券实施初始交易禁令,从三年减至两年。因此,一旦发行人连续两年被确定为委员会确定的发行人,根据AHFCA,委员会必须禁止发行人的证券在国家证券交易所和场外市场的交易。我们认为,目前我们不会受到这些限制。

 

内部现金转移和股息

 

现金通过我组织按以下方式划转:

 

● Origin是一家控股公司,也是在美国国家证券交易所上市的英属维尔京群岛实体,通过State Harvest,一家英属维尔京群岛控股公司和Origin的全资子公司,拥有Origin Biotechnology,该公司控制着几家直接和间接子公司,并拥有VIE。Origin Biotechnology与海南奥宇有VIE安排。海南奥宇拥有北京原点,北京原点拥有新疆原点和其他几家公司的控股权益。

 

●在我们的公司结构内,从Origin向其中国子公司和受控实体跨境转移资金是合法且符合中国法律法规的。Origin获准以股东贷款或出资的形式向其在中国大陆的子公司提供资金,但须满足相关司法管辖区适用的政府登记、批准和备案要求。根据中国法规,Origin对其在中国大陆的子公司进行出资的能力没有金额限制。然而,如果Origin通过贷款将任何资金转移给中国的子公司之一或合同关联公司,那么根据中国现行法律,我们将需要向外管局登记贷款,以及我们可能兑换成人民币的金额,而贷款将受到适用的外管局法规的限制,以(i)批准的实体投资总额与其注册资本总额之间的差额,以及(ii)中国实体净资产的三倍中的较大者为限。

 

● Origin依赖其在中国的运营公司支付的基于股权的股息和其他分配来满足其部分现金需求,包括可用于向其股东支付股息和其他现金分配或为其可能产生的任何费用提供资金的资金。对于在中国的运营公司,他们将首先根据适用的中国法律法规将资金转移至State Harvest,然后State Harvest将合法可用的资金(如果有)转移至Origin。Origin随后将按其各自持股比例向其股东分配股息(如有)(如已宣布)。截至本报告之日,我们的任何子公司或控股公司均未进行任何转让、股息或其他分配以基金股息或分配由Origin。我们打算保留所有可用资金和任何未来收益,以促进我们在中国业务的发展和增长,并且预计在可预见的未来不会派发股息。

 

●我们在中国的实体分配股息的能力是基于其可分配收益。中国现行法规允许公司仅从根据中国会计准则和法规确定的累积利润(如有)中向各自股东支付股息。此外,中国的公司须每年拨出至少10%的税后利润(如有的话),作为法定储备金,直至该储备金达到其注册资本的50%。这些准备金不作为现金股利进行分配。此外,如果一家公司在未来以自己的名义发生债务,管理这类债务的工具可能会限制其支付股息的能力。我们目前没有自己的现金管理政策和程序来规定资金如何转移。

 

请参阅本节以下选定的简明综合财务信息。

 

8

 

 

VIE Structure评估

 

我们拥有的寄售协议或VIE结构为外国投资于中国公司提供了合同机会,而中国法律禁止或限制外国直接投资于运营公司。例如,农业生产的外资所有权在中国受到重大监管。出于会计目的,我们通过某些合同安排接收海南奥宇和子公司的经济利益。此类合同安排使我们能够根据美国公认会计原则(GAAP)在我们的合并财务报表中合并VIE及其子公司的财务业绩,该VIE结构涉及投资者的独特风险。我们的普通股是英属维尔京群岛的控股公司Origin的股份,而不是我们中国子公司的股份,或VIE或其在中国的子公司的股份。截至本招股章程日期,合约安排并无在中国或美国的法庭测试。控股公司的投资者和公司均不对VIE拥有完全的股权所有权、直接对外投资或控制与股权所有权同等有效。

 

由于我们并未直接持有VIE或其子公司的全部股权,我们和VIE受到中国法律法规监管发展的风险和不确定性的影响,包括但不限于合同安排的有效性和强制执行以及中国政府导致不允许VIE结构的任何未来行动的不确定性。我们根据合同安排进行的业务的损失可能会导致我们的业务发生重大变化,我们普通股的价值可能会大幅贬值或变得一文不值。

 

由于VIE安排是契约性的,因此有可能其各方违反其条款。如果出现违约,如果我们无法执行协议,后果可能是我们将无法主张合并所必需的VIE控制权。

 

Origin评估与可变利益实体(“VIE”)的所有交易和关系,以确定公司是否是根据FASB ASC 810,合并的实体的主要受益人。Origin在VIE要求下评估交易和关系的总体方法包括以下两个步骤:

 

●确定该实体是否符合资格成为VIE的标准;以及

 

●确定公司是否为VIE的主要受益人。

 

在执行第一步时,公司在确定一个实体是否为VIE时考虑的重要因素和判断包括:

 

●实体的设计,包括其风险的性质和实体创建的目的,以确定实体旨在创建和分配给其利益持有人的可变性;

 

●公司参与实体的性质;

 

●是否可以通过不涉及表决权股权的安排实现对实体的控制;

 

●是否有足够的风险股权投资为实体的活动提供资金;以及

 

●权益持有人以外的其他方是否有吸收预期损失的义务或收取剩余收益的权利。

 

如果企业基于上述考虑认定VIE,则进行第二步,通过考虑以下重要因素和判断,评估其是否为VIE的主要受益人:

 

●实体是否有权指导可变利益实体对实体经济绩效影响最大的活动;以及

 

●该实体是否有义务吸收该实体可能对可变利益实体具有重大意义的损失或有权从该实体获得可能对可变利益实体具有重大意义的利益。

 

9

 

 

基于对上述因素的评估和判断,截至2022年9月30日、2023年和2024年9月30日,Origin合并了其作为主要受益者的VIE。

 

托运协议-一般

 

为了对Origin可能不完全拥有的那些公司拥有控制权,收货人State Harvest与这些公司的股东或这些实体的母公司签订了股票代销协议。这些协议将除法定所有权外不能直接持有的所有股份所有权权利委托给他人,从而有效地转移了协议标的股份的控制权。这些权利包括在所有方面管理作为其当事人的股东所持有的所有权股份的权利,包括召集股东大会、提交股东提案、选举董事、就所有事项对股份进行投票以及就所委托的股份行使股东的所有其他权利的所有股东权利。更具体地说,代销协议包括赋予董事、监事的选任权、更换权和增员权,推荐新的董事、监事人员并对标的公司的股份行使管理权、控股权和决策权。此外,中国运营公司的股份由所有权持有人质押给State Harvest。

 

这些股份的每个所有权持有人已同意不干预收货人行使其权利,并充分和迅速合作,以允许他们对委托的股份行使其权力。这包括对收货人向收货人以外的其他人转让或处置股份、使用股份提供担保、将股份委托给他人、以任何方式改变所有权比例、处分股份所有权中的任何权利以及同意任何债务或股份重组的能力的所有限制。收货人有权就委托的股份采取一切行动,以避免其权利受到任何损害或侵犯,包括在委托股东破产的情况下。收货人,根据协议,几乎拥有委托股份的所有财产权,包括利润、利息、股息、红利和剩余资产,但法定所有权除外。如果将来有受委托协议约束的股票可以合法转让,那么,在收货人不采取进一步行动的情况下,应将其全部或部分转让给收货人,不向委托股东追加对价。

 

股票代销协议还规定,如果外国所有权的限制被取消或允许的所有权百分比被提高,则委托的股份将随后转让给收货人。如果没有,则委托协议继续完全有效,并管辖收货人对股份的权利。

 

这些协议受到不可抗力的限制。协议的期限最初为三年,但自动无限期续签,直至收货人和发货人双方同意终止。不存在单方面终止权,除非发生违约情况,在这种情况下,非违约方可以在收到通知且合理补救期已过且违约持续的情况下解除寄售协议。寄售股东已保证其订立协议的权力,且收货人对受寄售协议约束的股份拥有排他性控制权。协议对各自委托股东的继承人、转让人和继承人具有约束力。

 

每份股票寄售协议均受中国法律和规则的可执行性和其他限制。收货人不得转让寄售协议,中国法律许可的除外。但是,我们可以不受限制地转让公司在中间收货人公司的权益。如果出现股东不履行或部分或全部协议无法执行的情况,我们和收货人可能会失去协议的利益,并因此遭受严重的经济损失。无法保证收货人将能够在中国法院强制执行其对委托股东的权利,我们也不知道有任何案例表明这些类型的股票代销协议已被中国法院解释。

 

我们认为,根据中国现行法律,这些协议是可强制执行的。不过,目前这类协议还没有一项受到司法审查或解释。托运协议规定,如果中国法院对条款有任何解释,则协议的解释方式应是尽可能给予收货人所托运股票的全部和实际所有权以及全部受益权利和利益,从而在所有适用法律下近似于完全所有权。

 

10

 

 

2025年9月与海南奥宇有关的修订协议

 

2025年9月19日,Origin Biotechnology通过终止之前的寄售协议,调整了与VIE及其名义股东的合同安排,并订立了更新的合同安排。Origin Biotechnology、海南奥宇及其股东之间订立的经调整合同安排,如下文更详细描述,使我们能够:

 

  · 指导对经济运行影响最显著的海南奥宇活动;

 

  · 为会计目的收取海南奥宇的几乎全部经济利益;和

 

  · 在中国法律允许的时间和范围内拥有购买海南奥宇全部或部分股权和/或资产的排他性选择权。

 

以下是Origin Biotechnology、VIE和VIE股东及其配偶(如适用)之间的合同安排摘要。

 

对VIE提供控制性财务权益的Origin协议

 

代理协议及授权书。根据Origin Biotechnology、海南奥宇及海南奥宇股东之间的《委托代理协议》及《授权委托书》,该等股东不可撤销地授权Origin Biotechnology或由Origin Biotechnology指定的任何人(其)作为其实际代理人行使其作为海南奥宇股东的全部权利,包括但不限于以股东身份召集和出席股东大会、执行和交付任何及所有书面决议和会议记录的权利、保存公章、营业执照正本及副本、行政许可证明,海南奥宇公司章程及其他关键材料按照原点生物技术适用的内部规则运作,自行或委托代理人对股东大会讨论的任何事项进行表决,出售、转让、质押或处置任何或全部股份,提名、任免董事、监事和高级管理人员,监督海南奥宇的经济运行情况,随时全面查阅海南奥宇的财务资料,批准年度预算或宣派股息,对海南奥宇的资产进行管理和处置,对海南奥宇的财务核算和日常经营、海南奥宇章程及相关法律法规赋予的其他股东权利享有充分的控制权和管理权。只要海南奥宇存在,本协议即继续有效。未经原点生物科技事先书面同意,股东无权解除本协议或撤销委托代理律师。

 

确认书和保证书。海南奥宇各股东均签署了确认及保函。根据确认及保证函件,海南奥宇各股东确认、代表及保证,在任何情况下均不影响其在海南奥宇行使权利的能力或任何可能影响或阻碍其履行合同协议义务的行为由可能有权承担其在海南奥宇股权权益的任何其他人进行。海南奥宇各股东进一步确认,一旦中国适用法律允许Origin Biotechnology在没有合同协议的情况下经营海南奥宇经营的业务,他们将解除合同协议并将海南奥宇的全部股份转让给Origin Biotechnology或Origin Biotechnology指定的任何一方,并将通过此收到的任何对价返还给Origin Biotechnology或Origin Biotechnology指定的任何一方。海南奥宇各股东承诺,除非Origin Biotechnology以书面形式另有约定,否则不会从事、拥有或收购与海南奥宇或其关联公司的业务构成竞争或可能构成竞争的任何业务,不会在自身与Origin Biotechnology之间产生利益冲突,一旦发生冲突,将按照Origin Biotechnology的指示采取任何行动消除冲突。

 

11

 

 

配偶同意书。各代持股东的配偶分别签署配偶同意书。根据每份配偶同意书,配偶无条件且不可撤销地放弃根据适用法律可能授予她的此类股份的任何权利或权利,并承诺不对此类股份作出任何权利主张。配偶同意并承诺,她将采取一切必要行动确保合同安排的适当履行,并在因任何原因获得海南奥宇任何股权时受合同安排的约束。

 

股份质押协议。根据Origin Biotechnology与海南奥宇股东之间的股份质押协议,海南奥宇股东已将海南奥宇100%的股权质押给Origin Biotechnology,以保证海南奥宇及其股东履行Origin Biotechnology、海南奥宇与股东之间不时签署的《主独家服务协议》、《业务合作协议》、《独家选择权协议》及协议项下的义务。若海南奥宇或其股东违反其在这些协议项下的合同义务,原点生物作为质权人将有权对质押股份进行全部或部分处置。海南奥宇股东还同意,未经Origin Biotechnology事先书面同意,不转让质押股份,不对质押股份建立或允许存在任何担保权益或其他产权负担,不以任何其他方式处置质押股份,除非通过履行排他性期权协议。我司已按照中国物权法规定向国家市场监督管理总局有关办公室办理了海南奥宇股权质押登记手续。

 

允许Origin为会计目的从海南奥宇获得经济利益的协议

 

主专享服务协议。根据Origin Biotechnology与海南奥宇的主排他服务协议,Origin Biotechnology或其指定的关联实体拥有向海南奥宇提供技术支持和业务支持服务的独家权利,以换取相当于海南奥宇合并净利润100%的费用。未经Origin Biotechnology事先书面同意,海南奥宇不得直接或间接从任何第三方获得本协议项下提供的相同或类似服务,或与任何第三方订立任何类似协议。Origin Biotechnology有权通过考虑(其中包括)服务的复杂性、Origin Biotechnology员工提供服务所花费的时间、所提供服务的内容和商业价值,以及市场上类似服务的基准价格来确定根据本协议向海南奥宇收取的服务费。Origin Biotechnology将拥有因履行本协议而开发的所有知识产权的独家所有权。本协议将一直有效,直至由Origin Biotechnology酌情决定终止或在将海南奥宇的全部股份转让给Origin Biotechnology和/或Origin Biotechnology指定的第三方时终止。

 

商务合作协议。根据Origin Biotechnology之间的《业务合作协议》,海南奥宇与海南奥宇的股东、海南奥宇及海南奥宇的股东同意并承诺,在未取得Origin Biotechnology书面同意的情况下,海南奥宇不得且股东应促使海南奥宇不得从事任何可能对其资产、义务、权利或经营产生重大影响的交易,包括但不限于不在其正常经营范围内的任何活动,或以与其以往惯例不一致的方式经营其业务、合并、重组、收购或重组其主要业务或资产,或以任何其他形式进行有利于第三方的收购或投资,出售给或收购除正常业务过程之外的任何有形或无形资产,对其任何资产产生任何产权负担,或修订其组织章程。海南奥宇应接受且股东应促使海南奥宇接受Origin Biotechnology就海南奥宇的员工聘用和更换、日常经营、股息分配和财务管理制度提出的建议。海南奥宇的股东只能委派原点生物技术指定的人员担任海南奥宇的董事。本协议将一直有效,直至由Origin Biotechnology酌情决定终止或在将海南奥宇的全部股份转让给Origin Biotechnology和/或Origin Biotechnology指定的第三方时终止。

 

12

 

 

提供购买海南奥宇股权选择权的协议

 

独家期权协议。根据Origin Biotechnology、海南奥宇及其股东之间的排他性期权协议,海南奥宇的股东不可撤销地授予Origin Biotechnology或Origin Biotechnology指定的任何第三方以适用的中国法律允许的最低价格购买其在海南奥宇的全部或部分股权的排他性期权。该等股东进一步承诺,除根据股份质押协议作出的质押外,他们将不会允许海南奥宇的任何担保权益的设押,亦不会在未经Origin Biotechnology事先书面同意的情况下转让、抵押或以其他方式处置其在海南奥宇的合法权益或实益权益,并将导致股东大会及/或董事会及/或海南奥宇执行董事不批准该等建议。本协议将一直有效,直至Origin Biotechnology酌情决定终止或在将海南奥宇的全部股权转让给Origin Biotechnology和/或Origin Biotechnology指定的第三方时终止。

 

以下为本公司各寄售协议当事人情况表:

 

        占股比%  
中国运营公司   寄售业主   托运  
海南奥宇   Weibin Yan     50.67 %
    韩庚辰     33.00 %
    刘玉彪     16.00 %
    德智灯     0.33 %
合计         100 %

 

精选简明综合财务资料

 

下表列示了我们的第一级控股公司奥瑞金种业股份有限公司、我们在美国公认会计原则下作为VIE主要受益者的全资子公司(“VIE的主要受益者”)、我们非VIE的其他子公司(“其他子公司”)以及我们在列报日期合并的VIE及其子公司的简明合并财务状况时间表,具体如下:

 

(1)母公司:奥瑞金种业股份有限公司(BVI);

 

(2)拥有权益的其他子公司:OAL SMY Limited(美国)、Beijing Origin State Harvest Biotechnology Limited(中国)及其部分拥有的子公司安徽奥宇、湖北奥宇、山东奥瑞西农;及

 

13

 

 

(3)VIE的主要受益人:北京Origin State Harvest Biotechnology(PRC)和State Harvest Holdings Limited(BVI);以及

 

(4)VIE及VIE附属公司::海南奥域生物科技有限公司(中国)及其控股附属公司、新疆奥瑞金博种子有限公司(中国)、北京奥瑞金农业有限公司(中国)、奥域(三亚)科技有限公司(中国)、徐州奥域(中国)、河南奥域(中国)、安徽奥瑞金农业有限公司(中国)及湖北奥瑞金农业有限公司(中国).。

 

精选简明合并资产负债表数据

 

单位:人民币’000

 

    截至2024年9月30日  
    家长     其他
子公司
    初级
受益人
VIE的
    VIE和
VIE
子公司
(中国)
    消除
调整
    合并
合计
 
公司间应收款(1)   233,294     116,133             (349,427 )    
流动资产总额   239,440     152,707         57,028     (349,427 )   99,748  
对子公司的投资(2)       3,322         144,541     (147,863 )    
通过VIE和VIE的子公司受益(2)               233,520           (233,520 )    
营运资金(赤字)   219,342     68,769     (210,192 )   (162,454 )       (84,535 )
总资产   239,440     156,244     233,520     233,040     (730,682 )   131,562  
公司间应付款项(1)           210,176     139,251     (349,427 )    

 

    截至2023年9月30日  
    家长     其他
子公司
    初级
受益人
VIE的
    VIE和
VIE
子公司
(中国)
    消除
调整
    合并
合计
 
公司间应收款(1)   237,923     119,300             (357,223 )    
流动资产总额   246,788     181,944         70,273     (357,223 )   141,782  
对子公司的投资(2)       11,386         130,541     (141,927 )    
通过VIE和VIE的子公司受益(2)           233,520         (233,520 )    
营运资金   239,913     (38,630 )   (215,363 )   (157,599 )       (171,679 )
总资产   246,788     241,062     233,520     220,777     (703,641 )   238,506  
公司间应付款项(1)           215,347     141,876     (357,223 )    

 

14

 

 

    截至2022年9月30日止财政年度  
    家长     其他
子公司
    初级
受益人
VIE的
    VIE和
VIE
子公司
(中国)
    消除
调整
    合并
合计
 
公司间应收款     216,571                   59,417       (275,988 )      
流动资产总额     223,896       56,807             76,825       (275,988 )     81,540  
公司间应付款项           63,040       212,948             (275,988 )      
营运资金     223,172       (52,156 )     (212,964 )     (169,376 )           (211,325 )
对子公司的投资           90,907                   (90,907 )      
通过VIE和VIE的子公司受益                 233,520             (233,520 )      
总资产     223,896       165,831       233,520       112,123       (600,415 )     135,955  

 

选定的简明合并运营报表数据

 

    截至2024年9月30日止年度  
    家长     其他
子公司
    初级
受益人
VIE的
    VIE和
VIE
子公司
(中国)
    消除
调整
    合并
合计
 
第三方收入           31,025             82,356             113,381  
集团内收入           4,380                       (4,380 )      
总收入           35,405             82,356       (4,380 )     113,381  
收入的第三方成本           (24,137 )           (73,177 )           (97,314 )
集团内部收入成本           (4,380 )                 4,380        
收入总成本           (28,517 )           (73,177 )     4,380       (97,314 )
总营业费用     (16,272 )     (27,692 )           (11,907 )     3,205       (52,666 )
子公司及VIE亏损     (30,674 )             (30,674 )           61,348        
营业外收入(亏损)           (8,255 )           1,174       62,419       55,338  
所得税费用前收入(亏损)     (46,946 )     (29,059 )     (30,674 )     (1,554 )     126,972       18,739  
减:所得税费用           (61 )                       (61 )
净收入     (46,946 )     (29,120 )     (30,674 )     (1,554 )     126,972       18,678  
减:归属于非控股权益的净亏损                             (2,034 )             (2,034 )
归属于奥瑞金种业股份有限公司股东的净利润(亏损)     (46,946 )     (29,120 )     (30,674 )     480       126,972       20,712  

 

15

 

 

    截至2023年9月30日止年度  
    家长     其他
子公司
    初级
受益人
VIE的
    VIE和
VIE
子公司
(中国)
    消除
调整
    合并
合计
 
第三方收入           39,696             53,611             93,307  
集团内收入           18,574                   (18,574 )      
总收入           58,270             53,611       (18,574 )     93,307  
收入的第三方成本           (30,208 )           (45,876 )     24       (76,060 )
集团内部收入成本           (18,574 )                 18,574        
收入总成本           (48,782 )           (45,876 )     18,598       (76,060 )
总营业费用     (5,022 )     (20,448 )           (7,568 )     800       (32,238 )
子公司及VIE收入     39,458             39,458             (78,916 )      
营业外收入(亏损)           (39,394 )           89,807       27,409       77,822  
所得税费用前收入     34,436       (50,354 )     39,458       89,974       (50,683 )     62,831  
减:所得税(福利)费用           (162 )                       (162 )
净收入     34,436       (50,516 )     39,458       89,974       (50,683 )     62,669  
减:归属于非控股权益的净收益(亏损)                       7,337             7,337  
归属于奥瑞金种业股份有限公司股东的净利润     34,436       (50,516 )     39,458       82,637       (50,683 )     55,332  

 

    截至二零二二年九月三十日止年度  
    家长     其他
子公司
    初级
受益人
VIE的
    VIE和
VIE
子公司
(中国)
    消除
调整
    合并
合计
 
第三方收入           45,000             7,580             52,580  
集团内收入           2,584             3,224       (5,808 )      
总收入           47,584             10,804       (5,808 )     52,580  
收入的第三方成本           (31,591 )           (4,795 )           (36,386 )
集团内部收入成本           (2,584 )           (3,224 )     5,808        
收入总成本           (34,175 )           (8,019 )     5,808       (36,386 )
总营业费用     (5,261 )     (17,000 )           (10,345 )     3,516       (29,090 )
子公司及VIE收入     6,316                   6,316             (12,632 )
营业外收入(亏损)           (57,603 )           75,056       (2,246 )     15,207  
所得税费用前收入     1,055             (61,194 )     6,316             67,496  
减:所得税(福利)费用           14                          
净收入(亏损)     1,055             (61,180 )     6,316             67,496  
减:归属于非控股权益的净收益(亏损)                       8,590             8,590  
归属于奥瑞金种业股份有限公司股东的净利润(亏损)     1,055       (61,180 )     6,316       58,906       (11,362 )     (6,265 )

 

16

 

 

选定的简明合并现金流量信息

 

    截至2024年9月30日止年度  
    家长     其他
子公司
    初级
受益人
VIE的
    VIE和
VIE
子公司
(中国)
    消除
调整
    合并
合计
 
经营活动提供(使用)的现金总额     (20,945 )     163             5,751             (15,031 )
用于投资活动的现金总额                       (4,972 )           (4,972 )
筹资活动提供(使用)的现金总额     20,023       (14,019 )           (1,506 )           4,498  
汇率变动的影响     172                               172  
受限制现金                                    
现金、现金等价物和受限制现金净减少额     (750 )     (13,856 )           (727 )           (15,333 )

 

    截至2023年9月30日止年度  
    家长     其他
子公司
    初级
受益人
VIE的
    VIE和
VIE
子公司
(中国)
    消除
调整
    合并
合计
 
经营活动提供的现金总额     (19,864 )     2,717             11,691             (5,456 )
用于投资活动的现金总额           (2,312 )           (8,912 )           (11,224 )
用于筹资活动的现金总额     17,636       6,884             (1,587 )           22,933  
汇率变动的影响     (214 )                             (214 )
受限制现金                                    
现金、现金等价物和受限制现金净减少额     (2,442 )     7,289             1,192             6,039  

 

    截至二零二二年九月三十日止年度  
    家长     其他
子公司
    初级
受益人
VIE的
    VIE和
VIE
子公司
(中国)
    消除
调整
    合并
合计
 
经营活动提供的现金总额     (4,567 )     (2,661 )           10,519             3,291  
用于投资活动的现金总额           (480 )           (622 )           (1,102 )
用于筹资活动的现金总额     1,614       7,306             (9,252 )           (332 )
汇率变动的影响     447                               447  
受限制现金                       14             14  
现金、现金等价物和受限制现金净减少额     (2,506 )     4,165             659             2,318  

 

17

 

 

业务概况

 

Origin及其子公司和VIE控制的实体专注于农业生物技术,在中国运营。我们的种子研发活动专门从事农作物种子育种和遗传改良。Origin认为,它已经在种子育种技术方面建立了坚实的能力,包括标记辅助育种和倍增单倍体技术,它相信,这与其丰富的种质资源一起,将使其成为中国一家重要的种子技术公司。

 

我们在2005年建成了农业生物技术研究中心,从那时起一直在中国的农作物种子公司中引领生物技术的发展。我们建立了植物基因工程技术平台,包括将除草剂耐受性、抗虫性、氮利用效率、耐干旱胁迫性状转化为玉米自交系。值得注意的是,我们在开发我们独家的除草剂耐受性、抗虫和植酸酶产品以及最近的抗旱产品方面取得了重大进展。2009年11月,我司转基因植酸酶玉米获得中国农业农村部生物安全证书(“MARA”)。这是全球首个转基因植酸酶玉米,也是中国首个转基因玉米种子产品。该证书于2015年1月由MARA续签。我们相信我们已经建立了一个实质性的种子产品和种质管道。

 

公司通过子公司新疆原点保持“绿色通行证”地位,为公司在政府加速审批的情况下向中国市场引入杂交新品种提供了竞争优势。

 

我们寻求利用中国的新兴技术基础为我们的未来发展。特别是,我们不时与中国的公费研究机构订立并进一步发展合作协议。作为向这些研究所提供资金的交换条件,我们获得了权利,这通常是独家权利,可以销售这些研究所开发的任何种子。当一种种子准备上市时,我们与研究所协商建立一项安排,根据该安排,我们被允许销售新开发的种子,以换取向研究所支付一定的费用。我们相信,这些合作协议使我们能够获得新产品,而无需为我们自己的研发花费大量成本。

 

18

 

 

2019年12月,中国农业农村部MARA公布了一份获得生物安全证书的转基因性状清单,其中包括两个玉米性状。这标志着转基因玉米技术在中国的潜在商业化。2020年9月,公司两个转基因玉米种子性状的标准检测方法和程序在MARA新公布的国家标准目录中获批。获得国家检测标准批准的性状为公司抗虫耐除草剂双叠加玉米GH5112E-117C和公司耐除草剂玉米G1105E-823。作为批准程序的一部分,这些性状由MARA指定的第三方机构进行测试和审查。该方法将是未来品种开发和商业化中这些性状的检测程序国家标准。

 

在2020年第三财季,公司获得了MARA的人民币650万元(合95万美元)赠款,用于成功评估其两个转基因玉米性状GH5112E-117C和G1105E-823的效果。MARA的赠款计划旨在奖励农业技术创新方面的成就,并加快该技术在农业生产中的应用。Origin的两个转基因性状的授予奖,不仅验证了我们过去研究努力的成功,也表明了政府对中国转基因研究和产品开发的大力支持。

 

近日,农业部多举措鼓励转基因产业。最重要的是,通过一项关于杂交种子审批的新法律。由于法律变更,2021年12月已有3个玉米新性状获得生物安全证书批准。总体而言,在生物安全证书审批暂停数十年之后,政府在转基因生物安全证书审批方面重新开展的活动是非常积极的。还有,2021年12月,农业部公布了转基因玉米和大豆品种审批程序和标准,扫清了中国最后的监管障碍。2022年6月,中国国家农作物品种审定委员会发布了两项标准,应为国内培育转基因(GM)作物扫清道路。这些都是“安全证书”,也是农作物商业化种植前的“品种审定”。特别重要的是“品种审定”。公司认为,既然品种审批障碍已经扫清,转基因作物在中国商业化是真正的可能。

 

风险因素汇总

 

投资Origin涉及重大风险。在投资Origin之前,您应该仔细考虑这份招股说明书中的所有信息。下面请在相关标题下找到我们面临的风险和挑战的汇总。这些风险在标题为“第3项”的部分中进行了更全面的讨论。关键信息–项目3.D.风险因素”,载于我们的2024年年度报告,该报告以引用方式并入本招股说明书。

 

与我们业务相关的风险

 

以下是公司认为投资者在判断公司投资时应考虑的主要风险因素的汇总。下文确定的那些风险因素不应排除本报告中讨论的所有其他风险因素。

 

●我们通过VIE结构运营一部分业务,这意味着最终可能会发现投资者并不拥有我们业务的一部分。与VIE结构相关的风险有很多,本文对此进行了详细说明。

 

●我们业务的各个方面是根据技术服务协议和其他合同安排进行的,这些协议可能无法提供我们期望合同合作伙伴提供的业务结果和保证。

 

●本所审计机构出具了具有持续经营资格的意见。我们预计未来会不时需要营运资金;我们没有确定的筹集资金的手段。

 

●我们需要继续开发新的种子性状,以维持我们的生物技术产品管线。如果我们不开发新产品,不跟上行业趋势,我们的业务就会遇到挫折。

 

19

 

 

●尽管我们认为中国对转基因种子产品的监管方法发生了重大、令人鼓舞的变化,但这些变化是最近才发生的,政府完全接受和消费者对转基因种子产品的接受仍然存在不确定性。

 

●发展我们业务的各个方面是通过合资企业。因此,我们依赖他人帮助我们发展业务;我们可能无法维持这些关系或控制我们的业务伙伴合作。

 

●我们面临来自多方面的竞争,包括传统种子产品和转基因种子市场的国际竞争。

 

●要维护我们的产品完整性,我们必须保护我们的知识产权和我们的产品在市场上的质量。

 

●我们在受监管的行业经营,因此,如果我们不遵守不同的适用法律法规,我们的业务可能会受到损害,我们可能会遭受经济中断和处罚。

 

●由于Origin是一家外国私人发行人,投资者可能无法强制执行总部设在美国或在美国成立的公司的投资者共有的权利。此外,根据SEC和纳斯达克规则,我们不必在报告中提供某些公司治理信息,也不必在美国报告公司层面提供投资者保护。

 

●我们的普通股在纳斯达克的交易不一致。您可能无法以公布的价格或您希望的数量对您的股票进行交易。

 

与在中国开展业务有关的风险

 

●中国有许多有关种子业务和互联网销售业务的法规。如果我们不遵守中国的法规,我们可能无法经营我们的业务或被罚款,这两种情况都会对我们的业务、运营和收入产生不利影响。

 

●公司需要农作物种子生产经营许可证,这是经营的根本。原产地,通过海南奥宇生物技术有限公司正在办理此项许可。如果无法获得许可,Origin的业务将受到重大损害,可能无法开展其主要业务活动。

 

●中国法律、法规和政策的变化可能会对我们产生不利影响。我们可能会受到与中国法律制度有关的不确定性的不利影响,因为许多法律、法规和规则的解释和执行可能会发生变化。由于中国的法律制度和监管环境继续快速演变,中国的规章制度可以在很少提前通知的情况下快速变化。

 

● Origin Biotechnology与其他运营子公司之间的技术服务协议,包括VIE安排,可能会受到中国税务机关转让定价调整的审查。

 

●终止我们的中国子公司目前可获得的任何税收优惠待遇可能会大幅增加我们的税务负债。

 

●中国子公司的税务处理可能会与过去的税务处理有所不同,这可能会增加我们在未来财政年度的税务负债。

 

●根据中国企业所得税法,我们可能被归类为中国“居民企业”。这种分类可能会对我们和我们的非中国股东造成不利的税务后果。

 

20

 

 

●中国经济、政治或社会状况或政府政策的变化可能对我们的业务和运营产生重大不利影响。中国政府对我们开展业务的方式施加重大影响,并可能干预我们在海外进行的发行或对中国发行人的外国投资。中国政府施加更多监督和自由裁量权的任何行动都可能导致我们的经营发生重大不利变化,从而可能对我们的财务状况、经营业绩和我们的未来前景产生重大不利影响,或阻碍我们向投资者提供或继续提供证券的能力。在这种情况下,我们的普通股可能会贬值或变得一文不值。

 

●利润汇回控制措施,在适用于公司子公司的范围内,可能会限制我们支付股息和扩展业务的能力,并可能降低投资于我们的吸引力。

 

●汇率的任何波动都可能对您的投资产生不利影响。

 

●中国有关中国居民境外投资活动的法规可能会增加我们面临的行政负担,并产生监管不确定性,可能会限制我们的境外和跨境投资活动。作为中国居民的我们的股东未能根据此类法规提出任何必要的申请和备案,可能会阻止我们分配利润(如果有的话),并可能使我们和我们的中国居民股东承担中国法律规定的责任。

 

●国际贸易政策的变化,或国际关系紧张局势的升级,特别是与中国有关的紧张局势,可能会对我们的业务和经营业绩产生不利影响。

 

●在对我们、我们的子公司、高级职员和董事实施法律程序送达、执行外国判决或根据美国判决在中国提起原始诉讼方面,您可能会遇到困难。

 

●我们可能会成为被动的外国投资公司,这可能会对美国持有者造成不利的美国税收后果。

 

与拥有我们的普通股相关的风险

 

●我们BVI组织文件中的某些条款可能会阻止我们被第三方收购,这可能会限制您溢价出售您的股份的机会。

 

●根据美国证券法,我们有资格成为外国私人发行人,因此,在向我们的股东和SEC报告财务报表和其他重大事件方面,我们受到减少的要求。

 

●由于Origin是一家外国私人发行人,我们选择在符合限制适用纳斯达克公司治理要求的纳斯达克市场规则的相关合规方面遵循英属维尔京群岛法律。举办年会不要求Origin。我们没有提名和薪酬委员会。

 

●我们的普通股股票持续活跃的交易市场可能无法持续。

 

●我们的股价可能会波动。

 

●虽然我们的独立注册会计师事务所位于美国并在美国运营,但投资者应注意,在中国市场运营的会计师事务所根据美国法律法规可能无法继续这样做。

 

21

 

 

与我公司Structure相关的风险

 

●我们在中国的部分业务是通过合同控制的子公司进行的,而不是直接拥有其100%的股权,其条款可能必须强制执行,这将要求我们产生额外成本,对所涉及的经营业务的所有权造成不确定性,并有可能丧失权利的风险。

 

●股票代销协议是否终止取决于我们董事会和收货人的共识。任何此类终止都可能导致我们持有的某些权利或资产的可能损失,而不会获得公允价值的回报。

 

●如果中国政府发现建立运营我们在中国的部分业务的结构的协议不符合与相关行业相关的中国法规,或者如果这些法规或对现有法规的解释在未来发生变化,我们可能会受到严厉处罚或被迫放弃我们在这些业务中的权益。

 

●与VIE及其股东的合同安排在提供运营控制方面可能不如直接所有权有效。

 

● VIE或其股东未能履行与其订立的合同安排项下的义务将对我们的业务产生重大不利影响。

 

● VIE的股东可能与我们存在实际或潜在的利益冲突。

 

●我们在整体企业组织内使用VIE结构会使公司面临该部分业务的潜在损失。我们参与粮食种子研究,这是一个对外资所有权有限制的行业,可能会鼓励中国政府干预我们的运营。

 

●与VIE相关的合同安排可能会受到中国税务机关的审查,他们可能会确定我们或VIE欠缴额外税款,这可能会对我们的财务状况和贵方投资的价值产生负面影响。

 

●我们目前的公司结构和业务运营可能会受到新颁布的《外商投资法》的实质性影响。

 

●如果VIE宣布破产或受到解散或清算程序的约束,我们可能会失去使用和享有VIE持有的对我们的业务运营至关重要的资产的能力。

 

●除了我们的资本资金,我们可能依赖我们全资和部分拥有的子公司的股息和其他分配以及VIE向上游合法可用资金的运营成本和BVI控股公司可能向投资者进行的任何分配。

 

●中国证监会、中国网信办或其他政府机构的监督可能会对我们的业务产生不利影响,可能需要他们就本次发行进行批准,如果需要,我们无法预测我们是否能够获得此类批准。

 

风险因素

 

投资我们的证券涉及高度风险。您应该仔细考虑我们的报告中描述的风险因素我们截至2024年9月30日的财政年度的经修订的20-F表格年度报告以及我们向SEC提交的其他文件所载的年度报告,这些文件通过引用方式并入本招股说明书、任何随附的招股说明书补充文件以及本招股说明书和任何补充招股说明书所载的与购买我们的任何证券之前的任何证券的发售有关的所有其他信息。本招股说明书中的部分陈述,构成前瞻性陈述。请参阅标题为“前瞻性陈述”的部分。

 

22

 

 

适用于我们提供的每一类型或系列证券的招股说明书补充文件可能包含对适用于我们根据该招股说明书补充文件提供的特定类型证券的风险的讨论。在就投资我们的证券作出决定之前,您应仔细考虑适用的招股说明书补充文件中“风险因素”标题下讨论的特定因素,以及招股说明书补充文件中包含的或在本招股说明书中出现或以引用方式并入的所有其他信息。这些风险可能会对我们的业务、经营业绩或财务状况产生重大影响,并导致我们的证券价值下降。你可能会损失全部或部分投资。

 

一般市场导向风险因素

 

如果我们能够通过发售出售任何证券,除非招股说明书补充文件中另有说明,所得款项一般可用于一般公司用途;因此,我们的管理层可能会对所得款项的用途拥有广泛的酌处权。

 

如果我们能够出售任何证券,很可能所得款项将用于一般公司用途。在这种情况下,我们的管理层将对收益的使用拥有广泛的自由裁量权。这些一般用途将包括资助运营成本、研发、营运资金需求和其他一般公司用途,包括可能的收购和对其他业务的投资。我们的管理层将有相当大的酌情权运用所得款项净额,而投资者将没有机会作为其投资决定的一部分,评估所得款项是否被适当使用。所得款项净额(如有的话)可用于不会改善我们的经营业绩或提高我们普通股价值的公司用途。我们的管理层未能有效使用这些资金可能会对我们的业务产生重大不利影响,导致我们普通股的市场价格下降并损害我们产品的商业化和/或延迟我们的候选产品的开发。

 

23

 

 

我们对未来融资的需求可能会导致发行证券导致投资者经历稀释。

 

我们不时要求股权资本为我们的运营提供资金。我们的资金需求取决于许多因素,包括我们的收入、我们的开支,以及,除其他外,我们的研发活动的资金需求。我们目前认为,我们将需要获得与我们的持续运营相关的大量额外资金。无法保证我们有能力在必要时以被认为对我们有利的条款获得额外融资。如果需要额外资金且无法成功筹集,我们可能不得不限制我们当时的运营和/或可能不得不削减我们的某些(如果不是全部)业务目标和计划。

 

我们的股价过去一直波动,最近一直波动,未来可能会波动,因此,我们普通股的投资者可能会蒙受重大损失。

 

我们的股价过去有过波动。近期波动较大,未来可能波动较大。此外,总体上出现了股票市场和行业的广泛波动,尤其是生物技术公司的市场经历了往往与特定公司的经营业绩无关的波动。由于这种波动,投资者在投资我们的普通股时可能会蒙受损失。我们普通股的市场价格可能受到许多因素的影响,包括但不限于以下因素:

 

· 投资者对我们业务战略的反应;

 

· 具有竞争力的公司及其产品或技术的成功;

 

· 监管或法律发展,特别是适用于我们的转基因种子产品的法律或法规的变化;

 

· 监管机构就我们的种子产品和转基因授权采取的行动;

 

· 我们的财务业绩或被认为与我们相似的公司的财务业绩存在差异;

 

· 我们收购额外产品和建立电子商务分销平台的努力的成功;

 

· 我们或我们的竞争对手关于重大收购、战略合作伙伴关系、合资企业或资本承诺的公告;

 

· 有关所有权的发展或争议;

 

· 我们是否有能力筹集额外资金以及我们筹集资金的条件;

 

· 关键人员的招聘或离职;

 

· 种子分销和中国农产品市场部门的条件;

 

· 股票市场价格普遍下跌;

 

· 有关我们的普通股、其他可比公司或我们所在行业的一般盈利预测的实际或预期变化或股票市场分析师建议的变化(如有);

 

· 我们普通股的交易量;

 

24

 

 

· 我们或我们的股东出售我们的普通股,包括我们普通股的期权和认股权证;

 

· 一般经济、行业和市场情况;

 

· 其他事件或因素,包括由此类事件引起的事件或因素,或此类事件的前景,包括战争、恐怖主义和其他国际冲突,公共卫生问题,包括健康流行病或流行病,如新冠疫情,以及火灾、飓风、地震、龙卷风或其他不利天气和气候条件等自然灾害,无论是在中华人民共和国、美国或其他地方发生,都可能扰乱我们的运营、扰乱我们供应商的运营或导致政治或经济不稳定;和

 

· 本“风险因素”一节所述的其他风险,以及以引用方式并入本招股说明书的文件中所包含的“风险因素”两节所述的其他风险。

 

这些广阔的市场和行业因素可能会严重损害我们普通股的市场价格,无论我们的经营业绩如何。由于我们普通股的股价过去一直波动,不时波动,未来可能波动,我们普通股的投资者可能会蒙受重大损失。过去,随着市场的波动期,往往会对公司提起证券集体诉讼。如果对我们提起此类诉讼,可能会导致大量成本,并转移管理层的注意力和资源,这可能会对我们的业务、财务状况、经营业绩和增长前景产生重大不利影响。

 

关联公司出售其普通股股份可能会导致我们股票的市场价格下跌。

 

我们的关联公司出售我们的普通股可能会增加股票销售量,并可能对证券市场普通股的价格产生不利影响,使其价格低于特此发售股票的价格。的投资者可能无法出售其普通股以收回其购买价格,可能不得不长期持有其普通股。

 

我们有根据我们的条款和备忘录授权并可供发行的额外证券,如果发行,可能会对我们普通股持有人的权利产生不利影响。

 

我们的章程和备忘录授权,根据我们的董事会决议,在未经股东批准的情况下,与我们目前的流通股相比,发行大量普通股。任何未来的普通股发行将进一步稀释我们普通股持有人持有的我们的所有权百分比。此外,增发股份可能被用作“反收购”手段,而我国股东方面没有采取进一步行动,并可能对普通股股东产生不利影响。

 

如果我们未能保持遵守纳斯达克的继续上市要求,我们将面临可能的退市,这将导致我们普通股的公开市场有限,并使我们更难获得未来的债务或股权融资。

 

我们的普通股在纳斯达克交易和上市,代码为“SEED”。不时地,我们并没有遵守纳斯达克的各项上市要求。无法保证我们将能够保持符合纳斯达克持续上市的要求,或者如果我们未能保持所要求的合规性,我们将能够重新获得合规性。如果我们不能保持或重新合规,我们的普通股将失去在纳斯达克的地位,它们很可能会在场外市场交易。因此,出售普通股可能会更加困难,因为可能会买卖较小数量的股票,交易可能会延迟,证券分析师对我们的覆盖范围可能会减少。此外,在普通股退市的情况下,经纪交易商将承担一定的监管负担,这可能会阻碍他们对普通股进行交易,并进一步限制普通股的流动性。这些因素可能会导致普通股的出价和要价出现更低的价格和更大的价差。从纳斯达克退市和市场普通股价格下跌可能会削弱我们通过股权或债务融资筹集额外必要资本的能力,并可能显着增加公司在融资或其他交易中发行股权对股东造成的所有权稀释。

 

25

 

 

我们是根据英属维尔京群岛的法律注册成立的,这可能会限制股东对公司强制执行其权利的能力。

 

英属维尔京群岛的证券法体系不发达,与美国证券法相比,现有的法律对投资者的保护较少。此外,不确定股东是否可能在美国对一家英属维尔京群岛公司及其董事和高级职员发起派生诉讼。股东也可能难以在美国法院执行基于美国联邦证券法对公司及其高级职员和董事的民事责任条款在美国法院获得的判决。英属维尔京群岛法院是否会承认或执行美国法院根据美国或任何州证券法的民事责任条款对公司或其高级职员和董事作出的判决存在不确定性。英属维尔京群岛没有法定承认在美国获得的判决,尽管英属维尔京群岛的法院一般会承认和执行具有管辖权的外国法院的非刑事判决,而无需对案情进行重审。不确定英属维尔京群岛法院是否有资格审理在英属维尔京群岛对我们或那些基于美国联邦证券法或美国任何州证券法的人提起的原始诉讼。

 

基本上所有的公司资产都位于中国。我们的大多数董事和高级管理人员是美国以外司法管辖区的国民或居民,他们的大部分资产位于美国境外。这些人包括:韩庚辰先生、陈绍江先生、Min Lin先生、Weibin Yan先生、迟健成先生。因此,股东可能难以在美国境内向这些非美国个人送达诉讼程序,或难以在美国对公司或这些个人提起诉讼,或难以对公司或这些人执行在美国法院获得的任何判决,包括基于美国或美国任何州证券法民事责任条款的判决。

 

此外,公司已被告知,外国判决在英属维尔京群岛不具有直接效力。然而,可能会通过普通法的诉讼来执行外国判决,或者在某些司法管辖区的判决的情况下,通过根据《外国判决互惠执行条例》或英属维尔京群岛的《判决互惠执行法》进行登记来执行外国判决。需要注意的是,并不是每一项外国判决都具有强制执行的能力。有些人可能只会得到英属维尔京群岛法院的承认。《相互执行判决法案》(经修订)和《外国判决(相互执行)条例》(经修订)不适用于以色列或美利坚合众国,因此必须寻求通过普通法执行。

 

(a)根据普通法,英属维尔京群岛法院将在外国司法管辖区法院针对债务人获得的任何确定数额的最终和结论性金钱判决视为债务本身的诉讼因由,因此只要就外国判决而言满足某些标准,就无需对这些问题进行重新审判。

 

(b)在英属维尔京群岛以外的外国法院进行的司法程序的一方当事人,如作出有利于其的非金钱判决,如宣告性判决或强制令,在某些情况下可在英属维尔京群岛法院执行该判决。这将涉及该方在英属维尔京群岛提起新的诉讼,在这些诉讼中,可依据公平禁止反言原则从英属维尔京群岛法院获得简易判决,理由是重新提起诉讼的索赔将是滥用程序。为了利用公平的不容反悔原则,必须满足某些要求,包括:(a)非金钱的外国判决必须基于英属维尔京群岛法律承认的诉讼因由;(b)外国司法程序必须有相同的当事人和相同的问题;(c)外国判决必须由具有司法权威的法院作出;(d)判决必须是最终的和结论性的;以及(e)判决债务人必须在外国程序启动时已经在外国境内,或已通过自愿在外国程序中出庭而服从外国法院的管辖权,或在这些程序启动之前,同意就程序标的事项服从外国法院的管辖权。

 

26

 

 

商业

 

概述

 

奥瑞金种业股份有限公司,简称Origin,及其子公司专注于农业生物技术,在中国运营。我们的种子研发活动专门从事农作物种子育种和遗传改良。Origin认为,它已经在种子育种技术方面建立了坚实的能力,包括标记辅助育种和倍增单倍体技术,它相信,这与其丰富的种质资源一起,将使其成为中国一家重要的种子技术公司。

 

我们在2005年建成了农业生物技术研究中心,从那时起一直引领着中国农作物种子公司的生物技术发展。我们建立了植物基因工程技术平台,包括将抗除草剂、抗虫性、氮利用效率、耐干旱胁迫性状转化为玉米自交系。值得注意的是,我们在开发我们的独家除草剂耐受性、抗虫和植酸酶产品以及最近的抗旱产品方面取得了重大进展。我们正在中国寻求转基因种子产品的批准,包括转基因植酸酶玉米、耐草甘膦玉米和抗虫玉米。我们相信我们已经建立了一个实质性的种子产品和种质管道。

 

近日,农业部采取多项举措鼓励转基因产业。2022年6月,中国国家农作物品种审定委员会发布了两项标准,应为国内培育转基因(GM)作物扫清道路。这些是农作物商业化种植前的“安全证书”和“品种审定”流程。尤为重要的是“品种审定”。公司认为,既然品种审批障碍已经扫清,转基因作物在中国商业化是真正的可能。这些指标通常被视为国家准备允许转基因增强玉米在中国商业化。不过,未来转基因玉米调控的确切时间和性质仍不确定。因此,监管不确定性持续存在。

 

公司通过子公司新疆原点保持“绿色通行证”地位,为公司在政府加速审批的情况下向中国市场引入杂交新品种提供了竞争优势。

 

我们寻求利用中国的新兴技术基础为我们的未来发展。特别是,我们不时与中国的公费研究机构订立并进一步发展合作协议。作为向这些研究所提供资金的交换条件,我们获得了权利,这通常是独家权利,可以销售这些研究所开发的任何种子。当一种种子准备上市时,我们与研究所协商建立一项安排,根据该安排,我们被允许销售新开发的种子,以换取向研究所支付一定的费用。我们相信,这些合作协议使我们能够获得新产品,而无需为我们自己的研发花费大量成本。

 

企业信息

 

Origin于2005年2月10日在英属维尔京群岛注册成立,并于2006年7月10日通过重新注册受2004年《英属维尔京群岛商业公司法》管辖。

 

Origin的前身Chardan China Acquisition Corp.是一家空白支票公司,于2003年12月5日根据特拉华州法律组建为公司。为与一家或多家在中国开展业务的公司进行业务合并而成立。2005年2月,Chardan China Acquisition Corp.重新驯化并继续作为一家英属维尔京群岛公司,随后它通过收购State Harvest Holding Inc.(一家英属维尔京群岛公司,该公司是中国业务的所有者),收购了中国业务公司。作为此次收购的一部分,母公司更名为“奥瑞金种业股份有限公司”,在此简称为Origin。

 

我们的普通股,自2019年6月5日起在纳斯达克资本市场交易。在该市场交易之前,我们的普通股于2005年11月8日至2007年6月25日在纳斯达克全球市场交易,于2007年6月26日至2019年6月4日在纳斯达克全球精选市场交易。

 

27

 

 

我们的主要执行办公室位于中国北京市通州区宋庄镇徐双路Origin研发中心101119,我们的电话号码是(86-10)8958-6206。

 

近期企业转型历史

 

我们成立时是一家私营传统的种子开发、营销、分销公司。我们的开发活动包括创造转基因种子。2015年,我们开始了从传统种子公司向生物科技种子公司的企业战略转型。我们开发了转基因玉米种子产品,包括我们的第一代生物技术产品植酸酶性状、第二代生物技术产品草甘膦耐受性状以及我们的BT和草甘膦耐受基因堆叠性状新技术。2016年,我们完成了第一代害虫/杂草性状的实验室和田间生产试验。

 

2016年9月,作为我们企业重新聚焦的一部分,我们与我们当时控制的公司Beijing Origin Seed Limited(“北京Origin”)、德农正诚Seed Limited(“德农”)、长春Origin Seed Technology Development Limited(“长春Origin”)、Linze Origin Seed Limited(“临泽Origin”)与北京世辉农业发展有限公司(一家根据中国法律注册成立的公司)(“世辉”)订立总交易协议,以向世辉出售我们在中国的商业种子生产和分销资产以及某些其他资产(“出售”)。2018年完成第一期主交易协议,出售子公司德农、长春原点、临泽原点。我们终止了第二阶段的主交易协议,并保留了我们在北京Origin下的商业种子业务以及在北京的总部大楼。

 

在2018年和2019年期间,我们为种子分销建立了区域合资企业。这些合资公司包括:湖北省的湖北奥宇、安徽省的安徽奥宇、江苏省的徐州奥宇、山东省的山东奥瑞西农和河南省的河南奥宇。Origin间接持有安徽奥宇50%股权,持有其他合资公司51%股权。这些合资企业的剩余股权由当地经销商持有。Origin通过Origin Biotechnology拥有这些合资企业。

 

2019年,公司与北京市昌平区政府拥有的实体北京昌平科技InnoDevelopment Group(BC-TID)订立合作框架协议。根据该协议,BC-TID与公司组成新实体,其中51%和49%的股权将分别由BC-TID和公司拥有。北京Origin为新实体贡献了位于北京的总部大楼。作为协议的一部分,BC-TID总共投资了人民币1.377亿元(约合2020万美元)。该交易已由Origin和BC-TID双方完成,并已获得所需政府官员的批准。随着本次交易于2023年8月完成,BC-TID和Beijing Origin State Harvest Biotechnology Limited(Origin Biotechnology)分别拥有北京Origin 51%和47%的股权。北京Origin还在2023财年将其对新疆Originbo的全部所有权转让给了海南奥宇。现金金额用于偿还公司关于总部大楼的银行贷款及提供流动资金。作为协议的一部分,公司将北京Origin的种子业务转让给北京Origin State Harvest Biotechnology Limited(Origin Biotechnology)和海南奥宇生物科技有限公司(海南奥宇),其中前者为公司在中国的全资实体,后者为公司于2022年在海南省注册的中国VIE。

 

海南奥宇地处中国热带地区。在海南有子公司和运营,可以让我们在冬季期间进行研究。Origin Biotechnology通过VIE安排持有海南奥宇100%的所有权。也是在2022年,我们在新泽西州创立了美国子公司OAL SMY Corporation,。

 

2023年,我们签订了玉米供应链和营养增强玉米(NEC)合同种植业务的区域合资企业。合资公司为河南省宝岛原产地。Origin间接持有合资公司51%的股权,剩余股权由一家饲料加工企业持有。2024年9月,Origin退出合资企业。

 

28

 

 

收益用途

 

除非在招股章程补充文件中另有说明,否则出售特此提供的证券所得款项净额将用于一般公司用途和营运资金需求,其中可能包括(其中包括)偿还或回购债务义务、赎回未偿还的股本证券和其他资本支出。我们还可能将部分净收益用于许可或获得知识产权或技术,以纳入我们的产品和产品候选者或我们的研发计划、资本支出,为可能的投资和收购互补业务或合作伙伴关系提供资金。我们尚未确定我们计划在上述领域花费的金额或这些支出的时间,截至本招股说明书日期,我们目前没有关于收购的计划。因此,除非招股章程补充文件中另有说明,否则我们的管理层将拥有广泛的酌情权来分配此次发行的净收益。在其最终用途之前,我们打算将所得款项净额投资于多种证券,包括商业票据、政府和非政府债务证券和/或投资于此类证券的货币市场基金。

 

29

 

 

股息政策

 

我们不计划在可预见的未来就我们的普通股宣布任何现金股息。我们希望保留所有可用的现金资金和未来收益(如果有的话),为我们业务的发展和增长提供资金。任何未来决定就我们的普通股支付股息(如果有的话)将由我们的董事会酌情决定,除其他因素外,将取决于我们的经营业绩、财务状况、资本要求和合同限制以及《不列颠哥伦比亚省法案》的要求。

 

我们可能提供的普通股的描述

 

以下对我们普通股的描述仅为摘要。本说明和任何招股章程补充文件中所载的说明均受制于我们的组织章程大纲和章程细则、备忘录和章程细则,每一项均经不时修订,这些备忘录和章程细则此前已根据《英属维尔京群岛商业公司法》(经修订)向美国证券交易委员会和英属维尔京群岛领土提交。

 

我们,有时被称为公司,是一家英属维尔京群岛公司,我们的事务受我们不时修订的组织章程大纲和章程细则、《英属维尔京群岛商业公司法》(经修订)(我们在下文中称为“BC法”)和英属维尔京群岛普通法的约束。以下是我们的组织章程大纲和章程细则以及BC法案的重要条款摘要,因为它们与我们普通股的重要条款有关。

 

注册办事处及对象

 

我们在英属维尔京群岛的注册办事处位于Maples Corporate Services(BVI)Limited,PO Box 173,Kingston Chambers,Road Town,Tortola,British Virgin Islands的办事处。

 

我们的成立是为了不受限制的目的,我们有充分的权力和权力执行《不列颠哥伦比亚省法案》或英属维尔京群岛任何其他法律未禁止的任何目标。

 

董事会

 

公司的业务和事务应由董事管理,他们可行使公司的所有权力,而这些权力不是通过BC法案或备忘录或章程细则规定由公司成员行使的,受本章程可能授权的权力的任何转授及成员的决议所订明的规定的规限;但如成员的决议提出的要求与本章程不一致,则不应以该要求为准,该要求不应使董事的任何先前行为无效,而该行为在没有作出该要求的情况下本应有效。

 

董事最低人数为五人,不设最高人数限制。董事可以通过董事决议变更董事人数。只要公司的股票在纳斯达克上市,只要公司是外国私人发行人,董事就应包括适用法律、法规或纳斯达克法规要求的外国私人发行人所需的独立董事人数。持续董事可采取行动,即使其机构出现任何临时空缺,但只要留任的董事人数不少于订明的适当资格行事的最低人数,但如人数低于订明的最低人数,则其余董事除为填补该空缺外,不得采取行动。董事会因死亡、辞职、免职或其他原因出现的任何空缺,以及因成员会议之间授权董事人数增加而产生的任何新设立的董事职位,可通过当时在任的所有董事的过半数赞成票(即使低于法定人数)或通过成员决议填补。

 

30

 

 

董事无需拥有任何普通股即可担任董事。董事必须是个人。

 

董事须领取董事会不时厘定的薪酬。

 

股东提名的董事

 

股东提名,除由董事作出或应董事指示作出的提名外,须根据及时向公司秘书发出的书面通知作出。为及时,会员的通知须在不少于上一年度年会周年日的60天前或不多于90天前送达或邮寄至公司各主要执行办公室并收取;但如年会日期自该周年日起变动超过30天,会员的及时通知必须不迟于首次公开披露年会日期的翌日第十天的营业时间结束时收到。原会议的任何休会或延期,如会议将于原定日期起计30天内重新召开,就本通知而言,须视为原会议的延续,且不得在任何该等重新召开的会议上作出任何成员提名的拟当选公司董事,除非根据在原定日期召开的会议的及时通知。每份该等通知应载列:

 

  (一) 拟作出提名的成员及拟获提名人士的姓名及地址;
  (二) 表示该成员是有权在该会议上投票的公司股份记录持有人,并表示他打算亲自或委托代理人出席会议以提名通知中指定的人士;
  (三) 说明成员与每名被提名人和任何其他人(指名者)之间达成谅解的所有安排,据此成员将作出提名;
  (四) 有关该成员提议的每一位被提名人的其他信息,如果每一位被提名人均由董事提名或打算由董事提名,则本应被要求包含在根据美国证券交易委员会代理规则提交的代理声明中;
  (五) 如获推选,每名获提名人同意担任公司董事;及
  (六) 如果该成员打算征集代理人以支持该成员的提名,则进行大意上的代表。

 

会议主席可以拒绝承认任何不符合前述程序作出的人的提名。只有按照章程规定的程序获提名的人士,才有资格担任公司董事。如在应进行董事选举的任何成员会议上,任何退任董事的职位未获填补,则他如愿意,须继续任职至下一年度的成员年会解散为止,每年如此,直至其职位获填补为止,除非在该会议上决定不填补该空缺。

 

董事仅在下列情况下停止担任董事职务:(a)如其心智变得不健全;(b)如(除非他没有被要求持有股份资格)他在获委任后两个月内没有适当的资格,或如他不再持有符合其任职资格所需的股份数目;(c)如他未经董事会许可连续六个月缺席董事会议,但董事有权给予任何董事任何一段或无限期的休假;(d)如果他去世;(e)一个月后,或在他已书面通知其辞职意向后,经董事更早的许可;(f)如果他应根据该法案的规定,被取消任职资格或不再担任董事职务或被禁止代行董事职务;(g)经过半数董事签署的决议被免职的;或(h)经成员决议因故被免职的。就本协议而言,因由指董事故意持续不能实质履行其对公司的职责(因身体或精神疾病丧失工作能力而导致的任何该等失败除外)或董事故意从事对公司具有重大和明显损害的严重不当行为;或(i)如他被公司大多数成员的决议无故免职,即为有权就其投票的股份的未行使表决权的662/3%或以上的持有人的赞成票。

 

普通股和优先股

 

公司获授权发行以下两类股份:(a)60,000,000股一系列无面值股份(“普通股”);及(b)1,000,000股一系列无面值优先股(“优先股”)。公司可以发行零碎股份,零碎股份应享有同一类别或系列股份的整股股份相应的零碎权利、义务和负债。我们所有已发行和流通在外的普通股均已缴足且不可评税。我们的普通股以记名形式发行,并在我们的会员名册登记时发行。我们不得向不记名股东发行股份。非英属维尔京群岛居民的我国股东可自由持有和转让其普通股。

 

公司董事会获授权修订公司组织章程大纲及章程细则,以订定不时创设一类或多于一类优先股的股份,并根据该等修订,确定将纳入每个该等类别的股份数目及系列,并订定各该等类别的股份的名称、相对权利、优惠、资格及限制。

 

31

 

 

董事会对每个类别的权力应包括但不限于确定以下事项:(a)构成该类别的股份数量和系列以及该类别的独特名称;(b)该类别股份的股息率,股息是否应是累积的,如果是,从哪个日期或多个日期开始,以及这些股息是否应优先于任何其他类别或多个类别的股票应付的股息支付,或在其他方面支付;(c)该类别是否应具有投票权,除法律规定的投票权外,如有,该投票权的条款;(d)该类别是否拥有转换或交换特权,如有,该转换或交换的条款和条件,包括在董事会应确定的事件中调整转换或汇率的规定;(e)该类别的股份是否可赎回,如有,该赎回的条款和条件,包括在赎回股份少于全部股份时选择赎回股份的方式,可赎回的一个或多个日期,以及赎回时应付的每股金额,该金额在不同条件下和不同赎回日期可能会有所不同;(f)该类别是否有权受益于适用于购买或赎回该类别的股份的偿债基金,如果有,该偿债基金的条款和金额;(g)该类别的股份受益于公司或任何子公司产生债务的条件和限制的权利,在发行任何额外股票(包括任何其他类别的该类别的额外股份)时,以及在支付股息或作出其他分派时,以及公司或任何附属公司购买、赎回或以其他方式收购公司的任何已发行股票时;(h)在公司发生任何自愿或非自愿清盘、解散或清盘的情况下,该类别的股份的权利,以及该等权利是否应优先于,或在其他方面,任何其他类别或类别股票的可比权利;及(i)该类别的任何其他相对、参与、可选或其他特殊权利、资格、限制或限制。

 

我们的普通股股东有权获得我们的董事会可能宣布的股息,但须遵守组织章程大纲和章程细则以及BC法案。

 

普通股股东对股东大会须表决的所有事项享有一票表决权。

 

股东法定人数

 

股东大会所需的法定人数是,如果在会议开始时,有权就将在会议上审议的成员的决议投票的股份或类别或系列股份的投票人数不少于50%的亲自出席或委托代理人出席。如有法定人数出席,即使该法定人数可只由一人代表,则该人可解决任何事宜,而由该人签署的证明书,如该人是代表,并附有代表表格的副本,即构成成员的有效决议。

 

股东提案

 

股东若要将业务妥善提交会员年会,该股东必须已在公司主要行政办公室以亲自送达或预付挂号邮递方式及时向公司秘书发出书面通知。为及时起见,会员的通知必须在不少于上一年年会周年日的60天或90天前送达;但条件是,如果年会日期自该周年日起变动超过30天,为及时起见,会员的通知必须不迟于首次公开披露年会日期的翌日的第10天营业时间结束时收到。任何原会议的休会或延期,而会议将于原定日期起计30天内重新召开,就通知而言,须当作原会议的延续,且不得在任何重新召开的会议前提出任何事务,除非该等事务的及时通知已按原定时间向会议秘书发出。会员向秘书发出的通知,须就会员希望在会员大会上提出的每一事项载明:(i)希望在大会上提出的业务的简要说明;(ii)提出该业务的会员的名称和记录地址;(iii)该会员实益拥有的公司股份的类别和数量;(iv)该会员在该业务中的任何重大权益;及(v)如该会员打算为支持该会员的建议而征集代理人,则须就此作出陈述。

 

特别会议

 

成员特别会议(即所有非年会的成员会议)只能由董事根据就此作出的董事决议或根据持有公司已发行有表决权股份50%以上表决权的成员的书面请求召集。

 

32

 

 

股东批准

 

股东的决议将在正式召开和组成的公司股东大会上以(a)出席会议并获得表决且未弃权的有权就其投票的股份的简单多数票的赞成票通过,或(b)出席会议并有权就其作为类别或系列投票的每一类别或系列股份的简单多数票并获表决而非弃权,以及出席会议并获表决而非弃权的余下有权就其投票的股份的简单多数票。

 

纳斯达克市场规则排除项

 

然而,作为一家证券在纳斯达克资本市场上市的外国私人发行人(“FPI”),我们被允许遵循某些母国公司治理实践,而不是根据规则5615遵守《纳斯达克市场规则》的要求,该规则规定了遵守规则5600系列的豁免。我们已向纳斯达克提供了向公司提供这些豁免所需的文件。我们是根据英属维尔京群岛的法律注册成立的。我们的普通股已在SEC注册,并在纳斯达克资本市场上市。因此,我们的公司治理框架受英属维尔京群岛(BVI)法律、美国证券法律法规以及纳斯达克市场规则的上市要求的约束。根据《纳斯达克市场规则》第5615条,外国私人发行人可以遵循其母国惯例来代替《纳斯达克市场规则》的要求。第5605条规定,美国国内上市公司的董事会中独立董事占多数。根据BVI法律,我们不需要在我们的董事会中拥有多数独立董事。然而,目前,根据适用的纳斯达克规则,我们的七名董事中有四名是独立董事。根据第5605条规则,美国国内上市公司需要有一个提名委员会和薪酬委员会。根据BVI法律,我们不需要拥有这些委员会,因此根据纳斯达克规则,我们也不需要拥有这些委员会。尽管它们不是必需的,但我们确实有这两个委员会,并在成员的独立性要求上遵循纳斯达克市场规则。根据规则5620,美国国内发行人必须征集代理人,并为所有股东大会提供代理声明。英属维尔京群岛法律没有这样的强制性要求,因此,我们不需要召开股东年会。关于年会,我们遵循母国惯例。根据规则5635,美国国内上市公司必须在低于市场价格或账面价值的情况下,获得股东批准股权奖励计划和基于我们已发行普通股的超过一定数量的股权证券发行。英属维尔京群岛法律没有这类强制性要求。我们不计划就2014年计划中的股份变动或增加、2021年计划的批准,或未来董事批准的任何其他股权奖励计划,或以低于市场价格或账面价值出售的超过公司已发行普通股20%的股本证券的发行获得股东批准。

 

股份转让

 

我们的股东可以通过通常或共同形式的转让文书或我们董事会批准的任何其他形式转让其全部或任何普通股。

 

反收购效应

 

我们的组织章程大纲和章程细则的某些条款可能会阻止、延迟或阻止股东可能认为有利的我们公司或管理层的控制权变更,包括授权我们的董事会在一个或多个系列中发行优先股以及指定此类优先股的价格、权利、优惠、特权和限制而无需我们的股东进一步投票或采取行动的条款。

 

33

 

 

我们可能提供的认股权证说明

 

以下对权证的描述仅为摘要。本说明以适用的权证协议的规定为准,并通过引用对其进行整体限定。

 

我们可以为购买普通股发行认股权证。认股权证可以独立发行,也可以与普通股一起发行,并且可以附属于任何其他发售证券或与任何其他发售证券分开发行。任何认股权证的发行将受适用的认股权证形式的条款和任何相关的认股权证协议的约束,我们将在我们发行任何认股权证时或之前将其作为证据提交我们的登记声明。

 

任何认股权证发行的特定条款将在有关发行的招股章程补充文件中描述。这些条款可能包括:

 

· 该等认股权证的所有权;

 

· 该等认股权证的总数;

 

· 发行该等认股权证的价格;

 

· 可支付该等认股权证价格的一种或多种货币(包括复合货币);

 

· 行使该等认股权证时可购买的证券的条款以及与行使该等认股权证有关的程序和条件;

 

· 行使该等认股权证时可购买的证券的买入价格;

 

· 行使该等认股权证的权利开始之日及该权利届满之日;

 

· 认股权证行权时调整应收证券数量或金额或认股权证行权价格的任何规定;

 

· 如适用,该等认股权证可于任何时间行使的最低或最高金额;

 

· 如适用,发行该等认股权证的证券的名称及条款,以及每份该等证券所发行的该等认股权证的数目;

 

· 如适用,该等认股权证及相关证券可分别转让的日期及之后;

 

· 有关记账程序的信息(如有);和

 

· 该等认股权证的任何其他条款,包括有关交换或行使该等认股权证的条款、程序及限制。

 

与购买普通股的任何认股权证有关的招股说明书补充可能还包括(如适用)对某些美国联邦所得税和ERISA考虑因素的讨论。

 

每份认股权证将赋予其持有人以适用的招股章程补充文件中规定的或可计算的行使价购买普通股数量的权利。行权价格可以现金支付,也可以无现金行权或BC法案允许的任何其他方式支付。

 

到期日收市后,未行权认股权证将作废。我们将在适用的招股说明书补充文件中具体说明认股权证可能行使的地点和方式。

 

34

 

 

在行使任何认股权证以购买普通股之前,认股权证持有人将不享有行使时可购买的普通股持有人的任何权利。

 

分配计划

 

我们可以(1)向或通过承销商或交易商出售通过本招股说明书提供的证券,(2)直接向购买者,包括我们的关联公司,(3)通过代理,或(4)通过任何这些方法的组合出售。证券可能以固定的价格或价格分配,该价格可能会改变,出售时的市场价格、与当时市场价格相关的价格或协商价格。招股说明书补充将包括以下信息:

 

· 发行条款;

 

· 任何承销商或代理商的名称;

 

· 任何一家或多家主承销商的名称;

 

· 证券的购买价格;

 

· 出售证券所得款项净额;

 

· 任何延迟交付安排;

 

· 构成承销商报酬的任何承销折扣、佣金等项目;

 

· 任何首次公开发行股票的发行价格;

 

· 允许或重新允许或支付给经销商的任何折扣或优惠;和

 

· 支付给代理商的任何佣金。

 

通过承销商或交易商出售

 

如果承销商被用于出售我们的证券,承销商将为自己的账户获得证券,包括通过承销、购买、证券借贷或与我们签订回购协议。承销商可以在一笔或多笔交易中不定期转售证券,包括协议交易。承销商可能会出售证券,以促进我们的任何其他证券的交易(在本招股说明书或其他方面描述),包括其他公开或私人交易和卖空。承销商可以通过由一家或多家执行承销商代表的承销团或直接由一家或多家担任承销商的公司向公众发售证券。除非招股章程补充文件中另有说明,承销商购买证券的义务将受到某些条件的限制,承销商将有义务购买所有发售的证券,如果他们购买其中任何一种证券。承销商可能会不时更改任何首次公开发行价格以及允许或重新允许或支付给交易商的任何折扣或优惠。

 

如果交易商被用于出售通过本招股说明书提供的证券,我们将作为委托人向他们出售证券。然后,他们可能会以交易商在转售时确定的不同价格将这些证券转售给公众。招股书补充文件将包括交易商的名称和交易条款。

 

直销和代理销售

 

我们可以直接出售通过本招股说明书提供的证券。在这种情况下,不会涉及承销商、交易商或代理商。证券也可以通过代理卖出,法律允许代理证券,不定期指定。招股章程补充文件将列出参与发售或出售所发售证券的任何代理人,并将描述应支付给该代理人的任何佣金。除非在招股说明书补充说明中另有说明,任何代理人将同意在其任职期间尽其合理的最大努力招揽采购。

 

35

 

 

我们可能会直接向机构投资者或其他可能被视为《证券法》所指的承销商的人出售这些证券。任何此类销售的条款将在招股说明书补充文件中进行描述。

 

承销商、经销商或代理折扣和佣金

 

承销商、交易商或代理人可以从我们或我们的购买者作为其代理人就证券销售获得折扣、优惠或佣金的形式获得补偿,但法律允许他们就证券交易获得补偿。根据《证券法》,这些承销商、交易商或代理商可被视为承销商。因此,承销商、交易商或代理商收到的折扣、佣金或转售利润可能被视为承销折扣和佣金。每份招股说明书补充文件将指明任何此类承销商、交易商或代理商,并描述他们从我们收到的任何补偿。任何首次公开发行股票的价格以及允许或重新允许或支付给交易商的任何折扣或优惠可能会不时改变。

 

任何承销商、交易商或代理商将获得的最高佣金或折扣将不超过根据本招股说明书可能出售的证券的最高总收益的百分之八(8%)。为了支付任何佣金或折扣或其他费用,承销商、交易商或代理人将被要求在适当的机构注册,并在法律上被允许收取与在所有相关司法管辖区出售证券有关的佣金、折扣或费用。

 

延迟交付合同

 

招股说明书补充说明的,我们可以授权代理人、承销商或交易商向特定类型的机构征集延迟交割合同项下公开发行价格购买证券的要约。这些合同将规定在未来的特定日期付款和交付。这些合同将仅受招股说明书补充文件中描述的那些条件的约束。适用的招股说明书补充文件将描述为招揽这些合同而应支付的佣金。

 

做市、平准等交易

 

除非适用的招股章程补充文件另有说明,否则每一系列发售的证券将是新发行的证券,不会有既定的交易市场。我们可以选择在交易所或其他交易媒介上市任何系列的发售证券。我们在发售证券的销售中使用的任何承销商或其他代理人可以在该证券上做市,但可以随时停止该做市,恕不另行通知。因此,我们无法向您保证该证券将具有流动性交易市场。

 

任何承销商或交易商也可以根据《交易法》规则104参与稳定交易、银团覆盖交易和惩罚出价。平准交易涉及在公开市场上以盯住、固定或维持证券价格为目的的竞价购买标的证券。银团回补交易涉及在分配完成后在公开市场购买证券,以回补银团空头头寸。

 

惩罚性出价允许承销商和交易商在银团成员最初出售的证券在银团回补交易中购买以回补银团空头头寸时,从银团成员那里收回卖出让步。稳定交易、银团覆盖交易和惩罚出价可能会导致证券的价格高于没有交易的情况。承销商或交易商如果开始这些交易,可以随时中止。

 

衍生交易与套期保值

 

承销商、交易商或其他代理人可以从事涉及该证券的衍生交易。这些衍生工具可能包括卖空交易和其他对冲活动。承销商、交易商或代理人可以收购该证券的多头或空头头寸,持有或转售所收购的证券,并购买该证券的期权或期货以及其他收益与该证券价格变动挂钩或相关的衍生工具。为便利这些衍生交易,我们可能会与承销商或代理商订立证券出借或回购协议。承销商、交易商或代理商可以通过向公众出售证券(包括卖空)或通过出借证券以便利他人卖空交易的方式进行衍生交易。承销商、交易商或代理人也可以使用从我们或其他人购买或借入的证券(或者,在衍生工具的情况下,从我们收到的用于结算这些衍生工具的证券)直接或间接结算证券的销售或平仓该证券的任何相关未平仓借款。

 

36

 

 

一般信息

 

根据与我们签订的协议,代理、承销商和交易商可能有权获得我们对某些责任的赔偿,包括《证券法》规定的责任。

 

兑换要求

 

如果正在出售的证券类别,或基于这些证券的衍生证券在交易所上市,公司可能会被要求向交易所提出额外证券上市申请,发行可能会受到上市规则中规定的限制。

 

某些美国联邦所得税考虑因素

 

与购买、拥有和处置本招股说明书所提供的任何证券有关的重大美国联邦所得税后果将在与这些证券的发行有关的适用招股说明书补充文件中列出。有关与拥有我们的证券有关的某些税务问题的信息载于我们的截至二零二四年九月三十日止财政年度表格20-F的周年报告,经修订其第1号修正案于2025年4月11日提交,并以引用方式并入本文,该修正案将通过随后提交的20-F表格年度报告和任何讨论此类事项的招股说明书补充文件进行修订。

 

转让代理

 

我们普通股的转让代理是Continental Stock Transfer and Trust Company,1 道富,30th Floor,New York,NY 10004,United States电话:(212)509-4000。

 

我们在英属维尔京群岛的注册办事处位于Maples Corporate Services(BVI)Limited,PO Box 173,Kingston Chambers,Road Town,Tortola,British Virgin Islands的办事处。

 

法律事项

 

与特此提供的证券有关的某些法律事项,包括证券的有效性和英属维尔京群岛法律将由Maples and Calder(Hong Kong)LLP为我们传递。有关公司遵守中华人民共和国法律的若干资料已获中华人民共和国北京市金杜律师事务所通过。

 

专家

 

本公司合并财务报表,载于其于2025年2月10日向SEC提交的20-F表格年度报告,经修订于2025年4月11日提交的第1号修订,截至2022年9月30日、2023年和2024年的财政年度,已由独立注册公共会计师事务所新加坡Enrome LLP审计,如其报告中所述(合并财务报表报告载有关于公司持续经营能力的解释性段落)。经审计的合并财务报表依据其作为会计和审计专家的授权所给予的此类公司的报告以引用方式并入本文。

 

37

 

 

民事责任的可执行性

 

我们是根据英属维尔京群岛法律注册成立的获豁免有限责任公司。我们在英属维尔京群岛注册成立是因为与成为英属维尔京群岛豁免公司相关的某些好处,例如:

 

●政治经济稳定;

 

●有效的司法制度;

 

●有利的税收制度;

 

●没有外汇管制或货币限制;以及

 

●提供专业和支持服务。

 

然而,在英属维尔京群岛注册成立伴随着某些不利因素。这些缺点包括但不限于:

 

●与美国相比,英属维尔京群岛的证券法体系尚未发展,与美国相比,这些证券法对投资者的保护明显较少;和

 

●英属维尔京群岛公司可能没有资格在美国联邦法院发起股东派生诉讼。

 

我们的组成文件不包含要求对我们、我们的高级职员、董事和股东之间的纠纷进行仲裁的条款,包括根据美国证券法产生的纠纷。

 

我们所有的业务都在中国进行,我们几乎所有的资产都位于中国。我们的大多数董事和高级管理人员是美国以外司法管辖区的国民或居民,他们的大部分资产位于美国境外。这些人包括:韩庚辰先生、陈绍江先生、Min Lin先生、Weibin Yan先生、TERM1先生、迟健成先生。因此,股东可能难以在美国境内向这些非美国个人送达诉讼程序,或在美国对我们或这些个人提起诉讼,或对我们或他们执行在美国法院获得的判决,包括基于美国或美国任何州证券法民事责任条款的判决。

 

股东也可能难以在美国法院执行根据美国联邦证券法的民事责任条款在美国法院获得的针对我们以及我们的高级职员和董事的判决,其中一些人不是美国居民,其资产位于美国境外。此外,英属维尔京群岛法院是否会承认或执行美国法院针对我们或基于美国或任何州证券法民事责任条款的人的判决存在不确定性。英属维尔京群岛没有法定承认在美国获得的判决,尽管英属维尔京群岛的法院一般会承认和执行具有管辖权的外国法院的非刑事判决,而无需对案情进行重审。不确定英属维尔京群岛法院是否有资格审理在英属维尔京群岛对我们或那些基于美国或任何州证券法的人提起的原始诉讼。

 

BC法规定,公司的任何股东在对以下任何一项提出异议时,均有权获得其普通股公允价值的支付:

 

(a)合并(某些有限情况除外);

 

38

 

 

(b)合并;

 

(c)任何出售、转让、租赁、交换或以其他方式处置公司的资产或业务价值超过50%,如果不是在公司进行的业务的通常或正常过程中作出,但不包括:

 

(i)依据对该事项具有司法管辖权的法院的命令作出的处分,

 

(ii)按规定须在处分日期后一年内按照成员各自的权益分配全部或实质上全部所得款项净额予成员的条款进行的金钱处分,或

 

(iii)依据董事为保护其资产而转移资产的权力而进行的转移;

 

(d)赎回10%,或少于90%持有人所要求的公司已发行股份,或根据法案条款赎回公司股份的更多股份;及

 

(e)一项安排(如获法院许可)。

 

一般来说,公司成员对公司提出的任何其他索赔必须基于英属维尔京群岛适用的一般合同法或侵权法或公司组织章程大纲和章程细则确立的他们作为成员的个人权利。

 

根据英属维尔京群岛法律,我们的股东的权利和我们的董事的信托责任并没有像美国的法规或司法判例那样明确确立。特别是,英属维尔京群岛与美国相比没有证券法,可能在很多情况下对投资者的保护较少。此外,英属维尔京群岛公司的股东可能没有资格在美国联邦法院提起股东派生诉讼。

 

因为我们是一家成立于一个司法管辖区的公司,在另一个司法管辖区运营,股东来自多个司法管辖区,在美国进行证券交易。我们的股东在通过针对我们的管理层、董事或主要股东的行动来保护他们的利益方面可能比在美国一个司法管辖区注册和运营的公司的股东要困难得多。

 

我们被告知,没有任何外国判决在英属维尔京群岛有任何直接操作,但它可能通过普通法的行动或在根据《外国判决互惠执行条例》或英属维尔京群岛的《判决互惠执行法》进行登记的某些司法管辖区的判决的情况下通过行动来执行。需要注意的是,并不是每一项外国判决都具备强制执行能力。有些人可能只会得到英属维尔京群岛法院的承认。《相互执行判决法案》(经修订)和《外国判决(相互执行)条例》(经修订)不适用于以色列或美利坚合众国,因此适用普通法强制执行。根据普通法,英属维尔京群岛法院将在外国司法管辖区法院针对债务人获得的任何确定金额的最终和结论性金钱判决视为债务本身的诉讼因由,因此无需对这些问题进行重审,前提是就外国判决而言:

 

(i)作出判决的美国法院对该事项具有司法管辖权,而该公司或已提交该司法管辖权,或在该司法管辖权内为居民或开展业务,并已妥为送达法律程序;承认或执行美国法院根据美国或美国任何州证券法的民事责任条款对我们或我们的董事或高级职员作出的判决;或

 

39

 

 

(ii)美国法院作出的判决不涉及公司的处罚、税收、罚款或类似的财政或收入义务;

 

(iii)在取得判决时,作出有利判决的人或美国法院并无欺诈行为;

 

(iv)在英属维尔京群岛承认或执行判决不会违反公共政策;和

 

(v)取得判决所依据的法律程序并不违反自然正义。

 

根据英属维尔京群岛法律,除向法院支付款项的命令外,支付一笔款项的判决或命令可通过以下方式强制执行:(a)押记令;(b)扣押人命令;(c)判决传票;(d)扣押销售货物的命令;和(e)指定接管人。

 

英属维尔京群岛以外的外国法院的司法程序的一方当事人,如果有有利于其的非金钱判决,例如宣告性判决或禁令,在某些情况下,可以在英属维尔京群岛法院执行该判决。这将涉及该方在英属维尔京群岛提起新的诉讼,在这些诉讼中,可依据公平禁止反言原则从英属维尔京群岛法院获得简易判决,理由是重新提起诉讼的索赔将是滥用程序。为了利用公平的不容反悔原则,必须满足某些要求,包括:(a)非金钱的外国判决必须基于英属维尔京群岛法律承认的诉讼因由;(b)外国司法程序必须有相同的当事人和相同的问题;(c)外国判决必须由具有司法权威的法院作出;(d)判决必须是最终的和结论性的;以及(e)判决债务人必须在外国程序启动时已经在外国境内,或已通过自愿在外国程序中出庭而服从外国法院的管辖权,或在这些程序启动之前,同意就程序标的事项服从外国法院的管辖权。

 

我们已指定Theodore Han先生,826 238 PL SE,Unit F,Bothell WA 98021作为我们的代理人,就根据美国联邦证券法在美国对我们提起的任何诉讼接受诉讼服务。

 

40

 

 

第二部分

 

招股说明书中未要求的信息

 

项目8。董事及高级人员的赔偿

 

英属维尔京群岛法律没有限制公司组织章程大纲和章程细则可能规定对高级职员和董事进行赔偿的程度,除非英属维尔京群岛法院可能认为任何此类规定违反公共政策,例如针对民事欺诈或犯罪后果提供赔偿。

 

我们的组织章程大纲及章程细则规定,我们的董事须就所有开支(包括律师费),以及在和解中支付及因法律、行政或调查程序而合理招致的所有判决、罚款及金额,向以下人士作出赔偿:

 

(i)因该人是或曾经是公司的董事、高级人员或清盘人而成为或曾经是任何受威胁、待决或已完成的法律程序(不论是民事、刑事、行政或调查程序)的一方或被威胁成为一方;或

 

(ii)是或曾经应公司要求担任另一公司或合伙企业、合营企业、信托或其他企业的董事、高级人员或清盘人,或以任何其他身份是或曾经是为另一公司或合伙企业、合营企业、信托或其他企业行事。

 

我们可就任何现任或曾任董事的人,或应公司要求担任或曾经担任另一法人团体或合伙企业、合营企业、信托或其他企业的董事,或以任何其他身份正在或曾经为另一法人团体或合伙企业、合营企业、信托或其他企业行事的人,购买和维持保险,以对抗对该人主张并由该人以该身份招致的任何责任,不论公司是否有或本来有权就该责任向该人作出赔偿。

 

就根据上述条款可能允许董事、高级管理人员或控制我们的人对《证券法》产生的责任进行赔偿而言,我们已被告知,根据美国证券交易委员会的意见,这种赔偿违反了《证券法》中所述的公共政策,因此不可执行。

 

项目9。展品

 

以下证物随此归档或以引用方式并入本文:

 

附件编号 附件标题
1.1 包销协议的格式*
3.1 组织章程大纲及章程细则,截至2006年7月10日(参照我们于2006年7月14日向美国证券交易委员会提交的年报20-F(档案编号000-51576)的附件 1.1纳入***
4.1 认股权证协议的形式*
4.2 认股权证的格式*
4.3   独家主服务协议–海南奥宇–日期为2025年9月19日***
4.4   业务合作协议–海南奥宇–日期为2025年9月19日***
4.5   委托协议及授权书–海南奥宇–日期为2025年9月19日***
4.6   独家股票期权协议–海南奥宇–日期为2025年9月19日***
4.7   个人股权质押协议形式–海南奥宇–日期为2025年9月19日***
4.8   Hainain Aoyu VIE配偶同意书–日期为2025年9月19日***
5.1 Maples and Calder(Hong Kong)LLP观点***
23.1 独立注册会计师事务所Enrome LLP同意书**
23.2 Maples and Calder(Hong Kong)LLP的同意书(包含在附件 5.1中)***
23.3   金杜律师事务所同意书***
24.1 授权书(载于登记声明签署页)***
107 备案费率表***

 

 * 根据经修订的1934年《证券交易法》第13(a)或15(d)节,通过修订或作为报告的证据提交,并酌情通过引用并入本文。
** 随函提交。
*** 之前提交的。

 

41

 

 

项目10。事业

 

第415条发售

 

(a)以下签署的注册人在此承诺:

 

(1)在进行要约或出售的任何期间内,提交对本登记声明的生效后修订:

 

(i)包括1933年《证券法》第10(a)(3)条要求的任何招股说明书;

 

(ii)在招股章程中反映在注册声明生效日期(或其最近的生效后修订)后出现的任何事实或事件,而这些事实或事件个别地或总体上代表注册声明所载信息的根本变化。尽管有上述规定,如果总量和价格的变化合计不超过有效注册声明中“注册费计算”表中规定的最高总发行价格的20%变化,则所提供证券数量的任何增加或减少(如果所提供证券的总美元价值不会超过已登记的金额)以及与估计的最高发行范围的低端或高端的任何偏差都可以根据规则424(b)以招股说明书的形式反映在证券交易委员会;

 

(iii)包括先前未在注册声明中披露的与分配计划有关的任何重要信息,或在注册声明中对此类信息的任何重大更改;

 

但前提是,如果登记声明是在表格S-3或表格F-3上,且这些段落要求在生效后修订中包含的信息包含在注册人根据1934年《证券交易法》第13条或第15(d)条向委员会提交或提交的报告中,这些报告通过引用并入注册声明中,或者包含在根据规则424(b)提交的作为注册声明一部分的招股说明书表格中,则本节(a)(1)(i)、(a)(1)(ii)和(a)(iii)段不适用。

 

(2)为确定《证券法》规定的任何责任,每项该等生效后修订均应被视为与其中所提供的证券有关的新登记声明,届时发行该等证券应被视为其首次善意发行。

 

(3)以生效后修订的方式将任何正在登记且在发售终止时仍未售出的证券从登记中移除。

 

(4)提交注册报表的生效后修订,以包括在任何延迟发售开始时或在整个持续发售期间表格20-F第8.A项所要求的任何财务报表。经修订的1933年《证券法》第10(a)(3)节另有要求的财务报表和信息无需提供,条件是注册人通过生效后修订的方式在招股说明书中包括根据本第(4)款要求的财务报表和其他必要信息,以确保招股说明书中的所有其他信息至少与这些财务报表的日期一样最新。尽管有上述规定,关于F-3表格上的登记报表,如此类财务报表和信息包含在登记人根据经修订的1934年证券交易法第13条或第15(d)条向委员会提交或提交的定期报告中,并以引用方式并入F-3表格,则无需提交生效后的修订,以包括经修订的1933年《证券法》第10(a)(3)条或20-F表格第8(a)条要求的财务报表和信息;

 

42

 

 

(5)为确定根据1933年《证券法》对任何购买者的赔偿责任:

 

(a)注册人根据规则424(b)(3)提交的每份招股章程,自提交的招股章程被视为注册声明的一部分并包含在注册声明中之日起,均应被视为注册声明的一部分;和

 

(b)根据规则424(b)(2)、(b)(5)或(b)(7)要求提交的每份招股章程,作为依据规则430B提交的与根据规则415(a)(1)(i)、(vii)或(x)为提供1933年《证券法》第10(a)条所要求的信息而进行的发售有关的注册声明的一部分,应被视为在招股章程所述的发售中首次使用该形式的招股章程生效之日或首份证券销售合同之日(以较早者为准)的注册声明的一部分,并包含在注册声明中。根据第430B条的规定,就发行人和在该日期为承销商的任何人的责任而言,该日期应被视为该招股章程所涉及的登记声明中与证券有关的登记声明的新生效日期,届时发行该等证券应被视为其首次善意发行。但条件是,在作为注册声明一部分的注册声明或招股章程中作出的任何声明,或在作为注册声明一部分的注册声明或招股章程中通过引用并入或被视为通过引用并入的文件中作出的任何声明,对于在该生效日期之前有销售合同时间的买方,将取代或修改在注册声明或招股章程中作出的任何声明,而该声明或招股章程中作出的任何声明是注册声明的一部分,或在紧接该生效日期之前在任何该等文件中作出的任何声明。

 

(6)为确定注册人根据1933年《证券法》在证券的首次分销中对任何买方的责任,以下签名的注册人承诺,在根据本登记声明对以下签名的注册人进行的证券的首次发售中,无论以何种包销方式向买方出售证券,如果证券是通过以下任何通信方式向该买方发售或出售的,则以下签名的注册人将是买方的卖方,并将被视为向该买方发售或出售该等证券:

 

(i)根据第424条规则要求提交的与发售有关的任何初步招股章程或以下签名注册人的招股章程;

 

(ii)由以下签署人拟备或代表以下签署人拟备或由以下签署人使用或提述的与发售有关的任何免费书面招股章程;

 

(iii)任何其他与发售有关的免费书面招股章程中载有有关以下签署的注册人或其证券的重要资料的部分,由以下签署的注册人或其代表提供;及

 

(iv)以下签署的注册人向买方作出的任何其他属要约的通讯。

 

(b)以下签名的注册人在此承诺,为确定根据1933年《证券法》承担的任何责任,根据1934年《证券交易法》第13(a)节或第15(d)节提交的注册人年度报告(以及在适用情况下,根据1934年《证券交易法》第15(d)节提交的员工福利计划年度报告)的每次提交均应被视为以引用方式并入注册声明中的与其中提供的证券有关的新的注册声明,而届时发行该等证券,即视为其首次善意发行。

 

要求加快生效日期或提交注册声明于提交时生效

 

(h)就根据1933年《证券法》产生的赔偿责任而言,根据上述规定或其他规定,可能允许注册人的董事、高级管理人员和控制人获得赔偿,注册人已被告知,SEC认为,这种赔偿违反了该法案中所表达的公共政策,因此不可执行。如针对该等法律责任提出的赔偿要求(注册人支付注册人的董事、高级人员或控制人为成功抗辩任何诉讼、诉讼或程序而招致或支付的费用除外)由该董事、高级人员或控制人就正在登记的证券提出,则除非注册人的大律师认为该事项已通过控制先例解决,向具有适当管辖权的法院提出这样的问题,即它的这种赔偿是否违反了该法案中所表达的公共政策,并将受该问题的最终裁决管辖。

 

确定赔偿责任

 

(i)为确定《证券法》规定的任何责任,(i)根据《证券法》第424(b)(1)或(4)或497(h)条规则作为本登记声明的一部分提交的招股说明书表格中遗漏的、并包含在注册人根据《证券法》第424(b)(1)或(4)或497(h)条规则提交的招股说明书表格中的信息,自宣布生效时起,应被视为本登记声明的一部分;(ii)每项包含招股说明书表格的生效后修订应被视为与其中所提供的证券有关的新登记声明,届时发行该等证券,即视为其首次善意发行。

 

43

 

 

签名

 

根据经修订的1933年《证券法》的要求,注册人证明其有合理理由相信其符合以F-3表格提交的所有要求,并已正式安排由以下签署人代表其于2025年12月5日在中华人民共和国北京市签署本注册声明,并因此获得正式授权。

 

北京奥瑞金种业股份有限公司
签名: /S/Weibin Yan
Weibin Yan博士
首席执行官

 

根据1933年《证券法》的要求,本登记声明已由以下人员在所示日期以身份签署。

 

签名   标题   日期
         
/s/Weibin Yan   首席执行官   2025年12月5日
    及董事(首席执行官)    
         
/s/Chi Kin Cheng   首席财务官   2025年12月5日
智健诚   (首席会计干事)    
         
*   董事会主席兼董事   2025年12月5日
韩庚辰博士        
         
*   董事   2025年12月5日
毛长青博士        
         
*   董事   2025年12月5日
陈绍江博士        
         
*   董事   2025年12月5日
小榄后        
         
*   美国Process Service Agent   2025年12月5日
西奥多·韩        

 

*凭授权书  
   
/S/Chi Kin Cheng  
智健诚  

 

2025年12月5日

 

44