查看原文
免责申明:同花顺翻译提供中文译文,我们力求但不保证数据的完全准确,翻译内容仅供参考!
EX-4.1 2 projectgenesis-ex41xwarran.htm EX-4.1 文件
附件 4.1


认股权证协议
截至2025年10月7日
中间
GAMESTOP CORP.,
电脑共享公司。
ComputerShareTrust Company,N.A。
作为认股权证代理人
____________________
认股权证
普通股股份
游戏驿站公司
____________________




目 录
    
1
1
4
5
5
5
7
7
8
9
10
10
11
11
11
11
12
12
12
13
14
14
15
15
15
24
24
26
27
27
28
i


29
29
29
29
30
30
30
30
31
31
32
33
34
34
35
35
35
35
35
35
35
37
37
37
37
37
37
38
展览一份认股权证表格

二、


截至2025年10月7日的授权协议(本"协议“),由根据特拉华州法律成立的公司GameStop Corp.(以下简称”公司”),以及特拉华州公司Computershare Inc.(“计算机共享”),与其关联公司、联邦特许信托公司Computershare Trust Company,N.A.合称为认股权证代理人(“认股权证代理”)(每个,a“”,并统称为“缔约方”).
董事会(定义见下文)已宣布派发股息(“认股权证分派”)向公司A类普通股的记录持有人,每股面值0.00 1美元(“普通股“),以及其他合资格受助人(定义见下文),截至纽约市时间2025年10月3日下午5时(该日期及时间,”分配记录日期”),以认股权证的形式购买普通股股份。公司希望根据本文所述的条款和条件发行认股权证(“认股权证”)以满足认股权证分配。认股权证将于2025年10月7日或前后(实际派发日期、“发行日期”).
本公司希望认股权证代理人代表本公司办理本协议规定的认股权证的发行、登记、转让、交换、行权、赎回、注销等相关事宜,且认股权证代理人愿意这样做。
双方同意为另一方的利益和认股权证登记持有人的平等和可予评定的利益(“持有人”):
第一条

定义
第1.01款定义.

附属公司”指直接或间接受该人控制、受其控制或与其共同控制的任何其他人。就本协议而言,对某人的“控制”是指通过合同或其他方式直接或间接地指导或导致该人的管理层和政策的方向或行动的权力。
董事会”指公司董事会或其任何获正式授权代表该董事会行事的委员会。
营业日”是指除周六、周日或法律或行政命令授权或要求纽约联邦储备银行关闭或关闭的日子以外的任何一天。
股本”是指,对任何实体而言,该实体发行的任何和所有股份、权益、购买权利、认股权证、期权、参与或其他等价物或权益(无论其如何指定)股票,但不应包括根据本定义可转换为或可交换为以其他方式构成股本的任何证券的任何债务证券。
营业结束”是指纽约市时间下午5:00。
共同权益"指一般有权(a)在选举该人的董事时投票的该人的股本,或(b)如该人并非
1


法团,投票或以其他方式参与选举理事机构、合伙人、经理或其他将控制该人的管理或政策的人。
可转换票据”是指公司2030年到期的可转换优先票据的0.00个百分点和2032年到期的可转换优先票据的0.00个百分点。
最终认股权证”是指不存放于存托人或作为权证托管人的权证代理人的最终形式的权证证书。
保存人”是指存托信托公司、其被提名人及其各自的继任者。
生效日期”指普通股的股份在适用交易所或适用市场以常规方式交易的第一个日期,反映相关的股份分割或股份组合(如适用)。为免生疑问,在适用的交易所或市场上就单独股票代码或CUSIP号码下的普通股股票订立的任何替代交易惯例将不被视为为此目的的“常规方式”。
除息日”指普通股的股份在适用交易所或适用市场以常规方式交易的第一个日期,但无权从公司或(如适用)在该交易所或市场确定的普通股卖方(以到期票据或其他形式)收取有关的发行、股息或分配。为免生疑问,在适用的交易所或市场上就单独股票代码或CUSIP编号下的普通股股票订立的任何替代交易惯例将不被视为为此目的的“常规方式”。
交换”是指纽约证券交易所。
交易法”指《1934年美国证券交易法》,以及根据该法颁布的规则和条例,因为它们可能会不时修订。
义齿”指(如适用)(i)公司与美国银行信托公司National Association(作为受托人)于2025年4月1日就2030年到期的0.00厘可转换优先票据订立的契约,及/或(ii)公司与美国银行信托公司National Association(作为受托人)于2025年6月17日就2032年到期的0.00厘可转换优先票据订立的契约。
上次报告的销售价格”普通股(或必须确定收盘价的任何其他证券)在任何日期的收盘价是指普通股(或此类其他证券)交易所在的主要美国国家或区域证券交易所在综合交易中报告的该日期的每股收盘价(或如果没有报告收盘价,则为买卖价格的平均值,如果两种情况中有多个,则为平均买卖价格和平均要价的平均值)。如果普通股(或此类其他证券)未在相关日期在美国国家或地区证券交易所上市交易,则“上次报告的销售价格”应为OTC Markets Group Inc.或类似组织报告的普通股(或此类其他证券)在相关日期在场外市场的最后报价。如果普通股(或这类其他证券)没有这样报价,那么“上次报告的销售价格”应为公司为此目的选定的至少三(3)家国家认可的独立投资银行中的每一家在相关日期对普通股(或此类其他证券)的最后一次出价和要价的中间点的平均值。“上次报告的销售价格”应
2


在不考虑盘后交易或常规交易时段以外的任何其他交易的情况下确定。
军官”指,就公司而言,公司的首席执行官、首席财务官或总法律顾问,或就任何其他人而言,首席执行官、总裁、首席财务官、任何副总裁、司库、任何助理司库,或该等人的秘书或助理秘书。
其他符合条件的受助人”指可换股票据于分配记录日期的记录持有人。
”指任何个人、公司、合伙企业、合营企业、有限责任公司、协会、股份公司、信托、非法人组织、政府或其任何机关或政治分支机构,或任何其他实体。
记录日期"是指,就普通股(或其他适用证券)持有人有权收取任何现金、证券或其他财产的任何股息、分配或其他交易或事件,或普通股(或此类其他证券)被交换或转换为现金、证券或其他财产的任何组合的任何交易或事件而言,确定普通股(或此类其他证券)持有人有权收取此类现金、证券或其他财产的日期(无论该日期是否由董事会、通过法规、通过合同或其他方式确定)。
SEC”是指美国证券交易委员会。
证券法”指《1933年美国证券法》,以及根据该法案颁布的规则和条例,因为它们可能会不时修订。
子公司"就任何人而言,指任何公司、协会、合伙企业或其他商业实体,其在选举董事、经理、普通合伙人或其受托人时有权(不考虑任何意外情况的发生)投票的股本股份或其他权益(包括合伙权益)的总投票权的50%以上,当时由(i)该人直接或间接拥有或控制,(ii)该人及该人的一个或多个附属公司,或(iii)该人的一个或多个附属公司。
行使价”最初的意思是32.00美元;提供了指,行使价可能会根据第四条.本协议或任何认股权证证书中的每项提述于特定日期的行使价而未列明该日期的特定时间,将被视为紧接该日期营业结束后的行使价的提述。
交易日”指(i)普通股(或必须确定收盘价的其他证券)一般在交易所进行交易的一天,或者,如果普通股(或此类其他证券)当时未在交易所上市,则在普通股(或此类其他证券)当时上市的主要其他美国国家或区域证券交易所进行交易,或者,如果普通股(或此类其他证券)当时未在美国国家或区域证券交易所上市,在普通股(或此类其他证券)随后进行交易的主要其他市场上,以及(ii)普通股的最后报告销售价格(或此类其他证券的收盘销售价格)可在此类证券交易所或市场上获得;提供了如果普通股(或此类其他证券)没有如此上市或交易,“交易日”的意思是工作日。
3


认股权证”指公司根据本协议发行的任何全球认股权证或最终认股权证。
认股权证托管人”指全球认股权证的托管人(由保存人指定)或其任何继承人。
认股权证行使价”意味着最初的32.00美元;提供了,然而、如行使价或认股权证行权率中的任何一项按照第四条,则自该等调整或修订行使价或认股权证行权率生效的同一时间起生效,认股权证行权价将等于行使价乘以认股权证行权率。
认股权证行使率”指最初一股(1.0000)普通股,可根据不时调整或修订第四条.
认股权证股份”指在行使认股权证时可发行的普通股股份。
全数”是指不是分数或小数的任何非负数,包括零。
第1.02款其他定义.
任期 节中定义
附加价格条件 3.02(e)
代理会员 2.01(c)(二)
协议 序言
条款A分配 4.01(c)
B条款分配 4.01(c)
C条款分配 4.01(c)
普通股 独奏会
普通股货架登记声明 5.01
公司 序言
分配记录日期 独奏会
分布式属性 4.01(c)
行权日期 3.04(a)
行权通知 3.04(a)(二)
行使暂停期限 5.01
到期日 3.02(b)
资金 7.07
全球认股权证
2.01(a)(四)
持有人 独奏会
初始认股权证 2.01(a)(i)
发行日期 独奏会
缔约方 序言
序言
PDF 2.02
4


参考属性 4.03(a)
换股活动 4.03(a)
分拆 4.01(c)
股票转让代理 3.05(a)
触发事件 4.01(c)
参考财产单位 4.03(a)
估值期 4.01(c)
认股权证代理 序言
认股权证分派 独奏会
认股权证登记 2.03
认股权证 独奏会

第1.03款建筑规则.除非文本或上下文另有要求:

(a)定义的术语具有本文赋予它的含义;
(b)未另行定义的会计术语具有根据美国公认会计原则赋予它的不时生效的含义;
(c)“包括”是指包括但不限于;
(d)单数中的词包括复数,复数中的词包括单数;
(e)对任何法规、规则、标准、条例或其他法律的提述,包括对(x)相应的规则和条例以及(y)每一项经不时修订、修改、补充、合并、替换或改写的规则和条例的提述;和
(f)本协议中的条款、章节和子章节的标题仅为方便参考而插入,并非旨在成为本协议的一部分或影响本协议的含义或解释。
第二条

认股权证的形式;受益权益
第2.01款发行注册.

(a)认股权证.
(一)认股权证最初应按以下方式发行(“初始认股权证”):
(1)截至分配记录日期的普通股股份登记持有人,反映在公司直接登记系统的
5


普通股,根据第2.01(d)节的规定,该登记持有人在分配记录日期所持有的每十(10)股普通股获得一(1)份认股权证;和
(2)根据适用的义齿第14.04节,在不需要此类持有人转换其可转换票据的情况下,向截至分配记录日期的可转换票据登记持有人(如票据登记册(定义见适用的义齿))提供一(1)份认股权证,用于在截至分配记录日期转换时可发行的每十(10)股普通股,假设此类持有人在分配记录日期持有的可转换票据本金总额进行实物结算(定义见义齿)。
(二)公司可在符合本协议规定的情况下,最初发行与初始认股权证条款相同的额外认股权证,在符合前述规定的情况下,这些额外认股权证将被视为同一系列的一部分,并与根据本协议发行的所有其他认股权证具有同等和按比例的等级;提供了,然而、如果任何此类额外认股权证不能与根据本协议发行并分配了CUSIP编号的其他认股权证进行互换,则此类额外认股权证将由单独的CUSIP编号或没有CUSIP编号来识别。所有根据本协议发行的认股权证将平等和按比例享有本认股权证协议的利益,不享有优先权或优先权。
(三)认股权证代理人应根据公司批准的分配时间表,按照公司的直接登记制度或认股权证代理人的其他记账程序向该等登记持有人分配认股权证,并将认股权证登记在其名下,如为可转换票据的登记持有人,则与契约项下的受托人合作。凡通过公司直接登记系统或权证代理人其他记账手续登记的权证,均以无证明形式签发,不得以权证凭证为代表。
(四)尽管有上述规定,部分或全部认股权证可在首次发行时或其后的任何时间,由一份或多份永久性全球认股权证代表,其形式为最终的、完全注册的、全球证券图例载于附件 A附本协议(每个,a“全球认股权证”).任何该等全球认股权证应代表相关持有人存放于认股权证代理人、作为存托人的托管人(或存托人可能指示的其他托管人)、登记在存托人或存托人的代名人名下,并由公司正式签署并由认股权证代理人按以下规定会签。
(b)最终认股权证.认股权证持有人或任何全球认股权证的实益权益持有人将无权获得最终认股权证的实物交割(除非在第2.05款).
(c)全球认股权证的程序.这个第2.01(c)款)应仅适用于存放于或代表存托人的任何全球认股权证。
(一)如任何认股权证将由全球认股权证代理,则公司应执行,认股权证代理人应按照第2.02款、会签并初始交付一份或多份全球认股权证,其中(a)应登记在此类全球认股权证或全球认股权证的保存人或保存人的代名人名下;(b)应由认股权证代理人交付给保存人或根据保存人的指示或由作为保存人托管人的认股权证代理人持有。
(二)保存人的成员或参与者("代理会员")就代表其持有的任何全球认股权证不享有本协议项下的权利
6


保存人或由认股权证代理人作为保存人的保管人或根据该全球认股权证,而保存人可被公司、认股权证代理人及公司的任何代理人或认股权证代理人视为该全球认股权证的绝对拥有人,以作任何用途。尽管有上述规定,本文中的任何内容均不得阻止公司、认股权证代理人或公司的任何代理人或认股权证代理人对保存人提供的任何书面证明、代理或其他授权生效,或损害保存人与其代理成员之间有关保存人规范行使任何全球认股权证实益权益持有人权利的习惯做法的运作。
(d)无零碎认股权证.本公司不得发行零碎认股权证或派发证明零碎认股权证的认股权证证书。倘任何零碎认股权证须根据认股权证分派以其他方式发行或分派,则公司或认股权证代理人(如适用)须在合理可行范围内,先将拟向普通股相关持有人或其他合资格收受人发行的认股权证总数汇总,然后将总数向下取整至最接近的整数,且不会以现金或其他调整代替如此取整的认股权证的零碎。
第2.02款认股权证.如根据本协议发出任何认股权证,则至少一名高级人员须以手工、传真或手提文件格式为公司签署该等认股权证(“PDF”)签字或以其他电子方式传送。

(a)如果在权证证书上签名的人员在权证代理人会签权证证书时不再担任该职务,则由该权证证书证明的权证仍然有效。
(b)在本协议执行后的任何时间和不时,权证代理人应在收到由公司高级人员签署的公司书面指示后,以人工、传真、PDF签名或其他电子传输方式进行会签,并应签发证明该指示中规定的权证数量的权证证书。该等指示须指明须在将会签的认股权证证书上证明的认股权证数目、该认股权证证书将会签的日期、该认股权证证书是全球认股权证还是确定认股权证,以及当时授权的认股权证数目。每份认股权证的日期应自其会签之日起算。
(c)认股权证(不论是否有认股权证证明)在认股权证登记册登记前无效。
第2.03款认股权证登记.认股权证应仅以记名形式发行。权证代理人在收到公司或其代理人的所有相关资料后,应当备存登记簿(“认股权证登记")的认股权证(及认股权证证书,如适用)及其转让及交换。认股权证登记册应显示有关持有人的姓名和地址,以及该等持有人拥有的认股权证的日期和数量(如适用,以每份认股权证证书的正面作为证明)。任何全球认股权证的持有人将是全球认股权证登记在其名下的存托人或代名人。

7


本公司及认股权证代理人可将认股权证以其名义在认股权证登记册内登记的人视为该等认股权证的绝对拥有人,以作所有用途,而不论有任何相反的通知。
第2.04款转让及交换.

(a)转让及交换认股权证.
(一)认股权证或其中的实益权益的转让和交换应通过公司的直接登记系统或认股权证代理人的其他记账程序进行,在任何全球认股权证的情况下,由存托人进行,在每种情况下均应按照本协议和认股权证代理人以及(如适用)存托人的程序进行。公司可不时指示认股权证代理人,董事会成员、公司高级人员或公司关联公司所持有的认股权证受到与遵守适用证券法相关的转让或交换限制,在此情况下,未经公司同意,认股权证代理人不得允许转让或交换该等认股权证。
(二)除非载于第2.04(a)(三)节),全球认股权证只能整体转让,不得部分转让,且只能由(x)保存人转让给保存人的代名人,(y)保存人的代名人转让给保存人或保存人的另一代名人,或(z)保存人或任何该等代名人转让给继任保存人或其代名人。
(三)在全球认股权证被交换并转让为最终认股权证的情况下,根据第2.05款,该等认股权证只可按照与本条文实质上一致的程序进行交换第2.04款及公司可能不时采纳的其他程序。
(四)认股权证代理人可应交付给认股权证代理人的持有人的书面请求,在指定用于此目的的认股权证代理人的办公室登记任何确定性认股权证的转让,并交出拟转让、分割、合并或交换的认股权证证书,连同妥为签立和妥为填写的转让形式和证书以及公司或认股权证代理人可能合理要求的其他文件。任何请求转让的权证,应附有提出请求一方的权证代理人可能要求的合理权限证明,该证据应包括但不限于参与经证券转让协会批准的签字担保方案的合格担保机构的签字担保。在任何该等转让时,须发出一份或多于一份新的确定性权证,代表相等总数的确定性权证,并注销所转让的证书。
(b)全球认股权证取消或调整.当全球认股权证的所有实益权益已被交换为最终认股权证、赎回、回购或注销时,该全球认股权证应退还给存托人以供注销或由认股权证代理人保留和注销。在该注销前的任何时间,如全球认股权证的任何实益权益被交换为确定性认股权证、被回购或被注销,则该全球认股权证所代表的认股权证的数量应减少,并应由认股权证代理人就该全球认股权证对认股权证代理人(如果当时是该全球认股权证的认股权证托管人)的账簿和记录作出调整,以反映该减少。
8


(c)有关转让及交换认股权证的义务.
(一)为准许转让及交换的登记,公司须按规定以手工、传真或PDF签署或其他电子传送方式签署任何全球认股权证及最终认股权证(如适用),并由认股权证代理人会签第2.02款而这第2.04款.
(二)办理任何转让、交换登记,不得收取服务费。与任何转让或交换登记有关的任何转让税、评估或类似的政府收费应由持有人缴纳。
(三)公司可要求持有人支付一笔足以支付与任何转让、分拆、合并或交换认股权证有关的任何税款或政府押记的款项。认股权证代理人没有任何义务或义务根据(i)本协议的任何部分或(ii)任何认股权证(在每种情况下)采取任何需要支付税款和/或费用的行动。
(四)在适当提出任何认股权证的转让登记之前,公司及认股权证代理人可将以其名义登记该认股权证的人视为及对待该认股权证的绝对拥有人,而公司或认股权证代理人均不受相反通知的影响。
(五)根据本协议条款在任何转让或交换时发行的所有认股权证均为公司的有效义务,有权根据本协议享有与在此类转让或交换时交出的认股权证相同的利益。
(d)权证代理人无义务.认股权证代理人对全球认股权证的任何实益拥有人、代理成员或其他人,就保存人或其代名人或其任何参与者或成员的记录的准确性,就认股权证的任何所有权权益,或就根据或就该等认股权证向任何参与者、成员、实益拥有人或其他人(保存人除外)交付任何通知,或支付任何金额,不承担任何责任或义务。根据认股权证向持有人发出的所有通知及通讯,以及根据认股权证向持有人支付的所有款项,均应仅向或根据登记持有人(在全球认股权证的情况下应为存托人或其代名人)的命令发出或作出。任何全球认股权证的受益所有人的权利只能通过保存人行使,但须遵守保存人的适用规则和程序。认股权证代理人在依赖保存人就其成员、参与者和任何受益所有人提供的信息时,可以依赖并应受到充分保护。
第2.05款最终认股权证.

(a)第2.05(e)款),存放于存托人或作为托管人的权证代理人的全球权证的实益权益,应以确定性权证的形式转让给其实益拥有人,数量等于该全球权证所代表的权证数量,以换取该全球权证,但前提是此种转让符合第2.04款(i)存托人通知公司,其不愿意或无法继续担任该全球认股权证的存托人,或在任何时候该存托人不再是根据《交易法》注册的“清算机构”,并且在每一种情况下,公司未在该通知发出后九十(90)天内指定继任存托人,或(ii)公司全权酌情以书面通知认股权证代理人,其选择根据本协议安排发行最终认股权证。在这种情况下,转让、交换或
9


认股权证的行使应按照认股权证代理人的惯常程序进行。
(b)根据本条例可转让予其实益拥有人的任何全球认股权证第2.05款保存人须将其全部或不时部分无偿交还予如此转让的认股权证代理人,而认股权证代理人须以手工、传真或PDF签名或其他电子传输方式会签,并在该全球认股权证的每一部分转让时以该受益所有人的名义向各受益所有人交付最终认股权证,以证明若干认股权证相当于该受益所有人在该全球认股权证中的实益权益。认股权证代理人应在认股权证登记册中登记该等转让,在该等转让时,已交回的全球认股权证应由认股权证代理人注销。任何该等最终认股权证须载有公司可能指示的限制性图例。
(c)在符合以下规定的前提下第2.05(b)款)一全球认股权证的注册持有人可授予代理或以其他方式授权任何人,包括代理成员和可能通过代理成员持有权益的人,采取该持有人根据本协议或认股权证有权采取的任何行动。
(d)如果发生中指定的任一事件第2.05(a)款),公司将及时向认股权证代理提供合理供应的最终认股权证,其形式为确定的、完整的注册形式。
(e)存托人应将最终认股权证的发行名称和金额通知认股权证代理人。本公司或认股权证代理人概不对保存人提供的任何名称或任何金额承担任何责任或责任。
(f)尽管有上述规定,认股权证代理人可根据公司的指示,通过公司的直接登记系统或认股权证代理人的其他记账程序,以该人的名义登记认股权证,以代替向任何人发出确定性认股权证。
第2.06款更换证书.如将残缺的权证证书交还给权证代理人,或如权证证书持有人提供公司及权证代理人合理信纳的证明,证明权证证书已遗失、毁损或错误取得,则公司须发出并由权证代理人以手工、传真或PDF签名或其他电子传送方式会签一份代表相当数量的权证的替换权证证书,如认股权证代理人的合理要求得到满足,且未通知认股权证代理人任何该等证书已/已由善意购买者取得。该持有人应提供一份在公司和认股权证代理人的判断中足以保护公司和认股权证代理人免于因认股权证被替换而使他们中的任何一方可能遭受的任何损失的开放式罚息担保债券。认股权证代理人可自行选择在出示残缺凭证时为其签发替代认股权证,而无需此类赔偿。公司和权证代理人可以向持有人收取各自更换权证凭证的费用。每一份替换权证证明公司的一项额外义务。

第2.07款未偿认股权证.就本协议而言,在认股权证登记册中被证明尚未履行的所有认股权证均应被视为未履行(就以认股权证证书为代表的认股权证而言,该认股权证应包括由认股权证代理人认证的所有认股权证证书,但不包括由其注销的认股权证证书和交付给其的认股权证证书
10


取消)。认股权证不会因为公司的关联公司持有该认股权证而停止未行使。如果公司持有该认股权证,则该认股权证将停止流通。
如认股权证证书根据第2.06款,除非认股权证代理人和公司收到令其满意的证明,证明所更换的认股权证证书由受保护的购买者持有(为《特拉华州统一商法典》的目的所定义),否则由此证明的认股权证不再未清偿。
第2.08款取消.如公司须购买或以其他方式取得最终认股权证,公司可自行选择将该认股权证交付认股权证代理人注销。
权证代理人和其他任何人不得撤销所有为转让、交换、置换、行使或注销而交出的权证凭证。公司不得发行新的认股权证证书以取代认股权证证书,以证明已行使的认股权证或公司已注销的认股权证为限。
第2.09款CUSIP号码.公司已就认股权证的发行指定“CUSIP”号码,而认股权证代理人为方便持有人,可在通知中使用该等“CUSIP”号码;但条件是任何该等通知不得说明就印于认股权证证书上或任何通知所载的该等号码的正确性作出任何陈述,且可仅依赖印于认股权证证书上的其他识别号码。
第三条

行使条款
第3.01款运动.

(a)每份认股权证的持有人应有权在行权期(定义见下文)内,就据此证明的每份认股权证购买数量等于在相关行权日紧接收市前有效的认股权证行使率的普通股股份,但须受第3.06款,用于支付与认股权证行权价格相等的现金。
(b)持有人可行使其全部或部分认股权证或选择完全不行使任何认股权证,或可能以其他方式出售或转让其认股权证,在每种情况下,均由其单独和绝对酌情决定。
(c)全球认股权证所代表的任何认股权证的行使可发行的普通股股份数量由存托人根据本协议与公司协商后确定;提供了如公司善意地不同意任何该等计算,公司可善意地作出该等计算,而公司的计算具有决定性和终局性,并对保存人、权证代理人及持有人具有约束力。通过公司直接登记系统或权证代理人其他簿记程序代理的任何权证行权可发行的普通股股份数量,由权证代理人根据本协议与公司协商确定;提供了如公司善意不同意任何该等计算,公司可善意作出该等计算,而公司的计算具有决定性和终局性,并对认股权证代理人及持有人具有约束力。
11


第3.02款行权期.

(a)受本协议规定的条款和条件(包括但不限于第3.04款第5节),认股权证可于发行日或之后的任何时间及不时行使,直至到期日(定义见下文)营业收市为止。尽管有上述规定,持有人只有在(i)有关认股权证股份的普通股货架登记声明有效且行使日期不属于行使暂停期及(ii)认股权证股份根据该等持有人所居住的州或其他司法管辖区的适用证券法符合出售资格或获豁免资格的情况下,方可行使认股权证,除非另有规定第5.01款.公司可不时以书面指示认股权证代理人,董事会成员、公司高级人员或公司关联公司持有的认股权证在行使方面受到与遵守适用证券法相关的进一步限制,在此情况下,未经公司书面同意,认股权证代理人不得允许行使该等认股权证。
(b)受本协议规定的条款和条件(包括但不限于第3.04款第5节),认股权证将于2026年10月30日收市时届满及停止行使(“到期日”).
(c)行权期”是指认股权证可根据本协议规定的条款和条件行使的期间(包括但不限于本第3.02款第5节).
第3.03款到期.认股权证须于(i)到期日的营业时间结束及(ii)该认股权证获行使的时间两者中较早者终止及作废。

第3.04款运动方式.

(a)第3.02(b)条)3.03,认股权证可由持有人于任何营业日全部或部分行使(每份为“行权日期”)在行权期内下跌,由
(一)(x)在其为此目的指定的办事处向认股权证代理人交付相关认股权证证书(如以凭证式发行的认股权证),(y)在通过公司直接登记系统或认股权证代理人的其他记账程序代理的认股权证的情况下通过认股权证代理人的程序交付认股权证,或(z)在全球认股权证的情况下通过存托人的系统交付认股权证;
(二)以电子方式向认股权证代理人交付以适用表格购买认股权证股份的选择附件 A随函附上(an“行权通知"),由持有人妥为填妥及妥为签立;及
(三)以应付公司或认股权证代理人订单的支票或电汇公司或认股权证代理人的方式以美元支付即时可用资金至公司账户或为公司利益(由公司指定并应认股权证代理人要求提供),金额等于认股权证行使价乘以如此行使的认股权证数目;提供了如上述(i)、(ii)或(iii)中的任何一项已于任何一天的营业时间结束时或之后发生,则应改为当作已于紧接其后的营业日发生(受第3.04(c)条)3.04(d));和前提是,进一步,行权日为第
12


上述所有(i)、(ii)及(iii)事项均已发生的营业日,由公司与认股权证代理人磋商后厘定。尽管本条例另有规定,公司可全权酌情不时向持有人或其经纪人提供在行使日就认股权证交付保证交付通知的权利,以在行使日满足上述第(i)款的交付要求。
(b)就全球认股权证而言,任何在该全球认股权证中拥有实益权益的人士均须遵守以下规定:第3.04(a)(i)节),(二)(三)以上按照保存人的程序通过相关代理会员办理。
(c)第3.04(d)款)、倘任何认股权证的所谓行使日期是或被视为是在到期日营业收市后,则该等行使将属无效,而交付予认股权证代理人或公司的任何资金将尽快退还持有人。
(d)尽管有任何与此相反的规定,在任何适用的行使截止日期之后提交的任何其他有效的认股权证的行使,可由公司全权和绝对酌情决定接受和兑现。公司关于任何此类行使的决定应具有决定性。
(e)就全球认股权证而言,每当该全球认股权证所代表的部分但不是全部认股权证根据其条款和本协议行使时,持有人应将该全球认股权证交还给认股权证代理人,该代理人应促使对该全球认股权证作出调整,以便由此代表的认股权证数量将等于该全球认股权证所代表的认股权证数量减去当时行使的认股权证数量。认股权证代理人此后应及时将该全球认股权证交还持有人或其代名人或托管人。
(f)就确定性认股权证或记账式认股权证而言,每当该确定性认股权证或记账式认股权证所代表的部分而非全部认股权证按照其条款和本协议行使时,持有人有权应持有人的要求,在合理时间内从公司收到,无论如何不超过十(10)个工作日,基本相同形式的新的最终认股权证或簿记报表,其数量等于该最终认股权证或簿记报表所代表的先前的认股权证数量减去随后行使的认股权证数量。
(g)认股权证应当已全额行使的,认股权证代理人应当在收到持有人或者存托人(如适用)出具的认股权证后,及时予以注销。
(h)普通股货架登记声明因任何原因在任何时间或不时不生效的,行使认股权证的权利应自动中止,直至该普通股货架登记声明按《公第5.01款.
第3.05款发行认股权证股份.

(a)第3.02(a)款)、在遵照本协议行使任何认股权证时,公司应发行并安排普通股的转让代理(“股票转让代理”,可能是认股权证代理人)促使通过直接登记系统登记在公司股东名册上的若干完整认股权证
13


于行使该等认股权证时如此购买的股份(根据第3.06款)或其有权登记或以其他方式登记的参考财产单位,以持有人指定的一个或多个名称(包括持有人如此指定的任何保存机构)提供给有权收取相同或根据持有人的书面命令收取的持有人。在任何情况下,公司都不应有权利或义务或被要求通过交付现金代替普通股来结算认股权证的行使。
(b)该等认股权证股份或参考财产单位应在转让代理人的标准周转时间的适用行权日之后交付。
(c)本公司谨此指示认股权证代理人将新发行股份(或参考财产单位)的成本基础记录为(x)当时适用的行使价加上(y)持有人在已行使认股权证中的成本基础(如有)之和。本公司同意向认股权证代理人提供持有人在该持有人各自认股权证中的成本基础。
(d)保存人根据本协议确定在任何认股权证行使时将发行的普通股(或参考财产单位)的股份数量以及该行使的有效性,应予管辖,认股权证代理人没有义务或义务调查或确认此类确定是否准确或正确。
(e)认股权证行使时任何普通股股份(或参考财产单位)以其名义可发行的人,应被视为截至相关行使日营业结束时该等股份的记录股东(或该等参考财产单位的持有人),前提是所有条件均已满足,包括认股权证行使价的支付。于任何认股权证获行使后,该人自有关行使日的营业时间结束时起不再为该等认股权证的持有人。
第3.06款零碎认股权证股份.公司无须在行使认股权证时发行零碎普通股(或参考财产单位)或支付现金代替。持有人在任何时候根据任何一份行权通知行使认股权证时可发行的普通股股份(或参考财产单位)的数量,应根据该持有人根据该行权通知行使的认股权证可购买的普通股股份(或参考财产单位)的总数计算。如根据该行使通知行使认股权证时,普通股股份(或参考财产单位)的任何零头将可发行,则就该行使通知向相关持有人发行的普通股股份总数(或参考财产单位)应向下取整至最接近的整数,且不会以现金或其他调整代替如此取整的股份零头。

第3.07款预留认股权证股份.

(a)公司应在任何时候从其授权普通股中保留足够数量的普通股,以供行使所有未行使的认股权证。本公司将在股票转让代理机构备存本协议副本,并向该股票转让代理机构提供一份向各持有人传送的所有调整通知(及相关证明)的副本。
(b)公司承诺,在适当行使认股权证(包括支付认股权证行使价)时可能发行的所有认股权证股份,在发行时应全额支付、不可评估且不附带优先购买权。
14


(c)公司应在本协议日期或之前提供律师意见,其中应说明所有认股权证和认股权证股份(如适用)(i)是作为豁免《证券法》(视情况而定)登记要求的分配的一部分发行的,(ii)是根据所有适用的国家证券或“蓝天”法律发行的,以及(iii)是有效发行的、全额支付和不可评估的。
第3.08款价格调整.每当本协议的任何条款要求公司计算跨越多个交易日的每日最后报告的销售价格的平均值(包括计算对行使价和认股权证行使率的调整)时,公司应对每一项作出适当调整(如有),以计入生效后对行使价和认股权证行使率的任何调整,或在该事件的除息日或生效日(视情况而定)发生的任何需要对行使价和认股权证行使率进行调整的事件,在计算上次报告的销售价格的平均值期间或之后的任何时间,该计算和调整具有决定性和终局性,对权证代理人和持有人具有约束力。
第四条

调整及通知条文
第4.01款调整.

在符合本条第四款规定的情况下,如发生以下任何事件,公司应不时调整行使价和认股权证行权率,但在认股权证持有人参与(((x)股份分割或股份合并或(y)要约或交换要约的情况除外)的情况下,公司不得对行使价和认股权证行权率进行任何调整,与普通股持有人同时并以相同的条款,而仅因持有认股权证,在本条第4.01款所述的任何交易中,无须行使其认股权证,犹如他们持有的普通股数量等于认股权证行使率,乘以该持有人持有的认股权证数量。如行使价根据本条第4.01条(a)至(e)项中任何一项所载的公式作出调整(为此目的,不包括根据该等公式后的文本作出的重新调整),则自该等行使价调整生效的同一时间起生效,认股权证行使率将调整至相等于(a)紧接认股权证行使率调整前有效的认股权证行使率与(b)将(x)紧接认股权证行使率调整前有效的行使价除以行使价,及(y)紧接认股权证行使价调整后有效的行使价所得的乘积;惟认股权证行使率须按该等条款所载的范围作出调整。
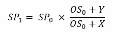
(a)如公司独家发行普通股股份作为普通股股份的股息或分派,或公司进行股份分割或股份合并,则行使价应根据以下公式进行调整(并相应调整认股权证行权率):
screenshot2025-10x011.jpg
哪里,
15


SP0
=
于紧接该等股息或分派的除息日开市前有效的行使价,或于紧接该等股份分割或股份合并的生效日期开市前有效的行使价(如适用);
SP1
=
紧接于该除息日期或生效日期开市后生效的行使价;
OS0
= 在该除息日或生效日期(在任何该等股息、分派、分拆或合并生效前)紧接开市前已发行普通股的股份数目;及
OS1
=
该等股息、分派、股份分割或股份合并生效后立即发行在外的普通股的股份数目。
根据本条第4.01(a)条作出的任何调整,须于紧接该等股息或分派的除息日营业后生效,或紧接于适用的该等股份分割或股份合并的生效日期营业后生效。倘宣布任何本条4.01(a)所述类型的股息或分派但未如此支付或作出,则行使价及认股权证行使率须立即重新调整,自董事会决定不支付该等股息或分派之日起生效,调整至行使价及认股权证行使率,而倘该等股息或分派尚未宣布,则届时将有效。
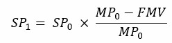
(b)如公司向所有或基本上所有普通股持有人派发任何权利、期权或认股权证(根据股东权利计划除外),使他们有权在该分配公告日期后不超过六十(60)个日历日期间,以低于截止日期的连续十(10)个交易日期间普通股最后报告销售价格的平均值的每股价格认购或购买普通股股份,包括,紧接该分派公告日期的前一个交易日,行使价按以下公式下调(并相应上调认股权证行权率):
screenshot2025-10x012.jpg
在哪里,
SP0
=
紧接该等分派除息日开市前有效的行使价;
SP1
=
紧接该除息日开市后生效的行使价;
16


OS0
=
于该除息日紧接开市前已发行普通股的股份数目;
X =
根据此类权利、期权或认股权证可分配的普通股股份总数;和
Y =
等于行使此类权利、期权或认股权证应支付的总价格的普通股股份数量,除以截至(包括)紧接派发该等权利、期权或认股权证的公告日期前一个交易日的连续十(10)个交易日期间内,普通股最后报告的销售价格的平均值。
根据本条第4.01(b)条作出的任何行使价下调(及相应提高认股权证行使率),须于任何该等权利、期权或认股权证分派时先后作出,并须于有关分派的除息日开市后即时生效。如普通股的股份在该等权利、期权或认股权证到期后未交付,则行使价(及认股权证行使率应降低)应提高至行使价(及认股权证行使率),如果该等权利、期权或认股权证的分配相对于行使价的降低(及认股权证行使率的提高)仅基于实际交付的普通股股份数量的交付,则届时将生效。如果该等权利、期权或认股权证没有如此分配,则应将行使价(以及认股权证行使率应降低)提高至在该分配的除息日没有发生的情况下届时将生效的行使价(以及认股权证行使率)。
就本条第4.01(b)条而言,在确定任何权利、期权或认股权证是否使普通股持有人有权以低于截至(包括)紧接该分配公告日期前一个交易日的连续十(10)个交易日期间的普通股最后报告销售价格的平均每股价格认购或购买普通股股份时,以及在确定该等普通股股份的总发行价格时,须考虑公司就该等权利、期权或认股权证所收取的任何代价,以及在行使或转换该等权利或认股权证时应付的任何金额,该等代价的价值(如非现金)将由公司善意厘定。
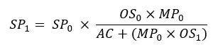
(c)如果公司将其股本的股份、其债务的证据、公司的其他资产或财产或收购其股本或其他证券的权利、期权或认股权证分配给普通股的所有或几乎所有持有人,但不包括(i)根据第4.01(a)节或第4.01(b)节进行调整的股息、分配或发行(包括股份分割),(ii)除非第4.07节另有规定,根据当时有效的公司任何股东权利计划发行的权利,(iii)为交换而发行的参考财产的分配,(四)适用第4.01(d)条规定的完全以现金支付的股息或分派,或在股份交换事件中的普通股转换时,以及(五)适用本第4.01(c)条规定的分拆(定义见下文)
17


应适用(任何该等股本股份、债务证据、其他资产或财产或权利、期权或认股权证以取得股本或其他证券、《分布式属性”),则行使价按以下公式下调(并相应上调认股权证行权率):
screenshot2025-10x013.jpg
在哪里,
SP0
=
紧接该等分派除息日开市前有效的行使价;
SP1
=
紧接该除息日开市后生效的行使价;
议员0
=
普通股在截至(包括)该分配的除息日的前一个交易日的十(10)个连续交易日期间内最后报告的销售价格的平均值;和
FMV =
分配财产的公平市场价值(由公司善意确定)相对于除息日的普通股的每一股已发行股份进行此类分配。
根据本条第4.04(c)条的部分作出的任何行使价下调(以及相应的权证行使率上调),须于有关分派的除息日开市后立即生效。如果未如此支付或进行此类分配,则应将行使价(以及认股权证行使率应降低)提高至在未宣布此类分配的情况下届时将生效的行使价(以及认股权证行使率)。尽管有上述规定,如果“FMV”(如上定义)等于或大于“MP0"(如上文所定义),就每份认股权证而言,每个认股权证持有人应在收到分配财产的同时并以与普通股持有人收到分配财产相同的条件收到,如果该持有人拥有数量等于在分配除息日有效的认股权证行使率的普通股股份,则该持有人本应收到的分配财产的数量和种类,以代替上述增加。
(一)关于根据本条第4.01(c)款作出的调整,凡已就公司附属公司或其他业务单位的任何类别或系列股本股份的普通股或类似股本权益支付股息或其他分配,或一旦发行,将在美国国家证券交易所上市或获准交易(a "分拆”),行使价按以下公式下调(并相应上调认股权证行权率):
18


screenshot2025-10x014.jpg
哪里:
SP0
=
紧接估值期(定义见下文)结束前有效的行使价;
SP1
=
紧接估值期结束后生效的行使价;
FMV0
=
适用于一(1)股普通股的股本或类似股本权益分派予普通股持有人的股本或类似股本权益的最后呈报销售价格(参照第1.01节所载的最后呈报销售价格的定义确定,犹如其中对普通股的提述是指该股本或类似股本权益)在分拆除息日(包括分拆除息日)后的第一个连续十(10)个交易日期间的平均数估值期”);以及
议员0
=
普通股在估值期内最后报告的销售价格的平均值。
对前款下行使价的下调(以及相应的权证行权率的上调),发生在估值期最后一个交易日收盘时;提供了如有关行使日发生在估值期内,则前款所指的“10”应视为在厘定行使价(及认股权证行权率)时,以自该分拆的除息日(包括该等除息日)至行权日(包括该等行权日)已经过的较短交易日数目取代。倘宣布任何构成分拆的股息或分派但未如此支付或作出,则行使价须立即提高(及认股权证行使率须立即降低),自董事会决定不支付或作出该等股息或分派之日起生效,至在该等股息或分派尚未宣布或宣布时届时有效的行使价(及认股权证行使率)。
就本条第4.01(c)条而言(并在所有有关方面受第4.07条规限),公司向所有普通股持有人派发的权利、期权或认股权证,使他们有权认购或购买公司股本的股份,包括普通股(初始或在某些情况下),这些权利、期权或认股权证,直至发生一项或多项特定事件("触发事件"):(i)被视为与普通股的该等股份转让;(ii)不可行使;及(iii)亦就普通股的未来发行而发行,须被视为未就本条4.01(c)的目的进行分派(且在最早触发事件发生前,无须根据本条4.01(c)调整行使价(及认股权证行使率),
19


据此,该等权利、期权或认股权证应视为已分派,并应根据本条4.01(c)对行使价(及认股权证行使率)作出适当调整(如有需要)。如任何该等权利、期权或认股权证,包括在本协议日期之前分配的任何该等现有权利、期权或认股权证,受制于发生该等权利、期权或认股权证变得可行使以购买不同证券、债务证据或其他资产的事件,则任何及每项该等事件的发生日期应被视为与该等权利有关的新权利、期权或认股权证的分配日期及除息日(在此情况下,现有权利,期权或认股权证应被视为终止并在该日期到期,而无需其任何持有人行使)。此外,如发生任何权利、期权或认股权证的分派(或当作分派),或为计算根据本条第4.01(c)条作出行使价(及认股权证行使率)调整的分派金额而计算的任何触发事件或与之有关的其他事件(如属前一句所述类型),(1)如任何该等权利、期权或认股权证均已赎回或购买而无任何持有人行使,在最终赎回或购买(x)时,行使价(和认股权证行使率)应重新调整,如同该等权利、期权或认股权证尚未发行,而(y)行使价(和认股权证行使率)应再次重新调整,以使该分配、视为分配或触发事件(视情况而定)生效,如同现金分配一样,等于一个或多个普通股持有人就该等权利收到的每股赎回或购买价格,期权或认股权证(假设该持有人保留了该等权利、期权或认股权证),在此类赎回或购买之日向所有普通股持有人作出,以及(2)如果该等权利、期权或认股权证已到期或未经任何持有人行使而终止,则应重新调整行使价(以及认股权证行使率),如同该等权利、期权和认股权证尚未发行一样。
就第4.01(a)条、第4.01(b)条及本条4.01(c)条而言,如适用于本条4.01(c)的任何股息或分派亦包括以下其中一项或两项:
(a)第4.01(a)条适用的股息或普通股股份分派("条款A分配”);或者

(b)第4.01(b)条适用的股息或权利、期权或认股权证的分派("B条款分配”);

则在任一情况下,(1)该等股息或分派(A条分派及B条分派除外)须当作为适用于本条第4.01(c)条的股息或分派("C条款分配")及本条第4.01(c)条就该等C款分派所规定的任何行使价(及认股权证行使率)调整,须随即作出,而(2)A款分派及B款分派须当作为紧接第C款分派及第4.01(a)条及第4.01(b)条就该等规定的任何行使价(及认股权证行使率)调整后作出,但,如经公司(i)决定,A款分派的「除息日」及B款分派将被视为A款分派的除息日,而A款分派的除息日则为A款分派的除息日,即为A款分派的除息日,即为A款的除息日,即为A款的除息日,即为A款的除息日,即为A款的除息日,即为A款的除息日,即为A款的除息日,即为A款的除息日,即为A款的除息日,
20


C款分派及(II)A款分派或B款分派所包括的任何普通股股份,均须当作并非第4.01(a)条所指的“在该除息日期或生效日期的紧接开市前已发行”或第4.01(b)条所指的“在该除息日期的紧接开市前已发行”。
(d)如果公司向所有或几乎所有普通股持有人进行任何现金分红或分配,则行使价应根据以下公式进行调整(并相应调整认股权证行权率):
screenshot2025-10x015.jpg
哪里:
SP0
=
该等股息或分派的除息日紧接开市前有效的行使价;
SP1
=
紧接该等股息或分派的除息日开市后有效的行使价;
议员0
=
该等股息或分派在紧接除权日的前一个交易日最后呈报的普通股销售价格;及
C =
公司向所有或几乎所有普通股持有人分配的每股现金金额;
根据本条第4.01(d)条对行使价的任何下调(以及相应的权证行使率的上调),须于该等股息或分派的除息日开市后即时生效。如果该等股息或分派未如此支付,则应提高行使价(并降低认股权证行使率),自董事会决定不派发或支付该等股息或分派之日起生效,成为在未宣布该等股息或分派的情况下届时将生效的行使价(以及认股权证行使率)。尽管有上述规定,如果“C”(如上定义)等于或大于“SP0”(定义见上文),代替上述对行使价的降低(并相应提高认股权证行使率),每名认股权证持有人应就其持有的每份认股权证,在与普通股股份持有人相同的时间和相同的条件下,获得该持有人本应获得的现金数额,如果该持有人在该现金股息或分配的除息日拥有与认股权证行使率相等的若干股普通股股份。
(e)如果公司或其任何子公司就根据《交易法》当时适用的要约收购规则(任何零股要约收购除外)进行的普通股要约或交换要约支付款项,但以现金和
21


每股普通股支付中包含的任何其他对价的价值超过自根据该要约或交换要约可能进行投标或交换的最后日期之后的下一个交易日(包括)开始的连续十(10)个交易日期间内普通股最后报告的销售价格的平均值,行使价应根据以下公式(并相应增加认股权证行使率)降低:
screenshot2025-10x016.jpg
在哪里,
SP0
=
紧接本交易日收市前有效的行使价 紧接其后的第10个交易日,包括该要约或交换要约到期之日的下一个交易日;
SP1
=
日收市后即时生效的行使价 紧接其后的第10个交易日,包括该要约或交换要约到期之日的下一个交易日;
交流 =
为在该要约或交换要约中购买的普通股股份支付或应付的所有现金和任何其他对价(由公司善意确定)的总价值;
OS0
=
在紧接此类要约或交换要约到期之日前(在实施购买此类要约或交换要约中接受购买或交换的所有普通股股份之前)已发行普通股的股份数量;
OS1
=
紧接该要约或交换要约到期之日后(在该要约或交换要约中购买所有接受购买或交换的普通股股份生效后)已发行在外的普通股股份数量;和
议员0
=
自该要约或交换要约到期之日的下一个交易日(包括该日)开始的十(10)个连续交易日期间内,普通股最后报告的销售价格的平均值。
根据本条第4.04(e)款对行使价的下调(以及相应的权证行使率的上调)应在收市时发生 紧接其后的第10个交易日,包括该要约或交换要约到期之日的下一个交易日;提供了如有关行使日期发生在紧接其后的十(10)个交易日内,包括任何要约或交换要约届满日期后的下一个交易日,则提述“10”或10日”的前款规定,视为以已经过的交易日数较少者代替
22


自(及包括)该等要约或交换要约届满日期后一个交易日起至(及包括)厘定行使价(及认股权证行使率)时的到期日。
如果公司或其子公司之一有义务根据本节4.01(e)中所述的任何此类要约或交换要约购买普通股股份,但公司或该子公司被适用法律永久阻止进行任何此类购买或所有此类购买均被撤销,然后,行使价(以及认股权证行使率)将被重新调整为行使价(以及认股权证行使率),如果未提出或仅就已进行的购买提出此类要约或交换要约,则该行使价(以及认股权证行使率)将会生效。
(f)尽管有本第4.01条或本协议的任何其他规定,如果行使价(和认股权证行使率)调整在任何除息日生效,而在该除息日或之后以及在相关记录日期或之前已行使其认股权证的持有人将被视为在根据第3.05(e)条所述的相关行使日根据该除息日的调整后行使价(和认股权证行使率)的普通股股份的记录持有人,那么,尽管有本条第4.01条中的行使价(和权证行权率)调整条款,但不得对该行权持有人进行与该除息日有关的行权价(和权证行权率)调整。相反,该持有人应被视为该持有人是未经调整的普通股股份的记录所有人,并参与了相关的股息、分配或引起此类调整的其他事件。
(g)除本文另有说明外,公司不得调整发行普通股股份或任何可转换为或可交换为普通股股份的证券或购买普通股股份或此类可转换或可交换证券的权利的行使价(以及认股权证行权率)。
(h)除本条例第4.01条(a)、(b)、(c)、(d)及(e)项所规定的调整外,并在符合适用的交易所上市规则及适用法律的情况下,公司可不时在至少二十(20)个营业日的期间内将行使价(或增加认股权证行使率)以任何金额调低,前提是公司确定行使价的下调(或认股权证行使率的上调)将符合公司的最佳利益。此外,根据适用的交易所上市规则和适用法律,公司可以(但无需)降低行使价(或提高认股权证行使率),以避免或减少与股息或普通股股份分配(或获得普通股股份的权利)或类似事件有关的普通股或购买普通股股份的权利持有人的任何所得税。
(一)尽管有本第四条的相反规定,行权价(及权证行权率)不得调整:
(一)在以低于行使价或其他价格发行任何普通股股份时,但本第4.01条(a)、(b)或(c)款所述的任何此类发行除外;
(二)在根据任何现行或未来计划发行任何普通股股份时,该计划规定将公司证券应付的股息或利息再投资,并根据任何计划对普通股股份进行额外可选的投资;
23


(三)根据公司或公司任何附属公司的任何现有或未来雇员、董事或顾问福利或激励计划或计划(包括根据任何常青计划)或由其承担的任何普通股或期权或权利发行时购买该等股份;
(四)根据本款第(iii)款未述及且于首次发行认股权证之日尚未发行的任何期权、认股权证、权利或可行使、可交换或可转换证券发行普通股的任何股份时;
(五)为本条例第4.01条(e)项所述的公司的一个或多个附属公司的要约收购以外的任何一方的第三方要约收购;
(六)根据公开市场股份购买计划或其他回购交易(包括结构化或衍生交易,例如加速股份回购交易或类似的远期衍生工具,或其他回购交易)回购任何普通股股份时,不属于本条款(e)所述类型的要约收购或交换要约第4.01款;或
(七)仅用于普通股面值的变化(或缺少面值)。
(j)本第四条下的所有计算和其他确定均由公司作出,并应视情况以一股的十万分之一(1/10万)和一美元的十万分之一(1/10万)为准。
(k)[保留。]
(l)就本条第4.01条而言,在任何时间发行在外的普通股股份的数目,只要公司不支付任何股息或就公司库房中持有的普通股股份作出任何分配,则不包括在公司库房中持有的普通股股份,但应包括就代替零碎普通股股份而发行的代息凭证而可发行的普通股股份。
第4.02款保留.

第4.03款资本重组、重新分类和普通股变动的影响.
(a)在以下情况下:
(一)普通股的任何资本重组、重新分类或变更(不包括变更为面值,或从面值变为无面值,或因细分或合并而导致的变更);
(二)涉及本公司的任何合并、合并、合并或类似交易;
(三)公司及公司附属公司的合并资产实质上整体出售、租赁或以其他方式转让予第三方;或
(四)任何法定股份交换;
24


在每种情况下,普通股将因此而转换为或交换为股票、其他证券、其他财产或资产(包括现金或其任何组合)(任何该等事件,“股份交换事件”),则在该股份交换事件生效时间及之后,行使每份认股权证以购买认股权证股份的权利应变更为行使该认股权证以购买股票种类和数量的权利,其他证券或其他财产或资产(包括现金或其任何组合),而若干普通股股份的持有人在紧接该股份交换事件之前将拥有或有权获得(“参考财产”,每个“参考财产单位”是指一股普通股的持有人有权获得的参考财产的种类和数量),并且在该股份交换事件之前或在该股份交换事件生效时间,公司或承继人或收购人(视属何情况而定)须与认股权证代理人签立根据4.06(a)(viii)所允许的本协议的修订,订明行使每份认股权证的权利的该等变更;但条件是,在股份交换事件生效时间及之后,公司根据第3.05条行使认股权证时本应被要求交付的任何普通股股份,应以该数量普通股股份的持有人在该股份交换事件中本应收到的参考财产的数量和类型进行交付。

如果换股事件导致普通股被转换为或交换为收取不止一种类型对价的权利(部分基于任何形式的股东选举确定),则(i)认股权证持有人在行使该等认股权证时将获得的参考财产应被视为普通股持有人实际收到的对价类型和金额的加权平均数,(ii)就紧接前一款而言,参考财产的单位应指可归属于一(1)股普通股的第(i)条所指的代价。如果参考财产单位在该股份交换事件中包括但不完全由现金组成,则对于相关行使日期发生在该股份交换事件生效日期之后的所有认股权证的行使,(a)行使任何认股权证所需的认股权证行使价的支付应予扣除或移除(但为免生疑问,不得扣除低于零)(如适用),按相等于(i)于行使日生效的认股权证行使率及(II)该等参考财产单位所包括的现金数额及(b)持有人在行使该等认股权证时本应从现金中收到的现金数额的乘积(但为免生疑问,不得在零下扣除)(如适用),按相等于根据紧接前一条款(a)支付的认股权证行使价所扣除的数额的数额。如果普通股持有人在该换股活动中仅收到现金,则对于相关行权日发生在该换股活动生效日期之后的所有认股权证的行使,(a)行使任何认股权证将不需要支付认股权证行使价,(b)每份认股权证行使时到期的对价应仅为现金,金额等于超出部分(如有),(i)(x)于行使日生效的认股权证行使率与(y)在该换股活动中每股普通股支付的价格超过(II)认股权证行使价及(c)的乘积,公司须于紧接认股权证行使后的第五个营业日向行使持有人支付现金,以履行其交付与认股权证行使有关的参考财产单位的义务
25


相关行权日期。公司须于作出该等厘定后,在切实可行范围内尽快将该等加权平均以书面通知持有人及认股权证代理人。

如任何此类股份交换事件的参考财产全部或部分包括与之相关的普通股或美国存托凭证(或其他权益)的股份,则紧接前一款第二项所述的对本协议的修订应规定反稀释和其他调整,这些调整应尽可能接近于本第IV条规定的关于由此类普通股或美国存托凭证(或其他权益)组成的参考财产部分的调整。如在任何股份交换事件的情况下,参考财产包括公司以外的人的股票、证券或其他财产或资产(包括其任何组合)的股份及现金及/或现金等价物(视属何情况而定)在该股份交换事件中,则对本协议的该等修订亦须由该等其他人执行,倘该等人为公司的联属公司或继承人或取得人,并须载有公司因上述原因而合理地认为有需要的额外条文,以保护持有人的利益。

(b)当公司依据本条第4.03款(a)款执行对本协议的修订时,公司须迅速向权证代理人提交一份公司正式授权人员出具的证明,简要说明其理由、在任何该等股份交换事件后将构成参考财产单位的现金、证券或财产或资产的种类或数额、将就此作出的任何调整以及所有先决条件均已获遵守,并须迅速向所有持有人交付或安排交付有关通知。本公司应安排在本协议的该等修订的执行通知在其执行后二十(20)天内送达各持有人。未送达该通知不影响本协议该等修改的合法性或有效性。
(c)本条的上述规定,同样适用于连续的股份交换事件。
第4.04款调整通知.凡依据本条例作出任何调整第四条,公司须安排于该等调整生效日期后在切实可行范围内尽快将有关该等调整的通知送达认股权证代理人,该通知须合理详细地包括(i)调整的原因,(ii)任何调整的计算,及(iii)新的或经修订的行使条款,包括(如适用)经调整的认股权证行使率(或每份认股权证行使时可购买的普通股股数或参考财产单位)、经调整的行使价及经调整的认股权证行使价。公司通知中包含的计算、调整和确定,在没有明显错误的情况下,均为最终结果,并对公司、权证代理人和持有人具有约束力。认股权证代理人有权依赖该通知及其中所载的任何调整,而认股权证代理人不得被视为知悉任何该等调整,除非且直至其已收到该等通知。根据本协议的任何部分,权证代理人没有义务确定是否需要进行调整或计算本协议规定的任何调整。公司须以新闻稿或公司合理厘定的其他方法向持有人提供有关任何该等调整的通知,以将该等调整通知该等持有人。认股权证代理人在接获公司发出的该等通知(其
26


通知必须具体指示权证代理人履行交付)促使按照保存人的惯常程序向保存人交付类似通知。

第4.05款调整认股权证.权证证书的格式无须因依据本条例作出任何调整而更改第四条,而经该等调整后发行的认股权证证书可载明与该等调整前发行的任何认股权证证书所述相同的认股权证行使率。然而,公司可随时全权酌情就认股权证的形式作出其认为适当的任何更改,以使任何该等调整生效,且不影响认股权证的实质内容,而其后发出或会签的任何认股权证,不论是作为交换或替代未行使的认股权证或其他方式,均可采用经如此更改的形式。为免生疑问,不会因依据本条例作出的调整而更改认股权证或本协议第四条须经认股权证持有人或认股权证代理人同意。

第4.06款修正.

(a)本公司及认股权证代理人未经持有人同意,可不时及随时为以下一项或多项目的修订本协议及/或认股权证证书:
(一)纠正任何歧义、遗漏、缺陷或不一致之处;
(二)就任何股份交换活动(如适用)中由继任公司承担的责任作出规定;
(三)延长到期日;
(四)根据交易所上市规则和适用法律,在行使任何认股权证时,提高认股权证行使率、降低行使价、降低认股权证行使价或在应收对价中增加任何额外的现金、证券或财产或资产;
(五)向每个持有人提供在每次行使时选择替代结算机制的权利,例如净份额结算(也称为无现金行使)或现金结算(以及在没有这种选择的情况下,按本协议规定的截至发行日的实物结算适用为默认结算方式);
(六)对认股权证或本协议的条款作出不会对任何持有人在任何重大方面的权利产生不利影响的任何其他变更;
(七)订定继任权证代理人;
(八)就任何股份交换事件而言,规定认股权证可就参考财产单位行使;
(九)遵守任何适用的保存人的规则,只要该修订不会对任何持有人在任何重大方面的权利产生不利影响;
27


(x)使本协议或认股权证证书的规定符合招股章程补充文件中有关在行使认股权证时发行和出售普通股股份的“认股权证说明”部分;和
(十一)订定条文或确认根据第2.01(a)(二)节).
本条文授权的任何修订第4.06(a)款)可由公司及认股权证代理人签立,而无须当时任何认股权证的持有人同意,尽管有第4.06(b)款).权证代理人不得无理拒绝执行公司提出的任何该等修订。
(b)经大多数当时尚未行使的认股权证持有人书面同意,公司可不时修订本协议及/或认股权证证书,其方式对任何持有人的利益造成重大不利影响。在确定所需数量的认股权证的持有人是否已同意任何指示、放弃或同意时,在任何该等确定中仅应考虑当时尚未行使的认股权证,而认股权证代理人所知悉由公司或其任何附属公司拥有的认股权证将不予考虑,并被视为并非为此目的尚未行使。公司或认股权证代理人可就任何该等指示、放弃或同意设定记录日期,而只有截至该记录日期的持有人才有权作出或给予该等指示、放弃或同意。
(c)本协议或任何认股权证的补充或修订,概不依据第4.06款除非经权证代理人及本公司妥为签立,否则有效。作为认股权证代理人执行任何修订的先决条件,公司须向认股权证代理人交付一份由公司正式授权人员出具的证明,证明建议的修订符合第4.06款.尽管本协议中有任何相反的规定,但权证代理人可以(但不应承担义务)订立任何对权证代理人自身在本协议下的权利、义务、豁免或义务产生不利影响的补充或修订。
(d)公司应根据本协议或认股权证证书的任何重大修订,通过新闻稿或8-K表格归档向持有人提供合理通知第4.06款 及行使价、认股权证兑换率或认股权证行使价的任何重大调整根据第4.01款,而在每宗个案中,重要性须由公司使用其唯一合理酌情权决定。认股权证代理人应在收到公司的该等通知(该通知必须具体指示认股权证代理人履行交付)后,在切实可行范围内尽快促使按照保存人的惯常程序向保存人交付类似的通知。在根据本协议的规定签立本协议或权证证书的任何修订时第4.06款、本协议和/或权证证书应并被视为根据该协议进行修改和修订,公司、权证代理人和持有人在本协议项下各自的权利、权利限制、义务、义务和豁免此后应在所有方面受该等修改和修订的约束下确定、行使和执行,任何该等修订的所有条款和条件应并被视为本协议和权证证书的条款和条件的一部分,用于任何和所有目的。
第4.07款股东权利计划.如果公司有在行使认股权证时生效的股东权利计划,则在行使认股权证时发行的每一股普通股(如有)应有权获得适当数量的权利(如有),而代表在行使认股权证时发行的普通股的证书应载有此类传说(如有),在
28


任何此类股东权利计划的条款可能提供的每个案例,因为相同的案例可能会不时修订。然而,如果在行使任何认股权证之前,权利已根据适用的股东权利计划的规定与普通股股份分离,则认股权证行使率应在分离时进行调整,如同公司按照第4.01(c)节的规定分配给普通股已分配财产的所有或几乎所有持有人一样,但在此类权利到期、终止或赎回的情况下可进行重新调整。

第五条

认股权证股份的注册
第5.01款注册声明的有效性.公司应利用商业上合理的努力促使根据《证券法》第415条规则(或任何后续条款)提交的货架登记声明(包括由公司选择的现有登记声明或其替代),涵盖在其持有人行使认股权证时向持有人发行认股权证股份(“普通股货架登记声明")至(除若干例外情况外)(i)在本协议日期后于合理切实可行范围内尽快生效及(ii)至少在(x)所有认股权证已获行使的时间及(y)于到期日营业时间结束时(以较早者为准)前保持有效。普通股货架登记声明的有效性或可用性状态发生任何变化,公司应及时告知权证代理人。为免生疑问,在普通股上架登记声明生效前,任何认股权证均不得在任何时间行使。如普通股上架登记声明因任何理由在任何时间或不时不生效,则行使认股权证的权利应自动中止,直至该普通股上架登记声明生效(任何该等期间、“行使暂停期限”).在发生行使暂停期限时,公司应在切实可行范围内尽快以新闻稿形式向认股权证代理人提供任何行使暂停期限的通知,并同时提供一份副本。尽管本协议另有相反规定,若在到期日之前发生任何行权停止期,则应以(i)5个工作日和(ii)该行权停止期所包含的天数中的较大者延迟到期日。
第5.02款停牌.如果董事会在行使其合理判断时确定暂停提供普通股货架登记声明是必要的或可取的,由公司全权酌情决定,并通过新闻稿向认股权证持有人提供通知,表明该确定已作出,并同时向认股权证代理人提供一份副本(前提是,经公司要求,股票转让代理人将根据保存人的惯常程序向保存人交付该通知的副本);提供了,然而、(i)如公司在到期日之前行使该权利,则到期日须按(i)5个营业日及(ii)在该期间暂停提供普通股货架登记声明的天数中的较大者予以延迟,及(ii)如公司真诚地确定该等业务目的应予保密,则在任何情况下均无须公司披露该等暂停的业务目的。
第5.03款费用.受制于第2.04(c)(二)条)、公司直接发生的与公司履行或遵守本项下义务有关的一切费用第五条与发行认股权证股份有关的费用将由公司承担,包括但不限于:(i)所有SEC、证券交易所或金融业监管局的注册和备案费用;(ii)公司因遵守国家证券或蓝天法律而产生的所有费用和开支;(iii)任何由公司或代表公司事先书面同意而产生的人员的所有费用
29


本公司在编制或协助编制、印刷及分发普通股货架登记声明或任何其他登记声明、招股章程、对其的任何修订或补充以及与履行及遵守本第五条;(iv)公司大律师的费用及付款;及(v)公司独立公众会计师的费用及付款。

第六条

保留
第七条

授权代理
第7.01款委任认股权证代理人.本公司特此根据本协议明文规定指定权证代理人代理本公司,权证代理人特此接受该委托。

第7.02款权证代理人的权利义务.

(a)为公司代理.根据本协议行事及就认股权证证书而言,认股权证代理人仅作为公司的代理人行事,并不为或与认股权证的任何持有人或实益拥有人承担任何义务或关系或代理或信托。本协议项下应付给权证代理人的一切费用和开支由公司支付给权证代理人。权证代理人没有义务确定本协议项下的哪些费用(如有)应由持有人或公司承担。
(b)律师.认股权证代理人可向其满意的大律师(该大律师可能是公司的大律师)进行咨询,而该大律师的建议应是在没有恶意的情况下(该恶意必须由具有管辖权的法院的最终不可上诉命令、判决、判令或裁决确定)并根据该大律师的建议,就其根据本协议采取、遭受或遗漏的任何行动而言的充分和完整的授权和保护。
(c)文件.认股权证代理人应受到保护,并不对其依赖任何认股权证、通知、指示、同意书、证书、誓章、陈述或其合理地认为是真实的并已由适当一方或多方(如适用)出示或签署的其他纸张或文件而采取的任何行动承担任何责任或责任。
(d)无隐含义务.权证代理人仅有义务履行本协议和权证凭证中明确规定的职责,不得将权证代理人的默示义务或义务理解为本协议或权证凭证中针对权证代理人的行为。认股权证代理人没有义务根据本协议采取任何可能倾向于使其卷入其未获得赔偿的任何费用或责任的行动,如果此类赔偿是合理要求的。认股权证代理人不得对公司申请认股权证收益承担任何责任或义务。如公司在履行本协议所载的契诺或协议或在认股权证证书中出现任何违约,或在收到持有人的任何书面要求的情况下,认股权证代理人不承担任何义务或责任
30


关于此类违约,包括在法律或其他方面启动或试图启动任何程序的任何义务或责任。
(e)不负责股票的调整或有效性.认股权证代理人在任何时候均不对任何持有人承担任何义务或责任,以确定是否存在任何可能需要调整认股权证行使率的事实,或就作出任何调整时的性质或程度,或就所采用的方法,或在本协议或任何规定采用的补充协议中,在作出该等调整时,或就任何新的行使条款,或就任何与行使认股权证有关的任何调整或任何应付金额的计算。认股权证代理人不得就任何普通股股份或任何证券或财产的有效性或价值承担责任,而该等股份或证券或财产在行使任何认股权证时或在依据第四条,而认股权证代理人并不就此作出任何陈述。认股权证代理人不对公司在为行使目的交出任何认股权证时未能支付任何现金或未发行、转让或交付任何认股权证股份承担任何责任或责任,也不对任何违约金或与之相关的任何其他损害赔偿承担任何责任或责任。
(f)利息不负法律责任.认股权证代理人对其依据本协议或认股权证的任何条款在任何时间收到的任何款项不承担利息责任。
(g)代理人和律师.认股权证代理人可自行或由或通过其律师或代理人执行和行使特此赋予其的任何权利或权力或履行本协议项下的任何职责,而认股权证代理人不得对任何该等律师或代理人或分包商的任何行为、失责、疏忽或不当行为或因任何该等行为、失责、疏忽或不当行为、无重大疏忽、恶意或故意不当行为(每一项由最终确定,有管辖权的法院的不可上诉判决)中的选择或继续聘用。
(h)大奖章保证.认股权证代理人在采取行动或不采取行动时,可以依赖并得到充分授权和保护:(i)作为证券转让代理人奖章计划或其他类似“签名保证计划”或保险计划的成员或参与者的“合格担保机构”在上述之外或替代上述内容的任何签字保证;(ii)任何法律、法案、条例或对其的任何解释,即使该等法律、法案、条例或条例此后可能已被更改、变更、修正或废除。
第7.03款权证代理人的个人权利.认股权证代理人和认股权证代理人的任何股东、董事、高级职员或雇员可以购买、出售或交易公司或其关联公司的任何认股权证或其他证券,或在公司或其关联公司可能感兴趣的交易中成为金钱利益方,或与公司或其关联公司订立合同或向公司或其关联公司借钱或以其他方式充分和自由地行事,就好像它不是本协议下的认股权证代理人一样。本协议不妨碍权证代理人以任何其他身份为公司或任何其他法律实体行事。

第7.04款认股权证代理的免责声明.认股权证代理人对本协议或认股权证证书的有效性或充分性(其会签除外)不承担任何责任或责任,也不作任何陈述,也不对本协议或认股权证证书所载除其会签以外的任何事实陈述或陈述承担任何责任,或被要求进行验证,但所有该等陈述及陈述均为并须当作仅由公司作出;亦不对公司违反任何契诺或条件承担法律责任或
31


本协议或任何认股权证证书中所载;也不得通过本协议项下的任何行为被视为就根据本协议或任何认股权证证书将发行的任何普通股股份的授权或保留作出任何陈述或保证,或就任何普通股股份在发行时是否将获得正式授权、有效发行、全额支付和不可评估作出任何陈述或保证。

第7.05款补偿及弥偿.

(a)Compensation.本公司同意,认股权证代理人有权根据公司与认股权证代理人根据本协议提供的所有服务以书面相互商定的费用表,不时就其服务获得合理补偿,并向认股权证代理人偿还合理的自付费用(包括在准备、交付、谈判、修改过程中产生的合理且有文件证明的律师费和其他支出,由权证代理人管理和执行本协议及行使和履行其在本协议项下的职责和义务)与权证代理人在本协议项下提供的服务有关。
(b)赔偿.本公司应就任何损失、责任、损害、判决、罚款、处罚、索赔、要求、和解、成本或费用(包括合理的律师费和费用),向本公司及其高级管理人员、董事、代理人和大律师作出赔偿,并使其免受损害,这些损失、责任、损害、赔偿或费用(包括合理的律师费和费用)可能因本公司在本协议项下执行、接受、管理、行使和履行其职责时所采取的任何行动而直接或间接产生或产生的任何索赔或责任,包括直接或间接抗辩由此产生的任何赔偿责任主张或执行其在本协议下的赔偿权利的合理费用和开支。公司无须就认股权证代理人、其高级职员、董事、代理人及大律师因其任何一人或多人的故意不当行为或重大过失(其中故意不当行为或重大过失必须由具有管辖权的法院的最终、不可上诉的命令、判决、法令或裁决确定)而招致的任何费用或赔偿责任。
(c)公司说明.本公司可不时向认股权证代理人提供有关本协议项下认股权证代理人所提供服务的指示。此外,在任何时候,认股权证代理人可向公司任何高级人员申请指示,并可就与认股权证代理人根据本协议将提供的服务有关的任何事项向认股权证代理人或公司的法律顾问进行咨询。认股权证代理人及其代理人和分包商不对在认股权证代理人(i)依据公司任何书面指示或(ii)根据该大律师的意见或意见(在此情况下,认股权证代理人如因该大律师的意见或意见而不会采取本协议所要求的行动,则公司将不承担任何责任,并应获得公司赔偿。在收到公司的书面通知之前,权证代理人不得被认为有任何人的任何权限变更通知。
(d)责任限制.权证代理人仅对其自身的重大过失、恶意或故意不当行为(每一项由有管辖权的法院的最终、不可上诉的命令、判决、判令或裁决确定)承担本协议项下的责任。尽管本协议中有任何相反的规定,担保代理人在本协议的任何期限内就本协议、产生于本协议或与本协议有关,或因根据本协议提供或不提供的所有服务而承担的合计责任
32


协议,无论是在合同中,还是在侵权行为中,或在其他方面,均限于且不应超过公司在紧接正向权证代理人寻求追偿的事件之前的十二(12)个月内作为费用和收费向权证代理人支付的本协议项下的金额,但不包括可偿还的费用。
(e)造成的损害赔偿.本协议任何一方均不得就本协议任何条款下的任何后果性、间接、特殊或附带损害或因本协议下的任何作为或不作为而产生的任何后果性、间接、惩罚性、特殊或附带损害向另一方承担责任,即使该一方已被告知或已预见到此类损害的可能性。
(f)生存.双方根据本协议各自承担的义务第7.05款在认股权证终止、行使或届满、本协议终止及认股权证代理人离职、更换或撤职后仍有效。
第7.06款继任权证代理人.

(a)公司将提供及维持认股权证代理.本公司为持有人的利益同意,在所有认股权证被行使或不再可行使之前,本协议项下(可能包括本公司)在任何时候都应有一名认股权证代理人。
(b)辞职及免职.认股权证代理人可随时通过向公司发出书面通知的方式提出辞职,具体说明其所希望的辞职生效日期;提供了,然而,除非公司另有书面同意,否则该日期不少于发出该通知日期后三十(30)天。若公司与认股权证代理人之间有效的转让代理关系终止,认股权证代理人将被视为自动离职,但须遵守前句第二款的规定,自该终止生效之日起解除其在本协议项下的职责,公司将负责发送所需的任何通知。除非权证代理人另有书面约定,否则权证代理人可随时向其提交由公司签署或代表公司签署并指明该项解除和生效日期的书面文书,该日期不少于发出该通知后三十(30)天。
(c)公司将委任继任者.如果在任何时候,认股权证代理人应辞职,或应被免职,或变得无行为能力,或应被判定破产或资不抵债,或应根据现在或以后构成的联邦破产法,或根据任何其他适用的联邦或州破产、无力偿债或类似法律启动自愿案件,或应同意由接管人、托管人、清盘人、受让人、受托人、扣押人(或其他类似官员)指定或占有认股权证代理人或其财产或事务,或应为债权人的利益进行转让,或须以书面承认其无力一般偿付到期债务,或须采取公司行动以促进任何该等行动,或已根据联邦破产法(如现在或以后所构成)就非自愿案件中的担保代理人订立由法院作出的关于救济的法令或命令,或任何其他适用的联邦或州破产、无力偿债或类似法律,或已订立由法院作出的法令或命令,以指定接管人、保管人、清盘人、受让人、受托人,认股权证代理人或其财产或事务的扣留人(或类似官员),或任何公职人员须为恢复、保存、清盘或清算的目的而掌管或控制认股权证代理人或其财产或事务,一名符合上述资格的继任认股权证代理人,须由公司以书面文书委任,并向继任认股权证代理人存档。尽管有上述规定,如公司未能在
33


在发出有关撤职通知后三十(30)天的期间内,或在其已获辞职或丧失行为能力的认股权证代理人以书面通知该辞职或丧失行为能力后,则现任认股权证代理人可向任何有管辖权的法院申请委任新的认股权证代理人。待公司或该法院委任该认股权证代理人的继任人时,该认股权证代理人的职责应由公司履行。
(d)继任者明确承担职责.根据本协议委任的任何继任权证代理人应签署、承认并向其前任和本公司交付一份根据本协议接受该委任的文书,因此,该继任权证代理人在没有任何进一步作为、契据或转易的情况下,应被授予该前任的所有权利和义务,其效力犹如根据本协议原名为权证代理人一样,而该前任在支付其当时未支付的费用和付款后,应因此承担转让、交付和支付的义务,而该继任权证代理人有权收取、所有款项,作为本协议项下的权证代理人存放于该前任或由其持有的证券和其他财产;但不得要求前任权证代理人就上述事项作出任何额外支出或承担任何额外责任。
(e)合并后的继任者.本协议项下的认股权证代理人可合并或合并的任何人,或因认股权证代理人应为一方的任何合并或合并而产生的任何人,或认股权证代理人应向其出售或以其他方式转让其全部或几乎全部资产和业务的任何人,均为本协议项下的继任认股权证代理人,而无需任何一方签署或归档任何文件或任何进一步行为。
第7.07款银行账户.本协议项下由香港中央银行管理的所有基金,将由香港中央银行在执行本协议项下的服务时分配或应用(“资金”)由中国证券监督管理委员会代理公司管理,并存入中国证券监督管理委员会以其代理公司名义维持的一个或多个银行账户。在根据本协议付款之前,ComputerShare可管理或通过此类账户将资金投资于:(a)由美利坚合众国债务支持或担保的资金;(b)由S&P Global Inc.评级为A-1或P-1或更好的债务或商业票据债务(“标普”)或Moody’s Investors Service,Inc.(“穆迪”),分别;(c)符合经修订的1940年《投资公司法》第2a-7条规则的政府和财政部支持的AAA级固定资产净值货币市场基金;或(d)短期存单、银行回购协议,以及在商业银行的一级资本超过10亿美元的银行账户,或具有标普(LT当地发行人信用评级)、穆迪(长期评级)和惠誉评级公司(LT发行人违约评级)的投资级评级(均由Bloomberg Finance L.P.报告)。对于根据本款进行的任何存款或投资可能导致的资金减少,包括任何银行、金融机构或其他第三方违约导致的任何损失,金证信息不承担任何责任或义务。Computershare可能会不时收到与此类存款或投资有关的利息、股息或其他收益。中国证券登记公司不承担向公司、任何持有人或任何其他方支付该等利息、股息或收益的义务。

第7.08款交付认股权证行使价.权证代理人应在给定月份内将收到的权证行权资金在第五个(5)次月营业日或经公司书面要求以电汇方式一(1)个营业日前至公司指定账户。

34


第7.09款进一步保证.本公司应履行、承认和交付或促使履行、承认和交付权证代理人为执行或履行本协议规定而可能合理要求的所有进一步行为、文件、文书和保证。

第7.10款不可抗力.尽管有任何与此相反的规定,公司和认股权证代理人各自将不对因超出其合理控制范围的行为(包括但不限于天灾、流行病、流行病、恐怖行为(包括任何类型的缔约方电子信息系统的网络漏洞)、供应短缺、故障或故障、计算机设施中断或故障,或由于电力故障或信息存储或检索系统的机械困难、劳工困难、战争或内乱导致的数据丢失而导致的任何履约延误或失败承担责任。

第7.11款保密.权证代理人与本公司约定,与对方业务有关的所有账簿、记录、信息和数据,包括除其他外、根据本协议的谈判或执行而交换或接收的个人、非公开持有人信息,包括附表所列的服务费用,应保持保密,不得自愿向任何其他人披露,除非适用法律可能要求,包括但不限于根据州、联邦或国家政府当局的传票(例如离婚和刑事诉讼);但为免生疑问,本协议可由公司向SEC提交(不包括任何费用信息或相关费用表)。

第八条

杂项
第8.01款受惠人士.本协议中的任何内容均无意或不应被解释为授予公司、权证代理人和持有人以外的任何人根据本协议或本协议任何部分或因其原因而享有的任何权利、补救或索赔。

第8.02款持有人的权利.未行使认股权证的持有人本身并无作为股东的权利,亦无权作为公司股东行使任何权利,包括但不限于以下权利:(a)收取股息或其他分派,(b)在任何股东大会上收到通知或投票,(c)同意股东的任何行动,(d)收到公司任何其他程序的通知或(e)行使任何优先购买权。

第8.03款通告.本协议各方之间的任何通知或通信均应以书面形式亲自送达或以隔夜送达服务的一等邮件方式邮寄。本节所述以邮件方式发出的通知应按以下方式处理:
如果对公司:
游戏驿站公司
西港大道625号
35


Grapevine,TX76051
关注:Mark H. Robinson,总法律顾问兼秘书

附一份副本至:

White & Case LLP
美洲大道1221号
纽约,NY 10020

关注:埃丽卡-霍根,德鲁-瓦伦丁
if对认股权证代理人:
Computershare Trust Company,N.A。
Computershare Inc。
罗亚尔街150号
MA广州02021
关注:客户服务
公司或认股权证代理人各自通过通知对方,可为后续通知或通信以书面指定额外或不同的实际地址或电子邮件地址。
除根据本协议条款可通过发布新闻稿发出的任何通知外,任何邮寄给持有人的通知或通讯均应按权证登记册上所显示的持有人地址邮寄给该持有人,如在规定的时间内如此邮寄,则应充分给予。未向持有人交付通知或通信或其中的任何缺陷,不影响其相对于其他持有人的充分性。如果通知或通信以上述方式送达,则无论收件人是否收到,该通知或通信在发送时均已妥为送达。
尽管有本协议的任何其他规定,如果本协议规定向持有人发出任何事件的通知,如果按照保存人的习惯程序向保存人发出,则此种通知应充分发给由全球认股权证所代表的认股权证的任何持有人。
除根据本协议条款规定较短期限的任何通知外,根据本协议交付的任何限制持有人行使本协议未另有说明的他/她/其权证的能力的通知,仅应在该通知交付后至少五(5)个工作日内有效。
尽管本协议中有任何相反的规定,公司按照其惯例程序或按照本协议的规定发布新闻稿
36


应满足根据本协议以书面或电子邮件方式提供公告或通知的任何要求(要求交付给权证代理人的通知除外)。
第8.04款管治法.纽约州的法律将管辖并用于构建本协议、授权证书和授权书。此处的每一方当事人均在适用法律允许的最大限度内不可撤销地放弃在因本协议而产生或与本协议有关的任何行动或程序中由陪审团审判的任何和所有权利、手令证书和此处设想的手令或交易。

第8.05款继任者。公司在本协议中的所有约定及权证凭证对其继承人具有约束力。权证代理人在本协议中的所有约定对其继承人具有约束力。

第8.06款对口单位.本协议可由任意数目的对应方签署,每一方应被视为正本,但所有这些共同构成一份相同的文书。对应件可通过传真、PDF、电子邮件(包括2000年美国联邦ESIGN、《统一电子交易法》、《电子签名和记录法》或其他适用法律,包括docusign.com)或其他传输方式交付,而如此交付的任何对应件应被视为已妥为有效交付,并对所有目的均有效有效。以电子方式签署和/或传送的本协议签字,具有与原始签字相同的权威性、效力和可执行性。

第8.07款可分割性.本协议的规定是可分割的,如果任何条款或规定在任何司法管辖区被认定为全部或部分无效、非法或不可执行,则该无效、非法或不可执行在该司法管辖区仅影响该条款或规定或其部分,而不应以任何方式影响任何其他司法管辖区的该条款或规定或任何司法管辖区的本协议的任何其他条款或规定;然而,提供、如该等除外条文对认股权证代理人的权利、豁免、责任、义务或义务造成重大不利影响,则认股权证代理人有权在向公司发出书面通知后立即辞职。

第8.08款保留.

第8.09款计算.本公司将负责作出其根据本协议及认股权证须作出的所有计算及其他决定,而任何未如此指明的计算及决定将由本公司负责。所有计算和确定将本着诚意作出,在没有明显错误的情况下,该等计算和确定将是最终的,并对公司、认股权证代理人和持有人具有约束力。公司将在合理通知下向认股权证代理人提供公司计算和确定的时间表。认股权证代理人有权在未经独立核实的情况下最终依赖公司所作计算和确定的准确性。

37


第8.10款整个协议.本协议和权证证书包含本协议各方就本协议标的事项达成的全部协议和谅解,并取代与本协议标的事项有关的任何性质的任何明示或暗示的、口头或书面的所有先前和同期协议、谅解、诱导和条件。尽管本协议中有任何相反的规定,如果本协议中的任何规定与权证证书中的任何规定不一致(可能会不时修改),则以本协议的条款为准。
[签名页(s)follow(s)]
38


作为证明,双方已促使本协议自上述首次写入之日起正式签署。
游戏驿站公司



签名: /s/Daniel Moore
姓名:Daniel Moore
职称:首席财务会计干事
【认股权证协议签署页】


ComputerSHARE INC.和ComputerSHARE TRUST COMPANY,N.A。
统称为权证代理人

代表两个实体:


签名: /s/安·鲍林
姓名:Ann Bowering
标题:CEO Issuer Services,北美
【认股权证协议签署页】


附件 A
认股权证的形式
【环球证券传奇】
除非本全球授权书由存管信托公司的授权代表提出,纽约公司(“DTC”)、纽约、纽约向该公司或其代理人办理转让、交换或付款登记,所签发的任何证书均以CEDE & CO的名义登记。或DTC授权代表要求的其他名称(以及向CEDE & CO.,或DTC经授权代表要求的其他实体),任何人或以其他方式为价值进行的任何转让、质押或使用此处进行的任何转让、质押或使用,均属错误,因为在此登记的拥有人CEDE & CO.在此拥有权益。
本全球认股权证的转让应限于全部而非部分转让给DTC的被提名人或其继任者或该继任者的被提名人,本全球证券部分的转让应限于根据下述认股权证协议中规定的限制进行的转让。

1



没有。____权证的证书
购买普通股股份的认股权证
游戏驿站公司
本证明_____或其注册受让人为上述认股权证数量的注册持有人(“认股权证”).每份认股权证赋予认股权证持有人(“持有人“),根据其选择,并在符合本协议和下文提及的担保协议所载规定的情况下,向GameStop Corp.购买根据特拉华州法律组建的公司(包括其任何继承者,”公司“),若干普通股股份,每股面值0.00 1美元,公司(以下简称”普通股")等于认股权证行使率(最初为一(1)),每份认股权证的认股权证行使价(最初为32.00美元),按认股权证协议所述以现金支付。本认股权证自(x)日营业结束时(以较早者为准)起终止并失效,于到期日 或(y)在行使本协议时就受本协议约束的所有普通股股份。认股权证行使时可发行的股份数量将根据《认股权证协议》的规定不时进行调整。
本认股权证证书是根据及根据该特定认股权证协议签发的,日期为2025年10月7日(“认股权证协议“),由本公司与Computershare Inc.及Computershare Trust Company,N.A.(统称”认股权证代理”,该条款包括根据认股权证协议的任何继承认股权证代理人),并受认股权证协议所载的条款和规定的约束,本认股权证持有人通过接受本协议同意的所有条款和规定。认股权证协议特此以引用方式并入本文,并成为本文的一部分。兹参阅《认股权证协议》,以全面阐述公司、认股权证代理人及认股权证持有人各自的权利、权利限制、义务和义务。本认股权证与认股权证协议条款不一致的,以认股权证协议条款为准。公司须根据《认股权证协议》第4.06条修订《认股权证》的任何条文。
此处使用但未定义的大写术语应具有权证协议中赋予的含义。持有人可向权证代理人提出书面要求,索取权证协议副本,以供查阅,地址为150 Royall Street,Suite 101,Canton,MA 02021。
根据认股权证协议的条款,认股权证可于任何营业日纽约市时间下午5时前全部或部分行使(每份为“行权日期"),根据认股权证协议第3.04条;然而,提供,即不得在到期日营业时间结束后行使任何认股权证,因为该认股权证可能会根据认股权证协议进行调整。
2


如果指定为行使日的日期不是一个营业日,则认股权证将被视为在下一个营业日收到并行使。倘于到期日收市后接获或当作接获行使认股权证的通知,则该行使将属无效,且任何交付予认股权证代理的资金将尽快退还持有人。在任何适用的行使截止日期后提交的任何其他有效的认股权证的行使,可由公司全权全权酌情接受和兑现。公司关于任何此类行使的决定应是决定性的。
尽管有上述规定,认股权证持有人只有在有关认股权证股份的普通股货架登记声明有效且根据认股权证协议不受暂停且该等证券根据任何相关国家或其他相关司法管辖区的适用证券法具有出售资格或豁免资格的情况下,才能行使其认股权证。
在部分行使认股权证时,须有会签并向持有人发出新的认股权证证书,该认股权证代表该等未行使的认股权证。本认股权证可在认股权证代理人的办公室出示经适当背书的本认股权证,请求将本认股权证转换为证明相同数量认股权证的其他认股权证。认股权证获行使后将不会发行零碎认股权证股份。如果认股权证股份的任何零头在行使认股权证时可发行,则公司应将拟向相关持有人发行的普通股股份总数向下取整至最接近的整数。
所有认股权证股份于该等发行后,均须妥为有效发行及缴足款项且不可评税。
认股权证以其名义注册的持有人,可被公司及认股权证代理人视为及对待为所有用途的认股权证的绝对拥有人,而公司或认股权证代理人均不受相反通知的影响。
认股权证持有人在认股权证根据认股权证协议的所有条款和条件有效行使且认股权证行使价已支付之前,作为股东对在行使认股权证时可发行的普通股股份不享有任何权利。
[签名页(s)follow(s)]
3


本权证在经权证代理人会签前,不得为任何目的有效或具有义务性。
游戏驿站公司

签名:
姓名:
职位:
日期:2025年_____

[认证认股权证签署页]


会签:
ComputerSHARE INC.和ComputerSHARE TRUST COMPANY,N.A。
统称为权证代理人

代表两个实体:

签名:
姓名:
职位:
[认证认股权证签署页]


购买认股权证股份的选举表格
(仅在行使认股权证时签立)
游戏驿站公司
以下签署人在此不可撤销地选择行使下述数量的认股权证,每一份认股权证均使持有人有权以每份认股权证的认股权证行使价(最初为32.00美元)购买GameStop Corp.的若干A类普通股股票,每股面值0.00 1美元,等于认股权证行使率,按认股权证证书和其中提及的认股权证协议中规定的条款和条件以现金支付,放弃所有权利,特此向GameStop Corp.行使的认股权证数量的所有权和权益,并指示在行使此类认股权证时可交付的普通股股份,以及代表未行使认股权证的任何全球认股权证或最终认股权证的权益,应登记或置于以下指定的名称和地址,并交付给它们。如果不是认股权证的登记持有人,则以下签署人必须支付与任何行使此类认股权证有关的所有转让税、评估或类似的政府收费。此处使用但未定义的大写术语应具有权证协议中赋予的含义。
A.特此行权的权证数量:______________
B.认股权证行使价:$ _____________
C.特此行使的认股权证数量的合计认股权证行使价:$ ______________(= a x b)
日期:______________ (业主名称)
(业主签名)1
(街道地址)
(市)(州)(邮编)

拟向以下机构发行的证券:
如通过保存人以记账式形式持有:
存管帐号:
代理会员名称:
1 签字必须在每一个细节上与内权证证书正面所写的名称一致,不得改动或扩大或任何变更。



如果是确定的或未经证明的形式:
社保或识别号:
姓名:
街道地址:
市州邮编:
任何由行使持有人于全球认股权证或最终认股权证(视属何情况而定)的权益所证明的未行使认股权证将予:
若通过存管人以记账式形式:
存管帐号:
代理会员名称:
If in definitive form:
社保或识别号:
姓名:
街道地址:
市州邮编:





认股权证转让的形式
对于收到的价值,以下签署人特此出售、转让和转让代表GameStop Corp. A类普通股股份(每股面值0.00 1美元)的____股认股权证股份的购买权(“公司")根据所附的认股权证证书,并确实在此不可撤销地构成并委任律师,以在房地内以完全替代权在公司账簿上转让认股权证或在此转让的部分。下列签署人要求上述律师向受让人签发证明此类转让的认股权证证书,并向以下签署人签发新的认股权证证书,证明有权就未如此转让的余额(如有)购买认股权证股份。
日期:______________
(业主签名)2
(街道地址)
(市)(州)(邮编)
大奖章保证:

应登记新认股权证的名称:
(姓名)
(街道地址)
(市)(州)(邮编)
(社保或识别号码)


2 签字必须在每一个细节上与内权证证书正面所写的名称一致,不得更改或扩大或任何变更,且必须是由符合条件的担保机构担保的纪念章。




全球安全增加或减少的时间表3
全球认股权证所代表的初始认股权证数量为_____。
本次全球安全增减情况如下:
行使或交换日期 本全球认股权证的认股权证数目减少 本全球认股权证的认股权证数目增加 该等变更后本全球认股权证证书的认股权证数目 手令代理人获授权人员签署

3 仅当认股权证为全球形式时才被纳入。