附件 99.1
青岛天地荟食品有限公司
c/o青岛天地汇宠物食品有限公司。
山东省青岛市黄岛区铁决山路2521号
中华人民共和国
股东周年大会通告
将于2023年10月27日举行
致天地荟公司股东:
特此通知,天地荟公司(简称“公司”)股东年会将于2023年10月27日中国当地时间上午9点(美国东部标准时间2023年10月26日晚上9点)在东3区9号1104室举行。rd中华人民共和国北京市朝阳区环城中路。召开会议的目的如下:
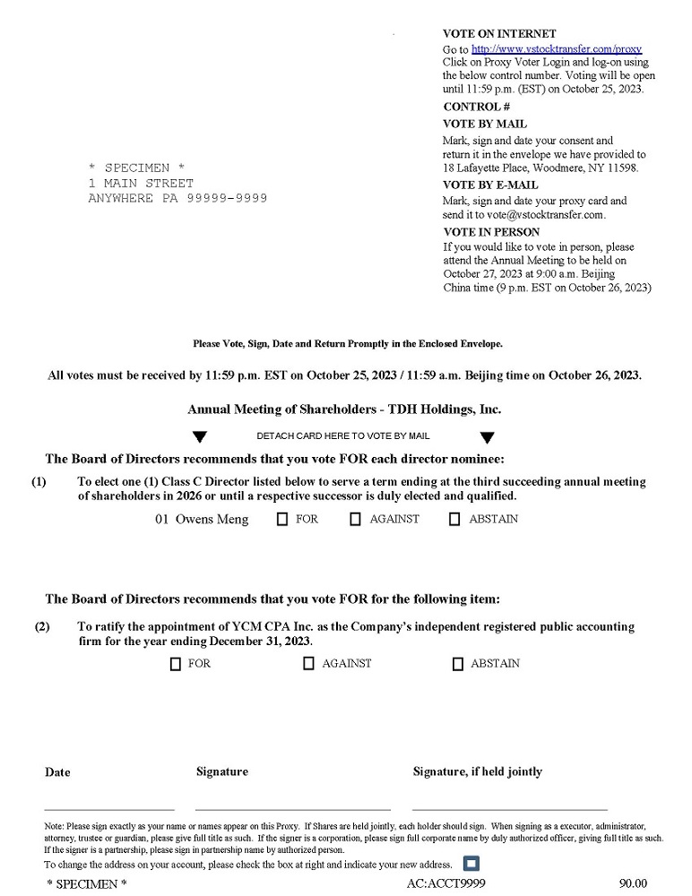
| 1. | 选举蒙静宗担任C类董事,直至2026年年度股东大会或正式任命继任者为止。 |
| 2. | 批准任命YCM CPA Inc.为公司截至2023年12月31日止年度的独立注册会计师事务所。 |
| 3. | 处理已妥善提交周年会议的任何其他事务或该周年会议的任何休会或延期。 |
为决定有权获得会议通知和在会议上投票的股东,已将2023年9月19日的营业结束日期定为记录日期。本公司的会员名册将不会关闭。本委托书及随附的委托书将于2023年9月26日前后寄出或交给公司股东。敬请各位股东参加会议。无论你是否打算出席,董事会谨请你在年会召开前的指定地点签署并注明日期并交还随附的代理卡。委任代理人的股东保留在其表决前随时撤销其代理人的权利。邮寄给你的代理材料包括一个回邮信封(请注意,如果邮寄是在美国,则无需支付邮资)。这份代理声明、代理卡表格和我们最近的年度报告可在我们的网站www.tiandihui.com的投资者关系部分查阅。
| 根据董事会的命令, |
|
| /s/Dandan Liu | |
| Dandan Liu,首席执行官兼董事长 | |
| 日期:2023年9月26日 |
青岛天地荟食品有限公司
c/o青岛天地汇宠物食品有限公司。
中华人民共和国山东省青岛市黄岛区铁决山路2521号
代理声明
年度股东大会
本委托书是为天地荟公司(“公司”、“TDH”、“我们”、“我们”或“我们的”)董事会(“董事会”)为将于东3号9室举行的2023年年度股东大会征集代理人而提供的rd中华人民共和国北京市朝阳区环中路于中国当地时间2023年10月27日上午9点(美国东部标准时间2023年10月26日晚上9点)及任何休会或休会,目的载于随附的《股东周年大会通告》。本公司将承担本次招标的费用。
如果所附的代理被正确地执行并交还,所代表的股份将按照其上的指示进行表决,否则将按照被指定为代理人的人的判断进行表决。任何没有指明指示的代理卡将投票赞成本代理声明中所述的行动和在“董事选举”标题下列出的被提名人的选举。任何委任该代理人的股东有权在投票前随时撤销该代理人。如果你是一个记录持有人,这种撤销的书面通知应转交VStock Transfer,LLC,18 Lafayette Place,Woodmere,New York 11598,传真:(646)536-3179,Attn:Proxy Services。如果你以街道名称持有你的股票,你应该联系你的经纪人关于撤销你的代理。
你的投票很重要。因此,无论你是否计划出席会议,请你在随附的代理卡上签名并交回。如果你确实出席了会议并且是记录持有人,你可以在会议上以投票方式投票,你的代理人将被视为被撤销。如果你以街道名义持有你的股票,并希望在会议上投票,你应该联系你的经纪人,让代理人指定你投票你的股票。
1
关于2023年度股东大会
我投票的理由是什么?
你将就下列事项进行表决:
| (1) | 选举一(1)名在所附委托书中指定的C类董事,任期至随后于2026年举行的第三次股东年会结束,或至相应的继任者被正式选出并符合资格为止; |
| (2) | 批准任命YCM CPA Inc.为本公司截至2023年12月31日止财政年度的独立注册会计师事务所;以及 |
| (3) | 处理在会议前妥善处理的任何其他事务或该等事务的任何休会或延期。 |
谁有权投票?
如果你在2023年9月19日营业结束时持有本公司的普通股,你可以投票。每一普通股有权投一票。截至2023年9月19日,我们有10,323,268股已发行和流通在外的普通股。
我在开会前如何投票?
如果你是登记股东,意味着你以证书形式持有你的股份,你有四个投票选择:
| (1) | 在您的代理卡上显示的地址通过互联网,如果您可以上网,我们鼓励您这样做; |
| (2) | 通过电子邮件,通过电子邮件将您签署的代理卡发送至vote@vstocktransfer.com; |
| (3) | 邮寄、填写、签署及交还随附的代理卡;或 |
| (4) | 用传真,把你签名的代理卡传真到646-536-3179。 |
如果你通过银行或经纪商的账户持有你的股票,你在互联网上投票的能力取决于他们的投票程序。请按照您的银行或经纪人提供的指示行事。
请注意,电话和互联网投票将于美国东部时间2023年10月25日晚上11:59截止,北京时间2023年10月26日上午2023/11:59截止。
我可以在会上投票吗?
如果你是记录在案的股东,你可以亲自在会议上投票。如果你通过银行或经纪商的账户持有你的股票,请遵循你的银行或经纪商提供给你的指示。如果你想在会议上亲自投票,请与你的银行或经纪人联系,了解让你亲自投票的必要程序。即使你计划参加会议,我们也鼓励你通过代理投票。你可以通过互联网、电子邮件、邮件或传真通过代理人投票。
我可以在退回代理人后改变主意吗?
你可以在投票结束前的任何时候更改你的投票。您可以通过以下方式进行操作:(1)签署另一张日期较晚的代理卡,并在会议之前通过邮件将其退还给我们;(2)在会议召开之前通过互联网再次投票;(3)在会议召开之前通过电子邮件或传真再次投票;(4)如果您是注册股东或已遵循银行或经纪人要求的必要程序,您可以在会议上投票。
如果我退回代理卡,但没有提供投票指示怎么办?
经签名并交回但不包含指示的代理人将对提案1和2投赞成票,并根据被点名的代理人对适当提交会议的任何其他事项的最佳判断。
2
如果我收到一张以上的代理卡或指示表格,是什么意思?
它表明你的普通股是以不同的方式登记的,而且是在一个以上的帐户中。为确保所有股份均已投票,请在互联网上、通过电子邮件或传真对每个账户进行投票,或签署并交还所有代理卡。我们鼓励您以相同的名称和地址注册您的所有帐户。那些通过银行或经纪商持有股票的人应该联系你的银行或经纪商并要求合并。
如果我不提供我的代表或指示表格,我的股份会被投票吗?
如果你是一个注册股东,并且没有提供代理人,你必须出席会议,以投票你的股份。如果你通过银行或经纪人的账户持有股票,即使你没有在你的指示表格上提供投票指示,你的股票也可能被投票。经纪公司有权对其客户未就某些常规事项提供投票指示的股票进行投票。批准YCM CPA INC.为本公司截至2023年12月31日止财政年度的独立注册会计师事务所被视为一项例行事项,经纪公司可在没有具体指示的情况下投票表决。然而,董事的选举不被视为经纪公司在没有具体指示的情况下可以投票表决的常规事项。如果某项提案不是例行事项,而经纪公司没有收到股份受益所有人对该提案的投票指示,则该经纪公司不能对该提案的股份进行投票。经纪人未被授权投票的股票被算作“经纪人无投票权”。
我怎样才能参加会议?
截至2023年9月19日,股东大会对公司所有普通股股东开放。
股东们可以在会上提问吗?
是的。公司代表将在会议结束时回答大家普遍关心的问题。
必须有多少票出席才能举行会议?
如果你亲自出席会议并参加表决,或者通过互联网、电子邮件、邮件或传真适当地回交代表,你的股份即被计算为出席会议。为了召开我们的会议,截至2023年9月19日,我们至少三分之一(1/3)的已发行普通股必须亲自或通过代理人出席。这被称为法定人数。为确定会议的法定人数,将对弃权票和中间人不投票进行统计。如出席或代表的法定人数不足,则会议主席或出席会议的普通股股份过半数的持有人,不论是亲自出席或由代理人代表出席,均有权不经通知而不时休会,直至出席或代表的法定人数达到为止。
批准该公司的提案需要多少票?
提案1。董事的选举必须以超过出席年度会议并被投票的有权投票的股份的50%的赞成票通过。未投票的股份不会对董事的选举产生影响。除非一张正确执行的代理卡上标明“保留”某一或多名董事被提名人,否则给出的代理权将被选为“支持”董事提名人。拒绝投票将具有与反对票相同的效果。然而,经纪人或代名人没有投票权,以及由代表经纪人或代名人没有投票权的代理人所代表的股份将不具有投票反对本提案的效力,因为他们不被视为出席并有权就此事项投票。
提案2。批准任命YCM CPA Inc.为公司截至2023年12月31日的财政年度的独立注册会计师事务所,需要获得出席年度会议并被投票的有权投票的股份超过50%的赞成票。一张正确执行的代理卡将不会对该提案进行投票,该代理卡上标有“弃权”字样。
是否允许累积投票选举董事?
没有。你不得为选举董事而累积你的票数。
3
建议1
选举董事
(代理卡上的项目1)
董事会已提名C类董事蒙静宗任职至2026年年度股东大会或正式任命继任者为止。孟先生目前担任C类董事。
本意是由随附的代理卡所指定的代理人投票选举下列人士为董事,除非代理卡载有相反的指示。公司没有理由相信任何被提名人不会成为候选人或不能担任董事。然而,在任何被提名人不能或不愿担任董事的情况下,代表名单上的人已通知他们,他们将投票支持选举董事指定的人,除非代表名单上载有相反的指示。
以下列明获提名的董事的姓名、年龄及姓名、其各自的主要职业及过去五年的简短受雇履历,包括他在过去五年担任或曾经担任董事的其他上市公司的名称:
蒙静宗是一名独立董事。自2013年9月起,蒙静宗担任北京松霖新亚财务顾问有限公司董事总经理。从2007年11月至2013年9月,他担任Sherb Consulting LLC北京代表处首席代表,以及Sherb & Co,LLP的董事总经理。Sherb & Co,LLP是一家中型会计师事务所,审计了超过25家总部位于中国的美国上市公司。从2003年7月到2007年10月,孟先生在致同会计师事务所担任审计经理。孟先生从特拉华州获得注册会计师执照,是中国注册会计师协会(CICPA)会员,也是美国内部审计师协会的注册内部审计师。孟先生拥有北京工商大学会计学和经济学学士学位。自2014年9月以来,孟先生一直担任山东泰盈科技有限公司(纳斯达克:CCRC)的独立董事。孟晚舟被提名为董事是因为他在审计、美国公认会计原则和合规问题方面的经验。
在过去十年中,没有发生过任何对评估我们的任何董事、董事提名人或执行官的能力或诚信具有重要意义的S-K条例第401(f)项所列事件。据我们所知,在过去十年中,没有任何破产法、刑事诉讼、判决、禁令、命令或法令对评估公司任何董事、执行人员、发起人或控制人的能力和诚信具有重要意义的事件,也没有任何董事或执行人员是对公司或其任何附属公司不利的一方,或对公司或其任何附属公司有任何重大利益不利的重大诉讼。
选举董事必须以超过出席年度会议并已投票的有权投票的普通股的50%以上的赞成票通过。董事会建议对上述候选人的选举投“赞成票”。
4
建议2
批准独立核数师
YCM CPA公司。
(代理卡上的项目2)
我投票的理由是什么?
批准任命YCM CPA Inc.为公司截至2023年12月31日的财政年度的独立注册会计师事务所的提案。董事会审计委员会已任命YCM CPA Inc.为公司2023财年的独立注册会计师事务所。
公司在最近两个财政年度是否更换了独立的注册会计师事务所?
是的,在截至2021年12月31日的财政年度,公司于2022年1月2日解除了MaloneBailey,LLP作为其独立注册会计师事务所的资格,并保留了YCM CPA Inc.作为其独立注册会计师事务所。MaloneBailey,LLP关于公司2020年12月31日和2019年12月31日终了财政年度财务报表的报告,以及2020年12月31日、2020年12月31日和2019年12月31日终了财政年度的相关经营报表和全面亏损、股东权益变动(赤字)和现金流量报表,均未包含负面意见或免责意见,也未对不确定性、审计范围或会计原则作保留或修改,但公司截至2020年12月31日和12月31日终了财政年度的审计报告除外,2019年,公司持续经营能力存在不确定性。
在公司截至2019年12月31日和2020年12月31日的财政年度以及截至2022年1月2日的解雇日期,(a)与MaloneBailey,LLP在会计原则或惯例、财务报表披露或审计范围或程序等事项上没有任何分歧,如果不能使MaloneBailey,LLP满意地解决这些分歧,将导致其在关于这些年度财务报表的报告中提及这些分歧;(b)不存在20-F表项目16F(a)(1)(v)(A)-(D)中所述的“应报告事项”。
YCM CPA Inc.提供哪些服务?
YCM CPA Inc.为2022财年提供的审计服务包括审查公司的合并财务报表以及与定期向美国证券交易委员会提交的文件有关的服务。
YCM CPA公司的代表会出席会议吗?
我们预计YCM CPA公司的一名或多名代表将出席会议或通过电话出席。如果代表在场,他们将有机会发言,如果他们愿意的话,他们将有机会回答股东的问题。
如果这项建议未获批准怎么办?
如果YCM CPA Inc.的任命未获批准,董事会审计委员会将重新考虑这一任命。
批准任命YCM CPA Inc.为本公司的独立注册会计师事务所所需的赞成票,超过出席年度会议并已投票的有权投票的股份的50%。董事会建议投票批准YCM CPA INC.的选择。作为公司的独立注册公共会计公司截至2023年12月31日的财政年度。
5
董事会和公司治理
在截至2022年12月31日的年度内,董事会举行了7次面对面或电话会议。所有董事出席了董事会会议和任何委员会会议总数的75%或以上,而该董事是该委员会的成员。每位董事应亲自或通过电话会议参加董事会会议和董事会各委员会的会议,每位董事都是这些会议的成员,并花费必要的时间适当履行董事各自的职责和责任。我们没有关于董事出席年度股东大会的书面政策;但是,我们鼓励所有董事参加年度股东大会。
董事会的多样性
下表提供了关于董事会组成的某些信息。下表所列的每一类都具有纳斯达克规则5605(f)和相关说明中所用的含义。
董事会多元化矩阵(截至2023年9月25日)
| 主要执行办公室的国家 | 中国 | |
| 外国私人发行人 | 是 | |
| 母国法律禁止披露 | 无 | |
| 董事总数 |
| 女性 | 男 | 非二进制 | 没有 披露 性别 |
|||||||||||
| 第一部分:性别认同 | ||||||||||||||
| 董事 | 3 | 2 | — | — | ||||||||||
| 第二部分:人口背景 | ||||||||||||||
| 在母国管辖范围内任职人数不足的个人 | — | |||||||||||||
| LGBTQ + | — | |||||||||||||
| 没有披露人口背景 | 5 | |||||||||||||
董事会的组成;风险监督
我们的董事会目前由五名董事组成。董事会成员分为A、B和C三类,在董事总数允许的范围内,人数几乎相等。我们的C类董事将在本次年度股东大会上重新选举,此后每三年重新选举一次。我们的A级董事在2021年的年度股东大会上再次当选,此后每三年一次。B类董事在2022年的年度股东大会上再次当选,此后每三年一次。除上文所述外,我们的任何行政人员与董事之间均不存在亲属关系。主席团成员由董事会选举产生,并由董事会酌情决定任职。我们的董事会至少每季度举行一次会议。本公司认为,根据纳斯达克上市规则第5605(a)(2)条规定的独立性定义,本公司拥有多数独立董事,这些独立董事被视为独立董事。此外,董事没有持股资格,除非我们在股东大会上作出如此规定。我们的董事在挑选或提名时并无其他安排或谅解。我们的董事会在我们的风险监督中发挥着重要作用,并做出公司的所有相关决定。
刘女士目前兼任首席执行官和董事会主席。这两个职位并没有合并为一个职位;刘霞目前只是同时担任这两个职位。作为一家规模较小的上市公司,我们认为,让公司从管理层各方面关键成员的指导中受益,符合公司的最大利益。我们没有首席独立董事,也不期望有首席独立董事,因为我们会鼓励我们的独立董事在相对较小的公司董事会上自由发表意见。我们认为这种领导结构是合适的,因为我们是一家规模相对较小的上市公司。
6
我们的董事会在我们的风险监督中发挥着重要作用。公司的所有相关决定均由董事会作出。因此,让我们的首席执行官在董事会任职对我们很重要,因为她在公司的风险监督方面发挥着关键作用。作为一家规模较小、董事会规模较小的报告公司,我们认为,让我们所有的董事参与和参与风险监督事务是适当的。
董事独立性
我们的董事会审查了董事的独立性,采用了纳斯达克的独立性标准。根据这一审查,董事会认定Qiu Li、Caifen Zou和蒙静宗在纳斯达克规则的意义上是“独立的”。在作出这一决定时,我们的董事会考虑了每一位非雇员董事与我们之间的关系,以及我们的董事会认为在确定他们的独立性时相关的所有其他事实和情况。根据适用的纳斯达克规则的要求,我们预计我们的独立董事将根据需要定期举行会议,以履行他们的职责,包括至少每年在没有非独立董事和管理层在场的情况下举行执行会议。
董事的职责
根据英属维尔京群岛法律,我们的董事有责任诚实、真诚地行事,并以我们的最佳利益为目标。我们的董事亦有责任行使审慎、勤勉和技巧,这是一个合理审慎的人在类似情况下所能行使的。在履行他们对我们的注意义务时,我们的董事必须确保遵守我们的组织章程大纲和章程细则。如果我们的董事所负的责任被违反,我们有权要求赔偿损失。董事会的职能和权力包括:
| ● | 委任主席团成员及决定主席团成员的任期; |
| ● | 行使公司的借款权,以公司财产作抵押; |
| ● | 代表公司执行支票、本票及其他流通票据;及 |
| ● | 维护或登记公司的抵押、押记或其他产权负担登记册。 |
董事可就他或她感兴趣的任何合约或交易代表我们投票、出席董事会会议或签署文件。一名董事在知悉他或她对我们已订立或将要订立的交易有兴趣后,必须立即向所有其他董事披露该权益。向董事会发出的一般通知或披露,或以其他方式载于会议记录或董事会或董事会任何委员会的书面决议内,表明董事是任何指明商号或公司的股东、董事、高级人员或受托人,并被视为在与该商号或公司的任何交易中拥有权益的,即为足够的披露,而在该一般通知发出后,无须就任何特定交易发出特别通知。
董事可领取本公司董事会不时厘定的薪酬。每名董事均有权获偿还或预付因出席董事会会议或董事会委员会会议或股东大会而合理招致或预期会招致的一切差旅、酒店及杂费,或因履行其董事职责而招致或预期会招致的一切杂费。薪酬委员会将协助董事审查和批准董事的薪酬结构。我们的董事会可行使公司的一切权力,借入款项、抵押或押记我们的承诺和财产或其任何部分、发行债权证、债权证股票及其他证券,或作为公司或任何第三方的任何债务、责任或义务的担保。
董事薪酬
董事有权就其出席的每一次董事会会议的实际差旅费获得补偿。在截至2022年12月31日和2021年12月31日的每一年里,我们向每位董事支付了1万美元的薪酬。
7
董事会委员会
目前,董事会下设三个委员会:审计委员会、薪酬委员会和提名委员会。审计委员会负责监督本公司的会计和财务报告程序以及对本公司财务报表的审计,包括独立审计员的任命、薪酬和监督工作。董事会的薪酬委员会审查并向董事会提出有关我们对高级职员的薪酬政策和所有形式的薪酬的建议,并管理我们的激励薪酬计划和基于股权的计划(但我们的董事会保留解释这些计划的权力)。董事会提名委员会负责评估董事会的业绩,审议董事的提名或选举以及其他治理问题,并向董事会提出建议。提名委员会在提名董事时考虑到意见和经验的多样性。
审计委员会
除其他事项外,审计委员会将负责:
| ● | 任命、补偿、保留、评估、终止和监督我们的独立注册会计师事务所; |
| ● | 与我们的独立注册会计师事务所讨论其成员独立于其管理层的问题; |
| ● | 与我们的独立注册会计师事务所一起审查其审计的范围和结果; |
| ● | 批准由我们的独立注册会计师事务所提供的所有审计和允许的非审计服务; |
| ● | 监督财务报告过程,并与管理层和我们的独立注册会计师事务所讨论我们向证券交易委员会提交的中期和年度财务报表; |
| ● | 审查和监督我们的会计原则、会计政策、财务和会计控制,以及遵守法律和监管要求; |
| ● | 协调我们的董事会对我们的商业行为守则和我们的披露控制和程序的监督 |
| ● | 制定保密和/或匿名提交有关会计、内部控制或审计事项的关注事项的程序;和 |
| ● | 审议和批准关联交易。 |
我们的审计委员会由Caifen Zou、Qiu Li和蒙静宗组成,蒙静宗担任审计委员会主席。根据《交易法》第10A-3条和纳斯达克规则,审计委员会的每一名成员都符合“独立董事”的定义。此外,我们的董事会已经确定蒙静宗有资格成为“审计委员会财务专家”。
赔偿委员会
除其他事项外,赔偿委员会将负责:
| ● | 审查和批准,或建议董事会批准我们的首席执行官和其他执行官员和董事的薪酬; |
| ● | 审查关键的员工薪酬目标、政策、计划和方案; |
| ● | 管理激励和股权报酬; |
8
| ● | 审查和批准我们与我们的执行官之间的雇佣协议和其他类似安排;和 |
| ● | 委任及监督任何薪酬顾问或顾问。 |
我们的赔偿委员会由Caifen Zou、Qiu Li和蒙静宗组成,Qiu Li担任赔偿委员会主席。我们的董事会肯定地认定,薪酬委员会的每一位成员都符合纳斯达克规定的“独立董事”的定义,以便在薪酬委员会任职。
提名委员会
除其他事项外,提名委员会将负责:
| ● | 遴选或推荐董事候选人; |
| ● | 评价董事和被提名董事的独立性; |
| ● | 检讨董事会及董事会委员会的架构及组成,并提出建议; |
| ● | 制定公司治理原则和做法,并向董事会提出建议; |
| ● | 审查和监督公司的商业行为和道德准则;以及 |
| ● | 监督对公司管理层的评估。 |
我们的提名委员会由Caifen Zou、Qiu Li和蒙静宗组成,Caifen Zou担任提名委员会主席。我们的董事会肯定地认定,提名委员会的每一位成员都符合纳斯达克规则下提名委员会成员的“独立董事”定义。
提名委员会将审议股东推荐的董事候选人。股东如欲向委员会推荐董事候选人,请将信函寄至天地荟公司,收件人:中华人民共和国山东省青岛市黄岛区铁决山路2521号青岛天地汇食品股份有限公司。公司秘书将迅速将所有这些信件转交治理和提名委员会的成员。公司章程文件中没有规定股东提名程序。
9
管理
董事及执行人员的业务历史
有关蒙静宗的商业历史的信息,请参阅本代理声明中的“提议一选举董事”一节。
Dandan Liu被任命为公司首席执行官,自2019年8月2日起生效,自2021年9月15日起担任董事长。Dandan Liu自2019年2月起担任本公司A级董事。刘女士于2012年6月创立了北京厚信投资有限公司,并于2012年6月至2020年7月担任其首席执行官兼董事长。刘女士宝贵的创业、管理和投资经验,加上她对公司的深入了解,使她具备了担任本公司董事的资格和技能。
章峰于2020年2月19日被任命为公司首席财务官。2018年8月至2019年9月,章峰担任北京龙光能源科技有限公司高级会计经理。2017年7月至2018年7月,张先生担任河北银隆Renewable能源有限公司会计经理。2015年3月至2017年6月,张先生担任北京兴华会计师事务所(合伙)审计经理。2006年6月至2015年2月,张先生在博达仪表集团有限公司担任会计经理。张先生是注册会计师,河北农业大学资产评估专业本科学历。
Qiu Li为本公司独立董事。李女士自2015年11月起担任杭州国瀚金融控股有限公司高级顾问。2010年3月至2015年10月,李女士担任恒丰银行杭州分行审计总监。1987年11月至2010年3月期间,李女士在恒丰银行总部担任过多个管理职位。李女士是中国注册会计师(CPA)。李女士拥有山东干部函授大学管理学学士学位。根据李女士在商业和会计事务方面的经验,董事会决定由她担任我们的董事。
Caifen Zou自2019年8月起担任山东仁和担保公司高级顾问。从1993年12月至2019年7月,邹女士在中信银行威海分行担任多个高管职务,包括个人信贷部高级经理、零售银行部总经理、会计部副科长等。邹女士获得了山东师范大学行政管理专业的副学士学位,并在中国持有中级会计师资格证书和中级经济师资格证书。根据邹女士在会计、管理和内部控制方面的经验和专长,董事会决定由她担任我们的董事。
高管薪酬
下表显示了我们在截至2022年12月31日和2021年12月31日止年度支付给我们主要执行官的年度薪酬。在前两年中,没有一名执行干事的薪金超过100000美元。
| 姓名和主要职务 | 年份 | 薪金 ($) |
奖金 ($) |
支付总额 ($) |
|||||||||||
| Dandan Liu | 2022 | 95,000 | (1) | 35,000 | 130,000 | ||||||||||
| 2021 | 70,000 | (1) | — | 70,000 | |||||||||||
| 章峰 | 2022 | 58,000 | (1) | — | 58,000 | ||||||||||
| 2021 | 55,000 | (1) | — | 55,000 | |||||||||||
| (1) | 包括因担任董事而收到的报酬10000美元。 |
董事及高级人员的法律责任限制
根据英属维尔京群岛法律,我们的每一位董事和管理人员在履行其职能时,都必须诚实和真诚地行事,以符合我们的最大利益,并行使在类似情况下一个相当谨慎的人所能行使的谨慎、勤勉和技巧。我们的组织章程大纲和章程细则规定,在英属维尔京群岛法律或任何其他适用法律允许的最大限度内,我们的董事将不对我们或我们的股东在履行其职责时的任何作为或不作为承担个人责任。这种赔偿责任限制不影响公平补救办法的可获得性,例如强制性救济或撤销。根据美国联邦证券法律,这些规定不会限制董事的责任。
10
我们可向任何董事或任何应我们要求担任另一实体董事的人赔偿一切费用,包括法律费用,以及所有判决、罚款和在和解中支付的、与法律、行政或调查程序有关的合理费用。我们只可向董事作出弥偿,条件是他或她为符合我们的最佳利益而诚实和真诚地行事,而在刑事诉讼的情况下,该董事没有合理的理由相信他或她的行为是非法的。除非涉及法律问题,否则我们的董事会所作的决定,即董事是否诚实和诚实地行事,以符合我们的最佳利益,以及董事是否没有合理的理由相信他或她的行为是非法的,是在没有欺诈的情况下,足以作出弥偿的。以任何判决、命令、和解、定罪或不答辩的方式终止任何法律程序,本身并不构成一项推定,即董事没有诚实和诚信地行事,并不是为了我们的最大利益,亦不构成该董事有合理的理由相信他或她的行为是非法的。如获弥偿的董事在上述任何法律程序的答辩中胜诉,则该董事有权获弥偿一切开支,包括律师费,以及该董事或高级人员就该法律程序而在和解中所支付及合理招致的所有判决、罚款及款额。
根据上述条款,我们的董事或高级管理人员可能被允许就《证券法》引起的责任进行赔偿,我们已被告知,根据美国证券交易委员会的意见,这种赔偿违反了《证券法》中所述的公共政策,因此根据美国法律,这种赔偿是不可执行的。
退休福利
截至2022年12月31日,我们已向政府规定的雇员福利和退休福利计划供款,并向其雇员提供养老金、退休金或类似福利。根据中国的规定,我们必须根据合格员工的每月基本薪酬,按规定的缴款率向当地劳动行政管理局支付每月缴款。管理着各种投资基金的地方劳动行政管理局将负责员工的退休、医疗和其他附加福利。除了我们每月的捐款外,我们没有其他承诺。
就业协议
与首席执行官兼董事长Dandan Liu的雇佣协议
2022年8月1日,天地荟公司与Dandan Liu续签了最初3年的雇佣协议(自2022年8月1日起至2025年7月31日止),该协议可自动再续约3年,除非协议的任何一方在协议期满前至少60天终止协议。根据协议条款,刘女士的年薪为12万美元,分12个月等额分期支付,直至2025年7月31日。刘女士可能有资格获得年度奖金,金额为截至上一个财政年度结束时账面价值增长的10%,但须经薪酬委员会对公司业绩目标的审查。至于刘女士是否有权获得奖金和奖金数额,如果有的话,赔偿委员会将拥有唯一的酌处权。任何一方可在提前60天通知另一方后终止雇佣协议。公司将补偿刘女士在履行职责过程中所发生的所有合理的自费差旅费、招待费和其他费用。该协议还载有某些保密、不披露和这类性质的协议惯常的其他规定。
与首席财务官章峰的雇佣协议
2021年1月4日,天地荟公司与章峰签订了一份雇佣协议,担任首席财务官,最初为期三年(从2021年1月4日开始,到2024年1月3日结束)。根据协议条款,张艺谋的年薪为4.8万美元,分12个月等额支付。雇用协议可由任何一方在提前15天通知另一方后终止。本公司将补偿张先生在履行职责过程中所发生的一切与旅行、娱乐和其他费用有关的合理自付费用。该协议还载有某些保密、不披露和这种性质的协议惯常的其他规定。
11
关联交易
有关关联方交易的详细讨论,请参阅公司的20-F表年度报告。一份表格20-F的年报副本已包括在这份代理邮寄中。
未来的关联方交易
我们的提名委员会(仅由独立董事组成)已经批准了所有的关联方交易。所有重大的关联方交易都是按照对我们有利的条款进行的,不低于从非关联第三方获得的条款。
12
Beneficial OWNERSHIP OF THE COMPANY’s SECURITIES
下表列出截至2023年9月19日,我们所知实益拥有我们股份超过5%的每个人对我们股份的实益所有权的某些信息。该表还列出了我们每一位董事、每一位指定的执行官以及所有董事和高级管理人员作为一个整体的股份所有权。除另有说明外,表中所列股东对所列股份拥有唯一的表决权和投资权。我们的大股东与我们的任何其他股东没有不同的投票权。个人或集团在行使或转换期权、认股权证或其他类似的可转换或衍生证券后有权在60天内获得的股票,在计算该个人或集团的所有权百分比时被视为已发行,但在计算表中所示的任何其他人的所有权百分比时不被视为已发行。实益所有权是根据证券交易委员会的规则确定的,通常包括投票权和投资权。除下文另有说明外,每个受益所有人直接拥有投票权和投资权。所有权百分比基于截至记录日期已发行和未发行的10,323,268股。除另有说明外,下表所列各实益拥有人的地址均为中国山东省青岛市黄岛区铁决山路2521号青岛天地汇宠物食品有限公司。
| 受益所有人名称 | 拥有的股份 | 百分比 | ||||||
| Dandan Liu | 1,354,697 | 13.1 | % | |||||
| 章峰 | — | — | ||||||
| Caifen Zou(1) | — | — | ||||||
| Qiu Li(1) | — | — | ||||||
| 蒙静宗(1) | — | — | ||||||
| 董事和执行干事作为一个群体(5人) | 1,354,697 | 13.1 | % | |||||
| 伊斯特希尔资本管理有限责任公司 | 727,000 | 7.0 | % | |||||
| 蓝秀梅 | 620,000 | 6.0 | % | |||||
| 高丽萍 | 640,000 | 6.2 | % | |||||
| 徐艳丽 | 698,947 | 6.8 | % | |||||
| 5%或更大股东作为一个群体(2人) | 2,685,947 | 26.0 | % | |||||
| (1) | 独立董事。 |
13
审计委员会的报告
公司管理层负责编制公司的财务报表,实施和维持内部控制制度,独立审计员负责审计这些财务报表,并就财务报表是否在所有重大方面公允地反映公司的财务状况、经营成果和现金流量发表意见,以符合美利坚合众国公认的会计原则。审计委员会负责监督公司管理层和独立审计员开展这些活动的情况。为履行职责,董事会任命独立注册会计师事务所YCM CPA Inc.为公司2022财政年度的独立审计师。审计委员会审查并与独立审计员讨论了审计的总体范围和具体计划。关于公司的20-F表格年度报告,审计委员会审查并与独立审计员和管理层讨论了公司经审计的合并财务报表及其对财务报告的内部控制是否充分。审计委员会在管理层不在场的情况下会见了独立审计员,讨论了独立审计员的审计结果和公司财务报告的总体质量。这次会议的目的还在于便利审计委员会与独立审计员之间任何所希望的私下沟通。
审计委员会与独立审计员讨论了《第61号审计准则声明》(AICPA,Professional Standards,Vol.1)要求讨论的事项。非盟第380节),由上市公司会计监督委员会(PCAOB)在细则3200T中通过。审计委员会收到了PCAOB适用要求所要求的独立审计员关于独立会计师与审计委员会就独立性进行沟通的书面披露和信函,并与独立审计员讨论了独立审计员的独立性问题。基于上述审查和讨论,审计委员会建议董事会将经审计的合并财务报表纳入公司提交给美国证券交易委员会的截至2022年12月31日止财政年度的20-F表年度报告。
| 由审计委员会提交。 | ||
| /s/Caifen Zou、Qiu Li、蒙静宗 |
14
向独立注册会计师事务所支付的费用
下表是YCM CPA Inc.在所示期间提供服务的大致费用总额:
| 12月31日, 2022 |
12月31日, 2021 |
|||||||
| 审计费用 | $ | 160,000 | $ | 120,000 | ||||
| 审计相关费用 | — | — | ||||||
| 税费 | — | — | ||||||
| 所有其他费用 | — | — | ||||||
| 费用总额 | $ | 120,000 | $ | — | ||||
下表是MaloneBailey,LLP在所示期间提供服务的大致费用总额:
| 12月31日, 2022 |
12月31日, 2021 |
|||||||
| 审计费用 | $ | — | $ | 149,000 | ||||
| 审计相关费用 | — | — | ||||||
| 税费 | — | — | ||||||
| 所有其他费用 | — | — | ||||||
| 费用总额 | $ | — | $ | 149,000 | ||||
服务的预先批准
我们的审计委员会在审计师提供审计和非审计服务之前,事先评估并批准了聘用审计师的范围和费用。
15
其他事项
将军
除本委托书所述事项外,管理层不知道任何将提交会议采取行动的事项。如有任何其他事项应适当提交会议,则拟根据表决该等代理人的人的判断,就任何该等其他事项对所附表格中的代理人进行表决。就这些事项进行表决的酌处权由这些代理人授予对这些事项进行表决的人。
本公司将承担准备、印刷、组装和邮寄代理卡、代理声明和其他材料的费用,这些材料可能会因本次招标而发送给股东。预计经纪公司将应我们的要求将代理材料转交给受益所有人。除了利用邮件征集代理人外,公司的高级职员和正式雇员还可以通过电话或电报征集代理人,而无需额外补偿。我们可能会补偿经纪人或其他以他们或他们的被提名人的名义持有股票的人将征集材料转交给他们的委托人和获得他们的代理人的费用。
与董事会的沟通
股东如欲与董事会或任何个别董事联络,可致函董事会或该个别董事,天地荟公司,由中华人民共和国山东省青岛市黄岛区铁决山路2521号青岛天地汇宠物食品股份有限公司转交。任何此类通讯必须说明发出通讯的股东实益拥有的股份数目。所有这些通信将被转发给全体董事会或发送给通信所针对的任何一名或多名董事,除非通信明显具有营销性质,或具有过分的敌意、威胁、非法或类似的不当行为,在这种情况下,公司有权放弃通信或就通信采取适当的法律行动。
在哪里可以找到更多信息
公司根据《交易法》向证券交易委员会提交年度报告和当前报告及其他文件。该公司通过SEC的EDGAR系统以电子方式向SEC提交的文件可在SEC网站http://www.sec.gov上向公众公开。您还可以在SEC的公共资料室阅读和复制我们提交给SEC的任何文件,该资料室位于100 F Street,NE,Room 1580,Washington,DC 20549。请致电SEC(800)SEC-0330,进一步了解公共资料室的运作情况。
| 2023年9月26日 | 由董事会命令 | |
| /s/Dandan Liu | ||
| 姓名: | Dandan Liu | |
| 职位: | 首席执行官兼主席 | |
16
