查看原文
免责申明:同花顺翻译提供中文译文,我们力求但不保证数据的完全准确,翻译内容仅供参考!
EX-2.1 2 表21确认。htm EX-2.1 显示21Confirmationord
30395810.1 IN THE UNITED STATES BANKRUPTCY COURT FOR THE DISTRICT OF DELAWARE In re:TRICIDA,INC.,1 Debtor。第11章案件编号23-10024(JTD)Re:Docket Nos. 509 & 510 FINDINGS OF FACT,Conclusions OF Law,AND ORDER CONFIRMING THE FIFTH AMENDED CHAPTER 11 PLAN OF LIQUIDATION FOR TRICIDA,INC。Tricida, Inc.,作为上述第11章案例中的债务人和债务人(“债务人”),与2027年到期的3.50%可转换优先票据(“可转换票据”)的某些持有人(这些持有人,“同意票据持有人”)签订了重组支持协议,这些持有人合计持有此类可转换票据总额的至少三分之二,该协议规定,除其他事项外,债务人将在随后的破产中达到某些预算和时间里程碑,以换取同意票据持有人对债务人拟议清算计划的支持;b.于2023年1月11日(“请愿日期”)开始,第11章案件(“第11章案件”)根据《美国法典》(“破产法”)第11章向美国特拉华州破产法院(“法院”)提出自愿救济申请;c.在第11章案件期间继续作为债务人根据《破产法》第1107(a)和1108条占有其业务和管理其财产;d.在申请日提交债务人请求进入(I)批准某些投标程序的命令(A)及其形式和通知的动议,(B)安排拍卖和听证会,以批准出售债务人的全部或几乎全部资产;(C)建立某些假定和转让程序,并批准其通知方式;(D)给予相关的救济;(II)命令(A)授权和批准债务人进入资产购买1在第11章的情况下,债务人连同债务人的联邦税务识别号码的最后四位数字是Tricida, Inc.(2526)。债务人的服务地址是2108 N Street,Suite 4935,Sacramento,加利福尼亚州 95816。2此处使用但未另作定义的大写术语应具有债务人计划或披露声明(每一项定义如下)中赋予它们的含义(视情况而定)。本计划第I.B节所载的解释规则应适用于本计划。判例23-10024-JTD Doc 515提交05/23/23第1页,共57页


 
2303958 10.1协议,(B)授权出售债务人的全部或几乎全部资产,不附带任何产权负担,(C)批准假定合同的承担和转让,(D)给予相关救济[案卷第11号],2023年1月26日[案卷第100号]命令批准;e.于2023年1月18日提交(i)Tricida公司第11章清算计划的披露声明[案卷第72号](可修订、修改或补充,(二)《Tricida公司第11章清算计划》[案卷第71号](可对《计划》进行修订、修改或补充);(三)《债务人请求下达命令的动议》(一)《批准披露声明》和《披露声明听证会通知的形式和方式》,(二)建立征集、投票和相关程序,(三)安排确认听证会,(四)建立确认计划的通知和异议程序,以及(五)授予相关救济[案卷第74号](“披露声明动议”);f.于2023年1月19日提交,债务人请求下达命令的动议(I)授权债务人拒绝与Patheon Austria GmbH & Co KG签订的某些执行合同,自拒绝日期起生效,以及(II)授予相关救济[案卷第79号],该动议已于2023年2月6日通过命令批准;g.自2023年2月15日起至2023年2月20日结束,进行拍卖,以推进根据该计划向两个买方出售债务人的几乎所有资产(“出售”);h.于2023年2月22日获得,批准将债务人资产出售给每一收购方的命令[案卷第230、232号];i.于2023年3月15日、2023年5月1日和2023年5月3日,由债务人、同意票据持有人、无担保债权人官方委员会(“委员会”)和Patheon Austria GmbH & Co KG(“Patheon”)进行了多轮调解,以解决委员会对披露声明和计划的反对意见;j.于2023年3月27日获得了一项命令,批准披露声明的充分性并授权征求计划[案卷第327号](“披露声明令”);k.提交,2023年3月27日,计划[第328号案卷](“征集计划”)的征集版本;l.于2023年3月30日开始,通过其征集和投票代理Kurtzman Carson Consultants LLC(“KCC”),向服务证书[第356号案卷](“征集证书”)中描述和定义的债权和权益持有人发送计划征集材料,包括(i)发送计划、披露声明、征集程序令、征集和投票程序、适用的投票、确认听证通知、求职信和回函(统称,"征集案件23-10024-JTD Doc 515提交05/23/23第2页,共57页


 
330395810.1包“)给有表决权的债权持有人类别,以及(ii)发送适用的无表决权状态通知、解除选择退出通知和确认听证通知(统称为”无表决权状态通知包",并连同招标包,即“招标材料”)向无投票权类别的债权和权益持有人提交,所有这些都是根据披露声明令进行的;m.于2023年4月24日由债务人、同意票据持有人、委员会和Patheon就Patheon拒绝债权的备抵和金额进行调解;n.于2023年4月28日提交了计划补充文件[第416号案卷](“第一份计划补充文件”);o.于2023年5月5日提交,根据《破产法》第105(a)条和《破产规则》第9019条,提交了提交计划补充文件[案卷编号435 ](“第二份计划补充文件”)的证物备案通知;p.于2023年5月9日提交了债务人请求根据《破产法》第105(a)条和《破产法》第9019条批准关于Patheon索赔的和解协议的申请[案卷编号444 ](“9019动议”);q.于2023年5月12日提交了第四份经修订的Tricida, Inc.第11章清算计划[案卷编号460 ],它反映了某些变化,以纳入在冥想时与委员会达成的和解协议,以及在2023年5月12日提交的9019动议中与Patheon达成的和解协议,即提交计划补充文件[第461号案卷](“第三计划补充文件”)的修订证明文件的通知,其中包括清算信托协议、或有付款持有信托协议和或有付款信托协议(统称“信托协议”)的修订表格;2023年5月16日提交的支持确认Tricida第四次修订的第11章清算计划的债务人法律备忘录,Inc. and Omnibus Reply to Objections to Confirmation [ Docket No. 476 ](“Confirmation Brief”);t. filed,on May 16,2023,the Certification of Adam J. Gorman with the Totes for the Third Amended Chapter 11 Plan of Liquidation for Tricida, Inc. [ Docket No. 477 ](“Voting Report”);u. filed,2023,the Declaration of James Lee in Support Confirmation of the Fourth Amended Chapter 11 Plan of Liquidation of Tricida, Inc. [ Docket No. 478 ](“Lee Declaration”);v. filed,2023,Sean Corwen支持确认Tricida, Inc.第四次修订的第11章清算计划的声明[案卷第479号](“Corwen声明”);w.2023年5月17日提交了Thomas G. FitzGerald的声明,Case 23-10024-JTD Doc 515的独立董事和董事会特别委员会的唯一成员提交05/23/23第3页,共57页


 
430395810.1 Tricida公司支持确认根据《破产法》第11章对Tricida公司进行第四次修订的第11章清算计划[案卷第480号](“FitzGerald声明”,与Lee声明、投票报告和Corwen声明合称“支持声明”);x.于2023年5月18日提交了第二次提交附件计划补充文件的通知[案卷第489号](“第四次计划补充文件”,并与第一份计划补充文件、第二份计划补充文件和第三份计划补充文件合称为“计划补充文件”);y.于2023年5月19日提交了Tricida, Inc.第四份经修订的第11章清算计划的修订清算分析备案通知[案卷编号499 ];z.同时提交了Tricida, Inc.第五份经修订的第11章清算计划,本法院于2023年3月27日提交了披露声明令[案卷编号327 ];b.定于5月5日提交,2023年下午4:00(美国东部时间)为第3、4、5、6类债权持有人接受或否决计划的截止日期(“投票截止日期”);cc将2023年5月5日下午4:00(美国东部时间)为提交和送达对计划确认的异议的截止日期(“计划异议截止日期”);dd.将2023年5月19日上午10:00(美国东部时间)为确认听证会开始的日期和时间;e.审查了计划、披露声明、计划补充、投票报告、支持声明,确认书,以及所有提交的关于确认书的书状、证物、陈述、答复和评论,包括与本第11章案件案卷上的利益相关方提出的所有反对、陈述和权利保留;于2023年5月19日举行了确认书听证会;审议了确认书听证会上提出的所有口头陈述、现场证词、书面直接证词、证物、文件、文件和其他证据;hh.驳回对计划和确认书的任何和所有反对,以及对未经双方同意解决、同意或撤回的权利的所有陈述和保留,除非另有说明,否则已就在本第11章案件中提交的所有文件和书状、在本第11章案件中提供或援引的所有证据,以及在本第11章案件待决期间在本法院举行的听证会上提出的所有论点,收到司法通知;以及案件23-10024-JTD Doc 515提交05/23/23第4页,共57页


 
5 30395810.1 jj.在2023年5月19日举行的确认听证会(“确认裁决”)上记录在案的裁决。因此,法院认为,确认聆讯的通知及任何利益方反对确认的机会,对于受计划及其所设想的交易影响或将受其影响的所有各方而言,已经是充分和适当的,支持确认的文件所载的法律和事实依据,以及在确认聆讯上提出的其他证据和在第11章案件中的记录,为本条例所给予的济助确立了正当的理由,并在对此进行了适当的审议和为此提出的正当的理由之后,本法院作出并发布以下事实调查结论和法律结论,并下达命令:事实调查结果和法律结论在此确定、发现、裁定、裁定和命令:A.调查结果和结论。1.根据《联邦民事诉讼规则》第52条和《联邦破产程序规则》(“破产规则”)第7052条和第9014条适用的《联邦民事诉讼规则》(“破产规则”),本法院根据《联邦民事诉讼规则》第52条对事实和法律的结论作出了裁定。如果下列任何法律结论构成事实认定,或反之亦然,则作为事实认定予以采纳。管辖权、地点和核心程序。2.根据28 U.S.C. § § 157和1334以及2012年2月29日美国特拉华州地区法院经修订的《常规职权令》,本法院对第11章案件拥有管辖权。法院拥有专属管辖权:(a)确定该计划是否符合《破产法》的适用条款,并应予以确认;(b)就该计划作出最后命令。根据判例23-10024-JTD Doc 515提交05/23/23第5页,地点适当


 
630395810.1至28 U.S.C. § § 1408和1409。确认该计划是28 U.S.C. § 157(b)(2)所指的核心程序。C.救济的资格。3.债务人过去和现在都是根据《破产法》第109条有资格获得救济的实体。D.第11章案件的开始。4.在申请日,债务人根据《破产法》第11章启动了一项自愿案件。根据《破产法》第1107(a)和1108条,债务人继续作为债务人经营其业务和管理其财产。没有任何一方要求指定受托人或审查员。E.任命债权人委员会。5.2023年1月23日,美国受托人办公室(简称“美国受托人”)根据《破产法》第1102条[第90号案卷]任命了该委员会。在本第11章案件中,并无任何其他法定委员会获要求或委任。F.举证责任——确认计划6。债务人作为《计划》的提出者,已经履行了证明《破产法》第1129(a)和1129(b)条所规定的适用要素的责任,证明的证据占多数,这是确认的适用标准。G.司法通知。7.法院将法院书记官或其正式委任的代理人备存的第11章案件的案卷,包括所有书状及其他存档文件、所有输入的命令、所有聆讯笔录,以及在第11章案件待决期间在法院举行的聆讯中提出、提出或引证的所有证据及论点,接获司法通知(并视为为确认本计划的目的而接纳为证据)。判例23-10024-JTD Doc 515提交05/23/23第6页,共57页


 
730395810.1 H.补充计划。8.2028年4月28日、2023年5月5日和2023年5月15日,债务人分别向法院提交了第一、第二和第三计划补充文件。计划补充文件(包括随后可能根据其条款进行修改、补充或以其他方式修订的补充文件)符合计划的条款,债务人根据《破产法》、《破产规则》、《美国特拉华州破产法院破产实践和程序地方规则》(“地方规则”)、《披露声明令》以及第11章案件的事实和情况,提供了良好和适当的备案通知。目前或将来无须就《计划补编》发出任何其他或进一步的通知。计划补充文件包括以下文件:(a)清算信托协议;(b)或有付款持有信托协议;(c)或有付款信托协议;(d)清算受托人、或有付款持有受托人或或或有付款受托人所雇用的任何内部人的身份;(e)清算受托人、或有付款持有受托人和或有付款受托人的身份;以及(f)在生效日期之前作为计划补充文件的修订提交法院的任何其他文件。所有列入《计划补编》的文件都是《计划》的组成部分,是《计划》的一部分,并以参考方式纳入《计划》。在不违反本计划及本确认令的规定下,债务人有权在本计划补充文件生效日期之前更改、修订、更新或修改该补充文件。一.计划修改。9.根据《破产法》第1127条,2023年5月12日提交的《Tricida, Inc.第四次修订第11章清算计划》中所载的对征求计划的修改,以及本确认令或在本确认令之前提交的任何计划中描述或阐述的对计划的任何其他修改(统称为“计划案例23-10024-JTD Doc 515提交05/23/23第7页,共57页)


 
830395810.1修改")构成技术上或澄清上的修改、与此种索赔持有人达成协议而对特定索赔作出的修改或不会对本计划下任何其他索赔或利息的处理产生重大不利影响或改变的修改。这些计划修改与先前根据披露声明和根据披露声明令送达的征集材料所作的披露是一致的,根据第11章案件的事实和情况,这些计划修改的通知是充分和适当的。10.根据《破产法》第3019条,计划修改不要求根据《破产法》第1125条进行额外披露,也不要求根据《破产法》第1126条重新征集投票,也不要求债权或权益持有人有机会改变先前对计划的接受或拒绝。因此,经修订的《计划》已妥善提交本法院,在此种修订之前就《计划》所投的所有票均具有约束力,并应适用于《计划》。J.反对意见被推翻。11.本法院在确认聆讯的纪录上所解释或以其他方式裁定的对确认的反对的任何决议或处置,现以提述方式并入。与《计划》或《确认书》有关的所有未解决的反对意见、声明、非正式反对意见和权利保留,如有任何保留意见,则在有偏见的情况下,根据是非曲直推翻。K.披露声明令。12.2023年3月27日,法院下达了披露声明令,其中包括:(a)批准披露声明包含《破产法》第1125条含义内的充分信息;(b)批准征集材料,包括征集和投票程序(“征集和投票程序”);(c)将2023年5月5日下午4:00(美国东部时间)定为投票截止日期;案件23-10024-JTD Doc 515提交05/23/23第8页,共57页


 
930395810.1(d)将2023年5月5日下午4时(美国东部时间)定为反对计划截止日期;及(e)将2023年5月19日上午10时(美国东部时间)定为确认聆讯日期。征集投票符合《披露声明令》,根据第11章案件的情况,在所有方面都是适当和令人满意的,并且符合《破产法》第1125和1126条,以及《破产法》的任何其他适用条款、《破产法》第3017和3018条,以及任何其他适用的《破产法》、《地方规则》或适用的非破产法。L.注意。13.债务人根据《破产规则》和《地方规则》,提供了关于披露声明、披露声明令、计划、征集材料、确认听证会通知(“确认听证会通知”)、执行合同和未到期租约的拟议承担和否决以及拟议补救金额的充分、充分的通知,以及债务人分发的与确认计划有关的所有其他材料,以及计划反对截止日期、投票截止日期和确认听证会,以及披露声明令中描述的任何适用的禁止日期和听证会,以及《披露声明令》中规定的程序。无须或无须另行通知。M.征集。14.2023年5月16日,债务人提交了表决报告,该报告在确认听证会上被接受为证据。如投票报告所述,就该计划征集投票符合披露声明动议中规定并在披露声明令中获得批准的征集程序(“征集程序”),根据第11章案件的情况是适当和令人满意的,并且在案件23-10024-JTD Doc 515中提交05/23/23第9页,共57页


 
10303958 10.1遵守《破产法》、《破产规则》、《地方规则》和任何其他适用的规则、法律和条例的规定。15.正如《征集证书》、《投票报告》和适用的声明中所述,在披露声明令生效后,征集包按照《破产法》(包括第1125和1126条)、《破产规则》(包括《破产规则》第3017和3018条)、《地方规则》、《披露声明令》和任何适用的非破产法,被传送和送达,包括第3类、第4类、第5类和第6类的所有债权持有人(统称“投票类别”)。包括确认听证通知在内的招标包的传送和服务是及时、充分和充分的。无需另行通知。16.正如投票报告和适用的声明中所述,截至2023年3月24日(“投票记录日期”),即披露声明令中为招标目的规定的记录日期,向持有索赔的投票类别的持有人分发了招标包。投票记录日期的设立和通知是合理和充分的。此外,投票类别的持有人必须对计划提出接受或拒绝的期限是合理和充分的,使这些持有人能够在知情的情况下决定接受或拒绝计划。17.正如征求证书和适用的声明中所述,在披露声明令生效后,非投票状态通知包被传送和送达,包括第1类、第2类、第7类或第8类的所有债权或权益持有人。正如该计划所述,第1类和第2类债权的持有人未受损害,最终推定接受该计划,因此没有投票接受或否决该计划。第7类及第8类(统称为“视为拒绝类别”)的申索或权益持有人为判例23-10024-JTD Doc 515提交05/23/23第10页,共57页


 
1130395810.1受损,根据该计划有权得不到赔偿,因此最终推定拒绝该计划。18.除本文所述的征求程序外,并与本院在确认听证会上的裁决一致,债务人应重新通知未执行的第5类和第6类债权的持有人,并及时退回解除选择-退出通知,以提供Patheon根据批准9019动议的命令的条款被添加为“被解除方”的通知,并给予持有人选择退出第三方解除的额外机会,所有这些都在本文第126和127段中更全面地阐述。第5类和第6类债权的持有人必须在2023年6月21日之前交回一份选择退出表格,并被视为选择退出第三方解除。第5类或第6类债权的持有人先前及时退回已执行的解除选择退出,应保留其已选择退出第三方解除选择的地位,而无需采取任何进一步行动。N.投票。19.正如投票报告所证明的那样,接受或否决该计划的投票是根据《破产法》、《破产规则》、《地方规则》、《披露声明令》和任何适用的非破产法,以诚信的方式公平地征集并制成表格的。20.正如投票报告所述,第3类、第4类、第5类和第6类根据《破产法》第1126条投票接受了该计划。基于上述情况,并如表决报告所证明的,至少有一类受损债权(不包括债务人任何内部人士的接受)已根据《破产法》第1124和1126条的要求投票接受该计划。O.破产规则第3016条。判例23-10024-JTD Doc 515提交05/23/23第11页,共57页


 
12 30395810.1 21.该计划及其所有修改都注明了日期,并指明了提交这些修改的实体,从而符合破产规则第3016(a)条。在符合本文所述的重新通知的前提下,债务人向法院适当地提交了披露声明和计划,从而符合破产规则第3016(b)条。《披露声明》和《计划》中的禁制令、释放和开脱条款以黑体字和具体、醒目的语言描述了所有被禁止的行为,并指明了将受禁制令约束的实体,从而满足了《破产规则》第3016(c)条的要求。P.破产规则第3017条。22.债务人按照经披露声明令修改的破产规则第3017(d)条的要求,提供了适当和充分的确认听证会通知。征求和表决程序是充分的,符合破产规则第3017(e)条,并符合披露声明令。根据这些程序,计划和披露声明被提供给各投票类别,确认听证通知被提供给所有各方。问:破产规则第3018条。23.从投票类别中征集接受或否决该计划的投票符合破产规则第3018(a)条的规定。该计划已转交有权就该计划进行表决的所有利益相关方,规定这些实体有足够的时间接受或否决该计划,而征求和表决程序符合《破产法》第1125和1126条的规定,从而符合《破产规则》第3018(b)条的规定。投票规定,接受或否决计划须以书面形式提出,并由投票类别中的索偿权人签署,并大致符合适当的正式表格所要求的资料。包括选票在内的征集材料符合《破产规则》第3018(c)条的要求。R.计划符合《破产法》的规定——第1129(a)(1)条。判例23-10024-JTD Doc 515提交05/23/23第12页,共57页


 
13 30395810.1 24.该计划符合《破产法》第1129(a)(1)条所规定的《破产法》的所有适用条款,包括第1122和1123条。(a)适当分类——第1122和1123条。25.该计划符合《破产法》第1122(a)及1123(a)(1)条的规定。该计划第三条规定将债权和权益单独分为8类。对这类债权和权益进行单独分类,存在有效的商业、事实和法律理由。这些分类并不是出于任何不正当的目的而实施的,也不是对债权或权益持有人进行不公平的区别对待或在他们之间进行不公平的区别对待。每一类债权和权益仅包含与该类别中的其他债权或权益基本相似的债权或权益。(b)指定的未受损害职类——第1123(a)(2)条。26.该计划符合《破产法》第1123(a)(2)条的规定。该计划第三条规定,根据《破产法》第1124条的含义,下列类别(“未受损类别”)的债权在该计划下是未受损的。类别指定1其他有担保债权2其他优先权债权27。此外,《计划》第二条规定,允许的行政索赔(包括专业费用索赔)和允许的优先权税务索赔将按照《计划》的规定全额支付(除非此种索赔的持有人同意采用替代处理办法),尽管这些索赔在《计划》下没有单独分类。(c)受损阶层的具体待遇——第1123(a)(3)节。28.该计划符合《破产法》第1123(a)(3)条的规定。该计划第三条规定,在适用的情况下,在下列类别中的债权和权益案例23-10024-JTD Doc 515提交05/23/23第13页,共57页


 
1430395810.1(“受损类别”)是《破产法》第1124条所指的计划规定的受损类别,并说明了此类类别的处理方法:类别指定3票据持有人索赔4 Patheon拒绝索赔5一般无担保索赔6最低无担保索赔7第510(b)条索赔8利益(d)无歧视——第1123(a)(4)条。29.该计划符合《破产法》第1123(a)(4)条的规定。该计划规定债务人对每一类别的每一债权或利息给予同样的待遇,除非某一特定债权或利息的持有人同意对此种债权或利息给予不那么有利的待遇。(e)适当的执行手段——第1123(a)(5)节。30.该计划符合《破产法》第1123(a)(5)条的规定。第四条和本计划其他部分的规定以及本计划的证据详细规定了实施本计划的适当手段,包括:(a)本计划的完成,包括债务人的清盘和解散,以及将资产分别归属于清算信托、或有付款信托和或有付款持有信托;(b)本计划分配的对价来源,包括为清盘预算提供资金;(c)对债务人、清算受托人、或有付款持有受托人的授权,及或有付款受托人(视属何情况而定)为执行或实施本计划而采取一切根据或必要、可取或适当的行动;(d)解决及解除本计划所列的索偿及权益;(e)保留及归属个案23-10024-JTD Doc 515的某些保留的诉讼因由及移交的诉讼因由


 
1530395810.1清算信托中的行动;(f)执行合同和未到期租约的处理;(g)债务人采取一切必要和适当的行动,以完成计划下和与计划有关的交易。(f)无表决权股权证券——第1123(a)(6)条。31.该计划没有规定发行债务人的股票或其他证券,包括无表决权的股票证券。因此,《破产法》第1123(a)(6)条的要求不适用。(g)董事和高级职员——第1123(a)(7)条。32.该计划符合《破产法》第1123(a)(7)条的规定。根据《计划》第IV.G.2条,自生效之日起,债务人的现有董事会应被视为已辞职,债务人的雇员或高级职员已被解雇,无需采取任何进一步行动。自生效日期起及之后,清算受托人即获授权代表遗产行事,但清算受托人除在本计划、本确认令及清算信托协议(如适用)中明文规定的职责外,并无其他职责。清算受托人、或有付款持有受托人和或有付款受托人的身份,以及对这些人的任何补偿的性质,均在计划补充文件中披露。清算受托人、或有付款持有受托人和或有付款受托人的任命(如适用)符合债权人的利益和公共政策。(h)债务人不是个人——第1123(a)(8)和1123(c)条。33.债务人不是个人。因此,《破产法》第1123(a)(8)和1123(c)条的要求不适用。(i)班级减值/未减值——第1123(b)(1)节。判例23-10024-JTD Doc 515提交05/23/23第15页


 
16 30395810.1 34.该计划符合《破产法》第1123(b)(1)条。该计划第三条规定,每一类债权和权益不受损害或不受损害。(j)执行合同和未到期租约的处理——第1123(b)(2)条。35.该计划符合《破产法》第1123(b)(2)条。该计划第五条规定,自动拒绝债务人的执行合同和未到期租约(D & O保单除外),这些合同和未到期租约以前没有根据《破产法》第365条在本第11章案件期间被拒绝、假定或假定和转让,也没有根据该计划、计划补充或销售指令预定假定。债务人关于承担和拒绝执行合同和未到期租约的决定是基于并在债务人的合理商业判断范围内作出的,是实施该计划所必需的,并且符合债务人、其财产、债权持有人以及在本第11章案件中的其他利益方的最佳利益。(k)索赔和诉讼理由的解决、释放、免除、强制执行和保全——第1123(b)(3)节。36.本计划应被视为一项动议,要求核准对债务人、同意记事人和委员会提出的根据本计划解决的所有索赔或争议作出善意妥协和解决。根据28 U.S.C. § § 1334(a)、1334(b)和1334(e),法院有权批准《计划》第九条规定的释放、禁令和开脱罪责。《破产法》第105(a)条允许发出禁制令和批准计划第九条所列的释放和开脱,因为正如在此确立的那样,并根据第11章案件的记录以及在确认听证会上或之前提出或援引的证据,这些规定:(a)是为换取良好和有价值的考虑而作出的;(b)是制订和执行计划所必需的;(c)为债务人及其遗产带来重大利益;(d)是案件23-10024-JTD Doc 515的组成部分


 
1730395810.1不能与计划分开;(e)公平、公正和合理;(f)符合债务人、其遗产、债权人和其他利益方的最佳利益。37.债务人释放。根据《破产法》第1123(b)节,《计划》第IX.A条所述债务人解除债权和诉讼理由(“债务人解除”)是债务人有效行使商业判断。解除债务人债务是该计划不可或缺的一部分,是广泛的、公平的谈判和调解的结果。债务人、其遗产或清算受托人追索债务人解除的任何此种债权不符合遗产的最佳利益,因为所涉费用可能超过追索此种债权的任何潜在利益。此外,债务人解除义务是:(a)以被解除义务的当事方提供的良好和有价值的考虑作为交换;(b)善意解决和妥协《计划》第IX.A条解除义务的债权;(c)在适当通知和听证机会之后给予并作出;(d)禁止债务人主张《计划》第IX.A条解除义务的债权或诉讼理由。因此,免除债务人是公平、合理的,有充分的考虑作为支持,符合破产财产的最佳利益,并且在本第11章案件的事实和情况下是适当的。38.第三方发布。如计划第IX.B条(“第三方解除”)所述,解除当事方的索赔和诉讼理由的解除是在适当通知和听证机会之后经双方同意提供的,是计划的一项基本规定;如果与本法院在确认听证会上的裁决一致,第8类权益的任何持有人均不应被视为基于先前未能返还解除选择退出的解除当事方。将第8类权益持有人从这一定义中除名并不影响一方以任何其他身份根据计划、确认令和法院在确认聆讯中的裁决所给予的释放。第三方案件23-10024-JTD Doc 515提交05/23/23第17页,共57页


 
1830395810.1释放对《计划》至关重要,是各方经过广泛的公平和善意谈判和调解后谈判达成的。它为债务人、清算受托人和其他被解除担保方提供了关于各方各自在计划下的义务和计划中所设想的交易的最终性。39.向所有索赔人提供了第三方解除通知,根据第11章案件的事实和情况,这种通知是充分和适当的。确认听证通知已发送给索赔持有人,并于2023年4月14日在《纽约时报》和《圣何塞水星报》上发表。在适用的情况下,发送给索赔持有人的选票和通知明确指出,该计划包含第三方发布,并且每个此类索赔持有人可以选择不授予此类第三方发布。《计划》中的发布条款非常醒目,并在《计划》、披露声明、选票和通知中以黑体字加以强调。第三方发布就受第三方发布约束的索赔和诉讼理由提供了适当和具体的披露,无需其他披露或通知。40.最后,第三方免责声明是:(a)以被解除担保方提供的良好和有价值的对价作为交换;(b)对第三方免责声明解除的债权作出善意的解决和妥协;(c)为了债务人和所有债权持有人的最佳利益;(d)公平、公平和合理;(e)在适当通知和听证机会之后发出和作出;(f)禁止任何解除担保方主张根据第三方免责声明解除的任何债权或诉讼理由;(g)与第105、524、1123条一致,1129和1141以及《破产法》的其他适用条款。因此,第三方释放是合理、适当的,并且符合《破产法》和适用法律的规定。判例23-10024-JTD Doc 515提交05/23/23第18页,共57页


 
19 30395810.1 41.开脱。计划第IXC条所述的开脱条款(“开脱”)对计划是必要和适当的。免责条款是为了保护遗产受托人免受不适当的诉讼,并排除被认定构成实际欺诈、故意不当行为或重大过失的行为。受免责声明约束的被免责各方在收到本确认令后,将被视为真诚地参与并遵守所有适用的法律,这些法律涉及债务人的庭内重组努力、条款清单、RSA、披露声明、出售动议、计划、计划补充,或与出售、计划、计划补充、第11章案件有关的任何重组交易、合同、文书、解除或其他协议或文件的谈判和执行,提交第11章案件、追索确认令、追索出售令、追索计划的完成、管理和实施,包括根据计划或任何其他相关协议分配财产,或在请愿日期和生效日期之间发生的任何其他相关作为或不作为、交易、协议、事件或其他发生或不作为,但与任何作为或不作为有关的索赔除外,该作为或不作为在有管辖权的法院的最终命令中被确定为构成实际故意欺诈或故意不当行为,或该人的严重疏忽,但在各方面,这些实体应有权就其根据本计划承担的职责和责任合理地依赖律师的书面意见,因此,在任何时候都不对违反本计划规定的任何适用法律、规则或条例的行为承担责任,也不因这些行为或不作为而承担责任。42.禁令。计划第IX.D条规定的禁令条款对计划至关重要,也是维护和执行债务人解除的必要条件,第三方案例23-10024-JTD Doc 515提交05/23/23第19页,共57页


 
2030395810.1《计划》第IX.A条、第IX.B条和第IX.C条分别规定的释放和免除责任。43.保留和移交的诉讼因由。该计划的附件A和附件B中列出的保留的诉讼理由和移交的诉讼理由是经过广泛的、公平的谈判和调解,由经验丰富的各方谈判达成的。保留的诉讼因由和移交的诉讼因由对本计划至关重要,并且在本第11章案件的事实和情况下是适当的。44.根据《破产法》第1123(b)(3)条,本确认令所执行的本计划所载的释放、强制令和开脱是公平、公正、合理的,并符合债务人、其产业和所有债权或权益持有人的最佳利益。确认听证会和第11章案件中的记录足以支持《计划》第九条规定的释放、禁令和开脱罪责。因此,根据债务人律师的陈述和论点、声明、确认听证会上实际提供或提供的证词、确认听证会上提出的任何其他证据以及第11章案件的完整记录,法院认为,《计划》第九条中规定的释放、禁令和开脱符合《破产法》和适用法律。45.此外,根据《破产法》第1123(b)节,债务人根据与同意票据持有人和计划所包括的委员会达成的全球和解,保留了保留的诉讼因由和移交的诉讼因由。除遣散费索偿外,对保留诉讼因由的追讨应限于任何适用的保险单和适用的法律。(i)除遣散费申索外,任何一方均无权追讨提交05/23/23的第23-10024-JTD Doc 515号案件


 
2130395810.1在任何适用保险单下的可用保险之外或超出可用保险的保留诉讼因由,以及(ii)除适用保险单下的适用保险人外,任何人或实体均不得对任何针对被解除当事人的保留诉讼因由承担责任;但一方当事人可寻求就任何保留诉讼因由针对被解除当事人的任何和解或判决收取任何保留诉讼因由,作为触发任何适用保险单下的有限和唯一目的。46.除本文另有规定外,自生效之日起,本计划和本确认令中规定的所有释放、开脱罪责和强制令均对所有人具有效力和约束力。本计划和本确认令对本计划和本确认令所规定或依据本确认令所解决的所有事项,包括本计划和本确认令所载的释放、强制令和开脱的规定,具有既判力、附带禁止反言和禁止反言(司法、公平或其他方面)效力。因此,该计划符合《破产法》第1123(b)(3)条。(l)债权持有人权利的处理—— 1123(b)(5)47。该计划符合《破产法》第1123(b)(5)条。根据《破产法》第1123(b)(5)条的规定,该计划第三条对某些债权持有人的权利作了修改,或酌情不受影响。(m)附加计划规定——第1123(b)(6)节。48.该计划中的其他酌处性规定是适当的,符合《破产法》的适用规定,从而符合《破产法》第1123(b)(6)条的规定。S.债务人遵守《破产法》的要求——第1129(a)(2)条。判例23-10024-JTD Doc 515提交05/23/23第21页


 
22 30395810.1 49.债务人遵守了《破产法》的适用条款,但法院命令另有规定或准许的除外,因此符合《破产法》第1129(a)(2)条的要求。具体而言,债务人:a.是《破产法》第109条规定的合格债务人,也是《破产法》第1121(a)条规定的计划的适当提出者;b.遵守《破产法》的适用条款,包括第1125和1126条、《破产规则》、《地方规则》、任何适用的非破产法、规则和条例、《披露声明令》和所有其他适用的法律,传送招标包和无表决权状态通知包以及相关文件和通知,并征集和制表对计划的投票。善意提议的计划——第1129(a)(3)条。50.该计划符合《破产法》第1129(a)(3)条的规定。债务人本着诚意而不是以任何法律禁止的方式提出该计划。在作出上述决定时,法院审查了围绕提交第11章案件、出售动议、计划本身、9019动议以及导致确认的程序的全部情况,包括索赔和权益持有人对计划的支持,以及根据计划执行的交易。这一第11章案件已提交,并提出了该计划,其合法目的是允许债务人为利益所有各方的最大利益实施出售,以及所有其他预期的行动和交易,并使遗产的价值和对债权和权益持有人的追偿最大化。U.服务或费用和开支的支付——第1129(a)(4)节。51.法院审查和最终确定债务人就第11章案件或与第11章案件的计划和事件有关的费用和开支的计划中规定的程序符合《破产法》第1129(a)(4)条的目标,并符合这些程序。五、董事、高级职员和内部人士——第1129(a)(5)节。判例23-10024-JTD Doc 515提交05/23/23第22页,共57页


 
23 30395810.1 52.由于《计划》规定解散债务人的现有董事会,并且债务人的任何剩余董事或高级职员应被解职,因此《破产法》第1129(a)(5)条不适用于债务人。在第1129(a)(5)条适用于清算信托、或有付款持有信托或或有付款信托的范围内,它们通过披露清算受托人、或有付款持有受托人和或有付款受托人的身份和补偿等方式满足了本条款的要求。W.不变动率——第1129(a)节(6)。53.《破产法》第1129(a)(6)条不适用于第11章案件。该计划建议,在任何政府管理委员会管辖的情况下,不改变费率。十、债权人的最佳利益——第1129(a)(7)条。54.该计划符合《破产法》第1129(a)(7)条的规定。在《Corwen声明》中更新的《披露声明》所附的清算分析,以及在声明中或在确认听证会之前或与确认听证会相关的为支持该计划而提供或援引的任何其他证据:(a)在此类分析或证据编制、提交之日是合理的、有说服力的、可信的和准确的,(b)运用合理和适当的方法和假设;(c)没有被其他证据反驳;(d)确定每个类别的允许债权和权益持有人在生效日期根据该计划因该债权或权益而获得的赔偿,将超过该持有人在生效日期根据《破产法》第7章清算债务人时获得的赔偿。Y.某些阶层的接受——第1129(a)(8)节。判例23-10024-JTD Doc 515提交05/23/23第23页,共57页


 
24 30395810.1 55.根据《破产法》第1126(f)条,第1类和第2类在该计划下未受损害,并被视为已接受该计划。第3类、第4类、第5类和第6类在该计划下受到损害,并已根据《破产法》第1126(c)条投票接受该计划。然而,由于该计划未获视为拒绝类别接受,债务人只就视为拒绝类别而非《破产法》第1129(a)(8)条,寻求根据第1129(b)条予以确认。虽然第1129(a)(8)条并不满足于被视为拒绝的类别,但该计划是可以确认的,因为该计划并无不公平的歧视,而且就被视为拒绝的类别而言是公平和公平的,因此符合《破产法》第1129(b)条关于下文进一步描述的此类类别的规定。因此,《破产法》第1129(b)节的要求得到满足。Z.第507(a)— 1129(a)(9)节规定的享有优先权的债权的处理。56.该计划符合《破产法》第1129(a)(9)条的规定。本计划第二条下的准许行政债权、专业费用债权和优先权税收债权以及本计划第三条下的其他有担保债权和其他优先权债权的处理,符合《破产法》第1129(a)(9)条对《破产法》第507(a)(1)–(8)条规定的各项债权的要求,并在所有方面符合《破产法》第1129(a)(9)条的要求。AA。至少一个受损阶层的接受——第1129(a)(10)条。57.该计划符合《破产法》第1129(a)(10)条的规定。正如投票报告所证明的,第3类、第4类、第5类和第6类按《破产法》第1126(c)条规定的必要数量和债权数额投票接受该计划,但不包括任何内部人士对该计划的接受(该术语在《破产法》第101(31)条中定义)。判例23-10024-JTD Doc 515提交05/23/23第24页,共57页


 
2530395810.1 BB。可行性——第1129(a)(11)节。58.该计划符合《破产法》第1129(a)(11)条的规定。债务人在确认听证会上或之前提出或援引的支持计划的证据:(a)在准备、提出或提供此类证据之日是合理的、有说服力的、可信的和准确的;(b)没有被其他有说服力的证据反驳;(c)证明计划是可行的,确认计划后不太可能出现清算或进一步财务重组的需要;(d)证明计划可以实施,并有合理的成功可能性;(e)证明债务人、清算受托人、或有付款持有受托人,或或有付款受托人(如适用)将有足够的资金来履行其在该计划下的义务——包括足够的现金,以合理地确保支付(其中包括)与清算信托瀑布一致的分配;(f)确定清算受托人、或有付款持有受托人和或有付款受托人(如适用)将有足够的资金在生效日期后履行其义务。CC. CC. CC. CC. CC. CC. CC. CC. CC. CC. CC. CC. CC. CC. CC. CC. CC. CC. CC. CC. CC. CC. CC. CC. CC. CC. CC. CC. CC. CC. CC. CC. CC. CC. CC. CC. CC. CC. CC. CC. CC. CC. CC. CC. CC. CC. CC. CC. CC. CC. CC. CC. CC. CC. CC. CC. CC. CC. CC. CC. CC. CC. CC. CC. CC. CC. CC. CC. CC. CC. CC. CC. CC. CC. CC. CC. CC. CC. CC. CC. CC. CC. CC. CC. CC. CC. CC. CC. CC. CC. CC. CC. CC. CC. CC法定费用的支付——第1129(a)(12)条。59.该计划符合《破产法》第1129(a)(12)条的规定。该计划的第二条规定支付根据《美国法典》第28章§ 1930对遗产征收的所有费用。DD. DD. DD. DD. DD. DD. DD. DD. DD. DD. DD. DD. DD. DD. DD. DD. DD. DD. DD. DD. DD. DD. DD. DD. DD. DD. DD. DD. DD. DD. DD. DD. DD. DD. DD. DD. DD. DD. DD. DD. DD. DD. DD. DD. DD. DD. DD. DD. DD. DD. DD. DD. DD. DD. DD. DD. DD. DD. DD. DD. DD. DD. DD。雇员福利的延续——第1129(a)(13)节。60.债务人没有任何支付退休人员福利的义务(如《破产法》第1114条所界定)。因此,《破产法》第1129(a)(13)条不适用于本第11章案件或本计划。EE。某些条文不适用─第1129(a)(14)、(15)及(16)条。判例23-10024-JTD Doc 515提交05/23/23第25页,共57页


 
26 30395810.1 61.《破产法》第1129(a)(14)条、第1129(a)(15)条和第1129(a)(16)条不适用于本第11章案件。债务人不承担国内支助义务,不是个人,也不是非营利公司。FF。要求——第1129(b)节。62.该计划符合《破产法》第1129(b)条的规定。尽管被视为拒绝的类别并未接纳该计划,但该计划仍可根据《破产法》第1129(b)(1)条予以确认。首先,除第1129(a)(8)条外,《破产法》第1129(a)条的所有规定均已满足。第二,该计划对被认为拒绝接受的阶级是公平和公正的。该计划是善意提出的,是合理的,并符合以下规定:任何低于每一类的申索或利息的持有人,不会因该等较低的申索或利息而收取或保留该计划下的任何财产;而任何高于该等类别的申索或利息的持有人,亦不会因其申索或利息而收取超过全额的款项。因此,该计划对所有被视为拒绝类别的债权和权益持有人是公平和公正的。第三,该计划并没有对被视为拒绝的类别作出不公平的歧视,因为情况类似的债权和利息持有人将因其在这类类别中的债权或利息(如适用的话)而得到大致相同的待遇。正如该计划所述,第3类、第4类和第5类中的允许债权持有人都将按照要求得到同等待遇,因为他们都将获得初始生效日期的分配,然后是他们在清算信托和或有付款持有信托中的按比例份额,所有这些都符合清算信托瀑布。因此,尽管并非所有受损阶层都投票接受该计划,但该计划仍可能得到确认。GG。只有一个计划——第1129(c)节。判例23-10024-JTD Doc 515提交05/23/23第26页,共57页


 
27 30395810.1 63.该计划符合《破产法》第1129(c)条的规定。该计划是在第11章案件中提交的唯一第11章计划。HH。计划的主要目的——第1129(d)节。64.该计划符合《破产法》第1129(d)条的规定。该计划的主要目的不是避税或避免适用《证券法》第5节。ii.无小企业案——第1129(e)节。65.第11章案件不是小企业案件,因此,《破产法》第1129(e)条不适用。JJ. JJ. JJ. JJ. JJ. JJ. JJ. JJ. JJ. JJ. JJ. JJ. JJ. JJ. JJ. JJ. JJ. JJ. JJ. JJ. JJ. JJ. JJ. JJ. JJ. JJ. JJ. JJ. JJ. JJ. JJ. JJ. JJ. JJ. JJ. JJ. JJ. JJ. JJ. JJ. JJ。善意征集——第1125(e)节。66.债务人以《破产法》第1125(e)条所指的“善意”行事,并遵守《破产法》和《破产规则》的适用条款,从事与支持和完成计划有关的所有活动,包括征求和接收计划的接受,债务人有权享受《破产法》第1125(e)条所提供的保护。KK。满足生效日期之前的先决条件。67.《计划》第八条规定的生效日期的先决条件中的每一项条件都已得到满足或有合理可能得到满足,或在适用的情况下根据《计划》第八条予以放弃。LL。执行。68.执行计划所设想的交易所需的所有文件和协议,包括计划补编所载或概述的文件和协议,以及所有其他相关和必要的文件,都是经过真诚和公平协商的,符合债务人及其遗产的最佳利益,并应在完成文件编制后,将案号23-10024-JTD Doc 515提交05/23/23第27页,共57页


 
28303958 10.1和执行,均为有效、有约束力和可执行的协议,不得与任何联邦、州或地方法律相冲突。债务人、清算受托人、或有付款受托人和或有付款受托人有权采取任何合理必要、可取或适当的行动,以完成此类协议及其所设想的交易。MM.所有重大事实的披露。69.债务人披露了与计划、计划补充以及计划规定的其他事项的通过、执行和实施有关的所有重大事实,这些事项涉及债务人、清算受托人、或有付款持有受托人或或有付款受托人(如适用)将采取或要求采取的公司行动。NN. NN. NN. NN. NN. NN. NN. NN. NN. NN. NN. NN. NN. NN. NN. NN. NN. NN. NN. NN. NN. NN. NN. NN. NN. NN. NN. NN. NN. NN. NN. NN. NN. NN. NN. NN. NN. NN. NN. NN. NN. NN. NN. NN. NN. NN. NN. NN. NN. NN. NN. NN. NN. NN. NN. NN. NN. NN. NN. NN. NN. NN. NN. NN. NN. ND & O政策。70.债务人的D & O政策在整个第11章案件中一直完全有效,并且在本确认令生效时仍然有效,并将继续有效。71.本计划、本确认令或清算信托协议均不改变债务人(及其财产)和债务人的保险人(及第三方索赔管理人)在保险单下的权利和义务,也不改变根据保险单提供的保险范围或利益或其条款和条件,或削弱或损害保险单的可执行性。债务人和/或债务人遗产可能成为受益人的任何保险单所规定的债务人的所有权利及其遗产的权利,均应归属清算信托,以便清算信托受益人和该等保险单的所有受益人受益。债务人应被视为仅承担D & O保单,除D & O保单外的任何保单应被视为在生效日期终止。哦。执行合同和未到期租约。判例23-10024-JTD Doc 515提交05/23/23第28页,共57页


 
29 30395810.1 72.债务人符合《破产法》第365条关于根据该计划承担、承担和转让以及拒绝执行合同和未到期租约的规定。根据本计划第五条,自生效日期起,债务人应被视为拒绝其作为当事方的每一份执行合同(D & O政策除外),而无需向法院发出任何进一步通知、诉讼、命令或批准,除非该执行合同先前是假定、假定和转让的,或根据本法院的命令被拒绝,在确认日期之前根据其条款到期或终止,或是在确认日期仍未决定的假设动议的主题。债务人不是任何未到期租约的当事方,只要发现存在任何此种未到期租约,在《破产法》第365(d)(4)条规定的最后期限届满时,债务人将被视为已被拒绝。73.债务人提供了充分的证据,证明对债务人根据该计划承担或承担和转让的每一项执行合同的未来履行有充分的保证。债务人纠正或提供了充分的保证,即债务人将纠正债务人正在承担的每项执行合同项下或与之有关的任何违约(包括通过支付任何纠正索赔)。在满足本计划第五条所述的任何适用的Cure债权的前提下,根据本确认令并根据本计划第五条,或通过本法院的其他命令,对执行合同或未到期租约的每项假设、假设和转让或拒绝,均应合法、有效,并对债务人、清算受托人、或有付款受托人或或有付款受托人(如适用)以及此类执行合同或未到期租约的所有非债务人个人或实体具有约束力。PP。满足确认要求。判例23-10024-JTD Doc 515提交05/23/23第29页,共57页


 
30 30395810.1 74.根据上述情况、声明以及在确认听证会上或之前提出或援引的所有其他书状和证据,本计划符合《破产法》第1129条的规定。根据上述事实和法律结论,命令、裁定和裁定:75。确认计划。根据《破产法》第1129条的规定,本计划作为附件 A,并在本确认令修改的范围内予以批准和确认。执行本计划所需的所有计划文件,包括计划补充文件中的文件,现予批准,并以引用方式纳入本确认令的组成部分。未列入或提及计划、计划补编或任何相关文件、协议或展品的任何特定条款、章节或规定,并不损害该条款、章节或规定的效力,本确认令的意图是,计划、计划补编和任何相关文件、协议或展品的全部获得批准。76.事实调查结果和法律结论。根据破产规则第7052条,本确认令所载的事实认定和法律结论构成事实认定和法律结论,破产规则第9014条规定适用于本程序。法院在确认聆讯中宣布的与确认有关的所有事实调查结果及法律结论,现纳入本确认令。凡下列任何一项构成事实认定或法律结论,则作为事实认定或法律结论予以采纳。本确认令所载的任何事实裁定或法律结论(包括法院判例23-10024-JTD Doc 515所宣布的任何事实裁定或法律结论提交05/23/23第30页,共57页)


 
31303958 10.1在确认听证会上并并入本文)构成本法院的一项命令,因此予以通过。77.标题。本确认令所使用的标题只供参考,并不构成本计划或本确认令的一部分,以作任何其他用途。78.反对。在本确认令生效前尚未撤回、放弃或解决的对批准确认计划的所有反对(包括其中所载的任何权利保留),不会因本确认令所给予的救济而得到纠正,或不会如债务人在确认聆讯的记录上所述以其他方式得到解决,所有反对(包括其中所载的任何权利保留)均会根据案情和全部内容被推翻,所有撤回的反对均被视为在有偏见的情况下被撤回。79.即时绑定效应。尽管有破产规则第3020(e)条或第7062条或其他规定,在生效日期发生时,本计划、本确认令及本计划补充文件所载的文件及文书的条款即刻生效并可强制执行,并被视为对债务人、清算受托人、或有付款受托人、或有付款受托人具有约束力,针对债务人的所有债权持有人和债务人权益持有人(无论该持有人是否投票接受或否决该计划,也无论该持有人是否有权根据该计划获得任何分配)、参与或受该计划所述和解、妥协、解除和禁令约束的所有实体、根据该计划获得财产的每个实体、执行合同和未到期租约的任何和所有非债务人当事方,以及所有利益方。80.根据《破产法》第1141条,在符合生效日期的情况下,并在符合计划和本确认令的条款的情况下,所有先前的命令第23-10024-JTD Doc 515号案提交05/23/23第31页,共57页


 
32303958 10.1在本第11章案件中,债务人根据其授权和指示签署的所有文件和协议,以及自生效之日起在本法院待决的债务人关于救济的所有动议或请求,均对债务人、清算受托人、或有付款受托人、或有付款受托人(如适用)及其各自的继承人和受让人具有约束力,并对其有利。81.分类和治疗。该计划的分类方案获得批准。本计划的条款应适用于债权和权益的分类和处理,以便根据本计划进行分配。82.索偿的从属地位。所有允许的债权和权益的允许、分类和处理,以及计划下的相应分配和处理,应考虑并符合每一类债权和权益在与之相关的任何合同、法律和衡平法上的从属权利方面的相对优先权和权利,无论是根据衡平法从属的一般原则、合同、《破产法》第510(b)条或其他方面产生的权利。根据《破产法》第510条,债务人或清算受托人(如适用)保留根据与此有关的任何合同、法律或衡平法排序,将任何允许的债权或允许的权益重新分类的权利。83.保险。尽管本计划另有相反规定,但如任何索偿须在保险单的承保范围内,就该索偿而作出的付款,须先按照该保险单的条款,从该保险单的收益中支付,而如有任何索偿的余额,则须按照适用于该等索偿的类别的计划的条文处理。判例23-10024-JTD Doc 515提交05/23/23第32页,共57页


 
33 30395810.1 84.授权执行该计划。根据《破产法》第1142(b)条、《特拉华州一般公司法》第303条以及任何其他州的商业公司法的任何类似规定(如适用),债务人、清算受托人、或有付款受托人和或有付款受托人(如适用)有权采取或促使采取一切必要和适当的公司行动,以执行和完善本计划的所有规定,并执行、订立或以其他方式使与之有关的所有文件生效,包括但不限于《清算信托协议》,或有付款持有信托协议和或有付款信托协议,在生效日期之前、之日或之后。85.在生效日期当日及之后,清算受托人、持有或有付款的受托人及或有付款的受托人(如适用)有权以债务人的名义及代表债务人采取一切行动,执行和交付本计划或适用的信托协议所设想的所有协议、文件、文书、通知和证书,并采取与此有关的一切必要行动。86.本确认令所载的批准和授权,并不是为了限制债务人、清算受托人、或有付款持有受托人或或有付款受托人采取任何和所有必要或适当行动,以执行、执行和完成计划、计划补充、适用的信托协议或本确认令所设想的任何和所有文件或交易的权力。87.资产的归属。在生效日期,根据《破产法》第1141(b)和1141(c)条,(1)清算信托资产应归属于清算信托,不受所有债权、留置权、产权负担、押记和其他权益的影响,但案件23-10024-JTD Doc 515提交05/23/23第33页,共57页


 
34303958 10.1本计划另有明文规定;(2)或有付款信托资产应归属于或有付款信托,除本计划另有明文规定外,不附带任何债权、留置权、产权负担、费用和其他权益;(3)或有付款信托资产(定义见《或有付款持有信托协议》)应归属于或有付款持有信托,不附带任何债权、留置权、产权负担、费用和其他权益,除非《或有付款持有信托协议》另有明文规定。88.计划交易。在生效日期当日或其后合理切实可行的范围内,债务人、清算受托人、或有付款受托人及或有付款受托人可采取任何或一切必要或适当的行动,以进行计划内所述、计划内所批准、计划内所设想或为实施计划所必需的任何交易,包括但不限于(1)有关合并、转换、处分、转让的适当协议或其他文件的签立及交付,(2)按照与本计划一致的条款,执行和交付任何资产、财产、权利、责任、债务、义务或义务的转让、转让、承担或委托的适当文书;(3)根据适用法律向有关政府当局提交适当的文件;(4)债务人、清算受托人、或有付款持有受托人或或有付款受托人认为为执行本计划而必要或适当的任何和所有其他行动。89.本计划所设想的所有行动,在此生效,并授权在适用的生效日期之前或之后根据本确认令采取,而无须再向法院提出申请或作出命令,亦无须债务人、清盘受托人、或有个案23-10024-JTD Doc 515提交05/23/23第34页,共57页


 
3530395810.1 Payments Holding Trustee,或有付款受托人,视情况而定,并表明此类行动是由这些高级职员、董事、经理、成员或股东一致采取的。90.清算信托。于生效日期,清算信托将根据清算信托协议成立。清算信托成立后,所有清算信托资产应视为转移至清算信托,无须债务人或债务人的任何经理、雇员、高级职员、董事、成员、合伙人、股东、代理人、顾问或代表采取任何进一步行动。91.根据《破产法》第1141条,转让给清算信托的所有财产应免受所有债权、留置权、产权负担、押记和其他权益的影响,但计划中另有规定的除外。在将清算信托资产转移至清算信托完成后,债务人将不再拥有清算信托资产或清算信托的权益,也不再拥有清算信托资产或清算信托的权益。就所有美国联邦所得税而言,并受计划第IV.C.6(g)条所述的自由度选举的约束,所有各方(包括但不限于债务人、清算受托人和清算信托受益人)应根据计划和本确认令的条款将清算信托资产转移至清算信托视为转移至清算信托受益人,然后由清算信托受益人转移至清算信托,清算信托受益人将被视为设保人和所有者。92.清算信托资产应由清算信托按以下顺序分配:(a)有争议的债权分配,应在所有有争议的债权得到允许或不允许的情况下进行;(b)按照有争议的债权案件23-10024-JTD Doc 515提交05/23/23第35页,共57页


 
3630395810.1分配,(i)票据持有人索赔的每一持有人应获得其按比例追偿权的校正,其计算方法如下:(1)生效日期现金金额减去票据持有人生效日期分配的总额减去GUC生效日期分配的总额减去Patheon生效日期分配的总额减去争议索赔分配的总额乘以(2)根据允许的一般无担保索赔、票据持有人索赔的总额确定的票据持有人索赔的百分比,和Patheon驳回索赔;(ii)从GUC生效日期分配中获得按比例追偿的获准一般无担保索赔的每一持有人,应获得其按比例追偿权利的更正,计算方法如下:(1)生效日期现金金额减去票据持有人生效日期分配总额减去GUC生效日期分配总额减去Patheon生效日期分配总额减去争议债权分配总额乘以(2)允许的一般无担保债权的百分比,该百分比是根据允许的一般无担保债权、票据持有人债权的总额确定的,及Patheon拒绝债权;及(iii)Patheon拒绝债权的每名持有人应收到一份关于其按比例追偿权的校正,其计算方法如下:(1)生效日期现金金额减去票据持有人生效日期分配总额减去GUC生效日期分配总额减去Patheon生效日期分配总额减去争议债权分配总额乘以(2)Patheon拒绝债权的百分比,该百分比是根据允许的一般无担保债权、票据持有人债权的总额确定的,及Patheon驳回申诉;及(c)在案件23-10024-JTD Doc 515提交05/23/23第36页的情况下


 
37303958 10.1适用于记事人索赔、Patheon驳回索赔和允许的一般无担保索赔的每一持有人,按比例计算。93.自生效之日起,债务人应以与计划补充文件中规定的基本相同的形式签署清算信托协议。债务人对清算信托协议作出的任何非实质性修改,经多数同意票据持有人同意后,将予以批准。清算信托协议将包含允许修改或修改清算信托协议的条款,以执行计划的条款。94.清算信托的设立应为以下目的:(a)接收和持有清算信托资产;(b)管理、争议、反对、损害或以其他方式解决所有一般无担保债权;(c)按照清算信托瀑布向清算信托受益人进行分配;(d)为清算信托受益人的利益实现最大限度的追偿;以及(e)启动和执行保留诉讼因由和转移诉讼因由,并管理和管理其任何收益,目的不在于按照Treas. Reg. § 301.7701-4(d)继续或从事某项贸易或业务。根据自由度选举,清算信托在美国联邦所得税方面是作为“设保人信托”的,在适用法律允许的范围内,在州和地方所得税方面是作为“设保人信托”的,清算信托受益人被视为清算信托的设保人和所有者。在适用法律允许的范围内,所有各方,包括清算受托人和任何清算信托受益人,应为所有适用的报税目的,按照上述规定进行报告。95.在生效日期,清算受托人应被视为被指定为根据计划和案例23-10024-JTD Doc 515设立的清算信托的受托人和管理人提交05/23/23第37页,共57页


 
3830395810.1清算信托协议。清算受托人应享有本计划第IV.C.6条和《清算信托协议》规定的各项权利、责任、权力和授权。96.清算信托应于(a)将清算信托资产全部分配给清算信托受益人;及(b)清算信托成立五周年时(以较早者为准)解散;但如因清算信托资产或将其货币化所涉及的事实和情况所证明,经向破产法院提出申请,并经破产法院裁定,为解决清算信托资产或将其货币化,并将收益分配给清算信托受益人,此种延期是必要或适当的,清算信托的期限可由清算受托人延长一段规定的期限。尽管有上述规定,除非破产法院另有命令,否则,如果对第11章案件作出终结判决,或第11章案件根据《破产法》第7章被转换为案件或被驳回,清算信托应自动终止。97.任何债权或权益的持有人或任何其他利益方均不会因根据计划和清算信托协议支付和分配款项或履行执行计划或清算信托协议的规定所附带的任何职能而向清算受托人、清算信托或其顾问或专业人员提出或以其他方式提出任何债权或诉讼因由,但因重大过失或故意不当行为而导致的任何作为或不作为除外,正如清算信托协议中更全面地阐述的那样。判例23-10024-JTD Doc 515提交05/23/23第38页,共57页


 
39 30395810.1 98.或有付款持有信托。自生效之日起,债务人应以与计划补充文件中规定的基本相同的形式签署或有付款持有信托协议。如计划第IV.E.1条所述,或有付款持有信托应被视为设保人信托或复杂信托,《或有付款持有信托协议》应作此规定。在适用法律允许的范围内,所有各方,包括或有付款信托受托人、或有付款持有信托受托人和任何或有付款持有信托受益人(该术语在《或有付款持有信托协议》中定义),应为所有适用的报税目的,按照上述规定进行报告。债务人对《或有付款持有信托协议》所作的任何非实质性修改,经多数同意票据持有人同意后,将予以批准。《或有付款信托协议》将载有规定,允许为执行该计划的规定而对这些协议进行必要的修订或修改。99.在生效日期,或有付款持有受托人应被视为被指定为根据本计划和或有付款持有信托协议设立的或有付款持有信托的受托人和管理人。或有付款持有受托人应享有本计划第IV.D.2条和《或有付款持有信托协议》中规定的各项权利、责任、权力和授权。100.任何索偿或利息持有人或任何其他利害关系方都不会对或有付款持有受托人、或有付款持有信托或其顾问或专业人士(就上述每一项而言,仅在履行其职责时)就根据案件23-10024-JTD Doc 515采取的行动提出任何索偿或诉讼因由,或以其他方式提起诉讼。提交05/23/23第39页,共57页


 
4030395810.1计划或或或有付款持有信托协议,或履行执行计划或或或有付款持有信托协议规定所附带的任何职能,但因重大过失或故意不当行为而产生的任何作为或不作为除外,如《或有付款持有信托协议》中更详细规定的那样。101.或有付款信托。自生效之日起,债务人应以与计划补充文件中规定的基本相同的形式签署或有付款信托协议。出于税收目的,或有付款信托应被视为设保人信托,允许第3、4和5类债权的持有人或或有付款持有信托应被视为计划第IV.E.1条所述生效日期或有付款信托权益的所有者/设保人,或有付款信托协议应这样规定。债务人对《或有付款信托协议》作出的任何非实质性修改,经多数同意票据持有人同意后,将予以批准。应急付款信托协议将载有规定,允许为执行该计划的规定而对这些协议进行必要的修订或修改。102.在生效日期,或有付款受托人应被视为被指定为根据本计划和或有付款信托协议设立的或有付款信托的受托人和管理人。应急支付受托人应享有本计划和应急支付信托协议第IV.D.3条规定的各项权利、责任、权力和授权。103.任何索偿或利息持有人或任何其他利害关系方均不会就根据本计划或个案23-10024-JTD Doc 515采取的行动,向或有付款受托人、或有付款信托或其顾问或专业人士(就上述每一项而言,仅限于履行其职责)提出任何索偿或诉讼因由,或以其他方式提起诉讼。提交05/23/23第40页,共57页


 
4130395810.1或有付款信托协议,或履行与执行本计划或或或有付款信托协议的规定有关的任何附带职能,但因重大过失或故意不当行为而产生的任何作为或不作为除外,如《或有付款信托协议》中更详细规定的那样。104.不需要政府批准。除非本计划或本确认令另有明文规定,本确认令应构成任何州、联邦或其他政府当局的法律、规则或条例所要求的所有批准和同意(如有),以传播、实施或完成本计划、计划补充、披露声明、任何证明、文件、文书或协议,以及对其的任何修订或修改,以及本计划、计划补充和披露声明中提及或设想的任何其他行为。105.现有协议和权益的取消。自生效日期起,除为证明根据本计划享有分配权的目的外,并除本计划或本确认令另有规定外,证明(1)任何债权持有人对债务人的任何债权或权利的所有协议及其他文件,包括证明该债权的任何票据;或(2)债务人的任何权益,包括购买权益的任何选择权或认股权证,均应予取消,而无须破产法院采取进一步行动或批准,义齿受托人及其代理人应被免除在义齿或可转换票据项下或与之相关的任何义务和责任。这些被取消的协议和文件的持有人或当事人不享有因这些协议和文件或取消这些协议和文件而产生或与之有关的任何权利,但根据本计划规定的确认前索偿的津贴和分配除外。判例23-10024-JTD Doc 515提交05/23/23第41页


 
42 30395810.1 106.尽管有上述规定,契约仍然有效的唯一目的是:(1)强制执行契约受托人及其任何前任的权利、索偿要求和利益;(2)允许根据计划收取和分配,以及随后根据计划和契约的条款分配这些金额;以及(3)保留受托人及其任何前任的任何权利,以对抗任何可分配给票据持有人索偿要求持有人的金钱或财产,包括受托人收取留置权和优先权。根据本计划因票据持有人的允许债权而作出的所有分配,均应向契约受托人作出或在契约受托人的指示下作出,以便根据契约条款(包括与交出和注销可转换票据有关的条款)进一步分配给允许票据持有人债权。不论向票据持有人债权的持有人作出的分配是由契约受托人作出的,还是由契约受托人以外的分配代理人作出的,收取留置权的受托人应以与通过契约受托人作出分配相同的方式附加于该等分配。在按照计划和契约向其交付的计划对价分配的情况下,契约受托人在计划生效日期后对票据持有人债权持有人不承担任何责任,包括不对债权提出异议或对其他债权人的待遇。107.保留保留的诉讼因由和转移的诉讼因由。尽管本条例或本计划有任何相反的规定,本计划的附件 A及附件 B分别列出的保留诉讼因由及转移诉讼因由,均按照《破产法》第1123(b)条在生效日期予以保存及转移予清盘信托。债务人根据与同意票据持有人达成的全球和解保留保留的诉讼因由和移交的诉讼因由,案件23-10024-JTD Doc 515提交05/23/23第42页,共57页


 
43303958 10.1该计划涵盖了委员会。除遣散费索偿外,对保留诉讼因由的追讨应限于任何适用的保险单和适用的法律。除遣散费索偿外,(i)任何一方均无权在任何适用保险单下的可用保险之外或超出任何适用保险单下的可用保险的范围内,就保留的诉讼因由要求赔偿;(ii)除适用保险单下的适用保险人外,任何人或实体均不得对任何保留的针对被解除当事人的诉讼因由承担赔偿责任,但前提是,一方当事人可寻求就任何保留的诉讼因由对被释放当事人作出的任何和解或判决收取费用,其目的仅限于触发任何适用保险单的承保范围。108.计划下的妥协和解决办法。根据《破产法》第1123条和《破产规则》第9019条,该计划的规定是对债务人、同意票据持有人和委员会提出的所有由该计划解决的索赔或争议的善意妥协和解决。确认令的加入将构成破产法院自生效之日起批准所有此类索赔或争议的妥协或解决,以及破产法院裁定此类妥协或解决符合债务人及其遗产的最佳利益,并且是公平、公平和合理的。尽管《计划》中有任何其他规定,但和解是在已同意和解的各方(在已明确订立书面和解的任何其他方之间)之间批准的,根据《确认书》,通过满足第1129条的要求来处理索赔和利益。109.第1145条豁免。在清算信托权益、持有信托权益的或有付款或或有付款信托权益(在适用的信托协议中定义)被视为任何适用案例23-10024-JTD Doc 515下的“证券”的情况下提交05/23/23第43页,共57页


 
4430395810.1法律规定,根据计划发行此类清算信托权益、持有信托权益的或有付款或或有付款信托权益(如适用),根据1933年《证券法》、根据该法颁布的所有规则和条例,或根据《破产法》第1145条颁布的其他适用证券法,免于登记。110.第1146条豁免。根据《破产法》第1146(a)条的规定,依据本计划进行的任何财产转让,均无须缴付任何单据记录税、印花税、转易费、无形资产或类似税、按揭税、印花税法、不动产转让税、按揭税或其他类似税或政府评估,而在本确认令生效后,适当的州或地方政府官员或代理人应放弃征收任何此类税款或政府评估,并接受所有此类文书或其他规范或证明此类转移的文件进行归档和记录,而无需支付任何此类税款、记录费或政府评估。此种豁免具体适用于但不限于将清算信托资产转移至清算信托、将或有付款信托资产转移至或有付款信托以及将或有付款信托利息转移至或有付款持有信托。111.不转让信托资产。任何清算信托资产、或有付款持有信托资产或或有付款信托资产(在适用的信托协议中均有定义)均不会在此类资产转移至适用的信托之日或之后重新归属于债务人,但在此类转移后将归属于适用的信托,由适用的受托人根据计划和适用的信托协议管理。112.执行合同和未到期租约的承担和拒绝。在生效日期,除本计划或本确认令(不包括D & O政策)另有规定外,所有执行合约或未到期租约之前没有的情况23-10024-JTD Doc 515已提交05/23/23第44页,共57页


 
45303958 10.1根据破产法院的命令假定、假定和转让,或被拒绝,根据《破产法》第365条和第1123条的规定和要求,将被视为被拒绝,但在确认日期仍未决定的假定动议所涉及的执行合同或未到期租约除外。113.根据销售文件、计划或本确认令承担任何执行合同或未到期租约,并支付与之相关的任何补救金额,在满足《破产法》第365条的适用要求后,应导致在承担生效日期之前的任何时间,根据任何假定的执行合同或未到期租约产生的任何债权或违约,无论是金钱的还是非金钱的,包括违约或限制所有权权益构成控制权变更的条款或其他与破产相关的违约,全部、最终和完全解除和清偿。114.保险保全。本计划、本确认令或清算信托协议均不改变债务人(及其财产)和债务人的保险人(及第三方索赔管理人)在保险单下的权利和义务,也不修改根据保险单提供的保险范围或利益或其条款和条件,或削弱或损害保险单的可执行性。债务人和/或债务人遗产可能成为受益人的任何保险单所规定的债务人的所有权利及其遗产的权利,均应归属清算信托,以利于清算信托受益人和该等保险单的所有受益人。债务人应被视为仅承担了D & O保单,除D & O保单外的任何保险单应被视为在生效日期终止。判例23-10024-JTD Doc 515提交05/23/23第45页,共57页


 
46 30395810.1 115.分配。本计划第六条所载的分配程序应全部核准,并在此予以核准。除本计划或本确认令另有规定外,本计划或本确认令所规定的分发时间,须按照本计划、本计划补充本或本确认令(如适用)所规定的时间作出。116.专业报酬。留用专业人员(OCP除外)就生效日期前提供的服务和偿还生效日期前发生的费用提出的所有专业人员费用索偿要求,必须在生效日期后四十五(45)天内提交。对专业费用申索的异议必须在提交专业费用申索后二十一(21)天内提交并送达。破产法院应在按照破产法院规定的程序发出通知和举行听证会后,确定保留专业人员(OCP除外)的此类专业费用索赔的允许金额,但此类程序与本协议的明示条款不一致的除外。除非债务人和留用专业人员另有约定,否则清算受托人应从专业人员费用储备金中以现金支付在生效日期后最终命令允许的专业人员费用索偿。117.所有要求支付OCP的专业费用索赔的请求均应根据OCP令提出。如在该生效日期当日或之前,该等专业费用申索并未根据该等专业费用命令获准,则债务人或清盘受托人(如适用)须在该等专业费用申索根据该等专业费用命令获准后,在合理切实可行范围内尽快从专业费用储备金以现金形式向该等专业费用申索。判例23-10024-JTD Doc 515提交05/23/23第46页,共57页


 
47 30395810.1 118.同意的记事人费用和开支。同意的记事人费用和开支应构成允许的行政索偿,优先于《破产法》第503(b)和507条规定的所有行政费用,但专业费用索偿除外,并应在生效日期之前以现金全额支付。同意记事人费用及开支不得因本计划或本确认令而解除、修改或以其他方式受影响。同意的票据持有人费用和开支不应受到追缴、抵销、不允许、减损、质疑、抗辩、攻击、拒绝、补偿、减少、抗辩、反索赔、抵销、从属地位、重新定性、撤销,或根据《破产法》、适用的非破产法或其他任何性质的索赔、诉讼因由或质疑。119.退还存款。所有公用事业单位,包括但不限于在本第11章案件期间根据《破产法》第366条收到保证金或其他形式的充分履约保证的任何个人或实体,必须在生效日期发生后立即将此种保证金或其他形式的充分履约保证退还清算受托人,如果没有在更早之前退还或适用。120.遵守税务规定。就本计划而言,在适用的范围内,债务人、清算受托人、或有付款持有受托人、或有付款受托人、付款代理人和任何适用的扣缴义务人应遵守任何政府单位对他们规定的所有扣缴税款和报告要求,根据本计划进行的所有分配均应遵守此类扣缴和报告要求。清算受托人、持有或有付款的受托人或或有付款的受托人(如适用)应(1)扣留、扣除并向有关政府当局支付根据税法要求扣留的任何金额,案例23-10024-JTD Doc 515提交05/23/23第47页,共57页


 
48303958 10.1关于根据《清算信托协议》、《或有付款持有信托协议》或《或有付款信托协议》(如适用)进行的任何分配;(2)遵守任何联邦、州、地方或外国税务机关规定的任何报告要求。清算受托人、或有付款受托人或或有付款受托人(如适用)可扣留应付给清算信托受益人的任何分配的全部或适当部分,直至清算信托受益人提供必要信息以遵守任何政府机构的任何扣缴要求为止。为清算信托协议、或有付款持有信托协议、或有付款信托协议和计划的所有目的,任何预扣的税款应被视为由适用的受益人分配和收取。如果受益人未能在计划生效日期一年后的当天或之前提供遵守任何政府当局的任何扣缴要求所需的信息,则根据《清算信托协议》、《或有付款持有信托协议》或《或有付款信托协议》(视情况而定),该受益人的分配可被视为无人认领的财产。121.解决有争议或未清偿债权的程序。本计划第七条所载的关于解决有争议或未清偿债权的程序应得到批准,并在此得到全部批准。如其中所述,在生效日期当日或之后,清算受托人有权:(1)对债权或权益提出异议、撤回异议或就判决提起诉讼;(2)解决或妥协任何有争议的债权,而无需向破产法院发出任何进一步通知或采取行动、命令或批准;(3)管理和调整债权登记册,以反映任何此类和解或妥协,而无需向破产法院发出任何进一步通知或采取行动、命令或获得破产法院的批准。判例23-10024-JTD Doc 515提交05/23/23第48页,共57页


 
49 30395810.1 122.争议索赔准备金。在生效日期之前,债务人应设立争议债权准备金(“争议债权准备金”),该准备金应在生效日期转移至清算信托并归属于清算信托,并由清算信托为清算信托受益人的利益持有,直至所有争议债权得到解决。争议索赔储备金的资金数额应与每项争议索赔的索赔证明中所列的申报数额相等。为免生疑问,即使争议债权的持有人就其利息数额提出了索赔证明,也不得在争议债权的利息准备金中扣减任何数额。尽管有上述规定,清算受托人仍须在索赔登记簿上对代表利息提交的每一份索赔证明提出反对。123.争议债权储备金的临时分配可由清算受托人酌情决定,数额相当于一项或多项争议债权在争议债权通过最后命令解决后所保留的数额。124.索赔登记册。任何已获支付或满足的申索,或任何已被修订或取代的申索,可由债务人或清算受托人(视情况而定)在本第11章个案的正式申索登记册(“申索登记册”)上加以调整或删除,而无须提出反对,亦无须向法院发出任何进一步通知或采取行动、命令或批准。KCC,即债务人的通知和索赔代理人,被指示酌情调整或删除索赔登记册中的这类索赔。125.放弃或反悔。债权或利息的每一持有人均应被视为放弃了主张任何论点的任何权利,包括主张其债权或利息应根据与债务人或其律师(或任何其他实体)达成的协议,以一定数额、以一定的优先权作为其他有担保债权被允许,或不从属于该债权或利息的权利,案例23-10024-JTD Doc 515提交05/23/23第49页,共57页


 
50303958 10.1如果在确认日期之前没有在《计划》、《计划补编》、《披露说明》或向法院提交的其他文件中披露此种协议,或由债务人或其律师承认的书面文书作为证据。126.第5类及第6类申索的重新通知。第5类和第6类债权的持有人如果没有执行并及时退回解除选择退出,应收到通知,根据批准9019动议的命令的条款,Patheon将被添加为“被解除方”,并提供了选择退出第三方解除的额外机会。通知的形式基本上是作为附件 B-1和B-2附在本协议之后的形式,符合《破产法》的要求,满足了第11章案件的特殊需要,并为有权选择退出第三方释放的索赔的每个持有人提供了充分的信息和指示。不需要进一步的资料或指示。127.第5类和第6类索赔的持有人必须在2023年6月21日之前交回一份选择退出表格,并被视为选择退出第三方发布。第5类或第6类债权的持有人先前及时退回已执行的解除选择退出,应保留其已选择退出第三方解除的地位,而无需采取任何进一步行动。128.债务人解除,第三方解除,免责,禁制,以及计划下的相关规定。本计划第九条所载的解除、释放、禁制令、开脱及有关规定,均已全部纳入本计划,并在所有方面获得批准和授权,并已如此命令,并于生效日期起立即生效,而无须本法院或任何其他方面作出进一步命令或采取行动。129.释放主要原告的选择退出。尽管计划中有任何相反的规定,但招标材料(包括但不限于披露声明、无表决权状态通知和发行选择退出)、计划补编或本确认案23-10024-JTD Doc 515提交05/23/23第50页,共57页


 
5130395810.1命令,Jeffrey M. Fiore(“首席原告”),法院指定的证券集体诉讼的首席原告,案件标题为Michael Pardi诉Tricida公司和Gerrit Klaerner,案件编号4:21-cv-00076-HSG(“Pardi诉讼”),在美国加利福尼亚州北区联邦地区法院奥克兰分部待决,连同首席原告在Pardi诉讼(“拟议集体”)中所代表的(包括可能被重新定义或认证的)推定集体的每个成员,对于在Pardi诉讼中针对任何非债务方主张或将要主张的债权(“选择-退出债权”),应被视为已选择退出本条款第IX.B条所载的第三方解除债权,并且不应被要求在投票截止日期/选择-退出截止日期之前执行、填写或交付解除选择-退出表格。首席原告不应被视为就退出索赔而言的释放方。130.禁止令或逗留期限。除本计划或本确认令另有规定外,在适用法律允许的最大限度内,并在符合破产法院的确认后司法管辖权的情况下,修改本计划(1)所订的强制令,并根据《破产法》第105或362条,对根据破产法第11章案件产生的或在该案件期间进入的针对债务人财产或债务人遗产的诉讼作出的所有强制令或中止,并在确认令生效之日有效,(2)根据《破产法》第105或362条在第11章案件中根据第11章案件产生或订立的所有其他强制令和中止,在(a)第11章案件根据破产法院的最终命令结案的日期,或(b)第11章案件根据破产法院的最终命令被驳回的日期中最早的日期之前,保持完全有效。本计划或确认令所载的所有强制令或中止,均须无限期地保持完全有效。判例23-10024-JTD Doc 515提交05/23/23第51页,共57页


 
52 30395810.1 131.计划条文的不可分割性。计划的每项条款和规定:(a)根据其条款有效和可执行;(b)计划的组成部分,未经债务人、清算受托人、或有付款持有受托人和或有付款受托人同意,不得删除或修改;(c)不可分离和相互依赖。132.簿册及纪录的保存。根据本计划和清算信托协议,在生效日期或清算受托人和债务人合理方便的其他时间,债务人应向清算信托及时提供查阅债务人所管有的债务人所有簿册和记录的机会。债务人还应指示拥有此类簿册和记录(包括计算机生成或计算机维护的簿册、记录和数据)的任何第三方或专业人员允许查阅清算受托人合理要求的簿册和记录。133.直至在标题为Michael Pardi诉Tricida公司和Gerritt Klaerner案的诉讼中作出最终判决或和解命令,案件编号4:21-cv-00076-HSG(“Pardi诉讼”)在美国加州北区奥克兰地区法院待决,债务人和买方以及债务人的账簿、记录、文件、文件、电子数据(任何格式,包括原生格式)或任何可能与Pardi诉讼相关的有形物品(统称“潜在相关账簿和记录”)应保存和维护潜在相关账簿和记录,不得销毁、放弃、转移或以其他方式使这些可能有关的簿册和记录无法获得,除非事先至少提前六十天书面通知原告并有机会提出异议并由有管辖权的法院审理。Pardi案原告23-10024-JTD Doc 515提交05/23/23第52页,共57页


 
5330395810.1诉讼及时反对任何此种销毁、放弃或转让,在破产法院或其他有管辖权的法院作出最后命令之前,应保存可能有关的簿册和记录;但条件是,尽管有上述规定,债务人仍将保留转让给买方的任何可能有关的簿册和记录的真实副本,但须符合本款所述的相同条件,债务人应对帕迪诉讼中的任何发现请求负有主要责任,包括要求出示转让给买方的簿册和记录的任何发现。134.随后的答辩通知。除本计划或本确认令另有规定外,本第11章案件在生效日期后的所有后续诉状的通知,只须送达下列各方:(a)美国受托人;(b)已知直接受此类诉状所寻求的救济影响的任何一方;(c)在生效日期后具体要求以书面形式向债务人、清算受托人、或有付款持有受托人或或有付款受托人(如适用)发出额外通知的任何一方,或根据破产规则2002提出通知请求的任何一方。KCC不应被要求提交更新的服务清单。135.确认后报告。债务人应使用UST表格11-MOR提交在生效日期之前到期的所有月度运营报告。在生效日期之后,清算受托人、持有或有付款的受托人、或有付款的受托人和生效日期之后的债务人应在到期时分别向破产法院提交UST表格11-PCR报告,直至债务人的案件最早结案、被驳回或根据《破产法》第7章转换为案件。债务人、清算受托人、或有付款持有受托人和或有付款案例23-10024-JTD Doc 515提交05/23/23第53页,共57页


 
5430395810.1受托人仍有义务向美国受托人支付法定费用,直至债务人的案件最早结案、被驳回或根据《破产法》第7章转为案件。美国受托人或任何其他政府单位都无须就法定费用提出行政索赔请求。136.确认后的修改。在本确认令生效后,债务人、清算受托人、或有付款受托人或或有付款受托人可根据破产法院的命令,根据《破产法》第1127(b)条修订或修改计划,或以执行计划的目的和意图所需的方式补救计划中的任何缺陷或遗漏,或调和计划中的任何不一致之处。137.管辖法律。除非联邦法律(包括《破产法》和《破产规则》)规定了法律规则或程序,或者除非另有具体说明,否则在不影响法律冲突原则的情况下,特拉华州的法律应管辖本计划、与本计划有关的任何协议、文件、文书或合同的权利、义务、构造和实施(除非这些协议中另有规定,在这种情况下,此种协议的管辖法律应加以控制)以及公司治理事项。138.适用的非破产法。本确认令、本计划及有关文件的条文,或其任何修订或变通,均适用并可强制执行,即使任何其他方面适用的非破产法或与此有关的任何规定亦不例外。139.生效日期通知。债务人或清算受托人(如适用)应将本确认令的记录、生效日期的发生和案件23-10024-JTD Doc 515的发生通知送达提交人05/23/23第54页,共57页


 
55303958 10.1根据2002年《破产规则》和3020(c)的规定,在确认听证通知生效后七个工作日内送达确认听证通知的所有当事人的适用期限(“生效日期通知”);但债务人向其邮寄确认听证通知,但收到此种通知的实体被标记为“无法按地址送达”、“已移动、未留下转发地址”或“转发令已过期”,则无需向其邮寄或发出任何形式的通知,或类似理由,除非该实体已书面通知债务人或以其他方式知悉该实体的新地址。对于那些接受电子送达的当事人,在案卷上提交的文件被视为足以满足这种送达和通知的要求。140.生效日期通知将具有法院命令的效力,将构成将本确认令记入存档和记录人员的充分通知,并且将是一份可记录的文书,即使适用的非破产法有任何相反的规定。上述通知在本第11章案件的特殊情况下是适当的,不需要其他通知或进一步通知。141.实质性的完成。在生效日期,该计划应被视为根据《破产法》第1127(b)条已基本完成(在《破产法》第1101条所述的含义内)。142.解散委员会。自生效之日起,任何正式指定的无担保债权人正式委员会将解散,其成员将被解除并解除因第11章案件而产生或与之有关的一切职责和义务;但在生效之日后,委员会将继续仅就(i)委员会成员的任何专业费用索偿或费用补偿申请而存在,包括准备申请、反对申请、辩护和出席任何案件23-10024-JTD Doc 515提交05/23/23第55页,共57页


 
56303958 10.1就该计划或确认令进行聆讯;(ii)寻求强制执行或执行该计划或确认令条文的任何动议或其他行动;及(iii)截至生效日期尚待处理或其后提交的任何上诉,其结果可合理地预期会以任何重大方式影响一般无担保债权持有人的待遇,包括但不限于与完成、解释、执行或执行该计划或确认令有关的任何案件、争议、诉讼或争议。在生效日期之后,委员会的专业人员应有权就与第(i)-(iii)条所列事项有关的服务获得合理补偿。与此有关的任何该等付款,无须再向破产法院发出通知或采取行动、命令或批准。143.冲突的影响。本确认令取代在确认日期前发出的任何可能与本确认令不一致的法院命令。如本计划的条款与本确认令的条款有任何不一致之处,则由本确认令的条款管辖和控制。144.最终,可上诉的命令。如有正当因由,则任何破产规则所提供的本确认令的中止即予放弃,而本确认令一经本院进入,即属有效及可立即执行。本确认令为最终命令,在入境后立即生效并可执行,其规定可自动执行。判例23-10024-JTD Doc 515提交05/23/23第56页


 
57 30395810.1 145.保留管辖权。法院可适当地并于生效日期起,在本计划所列的充分范围内,保留对因本第11章案件而产生和与之有关的所有事项的管辖权,包括本计划第十条和《破产法》第1142条所列的事项。JOHN T. DORSEY UNITED STATES BANKRUPTCY JUDGE Dated:May 23,2023 Wilmington,Delaware Case 23-10024-JTD Doc 515 Filed 05/23/23 Page 57 of 57


 
30395810.1 EXHIBIT A Plan Case 23-10024-JTD Doc 515-1 Filed 05/23/23 Page 1 of 90


 
30395948.1 IN THE UNITED STATES BANKRUPTCY COURT FOR THE DISTRICT OF DELAWARE In re:TRICIDA,INC.,1 Debtor。第11章案件编号23-10024(JTD)FIFTH AMENDED CHAPTER 11 PLAN OF LIQUIDATION FOR TRICIDA,INC。YOUNG CONAWAY STARGATT & TAYLOR,LLP Sean M. Beach(No. 4070)Allison S. Mielke(No. 5934)Andrew A. Mark(No. 6861)Carol E. Cox(No. 6936)Rodney Square 1000 North King Street Wilmington,Delaware 19801电话:(302)571-6600传真:(302)571-1253日期:2023年5月22日SIDLEY AUSTIN LLP Samuel A. Newman(admitted pro hac vice)Julia Philips Roth(admitted pro hac vice)555 West Fifth Street Los Angeles,加利福尼亚州90013电话:(213)896-6000传真:(213)896-6600 Charles M. Persons(admitted pro hac vice)Jeri Leigh Miller(admitted pro hac vice)Chelsea McManus(admitted pro hac vice)2021 McKinney Avenue,Suite 2000 Dallas,Texas 75201电话:(214)981-3300传真:(213)981-3400 Michael A. Sabino(admitted pro hac vice)787 Seventh Avenue New York,New York 10019电话:(212)839-5300传真:(212)839-5599债务人和债务人的法律顾问1这11章案件中的债务人,连同债务人联邦税务识别号码的最后四位数字,是Tricida, Inc.(2526)。债务人的服务地址是2108 N Street,Suite 4935,Sacramento,加利福尼亚州 95816。判例23-10024-JTD Doc 515-1提交05/23/23第2页,共90页


 
i 30395948.1目录第一条。定义的术语和解释规则................................................................................................1 B.解释规则......................................................................................................16 C.时间的计算.................................................................................17 D.控制文件..................................................................................................17第二条。行政索赔、优先权税收索赔和法定费用......................................................................................................17 A.行政索赔......................................................................................17 B.专业费用索赔............................................................................................18 1。最终费用申请..................................................................................................18 2。OCP的行政索赔....................................................................................18 3。生效日期后的费用和开支......................................................................................18 4。专业费用储备金额.................................................................................... 195。专业费用准备金......................................................................................................19 C.优先权税收要求......................................................................................20 D.美国受托人的法定费用......................................................................20 E.同意的票据持有人费用和开支......................................................................20第三条。ClassSIFICATION AND TREATMENT OF CLAIMS AND INTERESTS..。20 A.债权和权益的分类......................................................................................20 B.债权和权益的处理......................................................................................21 1。第1类–其他有担保债权....................................................................................2 12。第2类–其他优先债权....................................................................................2 23。第3类–票据持有人债权....................................................................................................2 24。第4类– Patheon驳回申索............................................................................................2 25。第5类–一般无担保债权....................................................................................2 36。第6类– De Minimis无担保债权...................................................................................23 7。第7类–第510(b)条的申索...................................................................................23 8。第8类–权益.....................................................................................................23 C.关于未受损害债权的特别规定.....................................................24 D.消除空缺类别.....................................................................24 E.投票类别;非投票类别的假定接受.....................................24 F.关于减值的争议.....................................................24 G.债权的从属地位.....................................................................24案例23-10024-JTD Doc 515-1提交05/23/23第3页,共90页


 
ii 30395948.1 H.根据《破产法》第1129(b)条作出的确认.................................25一.对债权的权利保留.................................................................25 J.债权的延期利息.................................................................................25 K.保险.................................................................................................................25第四条。计划的执行方式......................................................25 A.计划分配的对价来源......................................................................25 B.资产的归属......................................................................................25 C.清算信托......................................................................................................26 1。清算信托的设立.....................................................................................26 2。清算信托资产的转让......................................................................................263。清算信托瀑布....................................................................................................26 4。清算信托协议......................................................................................................275。清算信托的目的..................................................................................................276。清盘受托人...................................................................................................................27 7。清盘信托的终止...................................................................................29 8。与清算信托有关的免责说明....................................................................29 D.或有付款持有信托和或有付款信托.................................30 1。信托协议.....................................................................................................30 2。或有付款持有受托人.................................................................................30 3。或有付款受托人...................................................................................................32 4。与持有或有付款的受托人和或有付款的受托人有关的免责说明.....................................................................................................33 E.信任机制.............................................................................................................34 1。税务信托的处理....................................................................................34 2。索赔通知的现状.......................................................................................................35 F.诉讼理由的保留.......................................................................35 G.公司诉讼.......................................................................................................36 1。资产的转移和负债的承担.................................................................36 2。债务人的解散;董事和高级职员的免职;雇员的解雇.....................................................................................................36 H.现有证券和协议的取消.................................................................................................37 J.生效文件和进一步的交易.....................................................................38 K.第1146条免除某些税费.....................................38 L.出售令.....................................................................................................38案例23-10024-JTD Doc 515-1提交05/23/23第4页,共90页


 
iii 30395948.1M.行为授权.....................................................................................................................38 N.不得撤销信托资产.....................................................................................39 O.债权和争议的解决................................................................................................39条V.执行合同和未到期租赁的处理;以及保险政策.................................................................................................39 A.一般处理......................................................................................39 B.驳回损害索赔......................................................................40 C.保留权利...................................................................................................40 D.根据执行合同或未到期租赁对债务人的既有义务.。40 E.保险保全.......................................................................................................40 F.修改、修正、补充、重述或其他协议.....。41第六条。管理分配的规定.....................................................................41 A.分配记录日期.....................................................................................41 B.扣缴款项.....................................................................................................41 C.分配日期.....................................................................................................42 D.支付代理的权力.....................................................................................................42 F.交出票据.....................................................................................42 G. IRS表格.....................................................................................................................43 H.分配的交付.....................................................................................43 I.支付方式.....................................................................................................43 J.外币汇率.................................................................................................44 K.抵销和补偿.............................................................................................................................44 L.最低分配...............................................................................................................。和明确的.....................................................................................44 O.第三方支付或应付的债权......................................................................451。第三方支付的索赔.....................................................................................................45 2。第三方应付的索赔...................................................................................453。保单的适用性...................................................................................45 P.与票据持有人索赔有关的分配条款......................................................451。分配记录日期......................................................................................46 2。一般说来.....................................................................................................46第七条。解决未清偿及有争议索偿的程序.....................................................................................................................46判例23-10024-JTD Doc 515-1存档05/23/23第5页,共90页


 
iv 30395948.1 A.索赔备抵.....................................................................................................46 B.索赔管理责任.....................................................................................46 C.索赔的估计.................................................................................47 D.对无异议索赔的调整.................................................................................47 E.对索赔提出异议的时间.................................................................................47 F.驳回逾期索赔.................................................................................................47 H.对索赔的修正.................................................................................................48 I.在备抵之前不分配.................................................................48 J.备抵后的分配.....................................................................................48第八条。生效日期之前的条件.................................48 A.先决条件.................................................................................48 B.条件的放弃.................................................................................................49 C.确认令的效力.................................................................49 D.善意征集投票....................................................................................50第九条。释放、禁制和相关规定.................................50 A.债务人的释放.................................................................................50 B.债权和权益持有人的释放.................................................................................51 C.免责.................................................................................................52 D.禁制.................................................................................................................................52 E.主要原告的选择退出的释放.................................................................................................53 F.不释放.................................................................................54 G.释放留置权.................................................................................................54第十条保留管辖权.................................................................................54 XI。修改、撤销或撤回计划...。56 A.计划的修改...............................................................................................................56 B.其他修改.......................................................................................57 C.确认对修改的影响.....................................................................57 D.计划的撤销;条件不发生对生效日期的影响.。57第十二条。杂项条文.................................................................57 A.债务人自确认聆讯起至生效日期的运作.................................57 B.即时约束效力.................................................................................57 C.附加文件......................................................................................58 D.实质性完成...................................................................58判例23-10024-JTD Doc 515-1提交05/23/23第6页,共90页


 
v 30395948.1 E.权利保留...................................................................................................................58 F.继承人和受让人.......................................................................................................58 G.税务责任的确定...................................................................................58 H.委员会的解散.......................................................................................59 I.账簿的保存及记录...........................................................................................................59 J.通知.................................................................................................................................60 K.禁止令或逗留期限.................................................................................................61 L.整份协议.................................................................................................................61 M.计划补充证明..................................................................................................61 N.管辖法律.................................................................................................61 O.计划规定经确认后的不可分割性.................................................................62 P.第11章案件的终结.....................................................................................62 EXHIBITS 附件 A –保留的诉讼因由附表附件 B –针对转移至清算信托案件的未释放各方保留的其他诉讼因由附表23-10024-JTD Doc 515-1 Filed 05/23/23 Page 7 of 90


 
130395948.1简介Tricida, Inc.(“债务人”)根据《破产法》第1121条提出第五次修订的第11章计划(本“计划”)。债务人是《破产法》第1129条所指计划的提出者。本计划和披露声明中提到的补充协议和文件可在破产法院的案卷和债务人的案件信息网站上查阅:http://www.kccllc.net/Tricida。请参阅与《计划》同时提交的披露声明,以讨论债务人的历史、业务、历史财务信息和清算分析,以及对《计划》和某些相关事项的总结和分析,包括根据本《计划》进行的分配。鼓励所有索赔和利益持有人在投票接受或拒绝本计划之前阅读本计划和披露声明全文。第一条定义术语和解释规则A.定义下列术语在本计划中使用时,或其随后的任何修订或修改,具有下文所述的各自含义,并应同样适用于所定义术语的单数和复数。1.“应计专业赔偿索赔”是指自2023年1月11日至生效日期(包括生效日期)期间,保留专业人员和同意记名持有专业人员的所有应计费用和开支索赔,只要这些费用和开支尚未根据临时赔偿令、OCP令或破产法院的任何其他命令支付,且无论是否已就这些费用和开支提出费用申请。如果破产法院以最后命令拒绝或减少应计专业赔偿要求,则减少或拒绝减少此类费用或开支的数额应减少适用的应计专业赔偿要求。2.“行政债权”是指根据《破产法》第503(b)或507(a)(2)条有权享有优先权的债权,包括在申请日期或之后发生的实际和必要的费用和开支,以保护债务人的遗产和正在进行的清算业务。3.“行政索赔截止日期”是指提交所有行政索赔津贴和付款申请的截止日期,即生效日期后三十(30)天。4.“关联”是指《破产法》第101(2)条所定义的任何“关联”,就好像该实体是《破产法》规定的案件中的债务人一样。判例23-10024-JTD Doc 515-1提交05/23/23第8页,共90页


 
2 30395948.1 5.就任何债权而言,除计划另有规定外,“准许”是指:(a)以已提交的债权证明为证据的债权(或根据计划、《破产法》或根据最终命令未提交或不应要求提交债权证明的债权);(b)附表中列出的非或有的、非未清算且无争议的债权,(c)根据本计划或破产法院的最后命令而获准许的申索;但就上文(a)及(b)条所述的申索而言,只有在债务人、清盘受托人或任何其他利益方在本计划、《破产法》及《破产规则》所订定的适用期限内,并在就该申索而言并无对该申索的准许提出异议的情况下,该项申索才视为获准许,或破产法院,或该等反对已如此提出,而该索偿已获破产法院的最终命令准许。任何在附表中已经或以后被列为或有事项、未清算或有争议的债权,而在破产日期之前没有提交债权证明的债权,均被视为不被允许,并且应在债务人或清算受托人(视情况而定)不采取进一步行动的情况下予以删除,也无须向任何一方发出进一步通知,也无须向破产法院作出行动、批准或命令。尽管本条例另有相反规定,任何实体在不违反《破产法》第502(d)条的情况下提出的索偿要求,不得视为准许,除非及直至该实体向债务人或清算信托(视情况而定)支付其欠债务人的全部款项为止。“允许”和“允许”应具有相关含义。6.“适用保单”是指(i)D & O保单;以及(ii)任何实体或个人的任何其他保单,但在本条款(ii)的情况下,此类保单下的追偿不会导致针对债务人的有效的、非次级的代位权或分担索赔。7.“破产法”指的是美国法典第11章,U.S.C. § § 101 – 1532,不时修订。8.“破产法院”指的是美国特拉华州破产法院。9.“破产规则”是指美国最高法院根据《美国法典》第10章第28条第2075节颁布的《联邦破产程序规则》。“截止日期”是指(如适用的话)行政索赔截止日期,以及破产法院的命令所规定的任何其他日期,其中必须提交索赔证明,包括政府单位的一般截止日期和截止日期,每一日期都在命令(I)确定提交索赔证明的截止日期和(II)批准其通知的形式和方式[案卷第101号]中规定。尽管有上述规定,专业费用索赔应按照本条款第二.B条提交,否则不受律师资格日期的限制。11.“营业日”是指除周六、周日或“法定假日”(破产规则第9006(a)条对该术语的定义)以外的任何一天。案例23-10024-JTD Doc 515-1提交05/23/23第9页,共90页


 
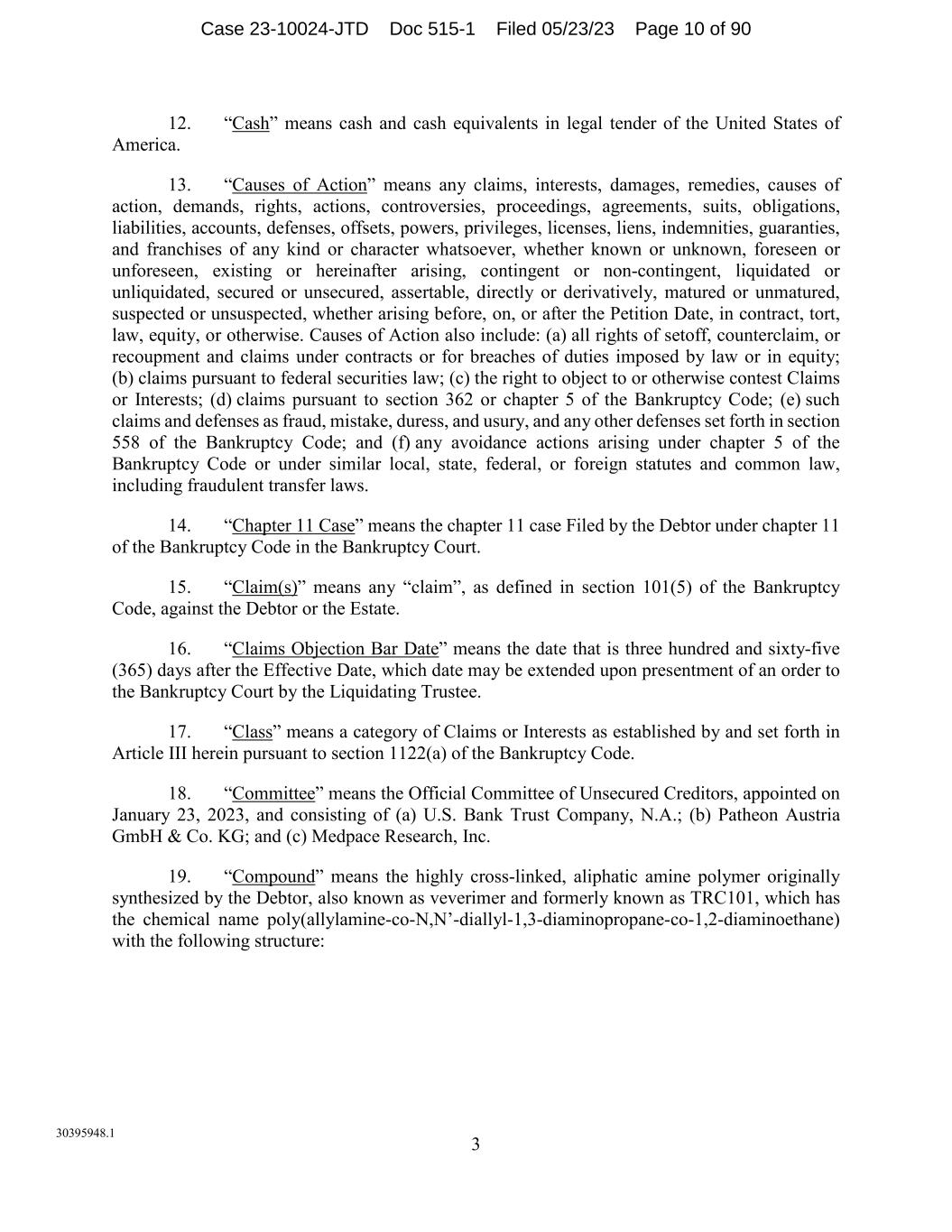
3 30395948.1 12.“现金”是指美国法定货币中的现金和现金等价物。13.“诉讼因由”是指任何索赔、利益、损害赔偿、补救措施、诉讼因由、要求、权利、诉讼、争议、诉讼、协议、诉讼、义务、责任、账目、抗辩、补偿、权力、特权、许可、留置权、赔偿、担保和任何种类或性质的特许经营权,无论已知或未知、预见或不可预见、现有或未来产生、或有或非或有、已清算或未清算、有担保或无担保、可主张、直接或衍生、已到期或未到期、可疑或未怀疑,无论是在请求日之前、当日或之后、合同、侵权、法律、股权或其他方面。诉讼理由还包括:(a)所有抵销权、反索偿权或补偿权,以及根据合同或因违反法律或股权规定的义务而提出的索偿要求;(b)根据联邦证券法提出的索偿要求;(c)对索偿要求或权益提出异议或以其他方式提出异议的权利;(d)根据《破产法》第362条或第5章提出的索偿要求;(e)欺诈、错误、胁迫和高利贷等索偿和抗辩,以及《破产法》第558条所述的任何其他抗辩;以及(f)根据《破产法》第5章或根据类似的地方、州、联邦或外国法规和普通法,包括欺诈性转让法律而产生的任何撤销诉讼。14.“第11章案件”是指债务人根据《破产法》第11章向破产法院提起的第11章案件。15.“债权”是指《破产法》第101(5)条定义的针对债务人或遗产的任何“债权”。16.“债权异议生效日期”是指生效日期后三百六十五(365)天的日期,该日期可在清算受托人向破产法院出示命令后延长。17.“类”是指根据《破产法》第1122(a)条在本文第三条中确立并规定的一类债权或权益。18.“委员会”是指无担保债权人官方委员会,于2023年1月23日任命,由(a)U.S. Bank Trust Company,N.A.;(b)Patheon Austria GmbH & Co. KG;(c)Medpace Research,Inc. 19组成。“化合物”是指最初由债务人合成的高度交联的脂肪胺聚合物,也被称为veverimer,原名TRC101,其化学名称为poly(烯丙胺-co-N,N '-二烯丙基-1,3-二氨基丙烷-co-1,2-二氨基乙烷),结构如下:案例23-10024-JTD文档515-1提交05/23/23第10页,共90页


 
430395948.1 a = N,N’-二烯丙基-1,3-二氨基丙烷二盐酸盐的残留物(单体和交联物);b =烯丙胺的残留物(单体);c = 1,2-二氯乙烷的残留物(两个胺之间的乙烯交联物);两个烯丙胺基团之间的乙烯连接是胺之间许多可能的连接之一的例子;m =一个较大的数字,表示一个扩展的聚合物网络。20.“确认”指的是破产法院发出的确认令。21.“确认日”是指《破产法》将确认令列入第11章案件案卷的日期。22.“确认聆讯”指破产法庭根据《破产法》第1128(a)条进行的聆讯,以考虑根据《破产法》第1129条确认计划,因为该聆讯可能会不时延期或继续。23.“确认令”是指破产法院根据《破产法》第1129条确认该计划的命令,其形式和内容均为多数同意票据持有人合理接受的。24.“同意票据持有人”是指合计持有已执行或以其他方式加入RSA的未偿可转换票据总额三分之二的可转换票据持有人。25.“同意票据持有人费用和开支”是指(a)同意票据持有人专业人员的合理和有文件记载的费用和开支;(b)应支付给契约受托人的所有费用和开支;(c)任何同意票据持有人因第11章案件而产生的任何其他合理和有文件记载的费用、开支和开支。判例23-10024-JTD Doc 515-1提交05/23/23第11页,共90页


 
5 30395948.1 26.“Professional Consenting Noteholder(s)”是指(a)Davis Polk & Wardwell LLP,作为Consenting Noteholders和Indenture Trustee的法律顾问;(b)FTI咨询公司,作为Consenting Noteholders和Indenture Trustee的财务顾问;(c)Greenberg Traurig LLP,作为Indenture Trustee的法律顾问。27.“同意票据持有人解除担保方”是指(a)同意票据持有人;(b)契约受托人;(c)在法律允许的最大限度内;(a)至(b)条中每个实体的现有和以前的附属机构;(d)在法律允许的最大限度内,在(a)至(c)条中每个实体的每个关联方。28.“或有付款”是指买方向债务人支付的里程碑付款,金额为:(a)一次性里程碑付款2,500,000美元,在FDA批准一项产品的新药申请后三十(30)天内支付;(b)一次性里程碑付款,在知识产权购买协议所列地区的产品净销售总额超过下述数值的一个日历季度结束后三十(30)天内支付,所有这些都在《知识产权购买协议》第2.3节中有更全面的描述。销售里程碑活动销售里程碑付款合计净销售额超过250,000,000美元6,250,000美元合计净销售额超过500,000,000美元12,500,000美元合计净销售额超过750,000,000美元18,750,000美元合计净销售额超过1,000,000,000美元25,000,000美元合计净销售额超过1,500,000,000美元37,500,000美元合计净销售额超过2,000,000,000美元50,000,000美元29。“或有付款持有信托”是指根据本协议第四条和《或有付款持有信托协议》于生效日期设立的、持有或有付款信托权益的信托。30.“或有付款持有信托协议”是指在计划补充文件中提交并自生效之日起执行的建立和管理“或有付款持有信托”的协议。31.“或有付款信托”是指在生效日期为持有或有付款信托资产而设立的设保人信托。32.“或有付款信托协议”是指在计划补充文件中提交并自生效之日起执行的建立或有付款信托的协议。判例23-10024-JTD Doc 515-1提交05/23/23第12页,共90页


 
6 30395948.1 33.“或有付款信托资产”是指债务人收取或有付款的权利。34.“或有付款受托人”指在确认日期之前,由多数同意票据持有人选定并由债务人(为免生疑问,该债务人可能与清算受托人和或有付款持有受托人是同一个人或实体)指定的个人或实体,并经破产法院根据确认令批准(a)成为或有付款信托的受托人;以及(b)采取本计划、确认令和或有付款信托协议及其任何后续协议可能授权的其他行动。35.“或有付款受托人”是指在确认日期之前,由多数同意票据持有人选定并由债务人(为免生疑问,该债务人可能与清算受托人和或有付款受托人是同一个人或实体)指定的个人或实体,并经破产法院根据确认令批准(a)为或有付款持有信托的受托人,而后者应根据本计划的条款(确认令)作为或有付款信托权益的唯一持有人,及或有付款持有信托协议;及(b)采取本计划、确认令及或有付款持有信托协议授权的其他行动,以及该协议的任何后续行动。36.“或有付款信托利息”是指或有付款信托中的利息,应由或有付款持有信托根据或有付款信托协议的条款持有。37.“可转换票据持有人”是指可转换票据的持有人。38.“可转换票据”是指由作为发行人的债务人和作为受托人的契约受托人根据截至2020年5月22日的契约发行的本金总额为2亿美元的2027年到期的3.50%可转换优先票据。39.“Cure”是指债务人承担或承担和转让的所有金额,包括0.00美元,以弥补任何执行合同或未到期租约(或双方在执行合同或未到期租约下可能商定的较低金额)下的任何金钱违约。40.“D & O保单”统称为债务人的董事和高级职员责任保险,以及任何其他适用的董事和高级职员责任保险,包括主险、超额险或尾险。41.“De Minimis Unsecured Claim(s)”是指允许的一般无担保债权,金额在7500美元或以下。42.“债务人”是指Tricida, Inc.,作为债务人和占有的债务人。43.“债务人释放”是指IXA条中规定的释放。判例23-10024-JTD Doc 515-1提交05/23/23第13页,共90页


 
7 30395948.1 44.“支付代理人”是指债务人、清算受托人或清算受托人选定的实体(如适用),根据计划进行分配或为分配提供便利。45.“披露声明”是指2023年3月21日《Tricida, Inc.第11章清算计划的第三次修订披露声明》(该声明可能会不时修订、补充或修改),包括根据《破产法》、《破产规则》和任何其他适用法律编制和分发的与本计划相关的所有证据和附表以及其中的引用。46.“争议”是指就任何债权或利息而言,任何债权或利息:(a)在附表中列为未清偿、有争议或或有条件的债权或利息,除非提交的债权证明的数额为已清偿且非或有数额,且没有人对该债权证明提出异议;(b)在债权证明中列入的债权证明已提出异议或估算请求,或债务人、清算受托人或其他利益相关方根据适用法律提出的债权或利息,保留根据《破产法》、《破产规则》、《计划》或《确认令》及时提出反对或估算请求的能力;或(c)债务人或清算受托人(如适用)根据适用法律提出的其他争议,且反对、估算请求或争议尚未被撤回或由《最终令》确定的。如申索是由因保留的诉讼因由而对债务人、产业或清算受托人负有或可能负有法律责任的持有人提出的,则该申索即为有争议的申索,除非及直至该保留的诉讼因由已获解决或撤回,或已由最后命令裁定为止。本计划允许的或最后命令允许的权利要求不应成为有争议的权利要求。47.“争议债权分配”是指争议债权的每一持有人在允许其一般无担保债权的情况下按比例享有的追偿权,计算方法如下:(a)生效日期现金数额乘以(b)根据允许的一般无担保债权、Patheon驳回债权和票据持有人债权的总额确定的争议债权的百分比。48.“争议债权准备金”是指清算信托为争议债权持有人设立和维持的准备金,其范围是此类债权随后被允许,并有权从清算信托获得分配。49.“争议债权准备金金额”是指争议债权准备金金额,由破产法院裁定。50.“分配记录日期”是指确定哪些债权持有人有资格根据计划获得分配的日期,哪个日期应是生效日期或破产法院最终命令指定的其他日期。51.“自由度选举”具有本文第IV.C.6(g)条所述的含义。52.DTC是指存款信托公司。判例23-10024-JTD Doc 515-1提交05/23/23第14页,共90页


 
8 30395948.1 53.“生效日期”是指确认令生效后的第一个营业日,在该营业日(a)确认令没有中止生效;(b)本文第VII.A条规定的生效日期发生的所有先决条件均已按照本计划得到满足或豁免;以及(c)债务人宣布本计划生效。在生效日期须采取的任何行动,可于生效日期当日或其后在合理切实可行的范围内尽快采取。54.“生效日期现金金额”是指债务人截至生效日期的手头现金总额,将在以下情况下确定:(a)支付允许的行政债权、允许的优先权税收债权、允许的其他有担保债权和允许的其他优先权债权;(b)按照本条款第III.B.6条规定的处理方式支付允许的最低无担保债权,并受制于60,0000美元的总追偿上限;(c)为专业费用储备金和逐渐减少的预算提供资金。55.“实体”指《破产法》第101(15)条所定义的任何“实体”。56.“设备购买协议”是指Tricida, Inc.作为卖方与流动性服务运营有限责任公司作为买方于2023年2月21日签署的资产购买协议。57.“破产财产”是指债务人在第11章案件开始时根据《破产法》第541条设立的破产财产。58.在每一种情况下,“被免责方”或“被免责方”是指(a)债务人;(b)在第11章案件期间债务人的董事和高级管理人员;(c)留用的专业人员。59.“执行合同”是指债务人作为一方当事人的合同,根据《破产法》第365条,该合同可能会被承担或拒绝。60.“FDA”指的是美国食品药品监督管理局。61.“归档”或“归档”是指在第11章案件中向破产法院或其授权指定人提交、归档或归档的文件,或者在索赔证明、通知和索赔代理的情况下。62.“终审命令”是指破产法院或其他有管辖权的法院就相关标的事项作出的命令或判决,该命令或判决尚未被推翻、中止、修改或修正,就该命令或判决提出上诉的时间,根据《联邦民事诉讼规则》第59(b)或59(e)条寻求复议,寻求重新审判、重新辩论或重新审理,并在适用的情况下,请求调阅的申请已过期,没有上诉,根据《联邦民事诉讼规则》第59(b)或59(e)条要求重新审议的动议,重新审判的动议,重新辩论、重新辩论或重新辩论或重新辩论的请求均已及时提出,或已提出的任何上诉或已提出的任何重新辩论的请求均已由对该命令或判决提出上诉的最高法院解决,或已向其寻求重新辩论的请求,或已根据《联邦民事诉讼规则》第59条(b)款或第59条(e)款提出的任何重新审议请求或重新辩论或重新辩论的请求均应被驳回,但不会导致对该命令的任何修改,或已以其他方式与案件23-10024-JTD Doc 515-1被驳回提交05/23/23第15页


 
930395948.1损害;但根据《联邦民事诉讼规则》第60条或《破产规则》第9024条或任何类似规则提出的动议可能不会导致该命令或判决不是最终命令。63.“一般无担保债权”是指除(n)项以外的任何债权:(a)行政债权;(b)专业费用债权;(c)优先权税务债权;(d)其他有担保债权;(e)其他优先权债权;(f)票据持有人债权;(g)Patheon驳回债权;(h)De Minimis无担保债权;或(i)第510(b)条债权。64.“政府单位”是指《破产法》第101(27)条所定义的“政府单位”。65.“GUC生效日期分配”是指允许的一般无担保债权的每个持有人按比例享有的追偿权,其计算方法如下:(a)生效日期现金金额乘以(b)允许的一般无担保债权的百分比,该百分比是根据截至生效日期的允许的一般无担保债权、票据持有人债权、Patheon驳回债权和争议债权准备金的总额确定的。66.“持有人”是指根据上下文的要求对债务人提出债权或对债务人享有权益的个人或实体,视情况而定。67.“受损”指的是《破产法》第1124条所指的“受损”。68.“契约”应具有计划附件 B中赋予它的含义。69.“契约受托人”是指美国银行信托公司、作为可转换票据受托人的全国协会,包括其任何继承人。70.“保险单”是指在任何时候向债务人签发或承保的所有保险单,以及与此相关的所有协议、文件或文书。71.“权益”是指债务人的股权担保(定义见《破产法》第101(16)条),包括所有股份、普通股、优先股或其他证明债务人的任何固定或或有所有权权益(无论是否可转让)的工具,以及获得债务人任何此类权益的任何期权、认股权证或其他权利(合同或其他权利),无论这些权益是完全归属的还是未来归属的,包括但不限于向债务人的现任或前任雇员、董事、高级职员或承包商发行、授予或承诺授予的股权或股权激励、赠款或其他工具,取得在紧接呈请日期前已存在于债务人的任何该等权益。72.“临时补偿令”是指于2023年2月6日生效的《建立临时补偿和偿还专业人员费用程序的命令》[案卷第152号]。判例23-10024-JTD Doc 515-1提交05/23/23第16页,共90页


 
10 30395948.1 73.“知识产权购买协议”是指Tricida, Inc.作为卖方与Renibus Therapeutics公司作为买方于2023年2月21日签署的资产购买协议。74.“IRS表格”是指IRS表格W-9,W-8BEN,任何可接受的替代品,或任何其他税务信息表格,付款代理可能要求索赔持有人根据计划进行分配。75.“法律”是指任何联邦、州、地方或外国法律(包括普通法)、法规、法典、法令、规则、条例、命令、裁决或判决,在每种情况下,由具有管辖权的政府机构(包括破产法院)有效地通过、颁布、发布或录入。76.“主要原告”具有本文第IX.E条所述的含义。77.“留置权”是指《破产法》第101(37)条所定义的“留置权”。78.“清算信托”是指根据本协议第四条和《清算信托协议》在生效日期成立的清算信托。79.“清算信托协议”是指在计划补充文件中提交并自生效之日起执行的建立和管理清算信托的协议。80.“清算信托资产”是指(a)债务人或遗产在(i)支付本条款第III.B条规定的允许的行政债权、允许的优先权税收债权、允许的其他有担保债权、允许的其他优先权债权和允许的最低限度无担保债权之后的剩余现金;(ii)为专业费用准备金和清盘预算提供充足资金;以及(iii)进行票据持有人生效日期分配,GUC生效日期分配,和Patheon生效日期分配;(b)保留的诉讼因由;(c)转让的诉讼因由;(d)根据清算信托协议具体转让给清算信托的任何其他资产。81.“清算信托受益人”是指票据持有人债权、Patheon拒绝债权或允许的一般无担保债权的所有持有人。82.“清算信托瀑布”是指本文第IV.C.3条规定的分配瀑布。83.“清算受托人”是指由多数同意票据持有人选定并由债务人指定并在计划补充文件中指明的受托人(为免生疑问,该受托人可能与或有付款受托人和或有付款持有受托人是同一个人或实体)担任清算信托的受托人并管理清算信托,并采取清算信托协议授权的其他行动,以及清算信托协议的任何继承人。84.“多数同意票据持有人”是指,在相关日期,所有同意票据持有人持有的可转换票据的总持有量中,持有多数面值的同意票据持有人。案件23-10024-JTD Doc 515-1提交05/23/23第17页,共90页


 
11 30395948.1 85.“未释放方”指根据本计划第IX.A条和第IX.B条不属于释放方的任何一方。86.“票据持有人债权”是指可转换票据持有人持有的债权。87.“票据持有人生效日期分配”是指票据持有人索赔的每个持有人按比例享有的追偿权,其计算方法如下:(a)生效日期现金金额乘以(b)票据持有人索赔的百分比,该百分比是根据截至生效日期允许的一般无担保索赔、票据持有人索赔、Patheon驳回索赔和争议索赔准备金的总额确定的。88.“通知和索偿代理人”是指Kurtzman Carson Consultants,LLC作为债务人的通知、索偿和索偿代理人。89.“OCP”指的是一名普通专业人士,其留用和补偿已获得破产法院的“OCP令”授权。90.“OCP令”是指于2023年2月6日生效的命令(I)授权债务人保留和补偿在正常业务过程中使用的专业人员和(II)给予相关救济[案卷第151号]。91.“选择退出索赔”具有本文第IX.E条所述的含义。92.“其他优先权要求”是指根据《破产法》第507(a)条有权享有优先受付权的除行政债权或优先税收债权以外的任何债权。93.“其他有担保债权”是指针对债务人的任何债权,根据《破产法》第506条,该债权(a)由有效的、完善的和可执行的留置权担保,该留置权不受适用的破产法或非破产法的撤销限制,在债务人对遗产财产的任何权利、所有权或权益上或其上,以持有人在该财产上的权益在相关确定日期的价值为限。“其他有担保债权”一词包括下列任何债权:(a)自申请之日起受适用法律规定的抵销权约束;(b)根据《破产法》第506(a)和553条对债务人作担保。94.“Pardi Litigation”具有本文第IX.E条所述的含义。95.“Patheon协议”是指(a)作为供应商的Patheon和作为买方的债务人之间于2019年10月4日签署的制造和商业供应协议,可能已不时修改、修改、重述或修订和重述;(b)由Tricida和Patheon之间于2018年5月8日签署的主开发/验证服务和临床/发射供应协议,可能已不时修改、修改、重述或修订和重述;以及(c)与(a)至(b)条有关的任何其他附属或补充协议。判例23-10024-JTD Doc 515-1提交05/23/23第18页,共90页


 
12 30395948.1 96.“Patheon生效日期分配”是指Patheon拒绝债权的每个持有人按比例享有的追偿权,其计算方法如下:(a)生效日期现金金额乘以(b)Patheon拒绝债权的百分比,该百分比是根据截至生效日期允许的一般无担保债权、票据持有人债权、Patheon拒绝债权和争议债权准备金总额确定的。97.“Patheon拒绝索赔”是指赛默飞世尔公司的子公司Patheon Austria GmbH & Co KG因终止或债务人拒绝Patheon协议而对债务人提出的允许索赔,根据Patheon和解协议中规定的条款,允许索赔85,000,000.00美元。98.“Patheon Settlement Agreement”是指根据《破产法》第105(a)条和破产规则第9019条,批准关于Patheon债权的和解协议,作为债务人请求下达命令的附件 A的附件 1提交的和解协议和债权的一般解除。99.“人”是指《破产法》第101(41)条所定义的“人”。100.“申请日期”指2023年1月11日,即债务人根据《破产法》第11章提出自愿救济申请的日期,从而启动第11章案件。101.“计划”是指根据《破产法》第11章规定的清算计划,无论是目前的形式,还是根据《破产法》、《破产规则》或本协议的条款(视情况而定)不时更改、修改、修改或补充的形式,以及以引用方式并入本文的《计划补充》,包括本协议及本协议的所有证据和附表。102.“计划补充”是指计划的补充附录,包括计划的文件和形式、协议、时间表和证据,其形式和内容应为多数同意票据持有人合理接受,债务人应在投票截止日期前七(7)天或破产法院在通知利益相关方后可能批准的更晚日期提交。除其他事项外,计划补充文件应包括:(a)清算受托人的身份和补偿;(b)清算信托协议;(c)在已知范围内,清算受托人将雇用或保留的任何内部人的身份,以及对该内部人的任何补偿的性质;(d)或有付款受托人的身份;(e)或有付款信托协议;(f)在已知范围内,或有付款受托人将雇用或保留的任何内部人员的身份;(g)或有付款持有受托人的身份;(h)或有付款持有信托协议;(i)在已知的范围内,或有付款持有受托人将雇用或保留的任何内部人员的身份;以及(j)实施计划所需或计划所设想的其他文件。判例23-10024-JTD Doc 515-1提交05/23/23第19页,共90页


 
13 30395948.1 103.“优先权税收债权”是指《破产法》第507(a)(8)条规定的政府单位的债权。104.“产品”是指(a)该化合物和(b)由该化合物组成或含有该化合物的任何产品或候选产品。105.“专业费用索偿”是指(a)由一名留任专业人士根据《破产法》第328、330、331或503(b)(2)条(视情况而定)要求破产法庭就在呈请日期后及在生效日期或之前提供的服务或补偿所招致的开支而提出的索偿要求;或(b)由监察委员会就在呈请日期后及在生效日期或之前根据监察委员会命令提供的服务或补偿所招致的开支而提出的索偿要求。106.“专业费用准备金”是指债务人在生效日期之前设立并提供资金的准备金,用于支付留用专业人员未支付的专业费用要求和同意的记账人费用和开支。107.“专业费用储备金额”是指本文第II.B.4条中规定的金额。108.“债权证明”是指在第11章案件中对债务人提出的债权证明。109.“提议的类别”具有本文第IX.E条中所述的含义。110.“购买协议”是指设备购买协议和知识产权购买协议的合称。111.“买方”统称为:(a)流动性服务运营有限责任公司,作为设备采购协议下的买方;(b)Renibus Therapeutics,Inc.,作为知识产权采购协议下的买方。112.“关联方”是指现任和前任董事、经理、高级管理人员、委员会成员、任何理事机构的成员、股东(无论这些权益是直接持有还是间接持有)、关联投资基金或投资工具、管理账户或基金、前任、参与者、继任者、受让人、子公司、关联公司、合伙人、有限合伙人、普通合伙人、委托人、成员、管理公司、基金顾问或经理、雇员、代理人、受托人、顾问委员会成员、财务顾问,律师(包括任何现任或前任董事或经理以实体董事或经理的身份聘用的任何其他律师或专业人员)、会计师、投资银行家、顾问、代表、其他专业人员和顾问以及任何此类人员或实体各自的继承人、遗嘱执行人、遗产和被提名人。113.“解除选择-退出”是指分配给有权投票接受或否决计划的权利要求的每一持有人的投票表中列出的项目,根据该项目,该持有人可以选择退出计划中列出的解除。判例23-10024-JTD Doc 515-1提交05/23/23第20页,共90页


 
14 30395948.1 114.“解除担保方”是指每一方,并在每一种情况下以其身份:(a)债务人;(b)同意的票据持有人解除担保方;(c)Patheon(根据批准Patheon和解协议的命令,并须根据确认令的要求,由某些解除担保方重新通知);(d)债务人的每一关联方、同意的票据持有人解除担保方或Patheon,包括为免生疑问而由债务人、同意的票据持有人或Patheon聘用的与第11章案件有关的任何专业人员。尽管有上述规定,“被解放方”的定义不应包括(i)仅以股东身份行事的任何现任或前任股东;或(ii)OrbiMed Advisors,LLC及其附属公司,包括OrbiMed Private Investment V,LP。115.“解除担保方”是指(a)同意的票据持有人解除担保方;(b)Patheon;(c)在表决截止日期之前未对本协议第九条所载的解除担保权提出异议的根据本协议被视为已接受本计划的所有债权持有人;(d)(i)投票接受或否决本计划且未及时提交解除选择权的所有债权持有人,(ii)不投票接受或否决该计划,或不及时提交解除选择退出,或不在投票截止日期前对本文第九条所载的解除提出反对;(e)(a)至(d)条中每个人或实体的每个现任和前任附属机构,仅限于该附属机构可以代表或通过(a)至(d)条中的一个实体以衍生身份或通过该实体主张索赔或诉讼理由;(f)(a)至(d)条中的每一实体的每一关联方,仅限于该关联方可以代表或通过(a)至(d)条中的某一实体以衍生身份提出索赔或诉讼理由。根据法院在确认聆讯中的裁决,第8类权益的任何持有人均不得因先前未能退回选择退出的解除协议而被视为解除协议的一方。将第8类权益持有人从这一定义中除名并不影响一方以任何其他身份根据计划、确认令和法院在确认聆讯中的裁决所给予的释放。116.“保留诉讼因由”是指《保留诉讼因由附表》所列债务人的诉讼因由,该附表作为附件 A附于本计划。117.“保留专业人员”是指根据《破产法》第327、328和/或1103条根据最终命令在第11章案件中受雇的个人或实体,并根据《破产法》第327、328、329、330或331条在生效日期之前提供的服务获得补偿。118.“RSA”是指债务人与同意票据持有人于2023年1月11日签署的《重组支持协议》(该协议可根据协议中的规定不时修订、补充或修改)。119.“出售”是指债务人与买方之间的交易,据此,债务人根据《破产法》第363和365条将其几乎全部资产出售给买方,正如《销售命令》和《购买协议》所规定的那样。判例23-10024-JTD Doc 515-1提交05/23/23第21页,共90页


 
15 30395948.1 120.“出售动议”是指债务人提出的以下请求:(一)命令(A)批准某些投标程序及其通知的形式和方式,(B)安排拍卖和听证会,批准出售债务人的全部或几乎全部资产,(C)建立某些假设和转让程序并批准其方式和通知,以及(D)给予相关救济;(二)命令(A)授权和批准债务人签订资产购买协议,(B)授权出售债务人的全部或几乎全部资产,不附带任何产权负担;(C)批准假定合同的承担和转让;(D)给予相关救济[案卷第11号]。121.“销售文件”是指采购协议和所有与之相关的协议、文件和文书的统称,包括销售订单。122.“出售令”是指破产法院根据《破产法》第363和365条并根据购买协议,授权将债务人的全部或几乎全部资产出售给买方的命令。123.“针对未被解押方转移至清算信托而保留的其他诉讼理由的附表”是指作为附件 B. 124附在本文件之后的附表。“保留诉讼理由附表”是指作为附件 A.125所附的附表。“附表”是指债务人根据《破产法》第521条、《破产规则》和正式的破产表格提交的资产和负债明细表、执行合同和未到期租约明细表、财务报表,这些报表可能会不时修改、修改或补充。126.“第510(b)条索赔”是指根据《破产法》第510(b)条或其他规定,由破产法院命令从属的任何索赔。127.“遣散费索赔”是指要求撤销和追回在2022年11月和12月支付给债务人被解雇雇员的某些遣散费的索赔,如保留诉讼因由附表所述。128.“法定费用”是指根据《美国法典》第28章第1930条规定应支付的所有费用,以及适用范围内《美国法典》第31章第3717条规定的法定利率。129.“条款清单”指的是RSA的条款清单。130.“转移诉讼因由”是指根据该计划未被解除或未被免除责任的所有诉讼因由(保留诉讼因由除外),包括但不限于被转移至清算信托的针对未被解除的当事人的其他保留诉讼因由附表所列的诉讼因由。131.“信托选举日期”指的是2024年9月1日。判例23-10024-JTD Doc 515-1提交05/23/23第22页,共90页


 
16 30395948.1 132.“受托人收取留置权”是指契约受托人根据契约、可转换票据或相关文件有权获得的任何留置权或其他支付优先权,用于支付契约受托人根据契约、可转换票据或相关文件产生或欠契约受托人的任何费用、垫款、费用、开支、支出以及赔偿、代位和分担的索赔,包括律师和代理人的费用、开支和支出,无论是在申请日期和生效日期之前还是之后。133.“U.S. Trustee”是指美国特拉华地区受托人办公室。134.“未到期的租约”是指债务人作为一方当事人的租约,根据《破产法》第365条,该租约可能会被承担或拒绝。135.就债权或债权类别而言,“未受损”指的是《破产法》第1123(a)(4)和1124条所指的“未受损”。136.“投票截止日期”是指必须收到所有接受或否决该计划的选票才能被计算在内的日期和时间。137.“清盘预算”是指在清盘第11章案件和管理清算信托、或有付款持有信托和或有付款信托时,所有合理活动和开支的预算。清盘预算应包括生效日期后保留专业人员的专业费用和开支、同意记账人费用和开支以及法定费用的细列项目估计数,并将由债务人在生效日期存入清算信托、或有付款持有信托和或有付款信托各自持有的账户的资金(由债务人和多数同意记账人商定的数额)提供资金。解释规则为本计划的目的,除本计划另有规定外,应适用下列解释规则:(1)不论从上下文来看是否适当,每一用语,不论是单数还是复数,均应包括单数和复数;(2)除非本计划另有规定,否则本计划中任何提及合同、文书、解除,(3)本计划内凡提述已提交或将提交的现有文件或展品,即指已提交或将提交的现有文件或展品,而该等文件或展品可能已被修订或可能被修订,根据《计划》或《确认令》修改或补充;(4)凡提及某一实体作为债权或权益的持有人,均包括该实体的继承人和受让人;(5)除非另有说明,否则《计划》中所有提及的“条款”和“展品”均指《计划》的条款和展品或对《计划》的展品;(6)“此处”、“此处”、"和“此处”指的是计划的整体,而不是计划的特定部分;(7)“包括”或“包括”不是限制性的;(8)条款和章节的标题和标题仅为方便参考而插入,并不旨在成为计划的一部分或影响对计划的解释;(9)除非另有说明,案例23-10024-JTD Doc 515-1提交05/23/23第23页,共90页


 
1730395948.1《计划》中提及的“D.I.”指的是第11章案件的案卷上的条目;(10)根据与《计划》订立或交付的任何合同、公司注册证书、细则或类似的组成文件、文书、释放或其他协议或文件的规定,《计划》下产生的权利和义务将受联邦法律(包括《破产法》和《破产规则》)管辖,并根据这些法律加以解释和执行,并在适用的范围内,特拉华州的法律;(11)《破产法》第102条中规定的构造规则将适用;(12)计划中所有提到货币数字的地方都是指美利坚合众国的货币,除非另有明确规定。在计算本计划所订明或容许的任何期间时,将适用破产规则第9006(a)条的条文。任何对生效日期的提述均指该生效日期,或在合理可行的情况下尽快如此,除非本文另有规定。D.控制文件如果《计划》与《披露说明》、《计划》与《补充计划》或《计划》与《区域服务协定》不一致,则《计划》的条款应在所有方面加以控制。如果计划与确认令不一致,确认令应予以控制。第二条。行政债权、优先税收债权和法定费用根据《破产法》第1123(a)(1)条,行政债权(包括专业费用债权)和优先税收债权没有被分类,因此被排除在本文第三条规定的债权和权益类别之外。除非允许的行政索赔持有人和债务人或清算受托人(视情况而定)另有约定,允许的行政索赔的每一持有人(专业费用索赔和法定费用索赔的持有人除外)将按照以下规定获得与允许的行政索赔数额相等的现金全额和最终清偿:(1)如果在生效日期或之前允许的行政索赔,在生效日期(或者,如果未到期,(2)如该等经准许的行政申索自生效日期起不获准许,则不迟于准许该等行政申索的命令成为最终命令的日期后三十(30)天,或在其后合理切实可行的范围内尽快;或(3)在破产法院的最终命令所载的时间及条款下。除专业费用索偿外,尽管有任何事先提交或索偿证明,要求行政索偿的津贴和付款的索偿证明必须提交,并按照案件23-10024-JTD Doc 515-1中规定的程序在不迟于行政索偿截止日期送达债务人或清算受托人(如适用)及其律师。提交05/23/23第24页,共90页


 
1830395948.1确认令和生效日期发生的通知。行政索偿津贴的举证责任仍由行政索偿持有人承担。对此种索赔证明的异议必须在生效日期后一百二十(120)天内提交并送达请求方。在发出通知和举行聆讯后,行政索偿的准许数额(如有的话)应由最后命令确定,并按照最后命令予以满足。除本条例第II.B条或第II.D条另有规定外,行政债权持有人如在行政债权生效日期前未提交和送达债权证明或申请支付行政费用以请求准许行政债权,应被永远禁止、禁止和禁止对债务人、遗产、清算信托、清算受托人或其资产和财产提出行政债权,除非法院另有命令,否则自生效日期起,任何行政债权应被视为不允许。专业费用索赔1。最后费用申请留用专业人员(OCP除外)就在生效日期之前提供的服务和报销费用提出的所有专业费用申请,必须在生效日期后四十五(45)天内提交。对专业费用申索的异议必须在专业费用申索提交后二十一(21)天内提交并送达。破产法院应在按照破产法院规定的程序发出通知和举行听证会后,确定保留专业人员(OCP除外)的此类专业费用索赔的允许金额,但此类程序与本协议的明示条款不一致的除外。除非债务人和留用专业人员另有约定,否则清算受托人应从专业人员费用储备金中以现金支付在生效日期后最终命令允许的专业人员费用索偿。2.OCP的行政索赔所有要求支付OCP的专业费用索赔的请求均应根据OCP令提出。如在该生效日期当日或之前,该等专业费用申索并未根据该等专业费用命令获准,则债务人或清盘受托人(如适用)须在该等专业费用申索根据该等专业费用命令获准后,在合理切实可行范围内尽快从专业费用储备金以现金形式向该等专业费用申索。3.除计划另有具体规定外,自生效日期起及之后,清算受托人或或有付款受托人(如适用)应在正常业务过程中,在不向破产法院发出任何进一步通知或采取行动、命令或批准的情况下,以现金支付在生效日期之后发生的与第11章案件有关的合理且有文件证明的法律、专业或其他费用和开支,但以清盘案件23-10024-JTD Doc 515-1提交05/23/23第25页,共90页


 
1930395948.1预算。自生效日期起,任何要求留用专业人员遵从《破产法》第327至331条或《破产管理法令》的规定,以寻求留用或补偿在该日期后提供的服务,均须终止,而清盘受托人或或或有付款受托人(如适用)可在正常业务过程中雇用任何留用专业人员并向其支付薪酬,而无须再向《破产法》发出通知或采取行动、命令或批准,但须符合清盘预算。4.专业人员费用储备金额除非债务人和留用专业人员或同意记账的专业人员(视情况而定)在生效日期之前另有约定,否则留用专业人员和同意记账的专业人员应在生效日期之前和生效日期之前估计其应计专业人员报酬要求,并须在生效日期前三(3)个营业日内,将该估计数送交债务人及其大律师;但该估计数不得视为承认该留用专业人员或持同意意见的专业人员的费用及开支。如果留用专业人员或同意记账的专业人员未提供估计数,债务人可估计该留用专业人员或同意记账的专业人员(视情况而定)的未开票费用和开支。截至生效日期,本协议项下的估计总额应包括“专业费用储备额”。5.专业费用储备金在生效日期当日或之前,债务人应以与专业费用储备金金额相等的现金为专业费用储备金提供资金。清盘受托人在生效日期后负责管理专业费用储备金,并获准开设新的银行帐户以实现此目的。专业人员费用储备金和其中供资的数额现在并将继续以信托形式单独为每一名留用专业人员或同意记账员专业人员(如适用)按每一名留用专业人员或同意记账员专业人员的基础保持。此类资金不应被视为债务人、其遗产或清算信托的财产;但清算信托在全额支付所有允许的专业费用索赔和所有同意的记账人费用和开支后,应对专业费用储备金中剩余的任何现金享有复归权益,而无需破产法院的任何进一步通知、诉讼或命令。除非债务人与保留专业人士或同意记账人专业人士(如适用)另有协议,否则清盘受托人须在破产法庭命令准许有关申索后,在合理切实可行范围内,尽快将欠保留专业人士或同意记账人专业人士(如适用)的款项以现金支付予该等保留专业人士或同意记账人专业人士(如适用)的专业费用储备金(i);或(ii)同意记账人费用及开支,在适用的同意记账人专业人士向清盘受托人提交发票后,在合理可行的范围内尽快。判例23-10024-JTD Doc 515-1提交05/23/23第26页,共90页


 
2030395948.1C.优先权税收债权在生效日期,或在合理可行的情况下尽快生效,除非允许优先权税收债权的持有人和债务人同意对该持有人给予较低的优惠待遇,以完全和最终清偿允许优先权税收债权,否则每一持有人将以现金全额支付,或以其他方式获得与《破产法》第1129(a)(9)条的规定一致的待遇。D.美国受托人法定费用在生效日期之前应支付给美国受托人的所有法定费用应由债务人在生效日期支付。在生效日期之后,任何和所有法定费用应在到期和应付时支付给美国受托人。债务人应使用UST表格11-MOR提交在生效日期之前到期的所有月度运营报告。在生效日期之后,清算受托人、持有或有付款的受托人、或有付款的受托人和生效日期之后的债务人应在到期时分别向破产法院提交UST表格11-PCR报告,直至债务人的案件最早结案、被驳回或根据《破产法》第7章转换为案件。债务人、清算受托人、或有付款受托人和或有付款受托人仍有义务向美国受托人支付法定费用,直至债务人的案件最早结案、被驳回或根据《破产法》第7章转为案件。美国受托人或任何其他政府单位都不需要就法定费用提出行政索赔请求。美国受托人不应被视为根据该计划提供任何释放。同意的票据持有人费用和开支同意的票据持有人费用和开支构成允许的行政索偿,优先于《破产法》第503(b)和507条规定的所有行政费用,但专业费用索偿除外,并应在生效日期之前以现金全额支付。同意记事人费用及开支不得由本计划免除、修改或以其他方式受影响。同意的票据持有人费用和开支不应受到追缴、抵销、不允许、减损、质疑、抗辩、攻击、拒绝、补偿、减少、抗辩、反索赔、抵销、从属地位、重新定性、撤销或根据《破产法》、根据适用的非破产法或其他任何性质的其他索赔、诉讼因由或其他质疑。第三条。债权和权益的分类和处理A.债权和权益的分类除本文第二条所述的债权外,根据《破产法》第1122和1123(a)(1)节,所有债权和权益均按下列类别分类。只有当索赔或利息符合某一类别的描述时,索赔或利息才被归类为某一类别,而在索赔或利息的任何部分符合该另一类别的描述时,索赔或利息才被归类为另一类别。索赔也被归入某一类别,以便根据案件23-10024-JTD Doc 515-1收取分配款。提交05/23/23第27页,共90页


 
2130395948.1计划仅限于此种索赔属于该类允许索赔,且在任何时候均未以其他方式得到支付、解除或满足的情况。对索赔的分类及根据该计划在债务人的权益为如下:集体债权或权益状况投票权1其他未受损害且无权投票的有担保债权(被视为接受)2其他未受损害且无权投票的优先权债权(被视为接受)3票据持有人债权受损且有权投票的4 Patheon拒绝债权受损且有权投票的5一般无担保债权受损且有权投票的6 De Minimis Unsecured债权受损且有权投票的7第510(b)节受损害且无权投票的债权(被视为拒绝)8受损害且无权投票的权益(被视为拒绝)B.债权和权益的处理1。第1类–其他有担保债权(a)分类:第1类包括针对债务人的所有其他有担保债权。(b)处理:自生效之日起,或在其后合理可行的范围内尽快处理,除非准许的其他有担保债权的持有人与债务人同意给予该持有人较不利的待遇,以完全和最终清偿准许的其他有担保债权,否则该债权的每一持有人将收到:(i)以现金全额付款;(ii)交付担保任何此种债权的担保物,并支付《破产法》第506(b)条规定的任何利息;(iii)恢复此种债权;或(iv)使此种债权不受损害的此种其他处理。(c)表决:第1类是未受损害的,而其他有担保债权的持有人根据《破产法》第1126(f)条被最终视为已接受该计划。因此,第1类其他有担保债权的持有人无权投票接受或否决该计划。判例23-10024-JTD Doc 515-1提交05/23/23第28页,共90页


 
22 30395948.1 2.第2类–其他优先权债权(a)分类:第2类包括针对债务人的所有其他优先权债权。(b)处理:自生效之日起,或在其后合理可行的范围内尽快,除非允许的其他优先权要求的持有人和债务人同意对该持有人给予较不利的待遇,以完全和最终清偿允许的其他优先权要求,否则每一持有人将收到:(一)以现金全额支付;或(二)使此种要求不受损害的其他处理。(c)表决:第2类未受损害,而其他优先债权的持有人根据《破产法》第1126(f)条被最终视为已接受该计划。因此,第2类其他优先债权的持有人无权投票接受或否决该计划。3.第3类–票据持有人债权(a)分类:第3类包括所有票据持有人对债务人的债权。(b)处理办法:在生效日期,记名持有人债权应被视为获准,总额为201,088,888.89美元,除非记名持有人债权的持有人和债务人同意给予该持有人较低的优惠待遇,以完全和最终清偿获准记名持有人债权,否则,每一持有人将:(i)在生效日期或其后在合理可行的范围内尽快以现金支付,其票据持有人生效日期分配;(ii)根据清算信托瀑布获得其按比例从清算信托收回的权利;(iii)获得其按比例从或有付款持有信托收回的权利。(c)投票:第3类受损,票据持有人债权持有人有权投票接受或否决该计划。4.第4类– Patheon拒绝请求(a)分类:第4类由Patheon拒绝请求组成。(b)处理:在生效日期,Patheon驳回索赔应被视为被允许的总额为85,000,000.00美元,除非Patheon驳回索赔的持有人和债务人同意对该持有人给予较不利的待遇,以完全和最终满足被允许的Patheon驳回索赔,否则每一持有人将:(i)在生效日期或在合理可行的情况下尽快以现金支付,其Patheon生效日期分配;(ii)根据清算信托瀑布获得其按比例从清算信托收回的权利;(iii)获得其按比例从或有付款持有信托收回的权利。(c)投票:第4类受损,Patheon拒绝索赔持有人有权投票接受或否决该计划。判例23-10024-JTD Doc 515-1提交05/23/23第29页,共90页


 
23 30395948.1 5.第5类–一般无担保债权(a)分类:第5类包括针对债务人的所有一般无担保债权。(b)处理:在生效日期,或在其后合理可行的范围内尽快处理,除非准许的一般无担保债权的持有人与债务人同意对该持有人给予较低的优惠待遇,以完全和最终清偿准许的一般无担保债权,其每一持有人将:(i)以现金支付其GUC生效日期分配;(ii)根据清算信托瀑布获得其按比例从清算信托收回的权利;(iii)获得其按比例从或有付款持有信托收回的权利。(c)投票:第5类受损,一般无担保债权持有人有权投票接受或否决该计划。6.第6类– De Minimis无担保债权(a)分类:第6类包括针对债务人的所有De Minimis无担保债权。(b)处理:自生效之日起,或在其后合理可行的范围内尽快,除非准许最低无担保债权的持有人和债务人同意对该持有人给予较低的优惠待遇,以完全和最终清偿准许最低无担保债权,其每一持有人将以现金形式获得其债权允许金额的百分之五十(50%)的补偿,但此种准许最低无担保债权的总补偿金额为60000美元。(c)投票:第6类受损,De Minimis无担保债权持有人有权投票接受或否决该计划。7.第7类–第510(b)节债权(a)分类:第7类包括所有第510(b)节对债务人的债权。(b)处理:自生效之日起,所有第510(b)条的索赔应予取消、释放和消灭,不再具有任何效力或效力,此种索赔的持有人不得因此种索赔而根据本计划获得任何分配。(c)投票:第7类受损,第510(b)条的债权人根据《破产法》第1126(g)条被认定为否决了该计划。因此,第7类第510(b)条索赔的持有人无权投票接受或否决该计划。8.第8类–权益(a)分类:第8类包括债务人的所有权益。判例23-10024-JTD Doc 515-1提交05/23/23第30页,共90页


 
2430395948.1(b)处理:自生效之日起,所有权益将被取消、释放和消灭,且不再具有任何效力或效力,此类权益的持有人不得因此类权益而收到本计划下的任何分配。(c)投票:第8类受损,而权益持有人根据《破产法》第1126(g)条被确凿地当作已拒绝该计划。因此,第8类权益申索的持有人无权投票接受或否决该计划。C.关于未受损害债权的特别规定除本计划另有规定外,本计划不影响债务人或清算受托人对任何债权的权利,包括对任何债权的所有法律和衡平法抗辩、抵销或补偿。D.消除空缺类别任何类别的债权或权益,如在确认聆讯日期并无破产法庭暂时准许的债权或权益的持有人,即视为从本计划中消除,以投票接受或否决本计划,并根据《破产法》第1129(a)(8)条决定该类别接受或拒绝本计划。E.投票类别;非投票类别的假定接受如果某一类别包含有资格投票的债权,而没有资格在该类别中投票的债权持有人投票接受或否决该计划,则该类别中的债权持有人应被视为已接受该计划。F.关于损害的争议如果对任何债权或任何类别的债权是否受到损害产生争议,破产法院应在通知和聆讯后,在确认聆讯时或之前对该争议作出裁定。G.债权的排序。所有允许的债权和权益的允许、分类和处理,以及计划下的相应分配和处理,应考虑并符合每一类债权和权益在与之相关的任何合同、法律和衡平法排序上的相对优先权和权利,无论是根据衡平法排序的一般原则、合同、《破产法》第510(b)条或其他条款产生的。根据《破产法》第510条,债务人或清算受托人(视情况而定)保留根据与此有关的任何合同、法律或衡平法排序,对任何允许的债权或允许的权益进行重新分类的权利。判例23-10024-JTD Doc 515-1提交05/23/23第31页,共90页


 
2530395948.1H.根据《破产法》第1129(b)条确认债务人特此请求根据《破产法》第1129(b)条确认根据《破产法》第1129(b)条对任何根据《破产法》第1126(g)条被视为否决该计划的类别的计划。债务人保留根据《破产法》第1129(b)条就投票否决计划的任何投票类别要求确认计划的权利。一.对债权的权利保留除本计划或破产法院的其他最终命令另有规定外,不影响债务人或清算受托人对任何债权的权利和抗辩,无论是合法的还是衡平法的,包括但不限于对所称抵销权或补偿权的法律和衡平法抗辩的所有权利。除适用的破产法或本计划另有明文规定外,申请后的利息将不会因任何申索而产生或须支付。K.保险即使本计划另有相反规定,如任何索偿须受保险单所涵盖的范围所规限,就该索偿而作出的付款,须先按照该保险单的条款,从该保险单的收益中支付,如有任何索偿的余额,则须按照适用于该等索偿的类别的计划的条文处理。第四条。计划实施方式A.计划分配的对价来源在符合计划中有关专业费用准备金和清盘预算的规定的情况下,债务人、清算受托人、或有付款受托人或或有付款持有受托人(如适用)应在计划生效日期用手头现金、所有其他清算信托资产、或有付款信托利息和所有或有付款信托资产为计划下的分配提供资金。根据《破产法》第1141(b)条和第1141(c)条,资产的归属在生效日期,(1)清算信托资产应归属于清算信托,不附带任何债权、留置权、产权负担、押记和其他权益,除非本计划另有明确规定;(2)或有付款信托资产应归属于或有付款信托,不附带任何债权、留置权、产权负担、押记,及其他权益,但本计划另有明文规定的除外;及(3)或有付款信托权益归属于个案23-10024-JTD Doc 515-1提交05/23/23第32页,共90页


 
2630395948.1持有信托的或有付款,除本计划另有明文规定外,不附带任何债权、留置权、产权负担、费用和其他权益。清算信托1。清算信托的成立于生效日期,清算信托将根据清算信托协议成立,该协议将作为计划补充文件的一部分提交破产法院。清算信托成立后,所有清算信托资产应视为转移至清算信托,无须债务人或债务人的任何经理、雇员、高级职员、董事、成员、合伙人、股东、代理人、顾问或代表采取任何进一步行动。2.清算信托资产的转移根据《破产法》第1141条,所有转移到清算信托的财产应免于所有债权、留置权、产权负担、押记和其他权益,除非本计划另有规定。在清算信托资产向清算信托的转移完成后,债务人将不再拥有清算信托资产或清算信托的权益,也不再拥有清算信托资产或清算信托的权益。就所有美国联邦所得税而言,并受下文第IV.C.6(g)条所述的自由度选举的约束,所有各方(包括但不限于债务人、清算受托人和清算信托受益人)应将清算信托资产按照本条款转移至清算信托视为转移至清算信托受益人,随后清算信托受益人将转移至清算信托,清算信托受益人将被视为设保人和所有者。3.清算信托瀑布清算信托资产应由清算信托按以下顺序分配:(a)争议债权分配,应在所有争议债权被允许或被拒绝后进行;(b)在争议债权分配之后,(i)票据持有人债权的每一持有人应收到对其按比例追偿权的校正,计算方法如下:(1)生效日期现金金额减去票据持有人生效日期分配总额减去GUC生效日期分配总额减去Patheon生效日期分配总额减去争议债权分配总额乘以(2)根据允许的一般无担保债权、票据持有人债权的总额确定的票据持有人债权的百分比,和Patheon驳回债权;(ii)从GUC生效日期分配中获得按比例追偿的获准一般无担保债权的每一持有人,应获得对其按比例追偿权利的更正,计算方法如下:(1)生效日期现金金额减去票据持有人生效日期分配总额减去GUC生效日期分配总额减去Patheon生效日期分配总额减去争议债权分配总额乘以(2)允许的一般无担保债权的百分比,该百分比是根据允许的一般无担保债权的总额确定的,案例23-10024-JTD Doc 515-1提交05/23/23第33页,共90页


 
2730395948.1记事人索赔和Patheon驳回索赔;以及(iii)Patheon驳回索赔的每一持有人应收到对其按比例追索权的核实,其计算方法如下:(1)生效日期现金金额减去票据持有人生效日期分配总额减去GUC生效日期分配总额减去Patheon生效日期分配总额减去争议债权分配总额乘以(2)Patheon拒绝债权的百分比,该百分比是根据允许的一般无担保债权、票据持有人债权和Patheon拒绝债权的总额确定的;(c)在适用的范围内,按票据持有人债权、Patheon拒绝债权的每个持有人的比例计算,和允许的一般无担保债权。4.清算信托协议自生效之日起,债务人应以与计划补充文件中规定的基本相同的形式签署清算信托协议。债务人对清算信托协议作出的任何非实质性修改,经多数同意票据持有人同意后,将予以批准。清算信托协议将包含允许修改或修改清算信托协议的条款,以执行计划的条款。5.清算信托的目的清算信托的设立目的是:(a)接收和持有清算信托资产;(b)管理、争议、反对、损害或以其他方式解决所有一般无担保债权;(c)按照清算信托瀑布向清算信托受益人进行分配;(d)为清算信托受益人的利益实现最大限度的追偿;以及(e)启动和执行保留诉讼因由和转移诉讼因由,并管理和管理其任何收益,目的不是按照Treas. Reg. § 301.7701-4(d)继续或从事某项贸易或业务。根据自由度选举的规定,清算信托在美国联邦所得税方面,以及在适用法律允许的范围内,在州和地方所得税方面,应被视为“设保人信托”,清算信托受益人被视为清算信托的设保人和所有者。在适用法律允许的范围内,所有各方,包括清算受托人和任何清算信托受益人,应为所有适用的报税目的,按照上述规定进行一致的报告。6.清算受托人(a)清算受托人的委任于该生效日期发生时,清算受托人亦须被视为获委任为根据本计划及清算信托协议成立的清算信托的受托人及管理人。根据计划、确认令和清算信托协议的条款和条件,清算受托人应被授权执行、交付、归档或记录此类文件、合同、文书、释放和其他协议,并采取必要或适当的行动,以执行计划的条款和条件并进一步证明这些条款和条件。清盘受托人须将及Case 23-10024-JTD Doc 515-1存档05/23/23第34页,共90页


 
2830395948.1履行计划和清算信托协议中规定的所有职责、责任、权利和义务(如适用)。(b)清盘受托人作为遗产的代表自生效日期起及之后,除下文第IV.D.2(b)条和第IV.D.3(b)条所列的目的外,清盘受托人应作为遗产的专属代表。根据清算信托协议指定的任何继任清算受托人应受本计划、确认令和清算信托协议的条款约束并遵守这些条款。(c)清盘受托人的责任及权限清盘受托人的责任及权限须按《清盘信托协议》的规定,并须包括下列权利及责任,这些权利及责任均属清盘受托人的专属权利及责任:(一)保存及清盘清盘信托资产;(二)管理及缴付税款,其中包括(1)提交报税表(在不属任何买方的义务范围内);及(2)在所有事宜上代表清盘信托的权益及帐目,包括但不限于,任何诉讼、诉讼、程序或审计;(iii)保留和支付与清算受托人履行其在本计划和清算信托协议下的职责有关的专业人员,而无需保留或费用申请;(iv)分发美国联邦所得税和其他适用税务目的所需的信息报表;(v)提交申请,要求破产法院记录终结第11章案件的最终法令;(vi)向保留的专业人员发放允许的专业费用索赔和向同意的票据持有人专业人员发放同意的票据持有人费用和开支,(vii)根据计划及清盘信托协议向清盘信托受益人作出分配;及(viii)根据本计划、清盘信托协议或破产法院的命令(包括但不限于确认令)或为执行本计划的条文而可能有需要及适当的其他责任而可能归属清盘受托人。(d)清盘受托人的权力清盘受托人的权力须按《清盘信托协议》的规定,并须包括以下权力:(i)根据本计划及《清盘信托协议》,投资清盘信托的资金,以及提取、分配、缴付清盘信托所欠的税款及其他义务的权力;(ii)有权聘用雇员及专业人士,以协助清盘受托人履行其职责,而无须事先获破产法院命令或批准;(iii)有权追讨、检控,解决、妥协和解决任何保留的诉讼因由或转移的诉讼因由,而无需通知破产法院或获得破产法院的批准;(iv)对债权提出异议的权力,包括但不限于通过适用的反对、动议或对抗程序寻求债权从属地位或重新定性的权力;(v)清算受托人根据本计划、清算信托协议或通过破产法院的命令(包括,不包括案件23-10024-JTD Doc 515-1提交05/23/23第35页,共90页)可能授予或承担的其他权力


 
2930395948.1限制,确认令),或为执行本计划的规定而可能需要和适当的。(e)清算受托人的补偿清算受托人应按《清算信托协议》的规定获得补偿。清算受托人应完全遵守本计划、确认令和清算信托协议中规定的条款、条件和权利。清盘受托人(及任何清盘受托人聘用的专业人士)无须提出收费申请以获得补偿。(f)专业人员的留用和支付清算受托人有权在未经法院批准的情况下保留律师、会计师和其他专业人员及代理人的服务,协助清算受托人履行其职责并向其提供建议,并根据清算信托协议补偿和偿还这些专业人员的费用。(g)自由度选择清算信托协议应要求清算受托人选择将受争议债权约束的那部分清算信托资产视为财政部条例第1.468B-9节中所述的有争议所有权基金(“自由度选择”),除非在信托选举日,所有清算信托资产已分配给清算信托受益人,或清算信托瀑布下可分配给每个清算信托受益人的清算信托资产的百分比已固定且可确定。7.清算信托的终止清算信托应于(a)将清算信托资产全部分配给清算信托受益人;及(b)清算信托成立五周年时(以较早者为准)解散,但在清算信托资产或将清算信托资产货币化所涉及的事实和情况所证明的情况下,经向破产法院提出申请,并经破产法院裁定,为解决清算信托资产或将其货币化以及将收益分配给清算信托受益人的目的,此种延期是必要或适当的,清算信托的期限可由清算受托人延长一段规定的期限。尽管有上述规定,除非破产法院另有命令,否则,如果对第11章案件作出最后裁定,或第11章案件根据《破产法》第7章被转换为案件或被驳回,清算信托应自动终止。8.与清盘信托有关的免责声明任何债权或权益的持有人或任何其他利益方均不会因根据计划及清盘个案23-10024-JTD Doc 515-1作出付款及分配而向清盘受托人、清盘信托或其顾问或专业人士提出或以其他方式提出任何债权或诉讼因由(就上述各项而言,仅限于履行其职责)


 
3030395948.1信托协议或履行与执行本计划或清算信托协议的规定有关的任何附带职能,但因重大过失或故意不当行为而产生的任何作为或不作为除外,如清算信托协议中更充分规定的那样。D.持有信托的或有付款和或有付款信托1。信托协议自生效之日起,债务人应签署(a)或有付款持有信托协议和(b)或有付款信托协议,每一项协议的形式与计划补充文件中规定的基本相同。出于税收目的,或有付款信托应被视为设保人信托,允许的第3、4和5类债权的持有人或或有付款持有信托应被视为自生效之日起或有付款信托权益的所有者/设保人,如下文第IV.E.1条所述,或有付款信托协议应作此规定。或有付款持有信托应被视为设保人信托或复杂信托,如下文第IV.E.1条所述,或有付款持有信托协议应作此规定。在适用法律允许的范围内,所有各方,包括或有付款信托受托人、或有付款持有信托受托人和任何清算信托受益人,均应为所有适用的报税目的,按照上述规定提交报告。债务人经多数同意票据持有人同意,对《或有付款持有信托协议》或《或有付款信托协议》作出的任何非实质性修改,将予以批准。《或有付款信托协议》和《或有付款信托协议》将载有规定,允许对这些协议进行必要的修订或修改,以执行《计划》的规定。2.或有付款持有受托人(a)或有付款持有受托人的任命在生效日期发生时,或有付款持有受托人应被视为根据计划和或有付款持有信托协议被任命为或有付款持有信托的管理人。应授权持有或有付款的受托人在遵守计划、确认令和或有付款持有信托协议的条款和条件的情况下,执行、交付、归档或记录此类文件、合同、文书、释放和其他协议,并采取必要或适当的行动,以执行和进一步证明计划的条款和条件。或有付款持有受托人应拥有并履行本计划和或有付款持有信托协议中规定的所有职责、责任、权利和义务(如适用)。(b)持有受托人作为遗产代表的或有付款自生效日期起及之后,持有或有付款的受托人应根据《破产法》第1123(b)(3)条作为遗产代表,仅为管理或有付款持有信托的目的,而该信托又应作为或有付款信托利息的唯一持有人,在根据第23-10024-JTD Doc 515-1号案件的决议解散之前


 
3130395948.1下文第IV.E条所述有争议的权利要求。根据或有付款持有信托协议指定的任何后续或有付款持有受托人应受本计划、确认令和或有付款持有信托协议条款的约束和遵守。(c)或有付款持有受托人的责任和权限或有付款持有受托人的责任和权限应在《或有付款持有信托协议》中规定,并应包括下列权利和责任,这些权利和责任是或有付款持有受托人的专属权利和责任:(一)保护和管理或有付款持有信托的资产;(二)管理和支付税款,其中包括(1)提交纳税申报表,(2)在所有事宜上,包括但不限于任何诉讼、诉讼、法律程序或审计,在任何税务当局面前代表或有付款持有信托的权益及帐目;(iii)在或有付款持有受托人履行其在本计划及或有付款持有信托协议下的职责时,保留并支付专业人员,而无须保留或收取费用;及(iv)或有付款持有受托人根据本计划、或有付款持有信托协议可能赋予或承担的其他责任或权力,或藉破产法庭的命令(包括但不限于确认令),或为执行本计划的条文而有需要及适当的。(d)或有付款持有受托人的权力或有付款持有受托人的权力应按《或有付款持有信托协议》的规定,并应包括以下内容:(i)根据本计划和《或有付款持有信托协议》,投资或有付款持有信托基金的资金,以及支付或有付款持有信托基金所欠税款和其他债务的权力;(ii)未经破产法院事先命令或批准,有权参与或补偿,雇员和专业人员协助或有付款持有受托人履行其职责;及(iii)或有付款持有受托人根据本计划、或有付款持有信托协议或破产法院命令(包括但不限于确认令)赋予或承担的其他权力,或为执行本计划的规定而可能需要和适当的其他权力。(e)对持有受托人的或有付款的补偿持有受托人的或有付款应按《或有付款持有信托协议》的规定予以补偿。或有付款持有受托人应完全遵守本计划、确认令和或有付款持有信托协议中规定的条款、条件和权利。持有或有付款的受托人(以及任何持有或有付款的受托人聘用的专业人员)无需提交费用申请以获得补偿。判例23-10024-JTD Doc 515-1提交05/23/23第38页,共90页


 
3230395948.1(f)专业人员的保留和支付持有或有付款的受托人应有权在未经法院批准的情况下保留律师、会计师和其他专业人员和代理人的服务,协助或有付款持有受托人履行其职责并向其提供建议,并根据《或有付款持有信托协议》补偿和偿还这些专业人员的费用。3.或有付款受托人(a)或有付款受托人的任命在生效日期发生时,或有付款受托人应被视为根据计划和或有付款信托协议被任命为或有付款信托的管理人。应授权或有付款受托人在遵守计划、确认令和或有付款信托协议的条款和条件的情况下,执行、交付、归档或记录此类文件、合同、文书、释放和其他协议,并采取必要或适当的行动,以执行计划的条款和条件并进一步证明这些条款和条件。应急支付受托人应拥有并履行本计划和应急支付信托协议中规定的所有职责、责任、权利和义务(如适用)。(b)或有付款受托人作为遗产的代表自生效日期起及之后,或有付款受托人应依据《破产法》第1123(b)(3)条,作为遗产的代表,仅为管理或有付款信托的目的。根据或有付款信托协议指定的任何后续或有付款受托人应受本计划、确认令和或有付款信托协议条款的约束和遵守。(c)或有付款受托人的责任和权限或有付款受托人的责任和权限应按照《或有付款信托协议》的规定,并应包括下列权利和责任,这是或有付款受托人的专属权利和责任:(一)保护和管理或有付款信托的资产;(二)管理和支付税款,包括,除其他事项外,(1)提交纳税申报表(以不是任何买方的义务为限)和(2)在所有事项(包括但不限于任何诉讼、诉讼、程序或审计)中代表或有付款信托的利息和账户;(iii)保留和支付,而不需要保留或费用申请,与或有付款受托人履行其在本计划及或有付款信托协议下的职责有关的专业人士;(iv)对买方强制执行销售文件的权力;及(v)或有付款受托人根据本计划、或有付款信托协议或破产法院的命令(包括但不限于确认令)或为执行本计划的规定而可能被赋予或承担的其他权力。判例23-10024-JTD Doc 515-1提交05/23/23第39页,共90页


 
33 30395948.1(d)或有付款受托人的权力或有付款受托人的权力应按《或有付款信托协议》的规定,并应包括以下内容:(i)根据本计划和《或有付款信托协议》,投资于或有付款信托基金的资金,并支付或有付款信托基金所欠税款和其他债务的权力;(ii)在没有事先破产法院命令或批准的情况下,聘请或补偿的权力,雇员及专业人员协助或有付款受托人履行其职责;及(iii)或有付款受托人根据本计划、或有付款信托协议或破产法院命令(包括但不限于确认令)赋予或承担的其他权力,或执行本计划的规定所必需及适当的其他权力。(e)或有付款受托人的补偿或有付款受托人应按《或有付款信托协议》的规定获得补偿。或有付款受托人应完全遵守本计划、确认令和或有付款信托协议中规定的条款、条件和权利。或有付款受托人(以及任何或有付款受托人聘用的专业人员)无需提交费用申请以获得补偿。(f)专业人员的保留和支付应急付款受托人有权在未经法院批准的情况下保留律师、会计师和其他专业人员和代理人的服务,协助应急付款受托人履行其职责并向其提供建议,并根据应急付款信托协议补偿和偿还这些专业人员的费用。4.与或有付款受托人和或有付款受托人有关的免责声明任何债权或利息持有人或任何其他利益方都不会因根据本计划、或有付款持有信托协议或或或有付款信托协议采取的行动或履行与执行本计划规定有关的任何附带职能而向或有付款持有受托人、或有付款受托人或其顾问或专业人员(就上述每一项而言,仅在履行其职责时)提出任何债权或诉讼理由,或有付款持有信托协议或或有付款信托协议,但因重大过失或故意不当行为导致的任何作为或不作为除外,如《或有付款持有信托协议》或《或有付款信托协议》(如适用)中更全面地规定。判例23-10024-JTD Doc 515-1提交05/23/23第40页,共90页


 
3430395948.1 E.信任机制1。信托的税务处理清算信托和或有付款持有信托的美国联邦所得税分类将根据以下(a)或(b)小节(如适用)确定。(a)在信托选举日期之前解决的有争议债权如果所有有争议债权在信托选举日期之前解决,清算信托和或有付款持有信托均拟被归类为财政部条例第301.7701-4(d)节所述的清算信托,在美国联邦所得税方面被视为“设保人信托”,清算信托协议和或有付款持有信托协议(如适用)应这样规定,或有付款信托计划被归类为财政部条例第301.7701-4(c)节所述的投资信托,也被视为美国联邦所得税目的的设保人信托,或有付款信托协议应作此规定。在生效日期,债务人将被视为已将清算信托资产和或有付款信托资产的不可分割权益分配给允许的第3类、第4类和第5类债权的持有人,而这些持有人将被视为已将清算信托资产和或有付款信托资产分别贡献给清算信托和或有付款持有信托,以换取清算信托和或有付款持有信托的实益权益。在适用法律允许的范围内,所有各方,包括清算受托人、或有付款信托受托人、或有付款持有信托受托人和任何清算信托受益人,在所有适用的报税目的上均应按照上述规定提交报告。(b)通过信托选举日期未解决的有争议债权如果所有有争议债权在信托选举日期前未得到解决,则(a)清算受托人将选择将受争议债权约束的清算信托资产的这一部分视为财务处条例第1.468B-9节所述的“有争议所有权基金”。清算受托人应就归属于争议所有权基金的任何收入提交所有所得税申报表,并应根据可分配给该争议所有权基金的收入、扣除、贷项或损失项目,缴纳归属于该争议所有权基金的美国联邦、州和地方所得税。对有争议的所有权基金或其资产征收的任何税款将从有争议的所有权基金的资产(包括清算信托可分配给有争议债权的任何资产)中支付,随后对此种债权的备抵或不备抵的任何分配将相应减少。如果任何有争议所有权基金中的任何现金不足以支付由争议所有权基金的资产产生的应纳税所得应缴税款的部分,则可出售争议所有权基金的资产(包括其他可分配的资产)以支付此类税款。清算信托资产的无争议部分将被视为设保人信托持有,视同分配给第3、4和5类允许债权持有人并由其分担,如上一段所述;(b)如果所有有争议债权都不是个案23-10024-JTD Doc 515-1提交05/23/23第41页,共90页


 
3530395948.1在信托选举日决定,持有或有付款的受托人不应提交被视为有争议所有权基金的选择,而应将其纳税申报表作为“复杂信托”提交,各方应据此报告;(c)或有付款信托应将其收入报告为财政部条例第301.7701-4(c)节中描述的投资信托,该投资信托在美国联邦所得税方面被视为设保人信托,并且或有付款持有信托是设保人。或有付款控股受托人应就归属于或有付款控股信托的任何收入提交所有所得税申报表,并应根据可分配给该信托的收入、扣除、信用或损失项目支付归属于该信托的美国联邦、州和地方所得税。在适用法律允许的范围内,所有各方,包括清算受托人、或有付款持有受托人、或有付款受托人和任何清算信托受益人,均应为所有适用的报税目的,按照上述规定提交报告。债务人将向清算受托人、或有付款受托人和或有付款持有受托人提供有关其在生效日期对保留诉讼因由、转移诉讼因由和或有付款的估值确定的信息,以便于清算信托、或有付款信托和或有付款持有信托进行一致的税务报告。任何估价应仅用于报税目的,不应要求债务人进行截至本计划提交之日尚未完成的单独分析。2.债权状况通知清算受托人应在所有争议债权得到解决后向破产法院提交通知,如果所有争议债权在信托选举日期或之前尚未得到解决,则应提交一般状况通知,以便这些债权的持有人对清算信托和或有付款持有信托的潜在税务处理有一定的了解。在所有争议债权得到解决后,(a)清算受托人应按照清算信托瀑布,将任何剩余资产按比例分配给清算信托受益人;(b)或有付款持有受托人应将或有付款持有信托的或有付款信托利息按比例分配给清算信托受益人,并在分配后解散。除本条第九条或根据《破产法》第1123(b)条与计划或出售有关的任何合同、文书、解除或协议另有规定外,所有保留的诉讼因由和转让的诉讼因由均予以保留,并于生效日期转移至清算信托。债务人根据与同意的票据持有人达成的全球和解保留了保留的诉讼理由和移交的诉讼理由,委员会将案件23-10024-JTD Doc 515-1提交05/23/23第42页,共90页


 
本计划内的3630395948.1。债务人认为,D & O政策涵盖了保留的诉讼理由。除遣散费索偿外,对保留诉讼因由的追讨应限于任何适用的保险单和适用的法律。除遣散费索偿外,(i)任何一方均无权在任何适用保险单下的可用保险之外或超出任何适用保险单下的可用保险的范围内,就保留的诉讼因由要求赔偿;(ii)除适用保险单下的适用保险人外,任何人或实体均不得对任何保留的针对被解除当事人的诉讼因由承担赔偿责任,但前提是,一方当事人可寻求就任何保留的诉讼因由对被解除当事人作出的任何和解或判决收取费用,其目的仅限于触发任何适用保险单的承保范围。G.公司行动1。在生效日期,(a)债务人应按照本计划安排将清算信托资产转移至清算信托,或有付款信托资产转移至或有付款信托,或有付款信托利息转移至或有付款持有信托;(b)清算信托应承担债务人在本计划下的所有义务,但(i)仅与或有付款信托资产有关的义务除外,(二)仅与或有付款信托利息有关的债务,应由或有付款受托人承担。2.债务人的解散;董事和高级职员的免职;雇员的终止于生效日期,在清算信托资产转移至清算信托、或有付款信托资产转移至或有付款信托、或有付款信托利息转移至或有付款持有信托时,债务人应为所有目的而解散,除非清算受托人确定解散可能对清算信托资产、或有付款信托资产或或有付款信托利息产生任何不利影响,或或有付款控股受托人确定,解散可能对或有付款控股信托产生任何不利影响;但债务人或根据本条第九条解除的任何一方均不应对因债务人不解散而可能产生的任何责任负责;但进一步规定,本计划不得解释为免除债务人或清算受托人(如适用)按照《破产法》和适用法律的要求向美国受托人支付法定费用的责任,直至债务人的案件被作出最终裁定,或案件被驳回或根据《破产法》第7章被转换为案件为止。清算受托人应向有关政府机构提交确认令副本,确认令应足以从特拉华州国务卿处获得解散证书。在不限制上述规定的情况下,自生效之日起,债务人将清算信托资产转移至清算信托,或有付款信托资产转移至或有付款信托,或有付款信托利息转移至案件23-10024-JTD Doc 515-1提交05/23/23第43页,共90页


 
3730395948.1或有付款持有信托,债务人在执行本计划方面不再负有其他义务或责任,债务人的董事和高级职员应被视为已辞职,债务人的雇员已被解雇。自生效日期起及之后,清盘受托人即获授权代表遗产行事,但除本计划及《清盘信托协议》(如适用)明文规定的职责外,清盘受托人并无其他职责。H.现有证券和协议的注销自生效之日起,除为证明根据本计划享有分配权的目的外,以及除本计划或确认令另有规定外,证明(1)任何债权持有人对债务人的任何债权或权利的所有协议和其他文件,包括证明此类债权的任何票据;或(2)债务人的任何权益,包括购买权益的任何期权或认股权证,应予注销,而无需破产法院采取进一步行动或批准,义齿受托人及其代理人应被免除义齿或可转换票据项下或与之相关的任何义务和责任。这些被取消的协议和文件的持有人或当事人不享有因这些协议和文件或取消这些协议和文件而产生或与之有关的任何权利,但根据本计划规定的确认前索偿的津贴和分配除外。尽管本第IVH条另有规定,契约仍应仅在以下方面有效:(1)强制执行契约受托人及其任何前任的权利、债权和利益;(2)允许根据计划收取和分配这些金额,以及随后根据计划和契约的条款分配这些金额;以及(3)保留受托人及其任何前任的任何权利,以对抗可分配给票据持有人债权持有人的任何金钱或财产,包括受托人收取留置权和优先权。根据本计划作出的所有因票据持有人的准许债权而作出的分配,均须向契约受托人作出或在契约受托人的指示下作出,以便根据契约条款,包括与交出和注销可转换票据有关的条款,进一步向准许票据持有人作出分配。不论向票据持有人债权的持有人作出的分配是由契约受托人作出的,还是由契约受托人以外的分配代理人作出的,收取留置权的受托人应以与通过契约受托人作出分配相同的方式附加于该等分配。在按照计划和契约向其交付的计划对价分配的前提下,契约受托人在计划生效日期后对票据持有人债权持有人不承担任何责任,包括不对债权提出异议或对其他债权人的待遇。一、计划交易在生效日期或其后合理可行的时间内,债务人、清算受托人、或有付款受托人及或有付款受托人可采取一切必要或适当的行动,以实施本计划所述、经其批准、预期或为实施本计划所必需的交易,包括但不限于:(1)执行和交付有关合并、转换、处分、转让的适当协议或其他文件,或包含符合本计划条款并符合适用法律要求的条款的解散;(2)执行案23-10024-JTD Doc 515-1提交05/23/23第44页,共90页


 
3830395948.1并按照与本计划相符的条件交付任何资产、财产、权利、责任、债务、义务或义务的转让、转让、承担或转手的任何适当文书;(3)根据适用法律向有关政府当局提交适当的文件;(4)债务人、清算受托人、或有付款受托人或或有付款受托人认为为实施本计划而必要或适当的任何和所有其他行动。J.生效文件和进一步的交易确认令生效后,债务人、清算受托人、或有付款受托人和或有付款受托人应被授权执行、交付、归档或记录此类合同、文书、解除、同意书、证书、决议、程序和其他协议或文件,并采取合理、必要或适当的行动和行动,以实施、实施、完成和/或进一步证明本计划的条款和条件以及本计划中描述或设想的任何交易。债务人、清算受托人、或有付款受托人、或有付款受托人(如适用)、根据本计划接受分配的所有债权持有人及所有其他利益方应不时准备、执行和交付任何协议或文件,并采取任何必要或可取的其他行动,以实现本计划的规定和意图。K.第1146条根据《破产法》第1146(a)条豁免某些税项及费用,根据该计划进行的任何财产转让,均无须缴付任何单据,以记录税项、印花税、转易费、无形资产或类似税项、按揭税、印花税法、不动产转让税、按揭税或其他类似税项或政府评估,而在确认令生效后,适当的州或地方政府官员或代理人应放弃征收任何此类税款或政府评估,并接受所有此类文书或其他规范或证明此类转移的文件进行归档和记录,而无需支付任何此类税款、记录费或政府评估。此种豁免具体适用于但不限于将清算信托资产转移至清算信托、将或有付款信托资产转移至或有付款信托以及将或有付款信托利息转移至或有付款持有信托。L.买卖令即使本计划另有相反规定,本计划并不影响、损害或取代买卖令或买卖文件,而每一项命令或买卖文件仍然完全有效,并在与本计划有任何不一致之处时予以规管。M.在生效日期(视情况而定)之前、当日或之后采取行动的权力,本计划明文规定的所有事项,如需债务人的股东、证券持有人、高级管理人员、董事或其他所有人批准,应视为在生效日期(视情况而定)之前、当日或之后发生,并应根据债务人所在国的适用法律在生效日期(视情况而定)之前、当日或之后生效,而无需进一步表决、同意、核准、授权或判例23-10024-JTD Doc 515-1提交05/23/23第45页,共90页


 
3930395948.1债务人的股东、证券持有人、高级管理人员、董事或其他所有人提起的其他诉讼或向破产法院发出的通知、命令或听讯。不收回信托资产任何清算信托资产将在该资产转让给适用信托之日或之后归还债务人,但将在该资产转让时归还给适用信托,由适用的受托人根据本计划和适用的信托协议管理。O.债权和争议的解决根据《破产法》第1123条和《破产规则》第9019条,本计划的规定将构成对债务人、同意的债权人和委员会提出的所有债权或争议的善意妥协和解决,这些债权或争议均由本计划解决。确认令的加入将构成破产法院自生效之日起批准所有此类索赔或争议的妥协或解决,以及破产法院裁定此类妥协或解决符合债务人及其遗产的最佳利益,并且是公平、公平和合理的。尽管《计划》中有任何其他规定,但和解是在已同意和解的各方(在已明确订立书面和解的任何其他方)之间批准的,根据《确认书》,通过满足第1129条的要求来处理索赔和利益。第五条.执行合同和未到期租赁的处理;以及保险政策A.一般处理在生效日期,除本合同另有规定外(不包括保险单),根据《破产法》第365条和第1123条的规定和要求,所有先前未承担、承担和转让的执行合同或未到期租赁,或根据破产法院的命令被拒绝的执行合同或未到期租赁,将被视为被拒绝,但在确认日期仍未生效的执行合同或未到期租赁除外。根据销售文件或本计划承担任何执行合同或未到期租约,并支付与之相关的任何补救金额,在满足《破产法》第365条的适用要求后,应导致在承担生效日期之前的任何时间,根据任何假定的执行合同或未到期租约产生的任何债权或违约,无论是金钱的还是非金钱的,包括违约或限制所有权权益组成控制权变更的条款或其他与破产有关的违约,全部、最终和完全解除和清偿。案件23-10024-JTD Doc 515-1提交05/23/23第46页,共90页


 
4030395948.1B.驳回损害赔偿索赔如果根据计划和确认令否决已执行合同或未到期租约导致索赔,则除非法院另有命令,否则该索赔将永远被禁止,并且不得对债务人、遗产、清算受托人、清算信托或其各自的任何资产和财产强制执行,除非在生效日期后三十(30)天内向通知和索赔代理人提交并送达清算受托人律师的索赔证明。上述规定仅适用于根据计划和确认令否决执行合同或未到期租约所引起的索赔;被否决的执行合同或未到期租约的一方所提出的任何其他索赔,应以适用的禁售日期提交的索赔证明为证据,或应被禁止且不可执行。根据计划和确认令,因拒绝执行合同或未到期租约而产生的债权应归类为一般无担保债权,如果允许,应按照本协议第III.B.5条处理。根据计划和确认令拒绝执行合同或未到期租约而产生的任何索赔,如未能在生效日期后三十(30)天内及时提交,将自动被驳回,永远被禁止主张,并且不得对债务人、遗产、清算受托人、清算信托或其各自的任何资产和财产(如适用)强制执行。权利保留将任何合同或租赁列入附表或任何计划补充文件,并不构成债务人承认该合同或租赁实际上是一项执行合同或未到期租赁,或债务人根据该合同或租赁承担任何责任。如果在承担或拒绝时,对于合同或租约是否已执行或尚未到期存在争议,债务人或清算受托人(视情况而定)可在解决此类争议的最终命令生效后三十(30)个日历日内,通过在第11章案件的案卷上提交有关选择的通知,选择改变该合同或租约在本计划下的处理方式。D.根据执行合同或未到期租约对债务人的既有义务根据本计划或其他方式拒绝任何执行合同或未到期租约,不构成终止根据此类执行合同或未到期租约对债务人或清算受托人(如适用)所欠的既有义务。特别是,尽管有任何与此相反的非破产法,债务人和清算受托人(视情况而定)明确保留并不放弃接受担保、赔偿或持续赡养义务的任何权利,或对方提供担保、赔偿或持续赡养义务的任何持续义务。E.保险保全计划、确认令或清算信托协议中的任何内容均不改变债务人(及其遗产)和债务人的保险人(以及第三方案例23-10024-JTD Doc 515-1提交05/23/23第47页,共90页


 
4130395948.1索赔管理人)根据《保险单》或修改根据《保险单》提供的保险范围或福利或其条款和条件,或削弱或损害《保险单》的可执行性。债务人和/或债务人遗产可能成为受益人的任何保险单所规定的债务人的所有权利及其遗产的权利,均应归属清算信托,以便清算信托受益人和该等保险单的所有受益人受益。债务人应被视为仅承担了D & O保单,除D & O保单之外的任何保单应被视为在生效日期终止。F.修改、修正、补充、重述或其他协议债务人在第11章案件期间对申请前执行合同和/或未到期租约所作的修改、修正、补充和重述,不应被视为改变了申请前合同或未到期租约的性质。第六条。A.分配记录日期除本条第六款另有规定外,自分配记录日期营业时间结束时起,债务人或其各自的代理人为每一类债权或权益保存的各种转移登记册应视为已关闭,任何债权或权益的记录持有人不得再有任何变动。付款代理人没有义务承认在分配记录日期或之后发生的债权或权益的任何所有权转移。在适用的范围内,付款代理人仅有权为本协议项下的所有目的确认和处理在分配记录日期营业结束时在转移分类账上注明的记录持有人。除本文另有规定外,付款代理人应在分配记录日期向允许债权的持有人进行分配,或在票据持有人债权的情况下,向(或在其指示下)义齿受托人进行分配,地址应为截至分配日期债务人记录上注明的每一位持有人的地址;但此种分配的方式应由债务人、清算受托人、或有付款持有受托人或或有付款受托人(如适用)酌情决定;但另有规定,准许申索的每名持有人的地址,须当作该持有人提交的任何申索证明所载的地址。清算受托人、持有或有付款的受托人或或有付款的受托人(如适用)应(1)根据清算信托协议、或有付款持有信托协议或或有付款信托协议(如适用),扣留、扣除或向相应的政府机构支付税法要求的任何分配款项;(2)遵守任何联邦、州、地方或外国税务机构规定的报告要求。清算受托人、持有或有付款的受托人或或有付款的受托人(如适用)案例23-10024-JTD Doc 515-1提交05/23/23第48页,共90页


 
4230395948.1可扣留应付任何清盘信托受益人的全部或适当部分分配款项,直至该清盘信托受益人提供必要资料,以符合任何政府当局的任何扣缴规定为止。为清算信托协议、或有付款持有信托协议、或有付款信托协议和计划的所有目的,任何预扣税款应被视为由适用的受益人分配和收取。如果受益人未能在计划生效日期一年后的当天或之前提供遵守任何政府当局任何扣缴要求所需的信息,则根据《清算信托协议》、《或有付款持有信托协议》或《或有付款信托协议》(视情况而定),该受益人的分配可被视为无人认领的财产。分配日期在生效日期后向准许债权持有人作出的分配,须当作已在生效日期作出,而就该等债权或与之有关的任何分配,不得产生利息或须支付利息。如根据本计划作出的任何付款或作为须在并非营业日的日期作出或履行,则该等付款或作为的履行可于下一个营业日当日或其后在合理切实可行范围内尽快完成,但须当作已于规定日期完成。除本文另有规定外,本计划下的所有分配均应由支付代理在生效日期当日或之后进行。付款代理人无须为履行其职责提供任何保证金或担保或其他担保。如付款代理人另有命令,则购买任何该等债券或保证人的一切费用和开支应由清算信托承担。付款代理人的权力付款代理人可(1)实施所有行动及执行执行执行本计划的规定所需的所有协议、文书及其他文件;(2)进行本计划所设想的所有分配;及(3)履行付款代理人根据本计划所需的其他职责。F.交出票据作为根据本计划收取任何分配款项的先决条件,任何持证票据或单据的持有人必须将其持有的该等票据或单据交还付款代理人或其指定人。任何该等票据或票据的持有人,如不能(1)交出该票据或票据;或(2)签立及交付一份令付款代理人合理满意的损失或弥偿誓章,并在有权获得该等分配的六个月内,提供一份令付款代理人合理满意的形式、实质及款额的保证,即视为丧失所有权利及申索,不得参与根据本协议作出的任何分配。案件23-10024-JTD Doc 515-1提交05/23/23第49页,共90页


 
4330395948.1 G. IRS表格就本计划而言,在适用范围内,而不是买方根据销售文件承担的义务,债务人、清算受托人、或有付款持有受托人和或有付款受托人(如适用)应遵守任何政府单位对其规定的所有预扣税款和报告要求,根据本计划进行的所有分配均应遵守此类预扣税款和报告要求。尽管本计划中有任何相反的规定,但应授权债务人、清算受托人、或有付款受托人和或有付款受托人(如适用)采取一切必要行动,以遵守此类代扣代缴和报告要求,包括清算根据本计划进行的分配的一部分,以产生足够的资金来支付适用的代扣代缴税款,在收到促进此类分配所需的信息之前代扣代缴分配,或建立他们认为合理和适当的任何其他机制。债务人、清算受托人、或有付款持有受托人和或有付款受托人(如适用)保留按照所有适用的工资扣押、赡养费、子女抚养费和其他配偶奖励、留置权和产权负担分配计划下的所有分配的权利。作为根据本计划获得任何分配的先决条件,每名有权根据本计划获得分配的获准申索的持有人必须向清盘受托人提供一份已签立的内部资料表格。持有人的准许申索,如未能在清盘受托人发出正式的IRS表格要求(以第一类邮件)后六十(60)天内,提供已签立的IRS表格或任何其他所需资料以完成分配,则须当作不获准许,并为计划下的分配而删除。H.在符合适用的破产规则的情况下,分配给允许债权持有人的所有分配应由付款代理人进行,付款代理人应将此种分配转交给适用的允许债权持有人或其指定人。如任何分配予准许债权(1)的持有人的款项因没有当前地址或其他原因而被退回为无法交付;或(2)在该分配款项寄出后九十(90)个历日内未获兑现或以其他方式由准许债权的持有人呈交以供收取,则清算受托人须获授权取消该分配款项支票,并向破产法院提交适用的不可交付分配或未兑现分配款项的持有人的姓名及最后为人所知的地址。如果在提交申请后三十(30)个日历日之后,准许债权的付款或分配仍然不能进行,则(1)该债权的持有人不再有权获得无法交付的分配或未兑现的分配,这些分配将归还清算信托;以及(2)该持有人的准许债权应被视为不允许,并为根据本计划进行进一步分配而被删除。一、付款方式由债务人、清算受托人、或有付款持有受托人或或有付款受托人(如适用)或其代表进行的任何分配案例23-10024-JTD Doc 515-1提交05/23/23第50页,共90页


 
4430395948.1根据本计划,应由债务人、清算受托人、或有付款受托人或或有付款受托人(如适用)在债务人、清算受托人、或有付款受托人或或有付款受托人(如适用)的账户上开出支票,或在情况合理的情况下由债务人、清算受托人、或有付款受托人或有付款受托人(如适用)选择电汇。J.外币兑换率自生效之日起,以美元以外的货币提出的任何索赔,应自动被视为使用申请日《华尔街日报》上公布的适用货币的兑换率换算为等值的美元。债务人和清算受托人根据《破产法》(包括《破产法》第553条)、适用的破产法和/或非破产法,无须经破产法院批准,并在向适用的债权持有人发出不少于十四(14)个历日的通知后,或在债权持有人可能同意的情况下,可以但不应被要求,抵销或补偿任何准许申索及根据本计划因该准许申索而须作出的分配(在因该准许申索而须作出分配前),债务人或其产业可能对该准许申索的持有人提出的任何性质的任何申索,但条件是,如未能作出上述抵销或补偿,亦不容许根据本协议提出的任何索偿,均不构成债务人或清盘受托人放弃或放弃债务人或其产业可能对该索偿的持有人提出的任何该等索偿。L.最低分配不得因任何允许的索赔要求支付少于100美元(100.00美元)的现金。这些未分配的金额可以根据计划和清算信托协议使用。如果可用于最终分配的现金少于分配这些资金的成本,清算受托人可以将这些资金捐赠给其选择的非关联慈善机构。M.本金和利息之间的分配如果根据本计划有权分配的任何允许的索赔包括本金和应计但未支付的申请前利息,这种分配应首先分配到索赔的本金(为美国联邦所得税目的而确定),然后分配到应计但未支付的申请前利息。除本计划另有规定外,根据本计划进行的任何分配或转让,包括向允许债权的任何持有人进行的分配,应不受任何留置权、债权、产权负担、费用和其他权益的影响,任何其他实体不得对根据本计划分配或转让的财产拥有任何权益,无论是合法的、受益的还是其他的。判例23-10024-JTD Doc 515-1提交05/23/23第51页,共90页


 
4530395948.1 O.第三方支付或应付的索赔1。第三方支付的债权如果债权持有人因债权而收到非通过债务人和/或清算受托人(视情况而定)支付或以其他方式清偿其债权的款项,则该债权应减去该等付款或清偿的金额,而无需向破产法院提出任何进一步通知或诉讼、命令或批准,且该债权是通过债务人和/或清算受托人(视情况而定)以外的方式全额支付或清偿的,则该项申索即属不容许,而任何超过一项全部的追索权的追索权,均须付予清盘受托人,而无须对该项申索提出异议,亦无须再向破产法庭发出通知或采取行动、作出命令或批准。如债权持有人因该债权而收到分配款项,并因该债权而从并非债务人和/或清算受托人(如适用)的一方收到付款或清偿,则该持有人须在收到该债权后十四(14)个营业日内,将该分配款项偿还或退还债务人或清算受托人(如适用),如果持有人从第三方和根据本计划就此种索赔而获得的赔偿总额超过了根据本计划进行的任何此种分配之日的此种索赔的数额。2.应由第三方支付的索赔不得因根据债务人的一份保险单应支付的允许索赔而根据该计划进行分配,直至此种允许索赔的持有人用尽与此种保险单有关的所有补救办法。如果债务人的一名或多名保险人同意全部或部分偿付一项索赔(如果并在有管辖权的法院裁定的范围内),则在这些保险人达成协议后,可立即删除此种索赔的适用部分,而不必对必须提出此种索赔提出异议,也无须向破产法院发出任何进一步通知或采取行动、命令或批准。3.除本计划另有规定外,保险单的适用范围应按照任何适用的保险单的规定分配给允许索赔的持有人。除本计划第九条规定的情况外,本计划中的任何内容均不构成或被视为对债务人或任何实体(包括清算信托)可能针对任何其他实体(包括任何保险单下的承保人)提出的任何诉讼理由的放弃,本计划中的任何内容也不构成或被视为此类承保人对此类承保人提出的任何抗辩,包括承保范围抗辩的放弃。P.与记名持有人债权有关的分配规定,尽管本条第六条的上述规定有任何相反的规定:判例23-10024-JTD Doc 515-1提交05/23/23第52页,共90页


 
46 30395948.1 1.分配记录日期票据持有人债权持有人应在生效日期当日或之后的实际可行时间内,按照第六条的规定和DTC的惯例程序(如适用的话)获得分配。2.一般而言,向记名债权人债权持有人作出的分配,在向(或在其指示下)义齿受托人作出时,应视为已完成,而该受托人应为记名债权人债权持有人的利益而持有或指挥此种分配。契约受托人可通过DTC的设施直接转让或指示转让这种分配(无论是通过记账式交换、免费交付或其他方式),并将有权在符合DTC惯例的范围内,为《计划》的所有目的与票据持有人债权进行确认和交易。契约受托人不得因计划下的任何分配而承担任何法律责任,但重大疏忽或故意失当行为除外。如果义齿受托人不能进行或同意债务人、清算受托人、或有付款持有受托人或或有付款受托人(如适用)进行此类分配,则债务人、清算受托人、或有付款持有受托人或有付款受托人(如适用)应在义齿受托人的合作下进行此类分配。对于不符合DTC资格的票据持有人债权的任何形式的分配,契约受托人不承担任何义务、义务或责任,债务人、清算受托人、或有付款受托人或或有付款受托人(如适用)应进行此类分配。为免生疑问,本段所提述的所有该等分配均须受受托人押记留置权规限。第七条。解决未清偿和有争议债权的程序A.在生效日期之后的债权备抵,清算受托人应拥有并保留债务人在紧接生效日期之前就任何债权或利息所拥有的任何和所有权利和抗辩。除本计划另有具体规定外,在生效日期后,清算受托人有权:(1)对债权或权益提出异议、撤回异议或就判决提起诉讼;(2)解决或妥协任何有争议的债权,而无需向破产法院发出任何进一步通知或采取行动、命令或批准;(3)管理和调整债权登记册,以反映任何此类和解或妥协,而无需向破产法院发出任何进一步通知或采取行动、命令或批准。判例23-10024-JTD Doc 515-1提交05/23/23第53页,共90页


 
4730395948.1C.债权的估计在生效日期之前或之后,债务人或清算受托人(如适用)可随时(但无须)要求破产法院根据《破产法》第502(c)条以任何理由估计任何有争议或未清算的债权,而不论任何一方先前是否反对该债权,或破产法院是否已就任何该等反对作出裁决,破产法院应保留对任何该等债权进行估计的管辖权,包括在对任何申索提出反对的诉讼期间,或在就该反对提出上诉期间。尽管本条例另有规定,除非破产法院另有命令,否则已从索赔登记册上删除或不允许的索赔,但可上诉或不是最后命令的主题的索赔,应视为估计为零美元(0.00美元)。如果破产法院对任何或有或未清偿债权作出估计,该估计数额应构成该债权在本计划下所有用途(包括分配用途)的最高限额,债务人或清算受托人(如适用)可选择进行任何补充程序,以反对对该债权的任何最终分配。D.无异议对债权的调整买方在出售过程中已支付、满足或承担的任何债权,或任何已被修改或取代的债权,可由债务人或清算受托人(视情况而定)在债权登记册上进行调整或删除,而无须对此种债权提出异议,必须在向破产法院提交有关调整或删除的案卷通知后提交。对债权提出异议的时间除本文另有规定外,对债权的任何异议均应在债权提出异议之日或之前提出(该日期可在清算受托人向破产法院出示命令时延长)。F.不容许逾期索偿,除非本条文另有规定,或债务人或清盘受托人(视情况而定)另有协议,否则任何在禁售日期后透过索偿证明提出的索偿的持有人,不得因该等索偿而获得任何分派,除非在聆讯确认书当日或之前,该等逾期索偿已被视为及时以最终命令提出。G.有争议的债权债务人已根据《破产法》第542、543、544、545、547、548、549或550条启动诉讼程序的个人或实体,或根据《破产法》第522(f)、522(h)、544、545、548、549或724(a)条可予撤销的转让的受让人所持有的所有债权,应根据《破产法》第502(d)条被视为有争议的债权,此类债权的持有人无权投票接受或否决本计划。根据本条被视为有争议的索赔VII.G应将案件23-10024-JTD Doc 515-1提交05/23/23第54页,共90页


 
4830395948.1就所有目的而言,争议继续存在,直至针对该债权持有人的有关法律程序以最后命令解决或解决,以及该持有人应付债务人或清算受托人的任何款项已付清为止。H.对债权的修订除非本条例另有规定,否则在生效日期当日或之后,未经破产法院或清算受托人事先授权,不得提出或修订债权,而任何新提出或修订的债权,均须视为完全不获批准,并在没有向破产法院发出任何进一步通知或采取行动、命令或批准的情况下予以删除。一、不分配待发津贴如果对某项索赔、索赔证明或其部分提出异议,则不得因该索赔、索赔证明或其部分而根据本计划提供付款或分配,除非并直至该有争议的索赔成为允许的索赔。J.备抵后的分配如果有争议的权利要求最终成为允许的权利要求,则应按照本计划的规定向允许的权利要求的持有人进行分配(如果有的话)。在破产法庭准许任何有争议申索的命令或判决成为最终命令的日期后,付款代理人须在切实可行范围内尽快向该申索的持有人提供该持有人自该生效日期起根据本计划有权获得的分配(如有的话),而无须就该申索支付任何利息、股息或应计费用。任何索赔从生效之日起至因该索赔而作出最后分配之日止的期间内,不得产生利息或支付利息。第八条。生效日期的先决条件A.先决条件本计划生效日期的发生须符合下列各项先决条件。1.破产法院应已批准披露声明,因为其中载有《破产法》第1125条所指的与计划有关的充分信息。2.确认令应已生效,并具有充分的效力。3.确认令或任何其他禁止本计划所设想的交易完成的命令,不得有任何修改或中止。判例23-10024-JTD Doc 515-1提交05/23/23第55页,共90页


 
49 30395948.1 4.专业人员费用储备金应已按照本计划的规定全额供资。5.自生效日期起所招致并已开票的所有同意记账员费用及开支,均须已付清。6.RSA不应被终止,应继续完全有效,债务人和同意的票据持有人应遵守RSA。7.执行计划所需的一切行动、文件和协议均应已生效、执行和/或提交交付。此类文件和协议生效的所有先决条件均应已根据其条款得到满足或放弃(或将在生效日期发生时基本同时得到满足和放弃)。8.清算受托人应已被指定并承担其在计划和清算信托协议(如适用)下的权利和责任。9.或有付款持有受托人应已被指定并承担其在计划和或有付款持有信托协议(如适用)下的权利和责任。10.应急支付受托人应已被指定并承担其根据本计划和应急支付信托协议(如适用)享有的权利和责任。11.债务人应已收到所有授权、同意、监管批准、裁决、信函、不采取行动的信函、意见或文件,以执行本计划以及法律、法规或命令所要求的在此设想的任何交易。除非本计划另有具体规定,否则债务人可在多数同意票据持有人同意的情况下,在不通知任何其他利益相关方或破产法院的情况下,在不进行听证的情况下,全部或部分放弃第VII.A条规定的条件。确认令空缺的影响如果确认令被撤销(1)本计划在所有方面都是无效的,包括在免除债权和允许债权的分配方面;(2)本计划所载的任何内容都不会(a)构成放弃或免除债务人提出的任何债权或针对债务人的任何权益,或(b)以任何方式损害当事人或任何其他利益方的权利,包括任何债权或抗辩。判例23-10024-JTD Doc 515-1提交05/23/23第56页,共90页


 
5030395948.1D.善意征集投票确认令一经发出,债务人将被视为善意且符合《破产法》的规定征集对该计划的投票。第九条。A.债务人根据《破产法》第1123(b)条的规定,以良好和有价值的代价,自生效之日起,每一被释放方被债务人及其遗产视为免除任何和所有已知或未知的债权和诉讼因由,包括债务人或其财产本身在法律上有权主张的任何债权和诉讼因由,包括可以衍生或代表债务人(或其财产)主张的任何债权或诉讼因由,该实体在法律上有权主张(单独或集体地)基于债务人或与债务人有关,或以任何方式产生于债务人的全部或部分(包括其管理、所有权或经营,或其他方面),债务人发行的任何证券及其所有权,债务人的庭内或庭外重组努力、任何撤销诉讼、第11章案件、条款清单、RSA、披露声明、出售动议、计划、计划补充或与出售、计划、计划补充、第11章案件、第11章案件、确认令的执行、出售令的执行、完成的执行、计划的管理和执行有关的任何其他交易、合同、文书、解除,或其他协议或文件,包括根据本计划或任何其他有关协议,或在生效日期当日或之前发生的任何其他有关作为或不作为、交易、协议、事件或其他发生或不作为时分配财产;但本条文的作用不应是免除或免除与任何行为或不作为有关的任何索赔或诉讼因由,而该作为或不作为是由有管辖权的法院在最终命令中裁定构成该人的实际故意欺诈、故意不当行为或重大过失的。尽管上述规定有任何相反的规定,上述解除并不解除(1)任何一方或实体根据本计划或为执行本计划而签立的任何文件、文书或协议(包括本计划补充文件所列的文件、文书或协议)所承担的任何生效日期后的义务;(2)根据售货令或就售货令所承担的任何义务;或(3)保留的诉讼因由,其追讨将限于任何适用的保险单和适用的法律的规定,但与遣散费索赔有关的追讨除外。被视为给予债务人豁免的每个人和实体,应被视为已给予此类豁免,即使该个人或实体以后可能会发现除该个人或实体现在知道或相信是真实的事实之外的事实或与之不同的事实,且不考虑随后发现或存在此类不同或额外的事实,且该个人或实体明确放弃该个人或实体根据任何成文法或普通法原则可能拥有的任何和所有权利,包括案例23-10024-JTD Doc 515-1归档05/23/23第90页第57页


 
5130395948.1不受限制,《加利福尼亚民法典》第1542条,在适用的范围内,这一条将把这种释放的影响限制于在生效日期实际已知或怀疑存在的索赔或诉讼理由。《加利福尼亚民法典》第1542条一般规定如下:“一般释放不适用于声称债权人或释放方在执行释放时不知道或怀疑以他或她的名义存在,并且如果他或她知道,将对他或她与债务人或释放方的和解产生重大影响。”自生效之日起,每一释放方被视为已解除每一释放方的任何和所有已知或未知的索偿要求和诉讼理由,包括债务人或其遗产在法律上本应有权主张的任何索偿要求和诉讼理由,包括可以派生或代表债务人(或其遗产)主张的任何索偿要求或诉讼理由,该实体在法律上本应有权主张(无论是单独或集体地),基于,与债务人发行的任何证券及其所有权、债务人的庭内或庭外重组努力、任何撤销诉讼、第11章案件、条款清单、RSA、披露声明、出售动议、计划、计划补充文件或与出售、计划补充文件有关的任何其他交易、合同、文书、解除或与出售、计划补充文件有关的其他协议或文件的拟订、编制、传播、谈判或备案有关,或以任何方式由债务人发行的任何证券及其所有权、债务人的庭内或庭外重组努力、任何撤销诉讼,第11章案件、第11章案件的提交、确认令的执行、出售令的执行、计划的完成、管理和实施,包括计划或任何其他相关协议下的财产分配,或在生效日期或之前发生的任何其他相关作为或不作为、交易、协议、事件或其他发生或不作为,但前提是,本条文的作用不应是放弃或解除与任何作为或不作为有关的任何索偿要求或诉讼因由,而该作为或不作为是由有管辖权的法院在一项最终命令中确定构成该人的实际故意欺诈、故意不当行为或重大过失的;但进一步规定,尽管披露声明和计划中有任何相反的规定,本条文不应适用于任何未受损害的索偿要求,直至该未受损害的索偿要求按照适用法律所确定的允许的索赔金额全额得到偿付,或按照此种债权的持有人与债务人或清算受托人之间商定的条件(视情况而定),在此期间,本条规定应在所有方面适用于所适用的未受损害债权。尽管上述规定有任何相反的规定,上述解除并不解除(1)任何一方或实体根据本计划或为执行本计划而签立的任何文件、文书或协议(包括本计划补充文件所列的文件、文书或协议)所承担的任何生效日期后的义务;(2)根据售货令或就售货令所承担的任何义务;或(3)保留的诉讼因由,其追讨将限于任何适用的保险单和适用的法律的规定,但与遣散费索赔有关的追讨除外。判例23-10024-JTD Doc 515-1提交05/23/23第58页,共90页


 
5230395948.1被视为准予释放本节所述的每一个人和实体,应被视为准予释放,即使该个人或实体以后可以发现除该个人或实体现在知道或认为是真实的事实之外的事实或与之不同的事实,且不考虑随后发现或存在此类不同或额外的事实,且该个人或实体明确放弃该个人或实体根据任何成文法或普通法原则可能拥有的任何和所有权利,包括但不限于,《加利福尼亚民法典》第1542条,在这一条适用的范围内,将把这种释放的影响限制于在生效日期实际已知或怀疑存在的那些要求或诉讼理由。《加利福尼亚民法典》第1542条一般规定如下:“一般释放不适用于声称债权人或释放方在执行释放时不知道或怀疑以他或她的名义存在,并且如果他或她知道,将对他或她与债务人或释放方的和解产生重大影响。”除本计划另有具体规定外,任何被免除责任的一方均不承担或承担任何责任,而每一被免除责任的一方均不承担因请诉日至本计划生效日期间发生的任何作为或不作为而引起的任何诉讼因由,这些行为或不作为与第11章案件、债务人的法院内重组努力的制定、准备、传播、谈判或备案、条款清单、RSA、披露声明、出售动议、计划、计划补充或任何重组交易、合同有关,与出售、计划、计划补充、第11章案件、第11章案件的提交、确认令的执行、出售令的执行、计划的完成、管理和实施有关的文书、解除或其他协议或文件,包括计划或任何其他相关协议下的财产分配,或在请愿日期和生效日期之间发生的任何其他相关作为或不作为、交易、协议、事件或其他作为、发生或不作为,但与任何作为或不作为有关的申索除外,而任何作为或不作为经有管辖权的法院在最后命令中裁定已构成该人的实际故意欺诈、故意不当行为或重大过失,但在各方面,这些实体均有权合理地依赖律师就其根据本计划所承担的职责和责任提出的书面意见。除本计划或确认令另有规定外,所有持有、持有或可能持有以下权利、权益、诉讼理由或责任的实体:(1)根据本计划的条款须作出妥协和解决;(2)已根据本计划予以解除;(3)已被购买人购买并解除与出售有关的权利;(4)根据本计划可被免除责任;或(5)根据本计划的条款以其他方式得到满足、中止、解除或终止,均被永久禁止和排除,自生效日期起或之后,以任何方式开始或继续进行任何诉讼或其他程序,包括因任何债权、权益、诉讼因由或责任而发生的案件23-10024-JTD Doc 515-1归档05/23/23第59页,共90页


 
5330395948.1因任何被解除、被解除、被解除、被解除或被解除责任的债权、权益、诉讼因由或责任(包括自生效日期起及之后被永久禁止或禁止对债务人、清算信托、被解除责任的各方)采取下列任何行动(如适用)而被解除或被解除责任的债务人或任何实体(或任何实体的财产或财产,直接或间接地被解除或被解除责任的实体)被解除或被解除,(1)因任何该等申索或权益或与该等申索或权益有关而以任何方式启动或继续进行任何种类的诉讼或其他程序;(2)因任何该等申索或权益或与该等申索或权益有关或与该等申索或权益有关而以任何方式或手段强制执行、附加、收集或追讨针对该等实体的任何判决、裁决、判令或命令;(3)设立、完善,(4)就该等实体或该等实体因该等债权或权益而应承担的任何义务,或就该等债权或权益而应承担的任何义务,或就该等实体因该等债权或权益而应承担的任何义务,或就该等债权或权益而应承担的任何义务,或就该等实体因该等债权或权益而应承担的任何义务,或就该等实体因该等债权或权益而应承担的任何义务,或就该等实体因该等债权或权益而应承担的任何义务,或就该等义务或就该等债权或权益而应承担的任何种类的抵销权或代位权,除非该实体已在向破产法院提交的文件中及时主张该等抵销权,而该文件中明示保留该等抵(5)以任何方式启动或继续任何诉讼或其他任何种类的诉讼或其他程序,理由是或与根据本计划解除或解决的任何此种诉讼或权益有关,或与之相关。破产法院发出确认令后,所有债权和权益持有人及其他利益相关方,连同其各自的现任或前任雇员、代理人、高级职员、董事或委托人,应被禁止采取任何行动干预债务人、清算受托人及其各自的关联公司、雇员、顾问、高级职员和董事或代理人实施或完成本计划。尽管本计划、招标材料(包括但不限于披露声明、无投票权状态通知和解除选择)、计划补充文件或确认令中有任何相反的规定,Jeffrey M. Fiore(“主要原告”),法院指定的证券集体诉讼的主要原告,案件标题为Michael Pardi诉Tricida公司和Gerrit Klaerner,案件编号4:21-cv-00076-HSG(“Pardi诉讼”),正在美国加利福尼亚州北区地区法院奥克兰庭审理中,与Pardi诉讼(“拟议类别”)中主要原告所代表的(包括可能被重新定义或认证的)推定类别的每个成员一起,就Pardi诉讼中针对任何非债务方主张或将主张的索赔(“选择-退出索赔”)而言,应被视为已选择退出第IX.B条所载的第三方免责声明,并且不应被要求在投票截止日期/选择-退出截止日期之前执行、填写或交付“选择-退出”表格。确认令应(a)载有本款的规定和(b)规定主要原告和拟议类别不是选择退出索赔的解除当事方。判例23-10024-JTD Doc 515-1提交05/23/23第60页


 
5430395948.1 F.不解除债务由于债务人正在清算,根据《破产法》第1141条,债务人无权要求对任何债权或权益持有人解除债务。G.除本协议或根据本计划订立的任何合同、文书、解除或其他协议或文件另有规定外,在生效之日并与根据本计划作出的适用分配同时,所有抵押、信托契据、留置权、质押或针对遗产任何财产的其他担保权益均应全部解除和解除,此类抵押、信托契据、留置权、质押或其他担保权益的任何持有人的所有权利、所有权和权益应归还债务人及其继承人和受让人。其他有担保债权的任何持有人或该持有人的任何代理人,如在生效日期当日或之后,在切实可行范围内尽快公开提交或记录任何留置权和/或担保权益,以担保该持有人的其他有担保债权,则该持有人(或该持有人的代理人)应采取清算受托人要求的一切必要或可取的步骤,以记录或实现该等留置权和/或担保权益的取消和/或消灭,包括制作任何适用的文件或记录,而清盘受托人有权代表该持有人作出任何该等存档或录音。第十条保留管辖权尽管确认令已经生效,但根据《破产法》第105(a)条和第1142条,破产法院仍应保留对第11章案件、出售、出售文件、确认令和计划引起或与之相关的所有事项的管辖权,包括对以下每一项的管辖权:1。允许、不允许、确定、清算、分类、估计或确定任何债权或利息的优先权、有担保或无担保地位或数额,包括解决任何要求支付任何行政债权的请求,以及解决对债权或利息的有担保或无担保地位、优先权、数额或允许的任何和所有异议。2.解决与索赔有关的任何案件、争议、诉讼或争议,包括索赔异议、津贴、不允许、排序居次、估计和分配。3.决定和解决与批准和拒绝全部或部分根据《破产法》或《计划》授权向留用专业人员申请补偿津贴或报销费用有关的所有事项。4.解决与下列事项有关的任何事项:(a)承担或承担和转让债务人作为当事方或债务人可能对其负有责任的任何已执行合同或未到期租赁,并听取、确定并在必要时清算任何补救措施案例23-10024-JTD Doc 515-1提交05/23/23第61页,共90页


 
5530395948.1由此产生的金额;和/或(b)关于合同或租约是否已执行或已到期的任何争议。5.裁定、决定或解决任何动议、对抗程序、有争议事项或诉讼事项及任何其他事项,并批准或拒绝在生效日期可能待决的涉及债务人的任何申请。6.裁定、决定或解决与《破产法》第1141条有关的任何和所有事项。7.裁定、决定或解决任何动议、对抗程序、有争议或诉讼事项,以及与保留的诉讼因由或移交的诉讼因由有关的任何其他事项。8.输入和执行必要或适当的命令,以执行、执行或完善计划的规定以及与计划或披露声明有关的所有合同、文书、发布和其他协议或文件。9.解决在解释或执行《计划》或任何实体因《计划》而承担的义务方面可能出现的任何案件、争议、诉讼、争端或诉讼理由。10.发布禁令,下达和执行其他命令,或采取必要或适当的其他行动,以限制任何实体干预计划的执行。11.解决与释放、禁令和《计划》所载其他规定有关的任何案件、争议、诉讼、争端或诉讼理由,并输入必要或适当的命令,以执行这些释放、禁令和其他规定。12.输入和执行必要或适当的命令,如果确认令因任何原因被修改、中止、撤销、撤销或撤销。13.决定与销售文件、披露声明、计划及确认令有关或与之有关的任何其他事宜。14.确保按照《计划》的规定完成对允许索赔人的分配。15.解决任何案件、争议、诉讼、争端或诉讼因由,涉及偿还或返还分配款项以及追回任何持有人因未及时偿还的款项而欠下的额外款项。16.裁定因计划下的分配而产生或与之有关的任何及所有争议。17.考虑计划的任何修改,以纠正任何缺陷或遗漏,或调和任何破产法院命令,包括确认令中的任何不一致之处。判例23-10024-JTD Doc 515-1提交05/23/23第62页,共90页


 
56 30395948.1 18.听取和裁定与计划或确认令的解释、执行或执行有关的争议。19.根据《破产法》第346、505和1146条,听取并决定有关州、地方和联邦税收的事项。20.追回债务人的所有资产和债务人财产的财产,无论在何处。21.审议延长清算信托期限的请求,如本文所述。22.聆讯及裁定清盘受托人可提出的任何诉讼因由。23.根据《破产法》或任何适用的州或联邦法规或法律理论,审理和裁定债务人、清算受托人、或有付款持有受托人或或有付款受托人持有或应计的任何其他权利、要求或诉讼理由。24.输入命令或最终命令,以结束或结束第11章案件。25.执行破产法院先前作出的所有命令。26.听取法院有管辖权的任何其他事项。XI。计划的修改、撤销或撤回A.计划的修改在计划所载的限制下,债务人保留根据《破产法》和《破产规则》(1)在确认令生效前修改或修改计划的权利,包括为满足《破产法》第1129条的要求而进行的修改或修改;(2)确认令生效后,债务人可根据破产法院的命令,根据《破产法》第1127(b)条修改或修改计划,或以执行本计划的目的和意图所需的方式补救本计划中的任何缺陷或遗漏,或调和本计划中的任何不一致之处。如果出售未在生效日期之前完成,应多数同意票据持有人的请求,债务人和多数同意票据持有人应作出商业上合理的努力,修改计划,以按照债务人和多数同意票据持有人确定的节税方式实施和安排计划。判例23-10024-JTD Doc 515-1提交05/23/23第63页,共90页


 
5730395948.1B.其他修改债务人可在生效日期之前对本计划或本计划补充文件进行适当的非实质性技术性调整和修改,而无需破产法院的进一步命令或批准。确认令对修改的影响确认令的生效,是指自征求对计划的修改或修改根据《破产法》第1127(a)条获得批准,不需要根据《破产规则》第3019条进行额外披露或重新征求。D.计划的撤销;条件不发生对生效日期的影响在符合生效日期的条件的情况下,债务人保留在确认令生效前撤销或撤回计划的权利,并有权提交随后的重组或清算计划。如果债务人撤销或撤回本计划,或者确认令或生效日期没有出现,则(1)本计划在所有方面均为无效;(2)本计划所包含的任何和解或妥协、承担或拒绝本计划所产生的执行合同或未到期的租约,以及根据本计划执行的任何文件或协议均应视为无效;(3)本计划、确认令或披露声明中的任何内容均不应(a)构成对任何债权、权益的放弃或解除,(b)以任何方式损害债务人或任何其他实体的权利,或(c)构成债务人或任何其他实体的承认、承认、要约或任何种类的承诺。第十二条。A.确认聆讯后至生效日期的债务人运作在确认聆讯后至生效日期的期间内,债务人应继续作为占有债务人运作,但须受《破产法》、《破产规则》和当时完全有效的破产法院所有命令所规定的破产法院的监督。虽有破产规则第3020(e)条或第7062条或其他规定,但在生效日期发生时,本计划的条款及本计划补充文件所载的文件及文书须立即生效及可强制执行,并被视为对债务人、清盘受托人、所有对债务人提出索偿及在债务人中拥有权益的人具有约束力(不论该等持有人是否曾投票接受或否决本计划,亦不论该等持有人是否有权根据本计划获得任何分配),参与或受《计划》所述和解、妥协、解除和强制令约束的所有实体、根据《计划》获取财产的每个实体、执行合同和未到期租约的任何和所有非债务人当事方,以及所有利益方。判例23-10024-JTD Doc 515-1提交05/23/23第64页,共90页


 
5830395948.1C.附加文件在生效日期当日或之前,债务人可向破产法院提交必要或适当的协议和其他文件,以执行计划的条款和条件,并提供进一步的证据。债务人、清算受托人、持有或有付款的受托人或或有付款的受托人(如适用)、根据本计划接受分配的所有债权或权益持有人以及所有其他利益方应不时准备、执行、交付任何协议或文件,并采取任何其他合理必要或可取的行动,以实现本计划或确认令的规定和意图。D.实质性完成在生效日期,本计划应被视为根据《破产法》第1127(b)条实质性完成(在《破产法》第1101条所述的含义内)。保留权利除非破产法院下达确认令,否则本计划不具有任何效力或效力。本计划的提交、本计划所载的任何声明或规定,或债务人就本计划、披露声明或本计划补充书采取的任何行动,均不应或不应被视为承认或放弃债务人在生效日期之前对债权或权益持有人的任何权利。F.继承人和受让人计划中指定或提及的任何实体的权利、利益和义务应对每个实体的任何继承人、遗嘱执行人、管理人、继承人或受让人、受益人或监护人(如果有的话)具有约束力,并对其有利。G.税务责任的厘定自生效日期起,清盘受托人将负责代表债务人的遗产及清盘信托拟备及提交任何税务表格或申报表(在买方不负责的范围内);但清盘受托人无须负责为债务人的权益持有人拟备或提交任何税务表格(该等权益须根据本计划注销),但须向该等持有人提供拟备该等表格所合理需要的任何资料。自生效日期起,或有付款持有受托人将负责代表或有付款持有信托编制和提交任何税表或申报表,而或有付款受托人将负责代表或有付款信托编制和提交任何税表或申报表。债务人、清算受托人、持有或有付款的受托人和或有付款的受托人有权要求根据《破产法》第505条迅速确定任何纳税义务,包括债务人遗产、清算信托、或有付款持有信托或或有付款信托在管理第11章案件期间发生的任何纳税义务。判例23-10024-JTD Doc 515-1提交05/23/23第65页,共90页


 
5930395948.1H.委员会的解散在生效日期,任何正式指定的无担保债权人正式委员会将解散,其成员将被解除并免除因第11章案件而产生或与之有关的一切职责和义务;但在生效日期之后,委员会将继续仅就(i)委员会成员的任何专业费用索偿申请或费用补偿申请而存在,包括准备申请或反对申请,(ii)寻求强制执行或执行计划或确认令的规定的任何动议或其他行动;及(iii)自生效日期起仍待处理或其后提交的任何上诉,其结果可合理地预期会以任何重大方式影响一般无担保债权持有人的待遇,包括但不限于与计划或确认令的完成、解释、执行或执行有关的任何案件、争议、诉讼或争议。在生效日期之后,委员会的专业人员应有权就与第(i)-(iii)条所列事项有关的服务获得合理补偿。与此有关的任何该等付款,无须再向破产法院发出通知或采取行动、命令或批准。一、簿册和记录的保存按照《清算信托协议》的规定,在生效日期或清算受托人和债务人合理方便的其他时间,债务人应向清算信托及时提供查阅债务人所管有的债务人的所有簿册和记录的机会。债务人还应指示拥有此类簿册和记录(包括计算机生成或计算机维护的簿册、记录和数据)的任何第三方或专业人员允许查阅清算受托人合理要求的簿册和记录。直至在标题为Michael Pardi诉Tricida公司和Gerritt Klaerner案的诉讼中作出最终判决或和解命令,案件编号4:21-cv-00076-HSG(“Pardi诉讼”)在美国加利福尼亚州北区奥克兰地区法院待决,债务人和买方以及债务人的账簿、记录、文件、文件、电子数据(任何格式,包括原生格式)或任何可能与Pardi诉讼相关的有形物品(统称“潜在相关账簿和记录”)应保存和维护潜在相关账簿和记录,不得销毁、放弃、转移或以其他方式使这些可能有关的簿册和记录无法获得,除非事先至少提前六十天书面通知原告并有机会提出异议并由有管辖权的法院审理。如果Pardi诉讼的原告及时反对任何此类销毁、放弃或转让,则在破产法院或其他有管辖权的法院作出最后命令之前,应保存可能相关的簿册和记录;但尽管有上述规定,债务人仍将保留转让给买方的任何可能相关的簿册和记录的真实副本,但须符合本段所述的相同条件,而债务人对任何发现请求作出回应和/或出示文件负有主要责任。案件23-10024-JTD Doc 515-1提交05/23/23第66页,共90页


 
6030395948.1在Pardi诉讼案中,包括要求出示转让给买方的簿册和记录的任何发现。J.通知为使向债务人、清算受托人、持有或有付款的受托人或或有付款的受托人(视情况而定)发出的所有通知、请求和要求生效,这些通知、请求和要求应以书面形式(包括通过电子邮件)提出,除非本协议另有明文规定,否则在实际送达时,或在通过电子邮件发出通知的情况下,在收到时,应视为已妥为发出或作出,并已送达或交付给以下各方:债务人Tricida, Inc.北大街2108号的债务人律师,Suite 4935 Sacramento,California 95816收件人:Lawrence Perkins电子邮件地址:lperkins@scpllc.com Sidley Austin LLP 787 Seventh Avenue New York,New York 10019收件人:Geoff Levin和Sam Newman电子邮件:glevin@sidley.com,sam.newman@sidley.com-和-Young,Conaway Stargatt & Taylor,LLP Rodney Square 1000 North King Street Wilmington,特拉华州19801收件人:Sean M. Beach和Allison S. Mielke电子邮件:sbeach@ycst.com amielke@ycst.com清算受托人的清算受托人法律顾问将被纳入计划补充将被纳入计划补充或有付款持有受托人或有付款持有受托人的法律顾问将被纳入计划补充将被纳入计划补充或有付款受托人的计划补充将被纳入计划补充将在生效日期后被纳入计划补充,希望根据2002年《破产规则》继续接收文件的个人或实体必须根据2002年《破产规则》再次提出接收文件的请求。在生效日期之后,清算受托人有权将根据2002年《破产规则》收到文件的实体的名单限制为提出此种重新请求的实体。判例23-10024-JTD Doc 515-1提交05/23/23第67页,共90页


 
6130395948.1K.禁制令或中止的期限除本计划另有规定外,在适用法律允许的最大限度内,并在符合破产法院确认后司法管辖权的情况下,修改本计划下的禁制令和中止(1)与根据《破产法》第105或362条在第11章案件中产生或进入的针对债务人财产或债务人遗产的诉讼有关的所有禁制令或中止,并在确认令生效之日有效,(2)根据《破产法》第105或362条在第11章案件中根据第11章案件产生或订立的所有其他强制令和中止,在(a)第11章案件根据破产法院的最终命令结案的日期,或(b)第11章案件根据破产法院的最终命令被驳回的日期中最早的日期之前,均保持完全有效。本计划或确认令所载的所有强制令或中止,均须无限期地保持完全有效。L.《全面协议》在生效日期、《计划》和《计划补编》取代以前和当时就这些问题进行的所有谈判、承诺、契约、协议、谅解和陈述,所有这些都已合并并纳入《计划》。M.计划补充文件展品所有列入计划补充文件的展品和文件均已纳入计划,并已成为计划的一部分,犹如计划全文所列一样。应向上述地址的债务人律师或清算受托人律师(视情况而定)提出书面请求,或通过从通知和索赔代理人的网站免费下载这些证据和文件,提供这些证据和文件的副本。除非破产法庭另有命令,否则如图则补编中的任何展品或文件与不构成图则补编的图则任何部分的条款不一致,则图则中不构成图则补编的该部分即属控制。计划补充文件中的文件被视为计划的组成部分,并应被视为由破产法院根据确认令批准。适用法律除非联邦法律(包括《破产法》和《破产规则》)规定了法律规则或程序,或者除非另有具体说明,否则在不影响法律冲突原则的情况下,特拉华州的法律应管辖计划的权利、义务、结构和实施、与计划有关的任何协议、文件、文书或订立的合同(除非这些协议中另有规定,在这种情况下,此种协议的适用法律应予控制)以及公司治理事项。判例23-10024-JTD Doc 515-1提交05/23/23第68页,共90页


 
6230395948.1 O.确认后计划条款的不可分割性如果破产法院认为计划的任何条款或规定无效、无效或不可执行,破产法院有权修改和解释该条款或规定,使其在切实可行的最大限度内有效或可执行,与被认为无效、无效或不可执行的条款或规定的原始目的一致,然后该条款或规定应作为修改或解释而适用。尽管有任何此种保留、更改或解释,本计划的其余条款和规定仍将完全有效,并且不会因此种保留、更改或解释而受到影响、损害或失效。确认令应构成一项司法裁定,并应规定本计划的每项条款和规定(可能已根据上述规定加以修改或解释)如下:(1)根据其条款有效和可执行;(2)本计划不可分割,未经债务人、清算受托人、或有付款受托人和或有付款受托人(如适用)同意不得删除或修改;(3)不可分割和相互依存。第11章案件的结案在第11章案件的全部审理结束后,清算受托人应迅速向破产法院提交破产规则第3022条所要求的所有文件、根据当地规则第3022-1(a)条提出的动议,以及破产法院关于结束第11章案件的任何适用命令。[故意留空的页数余留]判例23-10024-JTD Doc 515-1归档05/23/23第69页,共90页


 
6330395948.1日期:2023年5月22日尊敬地提交,/s/Geoffrey Parker作者:Geoffrey Parker执行副总裁、首席运营官兼首席财务官Tricida, Inc.案例23-10024-JTD文档515-1提交05/23/23第70页,共90页


 
1 附件 A –保留诉讼因由一览表1下述针对某些被释放方的诉讼因由应根据本计划予以保留,并于计划生效之日移交清算信托。尽管如此,除与遣散费索偿(定义见下文)有关的索偿外,对保留诉讼因由的索偿,须限于根据任何适用保险单提供的保险范围(如有的话),但须符合任何该等适用保险单及适用法律的条文。除遣散费索偿外,(i)任何一方均无权在任何适用保险单下的可用保险之外或超出任何适用保险单下的可用保险的范围内,就保留的诉讼因由要求赔偿;(ii)除适用保险单下的适用保险人外,任何人或实体均不得对任何保留的针对被解除当事人的诉讼因由承担赔偿责任,但前提是,一方当事人可寻求就任何保留的诉讼因由对被解除当事人作出的任何和解或判决收取费用,其目的有限且仅限于触发任何适用保险单的承保范围。1.就公司于2022年11月21日重开股票交易窗口的决定而言,公司董事和高级职员违反了受托责任(包括注意义务、忠诚义务和监督义务)。2.公司董事和高级管理人员因授权和批准奖金保留计划而违反受托责任(包括注意义务和忠诚义务),该计划向债务人的雇员支付了约550万美元,其中包括2022年12月向债务人的高级管理人员支付的240万美元,以及与上述相关的公司废物索赔。3.违反公司董事及高级人员根据奖金保留计划授权及批准向公司行政总裁支付款项的受托责任(包括注意责任及忠诚责任),以及与上述事项有关的公司废物申索。4.违反公司董事和高级管理人员的受托责任(包括注意义务、忠诚义务和监督义务),涉及公司正在开发的veverimer药物的临床试验的设计、实施、监督和报告,包括临床试验TCRA-301、TRCA-301E和VALOR-CKD。5.在任何董事出售公司股票(如果有的话)以及任何董事所属的任何一方出售公司股票方面,违反公司董事的信托义务(包括注意义务和忠诚义务),导致或促成公司净经营亏损或其他税收属性的减值。6.违反Brophy诉Cities Service Co.,70 A.2d5(Del.)案中与内幕交易有关的信托义务(包括注意义务和忠诚义务)。第1949章)对债务人的任何现任或前任董事和高级管理人员提起诉讼。1此处使用的大写术语应具有Tricida, Inc.第四次修订清算计划中赋予它们的含义,案例23-10024-JTD Doc 515-1提交05/23/23第71页,共90页


 
2 7.撤销和追回遣散费索赔的索赔。8.因协助和教唆债务人的董事和高级职员违反上述第A.1、A.2和A.3号《保留诉讼因由》而对被释放的当事人(债务人的留任专业人员、持同意意见的记事人专业人员和Thomas G. FitzGerald先生除外,不论其是否在请愿日期之前或之后采取的作为或不作为)提出的索赔。为免生疑问,本计划或本保留诉讼因由附表中的任何规定,均不得免除、限制或解除与任何作为或不作为有关的任何索偿要求或诉讼因由,而该等作为或不作为是由主管司法管辖权的法院在最终命令中裁定构成该人的实际故意欺诈、故意不当行为或重大过失,不论该等索偿要求或诉讼因由是由于违反信托责任、违反合约、疏忽、不当股息、奖金支付、留存金支付、奖励性补偿支付、过度补偿所致,或法律上的任何其他权利或补救。判例23-10024-JTD Doc 515-1提交05/23/23第72页,共90页


 
3 附件 B –对转移至清算信托的未获释放各方保留的其他诉讼因由一览表下文列出的对未获释放各方的转移诉讼因由应根据本计划予以保留,并于计划生效之日转移至清算信托。为免生疑问,移交的诉讼因由不包括根据契约对受托人或任何现任或前任可转换票据持有人提出的任何索偿。1.违反Brophy诉Cities Service Co.,70 A.2d5(Del.)案中与内幕交易有关的信托义务(包括注意义务和忠诚义务)。第1949章)针对任何其他不是被释放政党的人。2.与债务人所欠任何有担保或无担保贷款或票据债务(契约除外)的多付、提前付款或提前付款有关的债权,包括但不限于债务人在请求日起四(4)年内根据此类有担保或无担保贷款或票据支付的任何本金、利息或其他金额,但此种付款是支付给被解放方的除外。3.根据适用的州法律和《破产法》第5章,包括《破产法》第544和548条,对不是被解放方的任何一方提出撤销和收回欺诈性转让的要求。为免生疑问,除遣散费申索外,并无保留根据《破产法》第547条提出的撤销及追讨申索。4.债务人作为一方当事人的任何和所有保险合同和保险单,或者债务人根据这些合同和保险单享有任何权利,无论这些合同或保险单是否在本计划中具体指明,包括针对保险公司、再保险公司、保险经纪人、承保人、事故承保人或担保债券发行人的诉讼理由,涉及承保范围、赔偿、分担、偿付或任何其他事项。5.债务人作为当事方的任何和所有税务义务,或债务人根据这些义务享有任何权利的任何和所有税务义务,包括但不限于针对或与所有欠或将来可能欠与向债务人退税有关的款项的实体有关的实体,不论此种实体是否在本文中具体指明。6.针对或涉及作为诉讼、仲裁或任何其他类型的对抗性程序或争端解决程序的当事方或将来可能成为其当事方的所有实体(已解除当事方除外)的所有诉讼因由,不论该实体是否在《计划》中具体指明,除非该实体是已解除当事方。7.针对或涉及所有欠债务人或将来可能欠债务人款项的实体(被释放缔约方除外)的所有诉讼理由,不论该实体是否在《计划》中明确指明,除非该实体是被释放缔约方。债务人明确保留对声称或可能声称债务人欠其款项的所有实体或与之有关的所有诉讼理由。保留的索赔和诉讼因由包括案件原因23-10024-JTD Doc 515-1 Filed 05/23/23第73页,共90页


 
4针对供应商、货物和服务供应商或任何其他方提起的诉讼,除非这些方是被解约方:(a)多付款项、补缴费用、重复付款、不当拖延、欠款扣减或不当扣减、押金、保证、担保、赔偿、补偿或抵销;(b)不当或不当终止、暂停服务或供应货物,或未能履行其他合同或监管义务;(c)在承担或拒绝(如适用)之前,未能充分履行或以履行与任何一方或多方债务人签订的合同的额外要求为条件,(d)任何债权人、公用事业公司、供应商、卖方、保险人、保证人、保理人、保理人、出借人、债券持有人、出租人或其他当事人所欠的付款、押金、保留金或其他款项;(e)债务人持有的任何留置权,包括机械师、工匠、材料商、占有权或法定留置权;(f)与任何合同义务有关的反诉和抗辩;(g)根据《破产法》第542或543条引起的任何周转诉讼;(h)不公平竞争、干扰合同或潜在商业利益、违反合同、侵犯知识产权或任何商业侵权索赔。8.所有诉讼因由全部或部分基于保证金、充分保证付款或任何其他类型的保证金、预付款或抵押品的任何和所有过帐,无论此种过帐保证金、充分保证付款或任何其他类型的保证金、预付款或抵押品是否在本文中具体指明。9.所有诉讼因由全部或部分基于任何和所有留置权,而不论此种留置权是否在本文中具体指明。为免生疑问,本计划或本《其他诉讼因由附表》中的任何条文,不得用以免除、限制或解除与任何作为或不作为有关的任何索偿要求或诉讼因由,而该等作为或不作为是由主管司法管辖权的法院在最终命令中裁定构成该人的实际故意欺诈、故意不当行为或重大过失的,不论该等索偿要求或诉讼因由是由于违反信义责任、违反合约、疏忽、不当派息、奖金支付所致,保留金、奖励金、超额补偿金或其他任何法律上的权利或补救办法。判例23-10024-JTD Doc 515-1提交05/23/23第74页,共90页


 
30395810.1第5类的EXHIBIT B-1通知书及经修订的选择退出表格–一般无担保债权个案23-10024-JTD Doc 515-1提交05/23/23第75页,共90页


 
30395919.1 IN THE UNITED STATES BANKRUPTCY COURT FOR THE DISTRICT OF DELAWARE In re:TRICIDA,INC.,1 Debtor。第11章案件编号23-10024(JTD)NOTICE AND REVISED OPT-OUT FORM FOR CLASS5 – General Unsecured CLAIMS PLEASE TAKE NOTICE that May [ ● ],2023,the United States Bankruptcy Court for the District of Delaware invested an order,approving the Fifth Amended Chapter 11 Plan of Liquidation for Tricida, Inc. [ Docket No. ]。[ ● ] ](包括可能不时修订、补充或修改的“计划”的所有证物及其补充)。22023年5月[ ● ],破产法院还下达命令,批准债务人与Patheon Austria GmbH & Co. KG(“Patheon”)之间的和解(“Patheon和解”)[案卷编号。[ ● ] ],根据该计划,Patheon被添加为“释放党”和“释放党”。请进一步注意,您收到此通知和修改后的选择退出表格(“选择退出表格”),因为截至2023年3月24日,您是第5类索赔的持有人。投票截止日期已过,该计划已获批准,因此你不再有权就该计划投票。然而,由于Patheon和解协议,第5类索赔的持有人现在有另一个机会明确地选择退出批准计划第IX.B条所载的第三方释放(“第三方释放”),方法是按照其中规定的批准提交方法填写、签署并返回第7页的选择退出表格,以便在美国东部时间2023年6月21日下午4:00之前实际收到。3请进一步注意,如果生效日期发生,“被解放方”将从“解放方”获得计划第IX.B条规定的第三方解放方,并将受益于计划第IX.D条规定的强制令;但是,如果第5类债权持有人选择退出第三方解放方,则不应成为“解放方”。1第11章案件中的债务人,连同债务人联邦税号的最后四位数字,是Tricida, Inc.(2526)。债务人的服务地址是2108 N Street,Suite 4935,Sacramento,加利福尼亚州 95816。2此处使用的、未另行定义的大写术语具有本计划赋予它们的含义。3本计划第IX.B条(债权和权益持有人的解除)和第IX.D条(禁止令)载于所附的选择退出表格,以及适用的“解除方”、“解除方”和“相关方”的定义。判例23-10024-JTD Doc 515-1提交05/23/23第76页,共90页


 
230395919.1请进一步注意,如果您希望获得计划、计划补充或包括Patheon和解在内的相关文件的副本,您应联系Kurtzman Carson Consultants,LLC(“KCC”),写信给Tricida公司选票处理中心,地址是KCC,222 N. Pacific Coast Highway,Suite 300,El Segundo,加利福尼亚州 90245;(b)在美国或加拿大境内拨打债务人重组热线(866)476-0898,在美国或加拿大境外拨打(781)575-2114,或发送电子邮件至TricidaInfo@kccllc.com;或(c)访问债务人重组网站:https://www.kccllc.c你也可以通过PACER索取在第11章案件中提交的任何诉状的副本,收费:https://www.deb.uscourts.gov/。日期:2023年5月[ ● ]尊敬地提交,Wilmington,Delaware/s/[ DRAFT ] YOUNG CONAWAY STARGATT & TAYLOR,LLP SIDLEY AUSTIN LLP Samuel A. Newman(pro hac vice录取)Sean M. Beach(No. 4070)Allison S. Mielke(No. 5934)Andrew A. Mark(No. 6861)Carol Cox(No. 6936)Rodney Square Julia Philips Roth(admitted pro hac vice)555 West Fifth Street Los Angeles,California 90013电话:(213)896-6000传真:(213)896-6600电子邮件:sam.newman@sidley.com 1000 North King Street julia.roth @特拉华州19801电话:(302)571-6600 Charles M. Persons(admitted pro hac vice)传真:(302)571-1253 Jeri Leigh Miller(admitted pro hac vice)电子邮件:sbeach@ycst.com Chelsea McManus(admitted pro hac vice)amielke@ycst.com 2021 McKinney Avenue,Suite 2000 amark@ycst.com Dallas,Texas 75201 ccox@ycst.com电话:(214)981-3300传真:(213)981-3400电子邮件:cpersons@sidley.com jeri.miller@sidley.com cmcmanus@sidley.com Michael A. Sabino(admitted pro hac v


 
330395919.1 IN THE UNITED STATES BANKRUPTCY COURT FOR THE DISTRICT OF DELAWARE In re:TRICIDA,INC.,1 Debtor。第11章案例编号23-10024(JTD)OPT-OUT ELECTION FORM CLASS 5 – General Unsecured CLAIMS关于某些债权持有人解除债权的重要信息如果您希望根据计划第IX.B节选择不成为“解除债权方”,请选中以下方框并填写此表格。你对这次选举的决定并不影响你根据该计划所获分配的款额。有关定义载于下文第4至第7页。下列签署人选择:☐ OPT OUT of the Third Party Release,如计划第IX.B节所述持有人姓名:地址:签名:电话号码:签署人姓名:电子邮件:标题:完成日期:OPT-OUT FORM必须在OPT-OUT DEADLINE OF JUNE 21,2023 At 4:00 P.M. ET,通过以下一种批准的提交方法:1在本第11章的情况下,债务人连同债务人的联邦税号的最后四位数字是Tricida, Inc.(2526)。债务人的服务地址是2108 N Street,Suite 4935,Sacramento,加利福尼亚州 95816。案件23-10024-JTD Doc 515-1提交05/23/23第78页,共90页


 
430395919.1头等舱邮件,隔夜快递或手提送达:Tricida, Inc.选票处理中心c/o KCC 222 N. Pacific Coast Highway,Suite 300 El Segundo,加利福尼亚州 90245电子,在线提交:要通过KCC的在线门户提交您的选择退出表格,请访问:https://eballot.kccllc.net/Tricida并点击“提交电子选票”,然后按照说明提交您的选择退出表格。重要提示:您将需要以下信息来检索和提交您定制的电子选择退出表格:唯一选择退出ID #:_________________________________ Pin #:_________________________________________ KCC的在线门户网站是通过电子或在线传输接受选择退出表格的唯一方式。通过传真、电子邮件或其他电子传输方式提交的选择退出表格将不被计算在内。通过KCC的在线门户网站提交选择退出表格的债权人不应同时提交纸质选择退出表格。如有任何疑问,请在美国或加拿大境内致电(866)476-0898与KCC联系,如在美国或加拿大境外,请致电(781)575-2114与KCC联系,或发送电子邮件至TricidaInfo@kccllc.com。为提供有关第三方释放的更多信息,现将计划的以下定义和章节立即复制如下:释放方的定义、释放方的定义、释放方的定义、计划部分IX.B(债权和权益持有人的释放)和计划部分IX.D(禁令)。请仔细审查以下内容。(a)“关联方”是指现任和前任董事、经理、高级职员、委员会成员、任何理事机构的成员、股东(不论这些权益是直接持有还是间接持有)、关联投资基金或投资工具、管理账户或基金、前任、参与者、继任者、受让人、子公司、关联公司、合伙人、有限合伙人、普通合伙人、委托人、成员、管理公司、基金顾问或经理、雇员、代理人、受托人、顾问委员会成员、财务顾问,律师(包括任何现任或前任董事或经理以实体董事或经理的身份聘用的任何其他律师或专业人员)、会计师、投资银行家、顾问、代表、其他专业人员和顾问以及任何此类人员或实体各自的继承人、遗嘱执行人、遗产和被提名人。(b)“解除担保方”是指(a)债务人;(b)同意的票据持有人解除担保方;(c)Patheon(根据批准Patheon和解协议的命令和案件23-10024-JTD Doc 515-1提交05/23/23第79页,共90页


 
530395919.1但须按照确认令的要求,重新通知某些解除担保方);(d)债务人的每一关联方、同意票据持有人解除担保方或Patheon,包括为免生疑问而由债务人、同意票据持有人或Patheon聘用的与第11章案件有关的任何专业人员。尽管有上述规定,“被解放方”的定义不应包括(i)任何仅以股东身份行事的现任或前任股东;或(ii)OrbiMed Advisors,LLC及其附属公司,包括OrbiMed Private Investment V,LP。(c)“解除担保方”是指(a)持同意意见的票据持有人解除担保方;(b)Patheon;(c)在表决截止日期前未对本文第九条所载的解除担保权提出异议的根据本协议被视为已接受本计划的所有债权持有人;(d)所有债权持有人(i)投票接受或否决本计划,但未及时提交解除担保权选择,或(ii)不投票接受或否决该计划,或不及时提交解除选择退出,或不在投票截止日期前对本文第九条所载的解除提出反对;(e)(a)至(d)条中每个人或实体的每个现任和前任附属机构,仅限于该附属机构可以代表或通过(a)至(d)条中的一个实体以衍生身份或通过该实体主张索赔或诉讼理由;(f)(a)至(d)条中的每一实体的每一关联方,仅限于该关联方可以代表或通过(a)至(d)条中的某一实体以衍生身份提出索赔或诉讼理由。根据法院在确认聆讯中的裁决,第8类权益的任何持有人均不得因先前未能退回选择退出的解除协议而被视为解除协议的一方。将第8类权益持有人从这一定义中除名并不影响一方以任何其他身份根据计划、确认令和法院在确认聆讯中的裁决所给予的释放。(d)计划第IX.B节就“债权和权益持有人的解除”(“第三方解除”)规定如下:自生效之日起,每一解除当事方均被视为解除了每一解除当事方的任何和所有已知或未知的债权和诉讼因由,包括债务人或其遗产在法律上本应有权自行主张的任何债权和诉讼因由,包括可衍生或代表债务人(或其遗产)主张的任何债权或诉讼因由,该实体在法律上本应有权(无论是单独或集体地)根据债务人的全部或部分(包括其管理、所有权或经营或其他方式)主张债务人发行的任何证券及其所有权、债务人在法庭内外的重组努力、任何撤销诉讼、第11章案件、术语案件的拟订、编制、传播、谈判或备案23-10024-JTD Doc 515-1提交05/23/23第80页,共90页


 
630395919.1表格、RSA、披露声明、出售动议、计划、计划补充或与出售、计划、计划补充、第11章案件、提交第11章案件、执行确认令、执行出售令、执行计划、管理和实施计划有关的任何其他交易、合同、文书、解除或其他协议或文件,包括根据计划或任何其他相关作为或不作为、交易、协议,在生效日期当日或之前发生的事件或其他发生或不作为;但本条文的作用不应是免除或解除与任何行为或不作为有关的任何索赔或诉讼因由,而该行为或不作为是由主管司法管辖权的法院在《最后命令》中裁定构成该人的实际故意欺诈、故意不当行为或重大过失的;但进一步规定,即使《披露声明和计划》中有任何相反的规定,本条文不适用于任何未受损害的索偿,直至该未受损害的索偿已按根据适用法律所厘定的该等索偿的容许款额,或按该等索偿的持有人与债务人或清盘受托人(如适用)所议定的条款,付清为止,而在该等情况下,本条文在所有方面均适用于该适用的未受损害索偿。尽管上述规定有任何相反的规定,上述解除并不解除(1)任何一方或实体根据本计划或为执行本计划而签立的任何文件、文书或协议(包括本计划补充文件所列的文件、文书或协议)所承担的任何生效日期后的义务;(2)根据售货令或就售货令所承担的任何义务;或(3)保留的诉讼因由,除与遣散费索偿有关外,其追讨将限于任何适用的保险单和适用的法律的规定。被视为准予实施本节所述的释放的每个人和实体,应被视为已准予实施此种释放,即使该个人或实体以后可以发现除该个人或实体现在知道或认为是真实的事实之外的事实或与之不同的事实,且不考虑随后发现或存在此种不同或额外的事实,且该个人或实体明确放弃该个人或实体根据任何成文法或普通法原则可能拥有的任何和所有权利,包括但不限于,在适用的范围内,《加利福尼亚民法典》第1542条将把这种释放的影响限制于在生效日期实际已知或怀疑存在的那些要求或诉讼理由。《加利福尼亚民法典》第1542条一般规定如下:“一般释放不适用于声称债权人或释放方在执行释放时不知道或怀疑以他或她的名义存在,并且如果他或她知道,将对他或她与债务人或释放方的和解产生重大影响。”判例23-10024-JTD Doc 515-1提交05/23/23第81页,共90页


 
730395919.1(e)本计划第IX.D节关于“禁制”规定如下:除本计划或确认令另有规定外,所有已持有、持有或可能持有债权、权益、诉讼因由或责任的实体:(1)根据本计划的条款进行妥协和解决;(2)已根据本计划解除;(3)已被购买并由与出售有关的购买者解除;(4)可根据本计划免除责任;或(5)在其他方面被满足、中止、解除,或根据本计划的条款终止的,自生效日期起或之后,永久禁止以任何方式启动或继续进行任何诉讼或其他程序,包括针对债务人或任何实体(或任何实体的财产或财产,直接或间接地,如此解除或免除)的任何债权、权益、诉讼因由或责任,或与任何解除、解决、妥协或免除的债权、权益、诉讼因由或责任有关,包括自生效日期起及之后被永久禁止并被禁止对债务人、清算信托、被解除担保方或被解除担保方(如适用)采取下列任何行动:(1)以任何方式启动或继续以任何方式启动或继续任何诉讼或其他任何类型的诉讼或程序(2)以任何方式或手段强制执行、附加、收集或追回任何判决、裁决、判令,或因任何该等申索或权益或与该等申索或权益有关而针对该等实体作出的命令;(3)设立、完善,(4)就该等实体或该等实体因该等债权或权益而应承担的任何义务或就该等债权或权益而应承担的任何义务或就该等实体因该等债权或权益而应承担的任何义务或就该等债权或权益而应承担的任何义务或就该等实体因该等债权或权益而应承担的任何义务或就该等债权或权益而应承担的任何义务或就该等债权或权益而应承担的任何义务或就该等债权或权益而应承担的任何种类的抵销权或代位权,除非该实体已在向破产法院提交的文件中及时主张该抵销权,该文件明确地保留了该抵销权,(5)以任何方式启动或继续任何诉讼或其他任何种类的诉讼或其他程序,理由是或与根据本计划解除或解决的任何此种诉讼或权益有关,或与之相关。在破产法院发出确认令后,所有债权和权益持有人及其他利益相关方,连同其各自的现任或前任雇员、代理人、高级职员、董事或委托人,应被禁止采取任何行动干预债务人、清算受托人及其各自的关联公司、雇员、顾问、高级职员和董事或代理人实施或完成本计划。[有意留下空白的页数余留]判例23-10024-JTD Doc 515-1归档05/23/23第82页,共90页


 
30395810.1第6类的EXHIBIT B-2通知书及经修订的选择退出表格– De Minimis无抵押债权个案23-10024-JTD Doc 515-1提交05/23/23第83页,共90页


 
30395924.1 IN THE UNITED STATES BANKRUPTCY COURT FOR THE DISTRICT OF DELAWARE In re:TRICIDA,INC.,1 Debtor。第11章案件编号23-10024(JTD)NOTICE AND REVISED OPT-OUT FORM FOR CLASS6 – DE MINIMIS UNSECURED CLAIMS PLEASE TAKE NOTICE that May [ ● ],2023,the United States Bankruptcy Court for the District of Delaware invested an order,approving the Fifth Amended Chapter 11 Plan of Liquidation for Tricida, Inc. [ Docket No. ] [ Docket No. ][ ● ] ](包括可能不时修订、补充或修改的“计划”的所有证物及其补充)。22023年5月[ ● ],破产法院还下达命令,批准债务人与Patheon Austria GmbH & Co. KG(“Patheon”)之间的和解(“Patheon和解”)[案卷编号。[ ● ] ],根据该计划,Patheon被添加为“释放党”和“释放党”。请进一步注意,您收到此通知和修改后的选择退出表格(“选择退出表格”),因为截至2023年3月24日,您是第6类索赔的持有人。投票截止日期已过,该计划已获批准,因此你不再有权就该计划投票。然而,由于Patheon和解协议,第6类索赔的持有人现在有另一个机会明确地选择退出批准计划第IX.B条所载的第三方释放(“第三方释放”),方法是按照其中规定的批准提交方法填写、签署并返回第7页的选择退出表格,以便在美国东部时间2023年6月21日下午4:00之前实际收到。3请进一步注意,如果生效日期发生,“被解放方”将从“解放方”获得计划第IX.B条规定的第三方解放方,并将受益于计划第IX.D条规定的强制令;但是,如果第6类债权持有人选择退出第三方解放方,则不应成为“解放方”。1第11章案件中的债务人,连同债务人联邦税号的最后四位数字,是Tricida, Inc.(2526)。债务人的服务地址是2108 N Street,Suite 4935,Sacramento,加利福尼亚州 95816。2此处使用的、未另行定义的大写术语具有本计划赋予它们的含义。3本计划第IX.B条(债权和权益持有人的解除)和第IX.D条(禁止令)载于所附的选择退出表格,以及适用的“解除方”、“解除方”和“相关方”的定义。判例23-10024-JTD Doc 515-1提交05/23/23第84页,共90页


 
230395924.1请进一步注意,如果您希望获得计划、计划补充或包括Patheon和解在内的相关文件的副本,您应该联系Kurtzman Carson Consultants,LLC(“KCC”),写信给Tricida公司选票处理中心,地址是KCC,222 N. Pacific Coast Highway,Suite 300,El Segundo,加利福尼亚州 90245;(b)在美国或加拿大境内拨打债务人重组热线(866)476-0898,在美国或加拿大境外拨打(781)575-2114,或发送电子邮件至TricidaInfo@kccllc.com;或(c)访问债务人重组网站:https://www.kccllc.c你也可以通过PACER索取在第11章案件中提交的任何诉状的副本,收费:https://www.deb.uscourts.gov/。日期:2023年5月[ ● ]尊敬地提交,Wilmington,Delaware/s/[ DRAFT ] YOUNG CONAWAY STARGATT & TAYLOR,LLP SIDLEY AUSTIN LLP Samuel A. Newman(pro hac vice承认)Sean M. Beach(No. 4070)Allison S. Mielke(No. 5934)Andrew A. Mark(No. 6861)Carol Cox(No. 6936)Rodney Square Julia Philips Roth(pro hac vice承认)555 West Fifth Street Los Angeles,California 90013电话:(213)896-6000传真:(213)896-6600电子邮件:sam.newman@sidley.com 1000 North King Street julia.roth @ sidle特拉华州19801电话:(302)571-6600 Charles M. Persons(admitted pro hac vice)传真:(302)571-1253 Jeri Leigh Miller(admitted pro hac vice)电子邮件:sbeach@ycst.com Chelsea McManus(admitted pro hac vice)amielke@ycst.com 2021 McKinney Avenue,Suite 2000 amark@ycst.com Dallas,Texas 75201 ccox@ycst.com电话:(214)981-3300传真:(213)981-3400电子邮件:cpersons@sidley.com jeri.miller@sidley.com cmcmanus@sidley.com Michael A. Sabino(admitted pro hac v


 
330395924.1 IN THE UNITED STATES BANKRUPTCY COURT FOR THE DISTRICT OF DELAWARE In re:TRICIDA,INC.,1 Debtor。第11章案例编号23-10024(JTD)OPT-OUT ELECTION FORM CLASS 6 – DE MINIMIS UNSECURED CLAIMS关于某些债权持有人解除债权的重要信息如果您希望选择不作为计划第IX.B节下的“解除方”,请选中以下方框并填写此表格。你对这次选举的决定并不影响你根据该计划将获得的分配数额。有关定义载于下文第4至第7页。下列签署人选择:☐ OPT OUT of the Third Party Release(见计划第IX.B节)持有人姓名:地址:签名:电话号码:签署人姓名:电子邮件:标题:完成日期:OPT-OUT FORM必须在OPT-OUT DEADLINE OF JUNE 21,2023 At 4:00 P.M. ET,通过以下一种批准的提交方法:1在本第11章的情况下,债务人连同债务人联邦税号的最后四位数字是Tricida, Inc.(2526)。债务人的服务地址是2108 N Street,Suite 4935,Sacramento,加利福尼亚州 95816。判例23-10024-JTD Doc 515-1提交05/23/23第86页,共90页


 
430395924.1头等舱邮件,隔夜快递或手提送达:Tricida, Inc.选票处理中心c/o KCC 222 N. Pacific Coast Highway,Suite 300 El Segundo,加利福尼亚州 90245电子,在线提交:要通过KCC的在线门户提交您的选择退出表格,请访问:https://eballot.kccllc.net/Tricida并点击“提交电子选票”并按照说明提交您的选择退出表格。重要提示:您将需要以下信息来检索和提交您定制的电子选择退出表格:唯一选择退出ID #:_________________________________ Pin #:_________________________________________ KCC的在线门户网站是通过电子或在线传输接受选择退出表格的唯一方式。通过传真、电子邮件或其他电子传输方式提交的选择退出表格将不被计算在内。通过KCC的在线门户网站提交选择退出表格的债权人不应同时提交纸质选择退出表格。如有任何疑问,请在美国或加拿大境内致电(866)476-0898与KCC联系,如在美国或加拿大境外,请致电(781)575-2114与KCC联系,或发送电子邮件至TricidaInfo@kccllc.com。为提供有关第三方释放的更多信息,现将计划的以下定义和章节立即复制如下:释放方的定义、释放方的定义、释放方的定义、计划部分IX.B(债权和权益持有人的释放)和计划部分IX.D(禁令)。请仔细审查以下内容。(a)“关联方”是指现任和前任董事、经理、高级职员、委员会成员、任何理事机构的成员、股东(不论这些权益是直接持有还是间接持有)、关联投资基金或投资工具、管理账户或基金、前任、参与者、继任者、受让人、子公司、关联公司、合伙人、有限合伙人、普通合伙人、委托人、成员、管理公司、基金顾问或经理、雇员、代理人、受托人、顾问委员会成员、财务顾问,律师(包括任何现任或前任董事或经理以实体董事或经理的身份聘用的任何其他律师或专业人员)、会计师、投资银行家、顾问、代表、其他专业人员和顾问以及任何此类人员或实体各自的继承人、遗嘱执行人、遗产和被提名人。(b)“解除担保方”是指(a)债务人;(b)同意的票据持有人解除担保方;(c)Patheon(根据批准Patheon和解协议的命令和案件23-10024-JTD Doc 515-1提交05/23/23第87页,共90页


 
530395924.1但须按照确认令的要求重新通知某些解除担保方);(d)债务人的每一关联方、同意票据持有人解除担保方或Patheon,包括为免生疑问而由债务人、同意票据持有人或Patheon聘用的与第11章案件有关的任何专业人员。尽管有上述规定,“被解放方”的定义不应包括(i)任何仅以股东身份行事的现任或前任股东;或(ii)OrbiMed Advisors,LLC及其附属公司,包括OrbiMed Private Investment V,LP。(c)“解除担保方”是指(a)持同意意见的票据持有人解除担保方;(b)Patheon;(c)在表决截止日期前未对本文第九条所载的解除担保权提出异议的根据本协议被视为已接受本计划的所有债权持有人;(d)所有债权持有人(i)投票接受或否决本计划,但未及时提交解除担保权选择,或(ii)不投票接受或否决该计划,或不及时提交解除选择退出,或不在投票截止日期前对本文第九条所载的解除提出反对;(e)(a)至(d)条中每个人或实体的每个现任和前任附属机构,仅限于该附属机构可以代表或通过(a)至(d)条中的一个实体以衍生身份或通过该实体主张索赔或诉讼理由;(f)(a)至(d)条中的每一实体的每一关联方,仅限于该关联方可以代表或通过(a)至(d)条中的某一实体以衍生身份提出索赔或诉讼理由。根据法院在确认聆讯中的裁决,第8类权益的任何持有人均不得因先前未能退回选择退出的解除协议而被视为解除协议的一方。将第8类权益持有人从这一定义中除名并不影响一方以任何其他身份根据计划、确认令和法院在确认聆讯中的裁决所给予的释放。(d)该计划第IX.B节就“债权和权益持有人的解除”(“第三方解除”)规定如下:自生效之日起,每一解除方被视为已解除每一解除方的任何和所有已知或未知的债权和诉讼因由,包括债务人或其遗产在法律上本有权自行主张的任何债权和诉讼因由,包括可衍生或代表债务人(或其遗产)主张的任何债权或诉讼因由,该实体在法律上本应有权(无论是单独或集体地)根据债务人的全部或部分(包括其管理、所有权或经营或其他方式)主张债务人发行的任何证券及其所有权、债务人在法庭内外的重组努力、任何撤销诉讼、第11章案件、术语案件的拟订、编制、传播、谈判或备案23-10024-JTD Doc 515-1提交05/23/23第88页,共90页


 
630395924.1表、RSA、披露声明、出售动议、计划、计划补充,或与出售、计划、计划补充、第11章案件、第11章案件、提交确认令、出售命令、追求完成、管理和实施计划有关的任何其他交易、合同、文书、解除或其他协议或文件,包括根据计划或任何其他相关的作为或不作为、交易、协议,在生效日期当日或之前发生的事件或其他发生或不作为;但本条文的作用不应是免除或解除与任何行为或不作为有关的任何索赔或诉讼因由,而该行为或不作为是由有管辖权的法院在《最后命令》中裁定构成该人的实际故意欺诈、故意不当行为或重大过失的;但进一步规定,即使《披露声明和计划》中有任何相反的规定,本条文不适用于任何未受损害的索偿,直至该未受损害的索偿已按根据适用法律所厘定的该等索偿的准许金额,或按该等索偿的持有人与债务人或清盘受托人(如适用)所议定的条款,付清为止,而在该等情况下,本条文在所有方面均适用于该适用的未受损害索偿。尽管上述规定有任何相反的规定,上述解除并不解除(1)任何一方或实体根据本计划或为执行本计划而签立的任何文件、文书或协议(包括本计划补充文件所列的文件、文书或协议)所承担的任何生效日期后的义务;(2)根据售货令或就售货令所承担的任何义务;或(3)保留的诉讼因由,其追讨将限于任何适用的保险单和适用的法律的规定,但与遣散费索赔有关的追讨除外。被视为准予释放本节所述的每一个人和实体,应被视为准予释放,即使该个人或实体以后可能发现的事实是该个人或实体现在知道或认为是真实的事实之外的事实或与之不同的事实,且不考虑随后发现或存在此类不同或额外的事实,且该个人或实体明确放弃该个人或实体根据任何成文法或普通法原则可能拥有的任何和所有权利,包括但不限于,在适用的范围内,《加利福尼亚民法典》第1542条将把这种释放的影响限制于在生效日期实际已知或怀疑存在的那些要求或诉讼理由。《加利福尼亚民法典》第1542条一般规定如下:“一般释放不适用于声称债权人或释放方在执行释放时不知道或怀疑以他或她的名义存在,并且如果他或她知道,将对他或她与债务人或释放方的和解产生重大影响。”判例23-10024-JTD Doc 515-1提交05/23/23第89页


 
730395924.1(e)本计划第IX.D节关于“禁制”规定如下:除本计划或确认令另有规定外,所有已持有、持有或可能持有债权、权益、诉讼因由或责任的实体:(1)根据本计划的条款进行妥协和解决;(2)已根据本计划解除;(3)已被购买并由与出售有关的购买者解除;(4)根据本计划被免除责任;或(5)在其他方面被满足、中止、解除,或根据本计划的条款终止的,自生效日期起或之后,永久禁止以任何方式启动或继续进行任何诉讼或其他程序,包括针对债务人或任何实体(或任何实体的财产或财产,直接或间接地,如此解除或免除)的任何债权、权益、诉讼因由或责任,或与任何解除、解决、妥协或免除的债权、权益、诉讼因由或责任有关,包括自生效日期起及之后被永久禁止并被禁止对债务人、清算信托、被解除担保方或被解除担保方(如适用)采取下列任何行动:(1)以任何方式启动或继续以任何方式启动或继续任何诉讼或其他任何类型的诉讼或程序(2)以任何方式或手段强制执行、附加、收集或追回任何判决、裁决、判令,或因任何该等申索或权益或与该等申索或权益有关而针对该等实体作出的命令;(3)设立、完善,或因任何该等债权或权益而对该等实体或该等实体的财产或产业强制执行任何种类的留置权或产权负担;(4)就该等实体或该等实体因任何该等债权或权益而应承担的任何义务,或就该等实体因任何该等债权或权益而应承担的任何义务,或就该等债权或权益而应承担的任何义务,或就该等实体的财产,主张任何种类的抵销权或代位权,除非该实体已在向破产法院提交的文件中及时主张该抵销权,该文件明确地保留了该抵销权,(5)以任何方式启动或继续任何诉讼或其他任何种类的诉讼或其他程序,而该等诉讼或程序是由于或与根据本计划解除或解决的任何该等诉讼或程序有关,或与该等诉讼或程序有关。在破产法院发出确认令后,所有债权和权益持有人及其他利益相关方,连同其各自的现任或前任雇员、代理人、高级职员、董事或委托人,应被禁止采取任何行动干预债务人、清算受托人及其各自的关联公司、雇员、顾问、高级职员和董事或代理人实施或完成本计划。[页数剩余部分有意留空]判例23-10024-JTD Doc 515-1提交05/23/23第90页