Exhibit T3A-30 6057-021-3 STATE OF ILLINOIS File Number CLAY COUNTY 127, 797 THIS INSTRUMENT WAS FILED FOR RECORD IN THE RECORDERS OFFICE OF CLAY COUNTY, AFORE SAID ON THE 13th DAY OF July 1999 AT 11:45 OCLOCK A.M. AS MICROFILMED DOCUMENT # 127,797 [ILLEGIBLE] RECORDER State of Illinois Office of The Secretary of State Whereas, ARTICLES OF INCORPORATION OF WARRIOR WELL SERVICES, INC. INCORPORATED UNDER THE LAWS OF THE STATE OF ILLINOIS HAVE BEEN FILED IN THE OFFICE OF THE SECRETARY OF STATE AS PROVIDED BY THE BUSINESS CORPORATION ACT OF ILLINOIS, IN FORCE JULY 1, A.D. 1984. Now Therefore, I, Jesse White, Secretary of State of the State of Illinois, by virtue of the powers vested in me by law, do hereby issue this certificate and attach hereto a copy of the Application of the aforesaid corporation. In Testimony Whereof, I hereto set my hand and cause to be affixed the Great Seal of the State of Illinois, at the City of Springfield, this 6TH day of JULY A.D. 1999 and of the Independence of the United States the two hundred and 24TH. [ILLEGIBLE] Secretary of State C-212.3

Form BCA-2.10 (Rev. Jan. 1999) Jesse White Secretary of State Department of Business Services Springfield, IL 62756 http://www.sos.state.il.us Payment must be made by certi- fied check, cashiers check, Illi- nois attorneys check, Illinois C.P.As check or money order, payable to Secretary of State. ARTICLES OF INCORPORATION This space for use by Secretary of State FILED JUL 6 1999 JESSE WHITE SECRETARY OF STATE | SUBMIT IN DUPLICATE! This space for use by Secretary of State Date 7-6-99 Franchise Tax $ 25.00 Filing Fee $ 75.00 100.00 Approved: [ILLEGIBLE] 1. CORPORATE NAME: WARRIOR WELL SERVICES, INC. (The corporate name must contain the word corporation, company, incorporated, limited or an abbreviation thereof.) 2. Initial Registered Agent: Robert G.. Coble First Name Middle Initial Last name Initial Registered Office: 832 West North Avenue Number Street Suite # Flora IL Clay 62839 City County Zip Code 3. Purpose or purposes for which the corporation is organized: (If not sufficient space to cover this point, add one or more sheets of this size.) The transaction of any or all lawful businesses for which corporations may be incorporated under the Illinois Business Corporation Act of 1983. 4. Paragraph 1: Authorized Shares, Issued Shares and Consideration Received: Par Value Number of Shares Number of Shares Consideration to be Class per Share Authorized Proposed to be Issued Received Therefor common $ N/A 100,000 100,000 $1,000.00 TOTAL = $1,000.00 Paragraph 2: The preferences, qualifications, limitations, restrictions and special or relative rights in respect of the shams of each class are: (If not sufficient space to cover this point, add one or more sheets of this size.) (over)

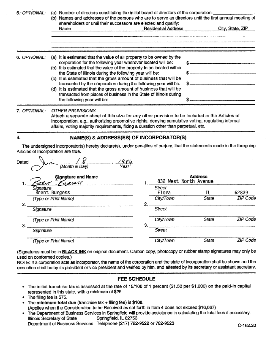
5.OPTIONAL: (a) Number of directors constituting the initial board of directors of the corporation: (b) Names and addresses of the persons who are to serve as directors until the first annual meeting of shareholders or until their successors are elected and qualify: Name Residential Address City, State, ZIP 6. OPTIONAL: (a) It is estimated that the value of all property to be owned by the corporation for the following year wherever located will be: $ (b) it is estimated that the value of the property to be located within the State of Illinois during the following year will be: $ (c) It is estimated that the gross amount of business that will be transacted by the corporation during the following year will be: $ (d) It is estimated that the gross amount of business that will be transacted from places of business in the State of Illinois during the following year will be: $ 7. OPTIONAL: OTHER PROVISIONS Attach a separate sheet of this size for any other provision to be included in the Articles of Incorporation, e.g., authorizing preemptive rights, denying cumulative voting, regulating internal affairs, voting majority requirements, fixing a duration other than perpetual, etc. 8. NAME(S) & ADDRESS(ES) OF INCORPORATOR(S) The undersigned incorporator(s) hereby declare(s), under penalties of perjury, that the statements made in the foregoing Articles of Incorporation are true. Dated [ILLEGIBLE] , 1999 (Month & Day) Year Signature and Name 1. [ILLEGIBLE] Signature Brent Burgess (Type or Print Name) 2. Signature (Type or Print Name) 3. Signature (Type or Print Name) Address 1. 832 West North Avenue Street Flora IL 62839 City/Town State ZIP Code 2. Street City/Town State ZIP Code 3. Street City/Town State ZIP Code (Signatures must be in BLACK INK on original document. Carbon copy, photocopy or rubber stamp signatures may only be used on conformed copies.) NOTE: If a corporation acts as incorporator, the name of the corporation and the state of incorporation shall be shown and the execution shall be by its president or vice president and verified by him, and attested by its secretary or assistant secretary. FEE SCHEDULE · The initial franchise tax is assessed at the rate of 15/100 of 1 percent ($1.50 per $1,000) on the paid-in capital represented in this state, with a minimum of $25. · The filing fee is $75. · The minimum total due (franchise tax + filing fee) is $100. (Applies when the Consideration to be Received as set forth in Item 4 does not exceed $16,667) · The Department of Business Services in Springfield will provide assistance in calculating the total fees if necessary. Illinois Secretary of State Springfield, IL 62756 Department of Business Services Telephone (217) 782-9522 or 782-9523 C-162.20

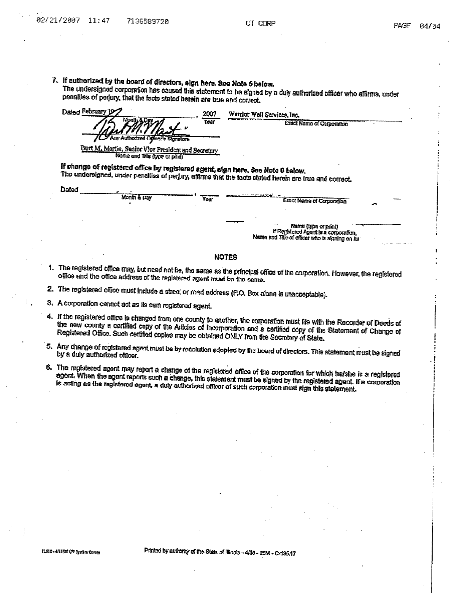
FORM BCA 5.10/5.20 (rev. Dec 2003) STATEMENT OP CHANGE OF REGISTERED AGENT AND/OR REGISTERED OFFICE Business Corporation Act Jesse White, Secretary of State Department of Business Services Springfield, IL, 62756 217-782-3847 www.cyberdriveillions.com Remit payment in the form of a check or money order payable to Secretary of State. FILED FEB 21 2007 JESSE WHITE SECRETARY OF STATE File# 6057-021-3 Filling Fee:$25 Approved: IL Submit in duplicates Type or Print clearly in black Ink Do not write above this line 1. Corporate Name: Warrior Well Services, Inc. 2. State or Country of Incorporation: Illinois 3. Name and Address of Registered Agent and Registered Office as they appear on the records of the Office of the Secretary of State (before change): Registered Agent Robert G Coble First Name Middle Name Last Name Registered Office 832 W. North Ave, POB 538 Number Street Suite No. (P.O. Box alone is unacceptable) FLORA, IL 62839 Clay City ZlP Code County 4. Name and Address of Registered Agent and Registered Office shall ha (after all changes herein reported): Registered Agent C T Corporation System First Name Middle Name Last Name Registered Office 208 S LaSalle Street, Suite 814 Number Street Suite No. (P.O. Box alone is unacceptable) Chicago, IL 60604 Cook City Zip Code County 5. The address of the registered office and the address of the business office of the registered agent, as changed, will be Identical. 6. The above change was authorized by; (X one box only) a. T Resolution duly adopted by the board of directors. (Note 5) b. £ Action of the registered agent (Note 6) SEE REVERSE FOR SIGNATURE(S). Printed by authority of the State of Illinois - 4/05 - 25M -C-135.17 [ILLEGIBLE]

7. If authorized by the board of directors, sign here. See Note 5 below. The undersigned corporation has caused this statement to be signed by a duly authorized officer who affirms, under penalties of perjury, that the facts stated herein are true and correct. Dated February [ILLEGIBLE] , 2007 Warrior Well Services, Inc Month & Day Year Exact Name of corporation [ILLEGIBLE] Any Authorized Officer Signature Burt M. Martin, Senior Vice President and Secretary Name and Title (type or print) If change of registered office by registered agent, sign here. See Note 6 below. The undersigned, under penalties of perjury, affirms that the facts stated herein ere true and correct. Dated , Month & Day Year Exact Name of Corporation Name (type of print) If Registered Agent to a corporation. Name and Title of officer who is signing on Its NOTES 1. The registered office may, but need not be, the same as the principal office of the corporation. However, the registered office and the office address of the registered agent must be the same. 2. The registered office must include a street or road address (P.O. Box alone is unacceptable). 3. A corporation cannot act as its own registered agent. 4. If the registered office is changed from one county to another, the corporation must file with the Recorder of Deeds of the new county a certified copy of the Articles of Incorporation and a certified copy of the Statement of Change of Registered Office. Such certified copies may be obtained ONLY from the Secretary of State. 5. Any change of registered agent must be by resolution adopted by the board of directors. This statement must be signed by a duly authorized officer. 6. The registered agent may report a change of the registered office of the corporation for which he/she is a registered agent. When the agent reports such a change, this statement must be signed by the registered agent. If a corporation is acting as the registered agent, a duly authorized officer of such corporation must sign this statement. Printed by authority of the State of Illinois - 4/05 - 25M C-135.17 [ILLEGIBLE]
