附件 4.9
【注意:请注意,该通知的英文版本是对西班牙文原始文件的翻译。如译本与原西班牙文版本有任何不一致之处,应以后者为准。]
关税条例的规则
1. |
一般考虑 |
1.1. |
这些关于关税监管的规则和本协议的附录(以下简称“规则”)适用于联邦经济竞争委员会(以下简称“COFECE”)认为不存在合理条件来保证提供受监管服务的竞争的机场特许权。 |
1.2. |
前款所指的特许权,只要COFECE认为不存在提供机场服务的合理竞争条件,也不涉及特许权持有人按照《机场法》第七十条的规定与补充服务提供者订立的合同项下的租赁和费用,均适用本规则。 |
1.3. |
联邦民航局(以下简称“AFAC”)是基础设施、通信和运输部下属的自治行政机构,是负责本规则适用、解释和核查遵守情况的政府机构。 |
1.4. |
该规则规定了每流量单位的最高收益(以下简称“联合最高关税”),特许权持有人可以收取该费用,以换取本规则第2点规定的服务(以下简称“受监管服务”)。 |
1.5. |
在一个自然年度内,因在机场提供受规管服务而产生的收入总额,除以处理的交通单位总数,不得超过本规则规定的联合最高关税。 |
1.6. |
出于报告目的,所有货币计算必须按照财务报告标准(NIF)B-10“通胀影响”中规定的类似方法,以截至上一年12月31日的比索表示。 |
1.7. |
一个交通单位定义为运输1名旅客或100公斤货物。某一机场处理的总流量单位,应计算为使用该机场基础设施的航空抵离旅客,包括过境和中转旅客的总和,再加上该机场抵离、过境和中转的货运量(以百公斤计)。 |
1.8. |
如果特许权持有人在给定日历年度内累积的收入超过既定的联合最高关税,在与特许权持有人举行听证会后,AFAC |
将规定对特定注册关税的调整。AFAC将允许特许权持有人重新登记其关税,目的是减少其从受监管服务中获得的收入。
2. |
受规管服务 |
2.1. |
根据这些规则,受监管服务被定义为:与特许权持有人与补充服务提供者签订的合同有关的机场服务、租赁和费用。 |
2.2. |
以下被明确排除在受监管服务之外: |
2.2.1. |
公共汽车停车服务。 |
2.2.2. |
与向乘客或飞机提供服务并非不可或缺的行政办公室或设施有关的租赁及费用,而该等租赁及费用均属AFAC所认为。 |
3. |
具体关税 |
3.1. |
特许权持有人应当按照《机场法》第六十九条和《机场法条例》第一百三十三条第一款、第一百三十四条、第一百三十五条和第一百三十六条的规定,在AFAC建立并登记适用于每项受管制服务的特定资费。此类特定关税通常只能每六个月修改一次,或者在对联合最高关税进行调整时或在AFAC检测到在给定日历年度内超过联合最高关税应计收入时才特别修改一次。 |
3.2. |
特许权持有人可自行决定不同时间、作业量、规上服务包以及其他一般条件的不同资费水平,条件是所述资费不超过在AFAC登记的资费,并适用于所有符合相应条件的用户。特许权持有人应将关税适用的任何奖励、促销或折扣通知AFAC。 |
4. |
联合最高关税的厘定 |
4.1. |
联合最高关税通常在每五年的最后六个月确定,即每五年确定一次。然而,在每五年期间,联合最高关税可按要求调整或更新,如本规则第5点和第7点所述。 |
4.2. |
用于计算联合最高关税的变量的数值将由特许权持有人在上一个五年期的最后一年提出。它们将根据本规则附录A和B的规定,接受AFAC的审查,并在适用时获得授权。经济和金融变量必须从紧接的前一年开始以实际价值表述。 |
4.3. |
适用于计算联合最高关税的贴现率或收益率,由AFAC根据本规则第9点的规定,确定。 |
4.4. |
特此理解,贴现率构成确定联合最高关税的参数,在任何情况下都不会被解释为投资贴现率构成联邦政府对收益率目标或类似未来回报的保证或承诺。此外,实现这种回报不应构成特许权持有人遵守特许权协议规定的义务的条件。 |
4.5. |
联合最高关税将采用贴现现金流量法确定。联合最高关税将根据以下公式计算和建立: |

哪里:
VPN |
净现值 |
指截至第n年的参考值。 |
TMC |
联合最高关税 |
指受规管服务的每个交通单位的联合最高收费标准。 |
犹他州 |
交通单位 |
指在拟议的主发展计划的第一个五年期间预测的每一年的交通单位数量。 |
I |
投资 |
与提供受监管服务有关的拟议总发展计划的第一个五年期间的每一年将作出的承诺投资的总和。 |
C |
成本和运营费用 |
与提供受监管服务有关的拟议总开发计划的第一个五年期间的每一年的所有预测成本和运营费用(不包括折旧和摊销)。 |
r |
贴现率 |
指的是投资回报率。 |
n |
年份 |
指五年期间的每个日历年。 |
VT |
终端价值 |
指第5年结束时的剩余价值,将按第10点所述进行估算。 |
4.6. |
拟纳入公式的资本投资价值(i)将仅考虑提供受监管服务的投资的估计金额之和。 |
4.7. |
拟纳入公式的成本和运营费用(c)的价值将仅考虑提供受监管服务的估计支出的总和,这些支出应按照规则附录A中定义的类别进行细分。 |
4.8. |
在普通或特别联合最高关税审查期间,AFAC将要求特许权持有人提供任何和所有相关信息和文件,以证实或有助于证实投资(I)以及成本和运营费用(C)之和的拟议价值,以便AFAC授权拟议金额。如果AFAC确定此类信息包含错误和/或不一致,将与特许权持有人举行听证会,AFAC可以对特许权持有人就(i)和(c)提出的金额进行修改。 |
4.9. |
按照前述程序确定的联合最高关税在适用的五年期限内具有约束力。在审查和确定联合最高关税的过程中,AFAC将寻求减少每一个五年期间的突然变化。 |
5. |
对联合最高关税的更新和调整 |
5.1. |
根据本《规则》的规定,一旦为相应的五年期间确定了联合最高关税,将每年根据效率进行调整,并根据通货膨胀进行更新。 |
5.2. |
联合最高关税将在相关五年期内每年的第一天根据效率系数进行调整,效率系数将在之前的普通五年期审查中确定。这一效率系数必须在五年期间的每一年开始时与联合最高关税一起公布。 |
5.3. |
效率因数将由AFAC确定,并将小于1,以小数表示。 |
5.4. |
效率调整将按以下公式确定: |

哪里:
TMCt |
新的联合最高关税 |
指现行联合最高关税,经效率调整后。 |
TMCt-1 |
先前的联合最高关税 |
指适用于效率调整的联合最高关税。 |
X |
效率因数调整 |
指效率系数,以小数表示,将用于调整联合最高关税。 |
5.5. |
根据效率调整,联合最高关税将根据国家统计和地理研究所(以下简称“INEGI”)公布的全国生产者价格指数(以下简称“INPP”)更新累计通胀。上述更新应每六个月进行一次,或在累计涨幅超过5%(5.0%)的情况下进行,以最近一次通胀更新日期之后最先发生的为准。 |
6. |
联合最高关税的定期审查 |
6.1. |
联合最高关税将每五个日历年定期修订,即在当前五年期的最后六个月内,届时将提交下一期的总发展计划以供审查。 |
6.2. |
在批准的总发展计划中对以后期间和本规则的预测的基础上,AFAC将修订并确定未来五年内适用的新参数,包括交通单位的新预测、参考值、贴现率、估计的运营成本和费用以及投资承诺。 |
6.3. |
出于上述目的,主开发程序必须按照本规则附录B规定的程序编制。 |
6.4. |
AFAC可以随时要求特许权持有人提供其认为相关的任何澄清或补充信息,并可以征求机场用户、航空承运人和乘客的意见。 |
7. |
对联合最高关税的特别调整 |
7.1. |
在这一点所述的情况下,无论相关的五年期是否已过,AFAC都可能进行非常审查,并在适用的情况下调整联合最高关税。 |
7.2. |
应特许权持有人的请求,当需要与提供受监管服务相关的运营成本或资本投资时,这些服务不包括在主开发计划中,原因是: |
7.2.1. |
对特许权持有人在下一次定期审查前必须达到的质量标准的适用立法或条例的修改; |
7.2.2. |
对要求实施特许权持有人必须立即遵守的新的安全措施或环境保护措施的适用立法或条例的修改;或 |
7.2.3. |
导致修改主开发程序的自然灾害,在预测需求和所需投资和工程方面都是如此。对于 |
为此目的,应在紧接所述赔偿支付后的一年内,按名义价值并作为运营费用考虑来自各自保单的任何赔偿,以便调整以后年度的联合最高关税。如果纳入补偿导致联合最高关税突然上升,总和可能会分摊到几年,并相应进行价格调整。
7.3. |
当AFAC授权特许权持有人减少在已批准的总发展计划中建立的资本投资时,由于某一年的空中交通量与该计划中用作假设的交通量预测相比显着下降,原因是墨西哥的经济活动收缩超过5%(5.0%),以INEGI之前连续12个月报告的国内生产总值衡量。 |
7.4. |
当年度审查结果确定在紧接的前一年度:AFAC将调整联合最高关税: |
7.4.1. |
在当前的主开发计划中建立的投资没有全部或部分进行,因此没有进行工程或以较低的标准进行。 |
7.4.2. |
提供受监管服务产生的总收入除以该日历年度的总流量单位数,超过了更新的、授权的联合最高关税。 |
7.5. |
在第7.4.1和7.4.2点规定的情况下,尽管有任何适用的处罚措施,AFAC将降低联合最高关税,其方式是,按照现值并基于适用现行折扣率,对用户多收的费用进行补偿。在第7.4.2点所述情形下,AFAC可以规定对特定关税的调整。 |
7.6. |
进行特别审查时: |
7.6.1. |
特许权持有人必须提交其要求的任何和所有信息和文件,以及证明请求正当的任何其他证明文件。 |
7.6.2. |
在对联合最高关税的特别审查中,将使用相关年份的参考值,在不包括石油的INPP基础上更新通货膨胀,并应用第4.5点中描述的公式。 |
7.6.3. |
调整后的联合最高关税,按照这一点,将适用于剩余期间,直至下一次定期审查,但有一项谅解,即可能会根据第5点和这一点的规定进行调整和更新。 |
8. |
参考值的确定 |
8.1. |
参考值表示受监管服务的呈现所预测和产生的现金流量(税前)的净现值。它们的计算方法在本文件附录E中进行了描述。它们是由提供受监管服务产生的收入、减去成本和运营费用(不包括折旧和摊销)以及预计资本投资的总和。 |
8.2. |
参考值仅构成联合最高关税的估计和在适用情况下确定的指示性参数。因此,它们不构成联邦政府在财务回报或机场业务价值方面的任何性质的保证。 |
8.3. |
参考值将根据特许权持有人作为最近批准的总开发计划的一部分所提出的预测中的现金流量计算,该预测适用于所涉期间,并按以下第9点由AFAC确定的适用贴现率进行贴现。 |
8.4. |
由于从确定联合最高关税的第七个普通时段开始,将首先对前五年期间的预测交通单位与同一时段的实际交通结果进行比较。在机场群出现累计差额大于3%的情形时,对新计算使用的参考值(第6年按授权文件)进行调整。超过3%的超额交通单位所产生的经济价值,将从紧接定期检讨前五年期间第6年的参考价值中扣除。经济价值应当理解为超额收益上的管制收入减去特许使用费。 |
8.5. |
在确定下一个普通期间的联合最高关税的程序中,下一个五年期间的第一个参考值将被重新估计为集团中每个特许权持有人在适用的情况下上一次普通或特别审查的第六年的批准参考值之和,该参考值将根据过去五年记录的实际平均运输单位分配给每个特许权持有人。为此,AFAC将根据该年度内记录的交通单位计算当前五年期间最后一年剩余时间的年化数字,以建立交通单位的五年总数。 |
8.6. |
支付给政府的款项的现值,超过根据附录A第3点列入最近一次普通审查的款项,应加入第6年的参考值,以用于以下普通审查。 |
8.7. |
对于本节阐述的调整,第8.3点确定的数值将首先按照第8.4点进行调整,然后是8.6,最后是8.5。 |
9. |
贴现率的确定 |
9.1. |
投资回报率的贴现率或目标是衡量机场行业公司资金成本(实际、税前)的指标,仅构成机场行业的一个参数 |
确定联合最高关税。折扣率将根据墨西哥合众国机场部门的平均费率确定。
9.2. |
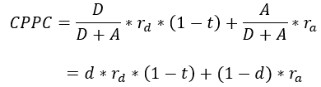
折现率的计算,将首先按照国际通行的方法确定平均加权资本成本(以下简称“CPPC”)。这是由以下公式定义的: |

哪里:
rd是债务成本
ra是股权成本
D是债务的价值
A是价值如果股权
d |
= |
D |
是杠杆水平 |
D + A |
t是所得税法规定的企业所得税税率[ Ley del Impuesto Sobre la Renta ]
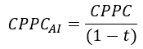
9.3. |
随后,将对中国石油“税前”进行计算,按照以下公式: |

哪里:
CPPC人工智能是CPPC税前
9.4. |
最后,折现率在“税前-实际”CPPC基础上,按照以下公式确定: |

哪里:
是国际货币基金组织最新出版的《世界经济展望》出版物中公布的美国期末预期通胀率的五年均值。
9.5. |
计算CPPC和贴现率所用的参数将按照下述程序进行估算: |
9.5.1. |
权益成本的确定() |
股权成本采用资本资产定价模型(CAPM)方法确定,基于以下公式:

哪里:
ra是股权成本
rf是无风险收益率
rm是市场风险溢价
β是墨西哥机场板块公司回报率相对于股票市场整体的波动
无风险收益率(rf)
无风险收益率将根据墨西哥合众国政府在全球市场上发行的以美元计价的UMS(墨西哥合众国)债券最近五年的平均收益率确定。为此目的,将使用期限在5至30年之间的UMS债券作为参考。
如果墨西哥合众国政府暂停UMS债券发行,计算将基于最近五年到期期限在5年至30年之间的美利坚合众国国债收益率的平均值,再加上国际公认来源提供的国别风险溢价。
市场-风险溢价(rm)
市场风险溢价是指市场为投资股票市场上的资产而支付的溢价。市场风险必须量化为衡量市场相对波动的指标,特别是与美利坚合众国的市场风险相关的指标,如下所示:

哪里:
rm是市场风险溢价(%)
rm,EEUU是美国的市场风险溢价(%)
σ墨西哥交易所是墨西哥股市的标准差(per í ndice de precios y cotizaciones)(%)
σ欧洲联盟是美利坚合众国股票市场的标准差(每标普 500)(%)
为确保客观性、透明度以及与其他参数的一致性,将使用Aswath Damodaran估计的过去五年的平均值进行rm,EEUU,σ墨西哥交易所和σ欧洲联盟
如果Aswath Damodaran暂停或取消发布这些参数,AFAC将根据国际公认的方法确定它们,使用最近五年的每周频率。
机场板块公司Beta(β)
β衡量的是一家公司股票收益率相对于股票市场整体收益率的敏感性。
要确定β的值,AFAC将按照以下顺序步骤进行:
i)。 |
确定在墨西哥股票市场交易的机场部门每个公司的杠杆β值。为确保客观性、透明度以及与其他参数的一致性,将使用路透社在其官网上发布的β值,该值在过去五年中以每月一次的频率计算。 |
如果路透暂停或取消公布所需的杠杆β值,AFAC将根据国际公认的方法确定杠杆β值,使用最近五年的每月频率。
二)。 |
去杠杆步骤i)中得到的每个杠杆β值,根据以下公式: |

为此计算的目的,将使用受本规则约束的所有特许权持有人资本结构的算术平均值,以计算最近五年在年度财务报表中报告的平均D/A商。
iii)。 |
重新利用步骤ii)中获得的每个去杠杆β,特别使用机场集团资本结构的算术平均值,作为最近五年在年度财务报表中报告的D/A商的函数,为组成机场集团的每个特许权持有人。 |
四)。 |
得到步骤iii中得到的再杠杆β值的算术平均值)。 |
这一步得到的平均β值将是公式中作为参数确定权益成本的β值(ra).
9.5.2. |
杠杆水平 |
在每次定期审查期间,估计杠杆水平(d)the
比率将是特别是构成机场集团一部分的墨西哥机场特许权持有者,与他们在墨西哥的运营有关,然后将确定这些水平的算术平均值。为此目的,将考虑过去五年期间观察到的平均值。
9.5.3. |
债务成本 |
在每次定期审查期间,确定债务成本(rd)债务总成本将特别针对每个机场集团进行计算,由需确定联合最高关税的特许权持有人组成,包括所有以信贷、贷款、债券发行以及其他具有隐性财务成本的金融工具(衍生品、期权等)形式存在的短期和长期债务。
为此目的,特许权持有人必须提供现行贷款协议或类似文件中确定的债务成本,其中规定了与利率、债务金额、资本摊销等有关的一般条款和条件,并应解释用于确定机场集团最近五年提出的与墨西哥机场特许权持有人及其在墨西哥的业务有关的债务成本的方法。
9.5.4. |
建议资本Structure |
若特许公司决定呈现与AFAC测算的未来资本结构和/或债务成本存在差异、并附有可核查的书证证明,AFAC在测算CPPC时应考虑特许权持有人提交的资本结构。
10. |
终值的厘定 |
10.1. |
终值表示在特许权的剩余有效期内将产生的现金流量的现值。 |
10.2. |
终值将按以下公式计算: |

哪里:
VT是终值
FEN是五年预测的最后一年对应的现金流,按照附录E计算,不包括在该年度进行的非经常性投资。此类投资应理解为与运力增加有关的投资,应包括但不限于新建跑道、新建滑行道、新建航站楼或征用土地。
在AFAC酌情决定的情况下,还应包括其他有适当理由的经常性或非经常性投资。
r为按照本规则第9点计算的贴现率。
n是五年预测的最后一个日历年与特许经营期的最后一个日历年之间的年数。
g计算为显性预测的前10年期间交通单位的年复合平均增长率(CAGR)。如果这一增长率与已经过去的特许经营期内机场的历史流量表现不一致,AFAC可能会根据行业趋势和机场的具体增长率对该增长率进行调整。
11. |
合规监管 |
11.1. |
通常在每年年初,或特别是,AFAC将核实特许权持有人在紧接的前一个日历期间是否遵守联合最高关税的适用以及所需投资的实施情况 |
年。为此,在每个自然年度的前三个月内,特许权持有人将向AFAC提供详细的年度报告,其中涵盖本规则附录C中提及的所有要点。
11.2. |
为核查投资承诺遵守情况,将开展实物和单证检查。为此,AFAC将在特许机场安排合规验证现场访问,目的是证实投资是根据授权计划进行的,并根据适用法规要求的标准和规格。 |
11.3. |
特许权持有人如因要求修改其总开发计划以调整当年或以后年度的投资承诺,出现经AFAC确认的非常情况时,应于31日向AFAC提出授权申请St最迟在相关年份的12月。在此情况下,AFAC将在不超过60个日历日的期限内对申请作出回复,以便在随后一年的前六个月内开展上一年度投资义务合规监管活动。 |
11.4. |
对总发展计划的授权修订可能不会导致更改在普通审查中承诺的年度投资金额,也不会更改当前五年期的总金额,除非AFAC发布了此前已对其进行分析和估值的授权。 |
11.5. |
对遵守投资义务的核查应以现场访问进行时有效的主开发程序版本为依据。随后对主开发程序的任何修改应适用于以下普通或特别验证访问。 |
11.6. |
为评估年度投资承诺的遵守情况,AFAC将对每个投资项目的实物合规性以及根据所支付的投资金额确定的财务合规性进行核查。因此,除非对多年期项目进行预付款或事先获得AFAC的授权,否则特许权持有人可能无法在未经AFAC对项目进行实物检查的情况下证明投资项目是否合规。 |
11.7. |
特许权持有人可将因建设单价变化或汇率波动而在投资项目中节省的款项重新分配,并将这些款项投资于其他项目,但前提是投资项目的商定范围和总开发计划中授权的年度投资金额不受影响。 |
11.8. |
一旦进行了实物和文件检查以验证是否符合本规则,并且在对联合最高运价进行修改的情况下,AFAC将提供有关年度的前六个月内调整后的机场联合最高运价的通知。因此,特许权持有人必须作出必要的 |
对其特定关税进行调整,以符合AFAC确定的最高收入。
11.9. |
尽管有上述规定,AFAC可随时对遵守本规则的情况进行核查。与此相关: |
11.9.1. |
特许权持有人有义务提供附录C所列的定期信息,以及AFAC要求的任何其他文件、信息或澄清,并 |
11.9.2. |
AFAC可以在机场用户的参与下进行调查和咨询过程,无论是直接还是通过第三方,以核实特许权持有人提交的信息、质量标准的遵守情况以及总开发计划的遵守情况。 |
11.10. |
对于特许权持有人根据这一点必须提交的信息和文件的内容和格式,以及必须提交的表格和公式,AFAC可以对这些内容和格式提出具体要求。 |
12. |
有效期 |
12.1. |
本《关税管制规则》自通知特许权持有人之日起生效。 |
附录A
与提供相关的成本和费用分摊标准
作为受规管服务包括在内的服务
1. |
直接归属于机场服务运营的成本和费用: |
1.1 |
工作人员: |
1.1.1 |
一般来说,专门用于机场活动的工作人员,如运营人员、维护和保养人员、安保人员和机场消防员的总费用都包括在内。 |
1.1.2 |
与共用区域的工作人员有关的成本,例如行政、会计和维护人员等类别,应根据其在最近五年内对受监管服务收入的贡献列入。 |
1.1.3 |
AFAC应评估和验证与员工总成本相关的金额及其与提供受监管服务的关系。 |
1.2 |
电力: |
1.2.1 |
一般来说,基础设施和设备的用电,以及航站楼与机场服务直接相连的那些区域,都包括费用。在航站楼,成本将按照提供规范服务的专用平方米占总表面积的比例进行分配。 |
1.2.2 |
在无法做到这一点的情况下,所有不能直接分配给机场服务的费用,应按其最近五个会计年度对受监管服务收入的贡献计入。 |
1.2.3 |
AFAC应评估和验证与电力成本及其与提供受监管服务的关系有关的总和。 |
1.3 |
材料和用品: |
1.3.1 |
一般来说,用于基础设施、设备以及直接涉及提供受管制服务的航站楼区域的材料和用品的费用都包括在内。在航站楼,成本将在提供规范服务中按面积使用比例分配。 |
1.3.2 |
在无法做到这一点的情况下,不能直接分配给机场服务的所有材料和用品的费用,应按其对规范服务收入的贡献计入。 |
1.3.3 |
AFAC应评估和验证与材料和供应成本相关的金额及其与提供受监管服务的关系。 |
1.4 |
维修保养: |
1.4.1 |
一般情况下,包括基础设施和设备的维护费用,以及直接涉及提供规范服务的航站楼面积。在航站楼,成本将按提供规范服务所使用的平方米数按比例分配。 |
1.4.2 |
在无法做到这一点的情况下,所有不能直接分配给受监管服务的维护费用,应根据其在最近五个会计年度对受监管服务收入的贡献计入。 |
1.4.3 |
AFAC应评估和验证与维护和保养费用及其与提供受监管服务的关系有关的金额。 |
1.5 |
保险和安保:直接纳入规范服务,除非保险或安保服务是专门为商业服务而订立的合同,应予以排除。 |
1.6 |
税收和贡献:根据其在过去五年中对受监管服务收入的贡献而包括在内。 |
1.7 |
其他:非专属于受监管服务的杂项费用,按其最近五年对受监管服务收入的贡献计入。 |
1.8 |
AFAC认为有必要确定联合最高关税的任何其他项目。 |
2. |
企业层面的成本费用: |
2.1 |
机场成本按照处理的流量单位数量,按照最近五年的平均数在每个机场登记的比例分配给每个单独的机场。 |
2.2 |
以下是机场费用和其他费用之间的分布: |
2.2.1 |
工作人员:如上文第1.1.1.点所述。 |
2.2.2 |
办公室租金和其他一般费用:根据其对最近五年受监管服务收入的贡献而包括在内。 |
3.特许权使用费和关税:
3.1 |
收费金额将对应于《联邦收费法》规定的百分比,适用于提供被归类为受监管服务的服务所获得的收入。 |
4.战略合作伙伴咨询费:
战略合作伙伴咨询费分配给每个单独的机场,按照在每个机场登记的乘客或货物单位数量的比例,按照最近五年的平均值。分配给受监管服务的总和将是30%或受监管服务收入在最近五个营业年度对总收入的贡献中的较低者。
附录b
编制总开发计划的程序
主开发方案将按照《机场法》和《机场法条例》的规定,按照以下程序,每五年更新一次:
1. |
在定期审查日期的二十四个月前,特许权持有人将聘请一家在相关活动中已证明有经验的独立公司,就(a)现有质量标准和未来预期的标准、(b)未来十五年的交通预测以及(c)预测时间范围内的投资需求进行和处理用户调查。 |
2. |
在定期审查日期的18个月前,特许权持有人将根据上述调查结果,并根据机场法和机场法条例的规定,编制机场总体开发方案草案。除其他要求外,本文件草案必须表明以下内容: |
2.1 |
除非AFAC另有规定,否则对随后十五年中每一年的实际预测均为年度预测; |
2.2 |
对于每一年,必须包括至少包括对乘客、货物工作量单位和飞机起降的预测的运营和财务数据,并详细细分和深入解释用于制作这些数据的方法。AFAC可能还需要额外的数据。 |
2.3 |
必须说明所适用的质量标准,以及考虑到的安全措施和环境保护措施。任何提议的更改必须有正当理由,并应包括与其他国家和国际使用的质量标准的比较。 |
2.4 |
所涵盖的每一年的估计资本投资,并详细说明它们是否与受监管服务相关,包括解释用于估计目的的主要假设和方法、将进行的工程的详细分类、成本(包括项目)、关于实施和范围尽可能详细的方案,以及对基础设施质量和能力的影响; |
2.5 |
与受监管服务相关的每年运营成本和费用的详细估计,并解释所使用的主要假设,并遵循附录A中确立的标准。 |
2.6 |
关于在计算联合最高关税时使用贴现率的建议。 |
2.7 |
对联合最高关税和具体关税的影响的估计。 |
2.8 |
AFAC要求的任何其他信息。 |
3. |
在定期审查日期之前的12个月,在三个月的时间内,特许权持有人将通过运营和槽点委员会,将总开发计划草案和联合最高关税等式中包含的变量的估计预测提供给用户进行咨询。这些信息应包括(a)质量标准,(b)随后十五年的交通预测,(c)投资需求和同一时间范围内工程的估计单位成本,以及(d)对联合最高关税水平的影响。 |
4. |
在定期审查日期前九个月,特许权持有人将把用户的所有相关评论和意见纳入主开发计划草案。 |
5. |
在定期审查日期前六个月,特许权持有人将向AFAC提交总开发计划草案,以及运营和槽点委员会的建议。 |
6. |
为此,特许权持有人应提供AFAC要求的与总开发计划有关的所有信息。 |
7. |
在随后的期间内,AFAC将审查拟议的总开发计划以及特许权持有人提交的任何其他信息。AFAC可要求特许权持有人提供其认为必要的任何额外澄清或信息,并可要求机场用户以及运营和时刻委员会提供额外意见。 |
8. |
根据《机场法》第36、37、38、39、40、41、46、48、61、62、71、72、73条第三条、74、76条和第23、24、26、29、30、31、32、33、34、35、37、38、39、40、41、42、43、44、45、47、48、49、50、52、53、54、55、56、57、58、62、65、90、94、95、112、113、114、116、117、119、120、122、129、130、131、132、146、149、151、152、154、155和160的规定发布决议。 |
附录C
特许权持有人提供的年度资料
在每个自然年度的前三个月内,特许权持有人必须向AFAC提交以下信息和文件。所提供的信息将对应于紧接的前一个日历年,这一义务应在本规则生效一年后适用。
1. |
根据财务报告准则编制的财务报表,经具有公认声誉的独立会计师事务所审计,明确描述与受监管服务和非受监管服务相关的收入和费用账户,以及允许识别其的账户的详细信息。 |
2. |
月度旅客总量统计,对到港旅客、离港旅客、中转旅客、中转旅客、收费旅客和免费者进行详细分析,并对相应货物进行统计。前面的数据必须按航空运输服务类型分列:定期、不定期包机、不定期空中出租车,以及商业和非商业私人航空。 |
3. |
每月总运营统计,识别飞机类型和客户端。在商业和非商业私人空运服务的情况下,特许权持有人必须按空运类型报告一个总数。 |
4. |
全天不同时段旅客分布及运营情况。 |
5. |
有关基础设施使用水平的指标。 |
6. |
特许权协议中规定的质量标准的水平和遵守情况。 |
7. |
已进行和正在进行的投资的详细情况,以及关于遵守投资承诺的报告。 |
8. |
各短期和长期信贷对应的流动负债比率。 |
9. |
延误和事故统计。 |
10. |
机场的生产力、运营和财务效率指标。 |
11. |
根据附录A中定义的标准,雇用人数,以及每个运营或职能区域的工作人员总成本。 |
12. |
机场及补充服务供应商名单,描述他们提供的服务以及服务供应商向机场支付的费用和租金的总和。 |
在租金的情况下,特许权持有人必须包括每平方米的费率、租给每个机场和互补服务提供商的平方米数量的详细信息,以及租赁区域的特定属性及其位置。
13. |
在机场服务过的航空运输特许权持有人、受让人或许可证持有人名单,并附有每个用户就每项机场服务以及(如适用)每项补充服务收到的收入的每月详细信息。 |
14. |
所有现行保险单的副本。 |
15. |
保险理赔一览表。 |
16. |
作为费用和关税支付给联邦政府的款项。 |
17. |
归属于提供规范服务的营业成本一览表。 |
18. |
AFAC认为必要的任何其他信息。 |
附录D
联合最高关税确定表格
联邦民用航空局是基础设施、通信和运输部内的一个自治行政机构,根据《机场法》第67、69和70条以及本《关税管制规则》的规定,特此确定:
1. |
以下五年期间适用的机场联合最高运价、参考值及折扣率如下: |
期 |
年份 |
参考价值 |
贴现率 |
联合最高关税 |
1 |
|
|
|
|
1 |
|
|
|
|
1 |
|
|
|
|
1 |
|
|
|
|
1 |
|
|
|
|
2 |
|
|
|
|
2. |
贴现率按实际价值计算,适用于《规则》第9点规定的税前以墨西哥比索表示的现金流量。 |
3. |
上表确定的联合最高关税,按照国家统计地理研究所公布的《关税调控规则》和不含石油的全国生产者价格指数的规定进行调整。 |
4. |
经AFAC事先批准,特许权持有人可以提前进行投资,这些投资应纳入下一个五年期的总开发计划。为此目的,特许权持有人必须提交必要的技术、运营和财务信息,证明有理由推进投资。 |
附录e
现金流量计算程序确定参考值
现金流量按下列各项之和计算:
不包括提供受管制服务产生的增值税的收入(航空收入)
(减)支付给联邦政府的费用,按适用于机场总收入的百分比计算
(减)运营成本和费用,以及基础设施、设施和设备的维护和保养成本,不包括提供受监管服务所产生的折旧和摊销
(减去)分配给机场的企业成本、提供受规管服务所产生的成本以及分配的战略合作伙伴咨询费,(减去)提供受规管服务所产生的经AFAC批准的其他非常成本和开支。
(减去)专门与提供受监管服务相关并在机场总发展计划中获得批准的基础设施和设备的资本投资。