查看原文
免责申明:同花顺翻译提供中文译文,我们力求但不保证数据的完全准确,翻译内容仅供参考!
EX-4.9 16 文件16.htm EX-4.9

附件 4.9

本认股权证和相关证券是为投资而获得的,尚未根据经修订的1933年证券法进行登记。本认股权证和相关证券不得出售或转让,除非(i)与之相关的有效注册声明,持有人的法律意见,令公司满意,该法案不要求进行此类注册,或收到美国证券交易委员会的不采取行动的信函。可通过本认股权证的记录持有人向公司主要执行办公室的公司秘书提出书面请求,免费获得涵盖收购本认股权证和限制其转让的协议副本。

2026年[]之后无效

Intuity Medical, Inc.

普通股购买权证

不。WC-«数字»

兹证明,就收到的价值而言,“名称”或其注册受让人(以下称为“持有人”)有权从特拉华州加利福尼亚州公司购买,该公司的主要营业地点为3500 West Warren Avenue,Fremont,Fremont,094538(“公司”),在本协议第1节规定的日期之后至本协议第1节定义的到期日太平洋时间下午5:00结束的任何时间,最多“股份”公司普通股,每股面值0.00 1美元(“普通股”),可按本文所述进行调整。

本认股权证(“认股权证”)是根据原始持有人、公司和某些其他人于2019年5月2日签署的某些系列5优先股、认股权证和可转换票据购买协议的条款发行的其中规定的投资者(“购买协议”)。本认股权证可由持有人选择全部或部分行使。

1.定义。如本文所用,下列术语应具有以下各自的含义。此处未定义的任何大写术语应具有购买协议中赋予它们的含义。

(a)“行使价”是指0.00 1美元,可根据下文第5条进行调整。

(b)除第5.1条另有规定外,“到期日”是指在2026年(i)[]日或普通股首次公开募股结束时(以较早者为准)结束的期间,除非按照以下规定提前终止。

 

(c)“清算交易”是指公司的任何清算、解散或清盘,无论是自愿的还是非自愿的,或本公司与任何其他实体合并或合并,导致本公司已发行股份的交换由任何此类实体或其关联公司发行或支付或导致发行或支付的证券或其他对价(不包括在不同司法管辖区重新合并公司的合并),其中公司股东在该合并之前或合并不拥有紧接此类合并或合并后公司或存续公司的多数投票权,或本公司作为一方的任何交易或一系列关联交易,其中本公司的多数投票权被转让(集资交易或转让给关联方除外),或出售、独家许可、租赁、放弃, 公司转让或以其他方式处置其全部或几乎全部资产。

(d)“认股权证股份”是指在行使本认股权证时可发行的普通股股份,可根据此处的条款进行调整,包括但不限于根据下文第5条进行调整。

2.期限和锻炼时间表。本认股权证可在到期日期间行使。

3.锻炼方法;支付;发行新认股权证。本权证所代表的购买权可由持有人通过以下方式全部或部分行使:

3.1交出本认股权证(附有作为附件A的形式的已执行的行权通知)以及一份正式签署的投资声明,格式为附件B),按上述地址(或其通过书面通知持有人指定的其他地址)交付给公司;和

3.2。以支票、电汇、免除债务或上述任何组合方式向本公司支付的金额等于当时适用的每股行使价乘以当时购买的认股权证股份数量。

如果本认股权证仅应部分行使,本公司应在交出本认股权证后签署并交付新认股权证,证明其持有人有权购买本协议项下可购买的认股权证股份的余额。本公司在该办事处或本公司的股票转让代理人或认股权证代理人在其办事处收到本认股权证和该行权通知,连同(如适用)总行权价格后,持有人应被视为适用认股权证股份的登记持有人,尽管本公司的股票转让簿随后将被关闭或代表该等认股权证股份的证书将不会实际交付给持有人。本公司应支付就发行或交付认股权证股份应付的任何及所有文件印花税或类似发行税或转让税。

 

2

3.3.净锻炼。

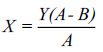
(a)除了且不限制持有人根据本认股权证条款享有的权利外,持有人可选择将本认股权证或其任何部分(“转换权”)转换为认股权证股份,认股权证股份的总价值应等于本认股权证或其被转换部分的价值。持有人可以通过在本公司的主要办事处交出本认股权证以及持有人打算行使转换权的通知来行使转换权,在这种情况下,公司将向持有人发行使用以下公式计算的认股权证股份数量:

 

LOGO

在哪里:

X-行使转换权后将向持有人发行的认股权证股份数量。

Y-行使本认股权证时可发行的认股权证股份数量(或正在行使的较少数量)。

A-根据本协议第3.3(b)条确定的一股认股权证股份的公允市场价值,截至根据本第3条行使转换权时。

B-本认股权证项下一股认股权证股份的行使价(根据此类计算日期进行调整)。

尽管有上述规定,如果在该日期之前未行使或转换,则本认股权证应被视为已根据本第3.3(a)条在到期日转换为认股权证股份。

(b)公平市场价值。就第3.3条而言,一股认股权证股份的公允市场价值应由本公司董事会本着善意行事确定;但前提是:

(i)如果在行使时普通股存在公开市场,则:

(a)一股认股权证股份的公允市场价值应为普通股在普通股上市或获准交易的主要国家证券交易所的每股最后收盘价;或者

(b)如果普通股未在任何交易所上市或交易,则为国家报价局发布的“粉单”(“粉单”)中报告的每股买入价和卖出价的平均值;或者

 

3

(c)如果无法获得此类报价,则本公司董事会善意确定的一股认股权证股份在本公司收到此类通知之日的公允市场价值。

如果认股权证的行使与公司首次公开发行普通股有关,则一股认股权证股份的公允市场价值应为公司首次公开发行的每股发行价;和

在适用的计算期内,所有此类决定将针对股票股息、股票分割、股票合并或其他类似交易进行适当调整。

4.股票全额支付;保留认股权证股份。在行使本认股权证所代表的权利时可能发行的所有股票在发行时将全额缴付且不可评估,并且免除与发行相关的所有税款、留置权和费用。在本认股权证所代表的权利可以行使的期间,本公司将在行使本认股权证所证明的购买权时,始终授权和保留用于发行目的,足够数量的股票以供行使本认股权证所代表的权利。如果根据本认股权证的行使而预留供发行的认股权证股份数量不足,本公司将采取适当行动授权增加其股本,以允许此类发行或持有人可接受的类似发行。

5.调整行使价和认股权证股份数量。本认股权证行权时可购买的认股权证股份的数量和种类以及行权价格将根据某些事件的发生不时调整,具体如下:

5.1.重新分类;合并。如果在行使本认股权证时可发行的类别的未偿证券发生任何重新分类或变化(面值变化,或从面值变为无面值,或从无面值变为面值,或由于分拆或合并),或在任何清算交易的情况下,公司应提前十(10)天向持有人提供此类重组、重新分类或清算交易的书面通知。

5.2.认股权证股份的细分或合并。如果本公司在本认股权证未到期且未到期的任何时间对其股票进行细分或合并,则在细分的情况下行权价格应按比例减少或在合并的情况下增加。

5.3.股票分红。如果公司在本认股权证未到期且未到期的任何时间支付应付股票的股息,或就股票进行任何其他分配(上述第5.1和5.2节中明确规定的任何分配除外),股票,则行权价格应在确定有权收取此类股息或分配的股东之日起及之后进行调整,通过将紧接该确定日期之前有效的行使价乘以分数(i)确定的价格,分数(i)的分子应为紧接该股息或分配之前已发行的股票总数,其分母应为紧接该股息或分派后已发行的股份总数。

 

4

5.4.认股权证股份数量的调整。每次调整行权价格时,本协议项下可购买的股票数量应调整为最接近的整数,即行权价格调整前可购买的认股权证股份数量乘以一个分数所得的乘积,其分子为紧接调整前的行权价,分母为紧接调整后的行权价。

6.部分认股权证股份。不会因本协议项下的任何行使而发行零碎认股权证股份,但本公司应根据当时有效的行使价支付现金以代替此类零碎股份。

7.遵守证券法;认股权证不可转让;股份的处置。

7.1.遵守证券法。持有人通过接受本协议,同意本认股权证和认股权证股份是为了投资而获得的,并且他、她或它不会提供,出售或以其他方式处置本认股权证或任何认股权证股份,除非在不会导致违反经修订的1933年证券法(“法案”)的情况下。行使本认股权证后,本认股权证持有人应以本协议附件B的形式以书面形式确认,如此购买的认股权证股份是为了投资而不是为了分配或转售。此外,持有人应根据公司的合理要求,提供有关该持有人的财务和投资背景的额外信息,以确定持有人是否适合购买认股权证股份。所有认股权证股份(除非根据该法案注册)均应在 基本上采用以下形式(除了适用的州证券法要求的任何图例):

该证券未根据经修订的1933年证券法注册。如果没有(i)与之相关的有效注册声明,持有人的法律顾问对公司满意的意见,则不得出售或转让本证券,该法案不要求进行此类注册,或收到美国证券交易委员会的不采取行动的信函。可通过本证券的记录持有人向本公司主要执行办公室的本公司秘书提出书面请求,免费获得涵盖本证券的收购和限制其转让的认股权证协议的副本。

 

5

7.2.权证的可转让性。本认股权证不得全部或部分转让或转让,除非(i)与之相关的有效注册声明,持有人的法律顾问意见,令公司满意,该法案不要求进行此类注册,或收到美国证券交易委员会的不采取行动的信函(统称为“证券法合规保证”);但前提是在以下任何一项的情况下,认股权证可以在没有证券法合规保证的情况下全部或部分转让,前提是受让人书面同意在与他/她是本协议项下的原始持有人相同的程度上受本协议条款的约束:

(a)在该持有人有生之年或因遗嘱或无遗嘱死亡的自然人持有人将认股权证转让给该持有人的直系亲属或任何托管人或受托人,以代表该持有人或该持有人的直系亲属。本协议所用的“直系亲属”是指持有人的配偶、直系后裔、父亲、母亲、兄弟或姐妹;

(b)将认股权证转让给本公司;

(c)将认股权证转让给持有人的母公司、子公司或附属公司;或者

(d)有限合伙或普通合伙的持有人将认股权证转让给其任何合伙人或前合伙人(与A、B和C一起称为“许可转让”)。

7.3.认股权证股份的处置。行使认股权证后,持有人将有权根据日期为2019年5月2日的某些第九次修订和重述投资者权利协议授予普通认股权证持有人的任何登记权,该协议可能会被修订和/或重述时。对于在此类股份登记之前对任何认股权证股份的任何要约、出售或其他处置,持有人和本认股权证的每个后续持有人同意在此之前向公司发出书面通知,简要说明其方式,如果公司要求,连同该持有人律师的书面意见,大意是该要约,此类认股权证股份无需注册或获得资格(根据当时有效的法案或当时有效的任何联邦或州法律)即可进行出售或其他处置并说明是否根据该法案证明出售或以其他方式处置此类股份 要求任何关于可转让性的适用限制的限制性说明,以确保遵守该法案;但前提是如果受让人以书面形式同意在与他/她/它是本协议项下的原始持有人相同的程度上遵守本协议的条款,则许可转让不需要此类律师意见或不采取行动的信函。

8.股东的权利。本认股权证的任何持有人均无权投票或收取股息,或被视为本公司股票或任何其他证券的持有人,这些证券或任何其他证券可在行使本认股权证时出于任何目的随时发行,此处包含的任何内容均不得解释为授予本认股权证持有人公司股东的任何权利或任何投票选举董事或在任何会议上提交给股东的任何事项的权利,或同意或拒绝同意任何公司行为(无论是在任何资本重组、发行股票、股票重新分类、面值变更或股票变更为无面值、合并、合并、转让或其他情况下)或接收通知的会议,或收取股息或认购权或以其他方式收取股息或认购权,直至本认股权证已被行使且认股权证股份已按照本协议规定交付。

 

6

9.适用法律。本保证书的条款和条件应受加利福尼亚州法律管辖并据其解释,但不适用法律冲突原则。

10.各种各样的。本认股权证中的标题仅为方便和参考而设,不应被视为构成本认股权证的一部分。所有通知和其他通讯均应通过专人递送或通过一级挂号或挂号信邮寄,预付邮资,至购买协议中提供的相应地址,或公司或持有人指定给其他方的其他地址到此为止。

11.购买协议。本认股权证是购买协议中提及的认股权证,并有权享受其中提供的所有利益。

12.权证的丢失、被盗或毁坏。在公司收到令其合理满意的关于本认股权证丢失、被盗或毁坏的证据以及令其合理满意的赔偿或担保后,公司将制作并交付一份遗失认股权证宣誓书,该宣誓书应具有与本认股权证相同的权利,说明该遗失认股权证宣誓书是代替本认股权证签发的,参考本认股权证(及其任何继承者)的原始签发日期和取消日期,以代替本认股权证。

13.修改和弃权。本认股权证的任何条款都可以被放弃或修改(一般或在特定情况下,追溯或前瞻性,在指定的时间段内或无限期),经本公司及多数认股权证股份持有人书面同意,可在行使根据当时尚未发行的购买协议发行的认股权证时发行。

(页面的剩余部分故意留空)

 

7

兹证明,本公司已促使其高级职员正式签署本认股权证,并于2019年______月____日正式授权。

 

I新闻M编辑数控.
签名:  

                     

名称:   埃默里诉安德森
职位:   总裁兼首席执行官

[保证书签名页]

认股权证表格的附件A

运动通知

收件人:Intuity Medical, Inc.

1.签署人特此选择购买Intuity Medical公司__________股普通股,定义见该特定系列5优先股、认股权证和可转换票据购买协议,日期为2019年5月2日,并根据所附认股权证的条款,并在此投标全额支付此类股份的购买价格,以及所有适用的转让税(如有)。

2.签署人特此选择按照认股权证第3.3条规定的方式将所附认股权证转换为认股权证股份。本次转换是针对认股权证涵盖的股份的______________________行使的。

[上面的罢工段落不适用。]

3.请以下列签名人的名义或以下指定的其他名称签发代表上述股票的一个或多个证书:

 

                                名称:   

 

  
   地址:   

 

  
     

 

  
     

 

  

4.签名人表示,上述股票是为签名人的投资目的而获得的,而不是为了或为了与分配相关的转售,并且签名人目前无意分配或转售此类股票分享。为支持此,以下签名人已签署一份投资声明,作为附件B随附。

 

“名称”

签名:

 

 

职位:

 

 

日期:

 

 

认股权证表格的附件B

投资代表声明

 

采购员:  

 

公司:   Intuity Medical, Inc.
安全:  

 

数量:  

 

日期:  

 

就购买上述上市证券和标的股票(“证券”)而言,以下签名人向本公司声明如下:

(a)我们为自己的账户购买这些证券仅用于投资目的,而不是为了或为了与1933年《证券法》(经修订)的任何“分配”相关的转售(“行为”)。

(b)我们理解,证券并未根据该法案根据特定豁免进行注册,该豁免取决于(其中包括)我们在此表达的投资意图的真实性质。在这方面,我们理解,在美国证券交易委员会(“SEC”)看来,如果我们的陈述仅基于目前打算在税收法规规定的最低资本利得期内持有这些证券以进行递延销售,则此类豁免的法定基础可能不可用,为或直至证券的市场价格上涨或下跌,或一年或未来任何其他固定时期。

(c)我们进一步理解,证券必须无限期持有,除非随后根据该法案进行了注册,或者除非可以以其他方式获得注册豁免。此外,我们了解本公司没有义务登记证券。此外,我们了解到,证明证券的证书将印有禁止转让证券的图例,除非它们已注册或公司的法律顾问认为不需要此类注册。

(d)我们了解根据该法案颁布的第144条规定,该规定实质上允许有限公开转售直接或间接从发行人(或从此类发行人的关联公司)获得的“受限证券”),在满足某些条件的非公开发行中。

(e)我们进一步了解,在我们希望出售证券时,可能没有公开市场进行此类出售。

 

« NAME»

 

(签名)  

 

(标题)