查看原文
免责申明:同花顺翻译提供中文译文,我们力求但不保证数据的完全准确,翻译内容仅供参考!
ARS 1 SCSC630202510kars.htm ARS SCSC630202510kars
美国证券交易委员会华盛顿特区20549_____________________________________________表格10-k ______________________________________________________________________________根据《1934年证券交易法》第13或15(d)条提交的截至2025年6月30日的财政年度的年度报告或☐过渡报告南卡罗来纳州(邮政编码)(主要行政办公室地址)(864)288-2432(注册人电话,包括区号)根据该法案第12(b)节注册的证券:每个类别交易代码的名称注册普通股的每个交易所的名称,根据该法案第12(g)节注册的无面值SCSC纳斯达克全球精选市场证券:无。______________________________________________________________如果注册人是《证券法》第405条所定义的知名且经验丰富的发行人,请用复选标记表示。是☐如果根据该法案第13条或第15(d)条的规定注册人没有被要求提交报告,则无需用复选标记表示。☐是否用复选标记表明注册人(1)在过去12个月内(或要求注册人提交此类报告的较短期限内)是否已提交1934年证券交易法第13或15(d)条要求提交的所有报告,以及(2)在过去90天内是否已遵守此类提交要求。☐没有用复选标记表明注册人在过去12个月内(或要求注册人提交此类文件的较短期限内)是否以电子方式提交了根据S-T规则第405条(本章第232.405条)要求提交的每个交互式数据文件。是☐没有用复选标记表明注册人是大型加速申报人、加速申报人、非加速申报人、较小的报告公司还是新兴成长型公司。参见《交易法》第12b-2条中“大型加速申报人”、“加速申报人”、“小型报告公司”和“新兴成长型公司”的定义。大型、加速申报人加速申报人☐非加速申报人(不检查是否为较小的报告公司)↓ 丨☐较小的报告公司☐新兴成长型公司☐如果是新兴成长型公司,请用复选标记表明注册人是否已选择不使用延长的过渡期来遵守根据《交易法》第13(a)节提供的任何新的或修订的财务会计准则。用复选标记表明注册人是否已就编制或出具审计报告的注册会计师事务所根据《萨班斯-奥克斯利法案》(15 U.S.C. 7262(b))第404(b)节对其财务报告内部控制有效性的评估提交报告和证明。如果证券是根据该法第12(b)节登记的,请用复选标记表明备案中包括的登记人的财务报表是否反映了对先前发布的财务报表的错误更正。用复选标记表明这些错误更正中是否有任何重述,需要对注册人的任何执行官根据§ 240.10D-1(b)在相关恢复期间收到的基于激励的补偿进行恢复分析。用复选标记表明注册人是否为空壳公司(定义见法案第12b-2条)。☐是否根据该股票在该日期的收盘价计算,截至2024年12月31日,注册人的非关联公司持有的注册人普通股的总市值为1097416815美元。请注明截至最后实际可行日期登记人各类普通股的已发行股份数量。类别2025年8月18日未偿还普通股,无面值21,884,508股以引用方式并入的文件注册人已通过引用将其2025年年度股东大会最终代理声明的某些部分并入本报告的第三部分,该声明预计将在注册人截至2025年6月30日的财政年度结束后的120天内提交。


 
前瞻性陈述1995年《私人证券诉讼改革法案》、经修订的1933年《证券法》第27A条(“证券法”)和经修订的1934年《证券交易法》第21E条(“交易法”)含义内的前瞻性陈述包含在“业务”、“风险因素”、“法律程序”、“管理层对财务状况和经营结果的讨论和分析”以及“关于市场风险的定量和定性披露”部分和本文其他部分。“预期”、“预期”、“相信”、“打算”、“计划”、“希望”、“预测”、“寻求”、“估计”、“目标”、“项目”、“战略”、“未来”、“可能”、“可能”、“应该”、“将”等词语,这些词语的变体和类似表达方式通常可以识别此类前瞻性陈述。我们在本10-K表格中所作的任何前瞻性陈述仅基于我们目前可获得的信息,并且仅在其作出之日发表。除法律可能要求的情况外,我们明确表示不承担任何义务更新这些前瞻性陈述,以反映本年度报告表格10-K或其他日期之后的事件或情况。这些前瞻性陈述受到许多风险和不确定性的影响,其中许多风险和不确定性超出了我们的控制范围。您不应过分依赖前瞻性陈述,因为实际结果可能与此类陈述中的预期存在重大差异,原因包括但不限于以下几个因素,这些因素既不按重要性排序也不加权:宏观经济状况,包括潜在的长期经济疲软、通货膨胀和供应链挑战、未能管理和实施公司的增长战略、公司从收购中实现协同效应或其他利益的能力、涉及公司更大的渠道销售合作伙伴和供应商的信用风险,影响公司国际业务的利率和汇率以及监管制度的变化,包括新的或增加的关税、经济疲软和通货膨胀、网络攻击给公司业务带来的风险、公司IT系统故障、未能雇用和留住优质员工、公司主要渠道销售合作伙伴的流失、与公司主要供应商和渠道销售合作伙伴的关系或终止或修改与这些主要供应商和渠道销售合作伙伴的运营条款,公司经营战略的变化以及本文所载“风险因素”中阐述的其他因素。


 
目录页第I部分1项1。业务1项目1a。风险因素10项目1b。未解决的工作人员意见20第1C项。网络安全21第2项。属性23项目3。法律程序23项目4。矿山安全披露23第二部分24项目5。市场为注册人的普通股权、相关股东事项和发行人购买股本证券24第6项。【保留】25项7。管理层对财务状况和经营成果的讨论与分析26项目7a。关于市场风险的定量和定性披露44项目8。财务报表和补充数据46项目9。关于会计和财务披露的变化和与会计师的分歧91项目9a。控制和程序91项目9b。其他信息91项目9c。关于阻止检查的外国司法管辖区的披露92第三部分92第10项。董事、执行官和公司治理92项目11。高管薪酬92项目12。某些受益所有人和管理层及相关股东的安全所有权事项92第13项。某些关系和关联交易,以及董事独立性92第14项。首席会计师费用和服务92第四部分93项目15。展品和财务报表附表93项目16。表格10-K摘要93签名97


 
第1部分I项目1。生意。数码扫描,Inc.(连同其子公司简称“公司”、“数码扫描”、“我们”、“我们”或“我们的”)是一家领先的技术分销商,将设备连接到云上,并为跨硬件、软件即服务(“SaaS”)、连接和云服务的渠道销售合作伙伴加速增长。数码扫描使渠道销售合作伙伴能够为其最终用户提供解决方案,以应对不断变化的购买和消费模式。数码扫描使用多种销售模式,提供来自专业技术、连接和云服务的领先供应商的技术解决方案。我们提供来自500多家领先供应商的技术解决方案和服务,这些供应商包括移动性和条形码、销售点(“POS”)、支付终端、物理安全、网络、通信、连接和云服务。公司的两个运营部门,Specialty Technology Solutions和Intelisys & Advisory,代表了我们在执行技术分销增长战略时使用的不同销售模式。数码扫描于1992年在南卡罗来纳州注册成立,为大约25000个渠道销售合作伙伴提供服务。截至2025年6月30日的财年净销售额总计30.4亿美元。我们的普通股在纳斯达克全球精选市场交易,代码为“SCSC”。”我们的渠道销售合作伙伴包括向许多行业的最终用户销售的各种规模的企业。我们的渠道销售合作伙伴包括增值经销商(“VAR”)、顾问、独立销售组织(“ISO”)、独立软件供应商(“ISV”)和托管服务提供商(“MSPs”)。这些渠道销售合作伙伴为我们提供了多种上市途径。我们围绕我们所有的渠道销售合作伙伴调整我们的团队、工具和流程,通过提供专业知识、创造效率和产生最终用户对业务解决方案的需求来帮助他们成长。我们使我们的渠道销售合作伙伴能够为美国、加拿大和巴西几乎所有垂直市场的最终用户创建、交付和发展技术产品。战略我们的战略是通过利用我们的人员、流程和工具的不断增长的渠道销售合作伙伴生态系统,协调复杂、融合的技术解决方案,从而推动可持续的、可盈利的增长。我们的目标是通过卓越运营,为我们的渠道销售合作伙伴、供应商和员工提供卓越的体验。我们的技术分销战略利用多种销售模式,从领先的技术供应商向渠道销售合作伙伴提供硬件、SaaS、连接和云服务,以解决最终用户的挑战。数码扫描使渠道销售合作伙伴能够为其最终用户提供解决方案,以应对不断变化的购买和消费模式。我们的解决方案可能包括来自多个供应商的产品组合,或让我们的渠道销售合作伙伴获得额外服务。作为渠道销售合作伙伴值得信赖的顾问,我们通过对最终用户需求的深刻理解,提供定制化的解决方案。价值主张我们的渠道销售伙伴和供应商关系作为竞争优势。从我们在技术分销趋势交叉点的关键地位来看,我们为我们的渠道销售合作伙伴和供应商提供了稳健的价值。我们让我们的渠道销售合作伙伴和供应商更容易提供领先的技术解决方案,从而推动最终用户的业务成果。对我们渠道销售合作伙伴的价值主张:•深厚的专业化和技术专长;•促成终端用户的消费偏好;•行业领先的定制配置服务;•全面的售前和售后解决方案工程和先进的技术支持;


 
2 •库存可用性;•通过Integrated Solutions Group进行解决方案销售,•使用数码扫描的多种销售模式进行灵活性和选择;•为我们的渠道销售合作伙伴提供创新的金融解决方案。对我们供应商的价值主张:•具有可变成本结构的可扩展覆盖范围;•进入市场的多种途径;•较低的渠道销售合作伙伴获取成本;•渠道销售合作伙伴招募、入职和启用;•持续支持渠道销售合作伙伴成功;•增加渠道业务的机会;•提供和管理渠道信贷。财务实力我们的综合资产负债表反映了财务实力。我们强劲的资产负债表和业务产生的现金为我们提供了执行资本分配计划的能力,其中包括有机增长和战略收购。我们拥有财务灵活性,可以投资于我们的业务和未来的增长。业务部门我们在管理结构下经营业务,以增强我们的技术分销增长战略。自2024年7月1日起,该公司重新调整了其经营部门,以代表其在执行技术分销增长战略时使用的不同销售模式。调整后的两个部门是Specialty Technology Solutions和Intelisys & Advisory。专业技术解决方案部门结合了公司以前的运营部门,但公司的Intelisys业务除外。Intelisys & Advisory部门包括Intelisys和技术顾问业务,包括Channel Exchange(前身为INTY USA)、RPM Software和Resourcive。这两个部门都包括经常性收入。公司已将分部业绩中的某些上年金额重新分类,以符合本年度的列报方式。这些重新分类对简明综合财务业绩没有影响。有关公司分部的描述,请参见附注16-分部信息。专业技术解决方案部门专业技术解决方案部门在美国、加拿大和巴西开展业务,包括通过批发/转售销售模式分销的专业技术解决方案。这一部分包括硬件、SAAS和订阅服务。专业技术解决方案包括:•移动性和条码-移动计算、条码扫描仪和成像仪、射频识别设备、条码打印和相关服务;• POS-销售点系统、综合POS软件平台;•支付终端-自助服务亭,包括自助结账、支付终端和移动支付设备;•物理安全-视频监控和分析、视频管理软件和访问控制;•网络-交换、路由和无线产品和软件;•通信-语音、视频、通信平台集成和联络中心解决方案;•连接-托管连接和无线支持解决方案。


 
3 Intelisys & Advisory部门Intelisys & Advisory部门在美国运营,包括对渠道销售合作伙伴(Intelisys)和最终用户(Advisory)的销售和服务。作为一家技术服务分销商,即TSD,Intelisys通过代理销售模式分销连接、云和下一代技术。渠道销售合作伙伴还可以通过公司的专有工具、平台和灵活的市场路线获得SaaS和基于订阅的服务。除了传统的电信服务,关键技术领域还包括:• Connectivity & SDN(软件定义网络)• CX(统一通信即服务和联络中心即服务)•云/数据中心•安全•托管AI •无线和物联网通过提供灵活的市场路线和强大的解决方案组合,该部门帮助渠道销售合作伙伴为广泛的最终用户提供服务,包括从VSB(“非常小企业”)到企业规模企业的各种规模的企业。渠道销售合作伙伴我们的渠道销售合作伙伴,包括各种规模的企业,向不同行业的最终用户销售产品,包括制造、仓库和分销、零售和电子商务、酒店、运输和物流、政府、教育和医疗保健等。我们的渠道销售合作伙伴为我们提供了多种专门的上市途径,包括:VAR、顾问、ISO、ISV和MSP。截至2025年6月30日的财政年度,没有任何单一渠道销售合作伙伴占我们总净销售额的10%以上。VARs在VARs中,我们的渠道销售合作伙伴包括专业技术VARs、直接营销人员、IT系统集成商、网络集成商、服务提供商和云服务提供商。专业技术VAR专注于一项或多项技术,为技术解决方案提供专门知识和专业知识,例如定制软件或集成硬件。直营者向商业、政府、教育和医疗保健市场提供范围非常广泛的技术品牌。IT系统集成商和网络集成商针对最终用户的IT需求开发计算机和网络解决方案。服务提供商、托管服务提供商和云服务提供商通过定制解决方案提供先进的多学科服务,为最终用户的需求捆绑数据、协作、云、网络和数字电信服务。Advisors Advisors专注于通过咨询方式向最终用户销售传统和下一代技术解决方案。顾问根据经常性收入模式建立、运营和发展业务,每月从合同销售订单中赚取佣金。除了技术解决方案,一些顾问会提供辅助服务,例如电信费用管理和专业服务。独立销售组织ISO专注于销售信用卡处理,并为信用卡成员银行寻找新的商户渠道销售合作伙伴。他们提供持续的客户服务和支持,并希望捆绑硬件、软件和处理服务。


 
4家独立软件供应商ISV开发软件、应用程序和集成解决方案。它们通常专注于云解决方案,并销售或认证捆绑的硬件、软件和服务解决方案。托管服务提供商MSP提供外包IT服务,管理最终用户的基础设施、网络、安全和云环境。它们提供主动监测、维护和支持,使企业能够降低成本、提高效率,并专注于核心运营。供应商我们提供约500家供应商的产品和服务,其中包括主要供应商美国电话电报、Avaya、Axis、思科、康卡斯特 Business、戴尔、Elo、Extreme、斑马技术、飞塔信息、韩华、霍尼韦尔、惠普 Poly、HPE/Aruba、Ingenico、Lumen、微软、NiCE、RingCentral、Ubiquiti、Verifone、威瑞森通信、TERM9和Zoom。我们在我们所有的地理市场提供来自我们许多主要供应商的产品和服务;然而,某些供应商只允许向特定地区分销。我们通常直接从供应商处购买产品,我们的供应商协议一般不会限制我们销售类似或有竞争力的产品或服务。由于技术变革、定价考虑、产品可用性、渠道销售合作伙伴需求或供应商分销政策,我们可以灵活地终止或缩减一条产品线的销售,转而支持另一条产品线。截至2025年6月30日的财年,来自两家供应商思科和斑马的产品占我们净销售额的10%以上。•我们与思科有三项非排他性协议。其中一项协议涵盖思科产品在美国的分销,期限为两年。第二份协议涵盖在巴西的产品分销,期限为两年。这些协议中的每一项都必须通过书面协议续签,这通常是在到期之前签订的。任何一方可在提前30天通知另一方后终止这些协议。第三份协议是北美地区的代理合同,为期两年。任何一方均可在提前60天书面通知后终止本协议。•我们与Zebra有三项非排他性协议。一项协议涵盖在北美和巴西销售Zebra Enterprise Visibility & Mobility(“EVM”)产品,另外两项协议分别涵盖在北美和巴西销售Zebra Asset Intelligence & Tracking(“AIT”)产品。斑马协议各有一年期限,可自动续订额外的一年期限。任何一方可在提前30天通知另一方后终止EVM协议。任何一方均可在提前60天通知另一方的情况下终止北美地区的AIT协议。任何一方均可在提前90天通知另一方后终止针对巴西的AIT协议。除了上述协议,我们与几乎所有其他供应商都有书面协议。这些协议一般包括以下条款:•在地理区域内转售产品和相关服务的非排他性分销权(供应商协议通常包括领土限制,限制我们可以在其中销售其产品和服务的国家):•短期期限,可定期续签,任何一方在提前30至120天通知后无故终止权:•股票轮换权,这使我们能够在受到限制的情况下退回信用或交换所购买的部分物品;和


 
5 •价格保护条款,这使我们能够对供应商降价导致的库存价值下降承担信用。连同我们的库存管理政策和做法,这些库存轮换权和价格保护条款旨在降低我们因库存滞销、供应商降价、产品更新和过时而遭受损失的风险。我们参与供应商提供的各种回扣、现金折扣和市场开发基金,以支持与销售和营销供应商的产品和服务相关的费用。这些返利和购买折扣在很大程度上受销量影响,可能会发生变化。我们的供应商通常会保证我们销售的产品,并允许退货有缺陷的产品,包括我们的渠道销售合作伙伴退回给我们的产品。对于我们提供的某些产品,我们提供自有品牌的保修计划。我们从不相关的第三方购买合同,通常是原始设备制造商,以履行我们的义务,为这些保修计划中声称的有缺陷的产品提供服务或更换。为维护渠道销售合作伙伴关系,我们还通过接受交换的方式为渠道销售合作伙伴的缺陷产品退货提供便利,在我们事先批准的情况下,大多数缺陷产品在开票30天内。此外,在某些情况下,当地法律可能会对公司施加保修义务。产品和市场我们目前从大约500家硬件、软件和服务供应商向大约25,000家渠道销售合作伙伴销售超过65,000种产品。我们从位于密西西比州、加利福尼亚州和肯塔基州的工厂向美国和加拿大销售产品和服务;从位于巴西巴拉那州、Esp í rito Santo和Santa Catarina州内的工厂向巴西销售产品和服务。我们通过我们的数字工具和平台提供我们的一些数字产品,其中包括SaaS和订阅。关于我们国外业务相关风险的讨论,请参见“风险因素”。我们向渠道销售合作伙伴提供的产品包括硬件、软件、服务和跨前提、混合和云环境的连接。我们认为,渠道销售合作伙伴希望为最终用户提供完整的技术解决方案,以解决最终用户的挑战并提供积极的结果。我们调整我们的人员、流程和工具,通过更好地理解最终用户的需求,提供更复杂、融合的技术解决方案,帮助我们的渠道销售合作伙伴实现增长。我们能够提供来自多个供应商的产品组合,或让我们的渠道销售合作伙伴获得额外服务,包括配置、密钥注入、集成支持和其他交付解决方案。我们为我们的渠道销售合作伙伴和供应商提供一系列预售业务工具和增值服务,包括市场和技术解决方案专业知识、教育和培训、产品配置工具、技术支持、物流和渠道金融服务。这些服务使我们的渠道销售合作伙伴能够获得营销、谈判和销售方面的知识和经验,改善客户服务,以有利可图的方式发展他们的业务,并更具成本效益。我们的业务因我们提供额外水平的服务的能力和意愿而得到增强,这些服务使我们的渠道销售合作伙伴和供应商都感到满意。我们提供的技术解决方案和服务包括以下内容:•移动性和条形码:我们提供自动识别和数据捕获(“AIDC”)技术,其中包含电子识别和数据处理的能力,无需人工输入。这些解决方案包括一系列广泛的产品,包括便携式数据收集终端、无线产品、条码标签打印机和扫描仪。随着AIDC技术变得更加普及,应用已经从传统用途,如库存控制、材料处理、配送、运输和仓库管理,发展到更高级的应用,如医疗保健。


 
6•网络:我们的网络产品包括无线和网络基础设施产品。联网产品是我们技术解决方案不可或缺的一部分,充当连接设备和应用程序的主干。纳入先进的网络技术有助于确保可靠的数据流、无缝移动和安全通信,使我们的合作伙伴能够提供有效、可扩展的解决方案,以满足不同的最终用户需求。•物理安全:我们提供电子物理安全解决方案,包括身份识别、访问控制、视频监控和入侵相关产品。每个垂直市场每天都在使用实体安全产品,以保护生命、财产和信息。这些技术解决方案需要专业知识才能有效部署,我们为我们的渠道销售合作伙伴提供深入的培训和教育,使他们能够保持适当的技能水平。• POS:我们为零售、杂货和酒店环境提供POS解决方案,以高效管理店内销售和运营。POS解决方案包括基于计算机的终端、平板电脑、显示器、支付处理解决方案、收据打印机、极显示器、现金抽屉、键盘、外围设备和完全集成的处理单元。这些解决方案可能包括自助结账、售货亭和附加到商店POS网络的产品,包括网络接入点、路由器和数字标牌。•支付终端:我们提供支付终端、全面的密钥注入服务、经销商合作伙伴品牌、广泛的密钥库、提供点对点加密的能力、冗余的密钥注入设施。我们有资源交付预先配置好并可以使用的安全支付设备。此外,我们与ISV合作,向商家交付商家可能直接购买或“作为服务”购买的集成平板电脑POS硬件,并提供商家硬件支持和平板电脑、终端和外围设备的次日更换。•通信:我们提供通信解决方案,通过云、内部部署或混合方式交付,例如语音、视频、通信平台集成和联络中心解决方案。这些产品将语音、视频和数据与计算机、电信和互联网结合起来,在内部提供通信解决方案。软硬件产品包括基于IP的电话平台、互联网协议语音系统、私有分支交换、呼叫中心应用、视频会议、桌面电话、耳机和支持云的端点。云交付服务,如统一通信、联络中心和视频会议,使最终用户能够消费和支付通信服务,通常是按月订阅。•连接和云服务:我们提供商业通信服务,包括语音、数据、接入、电缆协作、托管连接、无线启用解决方案和云。我们专注于赋能和教育渠道销售合作伙伴,以便他们能够建议最终用户在服务、技术和成本节约方面做出明智的选择。通过我们的数字工具和平台,我们为渠道销售合作伙伴提供了另一种方式来增加他们的经常性收入实践,并消除在获取、提供和管理SaaS产品方面的摩擦。我们与200多家全球领先的电信运营商和云服务提供商签订了合同。人民与文化作为一个以人为本的组织,尊重和保护我们的人民和我们的渠道销售伙伴是我们的首要任务之一。从确保和支持包容和多样化的员工队伍和合作伙伴基础,提供安全、健康的工作环境,以及与共同承诺的供应商和渠道销售合作伙伴合作,我们致力于为我们的员工、渠道销售合作伙伴和最终用户做正确的事情。


 
7通用我们真正的竞争优势是我们的员工,他们努力帮助我们的渠道销售合作伙伴发展业务。数码扫描的根基始终建立在过硬的价值观和以人为本的文化与愿景之上。2025年,该公司连续第十一年被评为南卡罗来纳州最佳工作场所之一。截至2025年6月30日,我们拥有约2100名员工,其中约1400名在美国,700名在国际上位于加拿大和巴西。我们在美国没有有组织的劳工或工会。职业发展和员工敬业度我们希望帮助我们的员工取得成功——无论是在个人方面还是在专业方面。我们非常注重员工的智力和职业发展,我们努力为他们创造一个沉浸式的工作环境。为促进个人和职业成长,我们还鼓励我们的员工追求持续的培训和职业发展机会,我们为某些预先批准的继续教育计划和专业认证提供学费援助和报销。我们的学习管理系统The Hub为我们各级员工提供了现代化和引人入胜的用户体验。数码扫描管理学院是一个程序定制,旨在开发所有新聘用和晋升的人事经理。The 数码扫描 Leadership Institute(“SLI”)是另一个重要的计划,专注于为公司识别和发展下一波高级领导者。SLI计划汇集了来自全公司的十二位手工挑选的领导者,进行为期两周的强化培训和发展计划。该计划促进个人教育和成长,并培养同事之间的跨界和跨职能协作。员工外联和敬业度仍然是数码扫描持续成功和增长的关键。包容、参与和欣赏是留住人才、维护我们的文化和保持员工参与度的关键组成部分。为了支持这一点,我们在2023年推出了全球数字工作场所The Bridge,作为我们的企业内联网。我们很高兴能够通过这个引人入胜的新平台加强全球沟通,提高员工的认可度,并庆祝里程碑。我们培养员工敬业度的机会,并拥有多种沟通渠道,这使得所有全职员工都可以匿名向我们反馈我们的工作场所文化、员工计划等。我们还在全球范围内实施员工敬业度调查,以收集反馈并为我们的员工建立尽可能最好的环境。福利我们提供全面的福利包,其中包括传统健康保险,以及远程医疗替代方案、人寿保险、残疾保险和工作与生活平衡资源。员工的财务期货对我们很重要,这就是为什么我们有一个具有市场竞争力的雇主匹配的401(k)计划,一个基于绩效的奖金计划,通过我们的员工股票购买计划为我们的员工提供员工所有权机会,以及我们的股权激励赠款。我们还与富达合作,为员工提供知识和工具,以帮助管理或规划学生贷款债务。为了进一步扩展我们的财务健康服务,我们提供了以学生债务和一般债务咨询服务为重点的研讨会和网络研讨会。健康与安全我们关心员工的整体福祉,并鼓励健康的生活方式,无论是身体上还是精神上。这就是为什么我们提供专门的资源来帮助促进健康的工作/生活平衡。我们继续打造我们的“360you”计划,该计划为员工提供广泛的教育和培训/辅导机会、健康和健身挑战,以及其他宝贵的资源。


 
8包容和归属感我们的核心价值观之一是促进一个尊重和重视员工多元化背景、兴趣和才能的环境。数码扫描致力于通过我们全面的Inclusion & Belonging(I & B)计划打造一个多元化和包容性的工作场所,该计划由我们的人的发展和包容副总裁以及内部I & B工作团队领导。工作团队是一个由员工领导的团体,专注于分享来自我们员工基础的见解、想法和意见,以支持我们培养包容和归属感的工作场所的目标。我们的I & B举措侧重于意识和教育、员工网络小组和以社区为重点的活动。董事会在人员和文化管理中的作用我们的董事会(“董事会”)认为,人员和文化管理是我们持续增长和成功的重要组成部分,对于我们吸引、留住和发展有才华和有技能的员工的能力至关重要。我们以尊重同事和重视关心他人的文化而自豪。我们的董事会负责监督公司与人才相关的政策和战略,包括企业文化、包容性和归属感以及员工发展,以及公司的薪酬原则和做法。我们的董事会通过薪酬委员会,评估和批准公司适用于我们高级管理人员的薪酬计划、政策和计划。我们的董事会还参与了积极的继任规划过程。竞争我们相信我们是我们所服务的专业技术市场的领导者。技术产品和解决方案的市场竞争激烈,无论是在美国还是在国际上。竞争因素包括价格、产品可用性、交付的速度和准确性、销售和营销计划的有效性、信贷可用性、根据渠道销售合作伙伴需求定制特定解决方案的能力、产品线和服务的质量和广度以及技术和产品信息的可用性。我们的竞争对手包括本地、区域、国家和国际分销商,以及直接向转售商和终端用户销售的供应商。此外,我们的竞争对手还包括向加盟商、第三方经销商和最终用户销售的经销商。随着宽线和其他增值分销商进入专业技术市场,竞争在过去几年中有所加剧。这种竞争还可能导致价格下降、利润率下降和市场份额损失。在我们的专业技术解决方案部门,我们与大多数地理区域的宽线分销商(例如英格麦克和TD Synnex)以及更专业的安全分销商(例如ADI和Wesco)竞争。我们还与其他更专业的AIDC和POS分销商竞争,例如BlueStar。在我们的Intelisys & Advisory部门,我们与其他技术服务分销商竞争,包括Avant和Telarus。当我们寻求将我们的业务扩展到与我们的产品密切相关的其他领域时,我们可能会遇到来自当前竞争对手和/或新竞争对手的竞争加剧。销售我们的销售组织由位于美国、加拿大和巴西的内部和现场销售代表组成。我们的大多数渠道销售合作伙伴被分配到一个专门的销售代表或团队,其主要重点是发展关系并为我们的渠道销售合作伙伴提供解决方案,以满足其最终用户的需求。我们的销售团队是我们渠道销售合作伙伴的倡导者和值得信赖的顾问。销售团队负责在广阔的产品市场中开发技术专长,招募渠道销售合作伙伴,创造需求,谈判定价并审查我们渠道销售合作伙伴的整体产品和服务要求。我们的销售代表接受有关供应商产品技术特点的全面培训,辅之以供应商代表经常举办的产品和服务研讨会以及产品、营销和销售经理之间的双周会议。


 
9我们的销售团队还为渠道销售合作伙伴提供在线订购、API、EDI等信息系统,让渠道销售合作伙伴可以轻松获得产品规格、可用性和定制定价,以及下单和跟踪订单状态的能力。营销我们通过一系列数字和印刷渠道营销我们的技术解决方案和服务,包括为我们的北美和巴西市场定制的在线产品目录;社交媒体;搜索引擎优化和营销;内容营销;内容自动化;电子商务和电子邮件直接营销等。我们的营销实践适合我们的渠道销售合作伙伴和供应商的特定需求-确保我们帮助我们的渠道销售合作伙伴为我们垂直市场的最终用户创建、交付和管理解决方案。我们的综合营销工作包括销售促销、广告、销售线索管理、贸易展览设计和活动管理、广告、内容创作、合作伙伴活动以及与领先供应商的培训和认证课程,以努力招募潜在的渠道销售合作伙伴。运营信息技术系统我们的信息系统具有可扩展性,能够支持包括采购、接收、订单处理、运输、库存管理和会计在内的众多运营功能。我们的渠道销售合作伙伴和员工依赖我们的信息系统进行在线、实时的定价、库存可用性以及预订和订单状态信息。我们的仓库运营使用条码技术进行收货和发货,并使用自动化系统进行货运处理和发货跟踪,每一个系统都与我们的多个信息系统集成。客户服务和技术支持部门采用系统来记录和更快地处理渠道销售合作伙伴的查询。为确保保持充足的库存水平,我们的买家依赖系统的采购和接收功能来永久跟踪库存。仓库和航运战略我们在密西西比州的Southaven经营一个741,000平方英尺的配送中心,该中心位于田纳西州孟菲斯的联邦快递枢纽设施附近,主要服务于北美。我们还在加利福尼亚州和肯塔基州经营仓库。我们巴西业务的主要仓库位于巴西的巴拉那州、圣埃斯皮里图州和圣卡塔琳娜州。我们的目标是所有订单当天发货,利用技术加快发货速度,最大限度地减少发货错误。我们提供降低的运费和灵活的交付选择,以最大限度地减少我们的渠道销售合作伙伴对库存的需求。金融服务我们的销售条款包括贸易信贷;以及各种第三方融资方案,其中包括为合格的渠道销售合作伙伴提供租赁、地板和其他担保融资。这些销售条款使我们能够在我们的特定地理区域内进行竞争,以促进我们的增长计划。我们认为这些选项减少了渠道销售合作伙伴建立多重信用关系的需要。贸易和服务标志我们以“数码扫描 POS和条码”、“数码扫描催化剂”、“数码扫描通信”、“数码扫描服务”、“数码扫描网络和安全”、“数码扫描 Brasil”、“Network1,一家数码扫描公司”、“Intelisys”、“POS门户”、“RPM软件,一家数码扫描公司”、“Advantix”、“Resourcive”、“Channel Exchange”和“SCSC Cascade”等商品名开展业务。


 
10我们的某些商号、商标和服务标记已在美国或其他多个国家注册或正在注册过程中。我们的许多商标均已获得注册,其中包括“数码扫描”、“Catalyst Telecom”和“Network1”等商标在我们主要市场的国家/地区获得注册。即使我们的商标没有在我们开展业务的每个国家注册,但在许多情况下,由于我们继续使用这些商标,我们获得了这些商标的权利。这些标记没有赋予它们的价值,并且具有指定的无限期。我们不认为我们的运营依赖于我们的任何标记。我们还以各种第三方商号、商标和服务标记销售产品和提供服务,其中一些我们在本报告中提及,这些商号、商标和服务标记是其各自所有者的财产。附加信息我们的主要互联网地址是www.scansource.com。本网站所载或可透过本网站查阅的资料,并无以引用方式并入本年度报告。我们在以电子方式向美国证券交易委员会(“SEC”)提交或提交后,在合理可行的范围内尽快在www.scansource.com上免费提供我们关于10-K表格的年度报告、10-Q表格的季度报告和8-K表格的当前报告,以及对这些报告的所有修订。项目1a。风险因素。以下是可能影响我们的业务、财务状况和经营业绩的某些风险。在评估对我们公司的投资时应考虑这些风险,特别是与本报告中包含的前瞻性陈述一起考虑,因为这些风险可能导致实际结果与前瞻性陈述所暗示的结果存在重大差异。这些因素既没有按重要性顺序呈现,也没有加权。此外,还有其他可能影响我们的风险,我们可能无法描述,因为我们目前认为它们并不重要,或者因为它们目前未知。如果这些风险中的任何一个发展为实际事件,我们的业务、财务状况和经营业绩可能会受到负面影响,我们普通股的市场价格可能会下降,您可能会损失您对我们普通股的全部或部分投资。我们明确表示不承担任何更新或修改任何风险因素的义务,无论是由于新信息、未来事件或其他原因,除非法律要求。与我们的运营人员相关的风险因素-如果我们不能继续雇用和留住高质量的员工,我们的业务和财务业绩可能会受到负面影响。我们的经营业绩可能受到员工竞争加剧、招聘员工困难、更高的员工流动率或薪酬和福利成本增加的不利影响。我们的员工对我们的成功很重要,我们部分依赖于我们在关键角色中保留员工服务的能力。我们的业务建立在一套核心价值观之上,我们试图雇用和留住致力于这些价值观的员工以及我们为渠道销售合作伙伴和供应商提供卓越服务的文化。为了竞争和持续成长,我们必须吸引、留住和激励员工,包括执行人员、高级管理人员、销售、营销、物流、技术支持等经营岗位的员工。我们的很多员工都是以小团队的形式工作,为渠道销售伙伴和供应商提供特定的服务。他们接受培训,以发展他们对产品、服务、计划和做法以及渠道销售合作伙伴业务需求的知识,以及提高提供卓越服务和管理我们业务所需的技能。随着他们获得经验并发展他们的知识和技能,我们的员工变得受到其他企业的高度渴望。因此,要留住我们的员工,吸引新的员工,我们必须提供令人满意的工作环境和有竞争力的薪酬福利。


 
11收购-我们的增长战略包括收购补充或扩展我们现有业务的公司。收购涉及独特的风险和不确定性,包括难以识别和完成潜在收购。我们已经收购并可能继续收购补充或扩大我们在美国和国际上现有业务的公司,其中一些收购可能是在我们几乎没有(如果有的话)经验的业务领域。收购会带来一些风险,包括被收购公司的表现将不如预期,以及我们将对意外的成本或负债负责。此外,我们业务规模和复杂性的增加可能会对我们的管理、运营、技术绩效、财务资源以及内部财务控制和报告职能造成重大压力,并且无法保证我们将能够有效地管理收购过程或新收购的公司。我们的人员、系统、程序和控制可能不足以有效管理我们未来的运营,尤其是当我们在多个国内和一些国际地点雇用人员时。我们可能无法雇用、培训、保留和管理解决我们增长所需的人员。未能有效管理我们的收购机会可能会损害我们的声誉,限制我们未来的增长,并对我们的业务、财务状况和经营业绩产生不利影响。我们可能无法确定我们认为合适的收购或战略关系。即使我们这样做,我们也可能无法以优惠条件或根本无法成功完成任何此类交易,或无法将收购的业务、设施、技术或产品成功整合到我们的业务中,或保留任何关键人员、供应商或渠道销售合作伙伴。此外,即使我们完成此类交易并将新收购的业务或战略联盟有效整合到我们现有的运营中,我们也可能无法实现预期回报和/或未能获得预期收益,例如战略或运营协同效应或成本节约。有机增长战略-如果我们未能有效管理和实施我们的经营战略,我们可能会对我们的业务和财务业绩产生负面影响。我们增长战略的一个重要组成部分是扩大我们的渠道,并在我们现有的渠道中扩展我们现有的产品和服务,并进入新的渠道。这些努力可能会转移我们的资源和系统,需要可能无法获得(或以可接受的条件获得)的额外资源,导致新的或更激烈的竞争,需要比预期更长的实施时间或更多的支出,否则无法及时取得预期的结果,如果有的话。如果我们无法通过以具有成本效益的方式扩大我们的产品和服务供应来增加我们的销售额和收益,我们的业绩可能会受到影响。我们成功管理有机增长的能力将需要持续增强我们的运营、管理和财务资源、控制和模型。我们未能有效管理我们的有机增长可能会对我们的业务、财务状况和经营业绩产生不利影响。IT系统-我们管理业务和监测结果的能力高度依赖于信息和通信系统。这些系统出现故障可能会扰乱我们的业务。我们高度依赖各种计算机和电信系统来运营我们的业务,包括我们的企业资源规划系统。由于我们依赖于我们收集并迅速向关键决策者传递准确信息的能力,如果我们的信息系统不允许我们传递准确信息,我们的业务、经营业绩和财务状况可能会受到不利影响,即使是在很短的时间内。未能适当或充分解决这些问题可能会影响我们开展必要业务运营的能力,这可能会对我们的声誉、竞争地位、业务、财务状况和经营业绩产生不利影响。此外,我们收购的公司的信息系统可能不符合我们的标准,或者我们可能无法成功地将它们转换为及时和具有成本效益的基础上提供可接受的信息。此外,我们必须吸引和留住


 
12名合格人员操作我们的系统,对其进行扩展和改进,将新程序与我们现有程序进行有效整合,并在需要时高效转换为新系统。由于此类问题对我们的业务造成的任何干扰,或我们为解决这些问题而增加的成本,都可能对我们的财务业绩和运营产生不利影响。我们的渠道销售合作伙伴依赖我们的电子订购、信息系统和网站来获取产品信息,包括可用性、定价和下订单。2023年的一次勒索软件事件扰乱了我们的系统,无法保证我们的系统在未来不会再次出现故障或中断。这些系统的任何重大故障或中断都可能阻止我们进行销售、订购和交付产品以及以其他方式开展我们的业务。供应链问题,包括产品短缺,可能会增加我们的成本或导致延迟履行渠道销售合作伙伴订单、完成服务或购买支持我们内部运营所需的产品和服务,从而对我们的财务业绩产生不利影响。我们的业务依赖于产品的及时供应,以满足我们的渠道销售伙伴的需求。制造中断或延误,包括由于制造商的财务不稳定或破产、重大劳资纠纷,如罢工、自然灾害、政治或社会动荡、流行病或其他公共卫生危机或影响我们任何供应商设施的其他不利事件,可能会进一步扰乱我们的供应链。由于供应商未能准确预测渠道销售合作伙伴的需求或未能制造足够数量的产品以满足渠道销售合作伙伴的需求(包括由于产品组件短缺)等原因,我们可能会遇到产品限制。我们的供应链也面临着与国际运营相关的风险。虽然我们主要在我们所服务的市场上购买我们的产品(例如,为美国渠道销售合作伙伴提供的产品主要来自美国),但我们的供应商制造或购买了我们在美国以外销售的很大一部分产品,主要是在亚洲。亚洲的政治、社会或经济不稳定,或在我们的供应商购买或制造我们销售的产品的其他地区,可能会造成贸易中断,包括对美国的出口。供应链问题,包括技术产品和可用服务短缺,可能会增加我们的成本或导致延迟购买支持我们内部系统和基础设施或运营所需的技术产品,从而对我们的运营和系统的可用性产生影响,从而可能对我们的运营和财务业绩产生重大不利影响。信用敞口-我们对渠道销售合作伙伴有信用敞口。他们业务中的任何不利趋势或重大不利事件都可能导致我们遭受信用损失。按照我们行业的惯例,我们向渠道销售合作伙伴提供信贷,我们的大部分销售都是在公开账户上进行的。我们还根据一些Intelisys顾问未来的佣金流动情况向他们提供融资。随着我们的成长和业务竞争,我们的典型付款期限往往会变长,增加了我们的信用风险。虽然我们评估渠道销售合作伙伴的信贷资格并监控我们的信贷展期,但这些努力无法防止所有信贷损失和任何信贷损失对我们的业绩产生负面影响。此外,出于财务报告目的,我们估计未来的信用损失并建立准备金。如果我们的信贷损失超过这些准备金,我们的财务业绩将受到超出预期的负面影响。如果我们的应收账款的可收回性出现恶化,或者如果我们未能采取其他行动来充分减轻此类信用风险,我们的收益、现金流和我们利用基于应收账款的融资的能力可能会恶化。


 
13此外,向国际渠道销售合作伙伴提供信贷涉及额外风险。在我们的国际业务中,与渠道销售合作伙伴评估信用风险或获得信用保护往往更加困难。此外,在我们的国际业务中,信贷周期和收款期通常更长。由于这些因素和向国际渠道销售合作伙伴提供信贷的其他挑战,与国内销售相比,我们通常面临来自国际销售的更大的信用风险。对第三方的依赖——我们在一些服务上依赖于第三方,包括我们大部分产品的交付、物流和仓储。运输条款的变化或我们的第三方托运人未能或无法履行可能会对我们的业务和经营业绩产生不利影响。我们依赖第三方为我们的业务和我们的渠道销售合作伙伴提供某些服务,如果这些第三方不按照安排条款履行这些服务,可能会对我们的组织造成重大中断或成本,包括金钱损失和对我们的渠道销售合作伙伴关系的不利影响。特别是,我们依赖于主要航运公司,包括联邦快递和美国邮政,将我们的产品运入和运出我们的集中仓库。运输条款的变化,或这些第三方托运人无法有效履行,可能会影响我们对渠道销售合作伙伴的响应能力。我们不时经历因燃料成本增加而导致的运输成本显着增加,以及因供应链拥堵而造成的过境损失。如果我们无法将这些更高的成本转嫁给我们的渠道销售合作伙伴,我们的运输成本或运输损失的增加可能会对我们的财务业绩产生不利影响。在巴西,我们利用第三方提供仓储和物流服务,以便在某些地区提供具有成本效益的运营和规模。这些第三方中的一个或多个未能或无法以任何理由将供应商的产品交付给我们,或将我们的产品交付给我们的渠道销售合作伙伴,可能会扰乱我们的业务并损害我们的声誉和经营业绩。我们与我们的第三方物流和仓储供应商密切合作,以预测问题,并审查有关其财务健康状况的公开信息。然而,可能无法及时发现问题,这可能导致服务缺乏或执行不力、损失或诉讼。此外,我们的物流和仓储供应商的财务状况恶化可能导致响应延迟或交付失败,这最终将影响我们对渠道销售合作伙伴的响应能力,从而可能对我们的业务、财务状况和经营业绩产生不利影响。库存-我们的库存价值可能会受到市场和其他因素的不利影响。与其他分销商一样,我们的业务面临的风险是,我们的库存价值将受到制造商降价、技术变革影响我们产品的有用性或可取性或外汇波动的不利影响。我们的一些供应商协议和某些制造商的政策对于滞销或过时的库存项目有一些价格保护和库存轮换机会;然而,这些保护正在变得不那么标准,可能会发生变化,范围有限,并且不能保护所有库存价值下降、库存过剩或产品过时,在某些情况下,我们可能无法满足所有必要条件或成功管理此类价格保护或库存轮换机会。此外,这些保护并不总是反映在供应商协议中,它们在特定情况下的应用取决于与我们的供应商的谈判。因此,我们被要求减记过剩和过时库存的价值,如果这些减记中的任何一项发生在重大水平,它们可能会对我们的业务、财务状况和经营业绩产生不利影响。供应商-供应协议条款的变更或供应商缺乏产品供应可能会对我们的营业利润率、收入或为我们的运营提供资金所需的资本水平产生不利影响。我们未来的成功高度依赖于我们与供应商的关系。我们净销售额的很大一部分与我们从相对较少的供应商采购的产品有关,包括思科和斑马。由于这种集中风险,终止


 
我们的一个或多个主要供应商的14项供应或服务协议或销售条款或条件的变化可能会对我们的营业利润率、收入或为我们的运营提供资金所需的资本水平产生不利影响。我们的供应商有能力对其销售条款和条件做出不利的改变,例如降低他们向我们提供的采购折扣和回扣水平。此外,我们的供应商协议通常是短期的,可能会在短时间内无故终止。我们与供应商没有保证价格或交货协议。在某些产品类别中,我们的供应商提供的有限价格保护或退货权利可能会影响我们愿意库存的产品数量。我们无法将这些变化的影响传递给我们的渠道销售合作伙伴,以及如果我们未能开发或维护系统来管理正在进行的供应商计划,可能会导致我们记录库存减记或其他损失,并可能对我们的毛利率产生重大负面影响。我们从一些供应商那里收到基于各种因素的采购折扣和回扣,包括定量和定性销售或采购量的目标以及渠道销售合作伙伴相关指标。某些采购折扣和回扣可能会影响毛利率。许多供应商的采购折扣是基于产品销售的百分比增长。如果这些回扣或折扣减少或消除,或者如果我们的供应商显着增加其退款程序的复杂性,从而增加我们获得此类回扣的成本,我们的经营业绩可能会受到不利影响。我们获得所需数量的特定产品或产品线的能力以及我们及时履行渠道销售合作伙伴订单的能力对我们的成功至关重要。我们的供应商由于其某些供应商无法及时供应产品,不时出现产品供应短缺的情况。具体地说,计算机芯片短缺可能导致产品受限,并对我们的销量和产品可用性产生不利影响。此外,我们对数量有限的供应商的依赖使我们容易受到所需产品供应不足、价格上涨、延迟交付和产品质量差的影响。因此,我们经历了,并可能在未来继续经历,特定产品的短期短缺或无法购买我们想要的数量的产品。目前通过我们分销其产品的供应商,可能会决定转向或大幅增加其与其他分销商、其自己的经销商网络的现有分销,或直接向经销商或最终用户。供应商不时努力减少与其有业务往来的分销商的数量。这可能会导致更激烈的竞争,因为分销商努力确保与这些供应商的分销权,这可能会对我们的经营业绩产生不利影响。我们无法提供任何保证,供应商将保持充足的产品供应,以及时履行我们所有的渠道销售合作伙伴订单。如果供应商无法向我们提供足够的产品供应以及时履行我们的渠道销售合作伙伴订单,或者如果我们无法以其他方式获得特定产品或产品线,我们的声誉、销售和盈利能力可能会受到影响。我们的供应商越来越多地合并合并,留给我们的替代来源越来越少。供应商整合也可能导致与我们供应商的关系性质和条款发生变化。此外,供应商可能面临流动性或偿付能力问题,进而可能对我们的业务和经营业绩产生负面影响。主要供应商关系的任何损失或恶化都可能对我们的业务、财务状况和经营业绩产生不利影响。渠道销售合作伙伴-我们在竞争激烈的环境中运营,良好的渠道销售合作伙伴关系对我们的成功至关重要。无法保证我们将能够保留和扩大我们的渠道销售合作伙伴关系或获得新的渠道销售合作伙伴。快速、公平地满足我们的渠道销售合作伙伴的需求对我们的业务成功至关重要。与我们的渠道销售合作伙伴的交易一般是在采购订单的基础上进行的,而不是根据长期供应协议进行的。因此,我们的渠道销售伙伴可以选择从其他来源采购,例如从竞争的分销商或直接从供应商。我们不时会遇到供应商部分产品供应短缺的情况, 这会影响渠道销售合作伙伴关于是否向我们进行采购的决策。任何对渠道销售合作伙伴关系产生负面影响的事情,也会对我们的经营业绩产生负面影响。作为渠道商业模式中的分销商,我们的产品可能会造成渠道冲突,我们的供应商提供的渠道方案可能会发生变化。这些感知到的渠道冲突和渠道计划可能会影响我们的渠道销售合作伙伴关系,并对我们的经营业绩和我们留住渠道销售合作伙伴的能力产生负面影响。


 
15渠道销售合作伙伴合并也可能导致与我们的渠道销售合作伙伴的关系性质和条款发生变化。主要渠道销售合作伙伴关系的损失或恶化可能会对我们的业务、财务状况和经营业绩产生不利影响。经济衰退、更高的利率和通货膨胀可能会导致我们的一些渠道销售合作伙伴关闭业务,从而对我们的业务产生负面影响。流动性和资本资源-市场因素和我们的业务表现可能会增加成本并降低资本的可得性。我们可能无法以可接受的条件获得额外资本,以满足我们的营运资金需求和增长。我们的业务需要大量资本来为未由贸易债权人融资的应收账款和产品库存提供资金。当我们的业务扩张时,我们对资本的需求增加,包括通过收购和有机增长。与供应商或渠道销售合作伙伴的付款条件变化也可能增加我们的资本要求。我们历来依赖运营产生的现金、循环信贷额度下的借款以及有担保和无担保借款来满足我们的资本需求并为增长提供资金。虽然我们相信我们现有的流动资金来源将提供足够的资源来满足我们目前的营运资金和现金需求,但如果我们要求增加资本以满足我们未来的业务需求,或者如果我们无法遵守我们借款项下的契约,我们可能无法以我们可接受的条款获得这些资本,或者根本无法获得这些资本。我们与作为行政代理人的摩根大通银行N.A.和一个银行银团(“经修订的信贷协议”)签订了一项多币种高级担保信贷安排。经修订的信贷协议包括惯常的陈述、保证以及肯定和否定的契约,包括财务契约,例如杠杆比率和利息覆盖率(每一个作为这样的术语在经修订的信贷协议中定义)。在发生违约的情况下,贷款人可以使用惯常的补救措施,包括加速和提高利率。此外,我们现有资本来源下的借款成本以及浮动利率导致的任何潜在新资本来源可能会增加,这可能对我们的财务状况产生不利影响。贷方对我们的信用价值进行评级的方式发生变化,以及经济下滑、通货膨胀、利率上升和全球经济不稳定等宏观经济因素可能会限制我们以足够数量或以我们可接受的条件筹集资本的能力,如果不这样做,可能会损害我们经营业务的能力。此外,我们的现金和现金等价物存放在位于我们经营所在的各个国家的各个金融机构。我们努力定期监测这些金融机构的信贷质量;然而,如果这些金融机构中的一家或多家倒闭或遭受破产或类似重组,我们将面临此类资金损失的风险,或者我们的流动性需求可能会受到重大干扰。诉讼-我们经常卷入可能代价高昂并导致不利结果的诉讼。在我们日常经营过程中,我们涉及范围广泛的纠纷,其中一些纠纷导致诉讼。我们经常涉及与围绕我们的业务活动的商业纠纷、知识产权纠纷、雇佣纠纷和应收账款催收活动有关的诉讼。此外,作为一家拥有庞大股东基础的上市公司,我们很容易因我们或我们的高级职员和董事作出(或不作出)的披露以及我们的其他活动而引发集体诉讼和其他诉讼。诉讼的提起和辩护成本很高,诉讼结果可能是不利的和重大的。并非所有不利结果都可以预期,适用的会计规则并不总是要求或允许建立准备金,直到最终结果已经发生或变得可能和可估计。在某些情况下,我们为潜在损失投保或获得赔偿;在其他情况下,我们则没有。重大诉讼中未投保、投保不足或未获赔偿的不利结果可能会对我们的业务、财务状况和经营业绩产生不利影响。我们不能保证,在我们所参与的任何争端中,我们最终都会取得成功。见项目3。进一步讨论我们的重大法律事项的“法律程序”。


 
16商誉和其他无形资产的公允价值计量-以公允价值计量的资产和负债的公允价值变动可能对我们报告的收益产生重大影响。我们有很大的善意。我们被要求至少每年对我们的商誉和其他无形资产(包括但不限于客户关系、商标和商号)进行减值评估。这包括持续监测可能在我们每年第四季度的年度减值测试日期之外触发减值测试的事件和情况,例如我们的普通股价格大幅或持续下跌、业务业绩大幅下降或业务管理和战略发生变化。测试商誉和其他无形资产是否存在减值需要使用我们无法控制的重大估计和其他投入。如果我们的任何商誉报告单位或其他无形资产的商誉账面价值被确定为超过其各自的公允价值,我们可能需要记录重大减值费用。此外,我们决定处置我们的某些业务在过去和将来可能要求我们确认与这些业务相关的商誉和其他无形资产的账面价值减值。宏观经济因素、美国贸易政策变化、地缘政治紧张局势和其他我们无法控制的因素导致的证券市场波动加剧,也可能导致减值费用。任何导致商誉减值或长期资产减值的下降都可能导致我们的收益出现重大的非现金费用。减值费用还将减少我们的合并股东权益并增加我们的债务与总资本比率,这可能会对我们的信用评级以及进入公共债务和股票市场的机会产生负面影响。国际业务-我们的国际业务使我们面临的风险与我们在国内面临的风险不同,甚至可能更大。我们目前在美国以外拥有重要的设施。截至2025年6月30日的财政年度,我们约7.9%的收入来自我们在美国和加拿大以外的业务。这些操作受到与我们在国内面临的风险不同或是类似风险但潜在风险敞口更大的各种风险。这些风险包括:•外汇和汇率波动,这可能会影响销售、销售商品成本以及根据经营和财务状况报告我们的业绩,包括我们财务报表中某些资产的价值;•影响我们进出口活动的国际贸易法、贸易协定或贸易关系的变化,包括出口许可要求、限制某些技术的出口和关税变化(包括额外或报复性关税),或施加新的或增加的贸易制裁;•难以收回应收账款和较长的收款期;•变化,或到期,为我们提供经济利益的各种外国激励措施;•影响我们雇用、保留和解雇员工的能力和成本的劳动法或做法;•在外国的人员配置和管理运营方面的困难;•法律解释和执行的变化(特别是与关税和税收等项目有关的),与数据隐私相关的法律和其他影响我们IT系统和流程的类似隐私法;•全球经济和金融市场不稳定;•潜在的政治和经济不稳定以及政府的变化;•遵守外国和国内进出口法规和反腐败法律,包括2012年《伊朗减少威胁和叙利亚人权法案》、《美国海外腐败行为法》和其他司法管辖区的类似法律,这些法律规范了我们在美国境外的商业活动,违反这些法律可能会导致严厉的处罚,包括罚款,刑事诉讼和暂停出口或进口特权;以及•导致破坏或扣押我们的资产或暂停或中断我们或我们的渠道销售合作伙伴、供应商或服务提供商的业务的恐怖或军事行动。我们在巴西有大量业务,并面临与巴西复杂的税收、劳工、贸易合规和消费者保护法律法规相关的风险。此外,巴西等发展中市场的政治波动性更大,更容易受到基础设施和劳动力中断的影响,更有可能经历市场和利率波动,并可能有更高的


 
17通胀。此外,在巴西等外国开展业务带来了额外的挑战,例如寻找和留住合格的员工,特别是管理级别的员工,驾驭不发达的基础设施,以及确定和留住合格的供应商、转售商、顾问和服务提供商,以及其他风险。此外,在发展中市场,例如巴西,其他人从事适用于我们的法律法规禁止的商业行为可能很常见,例如美国《反海外腐败法》或类似的当地反贿赂法律。我们对合法合规的承诺可能会使我们处于竞争劣势,我们在合规方面的任何失误都可能使我们受到民事和刑事处罚,这可能会对我们的财务状况和经营业绩产生重大不利影响。2025年,美国宣布对来自多个国家和贸易区块的商品征收多种额外关税,并以对等关税和其他报复性行动作为回应。尽管其中许多关税和报复性措施的实施已经暂停或推迟,但谈判和国际贸易政策和关系状况仍在继续演变。额外关税,或围绕此类关税的不确定性,可能会导致国外和国内供应链中断或导致价格上涨。在2025财年剩余时间和可预见的未来,我们已经承担并预计将继续发生与这些关税相关的成本。我们预计将继续将供应商的任何价格上涨从关税传递给我们的渠道销售合作伙伴,这可能会减少需求。然而,我们无法预测关税及其对全球宏观经济环境的影响对我们的财务状况或经营业绩的最终影响。此外,巴西的竞争也在加剧。如果我们不能成功地增加我们的业务,我们的产品销售、我们的财务状况和经营业绩可能会受到不利影响。季度波动-我们的净销售额和经营业绩取决于几个因素。我们的净销售额将在每个季度波动,这些波动可能会导致我们的股价波动。我们的净销售额和经营业绩可能会出现季度波动,因此,我们在一个时期的业绩可能与上一季度的业绩存在显着差异,并且可能与我们每个季度的业绩预测存在显着差异。这些差异的影响可能会导致我们的股价波动。此外,任何过去的财务业绩都不应被视为未来业绩的指标,投资者不应使用历史趋势来预测未来的业绩或趋势,因为我们的经营业绩可能会在季度间出现显着波动。任何季度期间的结果都不代表整个财政年度的预期结果。集中职能-我们集中了几个职能,为我们的业务提供高效支持。因此,我们其中一个地点的使用损失或减少可能会对我们的业务运营和财务业绩产生不利影响。为了尽可能高效,我们集中了一批关键职能。例如,我们目前从密西西比州Southaven的一个仓库向北美大部分地区分销产品。同样,对于我们的主要业务运营,我们在北美的大部分业务中使用位于美国的单一信息系统,而我们的巴西业务使用单独的系统。虽然我们有备用系统和业务连续性计划,但由于自然灾害、长时间的恶劣天气、安全漏洞(包括网络攻击)或其他原因,我们提供这些集中功能的能力受到任何重大或长时间的中断,都会严重损害我们继续正常业务运营的能力。此外,这些职能的集中化增加了我们对当地风险的敞口,例如合格员工的可用性以及对货运和通信等关键服务的竞争加剧或无法获得这些服务。与我们的行业竞争相关的风险因素-我们在所有市场都经历了激烈的竞争。这种竞争可能会导致利润率下降和我们市场份额的损失。


 
18我们的市场竞争激烈。我们的竞争基于价格、产品和服务的可用性、交付的速度和准确性、销售和营销计划的有效性、信贷可用性和条款、为我们的渠道销售合作伙伴的需求定制解决方案的能力、产品线和服务的质量和广度以及技术和产品信息的可用性。我们的竞争对手包括本地、区域、国家和国际分销商以及直接向转售商和最终用户销售的硬件和服务供应商。此外,我们与向特许经营商、第三方经销商和最终用户销售的经销商和技术解决方案分销商竞争。我们目前的某些竞争对手拥有,潜在的竞争对手可能拥有比我们拥有的更多的财务、技术、营销和其他资源,并且可能能够更快地对新技术或新兴技术以及渠道销售合作伙伴要求的变化做出反应。此外,某些区域竞争对手,即专业的两级或混合模式主经销商,可能能够更快地响应新技术或新兴技术以及其所在地区渠道销售合作伙伴要求的变化。随着宽线和其他增值分销商进入专业技术市场,我们的销售单位的竞争加剧。这种竞争可能会导致价格下降、利润率下降和我们的市场份额损失。由于我们行业激烈的价格竞争,我们的毛利率和营业利润率历史上一直很窄,我们预计未来将继续收窄。为了保持竞争力,我们可能会被迫向我们的渠道销售合作伙伴提供更多信贷或延长付款条件。这可能导致我们的资本要求增加,增加我们的融资成本,坏账费用,并可能对我们的财务状况和经营业绩产生不利影响。我们可能会失去市场份额,降低价格以应对竞争对手的行为,或者退出我们认为无法赚取适当利润的地域市场。随着当前竞争对手扩大业务和新竞争对手进入市场,我们预计竞争将持续激烈。我们无法成功地与当前和未来的竞争对手竞争,可能会导致我们的收入和收益下降。颠覆性技术-我们可能无法响应和适应快速的技术变化、不断演变的行业标准或不断变化的渠道销售合作伙伴需求或要求,因此可能会变得竞争力下降。我们的一些产品和服务的市场受制于快速的技术变革、不断演变的行业标准和渠道销售合作伙伴需求的变化,这可能会导致价值下降或库存过时。尽管我们的一些供应商为我们提供了某些保护,使其免受库存价值损失(例如价格保护和某些退货权利),但我们无法确定此类保护将完全补偿任何价值损失,或者此类供应商将选择或能够遵守此类协议。我们的能力和供应商对新技术趋势(包括人工智能发展)的预测和快速反应的能力,以及渠道销售合作伙伴的要求,对我们的整体成功、财务状况和运营结果至关重要。如果我们的供应商未能改进其产品和服务供应,或者如果我们未能改进我们的产品和服务供应或未能及时与理想的供应商接触以响应并保持领先于新的技术发展,我们保留或增加市场份额、利润率和收入的能力可能会受到不利影响。我们的一些竞争对手和供应商的竞争对手可能更善于适应颠覆性技术或进入新市场。我们未来的成功部分取决于我们适应和管理我们的产品和服务产品的能力,以我们的渠道销售合作伙伴愿意支付的价格满足渠道销售合作伙伴的需求。一般风险因素网络安全风险-勒索软件或其他网络攻击,可能导致我们丢失宝贵的财务和运营数据,我们可能无法处理渠道销售合作伙伴订单、订购和跟踪库存以及高效运营我们的业务,并可能导致我们损失收入和利润并产生重大成本。此外,如果我们的渠道销售合作伙伴、业务合作伙伴或我们自己的信息丢失、披露或盗用或无法访问,我们可能会受到法律索赔。


 
19我们广泛利用在线服务和综合信息系统,包括通过第三方服务提供商。渠道销售合作伙伴信息的安全维护和传递是我们运营的关键要素。我们维护和传输渠道销售合作伙伴或员工信息的信息技术和其他系统或我们的服务提供商或业务合作伙伴的信息技术和其他系统可能会受到网络安全的恶意第三方渗透的影响,或受到我们的员工、第三方服务提供商或业务合作伙伴的疏忽或不作为的影响。随着安全格局的不断变化,有经验的计算机程序员和黑客可能会侵入我们的网络安全,或者我们的第三方服务提供商和业务合作伙伴的网络安全,并盗用或泄露机密信息,造成系统中断或导致停机。因此,我们的渠道销售合作伙伴的信息可能会在未经我们的渠道销售合作伙伴同意的情况下丢失、披露、访问或获取。我们受制于有关渠道销售合作伙伴隐私和个人信息保护的法律法规。我们的渠道销售合作伙伴或业务合作伙伴的信息或我们的信息或影响此类信息的其他数据泄露的任何此类丢失、披露或盗用或访问,都可能导致法律索赔或法律诉讼,包括监管调查和行动,并可能对我们的声誉产生严重影响,并可能对我们的业务、经营业绩和财务状况产生不利影响。2023年5月,我们了解到,我们遭到了勒索软件攻击。攻击者加密了文件,这些文件反过来又使我们的某些系统在恢复之前无法访问。这次攻击中断了我们大约九个工作日的接受和处理订单的能力,并导致我们系统的各种信息在“暗网”上被披露。一旦发现,我们立即采取措施处理该事件,聘请了第三方专家,并通知了执法部门。我们已采取措施加强我们现有的IT安全基础设施,并继续实施额外措施,以防止未经授权访问或操纵我们的系统和数据。虽然恢复已经完成,但无法保证我们将来不会再次成为勒索软件或其他网络攻击的受害者。尽管我们有保险来抵消因诸如我们在2023年5月经历的勒索软件攻击等事件而产生的财务损失,但无法保证我们将追回所有索赔的保险收益,或者保险的类型或金额足以涵盖我们与网络安全漏洞、网络攻击和其他相关漏洞相关的索赔。收到的与网络安全事件有关的保险收益记入相关期间的综合损益表的销售、一般及行政开支。经济疲软-经济疲软和不确定性,包括经济衰退的可能性和通胀水平上升、关税和地缘政治不确定性可能会对我们的业绩和前景产生不利影响。我们的财务业绩、运营和前景在很大程度上取决于全球经济和地缘政治状况、对我们产品和服务的需求,以及我们的渠道销售合作伙伴和供应商的财务状况。宏观经济环境,包括增长前景、通货膨胀、关税和美国与其他国家关系转变的经济影响,继续造成重大不确定性,并可能对我们的综合经营业绩产生不利影响。2025年,美国宣布对来自多个国家和贸易区块的商品征收多种额外关税,并以对等关税和其他报复性行动作为回应。我们正在积极监测全球宏观经济环境的变化,并评估这些挑战可能对我们的财务状况、经营业绩和流动性产生的潜在影响。我们还注意到这些情况可能对我们的渠道销售合作伙伴、供应商和最终用户需求产生的潜在影响。我们预计,我们的供应商因关税而导致的任何价格上涨都将传递给我们的渠道销售合作伙伴。我们正在通过战略规划和保持财务灵活性来缓解这些风险,但我们无法预测我们的缓解战略的结果或关税和全球宏观经济环境对我们的财务状况或经营业绩的最终影响。


 
20经济疲软和地缘政治不确定性在过去已经导致,并可能在未来导致对产品的需求减少,从而导致销售额、利润率和收益下降。经济疲软和地缘政治不确定性也可能导致我们减值资产,包括商誉、无形资产和其他长期资产,采取重组行动或调整我们的运营策略,并减少开支以应对销售额或利润率下降。我们可能无法及时充分调整我们的成本结构,这可能会对我们的盈利能力产生不利影响。经济状况的不确定性也可能增加此类市场的外汇波动,这可能会对我们的业绩产生负面影响。经济疲软和地缘政治不确定性也使我们更难管理库存水平和/或收取渠道销售合作伙伴的应收款项,这可能会导致产生准备金的拨备、注销、获得流动性的机会减少和更高的融资成本。通胀上升的时期导致劳动力、材料和服务成本增加。尽管美国通胀率已显示出放缓的歌声,但我们经营所在国家的高通胀水平重新出现可能会进一步增加我们的成本,并在其他方面对我们的经营业绩和财务状况产生不利影响。我们监测宏观经济环境的变化;然而,我们无法预测通货膨胀率或经济总体状况的任何未来趋势。外币-我们的国际业务使我们面临可能对我们的经营业绩产生不利影响的外币汇率波动。我们在使用美元以外货币的国家进行销售、支付费用、拥有资产并产生负债。外汇汇率波动增加了我们与以销售这些产品和服务的货币以外的货币购买的产品和服务相关的损失风险。我们维持政策,通过使用衍生金融工具减少我们对外币汇率波动的净敞口;但是,无法保证外币汇率波动不会对我们的财务业绩产生重大影响。由于我们的合并财务报表以美元列报,我们必须将我们的财务报表按每个报告期内有效的汇率换算成美元。因此,我们交易的美元与其他货币之间的汇率上升或下降,可能会对我们的经营业绩产生积极或消极的影响。此外,外币汇率的意外和剧烈变化可能会对我们从国外市场获得的收益产生负面影响。加强政府监管-我们可能会承担额外成本并受到罚款和处罚,因为某些政府实体是我们所销售产品的最终用户。我们的某些渠道销售合作伙伴向政府实体销售我们的产品,这要求我们遵守与我们开展业务的方式相关的其他法律、法规和合同要求。在遵守此类法律、法规和其他要求时,我们可能会产生额外的费用。此外,不遵守此类法律、法规和其他要求也可能使我们面临罚款和处罚,包括合同损害赔偿或某些合同或业务的损失。我们还可能受到对我们商业行为的更多审查和调查,这可能会增加运营成本并增加法律责任,并使我们面临额外的声誉风险。项目1b。未解决的员工评论。不适用。


 
21项目1c。网络安全。风险管理和战略我们的网络安全风险管理计划旨在保护我们关键IT系统和信息的机密性、完整性和可用性。我们的计划融入了我们更广泛的企业风险管理计划,网络安全风险也在我们评估和考虑的风险之列,该计划旨在识别、评估、优先考虑和缓解整个组织的风险,以增强我们的复原力并支持实现我们的战略目标。我们的网络安全风险管理计划由我们的信息安全副总裁领导,他管理我们的安全团队,该团队主要负责管理我们的网络安全风险评估流程、我们的安全控制以及我们对网络安全事件的检测和响应。我们的计划包括预防、检测和应对网络安全事件的协议;跨职能协调;以及业务连续性和灾难恢复的规划。我们依赖于我们的信息安全管理系统,该系统由一套基于行业框架的政策支持,包括NIST网络安全框架。我们有一个网络事件响应小组(“CIRT”)到位,以做出响应,以准备适当的响应,并对网络安全威胁或事件做出响应。我们计划的组成部分包括:•旨在帮助识别和评估对我们关键IT系统、信息和更广泛的企业IT环境的网络安全威胁的风险评估;•每月对我们的员工进行强制性网络安全意识培训,涵盖诸如钓鱼战术、勒索软件和当前网络威胁形势的发展等主题;•评估和改进,其中包括灾难恢复测试、访问控制、远程访问、人员安全、系统和通信保护、媒体保护、变更管理、数据备份和恢复、审计日志、漏洞和补丁管理、物理安全,配置管理;•在适当情况下定期聘请独立安全公司和其他第三方专家,以评估、测试和认证我们网络安全计划的组成部分,并以其他方式协助我们网络安全流程和控制的各个方面;•我们的内部审计团队在外部顾问的协助下定期评估该计划关键流程和控制的设计和运营有效性。我们还为CIRT制定了网络安全事件响应计划,以评估和管理网络安全事件,其中包括基于事件性质和严重性的升级程序,包括酌情向董事会升级。作为我们整体风险缓解战略的一部分,我们维持旨在解决网络安全风险某些方面的保险范围;但是,此类保险的类型或金额可能不足以涵盖我们与网络安全漏洞、网络攻击和其他相关违规行为相关的索赔。截至本报告发布之日,我们不认为来自网络安全威胁的任何风险,包括由于2023年5月的勒索软件事件或之前的任何其他网络安全事件,已经或有合理可能对我们公司产生重大影响,包括我们的业务战略、经营业绩或财务状况。然而,尽管我们采取了安全措施,但无法保证我们或与我们互动的第三方未来不会经历对我们产生重大影响的网络安全事件。有关我们的网络安全相关风险的更多信息,请参阅项目IA,“风险因素-“网络安全风险”。


 
22治理我们的董事会主要负责监督我们的网络安全和其他信息技术风险,包括我们减轻网络安全风险和应对数据泄露的计划。董事会定期收到我们的首席信息官(“首席信息官”)关于网络安全事务的报告。这些报告包括一系列主题,包括我们的网络安全风险概况、当前的网络安全和新出现的威胁形势、正在进行的网络安全举措的状况、事件报告以及对我们信息系统的内部和外部评估结果。董事会审计委员会还每年审查我们的信息和技术安全政策以及有关信息和技术安全和网络安全的内部控制的充分性和有效性,并定期从我们的内部审计职能部门收到关于我们的网络安全审计和相关缓解活动结果的最新信息。审计委员会主席酌情向全体董事会报告这些讨论情况。此外,作为董事会继续教育和全面风险监督的一部分,董事会成员定期接受外部专家关于网络安全事项的介绍。在管理层面,我们的信息安全副总裁领导我们的企业范围网络安全计划,并负责评估和管理我们的材料受到网络安全威胁的风险。在履行职责时,我们的副总裁通过管理和参与网络安全风险管理计划和上述其他流程,包括维护和执行我们的网络事件响应计划,了解并监控网络安全风险和事件的预防、检测、缓解和补救。我们的副总裁向我们的首席信息官报告,而首席信息官又直接向我们的首席执行官报告。我们的首席信息官和信息安全副总裁都是经验丰富的网络安全主管。我们的首席信息官拥有近30年的经验,曾在多个财富500强组织担任过各种高级信息技术领导职务。我们的副总裁拥有20多年建设和领导网络安全、风险管理、信息技术团队的经验。我们安全团队的成员还持有行业认可的网络安全认证,包括认证信息系统安全专业人员(CISSP)认证。


 
23项目2。属性。我们的固定资产包括办公场所和仓库。截至2025年6月30日,我们的主要地点和/或物业如下:位置大约平方英尺类型的兴趣描述使用美国格林维尔,SC 174,000自有总部-首席执行官和销售办公室Southaven,MS 741,000租赁仓库Sacramento,加利福尼亚州 53,000租赁销售和行政办公室和仓库Louisville,KY 22,000租赁仓库巴西Serra,Esp í rito Santo,Brazil 40,000租赁销售办公室和仓库Itajai,Santa Catarina,Brazil 30,100租赁销售办公室和仓库在南卡罗来纳州格林维尔的174,000自有平方英尺约40,000平方英尺转租给无关联第三方。我们在北美的主要分销业务位于密西西比州的Southaven。我们利用美国和巴西的各种第三方仓库的物流服务。我们还在美国和巴西租赁各种额外的售楼处和仓库空间,每个大约20,000平方英尺或更少。管理层认为,我们的办公室和仓库设施足以支持我们在当前水平和可预见的未来的运营。项目3。法律程序。本公司及我们的附属公司不时成为因经营而产生的诉讼的当事人。尽管无法保证,但根据我们已知的信息,我们认为因对此类诉讼作出不利裁定而产生的任何责任不会对我们的财务状况和经营业绩产生重大不利影响。项目4。矿山安全披露。不适用。


 
24第二部分项目5。市场为注册人的普通股权益、相关股东事项和发行人购买股本证券。我们的普通股在纳斯达克全球精选市场的报价代码为“SCSC”。截至2025年8月18日,我们的普通股约有800名记录持有人。股票表现图表以下股票表现图表将我们普通股在五年期间的累计总股东回报率与同期的纳斯达克综合指数和标准行业分类(“SIC”)代码指数(SIC代码5045 –批发计算机和外围设备及软件)进行了比较。股东总回报代表股价变化,并假设股息再投资。该图假设2020年6月30日的投资额为100美元。202020212022202320242025 数码扫描,Inc. $ 100 $ 117 $ 129 $ 123 $ 184 $ 174 NASDAQ Composite $ 100 $ 145 $ 111 $ 140 $ 182 $ 210 SIC Code 5045 – Computers & Peripheral Equipment and Software $ 100 $ 198 $ 170 $ 178 $ 227 $ 261


 
25股票回购下表显示了截至2025年6月30日的季度的股票回购活动(以千为单位,股票和每股数据除外):期间购买的股票总数(1)每股支付的平均价格作为公开宣布的计划或计划的一部分购买的股票总数(2)根据计划或计划可能尚未购买的股票的大约美元价值(2)2025年4月1日至2025年4月30日261,305美元31.80 261,305美元233,821,479美元2025年5月1日至2025年5月31日220,897美元38.66 220,897美元225,280,529美元2025年6月1日至6月30日,2025200,693 $ 41.35 198,833 $ 217,059,499总计682,895681,035(1)包括从员工的股票奖励中预扣的1,860股股票,以满足2025年6月所需的预扣税款义务。2025年4月和5月期间没有扣留股份。(2)我们的董事会在2024年5月授权了一项1亿美元的股票回购计划,该计划没有任何时间限制。2025年4月,我们的董事会随后将股票回购计划的授权额外增加了2亿美元,这没有任何时间限制。在2025财年,我们根据股票回购计划回购了2,483,299股股票,总额为1.065亿美元,包括消费税。股息我们从未宣布或支付现金股息。根据我们的信贷额度条款,现金股息的支付受到限制。项目6。[保留]。


 
26项目7。管理层对财务状况和经营成果的讨论与分析。概述数码扫描是一家领先的技术分销商,将设备连接到云上,并为跨硬件、SaaS、连接和云的渠道销售合作伙伴加速增长。我们向主要位于美国、加拿大和巴西的约25,000家渠道销售合作伙伴提供来自约500家移动和条码、POS、支付终端、物理安全、网络、通信、连接和云服务领先供应商的技术解决方案和服务。我们在加强技术分销增长战略的管理结构下经营我们的业务。我们的部门主要在美国、加拿大和巴西运营:•专业技术解决方案• Intelisys & Advisory我们向渠道销售合作伙伴销售硬件、SaaS、连接和云解决方案和服务,旨在解决最终用户的挑战。我们在密西西比州、加利福尼亚州和肯塔基州经营支持我们在美国和加拿大业务的分销设施。巴西配送设施位于巴西的巴拉那州、圣埃斯皮里图州和圣卡塔琳娜州。我们通过我们的数字工具和平台提供我们的一些数字产品,其中包括SaaS和订阅。我们的主要供应商包括美国电话电报、Avaya、Axis、Cisco、康卡斯特业务、戴尔、Elo、Extreme、Five9、飞塔信息、韩华、霍尼韦尔、惠普TERMPoly、HPE/Aruba、Ingenico、Lumen、Microsoft、NiCE、RingCentral、Ubiquiti、Verifone、威瑞森通信、斑马技术和Zoom。近期发展宏观经济环境的影响,包括预测增长、通货膨胀和关税宏观经济环境,包括预测增长、通货膨胀、关税和美国与其他国家之间不断变化的关系的经济影响,继续造成重大的不确定性,并可能对我们的财务状况和经营业绩产生不利影响。2025年,美国宣布对来自多个国家和贸易区块的商品征收多种额外关税,并以对等关税和其他报复性行动作为回应。尽管美国宣布暂停某些关税,但谈判和国际贸易政策与关系状况仍在继续演变。我们注意到这些情况可能对我们的渠道销售合作伙伴、供应商和最终用户需求产生的潜在影响,我们正在积极监测全球宏观经济环境的变化,并评估这些挑战可能对我们的财务状况、经营业绩和流动性产生的潜在影响。我们希望将关税导致的供应商价格上涨转嫁给我们的渠道销售合作伙伴。我们也在通过战略规划和保持财务灵活性来缓解风险,但我们无法预测我们的缓解战略的结果或关税和全球宏观经济环境对我们的财务状况或经营业绩的最终影响。2025年7月4日,《一大美丽法案》(“法案”)签署成为法律。该法案永久延长了《减税和就业法案》的关键条款,包括100%的奖金折旧,并引入了国际税收框架的变化。我们目前正在评估该法案对我们未来有效税率、税收负债和现金税的影响。业务收购2024年8月8日,我们完成了对Secure Path Networks,LLC几乎所有资产的收购,该公司作为领先的技术顾问Resourcive(“Resourcive”)开展业务。Resourcive为中型市场和企业企业提供战略性IT采购解决方案。


 
272024年8月15日,我们完成了对Advantix Solutions Group,Inc.(“Advantix”)的几乎所有资产的收购,Advantix Solutions Group,Inc.是一家专门从事无线使能解决方案的托管连接体验提供商。成本削减和重组计划2024年9月,作为组织结构和运营战略审查的一部分,公司执行了成本削减和重组计划,以使我们的成本结构与我们业务中的需求预期保持一致。这些行动预计将在销售、一般和管理费用方面每年节省约1050万美元。2025年1月,我们执行了额外的成本削减和重组计划。这些行动导致销售、一般和管理费用每年节省约1000万美元。我们的战略我们的战略是通过利用我们的人员、流程和工具的不断增长的渠道销售合作伙伴生态系统,协调复杂、融合的技术解决方案,从而推动可持续的盈利增长。我们的目标是为我们的渠道销售合作伙伴、供应商和员工提供非凡的体验,我们努力实现卓越运营。我们的技术分销战略利用多种销售模式,从领先的技术供应商向渠道销售合作伙伴提供硬件、SaaS、连接和云服务,以解决最终用户的挑战。数码扫描使渠道销售合作伙伴能够为其最终用户提供解决方案,以应对不断变化的购买和消费模式。我们的解决方案可能包括来自多个供应商的产品组合,或让我们的渠道销售合作伙伴获得额外服务。作为渠道销售合作伙伴值得信赖的顾问,我们通过对最终用户需求的深刻理解,提供定制化的解决方案。


 
28持续经营业务的经营业绩下表列出的期间表明某些收入和费用项目占净销售额的百分比。由于四舍五入,总数可能不相加。截至2025年6月30日的财政年度202420232023年损益表数据:净销售额100.0% 100.0% 100.0%销售成本86.68 7.888.1毛利润13.41 2.21 1.9销售、一般和管理费用9.48.57.5折旧费用0.3 0.3 0.3 0.3无形摊销费用0.6 0.5 0.4重组和其他费用0.2 0.10.0或有对价公允价值变动0.10.0 0.0营业收入2.8 2.8 3.6利息费用0.3 0.4 0.5利息收入(0.4)(0.3)(0.2)出售业务收益0.0(0.4)0.0其他(收入)费用,净(0.2)0.0 0.0所得税前持续经营收入3.1 3.1 3.2所得税拨备0.8 0.7 0.9持续经营净收入2.4 2.4 2.3终止经营净收入0.0 0.0 0.0净收入2.4% 2.4%截至2025年6月30日和2024年财政年度的比较以下是对截至2025年6月30日和2024年财政年度的讨论。请参阅我们截至2024年6月30日的财政年度的表格10-K中的第二部分第7项“管理层对财务状况和经营业绩的讨论和分析”,以讨论截至2023年6月30日的财政年度。净销售额我们有两个可报告的分部,它们是基于销售模型。下表汇总了我们在截至2025年6月30日和2024年6月30日的可比财政年度按业务部门和按地理位置划分的净销售业绩。


 
2920252024 $变动%变动%变化不变货币(a)(单位:千)按分部划分的销售额:Specialty Technology Solutions $ 2,942,717 $ 3,167,549 $(224,832)(7.1)%(6.7)% Intelisys & Advisory 98,09392,2605,8336.3%(0.2)%总净销售额$ 3,040,810 $ 3,259,809 $(218,999)(6.7)%(6.5)%按地理类别划分的销售额:美国$ 2,800,739 $ 2,921,172 $(120,433)(4.1)%(5.2)%国际240,071338,637(98,566)(29.1)%(18.5)%总净销售额$不包括收购和资产剥离的情况在经营业绩结束时的非公认会计准则财务信息项下列报。专业技术解决方案专业技术解决方案部门包括向美国、加拿大和巴西的渠道销售合作伙伴进行销售。与2024财年相比,2025财年该部门的净销售额减少了2.248亿美元,即7.1%。不计入外汇波动的影响以及资产剥离和收购的影响,与上一财年相比,2025财年调整后的净销售额减少了2.123亿美元,即6.7%。净销售额和调整后净销售额的下降主要是由于本财年上半年的技术支出环境更加谨慎。Intelisys & Advisory Intelisys & Advisory部门包括对美国的渠道销售合作伙伴(Intelisys)和最终用户(Advisory)的销售和服务。与2024财年相比,2025财年该部门的净销售额增加了580万美元,即6.3%。净销售额的增长反映了一项收购的增加。不计入汇率波动的影响和收购的影响,调整后的净销售额与上一年相比减少了0.2百万美元,即0.2%,这主要是由于技术支出环境更加谨慎。对于2025财年,Intelisys的净账单总额约为27.9亿美元,增长4.5%,这是供应商向最终用户收取的金额,代表年度经常性收入。2025财年Intelisys的净账单导致Intelisys的净销售额约为8560万美元。对于我们的Intelisys业务,净销售额反映了在支付渠道销售合作伙伴佣金后从供应商收到的净佣金。


 
30毛利润下表总结了我们截至2025年6月30日和2024年的财政年度的毛利润:占销售额的百分比2025年6月30日2024年$变化%变化20252024年(千)Specialty Technology Solutions $ 311,402 $ 307,257 $ 4,1451.3% 10.6% 9.7% Intelisys & Advisory 97,24491,7955,4495.9% 99.1% 99.5%总毛利润$ 408,646 $ 399,052 $ 9,5942.4% 13.4% 12.2%我们的毛利润主要受到销量和毛利率组合的影响。毛利率组合受到多重因素的影响,包括销售组合(较高利润率产品或服务的销售额相对于总销售额的比例)、供应商计划认可(包括数量回扣、库存价格变化和采购折扣)和运费成本。供应商方案认可度的提高降低了销售商品的成本,从而提高了毛利。来自我们Intelisys业务的净销售额为我们的毛利润美元和利润率贡献了100%,因为它们没有销售商品的相关成本。特种技术解决方案部门的特种技术解决方案,毛利润美元增加410万美元。毛利率组合对毛利润产生了2600万美元的积极影响,这主要是由于有利的供应商计划认可和有利的销售组合,部分被较高的运费成本所抵消。在考虑了相关的销售成本后,销量下降影响了本财年的毛利润下降了2180万美元。截至2025年6月30日的财年,毛利率较上年增长88个基点至10.6%。Intelisys & Advisory部门的Intelisys & Advisory,毛利润美元增加540万美元。销量增加,主要是由于我们收购Resourcive的影响,使毛利润增加了580万美元。毛利率较上一财年下降36个基点至99.1%,反映销售组合中增加了专业服务。运营费用下表汇总了我们截至2025年6月30日和2024年期间的运营费用:占销售额的百分比2025年6月30日2024年$变化%变化20252024年(以千为单位)销售,一般及行政开支$ 286,934 $ 277,428 $ 9,5063.4% 9.4% 8.5%折旧开支10,00411,219(1,215)(10.8)% 0.3% 0.3%无形摊销开支19,22715,7233,50422.3% 0.6% 0.5%重组及其他费用5,3814,3581,02323.5% 0.2% 0.1%或有对价公允价值变动1,900 — 1,900*纳米0.1% —%运营费用$ 323,446 $ 308,728 $ 14,7184.8% 10.6% 9.5%*nm-意义不大


 
31与上一年相比,截至2025年6月30日的财政年度的销售、一般和管理费用(“SG & A”)增加了950万美元。SG & A费用增加主要是由于与收购相关的成本增加。与上一财年相比,截至2025年6月30日的财年折旧费用减少了120万美元。减少的主要原因是IT资产在本年度变得完全折旧。与上一财年相比,截至2025年6月30日的财政年度的无形摊销费用增加了350万美元。这一增长是我们在收购Advantix和Resourcive时获得的无形资产的结果。截至2025年6月30日的财政年度的重组和其他费用为540万美元,与上一年相比增加了100万美元,这主要与我们在2025财政年度实施的费用削减和重组计划相关的员工离职和福利成本有关。我们将欠我们收购的业务的前股东的或有对价的公允价值变动作为营业费用中的单独项目列报。截至2025年6月30日的财年,我们录得190万美元的公允价值调整费用。或有对价公允价值变动产生的费用主要是由于未确认的公允价值折扣的经常性摊销。营业收入下表汇总了我们截至2025年6月30日和2024年期间的营业收入:占销售额的百分比2025年6月30日2024年$变化%变化20252024年(千)Specialty Technology Solutions $ 66,049 $ 66,678 $(629)(0.9)% 2.2% 2.1% Intelisys & Advisory 27,21430,595(3,381)(11.1)% 27.7% 33.2% Corporate(8,063)(6,949)(1,114)16.0% —% — %总营业收入$ 85,200 $ 90,324 $(5,124)(5.7)% 2.8% Specialty Technology Solutions for the Specialty Technology Solutions segment,与上一财年相比,截至2025年6月30日的财年,营业收入减少了60万美元,营业利润率增加了14个基点,达到2.2%。营业收入减少主要是由于信息技术和咨询相关成本增加以及与近期收购相关的摊销增加。Intelisys & Advisory部门的营业收入减少了340万美元,截至2025年6月30日的财政年度,营业利润率与上一财政年度相比下降至27.7%。营业收入减少主要是由于成本增加,包括与最近的一项收购相关的公允价值费用变动。截至2025年6月30日的财年,公司运营亏损总计810万美元,其中包括540万美元的重组费用、160万美元的法律和解、90万美元的收购和剥离成本以及20万美元的网络攻击恢复费用。在截至6月30日的财年中,2024 Corporate发生了690万美元的亏损,这意味着440万美元的重组费用、170万美元的收购和剥离成本以及90万美元的网络攻击恢复费用。


 
32其他(收入)费用总额下表汇总了截至2025年6月30日和2024年的财政年度我们的其他(收入)费用总额:占销售额的百分比2025年6月30日2024年$变化%变化20252024年(以千计)利息费用$ 8,013 $ 13,031 $(5,018)(38.5)% 0.3% 0.4%利息收入(11,247)(9,381)(1,866)19.9%(0.4)%(0.3)%净外汇损失7552,198(1,443)(65.7)%—% 0.1%出售业务收益—(14,155)14,155*nm —%(0.4)%其他,净额(6,717)(1,210)(5,507)455.1%(0.2)% —%其他(收入)费用总额$(9,196)$(9,517)$ 321(3.4)%(0.3)%(0.3)%利息费用主要包括借款产生的利息、循环信贷额度收取的非使用费以及债务发行成本的摊销。与2024年相比,2025财年的利息支出有所减少,这主要是由于我们的多币种循环信贷额度的平均借款减少。与截至2024年6月30日的财政年度相比,截至2025年6月30日的财政年度的利息收入有所增加,这主要是由于美国整个财政年度的现金余额增加所赚取的利息。外汇净损益包括外币交易和功能货币重新计量,由外汇远期合约净损益抵消。外汇损益的产生主要是美元兑巴西雷亚尔和加元兑美元汇率波动的结果。我们通过使用外汇合约对冲这些风险敞口,部分抵消了外汇敞口。与外汇合约相关的成本计入外汇净损失。在截至2024年6月30日的财政年度,我们确认出售我们在英国的INTY业务获得了1420万美元的收益。截至2025年6月30日的财年,由于与2023财年第四季度网络安全攻击有关的保险赔偿,我们确认了670万美元的收益。截至2025年6月30日和2024年6月30日的财政年度,持续经营业务的所得税费用分别为2280万美元和2280万美元,实际税率分别为24.2%和22.8%。与2024财年相比,2025财年有效税率的提高主要是由于2024财年对英国国际贸易组织(INTY UK)资产剥离的税务处理、不可抵扣费用的增加以及全球无形低税所得税的增加。2021年12月,经济合作与发展组织(“OECD”)发布了定义全球最低税率规则的第二支柱示范规则,其中设想全球最低税率为15%。几个成员国颁布了支柱二条款,将于2025财年生效。该公司认为,它有资格在许多这些司法管辖区获得安全港豁免,对未来有效税率和公司纳税义务的任何剩余影响将是最小的。我们预计2026财年来自持续经营业务的有效税率约为27.2%至28.2%。有关包括有效税率调节在内的进一步讨论,请参见合并财务报表附注中的附注13-所得税。


 
33评估财务状况和经营业绩的非GAAP财务信息除了披露根据美国公认会计原则(“US GAAP”或“GAAP”)确定的结果外,我们还披露了某些非GAAP财务指标。这些衡量标准包括非美国通用会计准则营业收入;非美国通用会计准则税前收入;非美国通用会计准则净利润;非美国通用会计准则每股收益;调整后的利息支出、所得税、折旧和摊销前利润(“调整后EBITDA”);调整后的投资资本回报率(“调整后的ROIC”);以及固定货币。固定汇率是一种不包括报告期间外币汇率变化的换算汇率影响以及与收购和资产剥离相关的某些影响的衡量标准。我们使用非公认会计准则财务指标来更好地理解和评估业绩,包括不同时期的比较。这些非GAAP财务指标作为分析工具存在局限性,我们报告的非GAAP财务指标可能无法与其他公司报告的类似标题的金额进行比较。基于非公认会计原则的结果和前景分析应作为根据美国公认会计原则编制的财务业绩计量的补充考虑,而不是替代或优于这些计量。调整后的投资资本回报率调整后的ROIC有助于我们在一致的基础上比较不同报告期的业绩,因为它从我们的经营业绩中去除了未反映我们核心经营业绩的项目的影响。我们相信,调整后ROIC的计算为投资者提供了有用的信息,并且是对我们年内业绩的额外相关比较。调整后的EBITDA从净收入开始,并加回利息费用、所得税费用、折旧费用、无形资产摊销、或有对价公允价值变动、非现金共享补偿费用和其他非公认会计准则调整。由于调整后的EBITDA不包括投资于我们的业务和人员的一些非现金成本,我们认为调整后的EBITDA更清楚地显示了来自我们业务运营的盈利能力。我们将调整后的ROIC计算为调整后的EBITDA,除以投入资本。投入资本定义为平均权益加上该期间的平均每日融资有息债务。下表汇总了截至2025年6月30日和2024年6月30日的财政年度的年化调整后ROIC。


 
34我们调整后的ROIC计算以及与财务报表对账的组成部分如下所示:截至6月30日的财政年度,20252024年(千)净收入与调整后EBITDA的对账:持续经营净收入(GAAP)71,548美元77,060美元加:利息支出8,01313,031加:所得税22,84822,781加:折旧和摊销30,19528,009 EBITDA(non-GAAP)132,604140,881加:或有对价公允价值变动1,900 —加:股份补偿11,0629,537加:收购和剥离成本(a)9261,717加:网络攻击恢复成本177874加:重组成本5,3814,358加:税收追回(3,041)(2,558)加:法律和解1,579 —加:保险追偿,扣除付款净额(5,928)—加:出售业务收益—(14,155)调整后EBITDA(调整后ROIC的分子)(非公认会计准则)144,660美元140,654美元截至2025年6月30日的财政年度2024年(单位:千)投资资本计算:权益–年初924,255美元905,298美元权益–年末906,409924,255加:或有对价公允价值变动,净额1,432 —加:以股份为基础的薪酬,净额8,317,120加:收购和剥离成本(a)9261,717加:网络攻击恢复成本,净额133655加:重组,净额4,0543,262加:税收回收,净额(4,072)(2,566)加:法律和解,净额1,189 —加:保险追偿,净额(4,466)—加:出售业务收益—(14,155)平均权益919,085912,793平均融资债务(b)141,173220,528投入资本(调整后ROIC的分母)(非公认会计原则)1,060,258美元1,133,321美元(a)收购和剥离成本通常不可用于税收抵扣。(b)平均融资债务计算为我们的短期和长期有息债务的每日平均未偿还金额。20252024调整后投资资本收益率13.6% 12.4%


 
35不变货币净销售额,不包括收购和剥离我们提到“不变货币”,这是一种非公认会计原则的业绩衡量标准,不包括报告期之间平均汇率波动带来的汇率影响。不变货币是通过使用上一财政年度期间的可比平均外汇汇率将非美元货币的当期业绩换算成美元计算得出的。我们还从收购或剥离日期排除了第一个完整运营年度之前的收购和剥离的影响,以便在有机基础上显示净销售结果。提供这些信息是为了分析潜在趋势,而不考虑外币汇率波动的换算影响以及收购或资产剥离的影响。下面我们通过提供不包括收购和资产剥离的固定货币净销售额的非GAAP对账来展示有机增长:按部门划分的净销售额:截至2025年6月30日的财政年度2024年$变化%变化Specialty Technology Solutions:(单位:千)净销售额,报2,942,717美元3,167,549美元(224,832)(7.1)%外汇影响(a)32,754 —减:收购(24,199)—减:资产剥离——(4,019)非GAAP净销售额,固定货币2,951,272美元3,163,530美元(212,258)(6.7)% Intelisys & Advisory:净销售额,报告98,09392,260美元5,8336.3%外汇影响(a)(19)—减:收购(5,978)—非美国通用会计准则净销售额,固定货币92,096美元92,260美元(164)(0.2)%合并:净销售额,报告3,040,810美元3,259,809美元(218,999)(6.7)%外汇影响(a)32,735 —减:收购(30,177)—减:资产剥离——(4,019)非美国通用会计准则净销售额,固定货币3,043,368美元3,255,790美元(212,422)(6.5)%(a)不包括外币汇率变动换算影响的同比净销售额增长率。计算方法是使用截至2024年6月30日财年的平均外汇汇率将截至2025年6月30日财年的净销售额换算成美元。


 
36按地区分列的净销售额:截至2025年6月30日的财政年度2024年$变动%美国和加拿大:(以千计)净销售额,如报告的2,800,739美元2,921,172美元(120,433)(4.1)%减:收购(30,177)—净销售额,不包括收购2,770,562美元2,921,172美元(150,610)(5.2)%国际:净销售额,如报告的240,071美元338,637美元(98,566)(29.1)%外汇影响(a)32,735 —减:资产剥离—(4,019)非公认会计原则净销售额,固定货币272,806美元334,618美元(61,812)(18.5)%合并:净销售额,报3,040,810美元3,259,809美元(218,999)(6.7)%外汇影响(a)32,735 —减:收购(30,177)—减:资产剥离——(4,019)非公认会计原则净销售额,固定货币3,043,368美元3,255,790美元(212,422)(6.5)%(a)不包括外币汇率变动换算影响的同比净销售额增长率。计算方法是使用截至2024年6月30日的财政年度的平均外汇汇率将截至2025年6月30日的财政年度的净销售额换算成美元。


 
37按分部划分的营业收入:截至6月30日的财政年度,占净销售额的百分比2025年6月30日2024年$变动%变化20252024年专业技术解决方案:(以千计)GAAP营业收入$ 66,049 $ 66,678 $(629)(0.9)% 2.2% 2.1%调整:无形资产摊销10,5088,0412,467或有对价公允价值变动(840)—(840)税收回收,净额(3,041)(2,558)(483)非GAAP营业收入$ 72,676 $ 72,161 $ 5150.7% 2.5% 2.3% Intelisys & Advisory:GAAP营业收入$ 27,214 $ 30,595 $(3,381)(11.1)% 27.7% 33.2%调整:无形资产摊销8,7197,6821,037或有对价公允价值变动2,740 — 2,740非GAAP营业收入$ 38,673 $ 38,277 $ 3961.0% 39.4% 41.5%公司:GAAP营业亏损$(8,063)$(6,949)$(1,114)调整:收购和剥离成本9261,717(791)重组成本5,3814,3581,023网络攻击恢复成本177874(697)法律和解1,579 — 1,579非GAAP营业收入$ — $ — $ — nm*奈米*奈米*合并:GAAP营业收入$ 85,200 $ 90,324 $(5,124)(5.7)% 2.8% 2.8%调整:无形资产摊销19,22715,7233,504或有对价公允价值变动1,900 — 1,900收购和剥离成本9261,717(791)重组成本5,3814,3581,023税收回收(3,041)(2,558)(483)网络攻击恢复成本177874(697)法律和解1,579 — 1,579非美国通用会计准则营业收入111,349美元110,438美元9110.8% 3.7% 3.4%


 
38个额外的非GAAP指标为了在与前期更一致的基础上评估本期业绩,我们披露了非GAAP SG & A费用、非GAAP营业收入、非GAAP税前收入、非GAAP净收入和非GAAP摊薄每股收益。非美国通用会计准则业绩不包括与收购相关的无形资产摊销、或有对价公允价值变动、收购和剥离成本、重组成本、剥离影响和其他非美国通用会计准则调整。这些同比指标包括外币汇率变化的换算影响。这些指标对于评估和理解我们的经营业绩很有用,尤其是在将业绩与前几期进行比较或预测未来期间的业绩时。下面我们提供了根据上述成本和费用调整的上述指标的非GAAP对账:截至2025年6月30日止年度GAAP计量无形摊销费用或有对价公允价值变动收购和剥离成本(a)重组成本税收回收网络攻击恢复成本法律和解保险回收非GAAP计量(单位:千,每股数据除外)SG & A费用$ 286,934 $ — $ — $(926)$ — $ 3,041 $(177)$(1,579)$ — $ 287,293营业收入85,20019,2271,9009265,381(3,041)1771,579 — 111,349税前收入94,39619,2271,9009265,381(3,041)1771,579(5,928)114,617净收入71,54814,4001,4329264,054(4,072)1331,189(4,466)85,144摊薄后每股收益$ 3.00 $ 0.60 $ 0.06 $ 0.04 $ 0.17 $(0.17)$ 0.01 $ 0.05 $(0.19)$ 3.57截至6月30日止年度,2024年GAAP衡量无形摊销费用或有对价公允价值变动收购和剥离成本(a)重组成本税收回收网络攻击恢复成本出售业务的收益(b)保险回收非GAAP衡量(以千为单位,每股数据除外)SG & A费用$ 277,428 $ — $ — $(1,717)$ — $ 2,558 $(874)$ — $ — $ 277,395营业收入90,32415,723 — 1,7174,358(2,558)874 —— 110,438税前收入99,84115,723 — 1,7174,358(2,558)874(14,155)— 105,800净收入77,06011,697 — 1,7173,262(2,566)655(14,155)— 77,670摊薄后每股收益$ 3.06 $ 0.46 $ — $ 0.07 $ 0.13 $(0.10)$ 0.03 $(0.56)$ — $ 3.08(a)截至6月30日的财政年度的收购和剥离成本,2025年和2024年6月30日通常不可用于税收目的的扣除。(b)反映出售英国INTY业务的收益。这笔交易导致了出于税收目的的资本损失。由于没有抵销资本收益,公司没有就资本损失记录税项拨备。


 
39关键会计政策和估计管理层对财务状况和经营业绩的讨论和分析基于我们的合并财务报表,这些报表是按照美国公认会计原则编制的。编制财务报表要求管理层作出估计和假设,这些估计和假设会影响资产和负债的呈报金额以及在财务报表日期披露或有资产和负债以及报告期间收入和支出的呈报金额。管理层持续评估其估计,包括与无法收回的应收账款备抵、库存储备以将库存降至成本或可变现净值较低者、供应商奖励和商誉相关的估计。管理层的估计基于历史经验和管理层认为在当时情况下合理的各种其他假设,其结果构成对无法从其他来源轻易获得的资产和负债的账面价值作出判断的基础。在不同的假设或条件下,实际结果可能与这些估计存在重大差异。有关我们的重要会计政策的进一步讨论,请参阅附注1-重要会计政策的业务和摘要。贸易和应收票据准备金我们采用了ASU2016-13,金融工具-信用损失(ASC主题326),自2020年7月1日起生效。这一采用并未对我们的合并财务报表产生重大影响。我们对可疑应收账款备抵的估计政策介绍如下。我们对因渠道销售合作伙伴未能支付应付我们的应收账款而导致的估计未来预期信用损失保留无法收回的应收账款备抵。管理层通过考虑若干因素来确定可疑应收账款备抵的估计,包括:(i)历史经验,(ii)应收账款的账龄,(iii)我们获得的关于其客户的财务状况和当前信誉的具体信息,(iv)当前的经济和国家特定环境,以及(v)关于可收回性的合理和可支持的预测。我们根据ASU2016-13,金融工具-信用损失(ASC主题326)对信用损失进行会计处理。当存在类似风险特征时,使用基于年龄的准备金模型对预期信用损失进行池估计。不具有共同风险特征的应收款项按个别情况进行评估。贸易应收款项的预期信用损失估计数在开始时记录,并在合同期限内进行调整。详情请参阅附注2-应收账款和应收票据,净额。存货储备管理层主要根据技术变革、货物数量和在手时间长度等因素的影响,确定将存货降至成本或可变现净值较低者所需的存货储备。对价值确定为减值的产品的可变现净值减去处置成本进行估算。如果这些产品最终以低于预估量的价格出售,可能需要额外储备。用于计算这些储备的估计数得到了一致的应用。调整记录在存货效用损失发生期间,这为存货建立了新的成本基础。这一新的成本基础一直保持到预留库存被处置、退回供应商或出售为止。销售特定预留存货的,销售商品成本按销售存货的新成本基础费用化。供应商计划我们从供应商那里获得与市场开发基金、批量返利和其他奖励计划相关的奖励。这些激励措施通常是根据与供应商的季度、半年度或年度协议制定的。其中一些激励措施是在临时基础上进行谈判的,以支持公司与供应商之间相互开发的特定项目。供应商一般要求我们将供应商的市场开发资金用于广告或其他营销方案。从供应商收到的针对具体确定的增量市场开发资金的奖励记录为对销售、一般和管理费用的调整。ASC 606 –与客户订立合同的收入地址会计应付给客户的对价,公司将其解释和应用为客户(即公司)从供应商处收到广告资金。这些供应商资金超过我们成本的部分反映为库存的减少。此类资金在相关存货销售时确认为已售商品成本的减少。


 
40我们将收到的不受限制的批量返利记录为库存的减少,并在相关库存销售时降低销售商品的成本。尚未赚取的已收或应收供应商款项在综合资产负债表中递延。供应商应收账款一般通过减少到供应商授权的应付账款来收取。此外,我们可能会收到某些供应商提供的提前付款折扣。我们将收到的提前付款折扣记录为库存的减少,从而在相关库存销售时导致销售商品成本的减少。ASC 606要求管理层对将收到的供应商对价金额做出某些估计。估算基于激励计划的条款和历史经验。对供应商对价的实际确认可能与管理层的估计有所不同。商誉我们按照ASC 350、商誉和其他无形资产对已记录的商誉进行会计处理,这就要求每年对商誉进行减值审查,如果存在减值迹象则更频繁地进行。商誉测试采用减值分析,据此我们将每个已识别报告单位的账面价值与其公允价值进行比较。商誉的账面价值至少每年在报告单位层面进行减值审查,如果存在减值指标,则更频繁地进行审查。我们的商誉报告单位直接与我们的运营部门、专业技术解决方案和Intelisys & Advisory保持一致。报告单位的公允价值是使用每个报告单位产生的贴现现金流量的净现值估计的。在估计未来现金流量、贴现率和影响报告单位估计公允价值的其他因素,包括经营和宏观经济因素时,需要有相当的判断。进行此类估算时使用了历史财务信息、内部计划和预测以及行业信息。在ASC 350下,如果确定商誉公允价值的公允价值低于账面价值,则对账面价值超过报告单位公允价值金额的金额确认减值损失,不超过分配给报告单位的商誉总额。此外,在计量商誉减值损失(如适用)时,我们会考虑任何可抵税商誉对报告单位账面金额的所得税影响。如果事实和情况表明商誉可能发生减值,我们也会评估商誉的可收回性。在我们最近的年度测试中,我们主要基于使用贴现现金流量法的收益法估计了报告单位的公允价值。截至2025年6月30日,Specialty Technology Solutions和Intelisys & Advisory报告部门的商誉余额分别为1.598亿美元和7100万美元。截至年度商誉减值测试日,报告单位的公允价值分别超过其账面价值2%和100%。我们还利用市场法利用上市公司市场倍数法得出的公允价值估计来验证贴现现金流量法的结果,这要求我们对这些倍数对我们的报告单位的适用性做出假设。折现现金流量法要求我们估计未来的现金流量,并将这些金额折现为现值。用于确定公允价值的关键假设包括:•行业WACC:我们使用相对于每个报告单位各自地域和行业的WACC作为估计未来现金流量的贴现率。WACC旨在代表市场参与者在各个地区的预期回报率。•营业收入:我们使用了历史和预期收入增长率、毛利率和营业费用百分比,这些百分比根据每个被评估报告单位的预测而有所不同。•营运资本变化产生的现金流:随着我们每个商誉报告单位的增长,我们利用了与营运资本预期变化相关的预计现金流影响。虽然我们认为我们的假设是适当的,但它们受到不确定性的影响,本质上包括对未来事件的判断和估计,包括预计增长率、利润率百分比和运营效率。用于确定公允价值的关键假设包括预计增长和营业利润率、营运资金需求和贴现率。在2024和2023财年,我们完成了截至4月30日的年度减值测试,并确定我们的商誉没有减值。


 
41有关我们的商誉减值测试和结果的进一步讨论,请参见合并财务报表附注中的附注7-商誉和其他可辨认无形资产。购买价格分配公司根据财务会计准则委员会(“FASB”)会计准则编纂(“ASC”)805、企业合并对企业合并进行会计处理。对于每一次收购,公司将收购价格分配给收购的资产、承担的负债以及商誉和无形资产。本公司按估计公允价值确认取得的资产和负债。管理层运用判断(i)识别所收购的资产和承担的负债,(ii)估计这些资产的公允价值,(iii)估计资产的使用寿命,以及(iv)评估在资产的使用寿命内确认折旧或摊销费用的适当方法。最近发布的会计准则有关最近会计公告的讨论,请参见合并财务报表附注中的附注1。流动性和资本资源我们流动性的主要来源是运营现金流和3.5亿美元循环信贷额度下的借款。我们的业务需要对营运资金进行大量投资,特别是应收账款和库存,部分资金来自我们应付供应商的账款。一般来说,随着我们销量的增加,我们对营运资本的净投资通常会增加,这通常会导致经营活动产生的现金流减少。相反,当销量减少时,我们对营运资本的净投资通常会减少,这通常会导致经营活动产生的现金流增加。截至2025年6月30日和2024年6月30日,现金和现金等价物总额分别为1.262亿美元和1.855亿美元,其中,截至2025年6月30日和2024年6月30日,在美国境外持有的现金和现金等价物分别为4630万美元和2000万美元。截至2025年6月30日和2024年6月30日,这些账户中已发放但尚未结清的金额分别为10万美元和590万美元的支票被归类为应付账款。我们主要在北美和巴西开展业务,在那里我们产生并使用现金。我们从加拿大和巴西子公司的收益中计提美国所得税。有关进一步讨论,请参阅综合财务报表附注中的附注13-所得税。我们对营运资本的净投资(定义为应收账款加上存货减去应付账款)从2024年6月30日的5.062亿美元增加1460万美元至2025年6月30日的5.207亿美元,这主要是由于应收账款的增加。我们对营运资本的净投资受到以下几个因素的影响:销量波动、净收入、渠道销售合作伙伴收款的时间、库存水平的增减以及对供应商的付款。年终现金(用于)提供:2025年6月30日2024年6月30日(单位:千)持续经营的经营活动112,349美元371,647美元持续经营的投资活动(62,390)9,045持续经营的融资活动(110,905)(227,767)截至2025年6月30日的财政年度,经营活动提供的现金净额为1.123亿美元,截至2024年6月30日的财政年度为3.716亿美元。截至2025年6月30日的财政年度,经营活动提供的现金减少,主要是由于与营运资金相关的现金流,截至2025年6月30日的财政年度,营运资金减少了2250万美元,而上一年度则大幅增加了2.993亿美元。去年同期反映了销量下降和多季度营运资本改善计划导致的营运资本净投资减少。


 
42由于与应收账款、应付账款和其他营运资金项目相关的付款时间,经营现金流在一段时期内存在可变性。截至2025年6月30日,未结清销售天数(“DSO”)为70天,与2024年6月30日持平。在整个2025财年,DSO范围从66到72。2025财年第四季度库存周转率为5.9倍,而2024财年第四季度为5.0倍。在整个2025财年,存货周转率从5.0到5.9倍不等。截至2025年6月30日的财政年度,用于投资活动的现金为6240万美元,而截至2024年6月30日的财政年度提供的现金为900万美元。2025财年用于投资活动的现金主要来自为收购和资本支出支付的现金。2024财年投资活动提供的现金是出售我们已终止业务的收益,部分被资本支出所抵消。管理层预计,2026财年的资本支出将在1000万美元至1500万美元之间,主要用于IT和仓库投资。截至2025年6月30日的财年,用于融资活动的现金总额为1.109亿美元,主要是由于回购了普通股。截至2024年6月30日的财政年度,用于融资活动的现金为2.278亿美元,主要是由于偿还了循环信贷额度和回购了普通股。在2025年4月的股票回购计划中,我们的董事会批准了额外的2亿美元股票回购授权,这是对现有2024年5月授权的1亿美元回购计划的补充。股份回购授权不设任何时间限制。在2025财年,我们回购了248.3 299万股,总额为1.065亿美元。截至2025年6月30日,根据董事会批准的授权,公司可用于回购的资金约为2.171亿美元。信贷融通我们与摩根大通银行N.A.作为行政代理人,以及一个银行银团(经修订,“经修订的信贷协议”)签订了一项多币种高级担保信贷融通。2022年9月28日,我们修订并重申了经修订的信贷协议,其中包括(i)一项五年期、3.5亿美元的多币种高级有担保循环信贷融资和(ii)一项五年期、1.5亿美元的高级有担保定期贷款融资。该修正案将循环信贷融资到期日延长至2027年9月28日。此外,根据“手风琴功能”,我们可能会增加最多2.5亿美元的借款,但须获得参与增加的贷方的额外信贷承诺。经修订的信贷协议允许签发最多5000万美元的信用证。经修订的信贷协议项下的借款由我们几乎所有的国内资产和我们的国内子公司提供担保。根据循环信贷额度的条款,现金股息的支付受到限制。我们因修订和重述经修订的信贷协议而产生了140万美元的债务发行费用。这些成本被资本化为简明综合资产负债表上的其他非流动资产,并从先前的信贷融资中添加到未摊销的债务发行成本中。除Swingline贷款外,以美元计价的贷款的年利率等于(i)调整后的期限有担保隔夜融资利率(“SOFR”)或调整后的每日简单SOFR加上1.00%至1.75%的额外保证金,具体取决于我们的比率:(a)综合债务总额减去不超过3000万美元的非限制性国内现金(“信贷融资净债务”)与(b)截至最近一年或季度末计量的(如适用)(信贷融资EBITDA)的过去四个季度综合EBITDA,已向贷款人交付财务报表的(“杠杆比率”);或(ii)备用基准利率加上从0%至0.75%的额外保证金,取决于我们的杠杆比率,加上(如适用)某些强制性成本。所有以美元计价的Swingline贷款的利息基于调整后的每日简单SOFR加上根据我们的杠杆比率或与适用的Swingline贷方商定的其他利率而定的1.00%至1.75%的额外保证金。调整后的期限SOFR和调整后的每日简单SOFR包括在适用SOFR参考利率基础上0.10%的固定信用调整。以外币计价的贷款的年利率等于经修订信贷协议中规定的适用基准利率加上1.00%至1.75%的额外保证金,具体取决于我们的杠杆比率加上(如适用)某些强制性成本。


 
43在截至2025年6月30日的财政年度内,我们在信贷安排下的借款为美元贷款。截至2025年6月30日的有效利差为1.00%,加上基于SOFR-的贷款的0.10%的信用利差调整和备用基准利率贷款的0.00个百分点。截至2025年6月30日生效的承诺费率为0.15%。经修订的信贷协议包括惯常的陈述、保证以及肯定和否定的契约,包括财务契约。具体地说,我们的杠杆率在任何时候都必须小于或等于3.50到1.00。此外,截至每个财政季度末,我们的利息覆盖率(如经修订的信贷协议中所定义的那样)必须至少为3.00至1.00。在发生违约的情况下,贷款人可以使用惯常的补救措施,包括加速和提高利率。截至2025年6月30日,我们遵守经修订信贷协议项下的所有契诺。截至2025年6月30日和2024年6月30日的财政年度,循环信贷额度(不包括定期贷款额度)的日均余额分别为30万美元和7110万美元。截至2025年6月30日和2024年6月30日,分别有3.50亿美元和3.499亿美元可用于额外借款。截至2025年6月30日和2024年6月30日,没有在多币种循环信贷额度下签发的信用证。能否使用这种借贷能力,除其他外,取决于我们的杠杆率和利息覆盖率的水平,而这又将分别取决于(1)我们的信贷融资净债务相对于我们的EBITDA和(2)信贷融资EBITDA相对于总利息支出。因此,如果EBITDA增加(受制于设施的限制),我们的可用性将增加,如果EBITDA减少,我们的可用性将减少。截至2025年6月30日,根据我们的信贷融资净债务相对于我们的信贷融资EBITDA的计算,有3.50亿美元可用于借款。虽然截至2025年6月30日,我们遵守了信贷便利中包含的财务契约,并且目前预计将继续保持这种遵守,但如果我们遇到困难,我们与信贷便利贷款集团的历史关系一直很牢固,我们预计他们将继续支持我们的长期业务。合同义务截至2025年6月30日,我们的循环信贷额度下没有未偿余额。我们的定期贷款安排下有1.331亿美元未偿还,其中750万美元将于2025财年到期。我们的循环信贷额度和定期贷款额度的到期日为2027年9月28日。我们工业发展收入债券的剩余本金债务支付总额为300万美元,到期日期为2025年至2032年。见脚注8-短期借款和长期债务。截至2025年6月30日,我们还有一份不可撤销的经营租赁协议,金额为1100万美元,其中460万美元预计将在未来12个月内支付。剩余款项预计将支付到2030年。见脚注14-租约。摘要我们相信,我们现有的流动资金来源,包括现金资源和经营活动提供的现金,并在必要时辅以我们的信贷协议下的资金,将提供足够的资源,以满足我们目前和未来至少未来十二个月的营运资金和现金需求。我们还认为,我们的长期营运资金、计划支出和其他一般资金需求将通过运营现金流以及在必要情况下通过我们的借贷便利来满足。


 
44项目7a。关于市场风险的定量和定性披露。我们在正常业务过程中对金融市场状况变化的主要敞口是我们在国外业务中选择性使用银行债务和外币交易业务的结果。利率风险我们面临的利率变化主要是由于我们的借款活动,其中包括与一组银行的循环信贷额度,用于维持流动性和为我们的业务运营提供资金。我们的债务性质和金额可能会因未来业务需求、市场状况和其他因素而有所不同。假设我们的循环信贷额度和浮动利率长期债务的总借款利率增加或减少100个基点,扣除利率掉期的影响,将分别导致截至2025年6月30日和2024年6月30日的财政年度的税前收入增加或减少约0.7百万美元和1.0百万美元。我们评估我们的利率风险,并利用利率互换来减轻与我们当前和长期债务相关的利率波动风险。在2025年6月30日和2024年6月30日,我们的浮动利率债务分别为1.361亿美元和1.441亿美元。我们于2019年4月30日订立利率互换,并于2022年9月28日作出修订。此次利率互换的名义金额为1亿美元,其中5000万美元的部分于2024年4月30日到期,剩余的5000万美元部分计划于2026年4月30日到期。我们于2023年3月31日订立额外利率互换,以锁定固定SOFR利率。此次利率互换的名义金额为2500万美元,到期日为2028年3月31日。这些利率互换的目的是管理或对冲我们对浮动利率债务的敞口,实现固定利率与浮动利率债务的理想比例。我们使用衍生工具有可能使我们面临某些市场风险,包括(1)我们的对冲活动在降低我们现金流的波动性方面不如预期的有效,(2)交易对手未履行其在适用的对冲安排下的义务,(3)对冲安排不完善或无效或(4)掉期条款或相关债务发生变化的可能性。我们寻求通过识别、控制和管理市场风险的政策来管理此类风险,并以其他方式将我们的某些交易对手限制在主要金融机构。外币汇率风险我们面临由我们在加拿大和巴西的海外业务产生的外汇风险。这些风险包括以非功能货币计值的交易以及与外国子公司的公司间贷款。在正常业务过程中,外汇风险是通过使用货币期权和远期合约对这些风险敞口进行对冲以及对风险敞口进行资产负债表净额结算来管理的。此外,汇率波动可能导致我们的国际业绩在换算成美元时出现大幅波动。假设外汇汇率上升或下降10%,将导致截至2025年6月30日和2024年6月30日的财政年度的税前收入分别增加或减少约120万美元和10万美元。随着业务实践的演变,这些风险可能会随着时间而改变,并可能对我们未来的财务业绩产生重大影响。我们的高级管理层已经批准了一项外汇对冲政策,以减少外汇敞口。我们的政策是,在无法有效使用内部净额结算的情况下,利用金融工具降低风险,并且不为投机或交易目的进入外币衍生工具。我们监控与某些外币兑我们的功能货币波动相关的风险,并订立外汇衍生工具合约,以尽量减少现金流的短期货币风险。这些头寸是基于资产负债表风险敞口,以及以某些外币计算的我们预测的购买和销售。我们不断评估外汇风险,可能会根据我们的政策进行外汇交易。这些预测交易的实际差异可能会对外汇结果产生不利影响。外币损益计入其他费用(收入)。


 
45我们选择不将我们的外币合约指定为套期保值工具,因此,这些工具按市值计价,其价值的变化记录在每期的综合损益表中。我们的外币主要是巴西雷亚尔和加元。在2025年6月30日和2024年6月30日,我们的货币远期合约的公允价值为净资产或应付款项低于10万美元。


 
46项目8。财务报表和补充数据。财务报表页索引致同会计师事务所独立注册会计师事务所财务报表报告(PCAOB ID:248)47致同会计师事务所独立注册会计师事务所关于财务报告内部控制的报告48合并资产负债表49合并利润报表50合并综合收益(亏损)表51合并股东权益表52合并现金流量表53合并财务报表附注55未包括的所有附表和附件均不适用、不需要或将包含财务报表或其附注中显示的信息。


 
47独立注册会计师事务所董事会及股东报告数码扫描,Inc.:关于财务报表的意见我们审计了所附的数码扫描 Inc.(一家南卡罗来纳州公司)及其子公司(“公司”)截至2025年6月30日和2024年6月30日的合并资产负债表,以及截至2025年6月30日止三个年度的相关合并损益表、综合收益表、股东权益表、现金流量表,以及相关附注(统称“合并财务报表”)。我们认为,合并财务报表按照美国普遍接受的会计原则,在所有重大方面公允地反映了公司截至2025年6月30日和2024年6月30日的财务状况,以及截至2025年6月30日止三年各年的经营业绩和现金流量。我们还根据美国上市公司会计监督委员会(“PCAOB”)的标准,根据Treadway委员会发起组织委员会(“COSO”)发布的2013年内部控制——综合框架中确立的标准,对公司截至2025年6月30日的财务报告内部控制进行了审计,我们于2025年8月21日的报告发表了无保留意见。意见依据本合并财务报表由公司管理层负责。我们的责任是在我们审计的基础上,对公司的合并财务报表发表意见。我们是一家在PCAOB注册的公共会计师事务所,根据美国联邦证券法以及美国证券交易委员会和PCAOB的适用规则和条例,我们被要求对公司具有独立性。我们按照PCAOB的标准进行了审计。这些准则要求我们计划和执行审计,以就财务报表是否不存在重大错报获取合理保证,无论是由于错误还是欺诈。我们的审计包括执行程序以评估财务报表的重大错报风险,无论是由于错误还是欺诈,以及执行应对这些风险的程序。这些程序包括在测试的基础上审查有关财务报表中的数额和披露的证据。我们的审计还包括评估管理层使用的会计原则和作出的重大估计,以及评估财务报表的总体列报方式。我们认为,我们的审计为我们的意见提供了合理的基础。关键审计事项关键审计事项是指财务报表当期审计中产生的、已传达或要求传达给审计委员会的事项,并且:(1)涉及对财务报表具有重要意义的账目或披露,以及(2)涉及我们特别具有挑战性、主观性或复杂的判断。我们确定不存在关键审计事项。/s/Grant Thornton,LLP我们自2014年起担任公司的审计师。北卡罗来纳州夏洛特2025年8月21日


 
48独立注册会计师事务所董事会和股东报告数码扫描,Inc.:关于财务报告内部控制的意见我们根据Treadway委员会发起组织委员会(“COSO”)发布的2013年度内部控制——综合框架中确立的标准,对数码扫描,Inc.(一家南卡罗来纳州公司)及其子公司(“公司”)截至2025年6月30日的财务报告内部控制进行了审计。我们认为,截至2025年6月30日,公司根据COSO2013年内部控制——综合框架中确立的标准,在所有重大方面保持了有效的财务报告内部控制。我们亦根据美国公众公司会计监督委员会(“PCAOB”)的标准,审计了公司截至2025年6月30日止年度的合并财务报表,我们日期为2025年8月21日的报告对这些财务报表发表了无保留意见。意见依据公司管理层负责维持有效的财务报告内部控制,并负责评估财务报告内部控制的有效性,包括在随附的管理层关于财务报告内部控制的报告中。我们的责任是在我们审计的基础上,对公司财务报告内部控制发表意见。我们是一家在PCAOB注册的公共会计师事务所,根据美国联邦证券法以及证券交易委员会和PCAOB的适用规则和条例,我们被要求对公司具有独立性。我们按照PCAOB的标准进行了审计。这些准则要求我们计划和执行审计,以就是否在所有重大方面保持了有效的财务报告内部控制获得合理保证。我们的审计包括了解财务报告的内部控制,评估存在重大缺陷的风险,根据评估的风险测试和评估内部控制的设计和运行有效性,以及在当时情况下执行我们认为必要的其他程序。我们认为,我们的审计为我们的意见提供了合理的依据。财务报告内部控制的定义和限制公司的财务报告内部控制是一个旨在为财务报告的可靠性和根据公认会计原则为外部目的编制财务报表提供合理保证的过程。公司对财务报告的内部控制包括:(1)与维护记录有关的政策和程序,这些记录以合理的细节准确和公平地反映了公司资产的交易和处置;(2)提供合理保证,交易记录是必要的,以允许按照公认会计原则编制财务报表,并且公司的收支只是根据公司管理层和董事的授权进行;(3)就防止或及时发现未经授权的获取、使用、或处置可能对财务报表产生重大影响的公司资产。财务报告内部控制由于其固有的局限性,可能无法防止或发现错报。此外,对未来期间的任何有效性评估的预测都受到以下风险的影响:由于条件的变化,控制可能变得不充分,或者政策或程序的遵守程度可能恶化。/s/Grant Thornton,LLP夏洛特,北卡罗来纳州2025年8月21日


 
49 数码扫描,Inc.和子公司合并资产负债表(单位:千,股份信息除外)2025年6月30日2024年6月30日资产流动资产:现金和现金等价物126,157美元185,460美元应收账款,减去截至2025年6月30日的备抵27,821美元和截至2024年6月30日的备抵20,684美元635,521581,523存货483,815512,634预付费用和其他流动资产124,959125,082流动资产总额1,370,4521,404,699财产和设备净额31,16933,501商誉230,820206,301可辨认无形资产,净额62,90937,634递延所得税18,76919,902其他非流动资产71,48776,995总资产1,785,606美元1,779,032美元负债和股东权益流动负债:应付账款598,595美元587,984美元应计费用和其他流动负债71,26365,616或有对价的流动部分1,318 —应付所得税3,9277,895长期债务的流动部分7,8617,857流动负债总额682,964669,352长期债务,扣除流动部分128,288136,149循环信贷额度下的借款— 50或有对价的长期部分17,782 —其他长期负债50,16349,226负债总额879,197854,777承诺和或有事项股东权益:优先股,无面值;授权3,000,000股,未发行——普通股,无面值;已授权45,000,000股,于2025年6月30日和2024年6月30日已发行和流通的股份分别为22,217,421和24,243,848股,分别— 26,370留存收益1,020,8331,013,738累计其他综合亏损(114,424)(115,853)股东权益总额906,409924,255负债和股东权益总额$ 1,785,606 $ 1,779,032见合并财务报表附注。


 
50 数码扫描,Inc.及其子公司截至2025年6月30日、2024年和2023年的合并损益表年度(单位:千,每股信息除外)202520242023净销售额3,040,810美元3,259,809美元3,787,721美元销售成本2,632,1642,860,7573,338,482毛利润408,646399,052449,239销售,一般及管理费用286,934277,428285,695折旧费用10,00411,21910,912无形摊销费用19,22715,72316,746重组及其他费用5,3814,358 —或有对价公允价值变动1,900 ——营业收入85,20090,324135,886利息费用8,01313,03119,786利息收入(11,247)(9,381)(7,414)出售业务收益—(14,155)—其他(收入)费用,净额(5,962)9881,664所得税前收入94,39699,841121,850所得税准备金22,84822,78133,758持续经营净收入71,54877,06088,092终止经营净收入—— 1,717净收入$ 71,548 $ 77,060 $ 89,809每股数据:每股普通股持续经营净收入,基本3.05美元3.10美元3.50美元每股普通股终止经营净收入,基本—— 0.07每股普通股净收入,基本3.05美元3.10美元3.57美元加权平均流通股,基本23,44224,86825,142每股普通股持续经营净收入,稀释后3.00美元3.06美元3.47美元已终止经营业务每股普通股净收入,稀释后—— 0.07每股普通股净收入,稀释后3.00美元3.06美元3.54美元加权平均流通股,稀释后23,83925,22225,362见合并财务报表附注。


 
51 数码扫描,Inc.及其子公司截至2025年6月30日、2024年和2023年6月30日止年度的综合综合收益表(单位:千)202520242023净收入71,548美元77,060美元89,809美元对冲交易的未实现(亏损)收益,税后净额(1,523)(1,482)2,254外币换算调整数2,952(20,945)12,763出售业务的已实现外币换算-(3,805)-综合收益72,977美元50,828美元104,826见本综合财务报表附注。


 
52 数码扫描,Inc.及其子公司截至2025年6月30日、2024年和2023年6月30日的合并股东权益年度报表(单位:千,股份信息除外)普通股(股)普通股(额)留存收益累计其他综合亏损2022年6月30日余额总额25,187,351美元64,297美元846,869美元(104,638)美元806,528净收益—— 89,809 — 89,809对冲交易未实现收益,税后净额—— 2,254,254外币折算调整数—— 12,76312,763行使股票期权和根据股份补偿计划发行的股份,扣除为员工缴税而扣缴的股份180,960(1,553)——(1,553)回购的普通股,包括消费税(524,108)(15,753)——(15,753)股份补偿— 11,250 —— 2023年6月30日余额11,250(11,250)24,844,20358,241936,678(89,621)905,298净收益—— 77,060 — 77,060被套期交易未实现亏损,税后净额————(1,482)(1,482)外币折算调整——(20,945)(20,945)出售业务实现的外币亏损————(3,805)(3,805)行使股票期权和根据股份补偿计划发行的股份,扣除为雇员缴税而扣缴的股份380,1841,937 —— 1,937回购的普通股,包括消费税(980,539)(43,337)——(43,337)股份补偿—— 9,529 —— 9,529 2024年6月30日余额24,243,84826,3701,013,738(115,853)924,255净收益—— 71,548 —— 71,548被套期交易未实现亏损,税后净额——(1,523)(1,523)外币折算调整—— 2,9522,952行使根据股份补偿计划发行的股票期权和股份,扣除为雇员缴税而扣缴的股份456,8724,616 —— 4,616回购的普通股,包括消费税(2,483,299)(42,048)(64,453)—(106,501)股份补偿— 11,062 —— 11,0622025年6月30日余额22,217,421美元— 1,020,833美元(114,424)906,409美元见合并财务报表附注。


 
53 数码扫描,Inc.及其子公司截至2025年6月30日止年度的合并现金流量表,2024和2023(单位:千)202520242023经营活动现金流量:净收入71,548美元77,060美元89,809美元终止经营业务净收入—— 1,717持续经营业务净收入71,54877,06088,092调整净收入与持续经营业务经营活动提供的净现金(用于):出售业务收益——(14,155)——折旧及摊销30,19528,00928,614摊销债务发行费用386386577呆账准备8,3518,3172,785股份补偿11,0629,53711,219递延所得税1,128(2,472)(1,496)或有对价公允价值变动1,900 ——融资租赁利息86 10144经营资产负债变动,收购净额:应收账款(55011)138,264(17,368)存货28,874239,157(138,313)预付费用及其他资产7,303(17,804)32,653其他非流动资产3,974(10,689)(7,582)应付账款3,673(78,167)(30,656)应计费用及其他负债2,846(3,872)(14,195)应交所得税(3,966)(2,025)9,857持续经营业务经营活动提供(用于)的现金净额112,349371,647(35,769)持续经营业务投资活动产生的现金流量:资本支出(8,286)(8,555)(9,979)企业收购支付的现金,取得的现金净额(56,673)——业务处置收到的现金2,56917,6001,717持续经营的投资活动提供的现金净额(用于)(62,390)9,045(8,262)持续经营的筹资活动产生的现金流量:循环信贷借款,扣除费用51,9541,259,7282,499,166循环信贷还款,扣除费用(52,004)(1,438,658)(2,456,025)发债费用——(1,407)(偿还)长期债务借款(7,857)(6,915)15,590偿还融资租赁债务(1,090)(964)(589)行使股票期权9,5114,813910股权奖励结算支付的税款(4,895)(2,876)(2,463)回购普通股(106,524)(42,895)(15,651)持续经营筹资活动提供的现金净额(用于)(110,905)(227,767)39,531


 
54终止经营业务使用的现金流量净额——汇率变动对现金及现金等价物的影响1,643(3,643)2,691(减少)现金及现金等价物增加(59,303)149,282(1,809)期初现金及现金等价物185,46036,17837,987期末现金及现金等价物126,157185,46036,178终止经营业务的现金及现金等价物——现金持续经营业务及现金等价物126,157美元185,460美元36,178美元补充披露合并现金流量信息:年内支付的利息7,570美元12,953美元18,789美元年内支付的所得税27,829美元27,129美元28,547美元见合并财务报表附注。


 
ScanSource, Inc.及子公司合并财务报表附注—(续)2025年6月30日55(1)业务和重要会计政策摘要业务说明数码扫描,Inc.(连同其子公司“本公司”或“数码扫描”)是一家领先的技术分销商,将设备连接到云上,并为跨硬件、软件即服务(“SaaS”)、连接和云服务的渠道销售合作伙伴加速增长。数码扫描使用多种销售模式,提供来自专业技术以及连接和云服务的领先供应商的技术分发解决方案。该公司在美国、加拿大和巴西开展业务。公司的两个运营部门,Specialty Technology Solutions和Intelisys & Advisory,代表了公司在执行技术分销增长战略时使用的不同销售模式。网络安全事件2023年5月14日,公司发现受到未经授权的第三方实施的网络安全攻击,影响了其IT系统。一旦发现,该公司立即采取措施处理该事件,聘请了第三方专家,并通知了执法部门。该公司拥有网络保险,并正在与其保险公司就索赔进行合作,以收回所产生的成本。2023年5月26日,公司大幅恢复经营,并完成相关IT系统的恢复。该公司已采取行动加强其现有的IT安全基础设施,并继续实施额外措施,以防止未经授权访问或操纵其系统和数据。在截至2025年6月30日的财政年度,该公司从与网络安全攻击相关的索赔中获得了590万美元的保险收益。该金额已在综合损益表的其他(收入)费用中入账。列报基础本合并财务报表包括本公司及其全资附属公司的账目。所有公司间账户和交易均已消除。除非另有说明,本说明中提供的金额仅与持续经营有关。分部变动自2024年7月1日起,公司重新调整了经营分部,以代表其在执行技术分销增长战略时使用的不同销售模式。调整后的两个部门是Specialty Technology Solutions和Intelisys & Advisory。专业技术解决方案部门结合了公司以前的部门,但公司的Intelisys业务除外。Intelisys & Advisory部门包括Intelisys和技术顾问业务,包括Channel Exchange(前身为INTY USA)、RPM Software和Resourcive。这两个部门都包括经常性收入。公司已将分部业绩中的某些前一年金额重新分类,以符合本年度的列报方式。这些重新分类对简明综合财务业绩没有影响。有关公司分部的描述,请参见附注16-分部信息。关联方交易关联方一般定义为(i)持有公司证券10%或以上的任何人及其直系亲属,(ii)公司管理层,(iii)直接或间接控制、受公司控制或与公司共同控制的人或(iv)能够对公司财务和经营决策产生重大影响的任何人。当关联方之间发生资源转移或义务转移时,该交易被视为关联方交易。截至2025年6月30日、2024年和2023年6月30日止财政年度没有重大关联方交易。


 
ScanSource, Inc.和子公司合并财务报表附注——(续)2025年6月30日56使用估计按照美国公认会计原则编制财务报表要求管理层作出估计和假设,这些估计和假设会影响资产和负债的报告金额、财务报表日期或有资产和负债的披露以及报告期间收入和支出的报告金额。管理层持续评估其估计,包括与坏账准备、资产减值、库存储备、采购价格分配、商誉和无形资产以及供应商激励有关的估计。管理层的估计基于管理层认为在当时情况下合理的假设,其结果构成对无法从其他来源轻易获得的资产和负债的账面价值作出判断的基础。在不同的假设或条件下,实际结果可能与这些估计数不同;然而,管理层认为,其估计数,包括上述项目的估计数,是合理的,实际结果与估计数不会有很大差异。以下会计政策与编制综合财务报表时使用的更重要的判断和估计有关:(a)贸易和应收票据备抵公司对因渠道销售合作伙伴未能支付应付公司的应收账款而导致的估计损失保留无法收回的应收账款备抵。管理层通过考虑多个因素来确定无法收回的应收账款备抵的估计,包括:(i)历史经验,(ii)应收账款的账龄,(iii)公司获得的关于其渠道销售合作伙伴的财务状况和当前信誉的具体信息,(iv)当前的经济和特定国家环境,以及(v)关于可收回性的合理和可支持的预测。如果公司渠道销售合作伙伴的财务状况恶化,降低公司渠道销售合作伙伴在其账户上付款的能力,公司可能需要通过记录额外的坏账费用来增加备抵。同样,如果公司渠道销售合作伙伴的财务状况有所改善,并导致支付或结算先前预留的金额,公司可能需要记录坏账费用的减少,以冲回已记录的备抵。(b)存货储备管理层主要根据技术变革、在手货物数量、在手时间长度和其他因素的影响,确定将存货降至成本或可变现净值两者中较低者所需的存货储备。可变现净值是根据能够对产品的可销售性和价值提供可信知识的供应商的持续询问确定的。对价值确定为减值的产品的可变现净值减去处置成本进行估算。如果这些产品最终以低于预估量的价格出售,可能需要额外储备。用于计算这些储备的估计数得到了一致的应用。这些调整记录在存货效用损失发生期间,这为存货建立了新的成本基础。这一新的成本基础一直保持到预留库存被处置、退回供应商或出售。销售特定预留存货的,销售商品成本按销售存货的新成本基础费用化。(c)购买价格分配公司根据财务会计准则委员会(“FASB”)会计准则编纂(“ASC”)805,企业合并进行会计处理。对于每项收购,公司分配


 
ScanSource, Inc.和子公司合并财务报表附注——(续)2025年6月30日57收购资产、承担的负债以及商誉和无形资产的购买价款。本公司按估计公允价值确认取得的资产和负债。管理层运用判断(i)识别所收购的资产和承担的负债,(ii)估计这些资产的公允价值,(iii)估计资产的使用寿命,以及(iv)评估在资产的使用寿命内确认折旧或摊销费用的适当方法。(d)商誉和无形资产公允价值公司主要根据收益法利用贴现现金流量法估计其商誉报告单位以及有限寿命无形资产的公允价值。公司还利用利用公众公司市场倍数法的市场法得出的公允价值估计来验证商誉公允价值的贴现现金流量法的结果,这要求其对这些倍数对其报告单位的适用性作出假设。贴现现金流量法要求公司估计未来现金流量,使用加权平均资本成本、收入增长率、预计毛利率和营业利润率百分比增长、预期营运资本变化和营运资本变化产生的相关现金流影响等关键假设,然后以适当的贴现率将这些金额折现为现值。(e)供应商奖励公司从供应商获得奖励,作为基于绩效的供应商回扣,要求管理层对将收到的供应商对价金额作出某些估计。基于绩效的供应商回扣是通过定期实现某些销售或采购目标来赚取的。公司决定,除其他项目外,是否在计算回扣时考虑所有符合条件的销售和采购,并适当应用收到的现金收据或贷记备忘。基于绩效的返利的确定需要管理层对未来的采购和销售做出假设。估算基于激励计划的条款和历史经验。现金和现金等价物公司认为所有原到期日为三个月或更短的高流动性投资在购买时都是现金等价物。公司在各金融机构维持零余额支付账户,公司未在这些机构维持重大存管关系。由于管辖这些账户的协议条款,公司一般无权将这些账户开出的未偿还支票与手头现金相抵,在转移足够资金为支票提供资金之前,相关机构没有法律义务兑现支票。因此,截至2025年6月30日和2024年6月30日,这些账户中已发放但尚未结清的金额分别为10万美元和590万美元的支票被归类为应付账款。尽管公司持有的金额可能超过联邦存款保险公司或其他受保限额,但该公司在全球范围内与定期监测信用质量的各种金融机构保持现金往来。截至2025年6月30日和2024年6月30日,在美国境外持有的现金和现金等价物总额分别为4630万美元和2000万美元。信用风险集中公司向遍布美国、加拿大、巴西和英国的大量渠道销售合作伙伴进行销售。该公司对其渠道销售合作伙伴的财务状况进行持续的信用评估。在某些情况下,公司将接受有形资产作为抵押品,以增加其渠道销售合作伙伴的贸易信用。对任何一个渠道销售合作伙伴的销售额低于公司2025、2024和2023财年净销售额的10%。如果公司未在既定贸易条款范围内为某些渠道销售合作伙伴收取应收账款的付款,公司可能会建立更长期的融资安排。公司占这些


 
ScanSource, Inc.和子公司合并财务报表附注——(续)2025年6月30日58项安排,在资产负债表日按历史成本减去特定备抵入账。利息收入在赚取的期间内确认,并在综合损益表中作为利息收入入账。衍生金融工具本公司使用衍生工具管理与外币汇率波动和与借款活动相关的利率变化相关的某些风险敞口。公司在综合资产负债表中以公允价值将所有衍生工具记录为资产或负债。本公司不会将衍生金融工具用于交易或投机目的。公司面临的外币汇率变动风险来自以外币计价的资产和负债、以几种外币进行的国际采购和销售以及与外国子公司的公司间贷款。公司的目标是保持非功能性货币计值现金流的经济价值。该公司的外币主要以巴西雷亚尔、英镑和加元计价。公司可能会通过使用衍生金融工具建立抵消头寸来减少其对外汇汇率波动的风险敞口。与外汇协议相关的市场风险被基础项目估值的变化所抵消。这些合同的期限一般为90天或更短。公司已选择不将其外币合约指定为套期保值工具。因此,它们是按市值计价的,每一期的公允价值变动记录在综合损益表中。与外汇风险敞口相关的衍生金融工具按权责发生制入账,这些合同的收益或损失在其价值变动期间记入收入,未结算头寸的抵销分录反映在其他资产或其他负债中。公司的盈利受到利率变化的影响,因为这些变化对浮动利率债务工具的利息支出产生了影响。为管理风险敞口,公司签订了利率互换协议,并指定该工具作为对某些浮动利率债务的现金流进行套期保值。在衍生工具有效抵销被套期现金流量变动的情况下,衍生工具公允价值变动不计入当期收益,而作为其他综合收益(损失)列报。截至2025年6月30日、2024年和2023年6月30日止年度,没有记录为收益调整的无效部分。投资公司有投资持有在公司组成的设保人信托中,该信托与数码扫描,Inc.非合格递延补偿计划和创始人补充高管退休计划有关。公司已将这些投资归类为交易证券,它们以公允价值入账,未实现损益包含在随附的综合损益表中。公司在这一递延补偿计划下的义务随着投资的表现以及对该计划的供款和退出而发生变化。截至2025年6月30日和2024年6月30日,这些投资的公允价值和相应的递延补偿义务分别为3190万美元和3100万美元。这些投资根据计划支付的时间在合并资产负债表中分类为预付费用和流动资产或其他非流动资产。递延补偿义务被归类为应计费用和其他流动负债或其他长期负债。在2025年6月30日和2024年6月30日,这些被归类为流动资产并带有相应流动负债的投资金额为340万美元。存货存货(全部由制成品构成)按成本(先进先出法)与可变现净值孰低列示。


 
ScanSource, Inc.及子公司合并财务报表附注—(续)2025年6月30日59供应商计划公司收到供应商提供的与市场开发基金、批量返利和其他激励计划相关的奖励。这些激励措施通常是根据与供应商的季度、半年度或年度协议制定的。其中一些激励措施是在临时基础上进行谈判的,以支持公司与供应商之间相互开发的特定项目。供应商一般要求公司将供应商的市场开拓资金用于广告或其他营销方案。从供应商收到的针对具体确定的增量市场开发资金的奖励记录为对净销售额的调整。ASC 606,与客户订立合同的收入地址会计应付给客户的对价,公司将其解释和应用为客户(即公司)从供应商处收到广告资金。这些供应商资金超过我们成本的部分反映为库存的减少。此类资金在相关存货销售时确认为已售商品成本的减少。公司将收到的非限制性批量返利记录为库存的减少,并在相关库存销售时降低销售商品的成本。尚未赚取的已收或应收供应商款项在综合资产负债表中递延。供应商应收账款一般通过减少到供应商授权的应付账款来收取。此外,公司可能会收到某些供应商的提前付款折扣。公司将收到的提前付款折扣记录为库存的减少,从而在相关库存销售时导致销售商品的成本减少。管理层对将收到的供应商对价金额作出某些估计。估算基于激励计划的条款和历史经验。对供应商对价的实际确认可能与管理层的估计有所不同。供应商集中公司销售来自多家供应商的产品;然而,思科和斑马供应的产品的销售额分别占公司截至2025年6月30日、2024年和2023年止年度净销售额的10%以上。产品保修公司的供应商一般对公司提供的产品提供保修,并允许公司退回有缺陷的产品,包括其渠道销售合作伙伴已退回给公司的产品。在其两个产品线中,公司提供了自有品牌的保修计划,其中管理层已确定公司是主要义务人。公司从不相关的第三方(通常是原始设备制造商)购买合同,以履行服务或更换这些保修计划中声称的缺陷产品的任何义务。因此,公司并无录得估计服务保修成本拨备。为维护渠道销售合作伙伴关系,公司通过接受交换的方式便利公司渠道销售合作伙伴的缺陷产品退货,在公司事先批准的情况下,大多数缺陷产品在开票30天内。财产和设备财产和设备按成本入账。折旧采用直线法计算家具、设备和计算机软件的估计使用寿命为3至10年,建筑物为40年,建筑物改进为15年。租赁物改良按租赁期或估计可使用年限中较短者摊销。维护、维修和小更新在发生时记入费用。财产和设备的增加、重大更新和改善被资本化。


 
ScanSource, Inc.及子公司合并财务报表附注—(续)2025年6月30日60资本化软件本公司按照为内部使用而开发的计算机软件ASC 350-40对资本化软件进行会计处理,该会计准则为为内部使用而开发或获得的计算机软件提供指导。要求公司持续评估实施过程的阶段,以确定成本是否费用化或资本化。在初步项目阶段或规划研究阶段发生的费用在发生时计入费用。开发阶段发生的成本,如材料和直接服务成本、与开发相关的员工补偿成本和利息成本,在发生时资本化。在实施后或运营阶段发生的成本,如培训和维护成本,在发生时计入费用。此外,为修改现有软件而产生额外功能的费用在发生时资本化。商誉公司按照ASC 350、商誉和其他无形资产对已记载的商誉进行会计处理,这就要求每年对商誉进行减值审查,如果存在减值迹象则更频繁地进行。商誉测试采用减值分析,据此,公司将每个已识别报告单位的账面价值与其公允价值进行比较。该公司的商誉报告单位直接与其运营部门、Specialty Technology Solutions和Intelisys & Advisory保持一致。报告单位的公允价值是使用每个报告单位产生的贴现现金流量的净现值估计的。在估计未来现金流量、贴现率和影响报告单位估计公允价值的其他因素,包括经营和宏观经济因素时,需要作出相当大的判断。历史财务信息、内部计划和预测以及行业信息被用于进行此类估算。根据会计准则更新(“ASU”)2017-04,如果商誉的公允价值被确定为低于账面价值,则对账面价值超过报告单位公允价值的金额确认减值损失,不超过分配给报告单位的商誉总额。此外,公司在计量商誉减值损失(如适用)时将考虑任何可抵税商誉对报告单位账面金额的所得税影响。如果事实和情况表明商誉可能发生减值,公司也会评估商誉的可收回性。在最近的年度测试中,公司主要根据收益法利用贴现现金流量法估计其报告单位的公允价值。公司还通过考虑可比交易和公司的隐含市场倍数,证实了从收益法得出的公允价值估计。折现现金流量法要求公司估计未来现金流量,并将这些金额折现为现值。用于确定公允价值的关键假设包括:•行业加权平均资本成本(“WACC”):公司使用相对于每个报告单位各自地域和行业的WACC作为估计未来现金流量的贴现率。WACC旨在代表每个相应地区的市场参与者所期望的回报率。•营业收入:公司利用了历史和预期收入增长率、毛利率和营业费用百分比,这些百分比根据每个被评估报告单位的预测而有所不同。•营运资本变动产生的现金流量:随着每个商誉报告单位的增长,公司利用了与折旧、资本支出和营运资本预期变动有关的预计现金流量影响。截至2025年6月30日、2024年和2023年6月30日止财政年度未确认商誉减值费用。有关商誉和我们的测试结果的更多信息,请参见附注7-商誉和其他可识别无形资产。


 
ScanSource, Inc.及子公司合并财务报表附注——(续)2025年6月30日61无形资产无形资产包括渠道销售合作伙伴关系、商品名称、分销商协议、供应商合作伙伴计划、开发技术、竞业禁止协议和加密密钥库。渠道销售合作伙伴关系、商品名称、供应商合作伙伴计划、已开发技术和加密密钥库按其预计可使用年限采用直线法摊销,年限从1年到12年不等。竞业禁止协议在其合同期限内摊销。这些资产详见附注7-商誉和其他可辨认无形资产。长期资产减值每当有事件或情况变化显示资产或资产组的账面值可能无法收回时,公司会审查其长期资产的减值情况。将持有和使用的长期资产的可收回性测试通过将长期资产的账面值与该资产预期产生的预计未来未折现现金流量之和进行比较来计量。在估计未来未折现现金流量时,公司使用与资产的使用和最终处置直接相关且预计将直接产生的现金流量预测。如果确定一项长期资产无法收回,则按照该长期资产的账面值超过其公允价值的部分计算减值损失。截至2025年6月30日、2024年和2023年6月30日止财政年度,未确认无形资产或其他长期资产减值费用。有关无形资产减值费用的更多信息,请参见附注7-商誉和其他可辨认无形资产。金融工具的公允价值金融工具的公允价值是有意愿的各方在当前交易中可以交换该工具的金额。应收账款、应付账款、应计负债、循环信贷额度下的借款和附属信贷额度等金融工具的账面价值根据这些工具的短期或浮动利率近似公允价值。有关衍生工具公允价值的更多信息,请参见附注10-金融工具公允价值。或有事项公司在很可能发生负债且金额可合理估计时为或有义务计提,包括估计的法律费用。随着有关或有事项的事实被知晓,管理层重新评估其状况并对财务报表进行适当调整。对未来变化特别敏感的估计包括税务、法律和其他监管事项,随着事件的发展以及在行政和诉讼过程中获得更多信息,这些事项可能会发生变化。收入确认公司按照ASC 606对收入进行会计处理,即与客户签订合同的收入。在确定适当的确认收入金额时,公司采用以下五步模式:(i)识别与客户的合同;(ii)识别合同中的履约义务;(iii)确定交易价格;(iv)根据合同将交易价格分配给履约义务;(v)在公司履行履约义务时(或作为)确认收入。公司确认收入是因为产品和服务的控制权转移给了渠道销售合作伙伴,这通常是在发货时。公司通过多种方式向渠道销售合作伙伴交付产品,包括:(i)从公司仓库发货,(ii)直接从供应商直接发货,或(iii)软件许可的电子交付。有关公司收入确认政策的更详细披露,见附注3-收入确认。


 
ScanSource, Inc.及附属公司合并财务报表附注——(续)2025年6月30日62营销成本公司将营销相关成本递延至营销首次在贸易或其他出版物中运行,或在小册子的情况下,直至小册子印刷并可供分发或在线发布。营销成本(扣除供应商报销)包含在销售、一般和管理费用中,在截至2025年6月30日、2024年和2023年6月30日的三个财政年度中的任何一个财政年度都不显着。这三个财政年度中每个财政年度的递延营销成本也并不显着。外币折算本公司以当地货币经营的境外实体财务报表的货币影响,计入累计其他综合收益或损失的累计货币折算调整部分。公司的功能货币包括美元、巴西雷亚尔、英镑、欧元和加拿大元。这些外国实体的资产和负债使用相应期间期末的汇率换算成美元。销售、成本和费用按相应期间有效的平均汇率换算。外币交易损益和重新计量损益计入合并利润表的其他费用(收入)。这些数额对所列的任何期间都不重要。所得税所得税按资产负债法核算。递延所得税反映了资产和负债的税基与其财务报告金额之间的差异对未来年度的税务后果。按照ASC 740,在进行所得税会计处理时,当一项资产很可能无法实现时,会对递延所得税资产计提估值准备。此外,公司为不确定的税收拨备保留准备金。进一步讨论见附注13-所得税。股份支付公司使用ASC 718的规定对股份补偿进行会计处理,对股票补偿进行会计处理,需要确认股份补偿的公允价值。此外,公司采用ASU2016-09,简化了以股份为基础的薪酬会计的几个方面,包括所得税影响、没收、法定预扣要求和现金流量表分类。以股份为基础的薪酬在授予日根据奖励的公允价值进行估计。由于这一补偿成本是基于最终预期归属的奖励,因此已因估计没收而减少。ASU2016-09允许公司选择一项会计政策,以估计不会提供所需服务期的奖励总数,或在发生没收时对其进行会计处理。公司估计在授予时预计将被没收的奖励总数,如有必要,如果实际没收情况不同,则在后续期间修订此类估计。公司已选择在奖励的每个单独归属部分的必要服务期内以直线法将具有分级归属的奖励授予费用化。普通股回购普通股的回购按成本入账,其中包括经纪费,并作为股东权益的组成部分列入合并资产负债表。综合收益ASC 220,综合收益,将综合收益定义为企业在一个时期内因非所有者来源的交易和其他事件和情况导致的权益(净资产)变动。综合的组成部分


 
ScanSource, Inc.和子公司合并财务报表附注——(续)2025年6月30日63公司收入包括净收益、对冲交易的未实现损益、扣除公司外国子公司合并产生的税项和外币折算调整。最近的会计公告2023年11月,财务会计准则委员会(“FASB”)发布了ASU第2023-07号“分部报告(主题280):可报告分部披露的改进。”该ASU扩大了公共实体的分部披露,要求披露定期提供给主要经营决策者并包含在每一报告的分部损益计量中的重大分部费用、其他分部项目的金额及其构成说明,以及可报告分部损益和资产的中期披露。该ASU在2023年12月15日之后开始的财政年度以及2024年12月15日之后开始的财政年度内的中期期间有效。本ASU适用于公司截至2025年6月30日止财政年度的10-K表格年度报告及随后的中期报告,允许提前应用。公司在2025财年采用了新指引,对其财务状况、经营业绩或现金流没有重大影响,但采用后确实产生了新的和扩大的分部披露,这些披露包含在附注16-分部信息中。2023年12月,FASB发布了ASU第2023-09号“所得税(主题740):所得税披露的改进。”该ASU更新了所得税披露要求,主要是要求在税率调节和按司法管辖区支付的所得税分类中进行特定类别和更大程度的分类。本ASU于2024年12月15日之后开始的年度期间生效,适用于公司自2025年7月1日开始的财政年度,允许提前申请。公司目前正在评估应用该ASU对其合并财务报表和披露的影响。2024年11月,FASB发布ASU 2024-03《损益表-报告综合收益-费用分类披露(子主题220-40):损益表费用分类》。该ASU要求公共实体披露有关某些成本和费用的特定信息。ASU对2026年12月15日之后开始的年度期间以及2028年12月15日之后开始的财政年度内的中期期间有效。本ASU适用于公司截至2027年6月30日的财政年度的10-K表格年度报告以及随后的中期报告,允许提前应用。公司目前正在评估应用该ASU对其合并财务报表和披露的影响。该公司已审查新发布的会计公告,并得出结论认为,这些公告要么不适用于其业务,要么预计未来采用不会对其合并财务报表产生重大影响。(2)贸易账款和应收票据,净额公司对因渠道销售合作伙伴未能对公司应付的应收账款进行付款而导致的预计未来预期信用损失保持呆账应收账款备抵。公司与某些渠道销售合作伙伴存在应收票据,在简明合并资产负债表中计入“应收账款减备抵”。管理层通过考虑多个因素来确定可疑应收账款备抵的估计,包括:(i)历史经验,(ii)应收账款的账龄,(iii)公司获得的关于其渠道销售合作伙伴的财务状况和当前信誉的具体信息,(iv)当前的经济和特定国家环境,以及(v)关于可收回性的合理和可支持的预测。当存在类似风险特征时,使用基于年龄的准备金模型对预期信用损失进行池估计。不具有共同风险特征的应收款项按个别情况进行评估。贸易应收款项的预期信用损失估计数在开始时记录,并在合同期限内进行调整。


 
ScanSource, Inc.及附属公司合并财务报表附注——(续)2025年6月30日64截至2025年6月30日、2024年和2023年6月30日止财政年度的呆账准备变动情况列示于下表。说明期初余额计入费用核销的金额其他(a)期末余额(单位:千)呆账备抵:截至2023年6月30日止年度$ 16,8062,785(2,062)(2,049)$ 15,480截至2024年6月30日止年度$ 15,4808,317(2,803)(310)$ 20,684截至2025年6月30日止年度$ 20,6848,351(1,406)192 $ 27,821(a)“其他”金额分别包括截至2025年6月30日、2024年和2023年6月30日止财政年度的回收和外汇波动的影响。(3)收入确认公司提供来自全球领先的移动、条码、POS、支付、网络、物理安全、统一通信、协作、电信和云服务供应商的技术解决方案和服务。这包括硬件、相关配件和设备配置以及软件许可、专业服务和硬件支持计划。重大判断:委托人对代理考虑公司是销售硬件的委托人,还有一定的软件服务。在产品或服务在转让给客户之前拥有控制权的那些交易中,公司认为自己是委托人。本公司按毛额确认销售商品的本金关联收入和成本。该公司是第三方服务合同的代理,包括产品保修和供应商托管的软件。这些服务合同与产品分开销售,公司经常代理原设备制造商的合同。公司的责任是安排原设备制造商提供规定的服务,在将规定的服务转移给客户之前,公司不对其进行控制。由于公司作为代理商,在销售时确认收入扣除成本。Intelisys业务采用代理模式运营。可变对价就某些交易而言,产品以退货权出售,公司亦可能提供其他回扣或奖励,这些作为可变对价入账。公司通过使用给客户的预期值来估计返利和奖励的可变对价金额,并减少这些估计金额的收入。这些估计数在每个报告期结束时进行必要的审查和更新。公司根据历史经验估算退货备抵,并相应减少收入。


 
ScanSource, Inc.及子公司合并财务报表附注——(续)2025年6月30日65合同余额公司记录在提供服务之前从客户收到的付款的合同资产和负债。这些资产和负债是公司自有品牌保修计划的销售以及控制权尚未转移给客户的其他交易的结果。这些数额对所列期间的合并财务报表并不重要。实用权宜之计&会计政策选择•获得合同的增量成本-这些成本包括在销售、一般和管理费用中,因为摊销期通常为一年或更短。公司在发生时支出与获得和履行合同相关的成本。•运输成本-公司将某些运输和装卸活动作为履行成本入账,并将其作为发生的费用入账。•重大融资成分-公司已选择不对重大融资成分的影响调整承诺的对价金额,因为公司预计,在合同开始时,实体向客户转让承诺的商品或服务与客户为该商品或服务付款之间的期间一般为一年或更短。•销售税和其他相关税收-从客户处收取的用于汇款给政府当局的销售和其他税收金额不计入收入。收入分类下表为公司收入分类:截至2025年6月30日的财政年度,按产品/服务类型划分的Specialty Technology Solutions Intelisys & Advisory总收入:(单位:千)产品和非经常性服务$ 2,892,043 $ 3,067 $ 2,895,110经常性收入(a)50,67495,026145,700 $ 2,942,717 $ 98,093 $ 3,040,810(a)经常性收入主要指来自代理佣金、托管连接、SaaS、订阅和硬件租赁的收入。截至2024年6月30日的财政年度,按产品/服务类型划分的专业技术解决方案Intelisys & Advisory总收入:(以千计)产品和非经常性服务3,144,768美元4,466美元3,149,234美元经常性收入(a)22,78187,794110,575美元3,167,549美元92,260美元3,259,809美元(a)经常性收入主要指来自代理佣金、SaaS、订阅和硬件租赁的收入。


 
ScanSource, Inc.和子公司合并财务报表附注——(续)2025年6月30日66截至2023年6月30日的财政年度按产品/服务类型划分的专业技术解决方案Intelisys & Advisory总收入:(以千计)产品和非经常性服务3,635,829美元4,793美元3,640,622美元经常性收入(a)65,83881,261147,099美元3,701,667美元86,054美元3,787,721美元(a)经常性收入主要指来自代理佣金、SaaS、订阅和硬件租赁的收入。(4)每股收益基本每股收益的计算方法是净收入除以已发行普通股的加权平均数。稀释每股收益的计算方法是用净收入除以已发行普通股和潜在普通股的加权平均数。截至2025年6月30日的财政年度20242023(单位:千,每股数据除外)分子:持续经营业务净收入71,548美元77,060美元88,092美元终止经营业务净收入—— 1,717净收入71,548美元77,060美元89,809美元分母:加权平均股份,基本23,44224,86825,142股份支付的稀释影响397354220加权平均股份,稀释后23,83925,22225,362每普通股持续经营业务净收入,基本3.05美元3.10美元3.50每普通股终止经营业务净收入,基本—— 0.07每普通股净收入,基本3.05美元3.10美元3.57美元每股普通股持续经营业务净收入,稀释后3.00美元3.06美元3.47美元每股普通股终止经营业务净收入,稀释后—— 0.07每股普通股净收入,稀释后3.00美元3.06美元3.54美元截至2025年6月30日、2024年和2023年的年度,因其影响可能具有反稀释作用而未计算稀释后每股收益的加权平均流通股分别为201,879、348,604和1,135,984股。


 
ScanSource, Inc.和子公司合并财务报表附注——(续)2025年6月30日67(5)财产和设备财产和设备由以下部分组成:2025年6月30日2024年(单位:千)土地$ 2,366 $ 2,063建筑物和租赁物改良20,16620,140计算机软件和设备80,68874,649家具、固定装置和设备15,88614,150在建工程4571,0 6租赁设备7,28810,288126,851122,296减累计折旧(95,682)(88,795)31,169美元33,501美元在随附的综合损益表中记录为销售、一般和管理成本的折旧费用为1,000万美元,截至2025年6月30日、2024年和2023年的财政年度分别为1120万美元和1090万美元。截至2025年6月30日、2024年和2023年6月30日的财政年度,在随附的综合损益表中记录为销售商品成本的折旧费用分别为1.0百万美元、1.1百万美元和1.0百万美元。(六)其他资产和负债,流动和非流动下表详细列示预付费用和其他流动资产。2025年6月30日2024年(单位:千)其他应收款91,029美元90,412美元预付费用13,48511,777其他应收税款8,42510,610其他流动资产12,0 2012,283预付费用和其他流动资产124,959美元125,082美元下表详细列出了应计费用和其他流动负债。


 
ScanSource, Inc.和子公司合并财务报表附注——(续)2025年6月30日682025年6月30日2024年(单位:千)递延保修收入$ 5,563 $ 7,058应计补偿23,07919,077其他应付税项8,4516,808应计营销费用6,7316,730应计运费3,1133,759短期经营租赁负债3,9853,398其他应计负债20,34118,786应计费用和其他流动负债71,263美元65,616下表详列其他长期负债。2025年6月30日2024年(单位:千)长期递延保修收入$ 2,764 $ 3,137长期递延补偿负债28,53727,592应付长期所得税— 2,195长期经营租赁负债6,9726,507其他长期负债11,8909,795其他长期负债$ 50,163 $ 49,226(7)商誉和其他可辨认无形资产根据ASC 350,无形资产-商誉和其他无形资产,公司在每个会计年度的第四季度进行年度商誉减值测试,或在出现减值迹象时进行。用于商誉减值测试的报告单位与我们的运营部门、Specialty Technology Solutions和Intelisys & Advisory直接一致。测试包括使用与每个报告单位的账面价值相比的贴现现金流模型确定每个报告单位的公允价值。用于确定公允价值的关键假设包括预计增长和营业利润率、营运资金需求和贴现率。截至2025年6月30日、2024年和2023年6月30日的财政年度,没有记录与商誉相关的减值费用。截至年度商誉减值测试日,Specialty Technology Solutions和Intelisys & Advisory报告单位的公允价值分别超过其账面价值2%和100%。截至2025年6月30日、2025年6月30日和2024年6月30日止年度的商誉账面值变动按可报告分部列示于下表。


 
ScanSource, Inc.及子公司合并财务报表附注——(续)2025年6月30日69 Specialty Technology Solutions Intelisys & Advisory合计(千)2023年6月30日余额156,486美元60,220美元216,706美元处置(8,585)——(8,585)外币折算未实现损失(1,793)(27)(1,820)2024年6月30日余额146,108美元60,193美元206,301美元新增13,44710,69324,140外币折算未实现收益224155379 2025年6月30日余额159,779美元71,041美元230,820美元下表分别列示公司截至2025年6月30日和2024年6月30日的可辨认无形资产。2025年6月30日6月30日,2024年账面毛额累计摊销账面净值账面毛额累计摊销账面净值(千)摊销无形资产:客户关系$ 145,528 $ 92,943 $ 52,585 $ 107,875 $ 79,235 $ 28,640商品名称14,03611,4422,59413,03610,0213,015供应商合作伙伴计划4,0853,3417444,0852,9111,174加密密钥库19,90019,69420619,90017,2052,695已开发技术10,5123,7326,7804,6122,5012,111总无形资产194,061美元131,152美元62,909美元149,508美元111,873美元37,635所有无形资产的加权平均摊销期约为9年截至2025年6月30日的财政年度,以及截至2024年和2023年的财政年度的大约10年。截至2025年6月30日、2024年和2023年6月30日止年度的持续经营摊销费用分别为1920万美元、1570万美元和1670万美元,所有这些费用均与销售、一般和行政成本有关,而不是销售商品的成本,并已在随附的综合损益表中按此列报。某些已完全摊销的无形资产已在本财政年度被移除。预计未来摊销费用如下:摊销费用(千)截至2026年6月30日止年度$ 15,71820279,37920288,02220297,49320304,704此后17,593总计$ 62,909


 
ScanSource, Inc.及子公司合并财务报表附注—(续)2025年6月30日70(8)短期借款和长期债务下表分别列示了公司截至2025年6月30日和2024年6月30日的短期和长期债务。2025年6月30日2024年(单位:千)长期债务的流动部分7,861美元7,857美元密西西比州收入债券,扣除流动部分2,6633,024高级担保定期贷款融资,扣除流动部分125,625133,125循环信贷融资项下的借款— 50总债务136,149美元144,056美元信贷融资公司与作为行政代理人的摩根大通 Bank N.A.和一个银行银团(统称“贷款人”)拥有一项多币种高级担保信贷融资(经修订,“经修订的信贷协议”)。2022年9月28日,公司修订并重申了经修订的信贷协议,其中包括(i)一项五年期、3.5亿美元的多币种高级有担保循环信贷融资和(ii)一项五年期、1.5亿美元的高级有担保定期贷款融资。经修订的信贷协议将信贷融资到期日延长至2027年9月28日。此外,根据“手风琴功能”,该公司可能会增加至多2.5亿美元的借款,但须获得参与增加的贷方的额外信贷承诺。经修订的信贷协议允许签发最多5000万美元的信用证。经修订信贷协议项下的借款由公司及其境内附属公司的几乎所有境内资产提供担保。根据循环信贷额度的条款,现金股息的支付受到限制。该公司因修订和重述经修订的信贷协议而产生了140万美元的债务发行费用。这些成本被资本化为简明综合资产负债表上的其他非流动资产,并从先前的信贷融资中添加到未摊销的债务发行成本中。除Swingline贷款外,以美元计价的贷款的年利率等于(i)调整后的期限有担保隔夜融资利率(“SOFR”)或调整后的每日简单SOFR加上1.00%至1.75%的额外保证金,具体取决于公司的比率:(a)综合债务总额减去不超过3000万美元的非限制性国内现金与(b)截至最近一年或季度末计量的(如适用)过去四个季度综合EBITDA的比率,已向贷款人交付财务报表的(“杠杆比率”);或(ii)备用基准利率加上0%至0.75%的额外保证金,取决于公司的杠杆比率,加上(如适用)某些强制性成本。所有以美元计价的Swingline贷款按调整后的每日简单SOFR加上根据公司杠杆比率或公司与适用的Swingline贷款人可能同意的其他利率而定的1.00%至1.75%的额外保证金计息。调整后的期限SOFR和调整后的每日简单SOFR包括在适用SOFR参考利率基础上0.10%的固定信用调整。以外币计价的贷款的年利率相当于经修订信贷协议中规定的适用基准利率加上1.00%至1.75%的额外保证金,具体取决于公司的杠杆比率加上(如适用)某些强制性成本。截至2025年6月30日的财政年度,公司在信贷安排下的借款为美元贷款。截至2025年6月30日的有效利差为1.00%,加上基于SOFR-的贷款的0.10%信用利差调整和备用基准利率贷款的0.00个百分点。截至2025年6月30日生效的承诺费率为0.15%。截至2025年6月30日和2024年6月30日,该定期贷款的实际利率分别为5.43%和6.44%。经修订的信贷协议包括惯常的陈述、保证以及肯定和否定的契约,包括财务契约。具体地说,公司的杠杆比率必须始终小于或等于3.50至1.00。此外,截至每个财政季度末,公司的利息覆盖率(该期限在经修订的信贷协议中定义)必须至少为3.00至1.00。在发生违约的情况下,放款人可以使用惯常的补救措施,包括加速和提高利率。截至2025年6月30日,公司遵守经修订信贷协议项下的所有契诺。


 
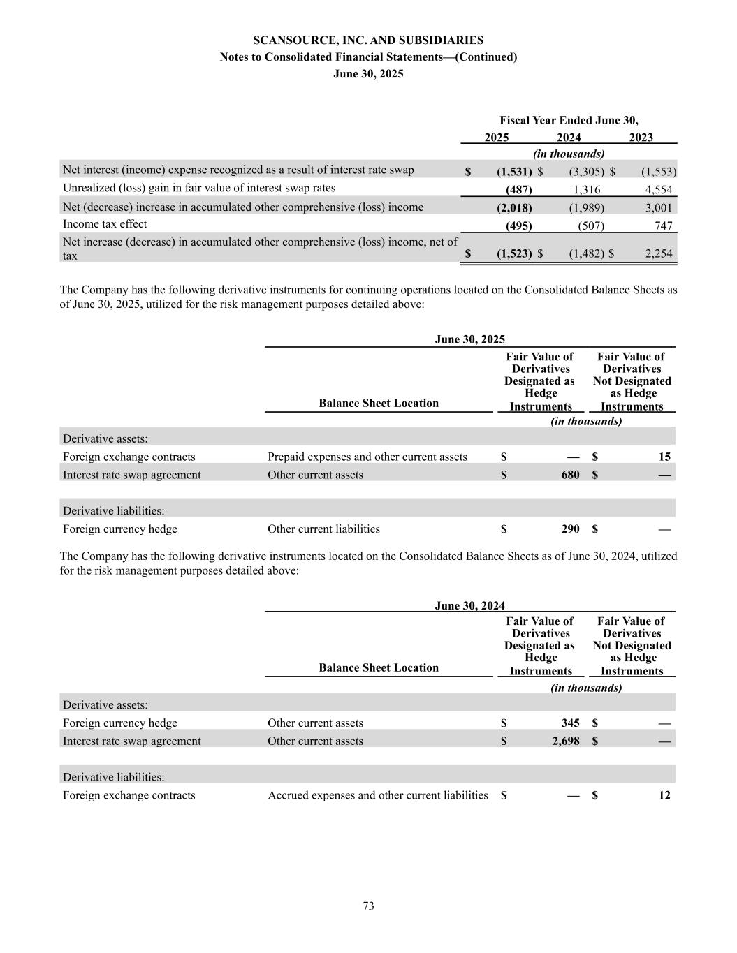
ScanSource, Inc.合并财务报表附注——(续)2025年6月30日71截至2025年6月30日和2024年6月30日的财政年度,循环信贷融资(不包括定期贷款融资)的日均未偿余额分别为30万美元和7110万美元。截至2025年6月30日和2024年6月30日,分别有3.50亿美元和3.499亿美元可用于额外借款。截至2025年6月30日和2024年6月30日,循环信贷额度的实际利率分别为5.46%和6.44%。截至2025年6月30日和2024年6月30日,没有根据多币种循环信贷额度签发的信用证。Mississippi Revenue Bond于2007年8月1日,公司与密西西比州订立协议,以便通过发行工业发展收入债券为收购和安装某些设备提供融资,这些设备将用于公司在密西西比州Southaven的设施。该债券于2032年9月1日到期,按1个月期限SOFR加0.10%加上适用保证金0.85%的利率计息。债券条款仅允许支付协议前10年的利息,然后从2018年9月1日至2032年,到期支付本金和利息,直至到期日或债券赎回。该协议还为债券持有人提供了一份看跌期权,仅可在协议的每个5周年的180日内行使,要求公司按未偿还本金的100%偿还债券。截至2025年6月30日,公司遵守本次债券项下的所有契诺。2025年6月30日和2024年6月30日的利率分别为5.28%和6.28%。截至2025年6月30日,公司短期借款、循环信贷额度和长期债务的预定到期日如下:循环信贷额度定期贷款额度密西西比债券(单位:千)财政年度:2026年$ — 7,500美元3612027 — 10,3133662028 — 115,3123712029 —— 3752030 —— 380此后—— 1,171本金支付总额$ — 133,125美元截至2025年6月30日的债务发行成本3,024美元,与信贷安排和债券相关的净债务发行成本总计90万美元,正在通过每个相应债务工具的到期日按直线法摊销。(9)衍生工具和套期保值活动公司的经营业绩可能受到外币汇率和利率的重大变化的重大影响。为了努力管理这些风险敞口,公司定期订立各种衍生工具。公司对这些工具的会计政策基于这些工具是否按照美国公认会计原则被指定为套期工具或非套期工具。公司在合并资产负债表中以公允价值记录所有衍生工具。未指定为套期工具的衍生工具或现金流量套期无效部分,通过其他收入和费用中的收益调整为公允价值。外币衍生产品–公司以多种外币在国际上开展部分业务,并面临外币汇率变动的市场风险。公司试图对冲交易


 
ScanSource, Inc.和子公司合并财务报表附注——(续)2025年6月30日72项风险敞口尽可能充分地进行自然抵消,一旦这些机会用尽,公司将与第三方使用货币期权和远期合约或其他对冲工具。这些合约将定期对冲各种货币的兑换,包括美元、巴西雷亚尔、欧元、英镑和加元。有关公司衍生金融工具政策的更多信息,请参见附注1-业务和重要会计政策摘要。截至2025年6月30日和2024年6月30日,该公司的外币兑换名义金额分别为2620万美元和2750万美元的未偿合同。迄今为止,公司选择不将这些衍生工具指定为套期工具,因此,这些工具通过其他收入和费用中的收益调整为公允价值。与这些衍生工具合约相关的财务信息和外币风险敞口基础价值变动汇总如下:截至2025年6月30日的财政年度20242023(单位:千)外汇衍生工具合约净亏损(收益)$ 1,678 $(1,864)$ 3,928外币交易和重新计量(收益)净亏损(923)4,062(1,760)外币净亏损$ 755 $ 2,198 $ 2,168外汇损益净额包括外币交易和功能货币重新计量,由外币兑换合约净损益抵消,计入其他收入和支出。外汇损益是由于美元对巴西雷亚尔、美元对欧元、英镑对欧元、加元对美元的币值波动而产生的。利率–公司的盈利也受到利率变化的影响,因为这些变化对浮动利率债务工具的利息支出产生了影响。该公司通过使用利率掉期对冲这一风险敞口并实现固定利率与浮动利率债务的理想比例来管理其对利率变化的风险敞口。于2019年4月30日,公司订立利率互换协议以锁定固定LIBOR利率,于2022年9月28日修订,将参考利率由LIBOR改为SOFR。该互换协议的名义金额为1亿美元,其中5000万美元的部分将于2024年4月30日到期,5000万美元的部分计划于2026年4月30日到期。2023年3月31日,公司订立利率互换协议,以锁定名义金额为2500万美元、到期日为2028年3月31日的固定SOFR利率。这些利率互换协议被指定为现金流对冲,以对冲循环信贷额度的浮动利率利息支付。根据互换协议支付或收取的利率差异被确认为利息费用的调整。在掉期有效抵消被套期现金流量变动的情况下,掉期公允价值变动不计入当期收益,而作为其他综合收益(损失)列报。截至2025年6月30日、2024年和2023年6月30日的财政年度,没有将无效部分记录为收益调整。合并股东权益报表中计入累计其他综合(亏损)收益扣除所得税后的现金流量套期的构成部分如下:


 
ScanSource, Inc.及子公司合并财务报表附注—(续)2025年6月30日73截至2025年6月30日的财政年度20242023(单位:千)因利率掉期确认的净利息(收入)费用$(1,531)$(3,305)$(1,553)未实现(亏损)利息掉期利率公允价值收益(487)1,3164,554累计其他综合(亏损)收益净(减少)增加(2,018)(1,989)3,001所得税影响(495)(507)747累计其他综合(亏损)收益净增加(减少),税后净额$(1,523)$(1,482)$ 2,254截至2025年6月30日,公司在合并资产负债表中拥有以下用于持续经营的衍生工具,用于上文详述的风险管理目的:6月30日,2025年资产负债表位置被指定为对冲工具的衍生工具的公允价值未被指定为对冲工具的衍生工具的公允价值(单位:千)衍生资产:外汇合约预付费用和其他流动资产$ — $ 15利率互换协议其他流动资产$ 680 $ —衍生负债:外币对冲其他流动负债$ 290 $ —截至2024年6月30日,公司在合并资产负债表中有以下衍生工具,用于上文详述的风险管理目的:6月30日,2024年资产负债表位置指定为对冲工具的衍生工具的公允价值未指定为对冲工具的衍生工具的公允价值(单位:千)衍生资产:外币对冲其他流动资产$ 345 $ —利率互换协议其他流动资产$ 2,698 $ —衍生负债:外汇合约应计费用和其他流动负债$ — $ 12


 
ScanSource, Inc.及子公司合并财务报表附注——(续)2025年6月30日74(10)金融工具公允价值会计指引将公允价值定义为在计量日市场参与者之间的有序交易中出售资产所收到的价格或转移负债所支付的价格。根据这一指导,公司需要根据公允价值等级对某些资产和负债进行分类,该等级根据以下输入水平对公允价值计量的资产和负债进行分组:•第1级–活跃市场中未经调整的报价,在计量日可以获得相同的、不受限制的资产或负债;•第2级–不活跃市场中的报价,或可直接或间接观察到的输入,基本上在资产或负债的整个期限内;•第3级–需要对公允价值计量具有重要意义且不可观察(即很少或没有市场活动支持)的输入值的价格或估值技术。公司维持的需要以经常性公允价值计量的资产和负债包括递延补偿计划投资、远期外币兑换合同、外币对冲协议、利率互换协议以及欠Advantix Solutions Group,Inc(“Advantix”)和Secure Path Networks,LLC dba Resourcive(“Resourcive”)卖方的或有对价。附注8-短期借款和长期债务中所列债务的账面价值被视为近似公允价值,因为公司的债务工具使用市场法(第2级标准)与可变利率挂钩。下表汇总了截至2025年6月30日公司以经常性公允价值计量的剩余资产和负债的估值情况:活跃市场总报价(第1级)重要的其他可观察输入值(第2级)重要的不可观察输入值(第3级)(单位:千)资产:递延补偿计划投资,流动和非流动部分$ 31,887 $ 31,887 $ — $ —远期外汇合约15 — 15 —利率互换协议680 — 680 —按公允价值计算的总资产$ 32,582 $ 31,887 $ 695 $ —负债:递延补偿计划投资,流动和非流动部分$ 31,887 $ 31,887 $ — $ —外币套期保值290 — 290 —或有对价负债,流动和非流动19,100 —— 19,100按公允价值计算的负债总额51,277美元31,887美元290美元19,100美元下表列出截至2024年6月30日按经常性公允价值计量的资产和负债:


 
ScanSource, Inc.和子公司合并财务报表附注——(续)2025年6月30日75活跃市场总报价(第1级)重要的其他可观察输入值(第2级)重要的不可观察输入值(第3级)(单位:千)资产:递延补偿计划投资,流动和非流动部分31,014美元31,014美元——美元——利率互换协议2,698 —— 2,698 ——外币套期保值345 —— 345 ——按公允价值计算的总资产34,057美元31,014美元3,043美元——负债:递延补偿计划投资,流动和非流动部分$ 31,014 $ 31,014 $ — $ —远期外汇兑换合约12 — 12 —按公允价值计算的总负债$ 31,026 $ 31,014 $ 12 $ —递延薪酬计划中的投资由“拉比信托”持有,包括共同基金和现金等价物,用于支付某些退休、解雇或在职雇员的不合格福利。这些投资根据其对收款人的相应预期分配情况记入预付和其他流动资产或其他非流动资产,分别在应计费用和其他流动负债或其他长期负债中列报。衍生工具,例如外币远期合约,是在考虑到银行或外币交易商报价的外币即期汇率和远期汇率以及银行报价的利率(第2级)的情况下,在经常性基础上使用市场法计量的。利率掉期的公允价值使用标准估值模型计量,其输入值可从可观察的市场交易中得出,包括LIBOR即期和远期利率(第2级)。外币合约和利率互换协议在合并资产负债表中分类为预付费用和其他流动资产或应计费用和其他流动负债,具体取决于各自工具的有利或不利地位。见附注9-衍生品和套期保值活动。该公司在Advantix和Resourcive的收购日期均记录了一笔或有对价负债。这些负债是根据资产购买协议条款概述的应付给卖方的金额,其基础是实现了扣除特定备考调整后的利息支出、税项、折旧和摊销前的预计收益。下表为公司于2025年6月30日按公允价值计算的或有对价负债:截至2025年6月30日的财政年度Specialty Technology Solutions Intelisys & Advisory合计(千)期初公允价值$ — $ — $ —发行或有对价7500,9700,17200估值变动(840)2,7401,900期末公允价值6,660美元12,440美元19,100美元


 
ScanSource, Inc.及附属公司综合财务报表附注——(续)2025年6月30日76所欠款项的公允价值记入公司简明综合资产负债表的或有对价的当期部分和或有对价的长期部分。按照ASC 805,公司将在每个报告日通过最后一笔付款对或有对价负债进行重估,或有对价的公允价值变动反映在公司简明综合损益表中计入营业收入计算的或有对价项目的公允价值变动中。与未来盈利支付相关的或有对价负债的公允价值基于几个因素,包括但不限于:•估计的未来结果,扣除购买协议中规定的备考调整;•反映公司信誉和与美国市场相关的市场风险溢价的风险溢价。Advantix Advantix是专业技术解决方案部门的一部分。或有对价的公允价值采用静态贴现现金流模型确定。2025年6月30日确认的与Advantix相关的或有对价负债的公允价值为670万美元,其中130万美元被归类为流动。截至2025年6月30日的财政年度的公允价值变动主要是由于本年度业绩和未来预测的减少。支付给Advantix卖家的盈余款项将根据2025财年至2028财年的业绩支付。Resourcive Resourcive是Intelisys & Advisory部门的一部分。Resourcive或有对价的公允价值采用蒙特卡洛模拟确定。2025年6月30日确认的与Resourcive相关的或有对价负债的公允价值为1240万美元,所有这些都被归类为非流动负债,应在2027财年支付给Resourcive的卖方。截至2025年6月30日的财政年度的公允价值变动主要是由于未确认的公允价值折扣的经常性摊销。公司于2025年6月30日与Advantix和Resourcive相关的或有对价负债的经常性第3级公允价值计量中使用的估值技术和重要可观察输入值如下。收购报告期估值技术重大不可观察投入平均费率Advantix 2025年6月30日折现现金流调整后EBITDA风险溢价15.3%调整后EBITDA增长率31.8%资源2025年6月30日蒙特卡罗调整后EBITDA风险溢价12.7%模拟佣金增长百分比24.2%(11)股份补偿股份补偿计划公司有两个股份补偿计划(2013年长期激励计划和2021年长期激励计划)的奖励未兑现。2024年综合激励薪酬方案获国务院年度会议通过


 
ScanSource, Inc.及子公司合并财务报表附注—(续)2025年6月30日2024年12月10日77名股东。2024年计划允许向承授人授予以下任何或所有类型的奖励:股票期权,包括不合格期权和ISO;SARS;限制性股票(“RSA”);递延股票和限制性股票单位(“RSU”);绩效单位(“PU”)和绩效份额;股息等价物;以及其他基于股票的奖励。2021年长期激励计划剩余可供股滚入2024年计划。符合条件的承授人包括公司及其附属公司的雇员、高级职员、非雇员顾问和非雇员董事。目前仅根据2024年长期激励计划授予奖励。截至2025年6月30日,2024年长期激励计划可供未来授予的股份数量为2,241,354股。公司所有以股份为基础的薪酬计划均获得股东批准,公司认为,此类奖励使其员工和董事的利益与其股东的利益保持一致。RSA是在满足特定条件后面临被没收风险或其他限制失效的普通股。受限制股份单位代表有权在未来接收普通股股份,并有权在未来交付股份,但有可能因满足特定条件而面临没收或其他限制失效的风险。PU表示在特定业绩期间根据预定目标的业绩在未来获得普通股股份的权利。公司按照ASC 718即股票补偿对其以股份为基础的补偿奖励进行会计处理,该规定要求所有以股份为基础的补偿在损益表中以公允价值为基础确认,并适用于生效日期之后授予、修改、取消或回购的所有奖励。作为销售、一般和管理费用组成部分包含在我们的综合损益表中的股份薪酬总额如下:截至2025年6月30日的财政年度20242023(以千为单位)与以下相关的股份薪酬:股权分类股票期权$ — $ 550 $ 1,426股权分类限制性股票11,0628,9879,793股份薪酬总额$ 11,062 $ 9,537 $ 11,219股票期权公司在截至2025年6月30日、2024年6月30日或2023年6月30日的财政年度内未授予股票期权。2022年6月30日之前授予的股票期权每年归属,期限超过3年,合同期限为10年。这些期权的授予行权价格不低于授予日标的股票公允市场价值的100%。每份期权的公允价值(为计算股份报酬的目的)是在授予日使用Black-Scholes-Merton期权定价公式估计的,该公式使用在授予日确定的假设。这种期权定价模型的使用需要主观假设的输入。这些假设包括估计员工在行使既得股票期权之前将保留的时间长度(“预期期限”)、公司普通股价格在预期期限内的估计波动性(“预期波动性”)以及最终无法完成其归属要求的期权数量(“没收”)。主观假设的变动可能会对股份补偿的公允价值估计产生重大影响,从而对综合损益表中确认的相关金额产生重大影响。期权的加权平均预期期限表示根据获得这些奖励的某些群体和个人的历史趋势和行为,期权预期未兑现的时间段。预期波动率主要基于我们普通股在接近预期期限的一段时间内的历史波动率。无风险利率反映了剩余期限与预期期权期限相近的零息美国政府债券在授予日的利率。股息率假设基于公司的股息支付历史和管理层对未来股息支付的预期。


 
ScanSource, Inc.和子公司合并财务报表附注——(续)2025年6月30日78我们的股票期权计划下的活动摘要如下:截至2025年6月30日的财政年度期权加权-平均行使价加权-平均剩余合同寿命总内在价值未偿,年初711,952美元33.38美元期间授予——期间行使(276,289)34.43期间取消、没收或到期——未偿,年末435,66332.71 2.87 $ 3,965,747于2025年6月30日归属435,66332.71 2.87 $ 3,965,747可行使,年末435,663美元32.71 2.87美元3,965,747美元总内在价值是使用2025年6月30日公司股票的市场价格计算得出的,只有那些行使价格低于我们股票市场价格的期权的行使价格。这一数额将随着每股市场价格的变化而变化。截至2025年6月30日、2024年和2023年6月30日的财政年度行使的期权的总内在价值分别为300万美元、210万美元和20万美元。截至2025年6月30日,没有未归属的期权,在截至2025年6月30日的财政年度也没有任何期权归属。截至2024年6月30日和2023年6月30日的财政年度,期权的公允价值总额分别为150万美元和160万美元。下表汇总了截至2025年6月30日尚未行使和可行使的股票期权的信息:期权未行使期权可行使的行权价格范围股份未行使加权平均剩余合同期限加权平均行权价格编号可行使加权平均行权价格$ 22.27-$ 26.3856,7245.38 24.5956,72424.59 $ 26.38-$ 30.49 119,0215.40 27.14 119,02127.14 $ 30.49-$ 34.6053,0792.44 34.3553,07934.35 $ 34.60-$ 38.71 206,8390.82 37.72 206,83937.72 435,6632.87 $ 32.71 435,663 $ 32.71公司发行股票以满足期权的行使。限制性股票授予限制性股票截至2025年6月30日止财政年度,公司向雇员及非雇员董事授予316,433股限制性股票,全部以RSU形式发行:


 
ScanSource, Inc.及附属公司综合财务报表附注——(续)2025年6月30日79财政年度截至2025年6月30日的股份授予日授予日公允价值归属期雇员某些雇员基于业绩196,3562024年8月30日每年50.94美元超过4年某些雇员基于业绩80,3912024年8月30日每年55.78美元超过3年某些雇员基于雇用14,7232024年9月1日每年50.94美元超过4年某些雇员基于业绩2,9762024年12月1日每年50.41美元超过4年非雇员董事某些董事21,9878月30日,202450.94美元12个月公司已发行限制性股票状况摘要如下:截至2025年6月30日的财政年度已发行股份加权平均授予日公允价值,年初887,310美元31.51美元期间授予316,43351.55期间归属(281,962)33.71期间注销、没收或到期(20,526)34.65未偿还,年末901,255美元40.52截至2025年6月30日,与未归属的业绩单位和授予的限制性股票单位相关的未确认补偿成本约为1,970万美元,预计将在1.04年的加权平均期间内确认。截至2025年6月30日的财政年度,公司预扣所得税101379股。(12)员工福利计划公司维持界定缴款计划,涵盖位于美国、符合特定资格要求的所有员工,并提供相当于每位参与者缴款50%的匹配缴款,最高不超过参与者合资格薪酬的6%。雇主缴款根据五年期间的任期归属。截至2025年6月30日的财政年度20242023(单位:千)匹配缴款3,261美元3,099美元3,270美元国际上,公司向地方政府要求的计划或各种员工年金计划缴款。此外,公司维持一项不合格、无资金的递延薪酬计划,该计划允许符合条件的管理层成员除了从公司获得酌情匹配的供款外,还可以递延部分薪酬。雇主缴款按五年期限归属。


 
ScanSource, Inc.及附属公司合并财务报表附注——(续)2025年6月30日80(13)所得税截至2025年6月30日止财政年度,公司保持获取外国子公司收益的能力。该公司考虑记录与联邦、州和预扣税相关的递延所得税负债,并确定不应记录任何负债。目前尚不确定将这些收益全部或部分分配给美国的时间。所得税费用(收益)包括:截至2025年6月30日的财政年度20242023(以千计)当前:联邦12,736美元15,626美元25,034美元州3,8053,6086,455外国3,4985,5784,507当前总额20,03924,81235,996递延:联邦2,320(827)(2,991)州(217)(911)(541)外国706(293)1,294递延总额2,809(2,031)(2,238)所得税准备金22,848美元22,781美元33,758美元。以下提供了截至2025年6月30日、2024年6月30日和2023年6月30日财政年度的美国联邦所得税费用的调节,适用的法定税率为21%。截至2025年6月30日的财政年度20242023(单位:千)美国法定税率21.0% 21.0% 21.0%美国联邦所得税法定税率19,823美元20,967美元25,588美元所得税增加(减少)原因是:州和地方所得税,扣除联邦福利2,7881,9394,559税收抵免(573)(1,794)(909)估价津贴(445)1,1311,087国外业务不同法定税率的影响,净额1,3822,1092,751股票补偿(1,258)(76)37减少上年过渡税(2,065)——外国子公司收益778776957处置损失——(2,816)——全球无形低税所得税475(832)1,551非应税收入(136)(927)(3,189)不可扣除补偿2,1441,4121,240净权益名义利息扣除(928)——(733)其他863892819所得税准备金22,848美元22,781美元33,758


 
ScanSource, Inc.及附属公司合并财务报表附注—(续)2025年6月30日81.产生相当大部分递延所得税资产和负债的暂时性差异的税务影响列示如下:6月30日,20252024(单位:千)递延所得税资产来源:应收账款备抵8,055美元7,787美元存货2,6902,927不可扣除的应计费用7,3767,538净营业亏损结转268243税收抵免9,5748,771递延补偿6,9847,706股票补偿4,1864,490资本损失结转11,57912,306无形资产摊销扣除时间7,6756,680建筑物和设备折旧和其他扣除时间437 —递延所得税资产总额58,82458,448估价备抵(19,633)(19,594)递延所得税资产总额,扣除备抵后39,19138,854递延所得税负债来源:建筑物和设备的折旧和其他扣除时间——(724)商誉的摊销扣除时间(17,659)(13,716)无形资产的摊销扣除时间(2,763)(4,512)递延所得税负债总额(20,422)(18,952)递延所得税资产净额18,769美元19,902美元税前收益的组成部分如下:截至2025年6月30日的财政年度20242023(以千计)国内78,460美元78,653美元94,994美元国外15,93621,18826,856截至2025年6月30日全球税前收益94,396美元99,841美元121,850美元,有(i)用于美国联邦所得税目的的净经营亏损结转毛额约为90万美元;(ii)州净经营亏损结转毛额约为110万美元;(iii)在2024纳税年度开始到期的州所得税抵免额结转约为380万美元;(iv)预扣税款抵免额约为550万美元;(v)外国税收抵免额为110万美元,以及(vi)资本亏损结转毛额为4640万美元。该公司为美国联邦净经营亏损保留了10万美元的估值备抵,为资本损失结转保留了1160万美元的估值备抵,为州净经营亏损保留了不到10万美元的估值备抵,为预提税收抵免保留了550万美元的估值备抵,为外国税收抵免保留了110万美元的估值备抵,为州所得税抵免保留了130万美元的估值备抵,据此确定,根据ASC 740,很可能无法使用这些备抵。公司根据ASU2016-09将超额税收优惠和税收缺陷确认为所得税费用或股票奖励结算的优惠。该公司在截至6月30日的财年确认了120万美元的净税收优惠,


 
ScanSource, Inc.和子公司合并财务报表附注——(续)2025年6月30日822025年,截至2024年6月30日的财政年度的净税收支出低于10万美元,截至2023年6月30日的财政年度的净税收优惠低于10万美元。截至2025年6月30日,公司未确认的税收优惠总额为0.7百万美元,其中0.6百万美元,如果确认,将影响有效税率。这反映出毛额比上一财政年度减少了0.4百万美元。公司预计未来十二个月内未确认的税收优惠总额不会大幅增加或减少。公司在随附的综合损益表的所得税费用项目中确认与未确认的税收优惠相关的利息和罚款。应计利息和罚款计入合并资产负债表的相关纳税义务项目。截至2025年6月30日、2024年和2023年6月30日的财政年度,应计利息和罚款总额(但不包括在下表中)分别为100万美元、130万美元和120万美元。未确认的税收优惠的期初和期末金额对账如下:2025年6月30日20242023年(单位:千)期初余额1141美元1172美元1065美元根据与本年度相关的税收头寸增加8689123减少以前年度的税收头寸(529)(120)(16)期末余额698美元1141美元1172美元2024年8月26日,美国税务法院在瓦里安医疗,Inc.诉Commissioner案中发表了意见。该意见涉及美国在《减税和就业法案》过渡年度(该公司2018财年)对视同外国股息征税的问题。虽然该公司不是案件的当事方,但该意见导致其税务状况发生变化,因此记录了210万美元的税收优惠,作为2025年6月30日财政年度所得税准备金的减少。在2024年6月30日财政年度,公司在巴西收到了一项关于排除应税收入的有利裁决,因此确认了前几年的150万美元所得税追回。巴西法院2023年6月的一项裁决确认,巴西国家提供的税收优惠无需缴纳所得税,公司在2023年6月30日财政年度确认了220万美元的税收优惠。在2023财年年底之后,美国国税局发布了2023-55号通知,为巴西子公司的纳税人提供了最终外国税收抵免规定的临时减免。因此,该公司在2024财年确认了150万美元的税收优惠,用于2023财年的可贷记外国税收。公司在国际上开展业务,因此,其一家或多家子公司在美国联邦、各州、地方和外国司法管辖区提交所得税申报表。在正常经营过程中,公司须接受其经营所在国税务机关的审查。除某些例外情况外,公司在2020年6月30日之前的纳税年度不再接受州和地方、或非美国税务机关的所得税审查。2025年7月4日,《一大美丽法案》(“法案”)签署成为法律。该法案永久延长了《减税和就业法案》的关键条款,包括100%的奖金折旧,并引入了国际税收框架的变化。我们目前正在评估该法案对我们未来有效税率、税收负债和现金税的影响。(14)租赁按照ASC 842,租赁,公司在合同开始时,通过评估合同是否包含已识别的资产以及公司是否具备对该资产的控制能力,确定合同是否包含租赁。该公司还可以确定该租赁是否符合ASC 842下的经营租赁与融资租赁的分类标准。实质上


 
ScanSource, Inc.及附属公司合并财务报表附注——(续)2025年6月30日83公司所有租赁均为房地产、仓库和办公设备的经营租赁,期限从1年到10年不等。公司已选择不在简明综合资产负债表上记录初始期限为12个月或以下的短期经营租赁。经营租赁在简明综合资产负债表中作为其他非流动资产、应计费用和其他流动负债及其他长期负债入账。该公司有信息技术设备的融资租赁将在2028财年到期。融资租赁在简明综合资产负债表中记作财产和设备、净额、应计费用和其他流动负债及其他长期负债。与融资租赁相关的记录余额的毛额对2025年6月30日和2024年6月30日的财务报表并不重要。经营租赁使用权资产和租赁负债在开始日根据租赁期内未来最低租赁付款额的净现值确认。公司一般无法确定其租赁中的内含费率,并选择采用增量借款利率作为确定现值的贴现率,这是基于公司对每项租赁的相关条款的借款成本和地理经济因素。某些经营租赁协议包含延长或终止租赁的选择权。当公司合理确定将行使期权时,所使用的租赁期限将针对这些期权进行调整。经营租赁费用在租赁期内按直线法确认。非基于费率或指数的可变租赁付款,例如公共区域维护费用,在发生时计入费用。此外,公司选择了在适用情况下将所有租赁和非租赁部分确认为单一租赁部分的实际权宜之计。下表列出了2025年6月30日和2024年6月30日在简明合并资产负债表中记录的与经营租赁相关的金额:经营租赁资产负债表位置2025年6月30日2024年6月30日(单位:千)经营租赁使用权资产其他非流动资产10,258美元9,057美元流动经营租赁负债应计费用和其他流动负债3,9853,398长期经营租赁负债其他长期负债6,9726,507下表列出了截至6月30日的财政年度在简明合并损益表中作为销售一般和管理费用的一部分记录在经营租赁费用中的金额,2025年、2024年和2023年。经营租赁成本包含初始期限为12个月或更短的租赁的非实质性短期租赁成本金额。截至2025年6月30日的财政年度20242023(单位:千)经营租赁成本4425美元4917美元5224美元可变租赁成本1,5231,4161,460美元5,948美元6,333美元6,684美元与公司截至2025年6月30日、2024年和2023年财政年度的经营租赁相关的补充现金流量信息如下表所示:


 
ScanSource, Inc.合并财务报表及附属公司附注——(续)2025年6月30日84截至2025年6月30日的财政年度20242023(单位:千)为计量租赁负债的金额支付的现金4136美元4747美元5463美元为换取租赁义务而获得的使用权资产50358408972025年6月30日和2024年6月30日的加权平均剩余租赁期和贴现率见下表:2025年6月30日6月30日,2024年加权平均剩余租赁期3.03 3.03加权平均贴现率5.35% 4.84%下表列示2025年6月30日公司经营租赁负债到期情况:经营租赁(单位:千)2026美元457420274,31920281,93920291,1192030603未来付款总额12,554减:代表利息的金额1,597租赁付款现值10,957美元


 
ScanSource, Inc.和子公司合并财务报表附注——(续)2025年6月30日85(15)承诺和或有事项公司在2025、2024和2023财年的大部分净收入来自销售从公司十大供应商购买的产品。公司已与几乎所有主要供应商订立书面协议。虽然公司与大多数供应商的协议包含定期续签的标准条款,但这些协议通常允许任何一方在提前30至120天通知后无故终止。本公司或其附属公司不时成为因经营而产生的诉讼的当事人。尽管无法保证,但根据公司已知的信息,公司认为,由于对此类诉讼的不利裁定而产生的任何责任不会对公司的财务状况和经营业绩产生重大不利影响。资本项目该公司预计,2026财年的总资本支出将在1000万美元至1500万美元之间,主要用于IT和仓库投资。收购前或有事项在公司对Network1收购进行尽职调查期间,就巴西联邦和州的各种税收风险确定了几项收购前或有事项。由于资金作为收购的一部分被托管,该公司记录了应收赔偿款项,这些款项被报告为收购前或有负债的毛额。托管账户没有存款;不过,在截至2025年6月30日的财政年度,从托管账户中释放了0.2百万美元。截至2024年6月30日的财政年度,托管账户没有存款或释放。截至2025年6月30日和2024年6月30日,在外币换算影响后,可用于未来收购前应急结算或将释放给卖方的金额分别为340万美元和320万美元。截至2025年6月30日和2024年6月30日的财政年度,公司记录的与Network1相关的收购前或有事项和相应的应收赔偿分别为370万美元和360万美元。这些余额在合并资产负债表中作为其他非流动负债和其他非流动资产列报。截至2025年6月30日,合理可能的未贴现收购前或有事项的金额估计在此时介于370万美元至1490万美元之间,其中根据股份购买协议,所有风险敞口均可获得赔偿。(16)分部信息公司是向专业技术市场客户提供技术解决方案和服务的领先分销商。公司的首席执行官是我们的首席运营决策者(“CODM”),负责评估我们如何分配资源、评估绩效以及做出战略和运营决策。主要经营决策者根据包括销售净额、毛利和营业收入在内的各种财务业绩,审查每个可报告分部的主要财务措施。就该评估而言,我们的主要经营决策者可能会排除事项,例如减值费用、重组成本、收购和剥离成本、业务收购或处置的损益以及诉讼或税收结算或追偿。主要经营决策者亦按分部及地域检讨若干其他措施,包括资产总额及物业及设备。基于这样的评估,公司有两个基于销售模式的可报告分部。专业技术解决方案部门专业技术解决方案部门在美国、加拿大和巴西开展业务,包括通过批发/转售销售模式分销的专业技术解决方案。这一部分包括硬件、SAAS和订阅服务。专业技术解决方案包括以下方面:


 
ScanSource, Inc.及子公司合并财务报表附注——(续)2025年6月30日86 •移动性和条码——移动计算、条码扫描仪和成像仪、射频识别设备、条码打印及相关服务;• POS ——销售点系统、综合POS软件平台;•支付终端——包括自助结账、支付终端和移动支付设备在内的自助信息亭;•物理安全——视频监控和分析、视频管理软件和访问控制;•网络——交换、路由和无线产品和软件;•通信——语音、视频、通信平台集成和联络中心解决方案;以及•连接-托管连接和无线启用解决方案。Intelisys & Advisory部门Intelisys & Advisory部门在美国运营,包括对渠道销售合作伙伴(Intelisys)和最终用户(Advisory)的销售和服务。作为一家技术服务分销商,即TSD,Intelisys通过代理销售模式分销连接、云和下一代技术。渠道销售合作伙伴还可以通过公司的专有工具、平台和灵活的市场路线获得SaaS和基于订阅的服务。除了传统的电信服务,关键技术领域还包括:• Connectivity & SDN(软件定义网络)• CX(统一通信即服务和联络中心即服务)•云/数据中心•安全•托管AI •无线和物联网通过提供灵活的市场路线和强大的解决方案组合,该部门帮助顾问为广泛的最终用户提供服务,包括从VSB(“非常小企业”)到企业规模企业等各种规模的企业。截至2025年6月30日、2024年和2023年6月30日的财政年度,有关公司分部的部分财务信息如下:


 
ScanSource, Inc.和子公司合并财务报表附注——(续)2025年6月30日87 Specialty Technology Solutions Intelisys & Advisory Corporate(a)截至6月30日的财政年度总额,2025年:净销售额2,942,717美元98,093美元— 3,040,810美元销售成本2,631,315849 — 2,632,164毛利润311,40297,244 — 408,646其他营业费用(b)245,35370,0308,063323,446营业收入(亏损)66,049美元27,214美元(8,063)85,200美元其他分部信息折旧和摊销(c)19,627美元8,878美元1,690美元30,195或有对价公允价值变动(d)$(840)$ 2,740 $ — 1,900美元资本支出$(7,776)$(510)$ — $(8,286)截至6月30日的财政年度,2024年:净销售额3,167,549美元92,260美元— 3,259,809美元销售成本2,860,292465 — 2,860,757毛利润307,25791,795 — 399,052其他营业费用(b)240,57961,2006,949308,728营业收入(亏损)66,678美元30,595美元(6,949)90,324美元其他分部信息折旧和摊销(c)17,133美元7,939美元2,937美元28,009或有对价公允价值变动(d)$ — $ — $ —资本支出$(8,414)$(141)$ — $(8,555)截至6月30日的财政年度,2023年:净销售额3,701,667美元86,054美元— 3,787,721美元销售成本3,338,088394 — 3,338,482毛利润363,57985,660 — 449,239其他营业费用(b)250,75061,1431,460313,353营业收入(亏损)112,829美元24,517美元(1,460)135,886美元其他分部信息折旧和摊销(c)17,943美元7,796美元2,875美元28,614或有对价公允价值变动(d)$ — $ — $ —资本支出$(9,827)$(152)$ — $(9,979)


 
ScanSource, Inc.及附属公司合并财务报表附注—(续)2025年6月30日88(a)截至2025年6月30日止年度,上述其他经营费用中的金额包括重组费用、法律和解费用、收购费用以及网络攻击恢复费用。截至2024年6月30日止年度,上述其他运营费用中的金额包括重组费用、收购和剥离费用以及网络攻击恢复成本。截至2023年6月30日止年度,上述其他运营费用中的金额包括网络攻击恢复成本(b)主要包括工资和其他员工费用以及其他销售和一般管理费用(c)折旧和摊销费用主要包括在其他运营费用中(d)或有对价的公允价值变动包括在截至6月30日止的其他运营费用财政年度中,202520242023(单位:千)按地域分类的销售额:美国和加拿大$ 2,809,447 $ 2,928,606 $ 3,443,562巴西240,071338,637355,646减公司间销售额(8,708)(7,434)(11,487)$ 3,040,810 $ 3,259,809 $ 3,787,721 June 30,2025 June 30,2024(单位:千)Assets:Specialty Technology Solutions $ 1,564,119 $ 1,499,146 Intelisys & Advisory 221,487279,886 $ 1,785,606 $ 1,779,032 Property and Equipment,net by Geography Category:United States and Can如下:截至2025年6月30日的财政年度20242023(单位:千)货币换算调整$(114,934)$(117,885)$(93,136)未实现的利率掉期公允价值损失,税后净额5102,0323,515累计其他综合损失$(114,424)$(115,853)$(89,621)综合损失中的金额的税收影响反映了如下的税收费用或收益:


 
ScanSource, Inc.和子公司的合并财务报表附注—(续)2025年6月30日截至2025年6月30日的89个财政年度20242023(单位:千)税(惠)费$(456)$(484)$ 737(18)业务收购2024年8月8日,数码扫描通过其子公司数码扫描Agency,Inc.收购了领先的技术顾问公司Resourcive的几乎所有资产。Resourcive为中型市场和企业业务提供战略性IT采购解决方案。2024年8月15日,数码扫描通过其子公司Advantix 数码扫描,LLC收购了Advantix的几乎所有资产,Advantix是一家专注于无线使能解决方案的托管连接体验提供商。这些收购的合并初始购买价格,扣除获得的现金,约为5670万美元。Advantix收购被纳入Specialty Technology Solutions部门,Resourcive收购被纳入Intelisys & Advisory部门。这两项收购均包括未来的盈利支付,公司在收购日期记录的或有对价负债代表应付卖方的估计金额的公允价值。有关就这些收购确认的或有对价负债的相关披露,见附注10-金融工具的公允价值。购买价款按其在交易日的估计公允价值分配给所收购的资产和承担的负债。收购的无形资产包括商品名称、客户关系和开发的技术。有关这些收购确认的商誉和无形资产金额,见附注7-商誉和其他可辨认无形资产。所有已确认的商誉预计可用于税收抵扣。这些收购对合并财务报表的影响并不重大。公司在截至2025年6月30日和2024年6月30日的财政年度分别确认了1.0百万美元和0.4百万美元的收购相关成本,包括在简明综合损益表的销售、一般和管理费用中。(19)业务出售于2023年12月19日,公司完成出售位于英国的intY业务。根据股票购买协议,公司收到了1760万美元的出售现金收益,扣除转移的现金。考虑出售的净资产后,此次业务出售产生了1420万美元的出售收益。此次出售对合并财务报表的影响并不重大。该公司收到了与出售相关的额外260万美元,用于在2025财年从托管中释放的现金。在截至2023年6月30日的财政年度内,公司收到了与巴西以外的拉丁美洲剥离业务的税务结算有关的170万美元的付款。出售集团的收益已在综合损益表的已终止经营业务净收益中入账。(20)重组在2024年1月和2024年9月,作为组织结构和运营战略审查的一部分,公司执行了成本削减和重组计划,以使我们的成本结构与我们业务中的需求预期保持一致。2024年1月和2024年9月采取的行动预计将在销售、一般和管理费用方面每年节省约1000万美元和1050万美元,其中大部分是在本财政年度实现的。下表列出截至2025年6月30日和2024年6月30日的财政年度发生的重组和员工离职费用:


 
ScanSource, Inc.和子公司合并财务报表附注——(续)2025年6月30日截至2025年6月30日的90个财政年度2024年(单位:千)员工离职和福利费用5,381美元截至2025年6月30日和2024年的财政年度4,358美元,所有重组费用均在公司报告单位确认,未分配给专业技术解决方案或Intelisys & Advisory部门。应计重组成本计入简明综合资产负债表的应计费用和其他流动负债。下表列出了截至2025年6月30日的财政年度的活动:截至2023年6月30日的应计费用(以千美元计)余额$ —计入费用4,358现金支付(2,729)截至2024年6月30日的余额1,629美元计入费用5,381现金支付(6,455)截至2025年6月30日的余额555美元截至2025年6月30日的剩余余额60万美元预计将在2026财政年度第三季度支付。


 
ScanSource, Inc.及附属公司合并财务报表附注——(续)2025年6月30日91项目9。与会计师在会计和财务披露方面的变化和分歧。不适用。项目9a。控制和程序。(a)对披露控制和程序的评估我们维持“披露控制和程序”(该术语在《交易法》规则13a-15(e)中定义),旨在确保我们根据《交易法》提交或提交的报告中要求我们披露的信息在证券交易委员会规则和表格规定的时间段内得到记录、处理、汇总和报告,并确保这些信息得到积累并传达给我们的管理层,包括我们的首席执行官和首席财务官(视情况而定),以便及时就所要求的披露做出决定。在设计和评估我们的披露控制和程序时,管理层认识到,披露控制和程序,无论设计和操作得多么好,都只能提供合理而不是绝对的保证,以确保披露控制和程序的目标得到满足。此外,在设计披露控制和程序时,我们的管理层必然需要在评估这些披露控制和程序的成本效益关系时运用判断。任何披露控制和程序的设计也部分基于对未来事件可能性的某些假设,不能保证任何设计将在所有潜在的未来条件下成功实现其既定目标。我们的披露控制和程序旨在提供合理的保证,即控制和程序将达到其目标。根据他们截至本年度报告所涵盖的10-K表格期末的评估,我们的首席执行官和首席财务官得出结论,截至2025年6月30日,我们的披露控制和程序是有效的,为满足披露控制和程序的目标提供了合理保证。(b)管理层关于财务报告内部控制的报告我们的管理层负责建立和维护《交易法》第13a-15(f)条所定义的财务报告内部控制。财务报告内部控制由于其固有的局限性,可能无法防止或发现所有的错报。此外,对未来期间的任何有效性评估的预测都会受到以下风险的影响:由于条件的变化,控制可能变得不充分,或者政策或程序的遵守程度可能会恶化。我们评估了截至2025年6月30日财务报告内部控制的有效性。在进行这一评估时,我们使用了Treadway委员会发起组织委员会在2013年内部控制–综合框架中提出的标准。根据其使用这些标准进行的评估,我们的管理层得出结论,我们对财务报告的内部控制在2025年6月30日是有效的。截至2025年6月30日,我们的财务报告内部控制的有效性已由独立注册会计师事务所Grant Thornton LLP审计,正如其独立注册会计师事务所关于财务报告内部控制的报告所述,该报告包含在本年度报告第10-K表格第II部分第8项的财务报表中,并以引用方式并入本文。(c)财务报告内部控制的变化在截至2025年6月30日的财政年度内,我们对财务报告的内部控制没有发生对我们的财务报告内部控制产生重大影响或合理可能产生重大影响的变化。项目9b。其他信息。在截至2025年6月30日的三个月内,我们的董事或高级职员(定义见《交易法》第16a-1(f)条)均未采纳或终止一项规则10b5-1交易安排或非规则10b5-1交易安排(这些条款定义见《证券法》第S-K条例第408项)。


 
ScanSource, Inc.和子公司合并财务报表附注——(续)2025年6月30日92项目9c。关于阻止检查的外国司法管辖区的披露。不适用。第III部分本年度报告第III部分(第10、11、12、13和14项)要求的关于表格10-K的信息已被省略,因为我们打算根据一般指示G(3)向SEC提交表格10K,不迟于我们截至2025年6月30日的财政年度结束后的120天,根据《交易法》颁布的第14A条规定,与2025年年度会议有关的最终代理声明(“第III部分提交”)。此类信息将在此类第III部分文件中列出,并通过引用并入本文。项目10。董事、执行官和公司治理。表格10-K第10项要求包含的信息将包含在我们的第III部分文件中,这些信息通过引用并入本文。项目11。高管薪酬。表格10-K第11项要求包含的信息将包含在我们的第III部分文件中,这些信息通过引用并入本文。项目12。某些受益所有人的安全所有权和管理层及相关股东事项。表格10-K第12项要求包含的信息将包含在我们的第III部分文件中,这些信息通过引用并入本文。项目13。某些关系和关联交易,以及董事独立性。10-K表第13项要求包含的信息将包含在我们的第III部分文件中,这些信息通过引用并入本文。项目14。首席会计师费用和服务。表格10-K第14项要求包含的信息将包含在我们的第III部分文件中,这些信息通过引用并入本文。


 
ScanSource, Inc.及子公司合并财务报表附注——(续)2025年6月30日93第四部分项目15。展品和财务报表附表。(a)(1)财务报表。有关本年度报告中包含的10-K表格财务报表的列表,请参阅此处包含的“财务报表索引”。(a)(2)财务报表附表。没有。(a)(3)展品。作为本年度报告的一部分以表格10-K提交的展品清单列于紧接此类展品之前的附件索引中,并通过引用并入本项目15(a)(3)。(b)展品。见附件指数。(c)单独的财务报表和附表。没有。项目16。表格10-K摘要无


 
94随此提交的附件指数数码扫描,Inc.编号说明,经修订和重述后自2021年1月1日起生效10-Q 10.35/10/20210.3高管薪酬计划和安排10.1 数码扫描,Inc. 2024董事会薪酬计划10-K 10.18/27/202410.2经修订和重述的递延薪酬计划,经修订和重述后自2021年1月1日起生效10-Q 10.35/10/20210.3高管遣散计划8-K 10.3 6/21/201710.4 数码扫描,Inc.管理层激励计划10-K 10.78/22/202310.5经修订和重述的雇佣协议,自2017年7月1日起生效,自2020年11月16日起,由Stephen Jones0-K 10.16/21/201710.6的雇佣信函发出,由TERM10-Q 10.12/2/202110.7的雇佣信函发出,日期为2021年5月6日,由TERM10-K 10.298/24/202110.8的雇佣信函发出,日期为2023年2月9日,由Shana Smith 10-K/A10.23 10/24/20210.9的雇佣信函发出,日期为2022年6月29日,由Alexandre Conde 10-K 10.118/27/202410.10的遣散计划发出,日期为12月13日,2023年为Alexandre Conde 10-K 10.128/27/202410.11 2013年长期激励计划S-8 9912/5/201310.12于2013年12月5日或之后授予的数码扫描,Inc. 2013年长期激励计划项下激励股票期权授予证明表10-Q 10.32/6/201410.13于12月5日或之后授予的TERM0,Inc. 2013年长期激励计划项下非合格股票期权授予证明表,2013年10-Q 10.42/6/201410.14 2013年长期激励计划非限制性股票期权授予证书表(2017版)8-K 10.312/8/201710.15 2013年长期激励计划非限制性股票期权授予证书表(2017版)8-K 10.412/8/201710.16 数码扫描,Inc. 2021年综合激励薪酬计划10-K 10.38/22/202310.17 2021年综合激励薪酬计划项下员工限制性股票奖励证书表格8-K 10.21/27/202210.18 2021年综合激励薪酬计划项下限制性股票奖励证书(服务型)表格8-K 10.41/27/202210.19 2021年综合激励薪酬计划项下董事限制性股票奖励证书(服务型)表格8-K 10.51/27/2022


 
95 10.20 2021年综合激励薪酬计划项下员工限制性股票奖励证书(绩效和服务型)表格8-K 10.61/27/202210.21 2021年综合激励薪酬计划项下激励股票期权奖励证书表格8-K 10.71/27/202210.22 2021年综合激励薪酬计划项下非合格股票期权奖励证书表格8-K 10.81/27/202210.23 2021年综合激励薪酬计划项下董事股票奖励证书表格8-K 10.91/27/2022银行协议10.24第三次修订和重述信贷协议8-K 10.19/29/202210.25中止权利协议,日期为2024年4月16日,至第三份经修订及重述的信贷协议10-Q10.15/7/2024其他协议10.26 + Registrant与Industrial Developments International,Inc.之间的工业租赁协议10-K10.268/29/200710.27 + Registrant与Industrial Developments International,Inc.之间的工业租赁协议第三次修订10-K10.41 8/29/201610.28工业租赁协议第四次修订10-Q10.15/9/201910.29 + Non-exclusive value added distributor agreement between 数码扫描,Inc. and 思科,Inc. 10-K 10.388/22/201910.30 + Cisco非独家增值分销商协议第3号修正案10-K 10.398/22/201910.31 + Cisco非独家增值分销商协议第5号修正案10-K 10.408/22/201910.32 + Cisco非独家增值分销商协议第6号修正案10-K 10.418/22/201910.33 + Cisco非独家增值分销商协议第7号修正案10-K 10.428/22/201910.34 Cisco非独家增值分销商协议第9号修正案10-K 10.438/22/201910.35 + Cisco非独家增值分销商协议第11号修正案10-K 10.448/22/201910.36 Cisco非独家第13号修正案增值分销商协议10-K 10.468/22/201910.37 Cisco非独家增值分销商协议第14号修正案10-K 10.478/22/201910.38 Cisco非独家增值分销商协议第17号修正案10-Q 10.25/10/202110.39非独家增值分销商协议第21号修正案10-K 10.598/22/202310.40非独家增值分销商协议第22号修正案X 10.41非独家增值分销商协议第23号修正案X 10.42 + 3月25日Cisco非独家增值分销商协议增编,2019年10-K 10.488/22/201910.43 + 2015年3月2日Cisco非独家增值分销商协议增编10-K 10.498/22/201910.44 + Cisco非独家增值分销商协议项下的附属协议10-K 10.508/22/201910.45 +与美国摩托罗拉(f/k/a Symbol Technologies, Inc.)的分销协议10-K 10.588/24/202110.46 +修订与Zebra的PartnerEmpower分销协议10-K 10.598/24/202110.47与Zebra的分销协议有关的参与协议10.518/29/2016


 
96 10.48 +修订PartnerConnect EVM分销商协议10-K 10.618/24/202110.49 + Zebra PartnerConnect分销商协议增编10-Q 10.25/9/201910.50向PartnerConnect EVM分销商协议的协议书10-K 10.558/31/202010.51 Zebra PartnerConnect EVM分销商协议增编10-K 10.648/24/202110.52 + Zebra PartnerConnect EVM分销商协议增编10-K 10.548/27/202410.53 + Zebra PartnerConnect计划协议x 19.1内幕交易政策x 21.1公司子公司x 23.1 Grant Thornton LLP的同意x 31.1首席执行官的认证x 31.2对首席财务官的认证x32.1首席执行官认证X32.2 首席财务官认证X97.1薪酬回收计划10-Q 99.11 1/9/2023101以下材料来自我们截至2025年6月30日止年度的10-K表格年度报告,格式为内联XBRL(可扩展业务报告语言):(i)截至2025年6月30日及2024年6月30日止年度的综合资产负债表,(ii)截至2025年6月30日、2024年6月30日及2023年6月30日止年度的综合损益表,(iii)截至2025年6月30日及6月30日止年度的综合股东权益报表,2024年和2023年6月30日,(iv)截至2025年6月30日、2024年6月30日和2023年6月30日止年度的合并现金流量表,以及(v)合并财务报表附注,标记为文本块。实例文档不会出现在交互式数据文件中,因为XBRL标记嵌入到内联XBRL文档中。X104封面页内联XBRL文件(包含在附件 101中)根据S-K条例第601(b)项,该附件的X +部分已被省略。我们根据《交易法》向SEC提交的文件的SEC文件编号为000-26926。


 
97个签名根据1934年《证券交易法》第13或15(d)节的要求,注册人已正式安排由以下签署人代表其签署本报告,并因此获得正式授权。ScanSource, Inc.日期:2025年8月21日by/s/Michael L. BAUR Michael L. Baur董事长兼首席执行官(首席执行官)根据1934年《证券交易法》的要求,本报告已由以下人员代表注册人并以身份和在所示日期签署如下。签名标题日期/s/Michael L. BAUR董事长兼首席执行官2025年8月21日Michael L. Baur(首席执行官)/s/Steve Jones高级执行副总裁兼Steve Jones(首席财务官)/s/BRANDY FORD高级副总裁兼首席财务官 2025年8月21日Brandy Ford(首席会计官)/s/PETER C. BROWNING首席独立董事2025年8月21日TERM0 Peter C. BROWNing Peter C. Browning/s/Frank E. EMORY,JR。董事2025年8月21日Frank E. Emory, Jr./s/CHARLES A. MATHIS董事2025年8月21日Charles A. Mathis/s/VERNON J. NAGEL董事2025年8月21日Vernon Nagel/s/DOROTHY F. RAMONEDA董事2025年8月21日Dorothy F. Ramoneda/s/JEFFREY R. RODEK董事2025年8月21日Jeffrey R. Rodek/s/ELIZABETH O. Temple董事2025年8月21日Elizabeth O. Temple