美国
证券交易委员会
华盛顿特区20549
__________________________________________
附表14a
__________________________________________
根据第14(a)条提交的代理声明
1934年证券交易法
| 由注册人提交 |
☒ |
|
| 由注册人以外的一方提交 |
☐ |
选中相应的框:
| ☒ |
初步代理声明 |
|
| ☐ |
机密,仅供委员会使用(在规则14a-6(e)(2)允许的情况下) |
|
| ☐ |
最终代理声明 |
|
| ☐ |
确定的附加材料 |
|
| ☐ |
根据规则14a-12征集材料 |
Synergy CHC公司。
(注册人的名称如其章程所指明)
_________________________________________________________________
(提交代理声明的人的姓名,如非注册人)
缴纳备案费(勾选相应方框):
| ☒ |
不需要费用。 |
|
| ☐ |
费用先前与初步材料支付。 |
|
| ☐ |
根据《交易法规则》第14a-6(i)(1)条和第0-11条,在第25(b)项要求的展品中的表格上计算的费用。 |
初步代理声明
待完成后,日期为2025年4月17日

2025年4月[ • ]
致我们的股东:
诚邀您参加将于2025年6月18日(星期三)美国东部时间上午10:00举行的内华达州公司Synergy CHC Corp.(“公司”)2025年年度股东大会(“年度会议”)。年会将是一次虚拟的股东大会,将完全通过网络直播的远程通讯方式进行。就出席年会而言,本代理声明中所有提及的“亲自出席”或“亲自出席”均指以虚拟方式出席年会。
有关年度会议的详细信息、将在年度会议上进行的业务以及您在投票表决您的股份时应考虑的有关公司的信息在本代理声明中进行了描述。
在年度会议上,我们将要求股东(i)选举五(5)人进入我们的董事会(提案1),(ii)批准任命RBSM LLP为公司截至2025年12月31日止财政年度的独立审计师(提案2),(iii)批准对《Synergy CHC公司2024年股权激励计划》(“2024年计划”)的拟议修订,以将根据2024年计划可供发行的普通股(每股面值0.00001美元)(“普通股”)的股份总数增加到2,252,102股普通股(提案3),(iv)批准对公司章程的修订,以授权发行最多1,000,000股优先股(建议4)及(v)处理在周年会议或其任何延期或休会之前可能适当进行的其他业务。
董事会建议批准每一项提案。该等其他业务将在年会召开前酌情处理。
根据证券交易委员会允许公司通过互联网向股东提供代理材料的规则,我们选择通过互联网向我们的大多数股东交付我们的代理材料。这一交割过程使我们能够为股东提供他们所需的信息,同时节约自然资源,降低交割成本。2025年4月[ • ],我们向我们的股东邮寄了一份代理材料的互联网可用性通知(“通知”),其中包含有关如何访问我们的年度会议代理声明和10-K表格的2024年年度报告的说明。该通知还提供了有关如何通过在线或电话投票的说明,并包括如何通过邮寄方式接收代理材料的纸质副本的说明。
我们希望你能参加年会。无论您是否计划参加年会,重要的是您在年会期间投票或在年会前通过代理人投票。您可以通过互联网或邮寄方式进行投票。当您阅读完代理声明后,我们敦促您按照通知和本代理声明中的说明进行投票。我们鼓励您通过代理投票,以便您的股份将在会议上获得代表和投票,无论您是否可以出席。
感谢您一直以来对公司的支持。我们期待着在年会上见到你。
| 真诚的, |
||
|
|
||
| 杰克·罗斯 |
||
| 首席执行官和 |
||
| 董事会主席 |
初步代理声明
待完成后,日期为2025年4月17日

2025年4月[ • ]
2025年年度股东大会通知
时间:美国东部时间上午10:00。
日期:2025年6月18日星期三
地点:年会将通过可在https://meeting.vstocktransfer.com/SYNERGYJUNE25上访问的网络直播以远程通讯方式举行。您可以通过网络方式出席年会,并在网络会议期间投票表决您的股份。要获准参加年会的网络直播,您必须在2025年6月17日(星期二)美国东部时间晚上11:59前注册参加虚拟会议,方法为访问https://meeting.vstocktransfer.com/SYNERGYJUNE25,输入您在代理材料互联网可用性通知(“通知”)、您的代理卡或投票指示表中显示的12位控制号码,并选择“参加会议”。您将收到一封确认邮件,其中包含有关如何参加年会的信息。会议当天,您可以通过访问https://meeting.vstocktransfer.com/SYNERGYJUNE25并输入您用于预先注册的相同的12位控制号码并如您的确认邮件所示参加年会。参加年会受到限制,一旦开始电子输入,将按照先到先得的原则接受参加会议。年度会议将于会议当天美国东部时间上午9点45分开始以电子方式进入。如果您在访问虚拟会议时遇到任何困难,请拨打将发布在虚拟会议页面上的技术支持电话。
目的:
1.选举五(5)名董事,任期一年,2026年届满(议案1);
2.批准委任RBSM LLP为公司截至2025年12月31日止财政年度的独立注册会计师事务所(建议2);
3.批准对《Synergy CHC公司2024年股权激励计划》(“2024年计划”)的拟议修订,将根据2024年计划可供发行的普通股(每股面值0.00001美元)的股份总数(“普通股”)增加到2,252,102股普通股(提案3);
4.批准修订公司章程,授权发行最多1,000,000股优先股(建议4);及
5.处理在年会上适当提出的其他事务及其任何休会或延期。
可以投票的人:
如果您是2025年4月21日美国东部时间下午5:00(“记录日期”)公司普通股的记录所有者,您可以投票。记录在案的股东名单将在2025年股东年会(“年会”)期间和年会前10天在我们位于865 Spring Street,Westbrook,Maine 04092的主要行政办公室提供。
诚邀全体股东参加年会。计划参加年会的股东必须在2025年6月17日(星期二)美国东部时间晚上11:59(“登记截止日期”)前在https://meeting.vstocktransfer.com/synergyJUNE25进行登记,如您的通知、代理卡或投票指示表中所述。作为注册过程的一部分,您必须输入您的通知、代理卡上显示的12位控制号码,或
投票指示表。在登记截止日期前完成登记后,将通过电子邮件向您发送一封确认邮件,其中包含有关如何参加年会的信息。就出席年度会议而言,本代理声明中所有提及“亲自出席”或“亲自出席”均指实际出席年度会议。
无论您是否计划参加年会,我们敦促您按照您之前收到的代理材料的互联网可用性通知中的指示进行投票,并通过互联网或邮件提交您的代理,以确保出席法定人数。在年度会议表决之前,您可以随时更改或撤销您的代理。
| 根据董事会的命令 |
||
|
|
||
| 杰克·罗斯 |
||
| 董事会主席 |
i
初步代理声明
待完成后,日期为2025年4月17日
Synergy CHC公司。
威少春街865号
缅因州04092
协同CHC公司。
2025年年度股东大会将于2025年6月18日星期三召开
本委托书连同随附的2025年年度股东大会通知,包含有关Synergy CHC 2025年年度股东大会(“年度会议”)的信息,包括年度会议的任何休会或延期。我们将于2025年6月18日(星期三)美国东部时间上午10:00举行年会,方式是通过可在https://meeting.vstocktransfer.com/SYNERGYJUNE25上访问的网络直播进行远程通信。
在这份代理声明中,我们将Synergy CHC Corp.称为“公司”、“我们”和“我们”。
这份代理声明涉及我们的董事会征集在年度会议上使用的代理。
2025年[ • ],我们向我们的股东邮寄了一份代理材料的互联网可用性通知,其中包含有关如何访问我们的年度会议代理声明和我们的10-K表格2024年年度报告的说明,其中包括我们截至2024年12月31日的财政年度的财务报表。
1
关于提供代理材料的重要通知
将于2025年6月18日星期三召开的股东大会
这份代理声明、2025年年度股东大会通知、我们的代理卡表格和我们的2024年年度报告的10-K表格致股东,可在https://ts.vstocktransfer.com/irhlogin/SYNERGYCHC上查看、打印和下载。要查看这些材料,请提供您的通知或代理卡上显示的12位数字控制号码。在这个网站上,您还可以选择以电子交付的方式接收未来向股东分发的我们的代理声明和年度报告。
此外,您可以在美国证券交易委员会(SEC)网站www.sec.gov或我们网站www.synergychc.com的“投资者”部分的“SEC文件”部分找到我们截至2024年12月31日的财政年度的10-K表格年度报告副本,其中包括我们的财务报表。您也可以通过向我们发送书面请求免费获得我们的10-K表格年度报告的打印副本,包括我们的财务报表:
协同CHC公司。
春街865号
威少,缅因州04092
展品将在提出书面要求并支付适当处理费后提供。
2
3
您的经纪人或其他代理人关于如何对您账户中的股票进行投票。还邀请您参加年会。但是,由于您不是记录在案的股东,您不得在年度会议上对您的股票进行投票,除非您要求并获得您的经纪人或其他代理人的合法代理,授权您在注册参加年度会议时对您的股票进行投票。
你不需要出席年会来投票你的股份。由有效代理人代表、在年会召开前及时收到且未在年会召开前撤销的股份,将在年会上进行表决。有关如何更改或撤销您的代理的说明,请参阅下面的“我可以更改或撤销我的代理吗?”。
我有多少票?
您拥有的每一股我们的普通股都赋予您一票的权利。
怎么投票?
无论您是否计划参加年会,我们敦促您通过代理投票。我们通过本次征集获得且未被撤销的所有由有效代理人代表的股份,将按照您在代理卡上的指示或通过互联网的指示进行投票。你可以具体说明你的股份是否应该为每一位董事提名人投票,以及你的股份是否应该为其他每一项提案投赞成票、反对票或弃权票。如果你在没有给出具体投票指示的情况下正确提交代理,你的股份将按照我们董事会的建议进行投票,如下所述。代理投票不会影响你出席年会的权利。如果您的股票通过我们的股票转让代理机构VStock Transfer LLC直接登记在您的名下,或者您名下登记有股票凭证,您可以投票:
•通过互联网。遵循通知中的说明,或者,如果您收到了打印材料,请按照代理卡中的说明进行网络投票。
•通过电话。遵循通知中的说明,或者,如果您收到了打印材料,请按照代理卡中的说明进行电话投票。
•邮寄。如果您通过邮寄方式收到代理卡,您可以按照卡上的指示填写、签名、约会并归还代理卡,通过邮寄方式进行投票。如果您签署了代理卡,但没有具体说明您希望您的股份如何投票,他们将按照我们董事会的建议进行投票,如下所述。
•在年会上。如果您以虚拟方式参加年会,您可以按照登录https://meeting.vstocktransfer.com/SYNERGYJUNE25参加年会时的说明在年会上投票。请准备好您的代理卡或通知,因为您将被提示输入您的12位控制号码,以便在年度会议上投票。年会将在会议开始前15分钟开始以电子方式进入。
面向在册股东的互联网投票设施将24小时开放,将于2025年6月17日美国东部时间晚上11:59关闭。受益持有人的电话和互联网投票设施将24小时开放,将于2025年6月17日美国东部时间晚上11:59关闭。
如果您的股票以“街道名称”持有(以银行、经纪人或其他记录持有人的名义持有),您将收到记录持有人的指示。您必须遵循记录持有人的指示,您的股份才能被投票。电话和互联网投票也将提供给通过某些银行和经纪商拥有股份的股东。如果您的股票没有登记在您自己的名下,并且您想在年会上投票您的股票,您应该联系您的经纪人或代理人,以便在您注册年会时获得授权您投票您的股票的合法代理人。
我们的董事会如何建议我对提案进行投票?
我们的董事会建议您投票如下:
•“赞成”选举各董事提名人(提案1);
•“为”批准任命RBSM LLP为我们截至2025年12月31日的财政年度的独立注册公共会计师事务所(提案2);
4
•“为”批准对2024年计划的拟议修订,将根据2024年计划可供发行的普通股股份总数增加到2,252,102股普通股(提案3);
•“为”批准建议修订我们的公司章程,以授权发行最多1,000,000股优先股(建议4)。
如果在年度会议上提出任何其他事项,您的代理人规定您的股份将由代理人中列出的代理人持有人根据他或她的最佳判断进行投票。在本代理声明首次提供时,我们不知道需要在年度会议上采取行动的任何事项,除了本代理声明中讨论的事项。
我可以更改或撤销我的代理吗?
如果你把你的代理交给我们,你可以在年会前的任何时候更改或撤销它。您可以以下列任何一种方式更改或撤销您的代理:
•如果您收到代理卡,通过签署日期晚于您先前交付的代理卡的新代理卡并按上述指示提交;
•按上述指示通过互联网重新投票;
•通过在年度会议之前以书面通知Synergy CHC公司的公司秘书您已撤销您的代理;或
•通过虚拟方式参加年会和在线投票。出席年度会议本身不会撤销先前提交的代理。您必须在年会上特别在线投票您的股票,以撤销您之前提交的代理。
你目前的投票,无论是通过电话、网络还是代理卡,都将被计算在内。
收到不止一张通知或代理卡怎么办?
如果您在多个账户中持有我们普通股的股份,您可能会收到不止一份通知或代理卡,这些账户可能是注册形式或以街道名称持有。请按上述“我如何投票?”中所述的方式为每个账户投票,以确保您的所有股份都被投票。
不投票我的股票会被投票吗?
如果你的股票登记在你名下,或者你有股票凭证,如果你不按上面“我怎么投票?”中所述投票,就不会被计算在内。如果你的股份是以街道名义持有,而你没有向上述持有你股份的银行、经纪人或其他代名人提供投票指示,则持有你股份的银行、经纪人或其他代名人有权仅就被视为“例行”的事项(例如批准任命审计师的提案(提案2))对你未投票的股份进行投票。因此,我们鼓励您向您的银行、经纪人或其他被提名人提供投票指示。这确保了您的股票将在年会上以您希望的方式进行投票。如果您的经纪人因未收到您的指示且在该事项上没有酌情投票权或由于您的经纪人选择不对其确实拥有酌情投票权的事项进行投票而无法就特定事项对您的股票进行投票,则将发生“经纪人不投票”。
5
批准每项提案需要什么票数,票数如何计算?
| 议案一:选举董事 |
获得最多票数(又称“多数票”)的董事候选人将当选。您可以投票给所有被提名人,撤回您对所有被提名人的投票,也可以撤回您对任何一位或多位被提名人的投票。被保留的选票将不计入选举董事的计票结果。经纪公司无权将公司以街道名义持有的客户未投票股份投票选举董事。因此,任何未被客户投票的股票将被视为经纪人不投票。这种经纪人不投票将不会对本次投票结果产生影响。 |
|
| 议案二:批准聘任独立注册会计师事务所 |
批准我们的独立注册会计师事务所的任命需要获得对此提案投赞成票或反对票的过半数股份的赞成票。弃权对本次投票结果没有影响。经纪公司有权对客户以街道名义持有的公司未投票的股份就此提案进行投票。如果经纪人不行使这一权力,这类经纪人不投票将不会对这一投票结果产生影响。我们选择我们的独立注册公共会计师事务所不需要获得我们的股东的批准。然而,如果我们的股东不批准任命RBSM LLP为我们的2025年独立注册会计师事务所,我们董事会的审计委员会将重新考虑其选择。 |
|
| 建议3:批准建议修订《2024年计划》,将根据《2024年计划》可供发行的普通股股份总数增加至2,252,102股普通股 |
要批准2024年计划的拟议修正案,以增加根据2024年计划可供发行的普通股股份总数,需要获得对该提案投赞成票或反对票的总票数过半数的赞成票。弃权对本次投票结果没有影响。经纪公司无权就此提案以街道名称对客户持有的公司未投票股份进行投票。因此,任何未被客户投票的股票将被视为经纪人不投票。此类经纪人不投票将不会对该提案的投票产生影响。 |
|
| 议案四:批准建议修订公司章程以授权发行最多1,000,000股优先股 |
需要获得截至记录日期已发行普通股的多数赞成票,才能批准提议批准对公司章程的拟议修订,以授权发行最多1,000,000股优先股。被拒绝投票的选票将不计入该提案的投票统计。经纪公司无权就此提案对客户以街道名称持有的公司未投票股份进行投票。因此,任何未被客户投票的股票将被视为经纪人不投票。这种经纪人不投票将不会对本次投票结果产生影响。 |
年会投票结果在哪里可以查到?
初步投票结果将在年会上公布,我们将在年会后的四个工作日内,在表格8-K的当前报告中发布初步结果,或最终结果(如果有)。如果在我们提交表格8-K时无法获得最终结果,那么我们将在表格8-K上提交一份修订后的当前报告,以便在最终投票结果公布后的四个工作日内披露最终投票结果。
征集这些代理人的费用是多少?
我们将支付征集这些代理的所有费用。我们的董事和员工可以亲自或通过电话、传真或电子邮件征集代理人。我们不会就这些服务向这些董事和员工支付任何额外补偿。我们将要求银行、经纪商和其他机构、被提名人和受托人将这些代理材料转发给他们的委托人,并获得执行代理的授权。然后我们会报销他们的费用。
6
什么构成年会的法定人数?
有权在年度会议上投票的所有选票的至少50.01%的持有人必须亲自或通过代理人出席,才能构成年度会议的法定人数。为确定是否存在法定人数,对亲自或委托代理人出席年度会议、弃权和经纪人不投票的在册股东的投票进行统计。
出席年会
年度会议将于美国东部时间2025年6月18日(星期三)上午10:00举行,仅通过可在https://meeting.vstocktransfer.com/sYNERGYJUNE25上访问的网络直播进行远程通信。
全体股东均可参加年会。对于计划参加年会的股东,您必须在2025年6月17日(星期二)美国东部时间晚上11:59之前在https://meeting.vstocktransfer.com/SYNERGYJUNE25注册(“注册截止日期”),如您的通知、代理卡或投票指示表中所述。作为登记过程的一部分,您必须输入您的通知、代理卡或投票指示表上显示的12位控制号码。在登记截止日期前完成登记后,将通过电子邮件向您发送一封确认邮件,其中包含有关如何参加年会的信息。
你不必参加年会就可以投票。
年度披露文件的保存情况
SEC关于交付年度披露文件的规则允许我们或您的经纪人向我们的两个或更多股东居住的任何家庭发送一份通知,或者,如果适用,发送一套我们的代理材料,如果我们或您的经纪人认为股东是同一家庭的成员。这种被称为“持家”的做法,对你我双方都有好处。它减少了您家中收到的重复信息量,有助于减少我们的开支。该规则适用于我们的通知、年度报告、代理声明和信息声明。一旦您收到来自您的经纪人或我们的通知,即与您的地址的通信将被“household”,这种做法将继续下去,直到您收到其他通知或直到您撤销对这种做法的同意。参与家庭控股的股东将继续获得和使用单独的代理投票指示。
如果您的家庭今年收到了一份通知或(如适用)一套代理材料,但您更希望收到您自己的副本,请联系我们的转让代理,VStock Transfer LLC,拨打他们的免费电话,1-855-987-8625。
如果您不希望参与“家庭控股”,并希望收到您自己的通知或(如适用)未来年度的一套公司代理材料,请按照以下说明进行操作。相反,如果您与另一位公司股东共享一个地址,并且双方都希望只收到一份通知,或者(如果适用)一组代理材料,请遵循以下说明:
如果贵公司股票以您个人名义登记,请联系我们的转让代理,VStock Transfer LLC,并通过致电1-855-987-8625或写信至VStock Transfer LLC,18 Lafayette Place,Woodmere,NY 11598通知他们您的请求。如有经纪人或其他代名人持有贵公司股票,请直接与该经纪人或其他代名人联系,并将您的要求告知他们。
公司股东通讯的电子传递
大多数股东可以选择通过互联网查看或接收未来代理材料的副本,而不是通过邮件接收纸质副本。
您可以选择此选项,并通过以下方式为公司节省制作和邮寄这些文件的成本:
•遵循您的通知或代理卡上提供的指示;或者
•遵循您通过互联网投票时提供的说明,网址为http://www.vstocktransfer.com/proxy。
7
下表显示截至2025年4月21日我们通过我们的转让代理和其他记录所知的普通股股份的实益所有权,由以下人员持有:(i)实益拥有当时已发行普通股5%或以上股份的每个人;(ii)我们的每位董事;(iii)我们的每位指定执行官;以及(iv)我们的所有现任董事和执行官作为一个整体。
本表中的信息反映了《交易法》第13d-3条中定义的“实益所有权”。据我们所知,除非另有说明,每个股东对该股东列为实益拥有的股份拥有唯一的投票权和投资权,但须遵守适用的社区财产法。所有权百分比基于截至2025年4月21日已发行普通股的[ • ]股。除非在下表脚注中另有说明,表格中列出的每个人都拥有唯一的投票权和投资权,该人的地址是c/o 865 Spring Street,Westbrook,Maine 04092。
| 实益拥有人名称 |
编号(1) |
百分比 |
|||
| 5%股东: |
|
||||
| Gowan Private Equity Inc.(2) |
3,679,056 |
42.3 |
% |
||
| Knight Therapeutics International S.A.(3) |
1,482,844 |
17.0 |
% |
||
| 桑德斯莫里斯有限责任公司(4) |
396,000 |
5.24 |
% |
||
|
|
|||||
| 指定的执行官和董事: |
|
||||
| 杰克·罗斯(5) |
4,711,760 |
54.1 |
% |
||
| 阿尔弗雷德·鲍梅勒(6) |
84,034 |
* |
|
||
| Jaime Fickett(7) |
84,034 |
* |
|
||
| J. Paul SoRelle(8) |
192,997 |
2.2 |
% |
||
| Nitin Kaushal |
— |
— |
|
||
| 斯科特·伍德本 |
— |
— |
|
||
| 全体执行干事和董事为一组(6人) |
5,072,825 |
56.6 |
% |
||
____________
*不到已发行普通股的1%。
(1)表中报告的受益所有权是根据《交易法》第13d-3条规则确定的,并不一定表示出于任何其他目的的受益所有权。显示为实益拥有的普通股股份数量包括可能不是实益拥有但个人将被视为对其行使控制或指示的普通股股份。显示为实益拥有的普通股股份数量包括2025年4月21日已发行并将在2025年4月21日后60天内归属的可行使股票期权的普通股股份和限制性股票单位。将在2025年4月21日后60天内归属的受可行使股票期权约束的普通股股份和限制性股票单位在计算持有此类证券的人的百分比时被视为已发行,但在计算任何其他人的百分比时不被视为已发行。
(2)该股东地址为156 Heddas Way,Fall River NS B2T 0J4,Canada。由Gowan Private Equity Inc.拥有的3,679,056股普通股组成。Jack Ross是Gowan Private Equity Inc.的首席执行官。有关Gowan Private Equity Inc.所持股份的投票或处置的决定由Ross先生作出。
(3)由1,482,844股普通股组成。这位股东的地址是3622 Saldanha da Gama,Office 311,Montevideo,Uruguay。Knight Therapeutics International S.A.所持股份的投票或处置决定由Arvind Utchanah作出。
(4)仅基于桑德斯莫里斯有限责任公司于2024年12月25日提交的附表13G。
(5)该股东地址为156 Heddas Way,Fall River NS B2T 0J4,Canada。由Jack Ross拥有的326,507股普通股、Gowan Private Equity Inc.拥有的3,679,056股普通股、Dunhill Distribution Group,Inc.拥有的269,635股普通股、Gowan Capital Inc.拥有的136,559股普通股和Rosscor Brands Corp.拥有的300,000股普通股组成。Jack Ross是Gowan Private Equity Inc.、Dunhill Distribution Group,Inc.、Gowan Capital Inc.和Rosscor Brands Corp.的首席执行官。关于Gowan Private Equity Inc.、Dunhill Distribution Group,Inc.所持股份的投票或处置决定,Gowan Capital Inc.和Rosscor Brands Corp.由罗斯先生制造。
(6)包括购买84034股普通股的期权。
(7)包括购买84034股普通股的期权。
(8)包括SoRelle Family Partnership LLLP拥有的108,963股普通股和购买SoRelle先生持有的84,034股普通股的期权。有关SoRelle Family Partnership LLLP所持股份的投票或处置的决定由其普通合伙人SoRelle先生、Carroll诉SoRelle、Carol S. Pederson和Merrie S. Foreman作出,每个普通合伙人单独对这些股份拥有投票权和决定权。
8
我们的董事会
我们的章程规定,我们的业务将由董事会管理或在董事会的指导下管理。我们的董事会是在每一次股东年会上选举产生的,任期到下一次年会为止。
我们的董事会接受了提名和公司治理委员会的建议,并投票提名以下名单在年度会议上进行选举,任期至2026年年度股东大会,并直至其各自的继任者被选出并符合资格,或直至任何董事根据章程去世、辞职或被免职。
下文载列获提名选举为董事的人士的姓名、截至2025年4月17日的年龄、其在公司的职位(如有的话)、至少过去五年的主要职业或受雇情况、其担任董事的任期长度以及该等人士在过去五年内担任或曾经担任董事职务的其他公众公司的名称。此外,有关导致我们董事会在提交本委托书时得出以下结论的具体经验、资格、属性或技能的信息如下:下文列出的每个人都应担任董事:
| 姓名 |
年龄 |
职务 |
||
| 杰克·罗斯 |
59 |
首席执行官兼董事长 |
||
| 阿尔弗雷德·鲍梅勒 |
60 |
总裁兼董事 |
||
| J·保罗·索雷尔 |
68 |
董事 |
||
| Nitin Kaushal |
59 |
董事 |
||
| 斯科特·伍德本 |
60 |
董事 |
Jack Ross自2014年10月起担任我们的首席执行官兼董事长,从2018年8月至2021年7月以及从2014年10月至2017年10月担任我们的首席财务官,并从2020年5月至2021年1月以及从2014年10月至2017年10月担任我们的总裁。Ross先生还自2014年1月起担任执行咨询公司Kenek Brands Inc.的首席执行官,并自2018年12月起担任补充剂公司BoomBod Ltd.的首席执行官。此外,Ross先生自2011年5月起担任Gowan Capital Inc.的董事长兼首席执行官。Ross先生所属的其他实体是有限运营的控股公司,Ross先生将基本上所有的时间都投入到了他在Synergy CHC的角色中。罗斯先生在多家私营和上市公司的重要领导经验导致得出的结论是,鉴于我们的业务和结构,他应该担任我们的董事会成员。
Alfred Baumeler自2021年1月起担任我们的总裁,并自2024年10月起担任我们的董事会成员。从2015年8月到2020年12月,鲍梅勒先生担任我们的销售和营销执行副总裁。2012年9月至2015年8月,Baumeler先生担任健康自然系统/Core Science Medica(CSM)/Lifeagen(一家营养补充剂公司)市场营销高级副总裁。从2012年1月至2012年8月,Baumeler先生作为营销顾问自营职业。2009年11月至2011年11月,Baumeler先生担任维生素、矿物质和补充剂制造商Natrol,Inc.的高级副总裁兼首席营销官。Baumeler先生还曾在Rexall Sundown、惠氏和诺华担任销售和营销高级职位。Baumeler先生在罗格斯大学获得工程学理学学士学位,在哥伦比亚商学院获得市场营销和金融工商管理硕士学位。Baumeler先生在消费品领域有30年的经验,其中20年是在营养补充剂行业,因此得出结论,他应该担任我们的董事会成员。
J. Paul SoRelle于2014年12月被任命为董事。1999年至2020年4月,SoRelle先生担任商业印刷公司Greeley,Inc.的Pioneer Press的总裁兼首席执行官。自2020年4月以来,SoRelle先生继续为先锋出版社提供咨询服务。在加入Pioneer Press之前,SoRelle先生于1988年11月收购了RamStar,Inc.,并担任总裁兼首席执行官,以及其他职务。RamStar,Inc.于1994年被International Thunderbird Gaming Corporation收购,SoRelle先生在该公司担任董事会成员和执行副总裁,直到1996年10月。1982年11月,SoRelle先生收购了三家便利店,扩大到八家,并于1988年出售。SoRelle先生在Greeley,Inc.的Pioneer Press的重要领导经验导致得出的结论是,鉴于我们的业务和结构,他应该担任我们的董事会成员。
9
Nitin Kaushal自2024年10月起担任本公司董事会成员。自2020年3月起,Kaushal先生担任Anik Capital Corp.总裁。他从普华永道会计师事务所(加拿大)退休,并于2012年4月至2020年2月担任公司融资业务的董事总经理。他在金融服务行业拥有超过35年的经验,曾在投资银行、风险投资和咨询公司担任高级职务,包括Desjardins Securities Inc.、Orion Securities Inc.、Vengate Capital、HSBC Securities Inc.和Gordon Capital,并在MDS Capital Corp的风险投资行业担任高级职务。Kaushal先生在VieMed Healthcare,Inc.、High Tide Inc.和Everyday People Financial Inc.的董事会任职。Kaushal先生在多伦多大学获得化学理学学士学位,并且是加拿大的特许会计师。Kaushal先生作为各董事会成员和特许会计师的经验为董事会提供了关于财务报告、治理和管理问题的额外视角,并得出结论,他应该担任我们的董事会成员。
Scott Woodburn自2024年10月起担任我们的董事会成员。自2021年4月以来,Woodburn先生担任S & W Industry Advisory Group的首席执行官,该公司是一家专门从事全球销售战略、业务发展和行政领导的商业咨询公司,与授权和娱乐行业、投资银行和私募股权公司合作。此外,他还担任全球环保服务器皿制造商FulPAC的销售执行副总裁,与顶级快餐连锁餐厅和沃尔玛等零售商合作。从1992年11月到2021年3月,Woodburn先生在可口可乐北美公司担任全国和全球销售副总裁,在那里他领导全球销售战略并管理一支跨职能团队,处理年销售额超过3亿美元的损益责任。他在北美、中南美、欧洲、亚洲、澳大利亚、新西兰拥有丰富的国际经验。Woodburn先生作为销售领导者的经验,在餐饮服务、饮料和包装消费品行业拥有超过30年的经验,以建立强大的团队、不断扩大的市场份额和优化组织能力而闻名,因此得出结论,他应该担任我们的董事会成员。
家庭关系
我们的任何董事和我们的执行官之间没有家庭关系。
董事会各委员会及会议
在截至2024年12月31日的财政年度,我们的董事会召开了1次会议。在截至2024年12月31日的财政年度内,没有任何董事出席少于其所服务的董事会和董事会委员会会议总数的75%。
下表列出了2024年我们董事会的三个常设委员会和各委员会的成员以及我们董事会和各委员会召开的会议次数:
| 董事 |
板 |
审计 |
Compensation |
提名和 |
||||
| 杰克·罗斯 |
椅子 |
|||||||
| 阿尔弗雷德·鲍姆勒 |
X |
|||||||
| J·保罗·索雷尔 |
X |
X |
X |
椅子 |
||||
| Nitin Kaushal |
X |
椅子 |
椅子 |
X |
||||
| 斯科特·伍德本 |
X |
X |
X |
X |
||||
| 2024年会议: |
1 |
1 |
— |
— |
董事会通过了一项政策,根据该政策,董事会的每个成员都尽一切努力,但不是被要求参加我们的每一次股东年会。
为协助其履行职责,董事会已向审核委员会、薪酬委员会、提名及企业管治委员会授予若干权力,因为各自的职能如下所述。
10
审计委员会
SoRelle、Kaushal和Woodburn先生担任审计委员会成员,该委员会由Kaushal先生担任主席。该委员会的主要职责是:
•审查并与管理层和我们的独立审计师讨论我们的年度和季度财务报表及相关披露,包括在“管理层对财务状况和经营成果的讨论和分析”项下的披露,以及独立审计师的审计或审查结果(视情况而定);
•审查我们的财务报告流程和对财务报告系统的内部控制,以及我们内部审计职能的总体绩效;
•监督我们的独立注册会计师事务所的审计和其他服务,并直接负责独立注册会计师事务所的任命、独立性、资格、报酬和监督,该会计师事务所直接向审计委员会报告;
•在我们的独立注册公共会计师事务所、管理层、我们的内部审计职能部门和我们的董事会之间提供公开的沟通手段;
•审查我们的管理层与独立注册公共会计师事务所之间关于我们的财务报告的任何分歧;
•准备审计委员会报告,以纳入我们年度股东大会的代理声明;
•为收到的有关我们的会计、内部会计控制和审计事项的投诉建立程序;和
•批准我们的独立注册公共会计师事务所进行的所有审计和允许的非审计服务。
我们审计委员会的所有成员均符合SEC适用规则和条例以及纳斯达克上市规则下的金融知识要求。我们的董事会已确定,Kaushal先生符合适用的SEC法规含义内的“审计委员会财务专家”的资格。在做出这一决定时,我们的董事会考虑了Kaushal先生之前在公开报告公司方面所拥有的经验的性质和范围。我们的董事会已确定,作为我们审计委员会成员的所有董事均满足SEC规则和纳斯达克上市规则中规定的在审计委员会任职的相关独立性要求。我们的独立注册会计师事务所和管理层都将定期与我们的审计委员会举行非公开会议。
审计委员会的书面章程副本可在我们的网站www.synergychc.com上公开查阅。
薪酬委员会
SoRelle、Kaushal和Woodburn先生在薪酬委员会任职,该委员会由Kaushal先生担任主席。该委员会的主要职责是:
•批准与首席执行官薪酬相关的公司目标和目标,并根据这些目标和目标评估绩效;
•确定并批准高管薪酬,包括基本工资和奖励奖励;
•就薪酬计划向委员会提出建议;和
•管理我们的股票计划。
我们的薪酬委员会确定并批准高管薪酬的所有要素。它还就非雇员董事薪酬向董事会提供建议。赔偿委员会不得将其权力转授任何其他人,小组委员会除外。
11
我们的董事会已确定,薪酬委员会的每位成员都是适用的纳斯达克规则中定义的“独立”成员。我们薪酬委员会的每位成员都是根据《交易法》颁布的规则16b-3中定义的非雇员董事,以及根据经修订的1986年《国内税收法典》第162(m)节定义的外部董事。
提名和公司治理委员会
SoRelle、Kaushal和Woodburn先生担任提名和公司治理委员会成员,该委员会由SoRelle先生担任主席。该委员会的主要职责是:
•考虑股东推荐的董事提名人,推荐董事候选人当选;
•监督董事会的评估;
•审查我们董事会的委员会结构和组成,并提出建议;和
•制定、推荐和监督我们的公司治理原则,包括我们的商业道德和行为准则。
提名和公司治理委员会的书面章程副本可在我们的网站www.synergychc.com上公开查阅。
商业道德和行为守则
我们采用了适用于我们的董事、高级管理人员和员工的书面商业道德和行为准则,包括我们的首席执行官、首席财务官、首席会计官或控制人,或履行类似职能的人员。代码的当前副本将发布在我们网站的投资者关系部分,该部分位于www.synergychc.com。如果我们对任何高级职员或董事的商业道德和行为守则作出任何实质性修订或授予任何豁免,我们将在我们的网站或表格8-K的当前报告中披露此类修订或豁免的性质。
授予某些股权奖励的政策和做法
我们有关授予股权奖励的政策和做法经过精心设计,以确保遵守适用的证券法,并维护我们的高管薪酬计划的完整性。薪酬委员会负责向高管和其他符合条件的员工授予股权的时间和条款。
股权奖励授予的时间是在考虑多种因素的情况下确定的,包括但不限于实现预先设定的业绩目标、市场情况和内部里程碑。公司在授予股权奖励方面没有遵循预先确定的时间表;相反,每笔授予都会根据具体情况进行考虑,以符合公司的战略目标,并确保我们的薪酬方案的竞争力。
在确定股权授予的时间和条款时,董事会或薪酬委员会可能会考虑重大的非公开信息,以确保此类授予符合适用的法律法规。董事会或薪酬委员会防止在授予股权奖励方面不当使用重大非公开信息的程序包括由法律顾问进行监督,并酌情将授予股权奖励的时间推迟到此类重大非公开信息公开披露之时。
公司致力于保持其高管薪酬做法的透明度,并以不受重大非公开信息披露时间影响的方式进行股权奖励,以影响高管薪酬的价值。公司定期审查与股权奖励相关的政策和做法,以确保这些政策和做法符合不断变化的公司治理标准,并继续为公司及其股东的最佳利益服务。
12
董事出席股东年会情况
鼓励但不要求董事参加我们的年度股东大会。2024年我们没有召开年度股东大会。
薪酬委员会环环相扣与内幕人士参与
薪酬委员会的任何成员均不是或曾经是公司的高级职员或雇员。公司的任何行政人员均不得担任任何其他实体的董事会或薪酬委员会的成员,而该实体有一名或多名行政人员担任董事会或我们的薪酬委员会的成员。
董事会领导Structure和在风险监督中的作用
董事会有责任制定广泛的公司政策并审查我们的整体业绩,而不是日常运营。我们董事会的首要责任是监督我们公司的管理,并在这样做的过程中为公司和我们的股东的最佳利益服务。董事会选择、评估和规定执行官员的继任,并在股东选举的情况下,规定董事的继任。它审查和批准公司目标和战略,并评估重要政策和提议的公司资源的主要承诺。我们的董事会还参与对公司产生潜在重大经济影响的决策。管理层通过定期沟通,包括在董事会和委员会会议上的书面报告和介绍,让董事随时了解公司活动。
尽管我们没有就董事长和首席执行官职位是否应该分开或合并采取正式政策,但我们传统上认为,合并这些角色符合公司及其股东的最佳利益。由于公司规模较小,我们认为目前将董事长和首席执行官职位合并最有效。
该公司目前有五名董事,包括其董事长罗斯先生,他还兼任公司首席执行官。董事长和董事会积极参与对公司日常活动的监督。
监督网络安全风险
我们面临多项风险,包括网络安全风险以及我们于2025年3月31日向SEC提交的10-K表格年度报告中标题为“风险因素”部分中描述的其他风险。我们有一名信息技术“IT”专业人员,负责监督我们的信息安全政策和程序。我们的IT部门维护网络事件报告和响应流程,并根据任何事件的严重性提供管理通知。我们的信息安全政策和程序被要求定期审查。我们认为,这种责任划分是解决我们网络安全风险的最有效方法,我们的董事会领导结构支持这种方法。
员工、高级管理人员和董事套期保值;内幕交易;10b5-1计划和质押
我们没有为我们的执行官制定正式的持股准则,因为薪酬委员会认为,我们的执行官之间的股票和期权持有提供了动力,并使这个群体的利益与我们的股东的利益保持一致。
我们的内幕交易政策禁止我们的董事会成员、高级职员、雇员和顾问从事(a)涉及我们证券期权的交易,例如看跌期权、看涨期权和其他衍生证券,无论是在交易所还是在任何其他市场,以及(b)对冲交易,例如项圈和远期销售合同。
我们已授权我们的执行官与我们指定的独立经纪交易商(“经纪商”)签订根据《交易法》第10b5-1条建立的交易计划。截至股权登记日,我司一名董事的交易计划生效。这些计划可能包括要求经纪人行使既得期权的具体指示,如果我们的股价高于指定水平或两者兼而有之,则在特定日期代表执行官或董事出售我们的普通股。根据这些计划,执行官或董事不再控制行使和出售计划中的证券的决定,除非他或她在交易窗口期间修改或终止交易计划。计划修改要到通过后的第31天才生效。这些计划的目的
13
是为了使执行官能够确认其薪酬的价值,并在由于有关我们的重要信息未公开发布而导致执行官或董事无法出售我们的普通股期间分散他们持有的我们的股票。
我们的内幕交易政策禁止我们的董事会成员、高级职员、雇员和顾问以保证金购买公司证券、借入保证金账户中持有的公司证券或将公司证券作为贷款的抵押品。但在特殊情况下,当事人希望以公司证券作为贷款(保证金贷款除外)的担保物,且能够明确证明有偿还贷款的资金能力而不求助于质押的公司证券的,可以给予例外处理。
拖欠款第16(a)款报告
《交易法》第16(a)节要求我们的高级职员、董事和任何拥有我们普通股10%以上的人向SEC提交我们普通股的所有权和交易报告,并向我们提供此类报告的副本。仅根据我们对提供给我们的此类表格副本及其修订的审查以及高级职员、董事和我们了解的拥有超过10%或我们普通股的任何其他人的书面陈述,我们发现,在2024年期间,所有第16(a)节文件都及时提交给了SEC,除了罗斯先生的一份涵盖54笔交易的表格4被延迟提交。
致我们董事会的股东通讯
一般股民如有疑问或顾虑,请通过snyr@gateway-grp.com与我们投资者关系部联系。但是,任何希望直接向董事会就我们的业务提出问题的股东或任何个人董事,应将其提出的问题以书面形式联系Synergy CHC Corp.,地址为865 Spring Street,Westbrook,Maine 04092,收件人:公司秘书或使用我们网站www.investors.synergychc.com/contact-ir的“联系方式”页面。通讯将根据通讯中概述的事实和情况分发给董事会,或酌情分发给任何个别董事或董事。与董事会职责无关的项目可以排除,如:
•垃圾邮件和群发邮件;
•简历和其他形式的职位查询;
•调查;和
•招标或广告。
此外,任何具有过度敌意、威胁或非法性质的材料都可能被排除在外,前提是任何被过滤掉的通信将应要求提供给任何外部董事。
执行干事
下表列出截至2025年4月17日有关我们执行人员的某些信息。有关我们的首席执行官Jack Ross和总裁Alfred Baumler的信息,可以在上面的“董事会”标题下找到。
| 姓名 |
年龄 |
职务 |
||
| 海梅·菲克特 |
46 |
首席财务官 |
Jaime Fickett自2024年12月起担任我们的首席财务官。此前,Fickett女士自2015年1月起担任我们的财务和运营高级副总裁。2006年8月至2015年1月,Fickett女士在Factor Nutrition Labs,LLC担任首席财务官,该公司是一家开发膳食补充剂的公司。1999年至2006年,Fickett女士受雇于公共会计部门,担任审计员。Fickett女士获得了缅因大学会计学理学学士学位。Fickett女士在南新罕布什尔大学获得会计学理学硕士学位。
14
本节介绍授予、赚取或支付给我们每一位指定执行官的薪酬的重要要素。我们的薪酬委员会将审查和批准我们的执行官的薪酬,并监督我们的高管薪酬计划和举措。
补偿汇总表
2024和2023财年薪酬汇总表
以下的2024和2023财年薪酬汇总表包含关于截至2023年12月31日我们支付给Ross先生和我们另外两名薪酬最高的执行官的2024年和2023年薪酬的信息。
| 姓名和主要职务 |
年份 |
工资 |
奖金 |
所有其他 |
合计 |
|||||||
| 杰克·罗斯 |
2024 |
1,321 |
(2) |
— |
|
1,321 |
||||||
| 首席执行官兼董事长(1) |
2023 |
500,000 |
(2) |
— |
20,000 |
(3) |
520,000 |
|||||
| 阿尔弗雷德·鲍梅勒 |
2024 |
349,993 |
|
— |
48,740 |
(4) |
398,733 |
|||||
| 总裁 |
2023 |
349,993 |
|
— |
48,977 |
(4) |
398,970 |
|||||
| 海梅·菲克特 |
2024 |
379,493 |
|
— |
13,737 |
(5) |
393,230 |
|||||
| 首席财务官(6) |
2023 |
379,493 |
|
— |
13,712 |
(5) |
393,204 |
|||||
____________
(1)Ross先生担任我们的首席执行官和董事长,不是公司的雇员。
(2)包括支付给关联方Kenek Brands Inc.的款项。
(3)包括每月2,500美元的车辆津贴,为期8个月。
(4)包括2024年和2023年分别为每月600美元的车辆津贴、7500美元的退休津贴和34040美元和34277美元的健康保险津贴。
(5)包括2024年和2023年分别为13737美元和13712美元的健康保险津贴。
(6)自2024年12月6日起,Fickett女士被任命为公司临时首席财务官。Fickett女士于2025年3月27日被任命为公司首席财务官。
咨询协议
以下讨论涉及代为赔偿安排,以及我们向Ross先生控制的实体支付的赔偿。我们和Baumeler先生或Fickett女士没有雇佣协议。
我们与Kenek Brands Inc.(“Kenek”)签订了日期为2014年4月2日的销售和营销顾问及分销协议(“咨询协议”)。Ross先生是Kenek的所有者,也是其唯一的管理人员和董事。根据咨询协议,Kenek已被保留担任我们的顾问和顾问,包括开发、扩展和管理销售、营销和分销以及协助我们的销售和规划的战略方向。作为对Kenek服务的补偿,我们每月向Kenek支付9,000美元,外加Kenek或其代理商或经纪人向我们介绍的产品的所有产品销售的2%佣金。此外,2014年4月2日,我们授予Kenek以每股2.98美元的行权价购买84,034股我们普通股的完全归属期权,这些期权已经到期。我们还同意向Kenek偿还为履行咨询协议中规定的职责而产生的所有自付费用,包括差旅、餐饮和住宿。咨询协议的初始期限为一年,并自动续签连续一年的期限,除非任何一方提前90天书面通知终止。在终止后的两年内,我们同意就Kenek或其代理商或经纪人向我们介绍的产品的所有产品销售向Kenek支付1%的佣金。有关更多信息,请参见“某些关系和关联交易”。
15
财政年度结束时的杰出股权奖
下表列出了公司每位指定执行官于2024年12月31日持有的所有未偿股权奖励,从而使2024年9月11日生效的1比11.9的反向股票分割生效。
| 姓名 |
期权奖励 |
股票奖励 |
||||||||||||||||
| 数量 |
数量 |
股权 |
期权 |
期权 |
数量 |
市场 |
股权 |
股权 |
||||||||||
| 杰克·罗斯 |
— |
— |
— |
— |
— |
— |
— |
— |
— |
|||||||||
| 阿尔弗雷德·鲍梅勒 |
84,034 |
— |
— |
7.74 |
12/14/2025 |
— |
— |
— |
— |
|||||||||
| 海梅·菲克特 |
84,034 |
— |
— |
7.74 |
12/14/2025 |
— |
— |
— |
— |
|||||||||
薪酬与绩效
根据《多德-弗兰克华尔街改革和消费者保护法》第953(a)节和S-K条例第402(v)项的要求,我们提供的信息是,根据S-K条例第402(v)项计算的实际支付给我们的首席执行官(“PEO”)和其他指定执行官(“NEO”)的高管薪酬与某些财务业绩计量之间的关系。根据SEC规则对较小报告公司的过渡性救济,只需要两年的信息,因为这是公司根据S-K条例第402(v)项进行披露的第一年。
薪酬与绩效表
| 年份 |
总结 |
Compensation |
平均 |
平均 |
价值 |
净收入 |
||||||||||||
| (a) |
(b) |
(c) |
(d) |
(e) |
(f) |
(g) |
||||||||||||
| 2024 |
$ |
1,321 |
$ |
1,321 |
$ |
328,293 |
$ |
328,293 |
$ |
0 |
$ |
2,124,976 |
||||||
| 2023 |
$ |
520,000 |
$ |
520,000 |
$ |
396,087 |
$ |
396,087 |
$ |
0 |
$ |
6,338,750 |
||||||
____________
(1)(b)栏中报告的金额是为Jack Ross报告的2024年和2023年的总补偿金额。
(2)金额代表实际支付给我们PEO的补偿以及根据SEC规则(并在下文中描述)确定的相关财政年度实际支付给我们剩余NEO的平均补偿。
(3)(d)栏中报告的金额代表SCT“总计”栏中每个适用年度为我们的非PEO NEO整体报告的金额的平均值。2024年的非PEO NEO为阿尔弗雷德·鲍梅勒、海梅·菲克特和斯泰西·比伯,2023年的非PEO为阿尔弗雷德·鲍梅勒和海梅·菲克特。
16
根据S-K条例第402(v)项的要求,为得出实际支付给我们的PEO和非PEO NEO的补偿所做的调整载于下表:
| PEO |
非PEO近地天体 |
|||||||||||
| 2024 |
2023 |
2024 |
2023 |
|||||||||
| 赔偿总额 |
$ |
1,321 |
$ |
520,000 |
$ |
328,293 |
$ |
396,087 |
||||
| 股权调整: |
|
|
|
|
||||||||
| 减CY RS的FV |
|
— |
|
— |
|
— |
|
— |
||||
| CY期权减FV |
|
— |
|
— |
|
— |
|
— |
||||
| 添加未归属RS的YE FV |
|
— |
|
— |
|
— |
|
— |
||||
| 加入未归属期权的YE FV |
|
— |
|
— |
|
— |
|
— |
||||
| PY未归属RS的FV变动 |
|
— |
|
— |
|
— |
|
— |
||||
| PY未归属期权的FV变化 |
|
— |
|
— |
|
— |
|
— |
||||
| 新增CY既得RS |
|
— |
|
— |
|
— |
|
— |
||||
| 新增CY既得期权 |
|
— |
|
— |
|
— |
|
— |
||||
| 添加PY Vested RS |
|
— |
|
— |
|
— |
|
— |
||||
| 添加PY既得期权 |
|
— |
|
— |
|
— |
|
— |
||||
| 实际补偿 |
$ |
1,321 |
$ |
520,000 |
$ |
328,293 |
$ |
396,087 |
||||
实际支付的薪酬与选定绩效指标的关系说明
我们的PEO和NEO的薪酬包括工资、非股权激励以及股票和期权奖励。我们实施的股权激励计划旨在通过将我们的执行官的利益与公司作为我们业务的“所有者”的成功挂钩来建立股东价值,并推动在有效和高效使用可用现金方面保持一致。根据SEC规则对较小报告公司的过渡性救济,只需要两年的信息,因为这是公司根据S-K条例第402(v)项进行披露的第一年。
已实际支付补偿及累计股东总回报
根据S-K条例第402(v)项的要求计算,实际支付给我们PEO的补偿在2024年和2023年分别为1,321美元和520,000美元。根据S-K条例第402(v)项计算,2024年和2023年实际向近地天体整体支付的平均补偿金额分别为328293美元和396087美元。假设初始固定投资100美元并按照S-K条例第402(v)项的要求计算,该公司的TSR在2023-2024年和2022-2023年分别为0美元或(0%)和0美元或0%。公司TSR的计算方法是将公司在计量期结束时和开始时的股价之差除以公司在计量期开始时的股价。
实际支付的赔偿金和净收入
根据S-K条例第402(v)项的要求计算,实际支付给我们PEO的补偿在2024年和2023年分别为1,321美元和520,000美元。根据S-K条例第402(v)项计算的实际支付给近地天体的平均赔偿额,2024年和2023年分别为328293美元和396087美元。根据S-K条例第402(v)项计算并反映在公司适用财政年度经审计财务报表中的公司2024年和2023年的净收入分别为210万美元和630万美元。
2024财年董事薪酬
截至2024年12月31日止年度,我们指定的执行官兼董事罗斯先生没有因担任董事而获得任何报酬。支付给Ross先生的所有补偿在上文“— 2024财年和2023财年薪酬汇总表”中列出。截至2024年12月31日的财政年度,未向我们的非雇员董事支付任何补偿。
17
董事薪酬
2024年12月5日,我们的董事会批准了一项非执行董事薪酬政策(“董事薪酬政策”)。根据董事薪酬政策,我们向非雇员董事支付现金保留金,用于在我们的董事会任职以及在董事为其成员的每个委员会任职。每个委员会的主席都会因这类服务而获得更高的聘用金。这些费用将在每个日历季度的最后一天分四个相等的季度分期支付,前提是此类支付的金额将按比例分配给该季度的任何部分,即董事不在我们的董事会任职,并且无需就业务合并完成之前的任何期间支付任何费用。
下表描述了我们当前的非雇员董事薪酬计划,该计划包括在每个日历季度的最后一天分四个等额季度分期支付的年度现金保留金:
| 任期 |
Compensation |
|||
| 年度董事会现金保留人 |
$ |
25,000 |
|
|
| 委员会主席的额外保留人 |
|
|
||
| •审计 |
$ |
50,000 |
|
|
| •赔偿 |
$ |
— |
|
|
| •提名和公司治理 |
$ |
— |
|
|
| 委员会成员的额外保留人 |
|
|
||
| •审计 |
$ |
— |
|
|
| •赔偿 |
$ |
— |
|
|
| •提名和公司治理 |
$ |
— |
|
|
| 年度股权奖励(非雇员董事) |
$ |
25,000 |
(1) |
|
| 委员会主席的额外股权奖励 |
|
|
||
| •审计 |
$ |
100,000 |
(1) |
|
| •赔偿 |
$ |
— |
|
|
| •提名和公司治理 |
$ |
— |
|
|
____________
(1)根据2024年计划以RSU形式作出的奖励。
我们向非雇员董事偿还因出席我们的董事会和他们所服务的董事会任何委员会的会议以及与董事会相关的其他业务而产生的合理差旅和其他费用。我们还根据我们的差旅政策,向非雇员董事偿还董事会或董事会委员会授权的与出席与我们管理层的各种会议或会议有关的合理差旅和其他费用。
追回政策
我们采用了高管激励薪酬回拨政策,该政策可能适用于重大财务重述的情况。这项政策取代了先前的高管雇佣或薪酬协议中规定的条款。具体地说,在发生会计重述时,我们必须合理及时地以根据保单确定的金额追回错误判给的赔偿。根据保单可能可收回的补偿包括现金或基于股权的补偿,其授予、付款或归属(或其任何部分)是或曾经基于实现受重大财务重述影响的特定财务结果,而可能受回拨政策影响的补偿金额是已支付或授予的金额与本应支付或授予的金额之间的差额,如果根据更新的财务数据计算。根据有关执行干事的政策进行追回将不需要发现该执行干事的任何不当行为或发现该执行干事对导致会计重述的会计错误负有责任。我们的回拨政策作为截至2024年12月31日的财政年度公司10-K表格年度报告的附件提交。
18
股权补偿方案信息
经董事会审议通过,公司于2024年6月26日通过了2024年股权激励计划(“2024计划”)。董事会授权最多1,304,622股普通股作为可供发行的最大股份数量,其中不包括与收购相关的股份。2024年计划取代了此前通过的2014年激励计划(“2014年计划”),该计划的授权股份总数为15,525,000股。然而,根据2014年计划发行在外的剩余股份仍将受该计划管辖。截至2024年12月31日,根据2014年计划授予的股票期权没有剩余未行使。任何尚未归属或行使的2014年计划到期或终止的股份将可根据2024年计划发行。截至2024年12月31日,根据2024年计划,有252,102份股票期权尚未行使。
下表反映了根据这些补偿计划,我们被授权发行期权和限制性股票单位,包括根据计划发行的未行使期权和权利可发行的股份数量以及截至2024年12月31日根据计划可供发行的剩余股份数量。
| (a) |
(b) |
(c) |
|||||
| 计划类别 |
数量 |
加权-平均 |
证券数量 |
||||
| 2014年计划 |
|
||||||
| 股权补偿方案获股东批准(二) |
— |
$ |
— |
— |
|||
| 股权补偿方案未获股东通过 |
— |
|
— |
— |
|||
|
|
|||||||
| 2024年计划 |
|
||||||
| 股权补偿方案获股东批准(三) |
252,102 |
$ |
6.15 |
1,052,520 |
|||
| 股权补偿方案未获股东通过 |
— |
|
— |
— |
|||
| 合计 |
252,102 |
$ |
6.15 |
1,052,520 |
|||
____________
(1)加权平均行权价格计算未考虑任何限制性股票单位或业绩股。
(2)公司2014年股票激励计划于2015年7月获得股东批准。
(三)公司2024年股票激励计划于2024年6月获得股东批准。
19
审计委员会已审查并与管理层讨论了我们经审计的合并财务报表和年度报告中第9A项中的“管理层关于财务报告内部控制的报告”。
审计委员会还与RBSM讨论了上市公司会计监督委员会(“PCAOB”)和SEC的适用要求要求讨论的事项。审计委员会收到了PCAOB适用要求要求的RBSM关于RBSM与审计委员会就独立性进行沟通的书面披露和信函,并已与RBSM讨论了其独立性。
基于上述审查和讨论,审计委员会建议董事会将经审计的合并财务报表纳入年度报告以向SEC备案。我们已选择RBSM作为我们截至2024年12月31日止年度的独立注册公共会计师事务所,并已批准将独立注册公共会计师事务所的选择提交股东批准。
| Synergy CHC公司审计委员会成员 |
| Nitin Kaushal(主席) |
| J·保罗·索雷尔 |
| 斯科特·伍德本 |
本审计委员会报告中的材料不应被视为“征集材料”或“向SEC提交”。本审计委员会报告不应被视为通过引用并入我们根据《交易法》或经修订的1933年《证券法》提交的任何其他文件中,除非我们特别通过引用将其并入此类文件中。
20
21
额外的一年期限,除非任何一方至少在当前期限结束前180天发出不续约通知。截至2023年12月31日止年度,公司支出为25,000加元(合18,531美元)。截至2023年12月31日,未偿余额总额为160,637加元。以美元计,截至2023年12月31日,未偿余额总额为121,458美元。本协议已终止,未偿还的分销费已加入关联方应付票据。
2016年2月15日,Nomad Choice Pty Ltd与Knight Therapeutics,Inc.就Flat Tummy在加拿大的分销权及与Knight Therapeutics International S.A.(前身为Knight Therapeutics(Barbados)Inc.)就Flat Tummy在以色列、罗马尼亚、俄罗斯和撒哈拉以南非洲的分销权订立协议。结合这些协议,对于在加拿大的销售,我们需要向Knight Therapeutics支付相当于总销售额60%的分销费。对于在以色列、罗马尼亚、俄罗斯和撒哈拉以南非洲的销售,我们需要向Knight Therapeutics International S.A.支付相当于总销售额60%的分销费。在2021年2月15日及之后,这些协议自动续签额外的一年期限,除非任何一方至少在当前期限结束前180天发出不续签通知。截至2024年12月31日和2023年12月31日止年度,我们分别根据与Flat Tummy相关的协议支出了51,428美元和82,810美元的特许权使用费。截至2024年12月31日和2023年12月31日,我们分别欠与特许权使用费分配协议有关的2753美元和19324美元。
在截至2024年12月31日和2023年12月31日的年度内,我们与BoomBod Ltd.(由我们的首席执行官Jack Ross间接拥有100%的关联方)进行了交易。我们代BoomBod支付了库存和营销费用,并向BoomBod收取了相同的报销费用。截至2024年12月31日和2023年12月31日,我们分别被拖欠4,375,059美元和4,459,996美元。根据BoomBod的无息本票,BoomBod有义务在2024年12月31日之前向我们偿还未偿还的4424547美元。这笔贷款的还款日期为2025年12月31日,如果截至2026年1月1日贷款仍未偿还,将由1,500,000股公司股票提供担保。
我们与Gowan Properties Inc.订立交易,Gowan Properties Inc.是由我们的首席执行官Jack Ross间接拥有100%的关联方。这些交易涉及我们福尔里弗办公室每月25,000加元的租金支出。截至2024年12月31日及2023年12月31日止年度,关联方豁免开支。
于2023年10月1日(生效日期),我们与Knight订立分销协议的第二次修订,初步期限截至2026年2月25日,自动续期一年,由我们于生效日期起计180天内支付450,000美元。我们已将这笔应付款项记录在与无形资产许可费相关的应付给Knight的票据中。2024年6月30日和2023年12月31日的未偿余额均为45万美元。于2024年6月30日,本分配协议根据第六次修订合并为一笔贷款。
审查、批准或批准与关连人士的交易
根据我们审计委员会的书面章程,审计委员会负责审查和批准所有交易,其中(i)我们是参与者和(ii)与我们相关的任何一方,包括我们的执行官、我们的董事、我们证券5%以上的实益拥有人、上述人员的直系亲属以及我们的董事会根据S-K条例第404项确定可能被视为关联方的任何其他人,拥有或将拥有直接或间接的重大利益。本节所述的所有交易均发生在审计委员会章程通过之前。
22
23
审计委员会已任命RBSM LLP(“RBSM”)为我们的独立注册会计师事务所,以审计我们截至2025年12月31日的财政年度的财务报表。董事会提议股东批准这一任命。RBSM审计了我们截至2024年12月31日的财政年度的财务报表。我们希望,RBSM的代表将出席年度会议,如果他们愿意,将能够发言,并能够回答适当的问题。
在决定任命RBSM时,审计委员会审查了审计师独立性问题以及与RBSM现有的商业关系,并得出结论,RBSM与公司不存在会损害其截至2025年12月31日的财政年度独立性的商业关系。
RBSM自2014年以来一直对我们的财务报表进行审计。
独立注册会计师事务所服务及费用
下表列出了我们的独立注册公共会计RBSM在截至2024年12月31日和2023年12月31日止年度向我们收取的费用,用于(i)为审计我们的年度财务报表和审查我们的季度财务报表提供的服务,(ii)提供的与审计或审查我们的财务报表的执行情况合理相关但未作为审计费用报告的服务,以及(iii)提供的与税务准备、合规、建议和协助有关的服务。
| 2024 |
2023 |
|||||
| 审计费用 |
$ |
145,000 |
$ |
190,000 |
||
| 审计相关费用 |
|
140,000 |
|
0 |
||
| 税费 |
|
15,000 |
|
20,000 |
||
| 其他费用 |
|
0 |
|
0 |
||
| 总费用 |
$ |
300,000 |
$ |
210,000 |
||
关于审计委员会预先批准独立注册会计师事务所的审计和允许的非审计服务的政策
我们的政策是预先批准由独立注册会计师事务所执行的所有审计和允许的非审计服务。这些服务可能包括审计服务、审计相关服务、税务服务和其他服务,具体如下:
•审计服务包括在编制财务报表过程中进行的审计工作,以及通常只能合理预期独立审计师才能提供的工作,包括安慰函、法定审计以及关于财务会计和/或报告标准的证明服务和咨询。
•与审计相关的服务是传统上由独立审计师执行的保证和相关服务,包括与并购相关的尽职调查、员工福利计划审计以及满足某些监管要求所需的特别程序。
•税务服务包括独立审计师的税务人员提供的所有服务,但与财务报表审计特别相关的服务除外,并包括税务合规、税务规划和税务建议领域的费用。
•其他费用是与未在其他类别中获取的服务相关的费用。公司一般不会要求独立核数师提供此类服务。
我们获得所有审计和税务服务的聘书。董事会预先批准独立注册会计师事务所提供的服务。这些服务可能包括审计服务、审计相关服务、税务服务和其他服务。
24
如果股东不批准任命RBSM为我们的独立注册会计师事务所,审计委员会将重新考虑其任命。
需要投票
批准独立注册会计师事务所聘任需获得投赞成票或反对票过半数的赞成票。
董事会的建议
董事会根据审计委员会的建议,建议投票“赞成”批准任命RBSM LLP为公司截至2025年12月31日止财政年度的独立注册会计师事务所。除非股东在其代理上另有说明,否则董事会征集的代理将被投票“支持”此类批准。
25
提案3 —修订2024年计划,增加数
根据2024年计划获授权发行的普通股股份
在年会上,股东将被要求批准对我们的2024年股权激励计划(“2024年计划”)的修订,该修订已于2024年7月25日由董事会批准,并在我们的股东在年会上批准后生效。如果这一提议获得批准,根据2024年计划可用于授予奖励的股份数量将增加到2,252,102股普通股。经修订的2024年计划的副本作为附录A附于本文件中,并以引用方式并入本代理声明。
截至2025年4月21日,根据2024年计划,共有1,220,588股普通股可供发行。
2024年计划于2024年通过并获得我们董事会和股东的批准。根据其条款,2024年计划可由董事会修订,但董事会确定需要股东批准的任何修订须获得此类股东批准。我们的股东的批准是符合纳斯达克上市规则的要求的。此外,还需要股东批准,以确保(i)根据经修订的1986年《国内税收法》(“法典”)第422条授予激励股票期权的联邦所得税待遇优惠,以及(ii)通过遵守《法典》第162(m)条,继续有资格获得根据我们的计划支付的某些补偿的联邦所得税减免。
一般来说,根据2024年激励计划预留用于奖励的普通股股份失效或被取消,将被加回可用于未来奖励的股份储备。然而,为支付奖励而投标的普通股股份或为缴税而预扣的普通股股份将无法再次获得授予。
我们的董事会、薪酬委员会和管理层都认为,有效利用基于股票的长期激励薪酬对我们未来实现强劲业绩的能力至关重要。2024年计划将保持和加强我们的管理层和董事会为使员工和股东利益一致而采取的关键政策和做法。此外,我们未来的成功在很大程度上取决于我们在吸引、留住和激励关键人员方面保持竞争地位的能力。我们认为,根据我们的2024年计划,可供发行的股票数量的增加对于允许我们的管理层继续向现在和未来的关键员工、顾问和董事提供长期的、基于股权的激励至关重要。因此,我们的董事会认为,批准增加根据2024年计划可供发行的股份总数的修正案符合我们及其股东的最佳利益,并建议投票“支持”批准对2024年计划的修正案。
2024年计划的重要条款概述如下。这份2024年计划的摘要并不是要完整地描述2024年计划。本摘要全文以所提及的2024年计划的实际文本为准。我们的2024年年度报告10-K表中附有一份2024年计划副本,作为附件 10.5。
2024年计划的重要条款
2024年计划于2024年6月26日(“计划生效日期”)获得董事会和股东通过,并于2024年7月25日获得董事会和股东的修订。
本节总结了2024年计划的某些主要特征,这些特征可能会发生变化。摘要全文通过参考2024年计划全文加以限定。
奖项
2024年计划允许公司对高级职员、员工、董事、顾问和顾问进行股权和基于股权的激励奖励。董事会预计,向这些人提供公司的直接股份将确保这些人的利益与公司及其股东的利益更加一致,从而促进他们代表公司所做的努力,并加强他们留在公司的愿望。
26
2024年计划规定授予不符合条件的股票期权、激励股票期权、股票增值权、限制性股票、限制性股票单位或业绩补偿奖励。尚未确定将根据2024年计划授予某些个人的奖励类型或金额。所有奖励将在一份奖励协议中列出,该协议将详细说明奖励的所有条款和条件,包括任何适用的归属和付款条款以及终止后行使限制。
以下是每个奖励类型的简要说明。
•非合格股票期权或“NQSO”是指根据不打算成为或不符合激励股票期权的条款和条件购买股票的权利;
•激励股票期权或“ISO”是指根据条款和条件购买股票的权利,这些条款和条件旨在符合经修订的1986年美国国内税收法典第422条含义内的激励股权期权,并满足适用的要求;
•股票增值权或“SAR”是指一种权利,被指定为SAR,以股票的公允市场价值获得增值;
•限制性股票指根据归属条件授予的股份;
•限制性股票单位或“RSU”是指在归属时获得股份或现金的权利;以及
•业绩补偿奖励是指授予参与者的奖励,使参与者有权在实现业绩目标时交付股份。
公司已初步预留100万股三百四千六百二十二(1,304,622)股普通股,用于根据2024年计划发行奖励(“初始限额”)。初始限额可能会在公司发生重组、资本重组、重新分类、股票分割、股票分红、反向股票分割或其他类似资本变动时进行调整。2024年计划激励股票期权行权时可发行的普通股股票的最大总量不超过调整后的初始限额。2024年计划下任何奖励的相关股份,如在行使期权或结算奖励时被没收、注销、保留以支付行权价或预扣税款、在未发行股票或以其他方式终止(行使除外)的情况下得到满足,将被加回2024年计划下可供发行的股份,并在《守则》第422条及其下颁布的法规允许的范围内,可作为激励股票期权发行的股份。
2024年计划将由董事会的薪酬委员会、董事会或其他类似委员会根据2024年计划的条款进行管理。计划管理人最初将是董事会的薪酬委员会,将有充分权力从有资格获得奖励的个人中选择将获得奖励的个人,对参与者进行任意组合奖励,并确定每项奖励的具体条款和条件,但须遵守2024年计划的规定。计划管理人可向由公司一名或多名高级管理人员(包括首席执行官)组成的委员会授予授予不受《交易法》第16条的报告和其他规定约束且不是被授予委员会成员的个人作出奖励的权力,但须遵守某些限制和准则。
有资格参与2024年计划的人士将是由计划管理人酌情不时选定的公司及其附属公司的高级职员、雇员、非雇员董事、顾问及顾问。约有25名个人有资格参加2024年计划,其中包括约4名高级职员、21名非高级职员雇员、3名非雇员董事和4名顾问/独立承包商。
2024年计划允许授予两种购买普通股的期权,旨在符合《守则》第422条规定的激励股票期权的资格,以及不符合这一资格的期权。根据2024年计划授予的期权,若不符合激励股票期权条件或超过激励股票期权年度上限,则为不符合条件的期权。激励股票期权仅可授予公司及子公司员工。根据2024年计划,可向任何有资格获得奖励的人授予不合格期权。每份期权的期权行权价格将由计划管理人确定,但一般不得低于授予日普通股公允市场价值的100%,如为激励股票期权授予百分之十的股东,则不得低于该份额公允市场价值的110%。每份期权的期限将由计划管理人确定,自授予之日起不得超过十年。计划管理人将确定每种选择权可在什么时间或时间行使,包括加速此类选择权归属的能力。
27
在行使期权时,期权行权价必须以现金、经证明的或银行支票或计划管理人可接受的其他工具或通过交付(或证明所有权)由期权持有人无限制实益拥有或在公开市场购买的普通股的方式全额支付。在符合适用法律的情况下,行使价也可以由经纪人根据期权持有人向经纪人发出的不可撤销的指示交付。此外,计划管理人可允许使用“净行权”安排行使非合格期权,该安排将向期权持有人发行的股份数量减少不超过总行权价的最大公允市场价值整数的股份数量。
计划管理人可以根据其可能确定的条件和限制授予股票增值权。股票增值权使接受者有权获得普通股或现金,相当于公司股票价格相对于行权价的增值价值。行权价格一般不得低于授予日普通股公允市场价值的100%。每份股票增值权的期限由计划管理人确定,自授予之日起不得超过十年。计划管理人将确定每份股票增值权可以在什么时间或几次行使,包括加速此类股票增值权归属的能力。
计划管理人可根据其可能确定的条件和限制,向参与者授予普通股和限制性股票单位的限制性股票。这些条件和限制可能包括实现某些绩效目标和/或通过特定归属期继续受雇于公司。计划管理人还可授予不受2024年计划任何限制的普通股股份。可向参与者授予非限制性股票,以表彰过去的服务或其他有效对价,并可发行非限制性股票以代替该参与者应得的现金补偿。计划管理人可以向参与者授予股息等值权利,使接受者有权获得如果接受者持有特定数量的普通股将支付的股息贷记。
计划管理人可根据2024年计划向参与者授予基于现金的奖励,但须满足某些绩效目标,包括继续受雇于公司。2024年计划要求计划管理人对受2024年计划约束的普通股股份数量、2024年计划中的某些限制以及任何未偿奖励进行适当调整,以反映股票股息、股票分割、特别现金股息和类似事件。
除根据2024年计划发行的股票奖励协议中规定的情况外,如果发生(i)公司全部或几乎全部资产的转移,(ii)公司与另一公司、实体或个人的合并、合并或其他资本重组或业务合并交易,或(iii)完成交易或一系列相关交易,其中任何人直接或间接成为公司当时流通股本50%以上的实益拥有人,每笔已发行股票奖励(已归属或未归属)将按计划管理人的决定处理,这可能包括(a)公司继续进行该等未偿还的股票奖励(如果公司是存续的公司);(b)由存续的公司或其母公司承担该等未偿还的股票奖励;(c)由存续的公司或其母公司取代新的股票期权或其他股权奖励以换取该等股票奖励;(d)作为交换取消该等股票奖励就向参与者支付的款项,相等于(1)截至该公司交易结束日受该等股票奖励规限的股份的公平市场价值超过(2)就受该等股票奖励规限的股份已支付或将支付(如有的话)的行使价格或购买价格(该等付款可能受限于适用于将就该交易向股份持有人支付的对价的相同条件,(e)参与者在公司交易发生前行使股票期权的机会,以及在该公司交易完成时终止(不计代价)在此之前未行使的任何股票期权。
2024年计划规定,股票奖励可能会在“控制权变更”(定义见2024年计划)时或之后受到额外加速归属和可行使性的约束,这可能在有关股票奖励的授予协议中规定,或在公司或任何关联公司与参与者之间的任何其他书面协议中规定,但在没有此类规定的情况下,不会发生此类加速。
2024年计划的参与者负责支付公司或其子公司在行使期权或股票增值权或归属其他奖励时根据法律要求代扣代缴的任何联邦、州或地方税款。计划管理人可促使适用实体全部或部分履行公司或其子公司的任何预扣税款义务,该实体根据授予股票的总公允市场价值将满足到期预扣金额而从将发行的普通股股份中预扣税款。计划
28
管理人还可以要求公司或其子公司的任何预扣税款义务通过一项安排全部或部分履行,据此,根据任何奖励发行的一定数量的股份立即被出售,并且此类出售的收益被汇给公司或其子公司,其金额将满足应付的预扣税款。
2024年计划一般不允许转让或转让奖励,除非通过遗嘱或通过血统和分配法律或根据家庭关系令;但是,计划管理人可以允许通过赠与的方式将不合格的股票期权转让给直系亲属、为家庭成员的利益而转让给信托,或转让给这些家庭成员是唯一合伙人的合伙企业。
计划管理人可以修订或终止2024年计划,计划管理人可以为满足法律变更或任何其他合法目的而修订或取消未偿奖励,但未经持有人同意,此类行动不得对奖励下的权利产生重大不利影响。对2024年计划的某些修订将需要公司股东的批准。一般而言,未经股东批准,(i)2024年计划的任何修订或修改不得降低任何股票期权的行权价格或任何股票增值权的行使价,(ii)计划管理人不得注销任何已发行的股票期权或股票增值权,如果该股票期权或股票增值权所依据的普通股的公允市场价值低于其行权价格,并以新的期权或股票增值权取而代之,另一项奖励或现金以及(iii)计划管理人不得采取任何其他根据适用证券交易所的股东批准规则被视为“重新定价”的行动。
根据2024年计划授予的所有股票奖励将根据公司证券上市的任何国家证券交易所或协会的上市标准或美国《多德-弗兰克华尔街改革和消费者保护法》或其他适用法律的其他要求,根据公司被要求采取的任何追回政策进行补偿。此外,董事会可在股票授予协议中规定董事会认为必要或适当的其他追回、追偿或补偿条款。根据与公司的任何协议,不会根据此类回拨政策追回补偿将是一个导致有权以“正当理由”或“建设性终止”(或类似条款)辞职的事件。
自该计划生效之日起十年后,不得根据2024年计划授予任何奖励。
所需投票
需要在年度会议上获得赞成或反对的多数票的赞成票,才能批准对2024年计划的修订,将根据2024年计划授权发行的普通股数量增加到2,252,102股普通股。
董事会的建议
董事会建议批准2024年计划的修订,将根据该计划可供授予奖励的股份数目增加至2,252,102股普通股。除非股东在代理上另有表示,董事会征集的代理将对修正案投赞成票。
29
提案4 —批准对公司章程条款的修订,以提供发行1,000,000股优先股的授权
目前,我们的公司章程授权发行最多300,000,000股普通股,不授权发行优先股。我们的董事会一致通过了一项修订公司章程的决议,但须经股东批准,授权发行最多1,000,000股优先股,每股面值0.00001美元。新的法定资本结构将具有将总股本授权增加至301,000,000股本的效果,同时允许发行优先股。在记录日期,我们有[ • ]股已发行和流通的普通股,董事会目前没有承诺或计划发行优先股,但认为优先股获得授权和可用符合公司及其股东的最佳利益,并正在利用本次年度会议获得批准这样做。
拟获授权的优先股(“优先股”),将具有指定、优先和相对、参与、可选或其他特殊权利和资格、限制或限制,这些权利和资格、限制或限制应在董事会不时通过的决议中表达,规定发行此类股票。因此,优先股将可以发行,而无需公司股东采取进一步行动,除非适用法律可能要求,或根据我们的证券当时交易或报价所依据的交易所或报价系统的要求。
董事会修订公司章程以授权优先股的主要目标是在未来融资交易方面提供最大的灵活性。优先股通常由上市公司授权,并经常被用作优先筹集资金的手段。在某些情况下,公司被要求利用证券高级班来筹集资金,这些证券的条款正在协商和量身定制,以满足投资者和发行公司的需求。这类优先证券通常包括清算和股息优先权、保护、转换特权和普通股中没有的其他权利。
我们目前缺乏发行优先股的权限。因此,如果没有这项修订,我们将继续限于发行普通股或债务证券以筹集资本。通过授权优先股,我们将增加筹集资金的灵活性。如果公司章程被修订以授权发行优先股,董事会将有酌情权建立系列优先股以及如此建立的每个系列的权利和特权。如果发生任何此类发行,我们普通股的持有者将没有输入或权利批准任何此类系列的条款。一般来说,发行优先股的授权将使公司能够迅速响应并利用市场条件,而不会产生与召集特别股东大会批准预期的股票发行相关的延迟和费用。董事会认为,这一授权也将有助于降低成本,因为董事会将不必寻求股东批准发行优先股的股份,除非根据我们所遵守的任何报价板或证券交易所的规则另有要求获得此类批准。
潜在反收购效应
修改公司章程以授权优先股的提议可能会对第三方接管或改变公司控制权的能力产生不利影响,例如,允许发行将稀释寻求改变我们董事会组成的人的股票所有权,或考虑为公司与另一家公司的合并进行要约收购或其他交易。
我们的董事会根据我们的董事会在行使其商业判断时可能不时确定的条款和条件,建立公司的权利并促使公司在无需股东批准的情况下发行大量优先股的能力,可能(其中包括)被用来制造与公司控制权变更有关的投票障碍或稀释寻求获得公司控制权的普通股持有人的股票所有权。普通股持有人的权利将受制于未来可能发行的任何优先股,并可能受到不利影响。发行优先股,虽然在可能的融资方面提供了理想的灵活性,但可能会产生阻止、延迟或阻止公司控制权变更的效果。我们目前没有发行任何优先股股票的计划。
30
所需投票
需要在年度会议上获得截至记录日期已发行普通股的多数股份的赞成票,才能批准批准修订公司章程以授权发行最多1,000,000股优先股的提案。
董事会的建议
董事会建议股东投票“赞成”批准对公司章程条款的修订,以提供发行1,000,000股优先股的权限。除非股东在其代理上另有说明,否则董事会征集的代理将被投票“支持”此类修正。
31
我们采用了适用于我们所有高级职员、董事和员工的商业道德和行为准则。可通过向公司提交书面请求或在我们的网站www.synergychc.com上免费获得商业道德和行为准则的副本。有关适用于我们的董事、首席执行官和财务官的行为和道德准则条款的任何修订或豁免的披露,将在修订或豁免日期后的四个工作日内发布在我们网站www.synergychc.com的“治理——文件和章程”部分,或包含在表格8-K的当前报告中。
我们的董事会不知道将提交年度会议的其他事项。如果任何其他事务被适当地提交到年度会议之前,代理人将根据其中指名的人的判断进行投票。
要被考虑纳入与我们的2026年年度股东大会有关的代理声明,我们必须在2025年12月31日之前收到股东提案(董事提名除外);但前提是,如果今年的年度会议日期与上一年的会议日期相比有超过30天的变化,那么截止日期是公司开始打印和发送代理材料之前的合理时间。若要考虑在2026年年会上提交,尽管未包含在代理声明中,提案(包括未被要求包含在我们的代理声明中的董事提名)必须不早于2026年3月20日且不迟于2026年4月18日收到;但前提是,如果年会日期在2025年年会周年日之前超过30天或之后超过60天,则股东及时发出的通知必须如此送达,或邮寄和接收,不迟于该年会召开前第90天,或如该年会晚于该年会召开日期前第90天宣布,则为首次公开披露该年会召开日期的翌日第10天。在任何情况下,年会的任何休会或其公告均不得启动新的时间周期,以便发出上述及时通知。提案必须符合SEC为此类提案确立的形式和实质要求,才能纳入代理声明。未及时收到的提案将不会在2026年年会上进行表决。如果提案被按时收到,在符合SEC代理规则的情况下,管理层为会议征集的代理仍可对提案行使酌情投票权。所有股东提案均应在缅因州威斯布鲁克Spring Street 865号Synergy CHC Corp. 04092处标记,供公司秘书注意。
为了使股东能够及时通知除公司提名的董事以外的董事提名,以便纳入与2026年年度会议有关的通用代理卡,通知必须不迟于2026年4月18日提交,并包括《交易法》第14a-19条规则要求的所有信息。然而,如果2025年年会日期较今年年会变动超过30天,则第14a-19条规则要求在2026年年会日期前60个日历日或我们首次公开宣布2026年年会日期的翌日第十(10)个日历日(以较晚者为准)提供通知。
32
联系提问,协助投票
如对您的股份投票有任何疑问或需要任何协助或需要本代理声明或投票材料的额外副本,请联系:
投资者关系
Synergy CHC公司。
春街865号
威少,缅因州04092
(207) 321-2350
snyr@gateway-grp.com
重要的是,你的股票在年会上有代表。无论你是否计划出席年会,请透过互联网或电话投票,或如你收到邮寄的代理卡纸质副本,请签署并交还随附的代理卡,这样你的股份将派代表出席年会。
代理卡的形式和这份代理声明已经董事会批准,并正在通过其授权邮寄或交付给股东。
Synergy CHC公司董事会。
威少,缅因州
[•], 2025
33
A-1
董事会批准:[ • ],2025年
股东批准:[ • ],2025
A-2
B-1
作为证明,公司已促使公司首席执行官Jack Ross于2025年[ • ]日[ • ]签署本公司章程修订证书。
| 协同CHC公司。 |
||||
| 签名: |
|
|||
| 杰克·罗斯 |
||||
| 首席执行官 |
||||
B-2

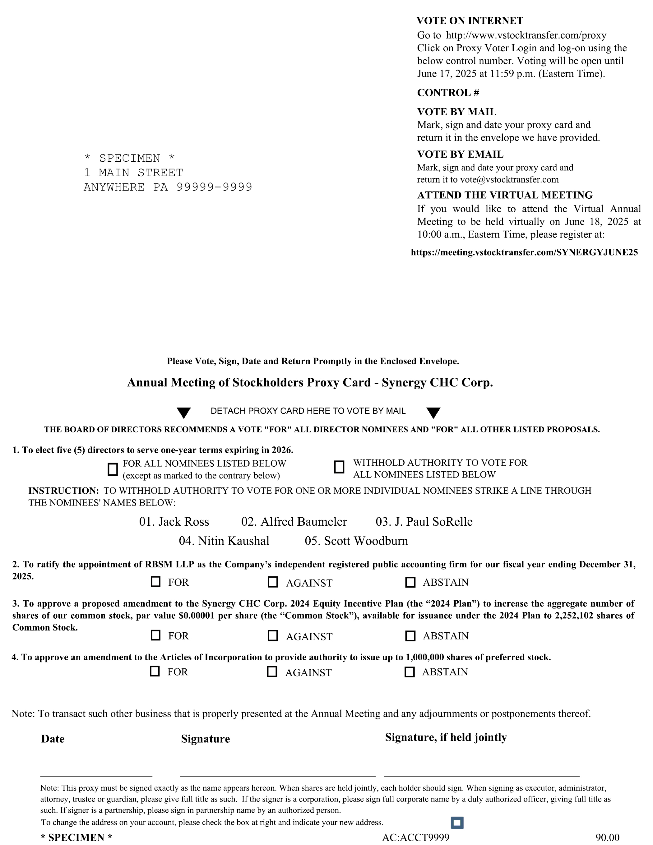
*规格*1条主街任何地方PA 99999-9999在互联网上投票请访问http://www.vstocktransfer.com/proxy点击代理选民登录并使用以下控制号码登录。投票将开放至2025年6月17日晚上11:59(美国东部时间)。控制#通过邮件标记进行投票,在您的代理卡上签名并注明日期,并将其放入我们提供的信封中退回。电子邮件投票标记、签名并注明日期您的代理卡并交回vote@vstocktransfer.com出席虚拟会议如您希望参加于美国东部时间2025年6月18日上午10:00举行的虚拟年会,请在以下网址登记:https://meeting.vstocktransfer.com/synergyJUNE25请在随附的信封中及时投票、签名、注明日期并返回。年度股东大会代理卡-Synergy CHC Corp. DETACH代理卡在这里通过邮寄方式投票董事会建议对所有董事提名人和所有其他列出的提案投“赞成”票。1.选举五(5)名董事,任期一年,2026年届满。为以下所列所有被提名人(以下注明相反的除外)放弃为以下所列所有被提名人投票的权力说明:放弃为一个或多个个人被提名人投票的权力通过以下被提名人的姓名划线:01。杰克·罗斯02。阿尔弗雷德·鲍梅勒03。J·保罗·索雷勒04。Nitin Kaushal 05。斯科特·伍德本2。批准委任RBSM LLP为公司截至2025年12月31日止财政年度的独立注册会计师事务所。反对弃权3。批准对《Synergy CHC公司2024年股权激励计划》(“2024年计划”)的拟议修订,以将根据2024年计划可供发行的普通股(每股面值0.00001美元)的股份总数(“普通股”)增加到2,252,102股普通股。反对弃权4。批准修订公司章程,以授权发行最多1,000,000股优先股。反对弃权注:处理在年度会议上适当提出的其他事务及其任何休会或延期。日期签名签名,如果联名持有注:此代理签名必须与此处出现的名称完全一致。共同持股时,各持有人应签字。作为被执行人、管理人、代理律师、受托人或监护人签字时,请提供完整的所有权。如签字人是法团,请由正式授权人员签署公司全名,并给予全称。如签字人为合伙企业,请经授权人签入合伙企业名称。要更改您账户上的地址,请勾选右侧方框,并注明您的新地址。*规格*AC:ACCT9999 90.00

协同CHC公司。将于2025年6月18日上午10:00举行的年度股东大会东部时间关于代理材料可获得性的重要通知:本次会议材料可查阅:https://ts.vstocktransfer.com/irhlogin/SYNERGYCHC注册虚拟会议,请访问:https://meeting.vstocktransfer.com/SYNERGYJUNE25 DETACH代理卡在此通过邮寄方式进行投票本代理是代表董事会征集的,签署人任命Jack Ross和Jaime Fickett,他们各自作为代理人,各自拥有权力如本协议反面指定,在2025年4月21日营业结束时,以下签字人在将于2025年6月18日举行的Synergy CHC Corp.年度股东大会或其任何休会期间持有的Synergy CHC Corp.普通股的全部股份。该代理在正确执行时将按指示进行投票。如果没有作出相反的指示,代理将投票赞成选举董事会的五名提名人,并赞成提案2、提案3和提案4,并根据此处被称为代理的人对可能适当地提交年度会议的任何其他事项的判断。这一代理是代表董事会征集的。未来代理材料的电子交付:如果您希望减少Synergy CHC公司材料所产生的成本,您可以同意通过电子邮件或互联网以电子方式接收未来的所有代理声明、代理卡和年度报告。要注册电子投递,请在下方提供您的电子邮件地址,并在此处查看,以表明您同意在以后的邮件中以电子方式接收或访问代理材料。邮箱地址:请在反面注明您的投票。