查看原文
免责申明:同花顺翻译提供中文译文,我们力求但不保证数据的完全准确,翻译内容仅供参考!
EX-10.14B 3 ex1014barkeyemployeeseve.htm EX-10.14B ex1014barkeyemployeeseve
1经修订&重述的登士柏国际公司。关键员工离职福利计划(自2025年10月10日起生效)第1条。导言1.1。成立、生效日期及宗旨。DENTSPLY SIRONA Inc.(“公司”)采用了原自2022年5月25日起生效并经修订和重述的自2025年10月10日(“生效日期”)起生效的DENTSPLY SIRONA Inc.关键员工遣散费计划。该计划(定义见下文第2.1(aa)节)一般旨在向公司的某些合资格雇员提供离职薪酬和福利,这些雇员的雇佣被公司无故(定义见下文第2.1(g)节)非自愿终止,或雇员出于正当理由自愿辞职(定义见下文第2.1(w)节),如计划中进一步规定的那样。1.2.行政管理。该计划由公司董事会薪酬与人力资本委员会(“薪酬委员会”)管理。第2条。定义和构造2.1。定义。就本计划而言,以下词语和短语应具有下文所述的各自含义,除非上下文明确要求不同的含义:(a)“应计福利”是指:(i)截至合格终止日期所赚取的基本工资,(ii)在雇员的合格终止日期发生的财政年度之前的任何财政年度的任何已获奖励但尚未支付的年度奖励的余额,(iii)任何已归属但未被没收的,根据该等计划的条款在公司雇员福利计划下的合资格终止日期的福利,以及(iv)雇员根据公司雇员福利计划有权享有的任何福利延续和转换权利。(b)“关联”指直接或通过一个或多个中间人间接控制、或受所指明的人控制或与其共同控制的人。(c)“替代首次付款日期”是指考虑期间(如第4.3节所定义)的总天数与撤销期间(如第4.3节所定义)的总天数相结合,自根据第4.3节向雇员提交一般释放之日起的下一个日历年开始,并在下一个日历年结束,即为该下一个日历年(i)1月1日中较晚者的日期或


 
2(ii)一般解除令生效及不可撤销的日期,而该较后日期成为雇员的(a)COC遣散费或(b)非COC遣散费(视属何情况而定)随后支付的日期。(d)“基本工资”是指雇员在紧接合资格解雇之前所提供的服务或所从事的劳动方面的总基本年薪,反映在公司的人事记录中(或者,如果解雇是由于基于基本工资减少的正当理由自愿辞职,则为紧接此类减少之前有效的雇员年度基本工资)。(e)“受益所有人”具有《交易法》第13d-3条中该术语赋予的含义。(f)“董事会”是指DENTSPLY SIRONA Inc.的董事会。(g)“原因”是指员工已:(i)对公司实施欺诈行为,(ii)实施对公司或其客户造成重大损害的渎职、鲁莽或重大过失行为,(iii)因涉及员工道德败坏的重罪或犯罪被起诉、被定罪或不抗辩,(iv)违反该员工作为公司或任何关联公司一方的任何保密、不竞争、不招揽或转让发明契诺,(v)违反公司的任何重大政策或对公司承担的义务,(vi)实施任何故意或故意的不当行为、渎职、鲁莽、重大过失、个人不诚实或欺诈行为,或(vii)故意不履行雇员对公司的职责。(h)“首席执行官”是指公司的首席执行官。(i)“首席财务官”指公司的首席财务官。(j)“控制权变更”是指下列任何一项所述的、应在2022年5月25日之后发生的事件:(i)任何人直接或间接成为公司证券的实益拥有人(不包括在该人实益拥有的证券中直接从公司或其关联公司获得的任何证券),代表公司当时已发行证券的合并投票权的百分之三十(30%)或更多,不包括因紧接下文第(iii)款(b)款所述交易而成为此类实益拥有人的任何人,或(ii)以下个人因任何原因不再构成当时任职的董事人数的多数:


 
3(a)于2022年5月25日组成董事会的个人,及(b)任何新任董事(其首次就任是与实际或威胁的竞选有关的董事除外,包括但不限于与选举公司董事有关的同意征求),其由董事会委任或选举或由公司股东提名以供选举的方式,经于2022年5月25日担任董事或其委任的当时仍在任的董事中至少三分之二(↓)的投票批准或推荐,选举或选举提名先前已如此批准或推荐,或(iii)公司(或公司的任何直接或间接母公司或子公司)与任何其他公司完成合并或合并,但(a)合并或合并将导致公司在紧接其之前已发行的有表决权证券的实益拥有人继续拥有,并结合根据公司或其任何关联公司的员工福利计划持有证券的任何受托人或其他受托人的所有权,公司、该合并或合并后存续实体的有表决权证券的合并投票权超过百分之五十(50%),或者,如果公司或该合并或合并后存续实体当时是一家子公司,则在该合并或合并后立即未偿还的最终母公司,或(b)紧接其后的合并或合并,紧接其后组成紧接其之前的董事会的个人至少构成公司董事会的多数,该合并或合并后存续实体或,如果公司或在该合并或合并后存续的实体是子公司,则其最终母公司,或(c)为实施公司资本重组(或类似交易)而实施的合并或合并,其中没有人直接或间接成为或成为公司证券的实益拥有人(不包括在该人实益拥有的证券中直接从公司或其关联公司获得的任何证券),代表公司、存续实体的合并投票权的百分之三十(30%)或更多,或,如果公司或在该合并或合并后存续的实体当时是子公司,最终母公司当时未偿还的证券,或(iv)公司完全清算或解散计划已完成,或(v)公司全部或几乎全部资产的出售或处置已完成,但公司出售或处置公司的全部或几乎全部资产的情况除外,紧随其后,紧接在此之前组成董事会的个人至少构成出售或处置此类资产的实体或其任何母公司的董事会的多数。尽管有上述规定:(i)控制权变更不应被视为因紧接其后的任何交易或一系列综合交易的完成而发生


 
4紧接此类交易或系列交易之前的普通股股东在紧接此类交易或系列交易之后拥有公司全部或几乎全部资产的实体中继续拥有基本相同比例的所有权,(II)如果根据计划到期的任何补偿(无论是现金还是股权)的全部或部分构成《守则》第409A条规定的递延补偿,而此类补偿(或部分)因控制权变更事件而应加速结算或支付,而该变更事件并非《财政部条例》第1.409A-3(i)(5)条或后续指南中所述的“控制权变更事件”,则如果此类结算或支付此类补偿(无论是现金还是股权)将导致根据《守则》第409A条征收额外税款,此类补偿(或其部分)应在控制权变更时归属(前提是此类加速归属不会导致《守则》第409A条规定的额外税款),但结算或支付(视情况而定)不得加速,而是按照原结算或支付日期结算和支付。(k)“控制权变更期”是指自控制权变更结束之日起至控制权变更结束之日起二十四(24)个月结束的期间。(l)“COBRA”是指经修订的1985年《综合综合预算调节法案》。(m)“COC合格终止”是指公司在控制权变更期间无故非自愿终止该员工的雇佣或该员工出于正当理由自愿辞职,在任何一种情况下。(n)“COC遣散费”应具有第4.2(a)条赋予的含义。(o)“法典”是指经修订的1986年《国内税收法典》。(p)“普通股”是指公司的普通股,每股面值0.01美元。(q)“公司”应具有第1.1节赋予的含义。(r)“雇员”是指:(i)首席执行官;(ii)直接向首席执行官汇报并拥有高级副总裁或更高职称的任何高管;(iii)薪酬委员会书面指定符合计划参与资格的任何其他普通法雇员。(s)“ERISA”是指经修订的1974年《雇员退休收入保障法》。(t)“交易法”是指经不时修订的1934年《证券交易法》及其下的规则、条例和指导。对《交易法》中某一条款的任何提及均应包括其任何后续条款。


 
5(u)“股权计划”指DENTSPLY SIRONA Inc. 2016年综合激励计划(或其任何后续综合股权计划)。(v)“首次付款日期”指与雇员的(i)COC遣散费或(ii)非COC遣散费(视情况而定)有关的考虑期(定义见第4.3节)和撤销期(定义见第4.3节)完成后紧接其后的第一个发薪期。(w)“正当理由”是指员工在未经员工同意的情况下,在最初存在以下一项或多项条件后触发员工自愿从公司离职:(i)员工基本工资的任何实质性减少,但适用于所有类似情况的高管的全面减薪的一部分除外,或(ii)员工目标年度现金奖金机会的任何实质性减少(即占基本工资的百分比),或(iii)将员工搬迁至距其主要工作地点超过五十(50)英里的设施或地点,导致其正常通勤时间大幅增加,或(iv)仅就公司首席执行官、首席财务官和总法律顾问而言,导致权力、职责或责任的大幅减少(除非在员工身体或精神上无行为能力且无法适当履行委员会善意确定的职责时暂时除外);或(v)仅就控制权变更而言,任一情况是:(a)公司未能在控制权变更之日后十(10)天内获得继任实体对计划的明确承担,或(b)雇员的目标长期激励(即通常在雇员的雇佣协议中称为以美元金额表示的“年度股权奖励”)的任何实质性减少。尽管有上述规定,为了使雇员有资格获得良好理由自愿辞职,他/她必须在其最初存在后的九十(90)天内向首席执行官(但对于首席执行官,向董事会提供书面通知)提供导致良好理由事件的情况的书面通知,并在收到该书面通知后三十(30)天内向公司提供任何纠正此种情况的能力。构成良好理由的事件,如果适用事件在该三十(30)天期限内由公司治愈,则不再构成良好理由;但如果公司未及时治愈适用的良好理由事件,则员工必须在不迟于公司三十(30)天治愈期结束后的三十(30)天内通过终止其雇用的方式以良好理由辞职。(x)“非COC合格终止”是指公司无故非自愿终止该雇员的雇用,或该雇员出于正当理由自愿辞职,在任何一种情况下,均在控制权变更期之外。(y)“非COC遣散费”应具有第4.1(a)条赋予的含义。


 
6(z)“人”具有《交易法》第3(a)(9)条赋予该术语并在其第13(d)和14(d)条中使用的含义,包括其第13(d)条中定义的“集团”。(aa)“计划”指经修订和重述的DENTSPLY SIRONA Inc.关键员工遣散费计划,自2025年10月10日起生效,并经不时进一步修订。(bb)“合格终止”指(i)COC合格终止或(iii)非COC合格终止(视情况而定)。(CC)“特定雇员”是指作为公司关键雇员(定义见《守则》第416(i)条,不考虑《守则》第416(i)(5)条)的雇员。就本定义而言,如果雇员在截至任何12月31日的十二个月期间的任何时间满足《守则》第416(i)(1)(a)(i)、(ii)或(iii)(根据条例适用而无视《守则》第416(i)(5)条)的要求,则该雇员为关键雇员。如果雇员在任何12月31日为关键雇员,则该雇员在相关12月31日之后的1月1日开始的十二个月期间内被视为特定雇员。2.2.人数和性别。在适当情况下,单数中使用的词语应被视为包括复数,复数中使用的词语应被视为包括单数。计划中出现的男性性别应被视为包括女性性别。2.3.标题。列入标题仅为方便起见,如任何标题与计划文本有任何冲突,计划文本应予控制。第3条。参与和资格3.1。参与。在终止与公司的雇佣关系时符合“雇员”定义的个人,其雇佣关系因构成合格终止的事件而终止,有权根据该计划领取福利。第4条。遣散费福利4.1。非COC合格终止。对于非COC合格终止,适用以下付款和福利:(a)遣散费。(i)数额。根据以下第4.3节和4.4节的规定,雇员将有资格从公司获得:(a)首席执行官。一次性支付相当于首席执行官总和的两(2)倍:(i)基本工资,加上(II)包括首席执行官非COC合格终止日期的财政年度可用的目标奖金机会,加上


 
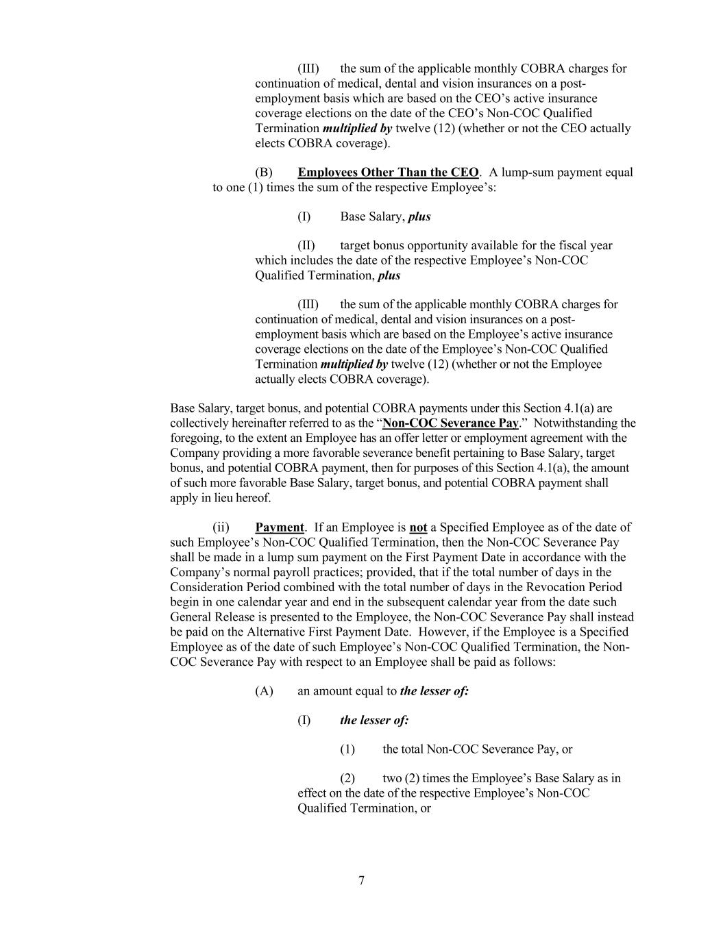
7(III)基于CEO非COC合格终止之日的主动保险覆盖范围选举的基于离职后基础上的医疗、牙科和视力保险的适用每月COBRA费用的总和乘以十二(12)(无论CEO是否实际选择COBRA覆盖范围)。(b)首席执行官以外的雇员。一次总付相当于相关雇员的总和的一(1)倍:(i)基本工资,加上(II)包括相关雇员非COC合格终止日期的财政年度可用的目标奖金机会,加上(III)基于雇员非COC合格终止日期的雇员主动保险范围选择乘以十二(12)(无论雇员是否实际选择COBRA覆盖范围)的离职后继续医疗、牙科和视力保险的适用月度COBRA费用之和。基本工资、目标奖金和本第4.1节(a)项下的潜在COBRA付款,以下统称为“非COC遣散费”。尽管有上述规定,如果雇员与公司签订了聘书或雇佣协议,提供了与基本工资、目标奖金和潜在COBRA付款有关的更优惠的遣散费,那么就本第4.1(a)节而言,应使用此类更优惠的基本工资、目标奖金和潜在COBRA付款的金额来代替本协议。(二)付款。如果雇员在该雇员的非COC合格终止日期不是指定雇员,则非COC遣散费应按照公司的正常发薪惯例在第一个付款日期一次性支付;但如果考虑期间的总天数加上撤销期间的总天数在一个日历年度开始,并在向该雇员提交该一般解除通知之日起的下一个日历年度结束,非COC遣散费应改为在替代的首次付款日期支付。然而,如雇员在该雇员的非COC合格终止日期为指明雇员,则有关雇员的非COC遣散费应按以下方式支付:(a)金额等于以下两者中较低者:(i)以下两者中较低者:(1)非COC遣散费总额,或(2)在有关雇员的非COC合格终止日期生效的雇员基本工资的两(2)倍,或


 
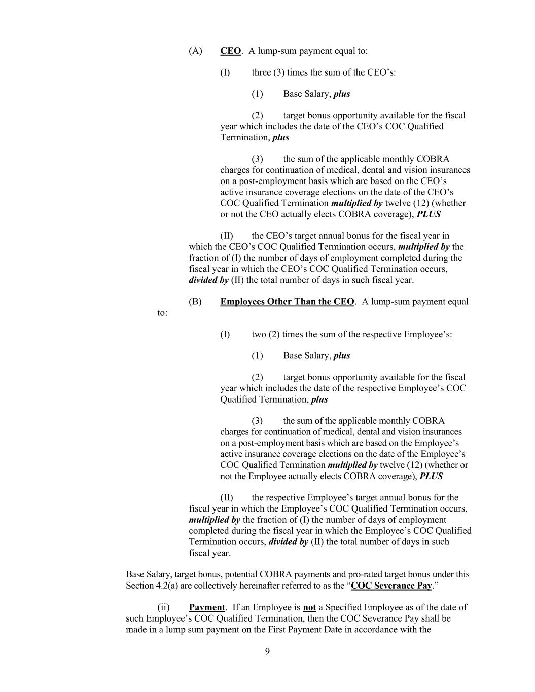
8(II)包括相应雇员的非COC合格终止日期(即2025年为700,000美元)的日历年的《守则》第401(a)(17)条补偿限额的两(2)倍,应不迟于第一个付款日期或替代的第一个付款日期(视情况而定)一次性支付给雇员,以及(b)一笔金额(如有)等于:(i)非COC遣散费总额,减去(II)根据紧接上文(a)款支付给雇员的金额,应不迟于员工非COC合格终止日期的第七个月周年日一次性支付给员工。(b)按比例分配的实际奖金遣散费。根据以下第4.3节和第4.4节的规定,所有员工(包括首席执行官)将有资格从公司获得,一笔总付,金额等于(i)雇员在发生非COC合格解雇的财政年度本应获得的年度奖金,如果该雇员在该雇员被要求继续受雇于公司以有资格获得该奖金之日之前仍受雇于公司,则该年度奖金乘以(ii)(i)该雇员在发生非COC合格解雇的财政年度内完成的受雇天数的分数除以(II)该财政年度的总天数。按比例分配的实际奖金遣散费(如有)将与公司其他情况类似的员工在财政年度获得奖金支付的同时支付,但在任何情况下,按比例分配的实际奖金的一次性支付将不会晚于员工非COC合格终止年度的次年的3月15日。(c)潜在的股权补偿加速归属。除下文第4.3节和4.4节另有规定外,根据股权计划获得未偿还股权补偿奖励的所有员工(包括首席执行官),如果此类股权补偿奖励受到完全加速归属或被视为完全满足根据员工的无故非自愿终止而对此类股权补偿奖励施加的任何业绩条件的约束,则应同样能够获得完全加速归属或被视为完全满足根据员工的自愿辞职而对此类股权补偿奖励施加的任何业绩条件;但是,前提是在这种情况下,计划对良好理由的定义应适用于是否发生了良好理由。4.2.COC合格终止。对于符合COC资格的终止,适用以下付款和福利:(a)遣散费。(i)数额。根据以下第4.3节和第4.4节的规定,雇员将有资格从公司获得:


 
9(a)首席执行官。一次性付款,金额等于:(i)三(3)倍于首席执行官的总和:(1)基本工资,加上(2)包括首席执行官COC合格终止日期的财政年度可获得的目标奖金机会,加上(3)基于首席执行官COC合格终止日期的主动保险范围选举乘以十二(12)(无论首席执行官是否实际选择COBRA覆盖范围)的离职后继续医疗、牙科和视力保险的适用COBRA每月费用之和,PLUS(II)CEO COC合格终止发生的会计年度的CEO目标年度奖金,乘以(i)CEO COC合格终止发生的会计年度内完成的雇佣天数的分数,除以(II)该会计年度的总天数。(b)首席执行官以外的雇员。一次总付相当于:(i)两(2)倍于相关雇员的总和:(1)基本工资,加上(2)包括相关雇员COC合格终止日期的财政年度可用的目标奖金机会,再加上(3)根据雇员在COC合格终止日期的有效保险范围选择乘以十二(12)(无论雇员是否实际选择COBRA覆盖范围),PLUS(II)雇员COC合格终止发生的财政年度的相应雇员的目标年度奖金,乘以(i)雇员COC合格终止发生的财政年度内完成的雇佣天数的分数,除以(II)该财政年度的总天数。基本工资、目标奖金、潜在COBRA付款和本第4.2(a)节下的按比例分配的目标奖金统称为“COC遣散费”。(二)付款。如果雇员在该雇员的COC合格终止日期不是指定雇员,则COC遣散费应在第一个支付日按照


 
10公司的正常发薪做法;条件是,如果考虑期间的总天数加上撤销期间的总天数在一个日历年内开始,并在自向雇员提出该一般释放之日起的下一个日历年内结束,则COC遣散费应改为在替代的第一个付款日期支付。但是,如果雇员在该雇员的COC合格终止之日为特定雇员,则应按以下方式支付该雇员的COC遣散费:(a)金额等于以下两者中较低者:(i)以下两者中较低者:(1)COC遣散费总额,或(2)在相应雇员的COC合格终止之日生效的雇员基本工资的两(2)倍,或(II)包括相应雇员的非COC合格终止日期(即2025年为700,000美元)的日历年的《守则》第401(a)(17)条补偿限额的两(2)倍,应不迟于第一个付款日期或替代的第一个付款日期(视情况而定)一次性支付给雇员;和(b)一笔金额(如有)等于:(i)COC遣散费总额,减去(II)根据紧接上文第(a)款支付给雇员的金额,应不迟于员工COC合格终止日期的第七个月周年日一次性支付给员工。(b)股权补偿加速。根据下文第4.3节和第4.4节的规定,根据股权计划拥有未偿股权补偿奖励的所有员工(包括首席执行官),如果根据股权计划第15节下的控制权变更条款完全加速归属或被视为完全满足对此类股权补偿奖励施加的任何业绩条件,则该计划的“良好理由”定义应取代控制权变更时股权计划中出现的“良好理由”定义。然而,根据股权计划的规定,如果控制权变更不是财政部条例第1.409A-3(i)(5)节或后续指南中描述的“控制权变更事件”,那么,如果此类股权补偿(无论是现金还是股权)的此类结算或支付将导致根据《守则》第409A条产生额外税款,则此类股权补偿(或其部分)应在控制权变更时归属(前提是此类加速归属不会导致根据《守则》第409A条产生额外税款),而是结算或支付(视情况而定),不得加速,而是按照适用于该股权补偿的原结算或支付日期结算支付。4.3.一般发布。尽管有任何相反的情况,根据上文第4.1(a)条及第4.2(a)条应付的遣散费,具体条件是雇员执行对公司的索偿的一般解除及豁免(“一般解除”)


 
11及其所有关联公司,自雇员受雇的最后一天起生效,该协议应采用公司提供的形式(换言之,该等一般释放必须根据其条款执行并生效(即未被撤销),包括一般释放中规定的撤销期限(定义见下文)届满,并进一步合理地修改该等一般释放以供公司不时普遍适用)。根据法律,向雇员提供的任何一般性释放必须根据联邦《就业年龄歧视法案》为雇员提供最短期限(目前为二十一(21)或四十五(45)个日历日,取决于雇员在其合格终止日期的年龄),以考虑和评估是否执行一般性释放(“考虑期限”)。在雇员签立一般解除通知并不迟于考虑期最后一天向公司提供该等已签立副本后,一般解除通知还将为雇员确定紧接考虑期之后的任何适用期间,在此期间,雇员可撤销先前向公司提供的一般解除通知(“撤销期”)。为明确起见,如果雇员没有在一般释放规定的考虑期限内执行一般释放,或雇员行使一般释放规定的撤销权,则根据第4.1(a)条和第4.2(a)条规定的任何和所有此类遣散福利将被没收,并且根本不应支付。此外,尽管计划中有任何相反的规定,如果考虑期和撤销期一起跨越两个历年,则根据第4.1(a)条或第4.2(a)条规定的任何和所有遣散费应在第二个该等历年支付或开始(如适用)。4.4.对计划付款的限制和其他限制。(a)扣缴税款。根据任何法律或政府法规或裁决的要求,公司可以从该计划下的任何和所有应付金额中预扣所有联邦、州、城市或其他税款。(b)代码节280g和代码节4999。尽管本计划或任何其他计划、安排或协议另有相反规定,如公司或其联属公司根据本计划或其他条款向雇员或为雇员的利益而提供或将提供的任何付款或福利(“涵盖付款”)构成《守则》第280G条所指的“降落伞付款”,并将,如果不是因为本条第4.4(b)款受到根据《守则》第4999节(或其任何后续条款)征收的消费税或州或地方法律征收的任何类似税款或与此类税款有关的任何利息或罚款(统称为“消费税”),则涵盖的付款应(i)减少(但不低于零)至必要的最低限度,以确保涵盖的付款的任何部分均不受消费税的约束,或(ii)全额交付,以上述金额中的任何一项为准,同时考虑到适用的联邦,州或地方所得税和就业税以及消费税,导致雇员在税后基础上获得最大数额的福利。根据本条第4.4(b)条作出的任何减少,须根据《守则》第409A条及以下规定作出:(i)根据《守则》第409A条不构成不合格递延补偿的涵盖付款应首先减少,及(ii)所有其他涵盖付款应按以下方式减少:(a)现金付款应在非现金付款前减少,及(b)将于较后付款日期作出的付款应在将于较早付款日期作出的付款前减少。


 
12(c)代码第409a条。根据该计划向雇员支付的所有款项旨在遵守《守则》第409A条的要求及其下的条例,在法律允许的最大范围内,该计划应按照该意图进行解释和管理。在不限制前述一般性的情况下:(i)就《守则》第409A条而言,应付给雇员的每一笔单独的遣散费应被视为一笔单独的“付款”,以及(ii)如果执行人员招致的合格解雇也不构成《守则》第409A条所定义的“离职”,则雇员因该合格解雇而应获得的所有应付款项的权利应在合格解雇之日完全归属,但应在避免根据《守则》第409A条征收额外所得税所要求的范围内,付款应递延至雇员发生如此定义的“离职”,如果该雇员是特定雇员,则应递延至(a)该雇员离职日期后六(6)个月零一天或(b)该雇员死亡后较早者。公司保留在其认为必要或可取的情况下,在不征得雇员或任何其他个人同意的情况下自行酌情修订计划的权利,以遵守任何规定,以避免根据《守则》第409A条征收额外税款,或在实际支付任何利益或征收任何额外税款之前以其他方式避免根据《守则》第409A条确认收入。4.5.应计福利。无论哪种类型的合格解雇,雇员始终有权在根据该计划提供的任何福利之外获得其应计福利。4.6.除合格终止外的终止。如果终止雇员在公司的雇用不是合格的终止,那么雇员将无权根据该计划获得遣散费或其他福利。4.7.公司与关联公司之间的转让。就本计划而言,如果员工是非自愿从公司转移到关联公司,反之亦然,则此类转移不会是无故的非自愿终止,但可能会赋予员工以正当理由辞职的能力。4.8.独家补救。在雇员与公司的雇佣关系终止的情况下,该计划的规定旨在并且是排他性的,并代替雇员在法律、侵权或合同方面可能有权在股权方面享有的任何其他权利或补救措施。除计划中明确规定的福利外,雇员在终止雇佣时将不享有任何福利、补偿或其他付款或权利。第5条。福利的确定、索赔程序和行政5.1。索赔。雇员如认为他/她有权获得的福利被拒绝(以下简称“索赔人”),或其正式授权的代表,可向赔偿委员会提出书面要求,阐明他/她的索赔。该请求必须提交给公司主要营业地点的薪酬委员会。5.2.索赔决定。在收到索赔后,赔偿委员会应告知索赔人,将在一段合理的时间内(但通常不迟于九十(90)天)作出答复,并且实际上应在该期间内作出答复。然而,赔偿委员会可因合理理由将答辩期再延长九十(90)天。如果答复期限将延长,赔偿委员会应在最初的九十(90)天期间内以书面通知索赔人,说明需要延长的特殊情况以及赔偿委员会预期作出福利确定的日期。如果索赔被全部或部分驳回,赔偿委员会将提出书面意见,使用经计算可被索赔人理解的语言,阐明:


 
13(a)拒绝的具体理由或理由,(b)具体提及拒绝所依据的相关计划条款,(c)说明索赔人完善索赔所需的任何额外材料或信息,并解释为何需要此类材料或此类信息,(d)关于索赔人希望提交索赔以供审查的情况下应采取的步骤的适当信息,包括说明索赔人有权根据ERISA第502(a)条在经审查确定不利利益后提起民事诉讼,(e)根据第5.2节要求对拒绝进行复审以及根据第5.3节要求对拒绝进行实际复审的时限。5.3.请求审查。在索赔人收到上述书面意见后六十(60)天内,索赔人可书面要求公司秘书(“秘书”)复核赔偿委员会的事先裁定。此类请求必须在公司当时的主要营业地点向公司秘书提出。索赔人或其正式授权的代表可提交与被拒绝的索赔有关的书面评论、文件、记录或其他信息,这些信息应在根据本节进行的审查中予以考虑,而不考虑此类信息是否已在初步利益确定中提交或考虑。应要求并免费向索赔人或其正式授权的代表提供所有文件、记录和其他信息的合理存取权和副本,这些文件、记录和信息:(a)是赔偿委员会在作出初步索赔决定时所依赖的,(b)是在赔偿委员会作出初步索赔决定过程中提交、审议或生成的,而不考虑赔偿委员会在作出决定时是否实际依赖此类文书,或(c)证明赔偿委员会遵守其行政程序和保障措施,这些程序和保障措施旨在确保和核实是否按照适用计划文件确定了福利索赔,并酌情对类似情况的索赔人一致适用了计划规定。如果索赔人没有在该六十(60)天期限内要求对赔偿委员会的裁定进行复核,他或她将被禁止并被禁止对该裁定提出质疑。5.4.审查决定。在一段合理时间内,通常不迟于六十(60)天,在秘书收到覆核要求后,会覆核赔偿委员会的事先裁定。如果特殊情况要求延长六十(60)天的期限,秘书将在最初的六十(60)天期限内通知索赔人,说明需要延长的特殊情况以及秘书预计作出复核决定的日期,即应尽快但不迟于收到复核请求后一百二十(120)天。如果秘书因索赔人未提交裁定索赔所需的资料而延长经审查的确定期间,经审查作出利益确定的期间不应考虑自向索赔人发送延期通知之日起至索赔人对要求提供补充资料的请求作出答复之日止的期间。只有当秘书酌情决定索赔人有权获得该计划下的福利时,才会支付该计划下的福利。The decision of the


 
14秘书须为最终及不可覆核,除非经主管覆核的法院裁定为任意及反复无常。这种决定将对雇主和索赔人具有约束力。如运输司在覆核时作出不利利益的厘定,运输司将提出书面意见,使用经计算可获申索人理解的语言,列明:(a)拒绝的具体理由或理由,(b)具体提及拒绝所依据的有关计划条文,及(c)声明,申索人有权应要求并免费获得所有文件、记录及其他资料的合理存取权及副本,而这些资料是:(i)运输司作出决定时所依赖的,(ii)已提交,在秘书作出决定的过程中考虑或产生,而不论秘书作出决定时是否实际依赖该文书,(iii)表明秘书遵守其行政程序和保障措施,旨在确保和核实福利索赔的确定是根据管辖计划文件作出的,并且在适当情况下,计划条款一直适用于类似情况的索赔人,(iv)在就此种审查作出不利利益确定后,索赔人有权根据ERISA第502(a)条提起民事诉讼的声明。5.5.自由裁量权。赔偿委员会及秘书均有酌处权,分别就申索人的申索或就被拒绝的申索提出的覆核要求,决定申索人享有的利益。第6条。杂项6.1。计划不是雇佣合同。采纳及维持该计划不应是或被视为公司与任何雇员之间的合约,或被视为雇用任何雇员的代价。本计划所载的任何规定,均不得给予或当作给予任何人保留在公司受雇的权利,或限制公司在任何时间解雇任何雇员的权利;本计划亦不得给予或当作给予公司在任何时间要求任何雇员继续受雇于公司或限制任何雇员终止其雇用的权利。6.2.修订及终止。自生效日期起生效,并于生效日期一周年结束,委员会可不时全权酌情单方面全部或部分修订计划的任何或全部条文,但须在任何具有减少或减损任何雇员在计划下的权利的更改生效日期之前提前一年通知雇员;但条件是,委员会不得在任何控制权变更期间对计划进行任何变更;此外,前提是不得进行任何会损害雇员对已到期和欠款的权利的修改。尽管有上述规定,自生效日期一周年起生效,委员会可不时以其完全及唯一酌情决定权,单方面全部或部分修订计划的任何或全部条文;但,


 
15然而,委员会不得在任何控制权变更期间对计划进行任何变更;此外,前提是不得进行任何会损害雇员对已到期和欠款的权利的修改。尽管有任何相反的情况,(i)委员会保留在任何时候单方面修改计划的权力,无论对雇员的影响如何,如果根据适用于该计划的任何法律要求进行此类更改,以及(ii)任何直接影响向首席执行官提供的福利的更改,未经委员会首先寻求董事会批准,不得修改。只有董事会有权在任何时候终止该计划,只要这种终止完全符合《守则》第409A条的规定和基本的最终规定。6.3.管理法律。除联邦法律优先考虑的范围外,该计划的所有条款均应根据特拉华州法律进行解释。6.4.全部协议。本文件及任何修订均载有该计划的所有条款和规定,并应构成整个计划,任何其他指称的条款或规定均无效。6.5.不保证税务后果。虽然公司已经建立并将维持该计划,但公司不对联邦、州或地方法律规定的参与该计划的收入、就业或其他税务后果作出任何陈述、保证、承诺或保证。6.6公司的继任者。公司全部或几乎全部业务和/或资产的任何继承者(无论是直接或间接的,也无论是通过购买、合并、合并、清算或其他方式)必须承担计划下的义务,并明确同意以与公司在没有继承的情况下被要求履行此类义务的相同方式和相同程度履行计划下的义务。6.7通知。(a)一般。该计划要求或允许的所有通知和其他通信均应以书面形式发出,并将有效地(i)在实际交付给被通知的一方时发出,(ii)在确认传真传送后二十四(24)小时后,(iii)在向认可的隔夜快递员存入后一(1)个工作日,或(iv)在以头等认证邮件或挂号邮件存入美国邮政服务后三(3)个工作日,要求回执,预付邮资,地址(a)如发给雇员,地址应为雇员最近以书面提供给公司的地址,(b)if to the company,at following address:DENTSPLY SIRONA Inc. 13320 Ballantyne Corporate Place Charlotte,NC 28277注意:总法律顾问(b)终止通知。公司因故终止的任何终止将通过终止通知通知员工,而员工因正当理由终止的任何终止将通过终止通知通知公司,在每种情况下均按照本第6.7节给予。该通知将表明所依赖的计划中的具体终止条款,将合理详细地列出声称为根据如此表明的条款提供终止依据的事实和情况,并将指明终止日期(将不超过(i)发出该通知或(ii)任何适用的补救期结束后的较晚日期后三十(30)天)。雇员未在通知中列入任何有助于表明正当理由的事实或情况将不


 
16放弃雇员在计划下的任何权利或阻止雇员在执行雇员在计划下的权利时主张此类事实或情况。6.8辞职。由于任何原因终止雇员的雇用也将构成雇员自愿辞去在公司或关联公司担任的所有高级管理人员和/或董事职务,而在董事会要求下,雇员将签署任何合理必要的文件以反映该辞职。6.9放弃。任何一方对另一方违反或遵守计划的任何条件或规定的任何放弃将被视为对任何其他条件或规定或在其他时间对相同条件或规定的放弃。6.10可分割性。本计划的任何条款或规定的无效或不可执行性将不会影响本计划的任何其他条款的有效性或可执行性,这些条款将保持充分的效力和效力。