查看原文
免责申明:同花顺翻译提供中文译文,我们力求但不保证数据的完全准确,翻译内容仅供参考!
EX-99.2 3 ex992notificationregardi.htm EX-99.2 ex992notificationregardi
附录3G-未上市股本证券的发行、转换或缴款通知附录3G-未上市股本证券的发行、转换或缴款通知1/5公告摘要实体名称JAMES HARDIE INDUSTRIES PLC本公告日期11月10日,星期一,2025本通知标的的+证券为:拟发行/转让的+证券总数/ASX +证券代码证券说明拟发行/转让的+证券总数/发行日期JHXAM普通股21203/11/2025详见下一页公告+作为交易的一部分而发行的证券或先前在附录3B中向市场公布的交易,这些交易没有报价,也不打算在ASX上报价


 
附录3G-未上市股本证券的发行、转换或缴款通知附录3G-未上市股本证券的发行、转换或缴款通知2/5第1部分-实体和公告详情1.1实体名称JAMES HARDIE INDUSTRIES PLC我们(上述实体)就以下未上市+证券的发行、转换或缴款发出通知。1.2注册号类型ARBN注册号0978298951.3 ASX发行人代码JHX 1.4公告为1.5本公告日期10/11/2025新公告


 
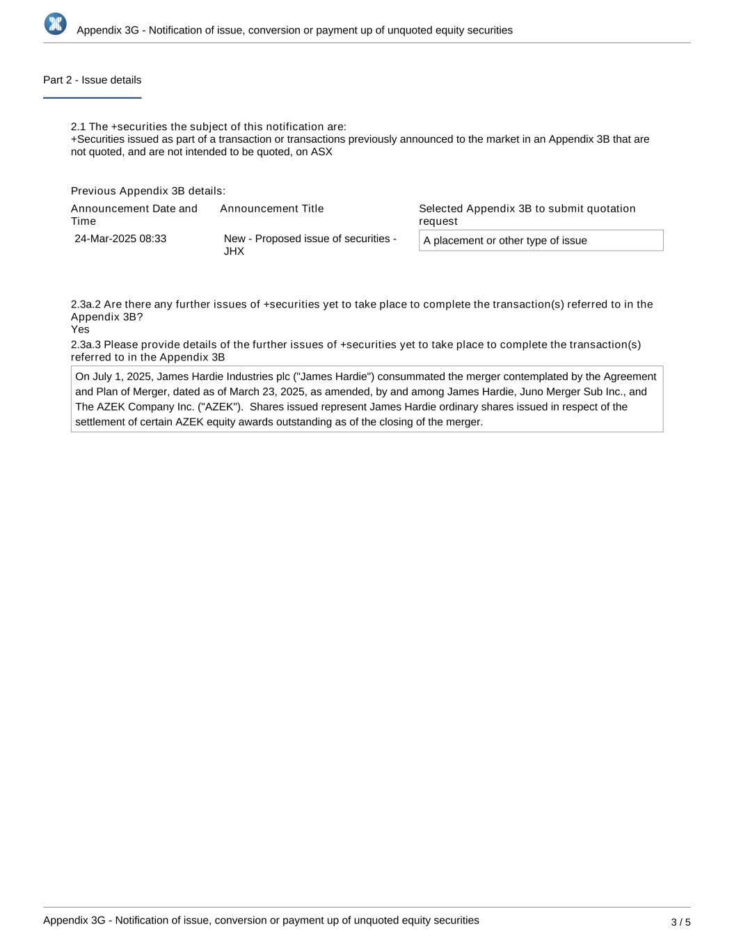
附录3G-未上市股本证券的发行、转换或缴款通知附录3G-发行通知,未上市股本证券的转换或缴款3/5第2部分-发行详情2.1本通知标的的+证券有:上一份附录3B详情:公告日期和时间24-Mar-2025 08:33公告标题新-建议发行证券-JHX选定附录3B提交报价请求配售或其他类型的发行2.3a.2是否有任何进一步的+证券事项尚未发生以完成附录3B中提及的交易?2.3a.3请提供尚未发生的+证券的进一步发行以完成附录3B中提及的交易的详细信息2025年7月1日,詹姆斯哈迪 PLC(“James Hardie”)完成了经修订的日期为2025年3月23日的合并协议和计划所设想的合并,该合并由James Hardie、Juno Merger Sub Inc.和AZEK Company Inc.(“AZEK”)共同完成。已发行股票代表James Hardie发行的普通股,该股票涉及截至合并完成时某些尚未行使的AZEK股权奖励的结算。是+作为交易的一部分而发行的证券或先前在附录3B中向市场公布的未在ASX报价、也无意报价的交易


 
附录3G-未上市股本证券的发行、转换或缴款通知附录3G-发行通知,未上市股本证券的转换或缴款4/5第3A部分-本通知标的(现有类别或新类别)的+证券的数量和类型,其中发行事项先前已在附录3B中通知ASX配售详情ASX +证券代码和说明JHXAM:普通股日期本通知标的的+证券已发行3/11/2025实体希望提供的有关本通知标的的+证券的任何其他信息詹姆斯哈迪 plc于2025年7月7日就本附录所述的未上市证券的发行申请了上市规则第2.4条的豁免。ASX于2025年7月16日授予该豁免。发行详情+证券数量212 +证券是以现金对价发行的吗?现金对价是用什么货币支付的?美元-美元每+证券发行价是多少?0.68 060000美元是


 
附录3G-未上市股本证券的发行、转换或缴款通知附录3G-未上市股本证券的发行、转换或缴款通知5/5第4部分-+已发行证券在本通知标的的+证券发行、转换或缴款后,实体的+证券将包括:下文第4.1和4.2部分中的数字是自动生成的,如果其他附录2A、附录3G或附录3H表格目前由ASX处理,则可能无法反映实体当前的已发行资本。4.1报价+证券(每类总数+在ASX发行和报价的+证券)ASX +证券代码及说明+已发行证券的总数丨JHX:CHESS存管权益1:1430,076,4124.2未报价+证券(每类总数+已发行但未在ASX报价的+证券)丨ASX +证券代码及说明+已发行证券的总数丨JHXAK:限制性股票单位4,886,609丨JHXAM:普通股149,177,965丨JHXAL:期权将于2027年11月3日EX 33.05 269,221美元