查看原文
免责申明:同花顺翻译提供中文译文,我们力求但不保证数据的完全准确,翻译内容仅供参考!
EX-10.1 2 rmbs-ex101 _ 2023331x10q.htm EX-10.1 文件

附件 10.1

某些已识别信息已被排除在展览之外,因为它既不是材料,而且如果公开披露,可能会对登记人造成竞争性损害。[ * * * ]表明信息已被删除。


第2至
SEMICONDUCTOR专利许可协议

本《SEMICONDUCTOR专利许可协议第二修正案》(“第二修正案”)自2024年7月1日(“第二修正案生效日期”)起生效,由Rambus Inc.和SK Hynix Inc.共同签署,Rambus Inc.是一家根据美国特拉华州法律正式组建和存在的公司,其主要营业地点为4453 N. 1st Street,Suite 100,San Jose,California 95134,U.S.A.(以下简称“蓝博士半导体”)和SK Hynix Inc.,后者是一家根据韩国法律正式组建和存在的公司,其主要营业地点为京畿道市利川市布巴尔大路2091号,韩国(以下简称“SK Hynix”),并修订双方之间的某些半导体专利许可协议,其生效日期为2013年7月1日,随后于2015年6月17日进行了修订(该协议经修订后称为“协议”)。
鉴于,双方希望根据本协议所载的条款和条件对本协议进行修订和补充。
现在,因此,考虑到本协议所载的共同契约和前提,以及其他有价值的代价,双方当事人在此确认其收到并足够,双方当事人同意如下:
1.到期日。自第二修正案生效之日起,《协定》第1.18节全文改为:
“1.18‘到期日’指的是2034年7月1日(太平洋夏令时间上午12:00)。”
2.蓝博士半导体专利和产品设计。自第二修正案生效之日起,《协定》第1.47-1.48节全部改为:
“1.47‘蓝博士半导体专利’是指蓝博士半导体或其任何子公司(包括但不限于CRI)拥有或控制或以其他方式可根据上文第1.39条获得许可的专利。为免生疑问,CRI的专利许可和/或释放自2013年7月1日起生效。
1.48 蓝博士半导体产品设计是指(a)蓝博士半导体设计的任何人类或机器可读的表示,例如绘图中的电路布局或寄存器传输级别描述(RTL)文件,用于任何产品、元素或工具,包括但不限于任何蓝博士半导体领导产品,以及(b)自第二修正案生效日期起已向SK Hynix公开宣布或披露且不与SK Hynix产品直接竞争的蓝博士半导体集成电路。
3.延期选择权的行使。为清楚起见,自第二修正案生效之日起,双方在此商定,为《协定》第1.37条的目的,所提及的延期选择权被视为已被行使。
4.SK海力士半导体收入。自第二修正案生效之日起,该协定由以下第1.69节补充:
“1.69‘SK Hynix Semiconductor Revenue’指的是市场研究公司OMDIA在当前标题为‘Competitive Landscaping Tool Quarterly(CLTQ)’的报告中以美元计算的SK Hynix及其子公司的季度全球半导体总收入。”如果OMDIA在根据本协议计算付款的任何一个日历季度未能报告,或对报告方式有重大改变,蓝博士半导体应从信誉良好的市场研究公司中选择合适的替代报告用于计算,并通知SK Hynix从那时起作为SK Hynix Semiconductor Revenue的来源的新报告。
1


5.转让专利时的义务。自第二修正案生效之日起,《协定》第2.3节全文改为:
“2.3转让专利时的义务。每一方同意,应采取一切必要行动,确保任何专利被转让、转让或独家许可或任何强制执行权利被授予的任何第三方(包括其利益的任何继承者),以书面形式受制于根据本协议授予的与此类转让、转让或独家许可专利有关的所有契约、许可和其他权利,但前提是,如果蓝博士半导体或其任何子公司将其所有权转让给任何第三方,或以其他方式授予任何第三方强制执行的权利,任何蓝博士半导体专利的任何权利要求,如受《公约》所规限,须根据下文第2.4节最后规定,在该所有权转让或授予强制执行权时,该权利要求须自动及立即当作包括在根据本协议就特许产品及SK Hynix供应部件所授予的权利及许可证内,即使该权利要求并不构成适用的蓝博士半导体专利权利要求。
如果蓝博士半导体在本协议的到期日或终止之前将任何蓝博士半导体专利转让、转让或独家许可给第三方,则该蓝博士半导体专利应受SK Hynix在该专利的有效期内获得全额支付许可的权利(“转让专利”)的约束。转让的专利应在任何拟议转让之前提供给SK Hynix的程序如下:[ * * * ]
6.购置调整数付款。自《第二修正案》生效之日起,《协定》第3.3(a)-(d)节全部改为以下内容,《协定》由以下第3.3(e)节补充:
“3.3收购。如果SK hynix没有根据下文第3.3(a)或3.3(b)条完成任何收购,则收购系数应为一(1)。[***]
(a)未获许可的收购业务。如果SK Hynix或其任何子公司在本协议到期日或终止之前完成一项收购,而被收购企业从出售任何DRAM、DRAM控制器、SerDes IC、同步闪存中获得收入(或在仅收购资产的情况下,收入归属于此类资产或业务,而不归属于适用的第三方的其他资产或业务),和/或同步闪存控制器(“参考产品”)和此类收入(由OMDIA在收购日期之前的最近四(4)个日历季度报告,而OMDIA已报告此类销售)大于[ * * * ],并且此类收入的任何部分可归因于销售未由蓝博士半导体或其子公司根据与本协议具有可比范围的专利许可获得许可的任何参考产品(“非许可参考产品”),则SK Hynix应根据此类收购增加收购期限内剩余每个日历季度的收购系数(从而增加季度许可付款),从收购日期发生的第一个日历季度开始,按日按比例计算如下:为本条第3.3(a)款的目的,“收购系数”应等于((1 + x/y)* z));如果“x”是OMDIA在收购日期之前的最近四(4)个日历季度报告的被收购企业因销售由被收购企业制造或为被收购企业制造的无许可参考产品而产生的收入,“y”是OMDIA报告的SK Hynix及其子公司在收购日期之前的最近四(4)个日历季度的收入总额,这些收入来自销售SK Hynix及其子公司制造的或为SK Hynix及其子公司制造的参考产品,而OMDIA报告了此类销售,“z”是根据本第3.3节的先前收购的总和计算的当时的收购系数。如果本第3.3(a)节计算所要求的OMDIA数据不适用于被收购企业或SK Hynix,或此类数据的最新版本涵盖在收购日期前四(4)个季度以上结束的期间,各方应在相关收购日期后三十(30)天内举行初步会议,并真诚地协商OMDIA应提供的信息的另一来源。如果当事各方不能在首次会议所要求的日期后三十(30)天内就此种替代来源达成协议,任何一方均可作为其解决此种争端的唯一和排他性补救办法,根据第8节的规定将此种争端提交具有约束力的仲裁。为免生疑问,任何可从参考产品销售中获得收入[ * * * ]或以下的被收购企业(如OMDIA在收购日期之前的最近四(4)个日历季度报告的,OMDIA已报告此种销售)应获得许可,而无需额外支付任何种类的款项。
2


(b)获得营业执照。如果SK Hynix或其任何子公司在本协议到期日或终止之前完成了一项收购,而被收购企业从受蓝博士半导体授予的范围与本协议相当的专利许可(“现有协议”)约束的任何参考产品的销售中获得收入(或者,在仅收购资产的情况下,可归属于此类资产的收入),SK Hynix应在此项收购的基础上,按日按比例增加收购期限内剩余每个日历季度的收购系数(以及季度许可费),与收购日期发生的第一个日历季度如下:。就本条第3.3(b)款而言,此种“收购系数”应等于以下两项中较低的一项:(一)在被收购企业未获许可的情况下根据第3.3(a)款计算的收购系数的价值;或(二)(x/y + z),其中“x”是现有协议的平均季度付款,其计算方法是,在收购日期之前的最近四(4)个日历季度,根据现有协议应付的美元付款的总和除以四(4),“y”是最近的季度基数,而“z”是根据本第3.3节下的先前取得物加总而得出的当时的取得系数。如果现有协议要求在收购日期之前付款不到四(4)个季度,双方应在相关收购日期之后的三十(30)天内举行初步会议,并本着诚意协商确定现有协议的平均季度付款的替代方法。如果当事各方不能在首次会议所要求的日期后三十(30)天内就此种替代方法达成协议,则任何一方均可作为其解决此种争端的唯一和排他性补救办法,根据第8节的规定将此种争端提交具有约束力的仲裁。
(c)应占收入。就本第3.3节的计算而言,非单独出售给第三方的DRAM控制器、SerDes集成电路、同步闪存和/或同步闪存控制器,例如作为组件或其他更高级别集成产品的一部分,其收入的确定将基于对单独出售给第三方的此类产品的公平市场价值的善意估计。
(d)解决争端。如果当事各方未能解决本第3.3节所确定的任何争议,则任何一方均可作为其唯一和排他性补救办法,根据第8节将此类争议提交具有约束力的仲裁,SK Hynix根据此类有争议的收购而增加的季度许可付款的汇付义务,应计入费用,直至此类仲裁的最终解决或当事各方解决此类争议的较早者,在上述任何一种情况下,SK Hynix都将在此项决议通过后三十(30)天内支付一切必要款项,以履行其在本第3.3节下的付款义务,从这些债务累积之日起算。
(e)示例计算。为清楚起见,提供了以上第3.3(a)和(b)节计算的下列实例:
    例1–如果SK Hynix收购的是一家未经蓝博士半导体许可的企业,该企业在收购前四个季度从参考产品获得[ * * * ]的收入,而SK Hynix在同一时期从参考产品获得的收入为200亿美元(20,000,000,000美元),如果SK Hynix之前没有任何收购,那么收购系数将计算如下:
购置系数=((1 + [ * * * ]/20,000,000,000)* 1)= [ * * * ]
    例2–如果在例1中的收购之后,SK Hynix将收购一家获得蓝博士半导体许可的企业,该企业在收购之前的四个季度中从参考产品获得了[ * * * ]的收入,而SK Hynix在同一时期内从参考产品获得了250亿美元(25,000,000,000美元)的收入,该被收购企业在同一时期内平均每季度支付300万美元(3,000,000美元),而最近的季度基数为1,100万美元(11,000,000美元),那么收购系数将计算如下:
购置系数(每3.3(b)(i))=(1 + [ * * * ]/25,000,000,000)* [ * * * ] = [ * * * ]
购置系数(每3.3(b)(二))=(3,000,000/11,000,000)+ [ * * * ] = [ * * * ]
3


因此,例2中收购后的收购系数将是上述两个值中的较小值,即[ * * * ]。”
7.Solidigm收购。自第二次修正生效之日起,该协定由以下第3.5节补充:
“3.5Solidigm收购。 SK海力士声明并保证,它于2021年12月收购了英特尔 NAND闪存业务的一部分,这导致了SK Hynix控股子公司SK Hynix Controls(“Solidigm”)的成立。[***]
此外,尽管有第3.2节的规定,如果SK Hynix或其任何子公司剥离部分或全部前英特尔的NAND闪存业务和/或SK Hynix的部分或全部NAND闪存业务(“剥离实体”),则:
(i)如果该分拆实体继续作为单独的法律实体存在(直接或通过其子公司(“运营公司”)制造、制造和/或销售集成电路的任何其他第三方不拥有或以其他方式控制的实体[ * * * ],或
(ii)如该分拆实体由经营公司控制,[ * * * ]
当蓝博士半导体和分拆实体讨论该分拆实体所收购业务和/或分拆实体未获许可部分的许可和契约时,蓝博士半导体应本着诚意进行谈判。"
8.季度许可证付款。自《第二修正案》生效之日起,《协定》第4.1-4.2条全部改为:
“4.1季度许可证付款。
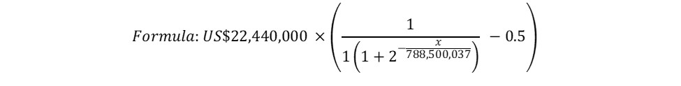
(a)季度许可证付款计算。考虑到本协议的延长条款,从2024年第三季度开始,对于本协议到期日或终止之前的每个日历季度,SK Hynix应向蓝博士半导体支付按季度基数乘以收购系数(定义见第3.3节)乘以时间系数(定义见下文)的乘积计算的金额(该金额称为“季度许可付款”):
季度授权支付=季度基础金额×收购系数×时序系数
季度基额应使用以下公式计算:
picture1.jpg
其中x是SK海力士半导体在该日历季度之前两个季度的收入,但在任何情况下,每一项收入都不应超过1,100万美元(11,000,000美元)(该金额称为“季度基数”)。
“时间系数”应根据下表确定:
季度许可证付款季度 时间系数
3rd2024 – 4季度2028年第四季度
1.222222222
1St2029年第2季nd2034年第四季度
0.818181818
根据第4条须支付的所有季度许可证付款,须四舍五入至最接近的百分数。
4


(b)示例计算。为清楚起见,上文第4.1节(a)中提供了下列计算实例:
例1-如果SK海力士半导体2025年第二季度的收入为30亿美元(3,000,000,000美元),而收购系数为1(并且由于相关的付款季度,时间系数为1.222222222),那么2025年第四季度的季度许可付款将为:
picture2.jpg
季度基数= 9,721,420.98美元
季度许可证付款= 9,721,420.98 × 1 × 1.22 2222222 = 11,881,736.75美元
例2–如果SK Hynix Semiconductor 2028年第三季度的收入为90亿美元(9000,000,000美元),而收购系数为1.05(并且由于相关的付款季度,时间系数为0.8 181818),那么2029年第一季度的季度许可付款将为:
picture3.jpg
季度基数= 11,000,000.00美元
季度许可证付款= 11,000,000.00美元× 1.05 × 0.8 181818 = 9,450,000.00美元
4.2采购付款增加。为免生疑问,根据第4.1节支付的所有款项均须按本协定第3.3节规定的任何适用的增加额加以规定,而本协定第2节授予的权利和许可证不得延伸至任何已获得的企业,除非并直至已支付了适用的增加的季度许可证付款(如果有的话)。付款后,此种许可证应自适用的收购日期起生效。”
9.取消条款。自第二次修订生效之日起,本协议第1.41节(季度收购调整付款)、第5.1(a)(iii)节(季度收购调整付款)、第7.3节(相关许可协议审计)和附件 A(附加义务)全部替换为以下内容:
“故意删除。”
10.控制成员.自第二修正案生效之日起,《协定》第6.4(iv)节全文改为:
“(iv)该控股成员及其子公司应受上述第3.3节的约束,就好像它(该控股成员及其子公司合称)是一家被收购企业一样。”
11.蓝博士半导体的控制权变更。自第二次修正生效之日起,该协定由以下第6.7节补充:
“6.7蓝博士半导体的控制权变更。[***]
5


12.保密。自第二修正案生效之日起,《协定》第7.2(e)节全文改为:
“(e)对银行、投资者和其他融资来源及其顾问或SK Square Co.,Ltd.(前提是在向SK Square Co.,Ltd.披露任何此类信息时,SK Square Co.,Ltd.拥有SK hynix至少百分之二十(20)的已发行有表决权证券);”
13.SSO盟约。自第二修正案生效之日起,该协定由以下第9.13节补充:
“9.13盟约。SK hynix,代表其自身及其子公司,在此承诺、声明和保证,如果SK hynix或其子公司要求蓝博士半导体参与或加入此类组织(例如通过电子邮件),应根据蓝博士半导体和/或蓝博士半导体的子公司参与或加入任何JEDEC委员会和/或小组委员会(例如JC-42)、CXL联盟和UCIe联盟或任何其他标准制定组织,则应减少或以其他方式调整欠蓝博士半导体和/或蓝博士半导体的子公司的特许权使用费或其他许可付款。
14.通知。SK海力士和 现将蓝博士半导体根据《协定》第9.2节发出通知的地址更新如下:
SK海力士公司。
SK u-Tower,9,Seongnam-daero 343 beon-gil,Bundang-gu,
Seongnam-si,Gyeonggi-do,13558,Korea
Attn:知识产权办公室主任
连同一份副本:IP _ licensing@skhynix.com

Rambus Inc.
4453 N.1St街,100号套房
加利福尼亚州圣何塞95134
Attn:总法律顾问
附:Attn:Licensing andnotices@rambus.com
15.[ * * * ]谈判权。自第二修正案生效之日起,该协定由以下第9.13节补充:
“9.13[ * * * ]谈判权。
(a)如果[ * * * ]在有效期内延长其合格许可证或与蓝博士半导体签订新的合格许可证,则SK Hynix有权在收到下文第9.13(c)节所列通知后三(3)个月内自行选择,要求双方本着诚意进行谈判,以调整季度基准金额。如果当事各方未能在十二(12)个月内通过这种谈判达成协议,当事各方同意作出诚意努力,通过调解解决问题。在调解中,当事各方应相互商定一名调解人,当事各方同意平分商定调解人的费用。为清楚起见,在双方通过上述程序商定对季度基额的任何调整并在双方签署的书面修正案中予以记录之前,季度基额应保持第4.1节的定义。
(b)就本文而言,“合格许可”是指蓝博士半导体和/或其一个或多个子公司根据蓝博士半导体专利授予[ * * * ]许可的协议,这种协议主要是专利许可协议的性质,而不是主要是开发、技术许可或服务协议的性质。
(c)蓝博士半导体应本着诚意,及时向SK Hynix提供[ * * * ]任何未来已签立的合格许可证[ * * * ]的通知。SK Hynix有权通过双方均可接受的第三方会计或律师事务所,仅就此类协议中与确定[ * * * ] SK Hynix在本节下的谈判权是否被触发有关的条款,对蓝博士半导体的合格许可证[ * * * ]进行审计;但条件是
6


对于任何含有限制蓝博士半导体披露的保密义务的既有协议,上述规定不应要求蓝博士半导体披露此类协议[ * * * ]。"
16.新闻稿。双方应就经本第二修正案修正和补充的本协定以双方均可接受的形式发布新闻稿。每一方同意,在此种新闻稿发布后,每一方均有权披露经如此修正和补充的本协定的一般性质,但经如此修正和补充的本协定的条款和条件,在尚未根据该新闻稿披露的范围内,应按照《协定》第7节被视为机密信息。
17.杂项。 除经特别修正外,本协定仍具有完全效力和效力。本第二修正案可由两(2)个或两个以上的对应方签署,所有这两个对应方加在一起,应视为同一文书。
作为证人,双方已安排在上述日期由正式授权的官员或代表签署本协议。

Rambus Inc. SK HYNIX公司。
签名: Kit Rodgers 签名: /s/Kyunghyun Min
姓名: 基特·罗杰斯 姓名: 京云民
职位: 高级副总裁 职位: 副总裁/知识产权办公室
日期: 3/31/2023 日期: 2023年3月30日
7