查看原文
免责申明:同花顺翻译提供中文译文,我们力求但不保证数据的完全准确,翻译内容仅供参考!
DEF14a 1 TM2135773D3_DEF14a.htm DEF14a

GRAPHIC

自美国证券交易委员会华盛顿以来, 根据1934年《证券交易法》第14(a)条的规定,华盛顿特区20549附表14A(第14A-101条)委托书(第14A-101条))由注册人以外的一方提交的,请选中相应的框:o初步代理声明o机密, 仅供委员会使用(根据规则14a-6(e)(2)))最终委托书声明o最终补充材料o根据240.14a-12YETI控股公司的招标材料, Inc.(在其章程中指定的注册人名称)(提交委托书的人的姓名, (如果不是注册者)支付申请费(勾选所有适用的框):不需要费用。o以前使用初步材料支付的费用。o根据《交易法》第25(b)条规定的附件表计算的费用。规则14A6(i)(1)和0-11Toppan Merrill-YETIHoldings_Inc。DEF14A Ed and Print Only Ed|105251|16-Mar-22 10:56|21-35773-1.aa|顺序:1CHKSUM内容:62088布局:36283图形:52572清洁工作:21-35773-1循环#;BL#:12;0修剪:8.25“x10.75”作为:达拉斯:214-698-9777颜色:黑色, ~注-Color2图形:rc_dbl_rule.eps, rc_thk_rule.eps v1.5,

GRAPHIC

Toppan Merrill-YETI控股公司。DEF14A ED和打印只ED|105251|16-mar-22 10:56|21-35773-1.AC|序列:1CHKSUM内容:0布局:54981图形:42293清洁工作:21-35773-1循环#;BL#:12;0修剪:8.25“x10.75”作为:达拉斯:214-698-9777颜色:黄、青、~注-色2、黑、品红图形:35773-1_OFC_fpo_4c_cov.eps v1.5

GRAPHIC

1对我们的品牌和产品保持真诚和创新2不断努力改进3优先考虑影响最大的活动4响应并采取额外的MILE5带着紧迫感行动6没有人能独自成功Toppan Merrill-YETIHoldings_Inc.。DEF14A编辑和打印仅ED|105251|16-Mar-22 10:56|21-35773-1.AC|顺序:2CHKSUM内容:0布局:468图形:970清洁工作:21-35773-1循环#;BL#:12;0修剪:8.25“x10.75”作为:达拉斯:214-698-9777颜色:黄、青、~注-色2、黑、品红色图形:35773-1_IFC_FPO_4C_CoV.EPS v1.5

GRAPHIC

YETI控股, 公司:奥斯汀西南公园大道7601号, 德克萨斯州78735年3月21日, 2022年致全体股东:我们很高兴邀请您参加YETI控股公司的年度股东大会, 股份有限公司(以下简称“YETI”)将于周四举行虚拟会议, 5月5日, 2022, 在CDT的早上8点, 在WWW.virtualshare Holdermeeting.com/YETI2022。作为我们针对新冠病毒大流行的预防措施的一部分,并支持我们股东的健康和福祉, YETI的2022年年度股东大会(“年度会议”)将仅在网上举行。年会将不设具体地点, 您将不能亲自参加年会。以下页面包括年会的正式通知和YETI的委托书。这些材料描述了年会议程上的各种事项,并提供了有关参加年会的详细信息。请阅读这些材料,以便您了解我们计划在年会上做什么。我们选择通过将代理材料的互联网可用性通知(以下简称“通知”)邮寄给以前未要求通过邮件或电子邮件接收我们的代理材料的股东,从而在Internet上提供对我们代理材料的访问。该通知提供了有关股东如何选择获得我们的代理材料纸质副本的信息。这种方法加快了您的代理材料的接收, 降低了年会的费用, 并支持保护自然资源。重要的是,你的股票在年会上的代表。不管你是否打算虚拟参加年会, 请尽快通过随附的代理声明和收到的通知或代理卡中所述的任何可供您使用的投票选项对您的股票进行投票。我们希望你能行使你作为股东的权利,并充分参与YETI的未来。代表管理层和我们的董事会, 我们感谢您对YETI的持续支持。真诚的, Matthew J. Reintjes,总裁兼首席执行官, 董事说:“重要的是,你的股票要有代表出席年度会议。不管你是否打算虚拟参加年会, 请尽快对你的股票进行投票。”Toppan Merrill-YETI控股公司。DEF14A编辑和打印只有编辑|105251|16-Mar-22 10:56|21-35773-1.BA|顺序:1CHKSUM内容:13275布局:29183图形:28269清洁工作:21-35773-1循环#;BL#:12;0修剪:8.25“x10.75”作为:达拉斯:214-698-9777颜色:黄色, 洋红色, 青色, YETI·布鲁, ~注-颜色2, 1, 黑色, 0图形:matth_j_reintj_4c_pht.eps, matthew_j_reintjes_k_sig.eps, YETI_YETIBlue_logo.eps v1.5,

GRAPHIC

DTC增长调整后营业收入*调整后净收入*29%32%23%20.9%调整后TERM2*29%32%23%20.9%净销售增长批发增长调整后营业利润率*调整后稀释后每股净收入**调整后营业收入的对账, 调整后营业利润率, 调整后的净收入, 以及本委托书中规定的按公认会计原则最接近的衡量标准调整后的稀释后每股净收入, 请参阅“附录A:非GAAP财务指标的调节”。ESG:43%的领导者是女性28.7万个一次性水瓶被淘汰支持我们的社区355吨包装垃圾避免了50%的碳足迹通过我们对多样性的承诺,我们致力于气候行动, 股权, 和包容, 我们将女性担任领导职务的比例从2020年的41%提高到2021年的43%。YETI在美国和国际上的各种活动中提供“水化站”,以消除对一次性饮用饮料的需求。自2018年以来, 我们相信他们已经从使用中节省了大约287,000个16OZ.塑料水瓶。超过200万美元的捐款给了致力于野生动物保护和展示的组织和基金会。自2018年以来, 我们的首选包装计划已从我们的产品中消除了146吨塑料和209吨纸。通过从原生塑料转换为100%可追溯和100%消费后可回收的Bureo Netplus材料, 从2021年开始,我们将所有YETI帽檐中塑料的碳足迹降低了50%。我们在整个价值链中设定了减排目标, 包括承诺到2030年将范围1和范围2的排放量减少50%,范围3的排放量减少27%,与20财年的基线相比。13个社区+157个大使2021年财务亮点钓鱼狩猎啤酒和BBQ烹饪滑雪/滑雪板滑板冲浪/桨运动音乐健康牛仔竞技牧场攀登/阿尔卑斯山2021年社区Reach Toppan Merrill-YETIHoldings_Inc.DEF14A编辑和打印只有编辑|105251|16-Mar-22 10:56|21-35773-1.BA|序列:2CHKSUM内容:0布局:2525图形:40987清洁工作:21-35773-1循环#;BL#:12;0修剪:8.25“x10.75”作为:达拉斯:214-698-9777颜色:黄色, 洋红色, 青色, ~注-颜色2, 0, 1, 黑色图形:35773-1_IFF_fpo_4c_cov.eps v1.5,

GRAPHIC

年度股东大会通知,作为我们针对新冠病毒大流行的预防措施的一部分,并支持我们股东的健康和福祉, YETI的2022年年度股东大会(“年度会议”)将仅在网上举行。年会将不设具体地点, 您将不能亲自参加年会。获准参加年会, 您必须在代理卡上输入控制号码, 投票指示表格, 或您先前收到的互联网可用性通知。请参阅随附的代理声明第1页的其他说明。年度会议上的事项, 股东将被要求:•选举在随附的委托书中指定的两名I类董事提名人,任期至YETI2025年年度股东大会,以及其各自的继任者正式当选并获得资格为止;•批准, 通过不具约束力的咨询投票, 支付给YETI指定的执行官的薪酬(“薪酬话语权”投票);•批准任命普华永道会计师事务所(PricewaterhouseCoopers LLP)为YETI截至12月31日的财年的独立注册公共会计师事务所, 2022年;以及•处理在年度会议或其任何休会或延期之前可能适当进行的其他业务。有权投票的股东YETI的董事会已将营业时间定在3月10日, 将2022年作为确定有权收到通知的股东的记录日期(“记录日期”), 出席年度会议或其任何延期或延期,并在会议上投票。只有在记录日营业时间结束时登记在册的股东才有权收到通知, 参加, 并在年度会议上投票。股票转让账簿将不会被关闭。有权在年度会议上投票的股东名单将在年度会议召开前十天在YETI的办公室进行检查。在虚拟年会期间,也可以通过使用您的代理卡上的控制号码,在WWW.virtualshareholdermeeting.com/YETI2022上访问股东名单, 投票指示表格, 或互联网可用性的通知。本年度股东大会通知的材料, 随附的委托书和YETI2021年年度股东报告可在WWW.proxyvote.com上获得。无论你是否计划参加年会,你的投票都很重要, 我们敦促您尽快按照随附材料中所述的方式对股票进行投票,以便您的股票可以按照您的意愿和顺序进行代表和投票。在年度会议上可以保证达到法定人数。如果你打算参加年会, 请准备好您的代理卡上的控制号码或您先前收到的互联网可用性通知。根据董事会的命令, Bryan C. Barksdale高级副总裁, 总法律顾问兼秘书,3月21日, 2022年日期:星期四, 5月5日, 2022年时间:CDT上午8:00地点:WWW.virtualshareholdermeeting.com/YETI2022Toppan Merrill-YETIHoldings_Inc.DEF14A编辑和打印只有编辑|105251|16-Mar-22 10:56|21-35773-1.BA|序列:3CHKSUM内容:63721布局:41474图形:707清洁工作:21-35773-1周期#;BL#:12;0修剪:8.25“x10.75”作为:达拉斯:214-698-9777颜色:YETI蓝, ~注-颜色2, 黑色图形:bryan_barksdale_k_sig.eps v1.5,

GRAPHIC

关于前瞻性声明的注意事项本委托书(以下简称“委托书”)是YETI控股公司的一份委托书, 该公司(“YETI”)包含1995年《私人证券诉讼改革法案》所定义的“前瞻性陈述”。本委托书中包含的除历史或当前事实之外的所有陈述均为前瞻性陈述。前瞻性陈述包括包含诸如“预期”、“假设”、“相信”、“可以”、“拥有”、“考虑”、“继续”、“可能”、“设计”、“到期”、“估计”、“预期”、“预测”、“目标”、“打算”、“可能”、“可能”、“目标”、“计划”、“预测”、“项目”、“潜力”、“寻求”、“应该”、“目标”、“意愿”、“意愿”等词语的陈述,以及与未来表演或其他事件的时间或性质的任何讨论有关的具有类似含义的其他词语和术语。例如, 所有与未来目标有关的声明, 承诺, 程序, 计划以及业务绩效和战略均为前瞻性陈述。所有前瞻性陈述都存在风险和不确定性,这些风险和不确定性可能导致实际结果与预期结果大不相同, 因此, 你不应该过分依赖这种说法。可能导致实际结果与这些前瞻性陈述所表达或暗示的结果大不相同的风险和不确定因素包括但不限于我们向美国证券交易委员会(“SEC”)提交的文件中所包含的风险和不确定因素, 包括我们截至1月1日的10-K表年度报告, 2022, 因为这类文件可能会被修改, 不时由美国证券交易委员会的其他报告YETI文件补充或取代。结果, 我们活动的实际操作, 包括发展, 执行, 或任何项目的继续, 政策, 或在本委托书中讨论或预测的计划, 在未来可能会有很大的不同。与任何预测或估计一样, 实际结果或数字可能会有所不同。本委托书中包含的前瞻性陈述是基于详细的假设做出的,反映了管理层当前的期望和信念。尽管YETI认为,这些前瞻性陈述所依据的假设是合理的, YETI警告说,预测已知因素的影响是非常困难的, YETI不可能预测所有可能影响实际结果的因素。此处包含的前瞻性陈述仅在本文发布之日做出。YETI不承担因新信息而公开更新或修改任何前瞻性陈述的义务, 未来的事件, 否则, 法律规定的除外。网站参考资料您也可以访问有关YETI的更多信息,在WWW.YETI.com。本代理声明中对我们网站的引用仅是为了方便起见,我们网站上的内容不构成本代理声明的一部分。Toppan Merrill-YETI控股公司。DEF14A编辑和打印只有编辑|105251|16-Mar-22 10:56|21-35773-1.BA|顺序:4CHKSUM内容:48585布局:5875图形:0干净的工作:21-35773-1循环#;BL#:12;0修剪:8.25“x10.75”作为:达拉斯:214-698-9777颜色:YETI蓝, ~注-颜色2, 黑色图形:无V1.5,

 

目 录

 

 

    Page
代理摘要 1
我们的董事会 4
提案1。选举第一类董事 4
导演提名 6
一级导演 6
继续任职的董事 8
Class II Directors 8
第三类董事 11
董事会组成、资格和多样性 13
公司治理 15
环境、社会和治理 15
董事独立性 20
董事会规模和组成 21
董事会及其委员会 21
审计委员会 22
薪酬委员会 22
提名与治理委员会 23
董事提名程序 23
薪酬委员会联动与内部人参与 25
董事会职能、领导结构和执行会议 26
董事会在继任规划中的作用 26
董事会在风险监督中的作用 26
商业行为守则 28
董事会评估 28
反套期保值和反质押政策 28
与董事会的沟通 28
非雇员董事薪酬 29
2021财年董事薪酬表 29
年度现金补偿 30
股权补偿 31
公司产品折扣 31
非雇员董事持股指引 31
高管薪酬 32
提案2。在咨询的基础上批准支付给我们任命的执行官的薪酬 32
执行干事 33
薪酬讨论与分析 35
i. 执行摘要 36
ii. 薪酬理念与目标 41
iii. 补偿确定过程 44
iv. 补偿计划组件 47

 

 

目 录

 

    Page
v. 额外的补偿政策和做法 56
  执行股票所有权准则 56
  追回政策 57
  反套期保值和反质押政策 57
薪酬委员会报告 58
2021年总薪酬表 59
就业协议 60
2021财年基于计划的奖励授予表 61
2021财年末杰出股票奖励 62
股权补偿计划 63
2021财年期权行使和股票既得表 64
离职后补偿 64
高级领导离职福利计划 64
终止或控制权变更时的潜在付款 65
离职后补偿表 67
首席执行官薪酬比率 68

 

审计事项 70
独立注册公共会计师事务所费用 70
审计委员会对审计和非审计服务的预先批准 70
审计委员会报告 71
独立注册公共会计师事务所的变更 72
提案3。批准委任独立注册公共会计师事务所 73
股票所有权 74
某些受益所有人的担保所有权和管理 74
某些关系和关联方交易 76
注册权协议 76
关联交易的政策和程序 76
附加信息 78
关于年会的问答 78
董事提名和股东提议 82
年度报告 82
其他业务 82
附录A 83

GRAPHIC

YETI2022年委托书|1委托书摘要YETI控股公司的这份委托书(这份“委托书”), Inc., 特拉华州的一家公司(“YETI”), 是与YETI董事会(“董事会”)征集代理人有关的,以供YETI将于周四举行的2022年年度股东大会(“年度会议”)使用, 5月5日, 2022, 在股东周年大会通知(“年度会议通知”)及其任何延期或延期中规定的时间和地点进行表决。YETI的代理材料将于3月21日左右发布, 2022年授予所有有投票权的股东。在年度会议上就要表决的事项进行表决的事项以及董事会对此类事项的表决建议如下:股东还将处理在年度会议或其任何休会或延期之前适当进行的其他事务。参加虚拟年会物流•在线参加年会, 包括投票和/或提交问题, 在WWW.virtualshareholdermeeting.com/YETI2022。•年度会议将于CDT上午8:00开始, 从CDT早上7:45开始登录, 周四, 5月5日, 2022.•股东将需要使用其代理卡上的控制号码, 投票指示表格或互联网可用性通知,以便登录WWW.virtualshareholdermeeting.com/YETI2022。•我们鼓励您在开始时间之前参加年度会议。请留出足够的时间进行网上签到, 将于美国中部时间上午7:45开始。请注意,如果您没有您的控制号码,并且您是注册所有者, 操作员将能够向您提供您的控制号码。然而, 如果你是一个有钱的所有者(因此在银行的账户中持有你的股票, 经纪人或其他记录持有人), 你需要联系那家银行, 如果您无法在年度会议之前在投票指示表或互联网可用性通知中找到您的控制号码,则经纪人或其他记录持有人可以在年度会议之前获得该号码。•技术人员将协助您解决任何技术难题。如果您在报到或年会期间访问年会时遇到任何困难, 请拨1-844-986-0822, 或303-562-9302的国际电话。技术支持号码也将显示在在线虚拟会议平台的登录页面上。年度会议期间的投票•股东应按照WWW.virtualshareholdermeeting.com/YETI2022上的说明在年度会议期间进行投票。年度会议期间的网络投票将取代以前通过互联网提交的任何投票, 电话或邮件。1.2.在本委托书中提名的两名第一类董事候选人的选举,任期至YETI2025年年度股东大会,以及其各自的继任人正式当选并获准;批准, 通过不具约束力的咨询投票, 支付给YETI指定的执行官的薪酬;任命普华永道会计师事务所(PricewaterhouseCoopers LLP,简称:普华永道)为YETI在截至12月31日的SCAL年度的独立注册公共会计RM, 2022.Toppan Merrill-YETI控股公司。DEF14A编辑和打印只有编辑|105251|16-Mar-22 10:56|21-35773-1.加利福尼亚州|顺序:1CHKSUM内容:38945布局:11091图形:0干净的工作:21-35773-1循环#;BL#:12;0修剪:8.25“x10.75”作为:达拉斯:214-698-9777颜色:YETI蓝, ~注-颜色2, 黑色图形:无V1.5,

GRAPHIC

2|YETI2022年委托书委托书摘要提出问题•您可以在年会期间以书面形式提交现场问题,地址是WWW.virtualshareholdermeeting.com/YETI2022。在年会期间, 在时间允许的情况下,我们将回答尽可能多的股东提交的问题, 年度会议之后,我们无法解决的任何问题都将在我们的网站上发布并回答,但与年度会议的目的或我们的业务或与之无关的任何问题除外含有不恰当的或贬损的引用,不符合品味。如果我们收到实质上类似的问题, 我们将把这些问题组合在一起,并提供一个单一的答案,以避免重复。年度会议之后•年度会议之后, 我们将在投资者关系网站上发布年度会议的回放和会议记录(包括问答环节), 以及NAL的投票结果, 它将在网站上保留至少一年。如何在年度会议之前对记录在案的股东进行投票,如果您是记录在案的股东, 在年会召开之前,你可以通过以下方式进行投票:电话或电子投票的截止时间是美国东部时间5月4日晚上11:59, 2022.如果你通过电话或电子方式投票, 您不需要退还代理卡。如果您计划邮寄或退还代理卡,以指示如何在年度会议上对股票进行投票, 您的代理卡应退还,以便在年度会议投票结束前收到。在年度会议期间,如果您是记录在案的股东, 你可以在年会上投票, 请访问网址WWW.virtualshareholdermeeting.com/YETI2022,并按照投票说明进行操作。如果你是一个有钱的人,而且你的股份是由一家银行持有, 经纪人或其他被提名人, 你应该按照那个RM提供给你的说明去做。虽然现在大多数银行和经纪商都提供邮寄投票, 通过电话和互联网, 上市时间和具体的C程序将取决于他们的投票安排。Bene Cially持有的股票可以在年度会议期间使用Bene Cial所有者收到的投票指示表或互联网可用性通知上的控制号码进行电子投票。通过电话拨打1-800-690-6903,并按照邮寄给您的代理卡或投票指示表格上显示的电话投票说明进行操作, 或您通过电子邮件收到的说明。通过移动设备发送邮件,通过互联网完成, 签名, 在提供的信封中注明日期并邮寄代理卡或投票指示表格。如果你通过互联网或电话投票, 请不要邮寄您的代理卡或投票指示表格。扫描, 用你的移动设备, 邮寄给您的代理卡或投票指导表上提供的QR码。在年会之前, 请访问网址WWW.proxyvote.com,并按照《代理材料互联网可用性通知》上显示的互联网投票说明进行操作, 邮寄给您的代理卡或投票指示表格, 或您通过电子邮件收到的说明。Toppan Merrill-YETI控股公司。DEF14A编辑和打印只有编辑|105251|16-Mar-22 10:56|21-35773-1.加利福尼亚州|序列:2CHKSUM内容:40137布局:20359图形:22760干净的工作:21-35773-1循环#;BL#:12;0修剪:8.25“x10.75”作为:达拉斯:214-698-9777颜色:洋红色, YETI·布鲁, ~注-颜色2, 黑色, 青色图形:BY_INTERNET_4C_ICON.EPS, qr_code_k_icon.eps, by_mail_4c_icon.eps, BY_TEL_4C_ICON.EPS v1.5,

GRAPHIC

YETI2022年代理声明|3代理摘要此摘要突出显示了此代理声明中包含的某些信息,但不包含投票前应考虑的所有信息。要获得更完整的信息, 请查看我们的年度报告和这份完整的委托书。关于将于5月5日举行的年度股东大会的代理材料的可用性的重要通知, 2022.在证券交易委员会(“SEC”)规则允许的情况下, YETI已经决定召开年度会议, 这份委托书, 以及YETI截至1月1日的SCAL年度股东年报, 2022(我们的“年度报告”)主要通过WWW.proxyvote.com的互联网向我们的股东提供, 而不是将这些材料的打印副本邮寄给每个股东。每个股东(先前要求以电子方式交付所有材料或先前选择接收代理材料纸质副本的股东除外)将收到有关代理材料的互联网可用性的通知(“代理通知”),其中包含有关如何访问的说明和审查代理材料, 包括年度会议通知, 这份委托书和年报, 以及如何在互联网上访问电子代理卡以在互联网上进行投票。如果您通过邮件收到代理通知,并希望收到我们的代理材料的印刷副本, 请按照代理通知中包含的说明,要求将纸质副本邮寄给您。Toppan Merrill-YETI控股公司。DEF14A编辑和打印只有编辑|105251|16-Mar-22 10:56|21-35773-1.加利福尼亚州|序列:3CHKSUM内容:31729布局:30569图形:0清洁工作:21-35773-1周期#;BL#:12;0修剪:8.25“x10.75”作为:达拉斯:214-698-9777颜色:YETI蓝, ~注-颜色2, 黑色图形:无V1.5,

GRAPHIC

我们的董事会建议1。第一类董事的选举董事会目前由七名合格的董事组成,我们认为他们的技能与我们的业务和战略相一致。下表列出了我们现任董事的姓名, 包括在年度会议上任期届满的每位I类董事,以及在年度会议后将继续担任YETI董事的每位董事。目前的第一类董事中的每一位都已被提名参加年度会议的选举,如下文“董事提名”所述。名称类别年任期届满Frank D. Gibeau一2022年Matthew J. Reintjes一2022年Mary Lou Kelley二2023年Dustan E. Mccoy二2023年Robert K. Shearer二2023年Tracey D. Brown三2024年Alison Dean三2024年董事会的等级结构在我们的董事会中被采用经修订和重述的公司注册证书, 10月25日生效, 2018年(“公司注册证书”)。董事提名人是由有权在出席法定人数的股东大会上选举董事的普通股持有人以多数票选出的。这意味着,获得最多赞成票的两名董事提名(在亲自或通过代理人正确投票的情况下)将在年度会议上当选为董事会成员。在年度会议召开时,任何董事提名人是否因正当理由无法或不愿担任董事, 委托书持有人可以对代理人的选举进行投票, 代替他, 董事会可提名或指定的任何其他人, 或者,董事会可以减少组成董事会的董事人数。然而, 我们不知道有任何情况会阻止任何I类董事提名人任职。当选的董事任期至其三年任期届满,直至其继任者当选并获得资格为止。除非另有指示, 您提交的委托书中指定的委托书持有人打算“为所有人”投票,以选举每位I类董事提名人进入董事会。董事会一致建议股东投票“支持所有人”,以选举每位I类董事候选人进入董事会。4|YETI2022年委托书Toppan Merrill-YETIHoldings_Inc.DEF14A编辑和打印只有编辑|105251|16-Mar-22 10:56|21-35773-1.DA|序列:1CHKSUM内容:33928布局:24091图形:21141清洁工作:21-35773-1周期#;BL#:12;0修剪:8.25“x10.75”作为:达拉斯:214-698-9777颜色:YETI蓝, ~注-颜色2, 黑色图形:checkmark_ko_icon.eps v1.5,

GRAPHIC

种族多样性性别多样性平均年龄:51女性:42.9%(7个董事中的3个)黑人/非裔美国人:14.3%(7个董事中的1个)1董事会任期0-2年:42.9%(7个董事中的3个)3-5年:42.9%(7个董事中的3个)5年以上:14.3%(7个董事中的1个)独立:85.7%(7个董事中的6个)3年龄分布<50年:14.3%(7名董事中的1名)50-59年:42.9%(7名董事中的3名)>70年:28.6%(7名董事中的2名)213独立性6董事会概况60-69年:14.3%(7名董事中的1名)331YETI 2022年委托书|5我们的董事会成员:Toppan Merrill-YETIHoldings_Inc.。DEF14A Ed and print only Ed|105251|16-mar-22 10:56|21-35773-1.da|序列:2CHKSUM内容:45564布局:27876图形:46568清洁工作:21-35773-1循环#;BL#:12;0修剪:8.25“x10.75”as:214-698-9777颜色:黄色、品红、青色、YETI蓝、~注-颜色2、1、黑色、0图形:35773-1_4b_board snap.eps v1.5

GRAPHIC

董事提名股东被要求选举Frank D. Gibeau和Matthew J. Reintjes担任第一类董事,任期三年,至2025年年度股东大会结束,直到他们各自的继任人正式当选并获得资格为止。每个I类董事提名人目前担任I类董事,其任期在年度会议上届满。每位I类董事提名人均已同意当选为I类董事, 每一位一级董事提名人都表示有意在整个任期内任职。董事会根据董事会提名和治理委员会的建议提名了这些董事。以下各节提供了有关每一位被提名人当选为第一类董事的信息。它包括具体的经验, 资格, 提名和治理委员会和/或董事会在评估担任董事的人选是否合适时考虑的技能, 以及每位董事在董事会任期的开始, 他的年龄和这类董事的委员会任务。年龄截止到3月21日, 2022.第一类董事提名(任期至2025年)Frank D. GibeauCareer Highlights•Zynga Inc., 领先的社交游戏服务提供商•首席执行官(2016年3月至今)•艺电公司, 数字互动娱乐的全球领导者•EA Mobile执行副总裁(2013年9月至2015年5月)•EA Labels总裁(2011年8月至2013年9月)•EA Games Label总裁(2007年6月至2011年8月)•执行副总裁, 总经理, 北美出版(2005年9月至2007年6月)•北美营销高级副总裁(2002年至2005年9月)•其他上市公司董事会•Zynga(2015年8月至今)教育•工商管理硕士, 圣克拉拉大学•理学士, 工商管理, 南加州大学关键技能和资格Gibeau先生被选为我们的董事会成员,因为他:•在一家上市公司拥有丰富的领导经验•广泛的公共会计, 金融, 和内部控制经验•对公司战略有深入的了解, 产品开发兼品牌建设总监(自2020年2月起)年龄:53个委员会:•独立审计6|YETI2022委托书我们的董事会Toppan Merrill-YETIHoldings_Inc.DEF14A编辑和打印只有编辑|105251|16-Mar-22 10:56|21-35773-1.DA|序列:3CHKSUM内容:28766布局:39069图形:6452清洁工作:21-35773-1循环#;BL#:12;0修剪:8.25“x10.75”作为:达拉斯:214-698-9777颜色:彩通冷灰色3C, 黄色, 洋红色, 0, YETI·布鲁, ~注-颜色2, 1, 黑色, 青色图形:checkmark_YETIblue_icon.eps, frank_gibeau_4c_photo.eps v1.5,

GRAPHIC

Matthew J. ReintjesCareer Highlights•YETI控股, •总裁兼首席执行官(2015年9月至今)•Vista Outdoor Inc., 一家户外运动和娱乐产品的制造商, 其中, 在2月9日之前, 2015, 担任Alliant TechSystems Inc.的报告部门•户外产品副总裁(2015年2月至2015年9月)•Alliant TechSystems Inc., 航空航天, 防御, 体育用品公司•配饰副总裁(2013年11月至2015年2月)•Bushnell Holdings Inc., 户外和娱乐产品的领先品牌组合•首席运营官(2013年5月至2013年11月)•高科技工业服务, Inc., 工业服务供应商•首席运营官(2013年1月至2013年5月)•丹纳赫公司, 作为一家全球科技公司•担任北美Kavo Equipment Group总裁(2011年10月至2013年1月)•担任成像总裁(2011年4月至2011年10月)•担任副总裁/总经理, 销售副总裁, 以及高级产品经理(2004年至2011年10月)教育•M.B.A., 维吉尼亚大学达顿商学院•B.A., 经济学, 圣母大学的关键技能和资格Reintjes先生被选为我们的董事会成员,因为他:•作为我们的总裁兼首席执行官的观点和经验•在公司战略方面的丰富经验, 品牌领导力, 新的产品开发, 一般管理流程•户外运动和娱乐产品行业公司的运营领导职位;自2016年3月起担任董事;年龄:46岁YETI2022年委托书|7我们的董事会Toppan Merrill-YETIHoldings_Inc.DEF14A Ed和打印仅Ed|105251|16-mar-22 10:56|21-35773-1.da|序列:4CHKSUM内容:50935布局:52583图形:56756清洁工作:21-35773-1循环#;BL#:12;0修剪:8.25“x10.75”作为:达拉斯:214-698-9777颜色:潘通冷灰色3C, 黄色, 洋红色, 青色, YETI·布鲁, ~注-颜色2, 黑色图形:matth_j_reintj_4c_pht.eps v1.5,

GRAPHIC

下一节提供了有关YETI每一位董事的信息,这些董事将在年度会议之后继续担任董事。它包括具体的经验, 提名和治理委员会和/或董事会在评估该人担任董事的适当性时考虑的资格和技能, 以及每位董事在董事会任期的开始, 他或她的年龄和这类董事的委员会任务。年龄截止到3月21日, 2022.Class II Directors(2023年到期)Mary Lou KelleyCareer Highlights•百思买公司, Inc., 消费电子产品零售商•总裁, 电子商务(2014年4月至2017年3月)•Chico’s FASInc., 一家零售女装连锁店•高级副总裁, 电子商务(2010年7月至2014年3月)•L.L.Bean, 零售公司•零售房地产和营销副总裁(2006年至2009年)其他上市公司董事会•Vera Bradley, Inc., 一家箱包和手袋设计公司(自2015年12月以来)•Finning International, Inc., 建筑机械和设备经销商(自2018年1月起)教育•M.B.A., 维吉尼亚大学达顿商学院•B.A., 经济学, 波士顿学院的关键技能和资格Kelley女士被选为我们的董事会成员,因为她:•丰富的行政领导经验•对消费产品的深入了解, 电子商务, 以及全渠道营销•了解公司薪酬和治理事务总监(自2019年2月以来)年龄:61个委员会:•薪酬•提名与治理(主席)独立8|YETI2022年委托书我们的董事会Toppan Merrill-YETIHoldings_Inc.DEF14A编辑和打印只有编辑|105251|16-Mar-22 10:56|21-35773-1.DA|序列:5CHKSUM内容:32232布局:56529图形:25538清洁工作:21-35773-1循环#;BL#:12;0修剪:8.25“x10.75”作为:达拉斯:214-698-9777颜色:彩通冷灰色3C, 黄色, 洋红色, 0, YETI·布鲁, ~注-颜色2, 1, 黑色, 青色图形:checkmark_YETIblue_icon.eps, Mary_Lou_Kelly_4c_photo.eps v1.5,

GRAPHIC

Dustan E. Mccoy董事:2018年10月年龄:72个委员会:•审计•薪酬(主席)独立Career Highlights•Brunswick Corporation, 休闲产品的全球制造商和营销商•董事会主席兼首席执行官(2005年12月至2016年2月)•总裁, Brunswick Boat Group(2000年10月至2005年12月)---------------------------------------------- 总法律顾问兼公司秘书(1999年9月至2000年10月)•Witco Corporation, 一家特殊化学产品公司•执行副总裁•高级副总裁, 总法律顾问兼秘书,现任其他上市公司董事会•美国自由港麦克莫兰铜金矿公司, 一家矿业公司(自2006年以来)——现任薪酬委员会主席兼首席独立董事•路易斯安那太平洋公司, 一家建筑材料制造商(自2002年以来)——现任薪酬委员会主席兼首席独立董事教育•法学博士, Salmon P。蔡斯法学院, 北肯塔基大学•B.A., 政治学, 东肯塔基大学的关键技能和资格McCoy先生被选为我们的董事会成员,因为他:•丰富的领导经验•对全球业务的广泛理解•企业薪酬的知识, 法律, 合规, 治理和披露事项YETI2022年委托书|9我们的董事会Toppan Merrill-YETIHoldings_Inc.DEF14A编辑和打印只有编辑|105251|16-Mar-22 10:56|21-35773-1.DA|序列:6CHKSUM内容:58859布局:1083图形:50008清洁工作:21-35773-1循环#;BL#:12;0修剪:8.25“x10.75”作为:达拉斯:214-698-9777颜色:潘通冷灰色3C, 黄色, 洋红色, 0, YETI·布鲁, ~注-颜色2, 1, 黑色, 青色图形:checkmark_YETIblue_icon.eps, dustan_mccoy_4c_photo.eps v1.5,

GRAPHIC

Robert K. Shearer(董事会主席)董事自2018年10月起年龄:70个委员会:•审计(主席)•提名与治理独立Career Highlights•VF Corporation, 全球生活方式和服装公司•高级副总裁兼首席财务官(2005年5月至2015年3月)•财务和首席财务官副总裁(2003年1月至2005年5月)•副总裁兼财务总监(2000年6月至2003年1月)•担任多个高级领导职位, 包括在VF公司户外联盟担任两年的总裁, 成立于1986年至2000年收购North Face品牌•安永会计师事务所, 一家跨国专业服务公司•高级审计经理其他上市公司董事会•Church&Dwight Co, Inc., 一家家用产品制造商(自2008年以来)——其审计委员会现任主席•Kontoor Brands Inc., 一家全球生活方式服装公司(自2019年5月起)——现任董事会首席董事兼审计委员会主席教育•学士, 会计, 卡托巴学院的关键技能和资格希勒先生被选为我们的董事会成员,因为他:•广泛的公共会计, 金融, 和内部控制经验•领导全球零售消费品扩张计划的经验10|YETI2022年委托书我们的董事会Toppan Merrill-YETIHoldings_Inc.DEF14A编辑和打印只有编辑|105251|16-Mar-22 10:56|21-35773-1.DA|序列:7CHKSUM内容:11488布局:48496图形:54850干净的工作:21-35773-1循环#;BL#:12;0修剪:8.25“x10.75”作为:达拉斯:214-698-9777颜色:彩通冷灰色3C, 黄色, 洋红色, 0, YETI·布鲁, ~注-颜色2, 1, 黑色, 青色图形:checkmark_YETIblue_icon.eps, robert_k_shearer_4c_pht.eps v1.5,

GRAPHIC

第三类董事(任期至2024年)Tracey D. Brown董事自2020年5月起年龄:54个委员会:•提名与治理独立Career Highlights•沃尔格林长靴联盟, Inc., 零售药房的全球领导者•零售产品总裁兼首席客户官(2021年11月至今)•美国糖尿病协会, 美国最大的志愿医疗组织和全球糖尿病权威机构•首席执行官(2018年6月至2021年10月)•山姆会员店, 沃尔玛的一个部门, 公司•运营高级副总裁兼首席体验官(2017年2月至2018年6月)•首席成员兼营销官(2015年1月至2017年2月)•副总裁(2014年10月至2015年1月)•Rapp Dallas, 数据驱动的综合营销机构•首席执行官兼总经理(2010年1月至2014年9月)•高级副总裁(2008年4月至2010年1月)•直接影响, 直接营销机构•首席运营官(2006年7月至2008年4月)•Advanced Micro Devices, 直销机构•董事, 全球消费者营销(2002年1月至2006年7月)其他上市公司董事会•WW国际, Inc., 一家全球健康公司和世界领先的商业体重管理计划(自2019年2月起)教育•MBA, 哥伦比亚大学商学院•理学士, 化学工程, 特拉华大学的关键技能和资格布朗女士被选为我们的董事会成员,因为她:•丰富的行政领导经验•丰富的经验利用洞察力加深与消费者的联系并创建客户忠诚度YETI2022年委托书|11我们的董事会Toppan Merrill-YETIHoldings_Inc.DEF14A编辑和打印只编辑10:56|21-35773-1.DA|序列:8CHKSUM内容:43264布局:5731图形:46419清洁工作:21-35773-1周期#;BL#:12;0修剪:8.25“x10.75”作为:达拉斯:214-698-9777颜色:彩通冷灰色3C, 黄色, 洋红色, 0, YETI·布鲁, ~注-颜色2, 1, 黑色, 青色图形:checkmark_YETIblue_icon.eps, tracey_brown_4c_photo.eps v1.5,

GRAPHIC

Alison Dean,自2020年10月起担任董事,年龄:57个委员会:•独立审计Career Highlights•iRobot, 一家领先的Global Consumer机器人公司•执行副总裁, 首席财务官, 和财务主管(2013年4月至2020年5月)•高级副总裁, 公司财务(2010年2月至2013年4月)•副总裁, 财务(2005年8月至2010年2月)•3com Corporation, 数字电子产品制造商•担任多个高级财务职位(1995年至2005年8月), 包括副总裁兼公司财务总监(2004年至2005年)和财务副总裁, 全球销售(2003年至2004年)其他上市公司董事会•Everbridge, Inc., 一家提供关键事件管理和Enterprise安全应用程序的全球软件公司(自2018年7月起)——其审计委员会现任主席教育•工商管理硕士, 波士顿大学•B.A., 商业经济学, 布朗大学的关键技能和资格Dean女士被选为我们的董事会成员,因为她:•丰富的消费者业务和公司财务经验和知识•经验领导全球零售消费品扩张计划12|YETI2022年委托书我们的董事会Toppan Merrill-YETIHoldings_Inc.。DEF14A编辑和打印只有编辑|105251|16-Mar-22 10:56|21-35773-1.DA|序列:9CHKSUM内容:39678布局:40988图形:41016清洁工作:21-35773-1周期#;BL#:12;0修剪:8.25“x10.75”作为:达拉斯:214-698-9777颜色:潘通冷灰色3C, 黄色, 洋红色, 0, YETI·布鲁, ~注-颜色2, 1, 黑色, 青色图形:checkmark_YETIblue_icon.eps, Allison_Dean__4c_photo.eps v1.5,

GRAPHIC

董事会组成, 资格和多样性董事会寻求物色具备相关知识或经验的候选人,这些知识或经验将扩展或补充董事会现有的专业知识。性别的多样性, 种族/民族, 技能和背景确保在董事会中表达最广泛的选择和观点。符合YETI的公司治理准则, 董事会希望有一群具备不同背景的候选人, 技能, 专业知识, 是时候为董事会做出重大贡献了, YETI, 以及它的股东。提名与治理委员会就董事会及其委员会的组成向董事会提出建议, 包括会员的规模和资格。提名和治理委员会根据YETI公司治理准则中规定的标准和资格以及它认为适当的其他相关因素来评估潜在的被提名人。以下是我们认为在我们当前的业务和结构中对我们的董事来说很重要的某些技能和经验。上述董事提名人的简历包括与每个被提名人相对于这些属性的相关经验有关的信息。曾担任过首席执行官和其他高级领导职位的高级领导经验总监在分析方面带来了经验和观点, 塑造, 在高层监督重要的运营和政策问题的执行。这些董事的见解和指导, 以及他们评估和应对在我们董事会任职期间遇到的情况的能力, 如果他们的领导经验是在全球范围内运营的企业或组织中开发的,或者涉及技术或其他快速发展的业务模式,则可能会得到增强。相关的行业经验和产品知识董事会相信,户外和娱乐产品行业的经验以及对YETI产品的广泛了解,对塑造和加强我们的增长战略是有价值的。全球专业知识,因为我们正在进行国际扩张,并成为一个全球性组织, 具有全球专业知识的董事可以就我们业务的许多重要方面提供有用的商业和文化观点。曾在上市公司董事会任职或服务于其他上市公司董事会的董事可以就董事会的动态和运作提供建议和见解, 董事会与首席执行官和其他管理人员之间的关系, 特定议程项目的重要性,以及对不断变化的战略、 操作和合规事项。YETI2022年委托书|13我们的董事会Toppan Merrill-YETIHoldings_Inc.DEF14A编辑和打印只有编辑|105251|16-Mar-22 10:56|21-35773-1.DA|序列:10CHKSUM内容:43608布局:6037图形:6121干净的工作:21-35773-1循环#;BL#:12;0修剪:8.25“x10.75”作为:达拉斯:214-698-9777颜色:洋红色, 黄色, YETI·布鲁, ~注-颜色2, 黑色, 青色图形:public_4c_icon.eps, global_4c_icon.eps, relevant_4c_icon.eps, leader_4c_icon.eps v1.5,

GRAPHIC

董事会技能矩阵下面的矩阵总结了关键知识, 使每位董事都有资格进入我们董事会的技能和经验。Mary Lou Dustan E.Matthew J.Robert K.Strategic Compilitions Frank D会计和财务(报告, 审计, 内部控制)√√√√业务发展/并购/战略√√√√√√√√合规/公司治理/法律/风险管理√√√电子商务;消费品√√√√高级领导层√√√√√√√√√全球业务√√√√营销/品牌发展√√√√√√户外运动行业√√√公众公司董事会√√√√√人才/组织发展√√√多元化和人际交往能力就像我们的员工一样, 培养多元化的董事会对YETI的成功至关重要。董事会认为,多元化是董事会组成中许多重要考虑因素之一。拥有不同背景和技能的董事有助于构建董事会的多样性,并在职能方面最大限度地发挥集团的活力, 经验, 教育, 和思想。另外, YETI相信,它的股东将欣赏多元化的董事会, 这更反映了我们和我们的消费者所服务的整个投资界和市场。提名和治理委员会至少每年对董事会的组成进行评估,以确保董事的观点多样化, 通常会考虑每个被提名者的职业经历, 背景, 教育, 金融专业知识, 性别, 种族/民族, 年龄, 以及董事会现有构成背景下的其他个人素质和属性。提名和治理委员会致力于招聘高素质的女性, 有色人种, 以及其他背景各异的候选人, 经验, 和技能,作为YETI为潜在的非现任董事候选人进行的董事搜寻的一部分, 而且, 此外, 致力于确保董事从包括不同候选人的人才库中选拔, 包括女性和有色人种。根据这一承诺, 我们董事会目前有三位女性成员, 其中一人也是有色人种。14|YETI2022年委托书我们的董事会Toppan Merrill-YETIHoldings_Inc.DEF14A编辑和打印只有编辑|105251|16-Mar-22 10:56|21-35773-1.DA|序列:11CHKSUM内容:34308布局:39131图形:28937干净的工作:21-35773-1循环#;BL#:12;0修剪:8.25“x10.75”作为:达拉斯:214-698-9777颜色:洋红色, 黄色, YETI·布鲁, ~注-颜色2, 黑色, 青色图形:skills_4c_icon.eps v1.5,

GRAPHIC

公司治理YETI的业务和事务在董事会的指导下进行管理, 目前由七名董事组成, 由我们的首席执行官(“首席执行官”)和六名独立董事组成。在董事会及其委员会的监督下, YETI是在一项全面的公司治理计划的范围内运作的,目的是确定独立性, 分配责任, 制定高标准的职业和个人行为, 并确保遵守这些责任和标准。YETI的公司治理准则, 可在我们网站的投资者关系部分的“治理”下获得, WWW.YETI.com, 以及我们的其他主要治理文件, 为我们的治理结构设定框架。董事会认为,良好的公司治理是YETI竞争优势的来源,并允许这些技能, 经验, 和董事会的判断,以支持我们的执行管理团队, 使管理层能够提高我们的绩效并使股东价值最大化。环境, 社交, 和2021年12月的治理, YETI公司发表了其首份报告,阐述了其对环境、 社交, 和治理(“ESG”)的问题, 可在我们网站的可持续发展和社区影响部分获得, WWW.YETI.com。如YETI的ESG报告(“ESG报告”)所述, 董事会监督我们的ESG战略, 虽然我们的首席执行官在执行层面上审查和批准了YETI的整体ESG战略, 在我们高级领导团队所有成员的关键洞察力和支持下。YETI已经建立了一个Enterprise风险框架,用于识别, 聚集, 评估整个Enterprise的风险, 包括ESG主题。让高层领导关注最重要的ESG主题, 风险框架与我们的年度计划相结合, 审计范围, 和控制评价管理过程, 由我们的内部审计团队执行。YETI的ESG副总裁,负责制定我们的EnterpriseESG战略, 管理ESG主题, 推动多年目标, 定期向董事会汇报, 建立跨职能的工作小组, 包括YETI的内部多元化, 股权, &Inclusion Council(“DE&I Council”)。在完成了我们的第一个重要性分析,以及探索YETI和我们的整个社区面临的ESG主题之后, 我们制定了我们的ESG战略——保持野生,该战略以三个相互关联的领域为核心, 人, 产品, 和地方, 每个人都有一套具体的目标和方案,以解决我们最有影响力的ESG问题。YETI2022年委托书|15Toppan Merrill-YETIHoldings_Inc.DEF14A编辑和打印只有编辑|105251|16-Mar-22 10:56|21-35773-1.DC|顺序:1CHKSUM内容:5114布局:39823图形:9450清洁工作:21-35773-1循环#;BL#:12;0修剪:8.25“x10.75”作为:达拉斯:214-698-9777颜色:洋红色, 黄色, YETI·布鲁, ~注-颜色2, 黑色, 青色图形:35773-1_people_fpo_4c_pht.eps v1.5,

GRAPHIC

员工参与和支持我们的文化和品牌的Yetizens核心,正在为我们的员工建立和促进积极的社会变革, 供应链, 和社区。我们致力于倾听和支持我们的员工,并努力为他们提供成长的机会, 认可彼此的努力, 回馈支持我们的社区。这一承诺在行动中的一些例子包括:•利用3E发展模式(经验, 探索, 和教育),以促进我们雪人的专业发展;•每月为所有雪人提供一系列主题的培训, 包括专门为管理人员的叶提斯人举办的会议;•通过季度和年度奖项表彰叶提斯人, 包括我们的同行提名开拓者奖;以及•为叶提兹提供长达四个小时的带薪投票时间, 作为我们参与投票的一部分, 并为叶蒂泽斯提供了一天的工作时间,为他们选择的组织做志愿者的机会。多样性, 股权, 和包容性YETI承认,公平的, 包容性, 文化多样性的环境不仅对我们的长期发展,而且对整个户外都是必不可少的。在过去的几年里, 我们在YETI的性别多样性方面取得了相当大的进展, 到2021年12月,女性员工占全球员工总数的比例从2020年的44%增至47%。此外, 在主管及以上级别担任领导职务的女性比例从2020年的41%上升到2021年的43%。在2020年, YETI成立了DE&I委员会,该委员会由代表不同人口结构的耶蒂泽人组成, 背景, 和团队,为YETI提供关于DE&I主题的观点和建议,并发起了六个自愿的, 以员工为主导的亲和力团体,培养符合我们核心价值观的多元化和包容性的工作场所, 目标, 以及商业实践。自2020年加入CEO行动促进多样性和包容性以来, YETI通过以下举措表明了其对可持续发展和投资的承诺:•举办由我们的员工亲和力团体领导的五次活动,以促进关于YETI内外多样性和包容性的重要性的沟通和教育;•提供为期六周的关于无意识偏见的课程, 每一次主题会议的平均次数达到100+次。•在2021年8月的季度董事会会议上分享我们的DE&I战略,作为我们整体ESG战略的一部分;•更新我们的公司假期,包括对Martin Luther King博士的年度表彰, JR。日;举办一次信息会议,讨论同工同酬日的起源和YETI的薪酬公平方法。16|YETI2022年委托书公司治理Toppan Merrill-YETIHoldings_Inc.DEF14A编辑和打印只编辑10:56|21-35773-1.DC|序列:2CHKSUM内容:31525布局:61633图形:0干净的工作:21-35773-1循环#;BL#:12;0修剪:8.25“x10.75”作为:达拉斯:214-698-9777颜色:YETI蓝, ~注-颜色2, 黑色图形:无V1.5,

GRAPHIC

Yetizens at a Glance1(1)是指截至12月31日的全职和兼职Yetizens的数据, 2021.(2)“性别领导”是指截至12月31日,在董事及以上级别的职位中,男性和女性身份相同的耶蒂泽人所占的百分比, 2021.(3)“种族多样性”是指截至12月31日,美国耶蒂泽人的种族和民族多样性, 2021.消除了野外生活的障碍,尽管许多户外活动在历史上对一些人来说是遥不可及的, YETI为继续多元化我们的大使社区和支持组织制定了目标,这些组织消除了对野生动物的实际和感知的障碍,并促进了每个社区的代表性。2021年, YETI自豪地支持并与以下组织合作,其中许多组织的使命是为不同的消费者解锁访问和连接到野外和社区:53%男性47%女性57%男性43%女性70%白人30%有色人种2%婴儿潮一代(56岁/d及以上)15%Z世代(25岁/d及以下)62%Y世代/千禧一代(26-40岁/d)21%X世代(41-55岁/d)性别领导能力2种族多样性3岁行动BBQ救济户外活动Alliance Perfect Game Cares Pope&Young Preservation Hall QDMA落基山麋鹿基金会落基山山羊联盟Shejumps/SheFishes滑冰像女孩一样南方烟雾基金会支持+饲料德克萨斯州野生动物协会蓬勃发展全面射箭挑战西部体育基金会野生绵羊基金会世界中央厨房鸭子无限家庭重聚荣誉纪念基金会做得好奥斯汀·哈姆英雄和马跳文化INDI和国际游戏鱼协会詹姆斯·比尔德基金会保持田纳西河的美丽 洋红色, 青色, YETI·布鲁, ~注-颜色2, 1, 黑色, 0图形:35773-1_yetizens_4c_pie.eps v1.5, Lee Initiative Les Dames d’Escoffier International Looking Out Foundation Mewater Foundation Musicares Niva NWTF American Rivers Austin Music Foundation B4BC偏远地区猎人和垂钓者大城市登山者Bill Pickett邀请赛牛仔竞技会Bill SH Foundation Billion Oyster Project Black Outside Bone SH&Tarpin Trust Boone 和Crockett俱乐部把音乐带回家棕色乡亲捕捞船长为恢复海岸保护协会代码2学院保护国际YETI2022年委托书|17公司治理Toppan Merrill-YETIHoldings_Inc.DEF14A编辑和打印只有编辑|105251|16-Mar-22 10:56|21-35773-1.DC|顺序:3CHKSUM内容:34630布局:52648图形:32584清洁工作:21-35773-1循环#;BL#:12;0修剪:8.25“x10.75”作为:达拉斯:214-698-9777颜色:黄色

GRAPHIC

YETI认识到,负责任的供应链是向消费者提供最优质产品的基础。因此,我们致力于以道德的方式管理我们的全球供应链,并尊重生产我们产品的人的权利和尊严。为了减轻我们在供应链中面临的环境和社会风险, YETI开发了几种资源, 政策, 以及指导我们的运营团队与供应商互动的工具, 包括我们的供应商行为准则, 《负责任的采购指南》, 允许的采购国风险矩阵。随着YETI继续应对扩大我们的全球供应链的复杂性,以满足我们不断增长的消费者基础的需求, 我们知道,我们生产足迹的增长不能超过我们对劳工和人权的尊重。应对气候变化的产品YETI咨询了基于科学的目标倡议方法,以设定我们的温室气体(“GHG”)排放目标, 我们利用温室气体协议方法和EPA温室气体当量计算器来了解YETI的GHG足迹,并为一致的报告设置基线。2021年, YETI与奥斯汀能源公司的绿色选择项目签订了一份合同,以管理奥斯汀Scope2的排放, 德克萨斯州的设施。奥斯汀能源公司从可再生能源(而不是天然气或燃煤电厂)购买等量的能源YETI, 有效地将可再生能源生产添加到我们的本地电网中。我们还为无法获得可再生能源的YETI设施购买了可再生能源信贷。随着YETI在实现我们的气候目标方面取得进展, 我们将根据需要使用碳补偿和基于自然的气候解决方案,以补充我们的GHG减排努力。2021年的创新材料与包装, YETI试图更好地理解我们的材料和工艺的独特性质, 我们的消费者如何与我们的产品互动, 以及在产品使用寿命结束时会发生什么。我们的产品和研发团队开始推出一种首选材料记分卡,该记分卡从性能开始,并识别可回收材料, 有机, 再生材料以及那些碳和水的影响最小的材料。团队还在研究尚未在商业上可行的新材料,以备将来在我们的产品中使用。虽然我们已经在将首选材料整合到我们的产品中取得了进展, 我们的目标是,到2025年,生产出100%使用优选材料的新手袋和服装。持续改进-合作伙伴我们的负责任采购计划旨在监督社会和环境政策的一致应用, 程序, 以及在采购方面的实践, 采购, 以及YETI的供应商管理活动。供应商行为守则所有供应商都承认YETI供应商行为守则根据供应商的风险进行现场审核完成纠正行动计划,以纠正不符合规定的行为并通过跟踪审计提交证据所有供应商完成年度工厂自我评估供应商现场审计纠正行动计划自我评估问卷18|YETI2022委托书公司治理Toppan Merrill-YETIHoldings_Inc.DEF14A编辑和打印只有编辑|105251|16-Mar-22 10:56|21-35773-1.DC|顺序:4CHKSUM内容:51530布局:63542图形:4083清洁工作:21-35773-1循环#;BL#:12;0修剪:8.25“x10.75”作为:达拉斯:214-698-9777颜色:洋红色, 黄色, YETI·布鲁, ~注-颜色2, 黑色, 青色图形:35773-1_our_RESP_flow.eps v1.5,

GRAPHIC

以隔离对环境影响最大的包装组件, 我们分析了在我们的产品分销和销售渠道中使用的所有包装的GHG排放和报废选项。目前, 我们97%的包装重量是可回收的,因为纤维为基础的盒子是我们的包装的大部分。另外, 73%的基于纤维的包装来自消费后的可回收材料, 按重量计算,这占我们总包装足迹的66%。剩余的包装代表了消除与我们的产品相关的废物和减少排放的最佳机会。甚至在了解我们的包装足迹之前, 自2018年以来,我们的包装团队一直在努力消除材料并增强消费者体验,我们的首选包装计划已从我们的产品中消除了146吨塑料和209吨纸。2021年, YETI推出了其限制使用的物质清单(“RSL”)和配套的供应商培训, 其设计目的是确保在我们产品销售的市场中遵守领先的化学法规。自从开展了我们的RSL供应商培训, 我们已经与所有现有的成品供应商就遵守YETI的RSL的范围和重要性进行了接触。我们的供应商必须保证所有的原材料, 组件, 以及为YETI制造的成品,符合或超过了我们RSL中的标准以及RSL中未列出的任何其他法律要求。YETI的其他可持续发展努力包括:•2016年, YETI成为Kick Plastic Guide&Outfitter计划的官方合作伙伴,与Costa del Mar和Worldcast Anglers一起减少和消除在装备旅行和营地中一次性使用的塑料水瓶。•2018年, YETI开始在美国和国际上的各种活动中提供“水合站”。从那以后, 与会者一直在利用这些加油站方便地为他们的可重复使用的饮料加注, 有效地消除了一次性使用塑料水瓶的需要。总的来说, 我们相信,我们的水化站已经帮助节省了大约287,000个16OZ。塑料水瓶在活动中的使用。•2019年, YETI成为塑料冲击联盟的正式成员, 一个由400多个活跃的生活方式品牌组成的团体,致力于使我们的行业更具可持续性, 一瓶, 一次一杯。•2020年, YETI成为了Austin FC可持续发展项目的赞助商,并支持了多个回收项目的启动, 堆肥, 以及在奥斯汀足球俱乐部的球场进行的补水练习, 包括YETI加水站,以帮助减少一次性塑料。YETI认为,每个人都有权去探索和体验一个健康、繁荣的野生环境, 我们专注于恢复, 社区激活, 并扩大野外活动的范围,让子孙后代能够继续享受户外活动。在整个2021年, 我们发展了新的合作伙伴关系,并利用现有的合作伙伴关系,以突出气候变化与户外活动的交叉, 包括:•与国际自然保护组织合作,创建一个零废物和碳平衡的单板滑雪活动, Jackson霍尔的YETI自然选择, 整合了环境教育和宣传工作;•赞助保持田纳西河美丽,以努力在2021年从田纳西河清除12.5万磅垃圾;YETI2022年委托书|19公司治理Toppan Merrill-YETIHoldings_Inc.DEF14A编辑和打印只有编辑|105251|16-Mar-22 10:56|21-35773-1.DC|序列:5CHKSUM内容:48465布局:56808图形:0清洁工作:21-35773-1循环#;BL#:12;0修剪:8.25“x10.75”作为:达拉斯:214-698-9777颜色:YETI蓝, ~注-颜色2, 黑色图形:无V1.5,

GRAPHIC

•支持野羊基金会通过出售250本《我们的野羊书》特别版筹集75,000美元;•与Ducks Unlimited合作,帮助保护一个关键的越冬栖息地在环境退化和气候变化的压力下,北美迁徙的水禽物种占了很大一部分;•捐赠给三角洲水禽, 这些资金中的一部分专门用于通过狩猎旅行教育大学野生生物学生水禽保护的重要性;•作为官方的冷却器, 饮具, 以及洛基山麋鹿基金会的货运供应商,并每年为改善陆地交通提供捐款, 将新的麋鹿群引入本土, 拆除围栏项目, 还有更多;以及•向落基山山羊联盟捐款,帮助抵消与国家野生动物机构进行的山地山羊调查的成本,以及在其本土范围内进行的山羊迁移工作。另外, YETI通过以下举措,致力于创造访问和包容性体验,以帮助塑造未来的户外管家:•扩大我们与Thrive Outside的合作, 户外行业协会倡议,为儿童和家庭提供户外体验;•捐赠产品,让他们像女孩一样滑冰, 一个帮助年轻女性和变性者变得强大的非营利组织, 自信的领导者,他们通过滑板促进和实现公平;•支持十亿牡蛎项目, 一家总部位于纽约市的组织,为可能无法参加环保项目的学生提供教育和强化项目。有关YETIESG策略的更多信息, 目标和倡议, 请参阅我们的第一份ESG报告,可在我们的网站的可持续发展和社区影响部分, WWW.YETI.com。董事独立性目前, 我们的董事会由七名成员组成, 其中6人是独立的。根据适用的纽约证券交易所(“NYSE”)上市标准,董事应被视为独立董事, 董事会必须确定董事与我们没有任何直接或间接的重大关系(包括作为合伙人, 与我们有关系的组织的股东或高级管理人员)。根据适用的纽约证券交易所上市标准的要求, 董事会已肯定地确定,Tracey D. Brown, Alison Dean, Frank D. Gibeau, Mary Lou Kelley, Dustan E. Mccoy, Robert K. Shearer是独立的,不与YETI有任何实质性关系,但通过他或她担任YETI的董事所建立的关系除外。审计委员会此前还确认,David L. Schnadig, 从3月9日起辞去董事会职务, 2022, Quali Ed在2021年任职期间,根据适用的纽约证券交易所上市标准担任独立董事。在决定董事的独立性时, 董事会考虑董事与其直系亲属和关联公司之间的任何交易或关系, 一方面, 和YETI及其管理, 另一方面, 确定任何此类交易或关系是否与确定董事是独立的不一致。与董事会对中小企业独立性的评估有关。布朗, 迪恩, 还有Kelley和Gibeau先生, 麦考伊, 和希勒, 以及Schnadig先生在2021年任职期间, 我们没有发现这样的交易或关系。20|YETI2022年委托书公司治理Toppan Merrill-YETIHoldings_Inc.DEF14A编辑和打印只编辑10:56|21-35773-1.DC|序列:6CHKSUM内容:43404布局:4401图形:0清洁工作:21-35773-1周期#;BL#:12;0修剪:8.25“x10.75”作为:达拉斯:214-698-9777颜色:YETI蓝, ~注-颜色2, 黑色图形:无V1.5,

GRAPHIC

董事会人数和组成董事会的人数由董事会根据公司注册证书的决议不时确定。董事会已经确定了7名董事, 他们中的大多数人是独立的, 是目前YETI的合适规模。审计委员会认识到,其主要职责之一是评价和确定其最佳治理结构,以便对管理层进行独立监督。考虑到我们业务的不断发展, 董事会已决定,董事会的正确治理结构可能会因情况而异。与这一理解相一致, 董事会在进行年度自我评估时,每年都会考虑董事会的规模和组成。董事会及其委员会在2021年, 董事会举行了五次会议。董事应出席所有董事会会议, 他们所服务的委员会的会议, 和股东大会。更重要的是, 董事们应该花费所需的时间,并尽可能频繁地开会,以适当地履行其职责。每位董事出席的董事会会议以及该董事在2021财政年度任职的董事会所有委员会举行的会议总数的75%以上。当时在任的所有董事都参加了我们的2021年年度股东大会。董事会目前有, 并任命, 三个常设委员会:审计委员会, 薪酬委员会, 以及提名和治理委员会。这些委员会的主要职责大致如下,并在各自的委员会章程中详细说明, 已获得董事会批准,并可在我们网站投资者关系部分的“治理”项下获得, WWW.YETI.com。委员会现任成员如下。董事会决定每一家中小型企业。布朗, 迪恩, 还有Kelley和Gibeau先生, 麦考伊, 根据纽约证券交易所的上市标准,希勒公司是独立的。委员会组成委员会成员提名审计委员会成员审计薪酬治理Tracey D. BrownAlison DeanFrank D. GibeauMary Lou KelleyDustan E. MccoyRobert K. Shearer董事会主席委员会成员审计委员会主席财务专家YETI2022年委托书|21公司治理Toppan Merrill-YETIHoldings_Inc.DEF14A编辑和打印只有编辑|105251|16-Mar-22 10:56|21-35773-1.DC|序列:7CHKSUM内容:12604布局:26654图形:9202清洁工作:21-35773-1循环#;BL#:12;0修剪:8.25“x10.75”作为:达拉斯:214-698-9777颜色:1, YETI·布鲁, ~注-颜色2, 黑色, 0图形:chair_k_icon.eps, COMM_YETIBlue_Icon.eps, member_k_icon.eps, audit_k_icon.eps, chair_k_icon.eps, COMM_YETIBlue_Icon.eps, audit_k_icon.eps, member_k_icon.eps, member_k_icon.ep v1.5,

GRAPHIC

审计委员会审计委员会的主要职责是:•协助审计委员会履行其在以下方面的监督职责:(一)YETI财务报表的Integrity, (二)YETI遵守法律和管理规定的情况, 独立注册会计师事务所的资格, 独立性和表现, (四)YETI内部审计职能的执行情况;•编写本委托书所载审计委员会的年度报告;•就YETI的财务问题向管理层和董事会提供咨询意见;•任命, 补偿, 保留, 解雇并监督YETI的独立注册公共会计师事务所的工作。审计委员会的所有成员已被确定具有财务知识,并符合适用的纽约证券交易所和美国证券交易委员会的独立性标准。董事会已确定,希勒先生和迪安女士都符合美国证券交易委员会定义的“审计委员会财务专家”的资格。薪酬委员会薪酬委员会的主要职责是:•制定和管理YETI的政策, 为高管提供补偿和福利的计划和程序;•就非雇员董事的薪酬向董事会提出建议;•审查和批准与首席执行官薪酬相关的公司目标和目的;•根据这些目标和目的评估首席执行官的绩效, 无论是作为一个委员会, 或与独立董事(根据董事会的指示)一起, 根据此评估确定并批准首席执行官的薪酬水平;•审查并批准与其他执行官薪酬相关的公司目标, 根据这些目标和目的,评估其他执行官的绩效, 并根据此评估确定并批准彼此执行官的薪酬水平;•准备本委托书中包含的薪酬委员会的年度报告;•就激励薪酬计划和基于股权的计划向董事会提出建议。2021财年的会议数量:8审计委员会报告:第71页Mr.McCoy Mr.Gibeau女士Dean Mr.Shearer(主席)2021财年的会议数量:6薪酬委员会报告:第58页Ms.Kelley Mr.McCoy(主席)22|YETI2022年委托书公司治理Toppan Merrill-YETIHoldings_Inc.DEF14A编辑和打印只有编辑|105251|16-mar-22 10:56|21-35773-1.dc|序列:8CHKSUM内容:11893布局:7212图形:23690清洁工作:21-35773-1循环#;BL#:12;0修剪:8.25“x10.75”作为:达拉斯:214-698-9777颜色:洋红色, 黄色, YETI·布鲁, ~注-颜色2, 黑色, 青色图形:dustan_mccoy_4c_photo.eps, Mary_Lou_Kelly_4c_photo.eps, Robert_Shearer_4C_Small_Photo.eps, Allison_Dean_4c_sm_photo.eps, frank_gibeau_4c_photo_small.eps, dustan_mccoy_4c_p v1.5,

GRAPHIC

在履行其职责时, 薪酬委员会在确定除首席执行官或首席人力资源官和ESG高级副总裁以外的其他执行官的薪酬时,考虑了首席执行官和ESG首席人力资源官和高级副总裁的建议, 视情况而定。否则, 我们的执行官在确定支付给我们的执行官的薪酬的形式或金额方面没有任何作用。薪酬委员会保留了Frederic W.Cook&Co., Inc.(“FW Cook”)担任其独立薪酬顾问。在截至1月1日的财年中, 2022年(“2021财年”), FW Cook建议并协助审查和评估高管薪酬和我们的非雇员董事的薪酬。在2021财年, FW Cook没有向YETI提供任何服务,除了向薪酬委员会提供有关执行董事和非雇员董事薪酬的咨询服务。薪酬委员会根据SEC和纽交所采用的特定独立性因素,审查了FW Cook的独立性,并确定FW Cook的工作不会引起任何利益冲突。提名和治理委员会提名和治理委员会的主要职责是:•确定有资格成为董事会成员的个人;•推荐候选人填补董事会空缺以及新设立的董事职位;•建议是否应在现任董事任期届满后提名连任;•建议适用于董事会和YETI雇员的公司治理准则;•监督对董事会及其委员会的评价;•评估并向董事会推荐董事会成员作为委员会成员;以及•协助 请参阅下面的“——董事提名过程”。董事提名过程YETI的提名政策, 其中描述了评估和选择潜在董事候选人的过程, 由提名和治理委员会管理,并附在其章程中。提名和治理委员会制定了以下最低标准来评估潜在的董事会候选人:•Integrity的声誉, 强烈的道德品质和对高道德标准的坚持;2021财年的会议次数:4Mr.Shearer Ms.Brown Ms.Kelley女士(主席)YETI2022年委托书|23公司治理Toppan Merrill-YETIHoldings_Inc.DEF14A编辑和打印只有编辑|105251|16-Mar-22 10:56|21-35773-1.DC|序列:9CHKSUM内容:64013布局:49543图形:47210干净的工作:21-35773-1循环#;BL#:12;0修剪:8.25“x10.75”作为:达拉斯:214-698-9777颜色:洋红色, 黄色, YETI·布鲁, ~注-颜色2, 黑色, 青色图形:Mary_Lou_Kelly_4c_Photo.eps, tracey_brown_4c_sm_photo.eps, Robert_Shearer_4C_Small_Photo.eps v1.5, 董事会制定了管理层继任计划。有关提名和治理委员会评估和选择潜在董事会候选人的过程的概述

GRAPHIC

•在社区和(或)选定的工作领域中担任或曾经担任公认的领导职务,并表现出很高的成就;•表现出商业智慧和经验, 能够在与YETI的当前和长期目标有关的事项上作出合理的商业判断和常识;•能够阅读和理解基本的财务报表和与YETI有关的其他财务信息;•致力于理解YETI及其业务, 行业和战略目标;•定期出席和参加董事会会议的承诺和能力, 董事会委员会和股东, •愿意代表YETI所有股东的利益,而不是某一特定集团的利益行事;•健康状况良好,有能力任职;•根据适用的证券交易委员会和纽约证券交易所规则保持独立性, 以及不存在任何利益冲突(无论是由于业务关系还是个人关系)或法律障碍, 或限制, 被提名人担任董事, 要理解的是,根据纽约证券交易所的上市标准,并非所有董事都必须是独立的;•愿意接受提名担任YETI的董事。提名和治理委员会在评估每个潜在被提名人时还将考虑以下因素:•潜在被提名人是否Will Foster背景的多样性, 技能, 观点和经验(基于对个人特征的考虑, 所有现任和未来董事的技能和经验, 包括性别, (种族和族裔),以便在董事会中代表广泛的观点;•对于潜在的审计委员会成员, 被提名者是否受过必要的教育, 根据适用的纽约证券交易所和美国证券交易委员会的规则,具备“财务知识”或“审计委员会财务专家”资格的培训和经验;•对于竞选连任的现任董事, 现任董事在其任期内的工作表现, 包括出席会议的次数, 参与程度, 对YETI的总体贡献, 以及影响个人董事的任何变化的情况,这些情况可能会影响他或她继续在董事会任职的能力;•董事会的组成以及潜在的被提名人是否会增加或补充董事会的现有优势。我们的公司治理准则规定,任何董事在年满75岁后都不得参选,除非董事会在个案基础上批准本准则的例外情况。提名与治理委员会从多个渠道征求可能的董事候选人的意见,这些渠道包括董事会成员, 我们的首席执行官和其他高级执行官, 董事会成员所认识的个人, 我们的其他外部顾问和现任董事的潜在重新提名。提名和治理委员会也可以聘请专业的猎头公司(它将为此支付费用)来帮助它确定潜在的董事会成员。从2018年开始, 提名和治理委员会与海德思哲国际公司进行了接触, Inc., 一家独立的第三方搜索公司(“海德思哲”), 协助确定和评估潜在的独立董事候选人。24|YETI2022年委托书公司治理Toppan Merrill-YETIHoldings_Inc.DEF14A编辑和打印只有编辑|105251|16-Mar-22 10:56|21-35773-1.DC|顺序:10CHKSUM内容:7564布局:4550图形:0清洁工作:21-35773-1周期#;BL#:12;0修剪:8.25“x10.75”作为:达拉斯:214-698-9777颜色:YETI蓝, ~注-颜色2, 黑色图形:无V1.5,

GRAPHIC

自我们的首次公开发行(“IPO”)以来, 董事会任命了四名新的独立董事, 包括Mary Lou Kelley, 他于2019年2月被任命,并由我们的股东在2020年年度股东大会上选举产生, 和Frank D. Gibeau, Tracey D. Brown和Alison Dean, 他们都在2020年被任命为董事会成员。董事会已选择Gibeau先生和Reintjes先生作为在年度会议上选举的第一类董事候选人。Gibeau先生以前没有被YETI的股东选举。在被海德思哲公司确定为潜在的董事候选人之后,提名与治理委员会建议任命吉博为董事会成员, 董事会任命Gibeau先生担任董事,自1月30日起生效, 2020.提名与治理委员会还将考虑股东对董事提名的任何建议,并将以与从任何其他来源确定的任何其他潜在提名人相同的方式和标准评估任何此类潜在提名人。另外, 如果股东遵守通知,则任何股东都可以在年度股东大会上提名一名或多名人士当选为我们的董事之一, 我们经修订和重述的章程(“章程”)中包含的信息和同意条款。请参阅本代理声明中的“——董事提名和股东提议”,以及章程中的“股东业务和提名通知”。提名和治理委员会将评估适当确定的候选人, 包括股东推荐的候选人。提名和治理委员会还考虑到现任董事作为董事会成员的贡献以及现任董事在董事会的经验给我们带来的好处。另外, 提名和治理委员会将考虑候选人(包括股东推荐的候选人)是否符合YETI公司治理准则中规定的资格。在2021财年,薪酬委员会的联动和内部参与, 薪酬委员会的成员是麦考伊先生, Kelley女士和David L. Schnadig先生。在2021财年, 薪酬委员会的任何成员均未在YETI的交易中有任何重大利益或与之有业务关系, 或任何债务, YETI, 且这些董事中没有一人目前或以前是YETI的高级管理人员或雇员。Schnadig先生是Cortec Management Services的联席总裁, LLC, 我们前主要股东的所有者, Cortec Group Fund V, L.P.(连同其附属公司, “Cortec”)。有关我们与Cortec签订的注册权协议的说明,请参见“——某些关系和关联方交易”, Roy J. Seiders, RYANR.Seiders, 他们各自的一些分支机构, 以及与我们在2018年10月的IPO有关的某些其他股东。Schnadig先生之前还曾担任YETI和YETICoolers的副总裁兼助理秘书, LLC到9月26日, 2018.然而, Schnadig先生从未担任过YETI的高级职员或雇员, 他不符合规则16a-1(f)中定义的“高级职员”的定义,并且在过去三年内,他没有担任纽约证券交易所上市公司手册第303A.02(b)(i)节中定义的YETI的雇员。薪酬委员会的任何成员均不担任有其薪酬委员会成员的任何其他实体的执行官(或者如果没有委员会履行该职能, 董事会)担任我们的执行官之一。我们的执行官都没有担任过薪酬委员会的成员(如果没有委员会履行该职能, 董事会)或任何其他有执行官担任薪酬委员会成员或董事会成员的实体的董事。YETI2022年委托书|25公司治理Toppan Merrill-YETIHoldings_Inc.DEF14A编辑和打印只有编辑|105251|16-Mar-22 10:56|21-35773-1.DC|序列:11CHKSUM内容:55974布局:20329图形:0清洁工作:21-35773-1周期#;BL#:12;0修剪:8.25“x10.75”作为:达拉斯:214-698-9777颜色:YETI蓝, ~注-颜色2, 黑色图形:无V1.5,

GRAPHIC

董事会职能, 领导结构, 董事会监督YETI的首席执行官和YETI的其他高级管理人员的表现,并努力确保股东的最佳利益得到满足。董事会没有一项政策要求董事会主席和首席执行官的职位应该分开,或者应该由同一个人担任。董事会认为,这一问题作为继任规划过程的一部分得到了妥善解决,董事会在选举新的首席执行官或董事会主席时就这些问题作出决定符合YETI的最佳利益, 或者在其他情况下,考虑是有必要的。目前, 角色是分开的, Reintjes先生担任我们的首席执行官,Shearer先生, 我们的一位独立董事, 担任董事会主席。董事会由董事会主席领导, 希勒先生。董事会主席负责监督年度董事会日历的规划, 与其他董事协商后, 董事会会议的日程安排和日程安排。另外, 董事会主席向管理层成员提供指导和监督,并充当董事会与管理层的联络人。以这种身份, 董事会主席积极参与影响YETI的重大事项。董事会认为,这种领导结构目前适合YETI,因为它为我们的董事会主席提供了现成的资源来管理董事会事务,同时允许我们的首席执行官更多地专注于运营和管理职能。非管理层的执行会议, 独立董事与董事会的每次定期会议同时举行。董事会在继任规划中的作用董事会相信有效的继任规划, 尤其是对首席执行官来说, 对于YETI的持续成功是很重要的。根据YETI的公司治理准则, 赔偿委员会应, 至少每年, 就YETI执行官的继任计划向董事会提出报告。另外, 至少每年, 提名和治理委员会将向董事会报告董事会主席的继任计划。YETI的继任计划将包括适当的应急措施,以防董事会主席, YETI的首席执行官或另一位关键执行官退休, 辞职, 死亡或丧失行为能力。董事会, 在提名和治理委员会或薪酬委员会的协助下, 在适用的情况下, 将评估董事会主席的潜在继任者, YETI的首席执行官和其他主要执行官。董事会主席和首席执行干事通过提供他们的建议和对潜在继任者的评价,为这些评价作出贡献, 以及对为这些人推荐的任何发展计划的审查。董事会作为其监督职能的一部分,在风险监督中的作用, 董事会发挥着积极的作用, 无论是在整体上还是在委员会层面, 监督YETI的风险管理。审计委员会对财务风险负有主要监督责任,并对我们的整体风险评估和风险管理政策和系统负有监督责任。审计委员会监督我们的收货程序, 保留, 与会计和审计事项有关的投诉的处理以及《2022年YETI》委托书公司治理Toppan Merrill-YETIHoldings_Inc.DEF14A编辑和打印只有编辑|105251|16-Mar-22 10:56|21-35773-1.DC|顺序:12CHKSUM内容:21606布局:12779图形:0干净的工作:21-35773-1循环#;BL#:12;0修剪:8.25“x10.75”作为:达拉斯:214-698-9777颜色:YETI蓝, ~注-颜色2, 黑色图形:无V1.5,

GRAPHIC

监督我们的法律, 道德和监管合规计划。审计委员会定期与我们的会计和法律人员互动, 内部审计小组, 道德与合规团队, 以及我们的独立审计师来履行这一监督职能。我们的审计委员会还监督与我们的信息技术系统相关的风险, 过程, 和程序, 包括与网络安全和数据隐私相关的风险。薪酬委员会监督与我们的薪酬计划和计划有关的风险。薪酬委员会已根据董事会的风险评估和管理职责审查并考虑了我们的薪酬政策和计划,并将在未来每年继续这样做。薪酬委员会认为,我们没有针对我们的高管和其他员工的薪酬政策和计划,这些政策和计划会引起有可能对我们造成重大不利影响的风险。薪酬委员会也, 至少每年一次, 考虑并评估其顾问的独立性和潜在的利益冲突, 包括其独立的薪酬顾问。管理层负责我们的日常风险管理活动,并监督重大风险领域, 其中可能包括可操作的, 金融, 法律和监管, 人力资本, 信息技术与安全, 以及战略和声誉风险。高级管理人员应董事会或其委员会的邀请参加董事会和董事会委员会会议,并可以解决董事会就风险管理和任何其他事项提出的任何问题或关切。审计和薪酬委员会还依赖我们的独立注册公共会计师事务所和独立薪酬顾问的建议和顾问, 分别, 为了提高对他们在定期审查我们的财务报表时可能出现的任何风险问题的认识, 审计工作, 以及高管薪酬政策和实践。董事会通过每个委员会主席在每次董事会会议上向整个董事会提交的会议报告,更新每个委员会的风险监督和其他活动。YETI已经建立了一个Enterprise风险框架,用于识别, 聚集, 并评估整个Enterprise的风险。该风险框架与YETI的年度计划相结合, 审计范围, 并由其内部审计师进行控制评价测试。YETI的高级领导团队负责监督我们的Enterprise风险管理计划,并评估和管理我们的法律, 监管, 以及全球范围内的其他合规义务。首席合规官和首席技术官定期向审计委员会和董事会其他相关委员会报告, 关于我们的Enterprise风险管理计划, 包括信息安全问题(如欺诈, 数据隐私, 和网络安全风险与发展), 全球贸易, 制裁, 反贿赂, 和/或产品安全, 以及管理层为监控和控制此类风险而采取的措施, 以及法律和合规事务。内部审计小组每年与高级管理层一起促进Enterprise风险评估,并就我们的风险分析向审计委员会和董事会其他相关委员会提供最新情况, 评估, 风险缓解策略, 和活动。我们运营着一个基于风险的网络安全计划,致力于保护机密性, 我们的信息的Integrity和可用性。我们采用分层的方法来防止, 以及对, 网络安全事件, 并利用外部伙伴关系来获取有关威胁的情报,并继续调整我们的保护机制以使其有效。我们的系统已经到位,可以安全地接收和存储这些信息,并进行检测, 包含, 以及应对数据安全事件。我们还制定了网络安全和信息安全培训与合规计划,以支持我们的员工和董事。作为这个项目的一部分, 耶蒂泽人每年至少接受一次网络安全方面的培训, 数据隐私, 和信息安全。YETI还维护网络安全和信息安全风险保险政策。尽管我们有很多控制措施来防止常见的攻击, 一些攻击可能仍然有效。我们的控制是为了检测, 对这些攻击进行分类和根除。在过去的三年里, YETI没有经历过重大的网络安全或信息安全漏洞,也没有发生与调查任何此类漏洞有关的费用。YETI2022年委托书|27公司治理Toppan Merrill-YETIHoldings_Inc.DEF14A编辑和打印只有编辑|105251|16-Mar-22 10:56|21-35773-1.DC|序列:13CHKSUM内容:36870布局:56808图形:0干净的工作:21-35773-1循环#;BL#:12;0修剪:8.25“x10.75”作为:达拉斯:214-698-9777颜色:YETI蓝, ~注-颜色2, 黑色图形:无V1.5,

GRAPHIC

商业行为准则我们致力于在整个业务和运营过程中保持最高的道德标准。自6月1日起生效, 2020, YETI通过了一项新的书面商业行为准则(“COBC”),该准则适用于我们的董事, 执行官, 和员工, 包括我们的首席执行官, 首席财务官, 首席会计主任或财务总监, 或履行类似职能的人。COBC的实施是为了反映YETI业务和组织的变化, 遵循当前的最佳实践, 并提高YETI全球员工基础的清晰度和实用性。COBC扩展了YETI对法律和披露合规的承诺,并更全面地解决了YETI资产的保护和正确使用问题。它包括促进遵守适用的政府法律的规定, 规则和条例, 包括, 没有限制, 证券法, 反托拉斯法, 以及反贿赂和反腐败法。COBC还对报告和执行违反COBC的行为实施了更详细的标准。目前,该公司的一份报告被发布在我们网站投资者关系部分的“治理”栏目下, WWW.YETI.com。在美国证券交易委员会和纽约证券交易所采用的适用规则要求的范围内, 我们打算披露未来对, 或者放弃, COBC授予我们在此位置的执行官和董事。董事会至少每年进行一次评估, 提名和治理委员会监督对整个董事会绩效的评估, 董事会的每个委员会, 以及每位董事。作为这个过程的一部分, (a)委员会对整个委员会进行自我评估,以决定, 除其他事项外, 董事会是否有效运作;(b)董事会的每个委员会对委员会的有效性进行自我评估;(c)董事进行同行评估。提名与治理委员会和董事会在推荐和选择在每次年度股东大会上选举的董事候选人时会考虑这些评估的结果。根据YETI的内幕交易政策,反对冲和反质押政策, 董事, 执行官, 与YETI有业务关系的其他雇员和第三方顾问或独立承包商不得在任何时候从事与YETI有关的重大非公开信息的投机性质的交易, 包括, 但不限于, 看跌期权, YETI证券的保证金, 或以其他方式质押YETI证券作为抵押品或进行任何其他对冲交易。另外, 董事, 执行官, 禁止其他员工和此类第三方顾问或独立承包商在任何时候卖空YETI普通股或从事涉及基于YETI的衍生证券的交易, 包括, 但不限于, 以YETI为基础的看跌或看涨期权合约的交易, 在跨行中进行交易, 等等。与董事会的沟通我们鼓励我们的股东和其他感兴趣的人与董事会沟通。与董事会成员的书面沟通, 董事会非管理层或独立成员|YETI2022年委托书公司治理Toppan Merrill-YETIHoldings_Inc.DEF14A编辑和打印只编辑10:56|21-35773-1.DC|顺序:14CHKSUM内容:20167布局:54785图形:0干净的工作:21-35773-1周期#;BL#:12;0修剪:8.25“x10.75”作为:达拉斯:214-698-9777颜色:YETI蓝, ~注-颜色2, 黑色图形:无V1.5,

GRAPHIC

作为一个群体, 或者,董事会主席可以被派往以下地点:董事会, C/O YETI控股, Inc., 西南公园大道7601号, 奥斯汀, 德州78735。所有此类通信将转发给适用的董事进行审查, 除(a)包含根据董事会章程以及既定惯例和程序不适合由董事会审查的材料的通信外, 或(b)包含不适当或不重要的信息。非雇员董事薪酬我们的董事根据我们的非雇员董事薪酬政策获得薪酬。我们所有的非雇员董事目前都有资格根据此政策获得补偿。2021财年董事薪酬表下表列出了有关授予, 通过, 或在2021财年支付给我们的非雇员董事。赚取的费用或以现金支付(1)股票奖励(2)总名称($)($)($)Tracey D. Brown79,881 120,000 199,881Alison Dean 84,874 120,000 204,874Frank D. Gibeau 84,874 120,000204,874Mary Lou Kelley 89,856 120,000209,856Dustan E. Mccoy 99,851 120,000219,851David L. Schnadig(3)43,500 120,000163,500Robert K. Shearer 130,023(4)120,000 250,023(1)代表董事会服务和董事会主席的聘用, 委员会主席和委员会服务。凯利女士和Gibeau先生和希勒先生选择将其年度现金保留金和委员会现金费用的一部分递延为递延股票单位(“DSU”)。(2)代表授予日期为5月20日的限制性股票单位(“RSU”)的公允价值, 2021.计算这些金额时使用的假设包含在附注10中,附注10是SCAL截至1月1日年度的10-K表年度报告中所包含的合并财务报表附注的股票补偿, 2022.Msses。布朗和凯利以及希勒先生选择接受DSU来代替RSU。截至1月1日, 2022, 布朗女士持有1403个DSU, 迪安女士持有1342个DSU和1403个RSU, Gibeau先生持有2085个DSU和1403个RSU, 凯利女士持有8103个DSU, 麦科伊持有3155个DSU和1403个RSU, Schnadig先生持有1,403个RSU,Shearer先生持有25,573个DSU。(3)Schnadig先生于3月9日辞去董事会职务, 2022, 根据他的RSU授予协议,他未归属的RSU在辞职时被没收。(4)关于董事会通过的自11月4日起将董事会非执行主席的年度聘任费从60,000美元增加到80,000美元的规定, 2021.FW Cook根据其对YETI同行公司中独立董事薪酬做法的年度市场研究结果,推荐了这一增长。YETI2022年委托书|29公司治理Toppan Merrill-YETIHoldings_Inc.DEF14A编辑和打印只有编辑|105251|16-Mar-22 10:56|21-35773-1.DC|顺序:15CHKSUM内容:6301布局:13762图形:0干净的工作:21-35773-1循环#;BL#:12;0修剪:8.25“x10.75”作为:达拉斯:214-698-9777颜色:YETI蓝, ~注-颜色2, 黑色图形:无V1.5,

GRAPHIC

我们的非雇员董事每年可获得7.5万美元的现金预留金, 其中, 如果没有下文所述的延期选举, 每季度支付一次欠款,并根据在董事会的服务天数按比例分配。每位非雇员董事还有权获得额外的现金补偿。委员会成员或担任主席如下:年度固定职位(美元)董事会非执行主席80,000*董事会首席或主持董事(如果有的话)40,000委员会主席•审计委员会20,000•薪酬委员会15,000•提名和治理委员会10,000•特别委员会(例如, 战略交易, 调查, 主要员工搜索)**委员会成员•审计委员会10000人•薪酬委员会7500人•提名和治理委员会5000人•特别委员会(如果成立的话)7500人*董事会非执行主席的年度聘任费从60000美元增加到80000美元, 自11月4日起生效, 2021.**特别委员会是否成立以及何时成立尚待确定。在下一次股东年会之前的纳税年度结束时, 或按非雇员董事首次当选或被任命为董事会成员之日的比例计算, 非雇员董事能够, 在遵守税收递延规则的前提下, 选择将年度现金预留额的全部或部分递延至DSU, 或主席或委员会的现金费用, 将在该日期与我们的下一次年度股东大会之间获得, 我们称之为服务期限。此类DSU将在服务期的第一天以授予日我们的股票价格为基础发行, 四舍五入的任何部分股份。此类DSU将归属于(a)授予日期的一周年纪念日和(b)下一次股东年会中较早发生的日期, 以董事在适用的归属日期之前的继续服务为准。任何既得的DSU将在(a)非雇员董事在其延期选举表格中指定的日期和(b)非雇员董事停止在董事会任职的六个月周年纪念日中的较早者以我们的普通股结算。在任何延期期间, 非雇员董事将在其DSU中累积股息等值, 如果我们的普通股支付了股息。有关任何DSU的最终条款将在DSU授予协议以及由适用的董事填写的随附的延期选举表格中阐明。30|YETI2022年委托书公司治理Toppan Merrill-YETIHoldings_Inc.DEF14A编辑和打印只有编辑|105251|16-Mar-22 10:56|21-35773-1.DC|序列:16CHKSUM内容:33515布局:17725图形:31921干净的工作:21-35773-1循环#;BL#:12;0修剪:8.25“x10.75”作为:达拉斯:214-698-9777颜色:1, YETI·布鲁, ~注-颜色2, 黑色, 0图形:COMM_YETIBlue_Icon.eps, member_k_icon.eps v1.5,

GRAPHIC

我们的所有董事都将获得与担任董事会成员或其委员会成员有关的合理的自付费用的补偿。在我们的股东年会召开之日的股权补偿, 或在首次选举或获委任为董事局成员时,按比例计算, 非雇员董事将获得价值120,000美元的RSU奖励(基于我们在授予之日的收盘价)。该奖项将在(a)授予日期的一周年纪念日和(b)下一次年度股东大会召开之前的较早时间全部归属, 以董事在适用的归属日期之前的继续服务为准。我们的非雇员董事可以选择以DSU的形式推迟全部或部分授予RSU, 它将在与非雇员董事的RSU归属相同的基础上,在一期中全额归属并将在(a)非雇员董事在其延期选举表格中指定的日期和(b)非雇员董事停止在董事会服务的六个月周年纪念日中较早发生的日期以我们的普通股进行结算。在任何延期期间, 非雇员董事将在其DSU中累积股息等值, 如果我们的普通股支付了股息。有关任何DSU的最终条款将在DSU授予协议以及由适用的董事填写的随附的延期选举表格中阐明。公司的产品折扣主管有权获得我们某些产品的建议零售价的折扣。9月26日生效的非雇员董事持股指南, 2018, 董事会通过了YETI控股公司, 股份有限公司。执行董事持股政策(1月30日修订, 2020, “政策”), 根据该协议,某些高管和非雇员董事预计将获得目标水平的股份所有权。根据该政策, 我们的每位非雇员董事,如果因其在董事会的服务而从我们那里获得补偿,则必须拥有不少于其年度现金保留金的五倍的股票。就这一要求而言, 非雇员董事的持股包括我们直接或间接持有的普通股, 单独地或共同地, 以及既得或已获得的股票奖励, 包括, 但不限于, (a)已归属或已赚取的限制性或绩效股票,以及(b)已归属或已赚取的限制性股票单位的基础股份, 绩效股票单位和未行使的股票期权, 在所有情况下,无论是否推迟到将来交付。在股权要求得到满足之前, 非雇员董事被要求保留在限制性股票结算时收到的100%的股份, 受限制股份单位或绩效股份(扣除价值等于该非雇员董事就此种结算所欠税款的股份)和行使股票期权收到的股份(扣除为支付行使价而投标或预扣的股份)以及该非雇员董事就该活动所欠的税款), 在任何情况下, 关于10月24日或之后授予的股权奖励, 2018.股票保留要求不适用于10月24日之前授予我们非雇员董事的股权奖励, 2018.YETI2022年委托书|31公司治理Toppan Merrill-YETIHoldings_Inc.DEF14A编辑和打印只有编辑|105251|16-Mar-22 10:56|21-35773-1.DC|顺序:17CHKSUM内容:63552布局:6272图形:34700清洁工作:21-35773-1循环#;BL#:12;0修剪:8.25“x10.75”作为:达拉斯:214-698-9777颜色:YETI蓝, ~注-颜色2, 黑色图形:member_k_icon.eps, member_k_icon.eps v1.5,

GRAPHIC

高管薪酬建议2。批准, 在咨询的基础上, 根据《交易法》第14A条和美国证券交易委员会相关规则的要求,支付给我们指定的执行官的薪酬, 我们的股东有机会批准, 在咨询(不具约束力)的基础上, 根据SEC的薪酬披露规则披露的支付给我们指定的执行官(“NEO”)的薪酬, 披露内容包括薪酬的讨论和分析, 补偿表, 以及薪酬表附带的叙述性披露(“薪酬话语权”投票)。在我们的2020年年度股东大会上, 股东们对一项不具约束力的提案进行了投票,该提案就高管薪酬的咨询性投票是否应该每一次都举行提出了建议, 两三年了。由于我们的大多数股东投票赞成年度咨询投票, 董事会决定每年向股东提供有关我们近地天体补偿的咨询投票。因此, YETI为股东提供有关高管薪酬的年度咨询投票。我们要求股东在年度股东大会上投票赞成以下决议,以表明他们支持我们在委托书中所述的NEO的薪酬, 支付给指定的执行官的薪酬, 根据美国证券交易委员会的《高管薪酬披露规则》,在本委托书中披露, 披露内容包括薪酬的讨论和分析, 附带的补偿表, 以及相关的叙述性披露, 特此批准。”作为一项咨询投票, 这项提议不具有约束力。然而, 董事会和薪酬委员会, 负责设计和管理我们的高管薪酬计划, 重视股东在对该提案的投票中表达的意见,并在做出未来的高管薪酬决定时考虑投票结果。正如在薪酬讨论和分析中详细描述的那样, 我们的高管薪酬计划旨在以直接有效的方式激励和奖励出色的表现, 在认识到规模的同时, 范围, 以及YETI业务的成功。我们相信我们的高管薪酬计划, 在短期激励和长期激励的平衡下, 奖励与长期股东利益一致的持续业绩。我们鼓励股东阅读《薪酬讨论与分析》, 附带的补偿表, 以及相关的叙述性披露, 其中阐述了我们的高管薪酬计划的细节。董事会一致建议股东投票“赞成”这一批准, 在咨询的基础上, 根据本委托书中披露的支付给我们的NEO的补偿。32|YETI2022年委托书Toppan Merrill-YETIHoldings_Inc.DEF14A编辑和打印只有编辑|105251|16-Mar-22 10:56|21-35773-1.EA|序列:1CHKSUM内容:10993布局:18324图形:21141清洁工作:21-35773-1周期#;BL#:12;0修剪:8.25“x10.75”作为:达拉斯:214-698-9777颜色:YETI蓝, ~注-颜色2, 黑色图形:checkmark_ko_icon.eps v1.5,

GRAPHIC

下面是执行官们的名单, 年龄, 职位, 以及担任我们执行官的个人的业务经验的简要总结。年龄(截至3月21日, Matthew J. Reintjes46,总裁兼首席执行官, 董事Paul C. Carbone56高级副总裁和首席财务官Bryan C. Barksdale51高级副总裁, 总法律顾问和秘书Hollie S. Castro52首席人力资源官和高级副总裁的ESGKirk A. Zambetti53高级副总裁的销售Matthew J. Reintjes。Reintjes先生的履历信息在这份委托书的第7页“第一类董事提名(任期至2025年)”下披露。Paul C. Carbone。Carbone先生自2018年6月起担任我们的首席财务官,自2018年9月起担任高级副总裁。在加入我们之前, Carbone先生于2017年4月至2018年2月担任Talbots的首席财务官兼首席运营官, Inc., 或者是Talbots, 一家专业零售商。在加入Talbots之前, Carbone先生于2012年6月至2017年4月担任Dunkin’Brands Group的高级副总裁兼首席财务官, Inc., 或者Dunkin’, 提供快速服务的餐馆业务。卡本先生还担任副总裁, 从2008年9月到2012年6月,担任Dunkin’的财务和战略。在《唐恩都乐》之前, 从2006年到2008年,Carbone先生担任Tween Brands的高级副总裁兼首席财务官, Inc., 或者吐温, 专业零售品牌的经营者。在吐温之前, Carbone先生从2005年到2006年担任副总裁, 为维密L品牌融资, Inc., 以前被称为有限品牌, Inc., 一家专业零售商。卡本先生拥有马萨诸塞大学酒店管理学士学位, 南卡罗来纳大学工商管理学士学位, 以及伊利诺伊大学的工商管理硕士学位。Bryan C. Barksdale。Barksdale先生自2015年8月起担任我们的总法律顾问,自2015年12月起担任我们的秘书。Barksdale先生于2018年9月被任命为高级副总裁。在加入我们之前, Barksdale先生曾担任Ifly Holdings的总法律顾问, Inc., 一个设计师, 制造商, 以及室内跳伞设施中使用的垂直风洞的运营商, 从2015年1月到2015年7月。从2010年8月到2015年1月, 巴克斯代尔先生担任首席法务官, 总法律顾问, 以及Bazaarvoice的秘书, Inc., 一家社交商务软件即服务公司。从2005年2月到2010年8月, Barksdale先生在Wilson Sonsini Goodrich&Rosati从事公司法和证券法, 专业公司。Barksdale先生曾在Brobeck从事公司和证券法律业务, Phleger&Harrison LLP和Andrews Kurth LLP。巴克斯代尔先生拥有德克萨斯大学奥斯汀分校的学士学位, 密西西比大学工商管理硕士, 以及Washington&Lee University School of Law的法学博士学位。Hollie S. Castro。Castro女士自2022年2月起担任我们的首席人力资源官。卡斯特罗女士于2020年2月被任命为我们的ESG高级副总裁, 我们于2018年9月进行了人才高级副总裁, 并于2018年1月担任我们的人才副总裁。在加入我们之前, 卡斯特罗女士曾担任卡斯特罗咨询集团主席, 一家为从初创企业到《财富》500强企业的高管提供指导和建议的机构, 从2015年到2018年。在此之前, 卡斯特罗女士担任科尼公司的执行副总裁, 数字和移动应用程序YETI2022年委托书|33高管薪酬Toppan Merrill-YETIHoldings_Inc.DEF14A编辑和打印只有编辑|105251|16-Mar-22 10:56|21-35773-1.EA|序列:2CHKSUM内容:37925布局:12231图形:0清洁工作:21-35773-1周期#;BL#:12;0修剪:8.25“x10.75”作为:达拉斯:214-698-9777颜色:YETI蓝, ~注-颜色2, 黑色图形:无V1.5,

GRAPHIC

公司, 在2014年, 以及BMC Software人力资源和管理的高级副总裁, 一家多云管理公司, 从2009年到2014年。卡斯特罗女士拥有万宝路学院的意大利语和法语口译学士学位,以及雷鸟公司的国际管理工商管理硕士学位。Kirk A. Zambetti。Zambetti先生自2018年9月起担任我们的销售高级副总裁。Zambetti先生于2016年8月被任命为我们的销售副总裁。在加入我们之前, 2008年10月至2016年8月,Zambetti先生担任丹纳赫牙科技术部门北美销售副总裁, 是大客户总监, 北美可追溯到2007年3月。在丹纳赫之前, Zambetti先生在领先的医疗设备制造商和分销商担任过各种商业领导和销售职务, 包括西门子, Ansi, Urologix, 还有PSS WorldMedical。Zambetti先生拥有汉普登-悉尼学院历史学学士学位。34|YETI2022年委托书高管薪酬Toppan Merrill-YETIHoldings_Inc.DEF14A编辑和打印只有编辑|105251|16-Mar-22 10:56|21-35773-1.EA|序列:3CHKSUM内容:36855布局:43459图形:0清洁工作:21-35773-1周期#;BL#:12;0修剪:8.25“x10.75”作为:达拉斯:214-698-9777颜色:YETI蓝, ~注-颜色2, 黑色图形:无V1.5,

GRAPHIC

薪酬讨论和分析我们致力于为股东提供对我们的高管薪酬计划及其与我们的战略目标和业务重点的联系的全面了解。这份薪酬讨论与分析(“CD&A”)描述了这一理念, 目标, 过程, 我们的2021年高管薪酬计划的组成部分和其他方面,并与紧随其后的高管薪酬表格中显示的金额保持一致。虽然YETI薪酬理念的基本原则延伸到了公司的各个层面, 此CD&A和随附的表格专门分析并提供了我们指定的执行官(“NEO”)的历史薪酬信息。我们将在2021年任命2021年的执行官, 以下人员被确认为我们的NEO:Matthew J. Reintjes总裁兼首席执行官Paul C. Carbone高级副总裁, 首席财务官,Bryan C. Barksdale,高级副总裁, 总法律顾问兼秘书Hollie S. Castro首席人力资源官兼高级副总裁ESGKirk A. Zambetti高级副总裁销售YETI2022年委托书|35高管薪酬Toppan Merrill-YETIHoldings_Inc.DEF14A编辑和打印只有编辑|105251|16-Mar-22 10:56|21-35773-1.EA|顺序:4CHKSUM内容:16363布局:53488图形:21268清洁工作:21-35773-1周期#;BL#:12;0修剪:8.25“x10.75”作为:达拉斯:214-698-9777颜色:洋红色, 黄色, YETI·布鲁, ~注-颜色2, 黑色, 青图形:KIRK_Zambetti_MED_4c_fpo_photo.eps, Hollie_Castro_MED_4c_fpo_photo.eps, Brian_Barksdale_MED_4c_fpo_photo.eps, Paul_Carbone_MED_4c_fpo_photo.eps, Matthew_Reintjes_MEDv1.5,

GRAPHIC

CD&A参考指南第一节,内容摘要第二节。薪酬理念与目标第三部分。补偿确定过程第四节。我们的薪酬计划的组成部分第五部分:额外的薪酬政策和实践I.执行摘要通过致力于品牌和产品的创新,在2021财年,把握2021财年YETI的机遇和挑战,继续推动与客户的联系, 尽管新冠病毒大流行对全球经济和我们的业务造成了持续的破坏。面对疫情引发的供应链环境, 我们的高级领导团队继续执行我们的业务战略,并通过利用与合作伙伴的紧密合作关系以及与主要供应商的牢固关系来抵消供应中断, 利用我们在过去几年中建立的供应商冗余的好处, 并依靠我们的全套产品组合。结果, 我们能够进一步扩大我们的直接面向消费者(“DTC”)的渠道, 扩大我们的零售店面, 并在国际上发展。我们强大的品牌需求, 适应能力, 深思熟虑的增长方法导致了2021年的强劲经营业绩。我们在2021财年取得的成功,很大程度上要归功于我们的高级领导团队的持续奉献精神,以及我们成功实施了YETI的业务战略, 我们相信,我们的NEO的薪酬反映并奖励他们对YETI成功的贡献,并表明与我们的股东的利益保持一致。在本执行摘要的其余部分中, 我们概述了我们在2021财年的业务表现及其与我们的高管薪酬计划的一致性。另外, 我们总结了薪酬委员会在2021财年采取的行动,以配合YETI的持续发展和良好的公司治理实践。薪酬委员会认为,以下信息展示了我们的薪酬实践如何吸引和留住最高水平的人才,并通过奖励实现短期和长期财务和战略绩效目标的高管来实现按业绩计薪的目标。2021财年精选业务亮点, YETI进行了大量投资,以支持其业务的增长。例如, 我们介绍了我们的crossroads行李箱, 行李和背包, 我们的Rambler18OZ。Hotshot Bottle, 我们的Rambler64OZ。瓶子, 我们的新的和改进的Camino Caryall, 以及饮料的新配色, 硬式冷却器和软式冷却器, 我们重新推出了20和30盎司大小的Rambler旅行杯。我们也带回来了, 在非常有限的情况下, 为庆祝该品牌成立15周年,一款已退役的YETI冷藏箱采用了一种特殊的配色, 我们再次与Folds of Honor合作,发布了限量版的退伍军人日Rambler30OZ。不倒翁。另外, 我们在休斯顿开了新的零售店, 德克萨斯州和斯科茨代尔, 2021年11月在亚利桑那州。总结如下, 这些战略投资和举措带来了2021财年强劲的财务业绩, 我们认为,YETI处于独特的位置,能够将这种势头延续到2022财年。36|YETI2022年委托书高管薪酬Toppan Merrill-YETIHoldings_Inc.DEF14A编辑和打印只有编辑|105251|16-Mar-22 10:56|21-35773-1.EA|序列:5CHKSUM内容:2205布局:49149图形:0干净的工作:21-35773-1周期#;BL#:12;0修剪:8.25“x10.75”作为:达拉斯:214-698-9777颜色:YETI蓝, ~注-颜色2, 黑色图形:无V1.5,

GRAPHIC

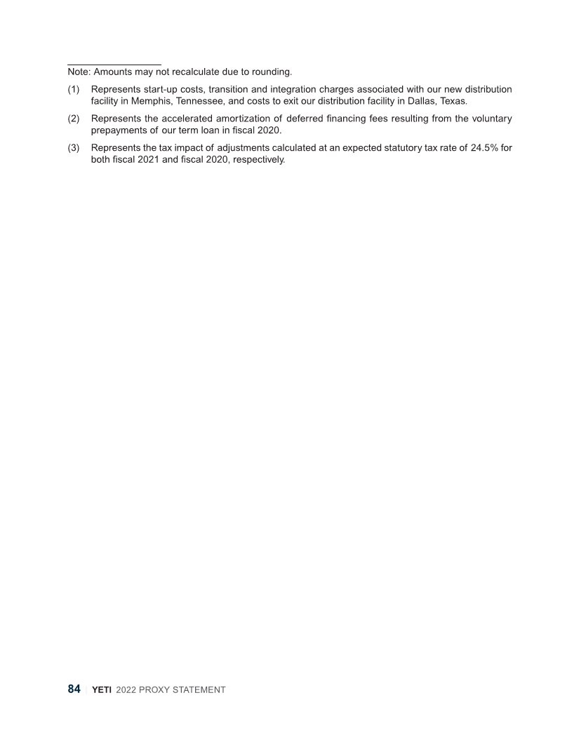
注:百万美元, 除了百分比。净销售额,尽管新冠病毒大流行带来了持续的破坏, YETI在2021财年实现了强劲的经营业绩, 净销售额增加了3.193亿美元, 或者29%, 从2020财年的10.917亿美元增至14.11亿美元。•DTC渠道净销售额增加了2.038亿美元, 或35%, 从2020财年的5.809亿美元增至2021财年的7.847亿美元, 由饮具和冷却器及设备两个类别驱动。•批发渠道的净销售额增加了1.154亿美元, 或23%, 从2020财年的5.109亿美元增至2021财年的6.263亿美元, 主要由饮具和冷却器及设备类别驱动。•饮料净销售额增加了2.038亿美元, 或32%, 从2020财年的6.286亿美元增至2021财年的8.324亿美元, 由于我们的饮具产品不断扩大, 包括引入新的颜色和尺寸, 以及强劲的定制需求。•冷却器和设备的净销售额增加了1.053亿美元, 或24%, 从2020财年的4.466亿美元增至2021财年的5.519亿美元, 在箱包增长的推动下, 户外生活用品, 软式冷却器和硬式冷却器。净销售额毛利毛利%利润率779美元914美元1,411美元1,092美元2018年2019年2021年2020年383美元475美元816美元2018年2019年2021年6292020年49.2%52.0%57.8%57.6%(1)其他包括服装, 开瓶器, 冰的替代品和其他配件。(1)其他包括服装, 开瓶器, 冰的替代品和其他配件。2021财年净销售额YETI2022年委托书|37高管薪酬Toppan Merrill-YETIHoldings_Inc.DEF14A编辑和打印只有编辑|105251|16-Mar-22 10:56|21-35773-1.EA|顺序:6CHKSUM内容:11025布局:4363图形:34942干净的工作:21-35773-1循环#;BL#:12;0修剪:8.25“x10.75”作为:达拉斯:214-698-9777颜色:黄色, 洋红色, 青色, YETI·布鲁, ~注-颜色2, 1, 黑色, 0图形:35773-1_netsales_fpo_p.eps, 35773-1_ESG_c.eps v1.5,

GRAPHIC

2021财年的总收入和毛利率, 我们的毛利增长了30%,达到8.161亿美元, 占净销售额的57.8%, 与6.288亿美元相比, 占净销售额的57.6%, 在前一年。毛利率增长了210个基点,这主要是由于库存储备减少,以及向DTC渠道的有利组合转移和产品成本的提高, 主要由较高的入境运费和不延长全球优惠制度(“GSP”)计划对进口税的不利影响推动的190个基点的收缩,在很大程度上抵消了这一影响。注:百万美元, 百分比和每股金额除外。*将本委托书中规定的调整后的营业收入和调整后的稀释后每股净收入与最接近的GAAP指标进行核对, 请参阅“附录A:非GAAP财务指标的调节”。调整后的营业收入YETI的调整后营业收入(非GAAP业绩指标), 其中, 除了净销售额, 是我们年度短期激励计划下的绩效指标, 增长32%,至2.951亿美元, 或净销售额的20.9%, 对于2021财年, 与2.243亿美元相比, 或占2020财年净销售额的20.5%。(关于该指标的讨论,请参见“——年度激励计划——绩效指标”,与相应的GAAP指标的对账,请参见附录A。,)2021财年调整后的净收入和调整后的稀释后每股净收入, 我们调整后的净收入增长了39%,达到2.278亿美元, 或净销售额的16.1%, 与1.642亿美元相比, 或占2020财年净销售额的15.0%, 我们调整后的稀释后每股净收入增长了37%,达到2.57美元, 相比之下,去年同期的摊薄后每股收益为1.87美元。2021年关键高管薪酬计划决策YETI是一家以绩效为导向的组织, 薪酬委员会认为,我们的增长之间有很强的联系, 我们对外交流的目标, 以及我们对近地天体和整个组织做出的相应的补偿决定。薪酬委员会在2021年就NEO的每个薪酬计划组成部分做出了以下决定。调整后营业收入*124美元143美元295美元2242018 2019 2021 2020调整后营业收入%调整后每股摊薄净收入*0.91美元1.06美元2.572018 2019 2021美元1.87 2020年15.9%15.6%20.9%20.5%38|YETI2022年委托书高管薪酬Toppan Merrill-YETIHoldings_Inc.DEF14A编辑和打印只有编辑|105251|16-Mar-22 10:56|21-35773-1.EA|顺序:7CHKSUM内容:54626布局:17759图形:22168干净的工作:21-35773-1循环#;BL#:12;0修剪:8.25“x10.75”作为:达拉斯:214-698-9777颜色:洋红色, 黄色, YETI·布鲁, ~注-颜色2, 黑色, 青色图形:35773-1_adj_inc_c.eps v1.5,

GRAPHIC

在2021年2月的年度薪酬审查周期内的基本工资, 薪酬委员会将我们NEO的基本工资从2020年设定的水平提高了3.8%至7.59%,以反映高管绩效和角色扩展, 为了更好地与基于市场的薪酬保持一致,这些薪酬支付给了我们同行中处境相似的高管, 并保留我们关键的NEO人才。2021年短期激励计划管理团队领导了一个过程,以根据2021年短期激励计划(“STIP”)设定财务绩效目标, 这一数字大大高于上一年的水平,并要求我们在2020财年的财务业绩中实现两位数的百分比增长, 经薪酬委员会批准,如下所述。2021年的STIP使用了两个财务绩效指标, 薪酬委员会认为,将高管们的注意力集中在提高股东价值所必需的关键战略优先事项上是恰当的:对于NEO, STIP完全基于公司的绩效指标, 也不存在分裂, 地理上的或个别的组成部分。另外, 我们所有符合条件的员工都参加了相同的年度激励计划。如果YETI没有达到最低的性能水平, 那么在STIP下就不会有支付, 支付的上限是目标机会的200%。STIP下的目标机会近地天体以符合条件的年薪的一定百分比计算。如下所述:2021年目标年度NEO现金激励百分比Matthew J. Reintjes150%Paul C. Carbone75%Bryan C. Barksdale60%Hollie S. Castro60%Kirk A. Zambetti60%净销售额+调整后营业收入•代表STIP总机会的40%•业绩门槛:96%目标•最高业绩:目标的105%•代表了STIP机会总数的60%•业绩门槛:目标的94%•最高业绩:目标YETI2022年委托书的115%|39高管薪酬Toppan Merrill-YETIHoldings_Inc.DEF14A编辑和打印只有编辑|105251|16-Mar-22 10:56|21-35773-1.EA|序列:8CHKSUM内容:62076布局:27379图形:45322清洁工作:21-35773-1周期#;BL#:12;0修剪:8.25“x10.75”作为:达拉斯:214-698-9777颜色:洋红色, 黄色, YETI·布鲁, ~注-颜色2, 黑色, 青色图形:35773-1_netsale_4c_tbl.eps v1.5,

GRAPHIC

如上所述, 净销售额增长了29%,达到创纪录的14.11亿美元, 调整后的营业收入增长了32%,达到2.951亿美元, 这使得在我们的STIP下,所有参加STIP的员工的薪酬达到了目标的198%, 包括我们的近地天体。注:百万美元, 除了百分比。2021年长期激励计划与我们继续关注按业绩计薪的重点保持一致, 薪酬委员会在2021财年更新了长期激励计划(“LTIP”),以使所有执行官获得基于绩效和基于时间的股权奖励的同等组合。以表演为基础的奖项, 其中包括2021财年长期激励计划授予日期目标值的50%, 是基于绩效的限制性股票(“PBRS”),根据三年绩效期内衡量的自由现金流,三年后有资格获得悬崖资产, 相对总股东回报率(“TSR”)修饰符与我们相对于罗素2000指数中的公司的股价表现相关。以时间为基础的奖项, 其中包括2021财年长期激励计划授予日期目标值的50%, 结构为限制性股票,规定了为期三年的基于时间的可分配归属。门槛$1,244.9目标$1,296.8最高$1,361.6门槛$250.4目标$266.4最高$306.4实际结果$1,411.0实际结果$295.1净销售额调整后的营业收入总支出198%支出%200.0%196.7%40|YETI2022年委托书高管薪酬Toppan Merrill-YETIHoldings_Inc.DEF14A编辑和打印只有编辑|105251|16-Mar-22 10:56|21-35773-1.EA|序列:9CHKSUM内容:7646布局:43917图形:4370清洁工作:21-35773-1周期#;BL#:12;0修剪:8.25“x10.75”作为:达拉斯:214-698-9777颜色:黄色, 洋红色, 青色, YETI·布鲁, ~注-颜色2, 1, 黑色, 0图形:35773-1_NET_SAL_FPO_BAR.EPS v1.5,

GRAPHIC

目标薪酬组合以下图表显示了应付给我们首席执行官的目标总直接薪酬和应付给我们其他近地天体的平均目标总直接薪酬的分配情况。薪酬委员会在基本工资中分配薪酬, 目标STI, 并在授予日以公允价值和时间相结合的形式对长期激励对象进行了基于业绩的限制性股票奖励。我们的首席执行官和其他NEO的每个薪酬要素将在下面进行进一步讨论,并在2021年总薪酬表和2021年基于计划的奖励授予表中进行了更详细的阐述。ii.薪酬哲学和目标薪酬哲学YETI的薪酬哲学基于以下核心组成部分:与我们的业务战略和股东利益保持一致。YETI的高管薪酬计划包含特定的财务业绩指标,例如净销售额和调整后的营业收入,这些指标与我们的战略目标一致,并表明了顶线和底线的业绩。我们的计划还包含对股权激励的大量分配,以促进我们长期运营和, 反过来, 股价表现,并将执行官的利益与股东的利益紧密联系在一起。激励和奖励我们的主要目标的实现。使用与我们的短期和长期目标挂钩的财务指标的基于绩效的激励措施是我们的高管薪酬计划的重要组成部分。通过将业绩和成就与薪酬挂钩, 我们寻求激励执行官实现我们的关键战略目标。我们定义了明确和可衡量的量化目标,旨在加强这种联系,从而改善结果和回报给我们的股东。提供有竞争力的薪酬来吸引和留住人才。我们招聘具有丰富经验的执行官和经理, 专业知识, 能力, 和背景,以领导我们扩大业务规模和执行我们的战略。在招聘高管和确定有竞争力的薪酬水平时, 我们考虑了一些参考点, 包括薪酬结构和支付给同行集团公司高管的薪酬金额, 以及更广泛的一般行业调查。某一高管在某一年的总薪酬可能与参照同行集团公司或一般行业调查所暗示的水平不同,以反映他或她的具体经验, 技能, 职责范围, 我们特殊的人才需求, 业绩或其他内部因素。2021年其他NEO薪酬组合基数25%STI16%现金41%股权59%风险薪酬75%PBRS29.5%RS29.5%2021年CEO薪酬组合基数16%STI24%RS30%风险薪酬84%股权60%现金40%PBRS30%YETI2022年股东委托书|41高管薪酬Toppan Merrill-YETIHoldings_Inc.DEF14A编辑和打印只有编辑|105251|16-Mar-22 10:56|21-35773-1.EA|序列:10CHKSUM内容:47925布局:53431图形:44525清洁工作:21-35773-1循环#;BL#:12;0修剪:8.25“x10.75”作为:达拉斯:214-698-9777颜色:黄色, 洋红色, 青色, YETI·布鲁, ~注-颜色2, 1, 黑色, 0图形:35773-1_4p_ceo pay.eps, 35773-1_4p_other_NEO_pay.eps v1.5,

GRAPHIC

平衡价值和成本的考虑。我们考虑了我们的高管薪酬计划的总体成本,以确保YETI和执行官都能从该计划中获得价值。在这样做的时候, 我们在同行的集团公司和一般行业调查中监控薪酬水平和要素,以便在做出薪酬决策时适当考虑价值和成本。薪酬风险评估在设计我们的高管薪酬计划时, 我们还考虑了许多其他因素, 包括我们项目的结构可能带来的风险。因为短期和长期的激励措施激励高管们追求实现具有挑战性的目标, 我们必须考虑该计划是否会导致对执行官施加不适当的压力,迫使他们承担过多的风险。与此相关的是, 在我们的高管薪酬计划中,有很多项目可以降低这些风险, 包括股权指南, 一项追回政策, 禁止套期保值和质押, 和其他方面, 如下文“——额外的薪酬政策和做法”所述。对于2021财年, 薪酬委员会讨论并分析了与YETI的薪酬政策和做法有关的风险,这些政策和做法适用于执行官和所有员工。赔偿委员会没有发现YETI的赔偿计划或做法所产生的任何风险,这些风险有可能对YETI造成重大不利影响。42|YETI2022年委托书高管薪酬Toppan Merrill-YETIHoldings_Inc.DEF14A编辑和打印只有编辑|105251|16-Mar-22 10:56|21-35773-1.EA|顺序:11CHKSUM内容:42730布局:43459图形:0干净的工作:21-35773-1循环#;BL#:12;0修剪:8.25“x10.75”作为:达拉斯:214-698-9777颜色:YETI蓝, ~注-颜色2, 黑色图形:无V1.5,

GRAPHIC

薪酬计划治理,以实现我们的高管薪酬计划的关键目标,并推动我们的绩效薪酬文化,而不会激励不当的风险承担, 薪酬委员会采用以下治理做法:我们所做的大部分目标总执行官薪酬是可变的,并与我们的财务业绩或股价表现挂钩, 或者两者兼而有之。绩效薪酬在STIP和LTIP之间分配的激励措施并不过分强调短期绩效,而以牺牲实现长期目标为代价。平衡短期和长期薪酬薪酬薪酬委员会保留了一名独立的薪酬顾问,负责与执行董事和非雇员董事薪酬和治理有关的事宜。独立薪酬顾问执行官有望获得并保持一定的所有权权益, 为了强调长期业绩和促进与股东的一致。股票所有权准则我们的补偿计划有减轻过度风险的规定, 包括最高支付水平的上限, 回补条款, 和多个性能指标。减少风险我们的高管的激励性薪酬受制于追回政策,该政策适用于某些财务重述或高管从事严重不当行为或被禁止的活动的情况。如果控制权发生变化, 只有在这种控制权变更(“双重触发”)后终止雇用时,未偿股权才会归属。控制权的改变本身不会触发归属。双重触发变更控制条款管理层和董事会通过审查股票薪酬的成本和稀释影响,定期评估股份使用水平。定期审查股票使用情况YETI2022年委托书|43高管薪酬Toppan Merrill-YETIHoldings_Inc.DEF14A编辑和打印只有编辑|105251|16-Mar-22 10:56|21-35773-1.EA|顺序:12CHKSUM内容:16413布局:10640图形:30344干净的工作:21-35773-1循环#;BL#:12;0修剪:8.25“x10.75”作为:达拉斯:214-698-9777颜色:1, YETI·布鲁, ~注-颜色2, 黑色, 0图形:chkmk_YETI_blue_alt_icon.eps, chkmk_YETI_blue_alt_icon.eps, chkmk_YETI_blue_alt_icon.eps, chkmk_YETI_blue_alt_icon.eps, chkmk_YETI_blue_alt_icon.eps, chkmk_YETI_blue_alt_icon.eps, v1.5,

GRAPHIC

我们不做的事。薪酬委员会在薪酬确定过程中的作用薪酬委员会负责确立我们的薪酬理念和目标, 决定结构, 为了实现我们明确的薪酬目标,我们计划的组成部分和其他要素, 以及审查和批准, 或建议董事会批准, 近地天体的补偿。每年, 薪酬委员会审查了我们的高管薪酬计划的要素,以验证该计划与我们的业务战略以及我们认为推动股东价值创造的项目的一致性, 并确定任何更改是否合适。薪酬委员会从执行官那里获得有关我们的年度运营计划(“AOP”)的意见, 预期财务业绩, 预计的股东回报和相关风险。以这些信息为基础, 薪酬委员会为STIP制定基于绩效的指标和目标, 通过多年的预测, LTIP高管薪酬计划下的PBRS。薪酬委员会设定了适当的门槛, 目标和最大绩效目标,以激励财务绩效,而不激励过度冒险。在执行年度或期间完成后, 薪酬委员会评估相对于预先设定的绩效目标的成就,并确定和证明相应的已获得的薪酬。我们没有与我们的执行官签订雇佣协议, 除了首席执行官。根据我们的股权计划,除与首席执行官外,没有其他雇佣协议, 对于参与者尚未赚取或尚未归属的股票或单位,我们不支付股息或股息等价物。未获得的奖励不分红我们禁止员工和非员工董事进行对冲, YETI证券的质押或卖空交易。根据我们的股权计划,不对YETI证券进行对冲或质押, 我们明确禁止未经股东批准对股票期权或水下股票期权进行重新定价。不对水下股票期权进行重新定价我们不向执行人员提供过多的额外津贴。没有过高的附加条件,我们不提供货物税总额的变化在控制支付.没有消费税总额我们没有任何专门针对执行官的特殊高管退休计划。没有特别的高管退休计划44|YETI2022年委托书高管薪酬Toppan Merrill-YETIHoldings_Inc.DEF14A编辑和打印只有编辑|105251|16-Mar-22 10:56|21-35773-1.EA|序列:13CHKSUM内容:54425布局:61030图形:12704清洁工作:21-35773-1周期#;BL#:12;0修剪:8.25“x10.75”作为:达拉斯:214-698-9777颜色:YETI蓝, ~注-颜色2, 黑色图形:x_k_icon.eps, x_k_icon.eps, x_k_icon.eps, x_k_icon.eps, x_k_icon.eps, x_k_icon.eps, x_k_icon.eps v1.5,

GRAPHIC

自2018年以来担任独立薪酬顾问, 薪酬委员会已聘请FW Cook担任其独立薪酬顾问。FW Cook直接向薪酬委员会报告, 薪酬委员会有权保留, 终止并获得FW Cook的建议,费用由YETI承担,以协助其履行职责。由于该公司的专业知识和声誉,薪酬委员会选择FW Cook作为其顾问。薪酬委员会与FW Cook合作:评估我们的高管薪酬理念, 目标和组成部分;为薪酬比较目的建立一个公司同行小组;审查与短期激励计划和长期股权及其他激励计划有关的考虑因素和市场惯例;收集我们每个执行官职位的比较薪酬水平;评估我们执行官的基本工资, 短期年度激励目标和长期股权报酬水平;回顾我们的股权报酬策略, 包括制定奖励准则;以及审查董事会薪酬和设计实践。虽然薪酬委员会在就我们的高管薪酬计划做出决定时会考虑FW Cook的审查和建议, 最终, 薪酬委员会就薪酬问题做出自己的独立决定。薪酬委员会已根据美国证券交易委员会和纽约证券交易所的规则评估了FW Cook的独立性。在这样做的时候, 薪酬委员会考虑了影响FW Cook独立性的各种因素, 包括为薪酬委员会完成的工作的性质和数量,以及为这些服务支付的费用与公司总收入的关系。FW Cook没有向我们提供任何服务,但如本文和本委托书“非雇员董事薪酬”部分所述,向薪酬委员会提供了服务。基于对上述因素和其他相关因素的考虑, 赔偿委员会的结论是,不存在利益冲突,FW Cook在适用的标准下是独立的。在这份委托书中,薪酬投票权的作用, 我们的股东被要求参与我们的第二次薪酬表决(见提议2), 我们的股东将有机会在年度基础上对薪酬进行投票,这样他们就可以每年就我们的高管薪酬计划发表意见。薪酬委员会在为NEO做出高管薪酬决定时,会考虑我们年度薪酬话语权咨询投票的结果以及全年从股东那里收到的其他反馈。在我们2021年的年会上, 96.5%的股东投票通过了我们关于向YETI的近地天体支付补偿的第一项提案。考虑到2021年获得的积极支持, 薪酬委员会认为,YETI提供了一个有竞争力的, 股东友好的薪酬计划,有效地保留和激励我们的高管。如下所述, 在2021财年, 薪酬委员会增加了PBRS奖励的权重,使其现在占授予NEO的长期激励的授予日价值的50%, 并根据我们的STIP制定了目标,要求我们在2020财年的财务业绩中实现约18.8%的增长率。YETI2022年委托书|45高管薪酬Toppan Merrill-YETIHoldings_Inc.DEF14A编辑和打印只有编辑|105251|16-Mar-22 10:56|21-35773-1.EA|顺序:14CHKSUM内容:37076布局:16012图形:0干净的工作:21-35773-1循环#;BL#:12;0修剪:8.25“x10.75”作为:达拉斯:214-698-9777颜色:YETI蓝, ~注-颜色2, 黑色图形:无V1.5,

GRAPHIC

薪酬同行小组和同行选择过程薪酬委员会认为,获取相关的定性和定量市场数据对于确定高管薪酬非常重要。这些信息为决策提供了有用的背景和可靠的参考点, 尽管如此, 相对于其他公司, YETI各不相同,各不相同。在决定我们的高管薪酬计划的结构和组成部分时, 薪酬委员会考虑到, 以及根据, 其他公司的高管薪酬计划, 可比较的同行公司, 来自公开文件和其他来源。然而, 薪酬委员会没有任何正式的基准政策,在使用其业务判断为NEO做出薪酬决策时,仅将同行薪酬数据作为参考点。薪酬委员会, 在FW Cook的协助下, 在选择同行集团公司时使用以下指导原则:薪酬委员会每年对同行集团进行审查。在2020财年末, 在对同龄人进行彻底的评估之后, 薪酬委员会的结论是,当时存在的同行集团在业务范围(高端休闲产品)方面继续保持一致, 增长概况, 大小, 没有因合并和收购活动或破产而发生变化, 保持一个一致的组的值和保持一个适当规模的组的值(即, 18家公司)。FW Cook向薪酬委员会提供了同行群体数据, 包括收入, EBITDA, 净收入, 资产, 员工, 以及每个同行公司的市值与YETI的市值的比较。竞争对手的投资公司,投资者可能会考虑替代投资机会.人才来源公司是我们人才的竞争对手。在类似行业经营的企业, 理想情况下,具有类似的成本结构和地理足迹。总体合理性同龄人群体, 总的来说, 是合理的和可辩护的比较的目的。公司规模、组织规模和复杂程度相当、市场价值或财务业绩相当的公司是很好的参照点, 不过,如果其他因素提供了令人信服的理由,这些参数之外的公司可能会被纳入。同龄人群体的规模同龄人群体应该有足够数量的公司, 一般是12到20岁, 提供有意义的结果,并减少比较补偿价值的波动性。46|YETI2022年委托书高管薪酬Toppan Merrill-YETIHoldings_Inc.DEF14A编辑和打印只有编辑|105251|16-Mar-22 10:56|21-35773-1.EA|序列:15CHKSUM内容:32137布局:50811图形:0干净的工作:21-35773-1循环#;BL#:12;0修剪:8.25“x10.75”作为:达拉斯:214-698-9777颜色:YETI蓝, ~注-颜色2, 黑色图形:无V1.5,

GRAPHIC

用于评估2021财年我们NEO的竞争性市场薪酬的同行小组包括以下18家公司:在2021财年末, YETI的收入在同类公司中排名第30位,市值在同类公司中排名第65位。根据对上述指导原则的审查, FW Cook提供的补充数据, 以及2021年商业格局的波动, 薪酬委员会决定,将史密斯&威森品牌公司(Smith&Wesson Brands Inc.)和Brunswick Corporation撤换,并增加Fox Factory Holding Corp.和Peloton Interactive,以改变该公司用于对2022年高管和董事薪酬进行市场调查的同行, 股份有限公司。薪酬委员会决定在薪酬方面采用新的同行小组,因为它认为这两家公司在高管人才市场上是更有意义的竞争对手。首席执行官的角色薪酬委员会与我们的首席执行官合作,为除首席执行官以外的每个NEO设定目标直接薪酬总额。作为这个过程的一部分, 如果有市场调查和代理同行数据,我们的首席执行官会进行审查, 评估每个NEO, 确定他对每个NEO的目标薪酬的建议,并向薪酬委员会提交他的评估和薪酬建议。考虑到首席执行官的评价和建议以及它认为相关的其他信息, 比如我们对企业目标的实现, 责任和经验, 以及上面描述的补偿哲学,并参考对等群体的数据, 薪酬委员会设定了我们NEO的目标直接薪酬总额。我们的首席执行官在影响他自己薪酬的任何事项上不扮演任何角色,并且在薪酬委员会讨论和制定首席执行官的薪酬建议时不在场。iv.总体而言,为了实现我们的高管薪酬计划目标,薪酬计划组成部分2021, 薪酬委员会采用了下图中列出的薪酬组成部分。薪酬委员会定期审查该计划的所有组成部分,以核实每位执行官的总薪酬是否与我们的薪酬理念和目标一致,以及该组成部分是否有助于支持我们执行战略。每位执行官的大部分薪酬都是可变和有风险的。鹦鹉螺, 股份有限公司。Polaris Inc.斯凯奇美国, 股份有限公司。Smith&Wesson Brands Inc.(原American OutdoorBrands, Inc.)Under Armour, 股份有限公司。Vista Outdoor Inc.鳄鱼, 股份有限公司。Deckers Outdoor Corporation佳明公司Johnson Outdoors Inc.露露柠檬运动用品公司马里布船, 股份有限公司。高仕利控股公司Brunswick CorporationCallaway Golf CompanyCanada Goose Holdings Inc.Capri Holdings Limited Columbia Sportswear Company2022年YETI委托书|47高管薪酬Toppan Merrill-YETIHoldings_Inc.DEF14A编辑和打印只有编辑|105251|16-Mar-22 10:56|21-35773-1.EA|顺序:16CHKSUM内容:63440布局:13759图形:0干净的工作:21-35773-1循环#;BL#:12;0修剪:8.25“x10.75”作为:达拉斯:214-698-9777颜色:YETI蓝, ~注-颜色2, 黑色图形:无V1.5,

GRAPHIC

薪酬类型薪酬要素目标, 基本和关键特征基薪可变固定短期激励:年度现金激励机会长期激励:年度基于股权的薪酬现金薪酬股权薪酬根据每个执行官的角色确定, 个人技能, 经验, 表现, 外部市场价值和内部权益。旨在为执行官提供稳定的薪酬, 使我们能够吸引和留住熟练的执行人才,并保持稳定的领导团队。奖励我们的AOP的主要驱动因素的成就。要求实现严格的净销售额和调整后的营业收入目标, 这一数字大大高于前一年的水平(例如, 在我们的2020财年财务业绩中实现两位数的百分比增长)。将目标现金奖励与基本工资的百分比设定为首席执行官的150%,所有其他近地天体的60%至75%。为获得最大的绩效,将STIP奖励限制在目标现金奖励的200%。用于在执行官的利益与YETI和我们的股东的利益之间建立长期联系, 除了吸引, 长期激励和留住执行官。将2021财年的LTIP组合设定为以PBRS形式授予的价值的50%,以基于时间的限制性股票形式授予的价值的50%,这与我们继续关注按业绩计薪的做法一致。2021财年未授予任何股票期权。要求公司业绩与目标至少90%的目标,以获得任何PBRS奖项。将PBRS授予的股票数量限制在目标数量的200%,以实现最高绩效48|YETI2022年委托书高管薪酬Toppan Merrill-YETIHoldings_Inc.DEF14A编辑和打印只有编辑|105251|16-Mar-22 10:56|21-35773-1.EA|顺序:17CHKSUM内容:42500布局:39616图形:49525干净的工作:21-35773-1循环#;BL#:12;0修剪:8.25“x10.75”作为:达拉斯:214-698-9777颜色:洋红色, 黄色, YETI·布鲁, ~注-颜色2, 黑色, 青色图形:35773-1_compensation_4c_tbl.eps v1.5,

GRAPHIC

基本工资基本工资为执行官提供固定薪酬,并帮助我们吸引和留住领导业务和维持稳定的领导团队所需的执行人才。在设定基本工资时,我们会评估许多因素, 包括:•角色和职责:我们考虑每个执行官的职责范围, 角色和经验。•专业背景:教育、 技能, 专业知识, 考虑专业经验和成就。•竞争力:通过考虑,对执行官的基本工资进行竞争力评估, 作为一个参照点, 在我们的同行小组和其他市场调查中,有关公司可比职位的信息。•内部薪酬公平:执行官之间基本工资的差异旨在反映职位的差异, 教育, 职责范围, 有类似工作经验,对实现我们的目标有贡献.2021年2月, 薪酬委员会审查了每位执行官的表现, FW Cook为我们的同行公司和一般行业提供了我们的业绩和市场数据,以确定2021财年是否需要对基本工资进行任何更改。作为这次审查的结果, 薪酬委员会批准了调整,以反映高管业绩,并更好地与市场保持一致, 如下所示:2021年开始,2021年结束,NEO基本工资增加基本工资*Matthew J. Reintjes$925,000 5.41%$975,000Paul C. Carbone$525,000 4.76%$550,000Bryan C. Barksdale$375,000 4.00%$390,000Hollie S. Castro$395,000 7.59%$425,000Kirk A. Zambetti$395,000 3.80%$410,000*在SCAL2021期间支付给我们NEO的实际基本工资, 请参阅“—2021年总薪酬表”。短期激励措施STIP是一种现金计划,用于奖励NEO实现关键的短期财务和运营目标,薪酬委员会认为这些目标对我们执行业务战略至关重要,并确保每位执行官专注于战略目标。这最终将为我们的股东带来长期价值。STIP完全基于YETI在公司绩效指标方面的表现;与市场保持一致,并确保每位执行官都专注于相同的战略目标, 没有对个人绩效目标进行分配。我们所有符合条件的员工都以基本相同的条件参加STIP, 除了目标奖金机会金额,还包括为NEO以外的员工提供的其他绩效组件。YETI2022年委托书|49高管薪酬Toppan Merrill-YETIHoldings_Inc.DEF14A编辑和打印只有编辑|105251|16-Mar-22 10:56|21-35773-1.EA|顺序:18CHKSUM内容:56805布局:35663图形:0干净的工作:21-35773-1循环#;BL#:12;0修剪:8.25“x10.75”作为:达拉斯:214-698-9777颜色:YETI蓝, ~注-颜色2, 黑色图形:无V1.5,

GRAPHIC

每个NEO的STIP支付金额的计算可以通过以下公式进行总结:绩效衡量支付的金额, 如果有的话, 在STIP下,我们的成就是基于两个绩效指标。薪酬委员会采纳了这两项措施, 净销售额和调整后营业收入, 进入STIP,以便使执行官专注于收入增长和运营盈利能力的关键战略优先事项。这两个指标强调了对增长和盈利能力的重视, 薪酬委员会将其视为实现我们的关键战略目标和增加股东价值的基石。*调整后的营业收入是一种非公认会计原则的衡量标准,我们用它来比较我们与其他公司的业绩。对于本委托书中规定的调整后营业收入与可比较的GAAP指标的对账, 请参阅“附录A:非GAAP财务指标的调节”。绩效水平和支出水平薪酬委员会在其认为严格且具有挑战性的基础上,为每个绩效指标设定了目标, 在某种程度上, 对其相关风险和机会的评价。更具体地说, 薪酬委员会审查了我们的AOP中规定的相关财务目标,并评估了与这些目标的可实现性相关的各种因素, 包括与实现作为我们的AOP基础的具体行动相关的风险,以及相对于前几年的隐含绩效。考虑到这些因素, 2021财年的净销售额目标比我们2020财年的财务业绩增长了18.8%, 调整后营业收入的目标比我们2020财年的财务业绩增长了18.8%。在设定了目标之后, 薪酬委员会还设定了门槛和最高绩效水平。对于2021财年, 薪酬委员会设定的门槛是它认为的较高水平X合格薪酬X目标激励%支出%=STIP支出绩效指标STIP机会的60%从我们的损益表中得出的STIP机会的40%, 调整非现金股票补偿费用, 资产减损费, 和业务优化费用*包括批发渠道销售+DTC渠道销售调整后的营业收入净销售额50|YETI2022年委托书高管薪酬Toppan Merrill-YETIHoldings_Inc.DEF14A编辑和打印只有编辑|105251|16-Mar-22 10:56|21-35773-1.EA|顺序:19CHKSUM内容:31209布局:29693图形:29658清洁工作:21-35773-1循环#;BL#:12;0修剪:8.25“x10.75”作为:达拉斯:214-698-9777颜色:洋红色, 黄色, YETI·布鲁, ~注-颜色2, 黑色, 青色图形:35773-1_perfo_4c_pie.eps, 35773-1_short_term_4c_tbl.eps v1.5,

GRAPHIC

业绩约相当于净销售额目标的96%和调整后营业收入目标的94%。薪酬委员会设定的最高绩效水平相当于净销售额目标的约105%和调整后营业收入目标的约115%, 这些级别需要非常出色的表现,并且代表着巨大的挑战。支出水平表示根据相对于目标的实际绩效水平向近地天体支付的金额。为了激励员工的表现,并强调实现目标的重要性, 或接近, 在我们发展的关键时刻,我们的绩效目标, 薪酬委员会将绩效低于阈值水平的奖金设置为0%。如果我们实现了这两个指标的目标性能水平, 该指标的100%目标奖励金将支付给近地天体, 如果我们实现了这两个指标的最大性能水平, 该指标的目标激励付款的200%将支付给近地天体。如果两个指标中的任何一个都达到了阈值性能水平, 阈值和目标级别之间以及目标和最大级别之间的性能将导致以直线方式内插的每个度量的支出。低于实际阈值目标最高结果%支出绩效指标($)($)($)($)($)($)业绩%净销售额<1,244.91,2 96.81,361.61,411.0 108.8%200%低于~96%~96%100%~105%调整后营业收入<250.4 250.4 266.4306.4295.1 110.8%196.7%低于超过~94%~94%100%~115%支付百分比0%50%100%200%198%注:百万美元, 除了百分比。目标机会和支出确定薪酬委员会通过计算个人的基本工资,再乘以个人的目标激励百分比,来确定每个NEO可获得的目标现金激励机会。除其他因素外, 目标激励百分比的确定是参考同行集团公司和市场调查,以及直接薪酬总额的比例所代表的年度激励。在2021财年, 自2020年以来,NEO的目标年度现金激励百分比保持不变,但Reintjes先生的目标年度现金激励百分比除外, 从他基本工资的125%涨到了150%, 认可前几年的业绩和成就,并使他的短期薪酬机会与我们的同行集团公司更好地保持一致。薪酬委员会会验证我们相对于预先设定的目标的成就,以确定各自的绩效水平, 然后根据支付曲线将这些绩效水平转换为支付水平。然后,薪酬委员会将这两部分的金额相加,以确定每个NEO的2021年STIP支出总额。然后,薪酬委员会将确定的STIP支付金额提交董事会审查。YETI2022年委托书|51高管薪酬Toppan Merrill-YETIHoldings_Inc.DEF14A编辑和打印只有编辑|105251|16-Mar-22 10:56|21-35773-1.EA|序列:20CHKSUM内容:65293布局:28309图形:0清洁工作:21-35773-1周期#;BL#:12;0修剪:8.25“x10.75”作为:达拉斯:214-698-9777颜色:YETI蓝, ~注-颜色2, 黑色图形:无V1.5,

GRAPHIC

2021年目标年度总合格现金激励支付STIPNEO薪酬百分比支付Matthew J. Reintjes$969,231 150%198%$2,878,615Paul C. Carbone$547,115 75%198%$812,466Bryan C. Barksdale$388,269 60%198%$461,264Hollie S. Castro$421,538 60%198%$500,787Kirk A. Zambetti$408,269 60%198%$485,024长期激励措施是我们高管薪酬计划的第三个主要组成部分, 也是最大的, 是长期股权激励。薪酬委员会设计了长期激励机会,以激励和奖励执行官实现多年战略目标,并为股东带来持续的长期价值。(请参阅“——薪酬理念和目标——薪酬理念——与我们的业务战略和股东利益保持一致”。)长期激励措施在薪酬与绩效之间建立了牢固的联系,并在执行官的利益与我们股东的利益之间建立了牢固的联系。长期股权激励也有助于留住员工, 由于执行官只有在要求的期限内继续受雇于我们的情况下才会获得价值, 他们通过让执行官成为股东,在他们打算创造的价值中拥有个人利益,从而在我们的执行官中培养出一种所有权文化。2021财年的股权工具, 薪酬委员会的长期激励计划采用了两种不同的形式:PBRS和基于时间的限制性股票, 长期激励的授予日价值的50%分配给PBRS,50%分配给基于时间的限制性股票。这50%的PBRS权重表示,相对于我们的2020财年长期激励赠款,PBRS的权重有所增加, 当PBRS有30%的权重时。薪酬委员会已经构建了股权投资工具的组合,以及分配给每种类型的相对权重,以进一步加强薪酬与业绩之间的联系, 并通过限制性股票奖励确保一定数量的价值交付,因为它们具有上涨潜力,但即使股价不上涨,也会产生一定的价值, 同时也加强了主人翁文化和对YETI的承诺。2021年NEO股权组合PBRS50%RS50%52|YETI2022年委托书高管薪酬Toppan Merrill-YETIHoldings_Inc.DEF14A编辑和打印只有编辑|105251|16-Mar-22 10:56|21-35773-1.EA|序列:21CHKSUM内容:12278布局:37783图形:55297清洁工作:21-35773-1循环#;BL#:12;0修剪:8.25“x10.75”作为:达拉斯:214-698-9777颜色:洋红色, 黄色, YETI·布鲁, ~注-颜色2, 黑色, 青图形:35773-1_NEO_权益_派,EPS v1.5,

GRAPHIC

PBRS有多年的绩效目标(三年累计自由现金流和相对TSR), 在更长的时间范围内促进了股东价值的持续增长。薪酬委员会之所以选择自由现金流,是因为它是消费品公司及其股东的关键绩效指标,并表明了我们产生流动性和增加股东价值的能力。薪酬委员会还将相对TSR作为一个修正指标,而不是一个独立的指标, 部分原因是我们的股票交易历史有限,价格波动较大。在我们的PBRS设计中,相对TSR的存在直接将执行官薪酬与股东价值的创造联系在一起,并使执行官的利益与YETI和我们的股东保持一致。相对TSR是根据罗素2000指数中的公司来衡量的, 这是一个资本加权指数,包含2,000只小盘股。我们之所以选择用罗素2000指数来衡量我们的表现,是因为我们希望用一个由规模相对类似的公司组成的广泛指数来衡量我们的表现,投资者可能会选择投资这些公司,并根据这些指数来衡量业绩, 而不是衡量我们的业绩与更小的薪酬同行的上述群体。在为期三年的绩效期结束后,根据绩效期内的累计自由现金流,PBRS奖励将有资格归属, 有资格归属的PBRS的数量可能会根据YETI的TSR相对于Russell2000指数中截至绩效期开始的公司的TSR进行修改。2021年业绩/如何支付股票工具分配授予期确定了使用累积自由现金流业绩指标的理由, 薪酬委员会已经批准了门槛, 授予时的目标和最高绩效水平, 实际业绩低于阈值水平,导致0%的PBRS被授予,最高值•优先考虑增加股东价值•促进长期关注•第162(m)条祖父法则•三年内计量的累计自由现金流, 使用基于我们的股票价格相对于罗素2000指数中的公司的表现的相对TSR修饰符从绩效期开始•3年绩效期,根据绩效期内衡量的绩效,授予悬崖勒马的奖励50%PBRS•与股东保持一致•促进保留•提供价值•第162(m)条祖父法则•股票价值•3年授予期:1/3后的第一年, 然后每半年1/6次50%限制性股票YETI2022年委托书|53高管薪酬Toppan Merrill-YETIHoldings_Inc.DEF14A编辑和打印只有编辑|105251|16-Mar-22 10:56|21-35773-1.EA|顺序:22CHKSUM内容:42934布局:43688图形:0干净的工作:21-35773-1循环#;BL#:12;0修剪:8.25“x10.75”作为:达拉斯:214-698-9777颜色:YETI蓝, ~注-颜色2, 黑色图形:无V1.5,

GRAPHIC

有资格成为既定目标的PBRS数量上限为目标的200%。与累计自由现金流量绩效指标相关的绩效水平和归属时间表可以通过下表进行说明。有资格归属的目标PBRS性能水平的百分比低于阈值0%阈值50%目标100%最大或更大值200%以上指定的任何性能水平之间的性能归属是在直线基础上内插的。根据累计自由现金流量确定有资格在绩效期结束时归属的PBRS的数量(“CFC PBRS”)可能会根据YETI对其TSR的百分位排名与公司的TSR进行进一步修改。Russell2000指数截至业绩期的开始.TSR是根据在执行期第一天之前的最后一个交易日结束的20个交易日期间的平均收盘价和 在所有事件中,(无modi阳离子)≥75%120%, 可归属的目标PBR的最大数量上限为200%。我们相信,如果我们能够成功地执行我们的业务计划并继续发展我们的业务,那么累计三年的自由现金流目标是可以实现的。目标是长期激励机会,并于2021年2月授予2021年PBRS和基于时间的限制性股票奖励, 薪酬委员会为每个NEO建立了目标长期激励机会。在确定长期激励机会的规模时, 薪酬委员会审议了以下问题:•, 分配给, 占总薪酬的比例, 在同类集团公司和市场调查中的长期激励机会;•个人业绩和关键, 以及预期的未来, NEO的贡献;•任职期间, 技能和经验水平;以及•留用考虑因素。54|YETI2022年委托书高管薪酬Toppan Merrill-YETIHoldings_Inc.DEF14A编辑和打印只有编辑|105251|16-Mar-22 10:56|21-35773-1.EA|序列:23CHKSUM内容:1105布局:12742图形:0清洁工作:21-35773-1周期#;BL#:12;0修剪:8.25“x10.75”作为:达拉斯:214-698-9777颜色:YETI蓝, ~注-颜色2, 黑色图形:无V1.5, 在执行期的最后一个交易日结束的20个交易日期间的平均收盘股价。TSR百分位排名和将归属的CFC PBRS数量的百分比可以通过下表进行说明。CFC PBRS的TSR百分位数%,以≤25%80%在25%和75%之间100%(即

GRAPHIC

2021年2月, 薪酬委员会增加了授予NEO的长期激励奖励的权重,以表彰前几年的业绩和成就, 为了更好地将长期薪酬机会与我们的同行集团公司保持一致, 并进一步激励长期业绩。因此, 下表中列出的每个NEO2021年的总LTIP激励百分比反映了与上一年相比的增长。在确定了长期激励的目标值后, 以及50/50股权投资工具的组合, 薪酬委员会通过将分配给PBRS的长期激励机会总额的一部分除以授予日的收盘价,确定了(i)要授予的PBRS的目标数量, 将分配给该车辆的部分除以授予日的收盘价,以授予的限制性股票的数量。2021年总LTIP2021年目标PBRS激励机会(50%)PBRS(50%)NEO百分比($)($)(1)(#)($)(#)Matthew J. Reintjes375%3,656,25001,828,11825,029Paul C. Carbone 300%1,575,000787,517 10,782 10,782Bryan C. Barksdale 225%843,750 421,8795,77654,776Hollie S. Castro225%888,750 444,3756,084 444,3756,084Kirk A. Zambetti 225%888,750 444,3756,084,3756,084(1)关于目标绩效目标的PBRS数量。薪酬委员会打算每年授予长期激励奖,并且在个人晋升为高级管理职位以承认其角色和职责范围的扩大时,也可能授予长期激励奖。时不时地, 在涉及领导层过渡的情况下,薪酬委员会可能会做出特殊奖励,以表彰重大里程碑或选择性奖励。薪酬委员会还可以以与我们2021年长期激励措施相同的形式向新聘用的执行官提供赠款(即, PBRS和基于时间的限制性股票),并以基本相同的条款进行。长期激励性薪酬的其他方面我们根据2018年股权和激励性薪酬计划授予长期激励性股权, 我们的股东于2018年批准并采用了该协议。授予日期是赔偿委员会批准裁决的日期。2021年授予的奖励的授予日期在本委托书后面的“2021年基于计划的奖励授予”表中有详细说明。我们通常打算在上一财年的财务业绩发布后的财年第一季度进行年度拨款。其他福利401(k)计划我们提供的401(k)固定缴款计划涵盖了我们几乎所有的员工, 包括我们的近地天体。参与者可以向401(k)计划自愿捐款, 受某些内部YETI2022年委托书的限制|55高管薪酬Toppan Merrill-YETIHoldings_Inc.DEF14A编辑和打印只有编辑|105251|16-Mar-22 10:56|21-35773-1.EA|顺序:24CHKSUM内容:55365布局:32012图形:0干净的工作:21-35773-1周期#;BL#:12;0修剪:8.25“x10.75”作为:达拉斯:214-698-9777颜色:YETI蓝, ~注-颜色2, 黑色图形:无V1.5,

GRAPHIC

收入代码(“代码”)限制。我们负责401(k)计划的管理费用, 我们为员工供款提供可自由支配的对等供款。健康和福利福利我们提供基础广泛的医疗, 牙科, 愿景, 生活, 并为我们的NEO和所有其他全职员工提供残疾计划。额外津贴和其他个人福利我们通常不提供我们的执行官, 包括近地天体, 带着额外的福利或其他个人利益, 除了一次全面的身体检查。提供这些体检是因为我们相信,他们支持我们的执行官保持他们的健康, 这是一种必要的商业目的, 相关的薪酬金额对整个高管薪酬计划并不重要。我们不提供有关额外津贴的退税或任何其他税款支付, 包括对我们的任何执行官征收的消费税“总涨幅”。遣散安排我们已采纳高级领导层遣散福利计划(“遣散计划”), 涵盖了除首席执行官以外的所有近地天体, 在发生控制权变更或其他情况后终止时提供保护。遣散计划通常规定遣散费金额,如果NEO的雇用是由我们无故或由NEO出于正当理由终止。对于与控制权变更无关的终止, NEO有资格获得(a)相当于其基本工资100%的遣散费, 及(b)根据终止年度的公司实际表现按比例STIP支付。在控制权变更后两年内终止的, NEO有资格获得(x)遣散费,该遣散费等于基本工资加上终止时的目标年度激励补偿金额之和的150%, 及(y)按比例STIP支付。遣散计划还规定,可报销最长12至18个月的医疗福利延续费用。根据遣散计划提供的付款和福利取决于受影响的NEO的执行和不撤销索赔的全面释放以及遵守特定的限制性契约。请参阅“——终止或控制权变更后的潜在付款”,其中描述了参与的NEO根据遣散计划可能有权获得的付款。我们的首席执行官不参加遣散计划,因为根据他在2018年签订的雇佣协议,他有权获得遣散福利。我们首席执行官的遣散费基于与控制权变更无关的合格终止的1.5倍倍数,以及与控制权变更有关的合格终止的2倍倍数。我们首席执行官的离职安排在下面的“—2021年概要薪酬”中进行了描述。 我们采用了股票所有权准则, 正如我们认为的那样,股票所有权是一个重要的工具,可以加强我们的执行人员之间的利益一致|YETI2022年委托书高管薪酬Toppan Merrill-YETIHoldings_Inc.。DEF14A编辑和打印只有编辑|105251|16-Mar-22 10:56|21-35773-1.EA|序列:25CHKSUM内容:1942布局:43459图形:0干净的工作:21-35773-1周期#;BL#:12;0修剪:8.25“x10.75”作为:达拉斯:214-698-9777颜色:YETI蓝, ~注-颜色2, 黑色图形:无V1.5, 表——Reintjes先生的雇佣协议。”五、额外的薪酬政策和实践高管持股指南我们认为,当高管以长远的眼光管理业务时,YETI和我们的股东将得到最好的服务。因此,

GRAPHIC

官员和我们的股东, 加强执行官对我们的承诺,并表明我们对健全的公司治理的承诺。当前对我们的执行官的高管持股要求如下:基本工资CEO的职位倍数6x其他执行官的职位倍数3x执行官没有要求的时间期限内,执行官必须达到适用的目标所有权。然而, 在股票所有权准则得到满足之前, 每位执行官或其他指定的高级雇员必须保留(i)所有该个人的既得股票期权(或该个人在行使既得股票期权时获得的股份)的50%,以及行使时净利润股份的50%, 在10月24日或之后授予的任何股权奖励的归属或收益, 2018.目前,所有的近地天体都符合高管持股准则。回补政策我们采用了一种回补政策,旨在根据错误准备的财务报表追回支付给执行官的激励性薪酬。如果由于重大不符合任何财务报告要求而需要进行会计重述, 所有已支付或贷记给任何现任或前任执行官的激励性薪酬,如果他们故意实施不当行为,导致了重报期间的违规行为,将根据重报结果重新计算。如果重新计算的激励性薪酬低于该期间实际支付或贷记给该执行官的激励性薪酬, 超出的金额必须予以没收或退还给我们。或者, 我们被授权从当前或将来欠该执行官的补偿中抵消可没收的金额。薪酬委员会有权解释该政策,并对该政策的运行做出所有必要的决定。另外, 如果薪酬委员会确定的在回补政策生效之日或之后从我们那里获得激励性薪酬的现任或前任执行官或任何其他高级雇员从事严重的不当行为或回补政策禁止的活动, 我们有权做出合理的努力,从该执行官或高级雇员那里收回薪酬委员会合理且真诚地认为适当的任何金额的激励性薪酬。回补政策适用于在政策生效之日或之后授予的激励性补偿。反对冲和反质押政策,有关YETI适用于本公司董事的反对冲和反质押政策的说明,请参见第28页的“——反对冲和反质押政策”, 近地天体, 和其他员工。与《国内税收法》第162(m)条(《国内税收法》第162(m)条(“第162(m)条”)有关的政策通常禁止上市公司扣除在纳税年度内支付给当前或以前的NEO的超过100万美元的报酬。对于新上市公司支付或授予的某些补偿,我们有资格获得第162(m)条的特别祖父规则。因此, 第162(m)条是YETI2022年委托书的考虑因素之一|57高管薪酬Toppan Merrill-YETIHoldings_Inc.。DEF14A编辑和打印只有编辑|105251|16-Mar-22 10:56|21-35773-1.EA|序列:26CHKSUM内容:55349布局:32619图形:0清洁工作:21-35773-1周期#;BL#:12;0修剪:8.25“x10.75”作为:达拉斯:214-698-9777颜色:YETI蓝, ~注-颜色2, 黑色图形:无V1.5,

GRAPHIC

在设计我们的2021财年长期股权计划时。对于2021财年, 每位执行官都被授予PBRS和基于时间的限制性股票奖励(而不是基于时间和绩效的RSU),以利用这一特殊的祖父法则。薪酬委员会注意到第162(m)节的扣除额限制是其考虑薪酬事项的因素之一。薪酬委员会有采取任何与薪酬相关的行动的灵活性,它认为这符合YETI和我们的股东的最佳利益, 包括授予不能为税收目的扣除的补偿。不能保证由于第162(m)条的限制,任何补偿实际上都可以扣除。赔偿委员会报告赔偿委员会的报告不应被视为通过引用并入YETI根据1933年《证券法》或《交易法》提交的任何文件中, 尽管任何此类文件中包含任何一般性声明,但通过引用将本委托书并入本文件, 除非YETI通过具体参考纳入了此类报告。薪酬讨论与分析是由YETI的管理层准备的。YETI负责薪酬的讨论和分析,以及与高管薪酬相关的披露控制。薪酬讨论和分析不是薪酬委员会的报告或披露。薪酬委员会与YETI的管理层及其独立薪酬顾问举行了会议,以审查和讨论薪酬讨论和分析。薪酬委员会已经与YETI的管理层一起审查和讨论了薪酬讨论和分析。基于这篇综述和这些讨论, 我们已向董事会建议,薪酬讨论和分析应包括在YETI的10-K表年度报告和YETI的2022年年度股东大会委托书中。前一份报告是由薪酬委员会的以下成员提供的:Dustan E. Mccoy, Mary Lou KelleyDavid L. Schnadig主席**Schnadig先生在2021年期间担任薪酬委员会成员,直到他于3月9日从董事会辞职为止, 2022.58|YETI2022年委托书高管薪酬Toppan Merrill-YETIHoldings_Inc.DEF14A编辑和打印只有编辑|105251|16-Mar-22 10:56|21-35773-1.EA|序列:27CHKSUM内容:46308布局:43459图形:0清洁工作:21-35773-1周期#;BL#:12;0修剪:8.25“x10.75”作为:达拉斯:214-698-9777颜色:YETI蓝, ~注-颜色2, 黑色图形:无V1.5,

GRAPHIC

2021年总赔偿表下表列出了有关裁定的所有赔偿的信息, 在2019财年由我们的NEO赚取或支付给我们的NEO, 2020年和2021年。非股权激励股票期权计划所有其他名称和主要工资奖金奖励(1)奖励(2)补偿(3)补偿(4)总职位年度($)($)($)($)($)($)($)($)Matthew J. Reintjes2021年969,231—3,821,928—2,878,615 8,700 7,678,474总裁和首席执行官2020年919,231—3,237,499—2,108,485—6,265,215执行官2019年875,000—1,864,165 1,718,966 1,408,750 8,400 5,875,281Paul C. Carbone 2021年547,115—1,646,411—812,466 8,7003,014,692高级副总裁和首席财务官2020年522,115—1,049,993—718,5618,5502,299,219官员2019年500,000—710,144 654,845,603,750 11,6542,480,393Bryan C. Barksdale 2021年388,269—881,995—461,2646,6981,738,226高级副总裁, 总法律顾问和2020年372,981—562,517—410,6524,9751,351,125秘书Hollie S. Castro2021年421,538—929,027—500,787 8,700 1,860,052首席人力资源2020年390,673—592,499—430,131 8,5501,421,853ESG高级副总裁2019年357,500—380,813,351,158,345,3858,3558,2501,443,066Kirk A. Zambetti2021年408,269—929,027—485,0248,700 1,831,020销售高级副总裁2020年392,692—592,499—432,3548,5501,426,095 2019年375,000—399,466 368,352,362,250 12,358 1,517,426(1)股票奖励列中显示的金额代表RSU的授予日总公允价值, PBRS和授予我们的NEO的基于时间的限制性股票, 根据FASB会计准则计算的CODI主题718(“主题718”)。股票奖励一栏中显示的归属于PBRS奖励的金额是基于目标绩效的PBRS奖励的价值, 这是授予日确定的适用绩效条件的可能结果, 这导致2021年PBRS奖励的授予日期公允价值如下:Reintjes先生1,993,810美元;Carbone先生858,894美元;Barksdale先生460,116美元;Castro女士484,651美元;Zambetti先生484,651美元。如果在2021年PBRS奖项下有最高支付, 这些赔偿金的价值如下:Reintjes先生3,582,150美元;Carbone先生1,543,120美元;Barksdale先生826,661美元;Castro女士870,742美元;Zambetti先生870,742美元。关于假设的信息, 我们根据主题718进行计算时使用的因素和方法, 请参阅我们的合并财务报表附注10(股票补偿),该报表包含在我们截至1月1日的SCAL年度的10-K表年度报告中, 2022.(2)上述期权奖励列中显示的金额代表根据主题718计算的股票期权的授予日公允价值总额。期权的估值是用Black-Scholes期权定价模型来确定的。关于假设的信息, 我们根据主题718进行计算时使用的因素和方法, 请参阅我们的合并财务报表附注10(股票补偿),该报表包含在我们截至1月1日的SCAL年度的10-K表年度报告中, 2022.(三)非股权激励计划报酬一栏所列金额,由STIP支付的金额组成, 由赔偿委员会决定,并根据该计划及其下的裁决。根据STIP支付的款项通常在赚取这些款项的下一年的年初支付。(4)本栏披露的公司对401(k)退休计划的缴款金额。YETI2022年委托书|59高管薪酬Toppan Merrill-YETIHoldings_Inc.DEF14A编辑和打印只有编辑|105251|16-Mar-22 10:56|21-35773-1.EA|顺序:28CHKSUM内容:25235布局:26696图形:0干净的工作:21-35773-1循环#;BL#:12;0修剪:8.25“x10.75”作为:达拉斯:214-698-9777颜色:YETI蓝, ~注-颜色2, 黑色图形:无V1.5,

GRAPHIC

就业协议Matthew J. Reintjes。我们与Reintjes先生签订了一份经过修订和重述的雇佣协议, 我们的总裁兼首席执行官, 10月25日生效, 2018.根据Reintjes先生的雇佣协议, 对于1月1日或之后开始的雇佣期内的每个日历年, 2019, Reintjes先生的目标年度激励奖等于他在适用日历年的基本年薪的100%, 但该等奖金的实际金额可能低于或超过该等目标金额, 这取决于我们的表现。在2021日历年, 莱因杰斯的合格年薪为969,231美元, 他的目标年度奖励机会相当于其合格工资的150%, 他还获得了2,878,616美元的现金奖励。莱因杰斯的雇佣协议规定,最初的雇佣期限为三年,之后自动续签一年, 除非任何一方提供至少60天的不续签通知。Reintjes先生的《雇佣协议》规定,我们将尽我们的善意努力提名Reintjes先生连任董事会成员,并在任何适用的股东大会上(Reintjes先生的董事任期否则将届满时)进行连任,以选举董事。根据雇佣协议, Reintjes先生是一名随心所欲的雇员,并受制于习惯上的限制性契约, 包括在他终止雇用后的12个月内(如果他的雇用在控制权保护期(定义见他的雇用协议)或18个月内终止雇用)的不竞争和不征求客户契约如果他的雇佣关系在控制权保护期的变化之外被终止。适用于Reintjes先生的遣散条款在下面的“——终止或控制权变更时的潜在付款”下进行了讨论。其他近地天体。我们每个人目前都有近地天体, Bryan C. Barksdale, Paul C. Carbone, Hollie S. Castro, 和Kirk A. Zambetti, 是遣散计划的参与者, 正如下面“——高级领导离职福利计划”中所讨论的。适用于这些NEO中的每一个的遣散条款在下面的“——终止或控制权变更时的潜在付款”下进行了讨论。60|YETI2022年委托书高管薪酬Toppan Merrill-YETIHoldings_Inc.DEF14A编辑和打印只有编辑|105251|16-Mar-22 10:56|21-35773-1.EA|序列:29CHKSUM内容:11532布局:43459图形:0清洁工作:21-35773-1周期#;BL#:12;0修剪:8.25“x10.75”作为:达拉斯:214-698-9777颜色:YETI蓝, ~注-颜色2, 黑色图形:无V1.5,

GRAPHIC

下表列出了有关2021财年授予我们的NEO的基于计划的奖励的信息:所有其他股票奖励:授予日期估计的未来支出估计的未来支出根据股权激励下的公允价值数量股票计划的股权激励股份奖励(1)计划奖励(2)股票和选项阈值目标最大阈值目标最大值或单位奖励名称授予日期奖励类型($)($)($)(#)(#)(#)(3)($)Matthew J. Reintjes2/12/2021年度奖励726,9231,453,8462,907,6922/12/2021RS25,0291,828,11822/12/2021PBRS12,51525,02950,0581,993,810Paul C. Carbone 2/12/2021年度奖励205,168 410,337 820,6732/12/2021RS10,782 787,517 2/12/2021PBRS 5,391 10,782 21,564,858,894Bryan C. Barksdale 2/12/2021年度激励116,481 232,962465,923 2/12/2021Rs5,776 421,8792/12/2021PBRS2,8885,77611,552 460,116Hollie S. Castro 2/12/2021年度激励126,461 252,923 STIP下2021年的目标和最大年度现金奖励机会。年度现金奖励机会的金额取决于NEO当年的合格工资。年度现金奖励机会取决于相对于两个绩效指标的成就, 调整后的营业收入和净销售额, 加权60%和40%, 分别是。每一项绩效指标都有一个门槛, 目标和最高绩效水平,使绩效低于阈值水平导致不支付年度现金奖励, 在阈值水平的表现导致支付的目标奖金金额的50%, 在目标水平上的表现会导致支付100%的目标奖金, 且业绩达到或超过最大值的结果是支付目标奖金金额的200%。线性插值将用于确定阈值和目标之间以及目标和最大值之间的适用支付量。基于绩效的限制性股票奖励(2)这些列中披露的金额与阈值有关, 在2021年授予我们的NEO的目标和最高PBRS奖励,并有资格在三年绩效期结束后根据绩效期内的累计自由现金流量授予, 有资格归属的PBRS的数量可能会受到基于YETI的TSR相对于Russell2000指数中的公司的TSR的影响,截至绩效期开始。每一项绩效指标都有一个门槛, 目标和最大性能级别,使得性能低于阈值级别不会导致归属PBRS, 在阈值水平上的表现会导致目标PBRS金额的50%的支出, 在目标水平上的表现会导致支付100%的目标PBRS金额, 且业绩达到或超过最大值的结果是支付目标PBRS金额的200%。在任何性能级别之间的性能归属都是在直线基础上内插的。PBRS奖励的评估是基于目标绩效确定的, 这是自授予日起绩效条件的可能结果。有关此估值的更多详细信息,请参见上面的汇总补偿表的脚注1。基于时间的限制性股票奖励(3)本专栏中披露的金额是关于SCAL2021年授予我们的NEO的基于时间的限制性股票奖励的数量。基于时间的限制性股票奖励将在三年内授予;限制性股票的三分之一YETI2022年委托书|61高管薪酬Toppan Merrill-YETIHoldings_Inc.DEF14A编辑和打印只有编辑|105251|16-Mar-22 10:56|21-35773-1.EA|顺序:30CHKSUM内容:30944布局:59987图形:0干净的工作:21-35773-1周期#;BL#:12;0修剪:8.25“x10.75”作为:达拉斯:214-698-9777颜色:YETI蓝, ~注-颜色2, 黑色图形:无V1.5, 505,846 2/12/2021Rs6,084 444,3752/12/2021PBRS3,0426,08412,168 484,651Kirk A. Zambetti 2/12/2021年度激励122,481 244,962 489,923 2/12/2021Rs6,084 444,3752/12/2021PBRS3,0426,08412,168 484,651年度激励计划(1)这些列中披露的金额是阈值

GRAPHIC

在授予日的第一个周年纪念日授予该奖项的基础上, 该奖励所涉及的限制性股票的六分之一将在此后的四个六个月周年纪念日中的每一天归属。基于时间的限制性股票奖励的授予日的公允价值是根据主题718使用YETI股票在授予日的收盘价计算的。下表列出了截至1月1日我们每个NEO持有的未偿还股权奖励的信息, 2022年:期权奖励股票奖励股权激励股权计划奖励:股权计划市场或激励奖励:支付计划价值奖励的数量:未实现的数量市场份额的数量, 股票, 单位或单位价值的证券或股票标的证券的数量或其他未行使的未行使的未行使期权单位,即未行使期权的单位,未行使期权的单位没有,有可行使的未行使期权价格到期归属归属未归属未归属的名称授予日期(#)(1)(#)(2)(#)(3)($)(4)(#)(5)($)(6)Matthew J。Reintjes10/24/2018(7)241,26980,42218.0010/24/2028 2/15/2019(8)149,21629,84322.842/15/2019(8)9,577,793,2632/14/2020(8)34,504 2,857,9662/12/2021(8)25,029 2,073,152/14/2020(9)59,1504,1504,899,295 2/2021(9)50,0584,146,304Paul C. Carbone 10/24/2018(7)82,164,27,84202832/15/2019(8,3082/2019(8)19,1841,589,011 2/12/2021(9)21,5641,786,146Bryan C. Barksdale 10/24/2018(7)15,59413,14318.0010/24/2028/15/2019(8)12,460 ~注-颜色2, 黑色图形:无V1.5, 6,096 22.842/15/20292/15/2019(8)1,956 162,0152/14/2020(8)5,994,496,4832/12/2021(8)5,776,478,4262/14/2020(9)10,277,851,2442/12/2021(9)11,552,956,852,852Hollie S. Castro 10/24/2018(7)—13,143 18.0010/24/2028 2/15/2019(8)6,826,096/15/20922/15/2019(8)1,896,162,092/2020(8)1,5962522,62582/2020(8)6,5962/2020(8)6,5962/2020(8),105962/2020(12/2020(8),1051210,78713,78618.0010/24/2018/15/2019(8)4,00639522.842/15/20292/15/2019(8)2,052 169,9672/14/2020(8)6,314,522,9892/12/2021(8)6,084,503,9382/14/2020(9)10,825,6352/12/2021(9)12,1681,007,87562|YETI2022年委托书高管薪酬Toppan Merrill-YETIHoldings_Inc.DEF14A编辑和打印只有编辑|105251|16-Mar-22 10:56|21-35773-1.EA|顺序:31CHKSUM内容:14465布局:41981图形:0清洁工作:21-35773-1周期#;BL#:12;0修剪:8.25“x10.75”作为:达拉斯:214-698-9777颜色:YETI蓝

GRAPHIC

(1)本栏中披露的金额反映了授予我们的NEO的期权数量,这些期权受基于时间的归属约束并已归属。购股权一般自授予之日起十年内到期,其行使价不低于授予之日YETI股票公允市场价值的100%。有关退休时对期权的处理的信息,请参见“2021年终止或控制权变更时的潜在付款”, 死亡, 残疾, 控制权的终止或变更。(2)本栏中披露的金额反映了授予我们的NEO的期权数量,这些期权受制于基于时间的归属,但截至1月1日尚未归属, 2022.(3)本栏所披露的金额是指未归属的受限制股份单位及受时间限制的已授出的受限制股份的数目。有关退休时对RSU和限制性股票的处理的信息,请参见“2021年终止或控制权变更时的潜在付款”, 死亡, 残疾, 控制权的终止或变更。(4)本栏中披露的金额是指上一栏中报告的受限制股份单位和基于时间的限制性股票的市场价值,使用的是12月31日在纽约证券交易所报告的YETI股票的收盘价, 2021, 今年最后一个交易日, 乘以每项奖励所涉及的股票数量。(5)本栏披露的金额是指如果实现了最大业绩目标,将支付的项目预算报告的数量。有关退休时对PBRS的处理的信息,请参见“2021年终止或控制权变更时的潜在付款”, 死亡, 残疾, 控制权的终止或变更。(6)本栏中披露的金额是指前一栏中报告的PBRS的市场价值,使用的是12月31日在纽约证券交易所报告的YETI股票的收盘价, 2021, 今年最后一个交易日, 乘以每项奖励所涉及的股票数量。(7)自授予日期的第二周年起,未归属的部分将分三期每年支付。(8)在授予日期的第一个周年纪念日授予三分之一,在之后的第四个六个月周年纪念日授予六分之一。(9)在三年执行期结束后,基于执行期内的累计自由现金流量, 根据YETI的TSR相对于业绩期开始时Russell2000指数中的公司的TSR,可能会受到潜在的影响。股权补偿计划2018年股权和激励补偿计划。2018年9月, 董事会批准并通过了2018年股权和激励性薪酬计划(“2018年计划”)。2018年计划由薪酬委员会管理,该委员会有权确定2018年计划的合格参与者,并根据2018年计划解释和做出决定。根据2018年计划, YETI可以授予股票期权, 股票增值权, 限制性股票, RSU, 业绩分成, 绩效单位, 现金奖励, 以及基于我们的普通股或与之相关的某些其他奖励。董事会通常被授权在其认为必要时修改2018年计划, 前提是,如果该修正案将(i)大幅增加参与者的应计收益,则未经我们的股东批准,它不得修改2018年计划, 大幅增加根据2018年计划可能发行的股票数量, 实质性地修改参与的要求, 允许对股票期权或股票增值权重新定价, 或(v)否则需要获得股东的批准。薪酬委员会可以修改根据2018年计划授予的任何奖励的条款,但未经参与者同意,任何修改都不会对参与者在未完成奖励方面的权利产生不利影响。2012年股权和绩效激励计划(6月20日修订和重述), 2018).在2018年计划通过之前, 薪酬委员会根据2012年股权和绩效激励计划(经修订, “2012年计划”),该计划最初于2012年6月通过。根据2012年计划的规定, 董事会有权解释和管理2012年计划和任何奖励协议,并确定奖励条款。在我们于2018年10月进行IPO之后, 根据2012年计划的新奖励,没有股票可供发行。YETI2022年委托书|63高管薪酬Toppan Merrill-YETIHoldings_Inc.DEF14A编辑和打印只有编辑|105251|16-Mar-22 10:56|21-35773-1.EA|序列:32CHKSUM内容:23566布局:48980图形:0清洁工作:21-35773-1周期#;BL#:12;0修剪:8.25“x10.75”作为:达拉斯:214-698-9777颜色:YETI蓝, ~注-颜色2, 黑色图形:无V1.5,

GRAPHIC

2021财年期权行使和股票归属表下表提供了有关期权行使时发行的股票数量的信息, 授予的股票奖励数量, 以及在行使或归属时实现的价值, 由我们的近地天体在2021财年。期权奖励股票奖励股票价值已实现的股票价值已实现的股票价值已实现的股票价值已实现的数量在行使时获得的股份价值在归属时获得的名称(#)(1)($)(2)(#)(3)($)(4)Matthew J. Reintjes275,653 23,761,770 53,660 4,417,580Paul C. Carbone——18,488 1,525,807Bryan C. Barksdale 21,860 1,496,698 9,90986091868068Hollie S. Castro41,538 2,816,3210,228,843,436Kirk A. Zambetti 45,549 3,355,022 10,419,859,846(1)此列显示的金额代表SCAL2021年期间行使期权获得的股票数量。(2)本栏所示的数额表示在行使时所获得的股份数目乘以期权行使价与YETI股份在行使当日的收市价之间的差额。(3)本栏中披露的金额是关于SCAL2021期间归属的受限制股份单位和限制性股票的数量。(四)本栏披露的金额是归属时实现的价值 根据YETI股份在可行权日的价格计算, 乘以每项奖励所涉及的股票数量。离职后补偿高级领导离职福利计划除首席执行官外,我们目前雇用的每个NEO都参与了遣散计划, 根据该条款,每个参与者都有权因某些终止雇佣关系而获得遣散费, 以参与者执行的权利要求的解除为准。每个参与者, 包括巴克斯代尔先生, 卡本和赞贝蒂还有卡斯特罗女士, 必须签署一份参与协议, 它指定了参与者的适用参与级别, 以及一份限制性的契约协议, 作为参加离职计划的条件。根据限制性契约协议, 每个参与者都要遵守习惯性的限制性契约, 包括终止后的不竞争和不征求客户契约, 对于巴克斯代尔先生来说, 卡本和赞贝蒂以及卡斯特罗将继续任职12个月。根据遣散计划,适用于我们每个NEO(首席执行官除外)的遣散条款将在下面的“——终止或控制权变更时的潜在付款”下进行讨论。64|YETI2022年委托书高管薪酬Toppan Merrill-YETIHoldings_Inc.DEF14A编辑和打印只有编辑|105251|16-Mar-22 10:56|21-35773-1.EA|顺序:33CHKSUM内容:45779布局:2005图形:0干净的工作:21-35773-1周期#;BL#:12;0修剪:8.25“x10.75”作为:达拉斯:214-698-9777颜色:YETI蓝, ~注-颜色2, 黑色图形:无V1.5, 受限制股份单位和限制性股票的比例

GRAPHIC

终止或控制权变更时的潜在付款Reintjes先生的雇用协议规定,与某些终止雇用有关的某些付款。根据Reintjes先生的雇佣协议, Reintjes先生有权获得遣散费, 在他执行一项解除索赔要求的情况下, 如下:•如果Reintjes先生的雇用被我们无故终止(在Reintjes先生的雇用协议中定义了该术语)或Reintjes先生有正当理由终止(在Reintjes先生的雇用协议中定义了该术语), 并且这种终止发生在控制权保护期的变化之外(如Reintjes先生的雇佣协议中定义的那样), Reintjes先生将有资格获得一笔遣散费,金额等于其年度基本工资金额加上发生此种终止的当年的目标年度激励补偿金额的150%。这笔款项将在Reintjes先生终止雇佣关系后的18个月内支付。赖因杰斯先生也将有资格获得按比例分配的他的年度奖励薪酬的一部分,在终止的那一年, 根据他全年的实际表现和这一年的工作天数, 在(a)在Reintjes先生终止雇用的日历年向我们的执行官支付年度激励性薪酬的时间,或(b)Reintjes先生终止雇用之日后的第61天,以较晚者的时间一次性支付。另外, 我们将偿还Reintjes先生的全额保费,医疗保险的持续覆盖期限长达18个月。•如果我们无故终止了Reintjes先生的工作,或者Reintjes先生出于正当理由终止了工作, 并且这种终止发生在控制保护的变更期间, Reintjes先生将有资格获得遣散费,其金额等于其年度基本工资金额加上发生此类终止的当年的目标年度激励补偿金额的200%。在Reintjes先生终止雇佣关系后,这笔款项通常将一次性支付;尽管根据《守则》第409A条的要求,这笔款项的一部分将在Reintjes先生终止雇佣关系后的18个月内支付。Reintjes先生还将有资格在合同终止的那一年,按比例获得他的目标年度激励薪酬的一部分, 根据他在这一年里的工作天数, 在(a)在Reintjes先生终止雇用的日历年向我们的执行官支付年度激励性薪酬的时间,或(b)Reintjes先生终止雇用之日后的第61天,以较晚者的时间一次性支付。另外, 我们将偿还Reintjes先生的全额保费,医疗保险的持续覆盖期限长达18个月。•莱因杰斯的雇佣协议还包含一项净收益条款,即第280G节的削减条款, 这就提供了, 如果向Reintjes先生支付的款项将构成《守则》第280G条所指的“降落伞付款”,并应根据《守则》第4999条缴纳消费税, 然后,这种支付将减少所需的金额,以避免触发这种税, 前提是,与未减少此类付款(考虑到消费税的影响)相比,这种减少将使Reintjes先生处于更好的税后地位。根据遣散计划, 每个参与的NEO都有权获得遣散费, 在他或她执行一项权利要求的解除后, 如下:•如果雇用Barksdale先生中的任何一位, Carbone或Zambetti或Castro女士被我们无故终止(该术语在遣散计划中定义)或由适用的执行人员出于正当理由(该术语在遣散计划中定义), 而这样的终止并不发生在控制权保护期的变更期间(因为这样的条款是YETI2022年委托书|65高管薪酬Toppan Merrill-YETIHoldings_Inc.)。DEF14A编辑和打印只有编辑|105251|16-Mar-22 10:56|21-35773-1.EA|顺序:34CHKSUM内容:25941布局:41532图形:0干净的工作:21-35773-1循环#;BL#:12;0修剪:8.25“x10.75”作为:达拉斯:214-698-9777颜色:YETI蓝, ~注-颜色2, 黑色图形:无V1.5,

GRAPHIC

在遣散计划中定义), 此类高管将有资格获得相当于其各自年度基本工资金额(“基本遣散费金额”)的100%的遣散费。基本遣散费将在适用的执行人员终止雇用后的12个月内支付。这类高管也将有资格在离职的那一年按比例获得他或她各自的年度激励薪酬的一部分, 根据全年的实际业绩和适用的执行人员在该年度中的受雇天数, 在(a)年度奖励薪酬支付给我们的执行官之时,以较晚的时间一次性支付适用的执行人员的雇用终止的日历年,或(b)适用的执行人员的雇用终止之日起第61天。另外, 我们将补偿适用的执行人员的全额保费,以医疗保健连续保险的期限长达12个月。•如果雇用Barksdale先生中的任何一位, Carbone或Zambetti或Castro女士被我们无故终止,或由适用的执行人员出于正当理由终止, 并且这种终止发生在控制保护的变更期间, 此类高管将有资格获得相当于其基本年薪加上目标年度激励补偿金额(“增加的遣散费金额”)之和的150%的遣散费。增加的遣散费通常将在适用的执行人员终止雇用后一次性支付;尽管这笔款项的一部分将在适用的执行人员终止雇用后的12个月内支付, 如果根据《守则》第409A条的要求。这类高管也将有资格在离职的那一年获得其目标年度激励薪酬的按比例部分, 基于他或她在这一年中的工作天数, 在(a)年度奖励薪酬支付给我们的执行官之时,以较晚的时间一次性支付适用的执行人员的雇用终止的日历年,或(b)适用的执行人员的雇用终止之日起第61天。另外, 我们将向适用的执行人员偿还其最高18个月的医疗保健连续保险的全额保费。•就遣散计划而言, 控制权保护期的变更是控制权变更后的24个月期间(如遣散计划中所定义的)。如果在Barksdale先生之一终止雇用后的六个月内发生控制权变更, Carbone或Zambetti或Castro女士被我们无缘无故, 或由适用的执行人员有充分的理由, 并且此类终止雇佣关系(或因正当理由导致终止雇佣关系的事件)是应第三方的要求而发生的,该第三方已采取了合理计算的步骤或旨在实现此类控制权变更, 或以其他方式与控制权的这种变化有关或预期这种变化而产生的, 那么,这位高管将有权获得增加的遣散费, 减去先前支付的基本遣散费的任何部分。•遣散计划还包括一项净额更好的第280G节削减规定, 这就提供了, 如果向参与者支付的款项将构成《守则》第280G条所指的“降落伞付款”,并应根据《守则》第4999条缴纳消费税, 然后,这种支付将减少所需的金额,以避免触发这种税, 前提是,与未减少此类付款(考虑到消费税的影响)相比,此类减少将使参与者处于更好的税后地位。66|YETI2022年委托书高管薪酬Toppan Merrill-YETIHoldings_Inc.DEF14A编辑和打印只有编辑|105251|16-Mar-22 10:56|21-35773-1.EA|序列:35CHKSUM内容:54487布局:726图形:0清洁工作:21-35773-1周期#;BL#:12;0修剪:8.25“x10.75”作为:达拉斯:214-698-9777颜色:YETI蓝, ~注-颜色2, 黑色图形:无V1.5,

GRAPHIC

以下列出的离职后补偿表是截至1月1日,我们的NEO在控制权发生变化或符合条件的终止时将获得的金额, 2022.在计算表中的金额时, YETI基于每股82.83美元的股票分配价值, 这是我们的普通股在纽约证券交易所截至12月31日的收盘价, 2021, 会计年度的最后一个交易日。(a)非自愿或以下变更,正当理由死亡或在控制下终止残疾名称补偿部分(美元)(美元)(美元)(美元)Matthew J. Reintjes总裁兼首席现金遣散费4,857,692(1)3,643,269(2)—执行官年度奖励1,453,846(3)2,878,615(4)—长期奖励17,251,270(5)—17,251,270(5)福利津贴:24,243(6)24,243(6)——总计:23,587,052 6,546,127 17,251,270Paul C. Carbone高级副总裁和现金遣散费1,440,504(7)550,000(8)——首席财务官年度奖励410,336(3)812,466(4)——长期奖励6,279,207(5)——6,279,207(5)福利和额外津贴:32,301(6)21,534(9)——总计:8,162,3481,384,0006,279,207Bryan C. Barksdale高级副总裁, 现金遣散费934,442(7)390,000(8)—总法律顾问和年度奖励232,961(3)461,264(4)—秘书长期奖励3,258,732(5)—3,258,732(5)福利薪酬:19,136(6)12,757(9)——总计:4,445,272,864,0213,258,732Hollie S. Castro首席人力资源现金遣散费1,016,884(7)425,000(8)——高管和高级年度激励252,923(3)500,787(4)——ESG副总裁长期激励3,358,957(5)—3,358,957(5)福利津贴:24,243(6)16,162(9)——总计:4,653,007,941,949 3,358,957Kirk A. Zambetti现金遣散费高级副总裁982,442(7)410,000(8)——销售年度奖励244,961(3)485,024(4)——长期奖励3,358,957(5)——3,358,957(5)福利额外津贴:24,243(6)16,162(9)——总计:4,610,603,911,1863,358,957(a)无理由的非自愿终止或有正当理由的自愿终止。YETI2022年委托书|67高管薪酬Toppan Merrill-YETIHoldings_Inc.DEF14A版,只供印刷 ~注-颜色2, 黑色图形:无V1.5, |105251|16-Mar-22 10:56|21-35773-1.EA|顺序:36CHKSUM内容:27847布局:24995图形:0干净工作:21-35773-1周期#;BL#:12;0修剪:8.25“x10.75”作为:达拉斯:214-698-9777颜色:YETI蓝

GRAPHIC

(1)根据首席执行官的经修订和重述的雇佣协议, 金额为基本工资加目标年度奖励金额之和的2.0倍。(2)根据首席执行官的经修订和重述的雇佣协议, 金额为基本工资加目标年度奖励金额之和的1.5倍。(3)根据首席执行官的修订和重述的雇佣协议和遣散计划, 金额为终止年度的按比例目标年度激励。(4)金额是截至1月1日已获得的实际年度激励, 2022.(5)根据个别PBRS的条款, 基于时间的限制性股票, RSU和股票期权授予协议, (i)在控制权变更后两年内发生的无故非自愿终止或有正当理由的自愿终止, 所有未投资的PBRS, 基于时间的限制性股票, 受限制股份单位和股票期权将归属, 如果要授予的PBRS的数量等于受此奖励的PBRS的目标数量, 或因死亡或残疾而终止雇用, 所有未归属的PBRS(基于受该奖项约束的PBRS的目标数量), 时间限制的股票, 受限制股份单位和股票期权将归属。未投资的PBRS(基于获得奖励的PBRS的目标数量), 时间限制的股票, 如果在控制权变更中不承担奖励,则RSU和股票期权也将归属。显示的金额是所有未归属的股票期权的价值,该价值是基于行权价格与截至12月31日的YETI股票价格之间的差额计算的, 2021年加上所有未投资的PBRS的市场价值(假设目标绩效), 时间限制的股票, 以及基于12月31日YETI股票价格的RSU, 2021.(6)金额是YETI在终止合同后18个月内对COBRA保费付款的全额补偿。(7)根据遣散计划, 金额为基本工资加目标年度奖励金额之和的1.5倍。(8)根据遣散计划, 金额等于高管基本工资的1.0倍。(9)根据遣散计划, 金额是YETI在终止合同后的12个月内向执行人员偿还的全部COBRA保费。2021财年CEO薪酬比率, YETI所有员工(不包括首席执行官)的年度总薪酬中位数为115,152美元, 以及首席执行官的年度总薪酬, Matthew J. Reintjes, 是7,678,474美元。基于这些信息, 对于2021财年, 首席执行官的年度总薪酬与所有员工的年度总薪酬的中位数之比约为67:1。这一比率是以符合美国证券交易委员会规则的方式计算出来的合理估计。方法和实质性假设, 调整和估计,我们用来确定我们所有员工的年度总薪酬的中位数, 除了确定“中位员工”的年度总薪酬外,我们还选择了11月1日, 2021年是我们确定中位数员工的日期。以前, 我们用的是10月9日, 2020, 作为我们中位数员工的识别日期。为了便于数据管理,我们选择了一个新的日期与日历月的开始日期保持一致,并选择改进我们用于选择中位数员工的方法,以更准确地反映我们当前的员工人数, 考虑到我们在2021财年的新员工数量。•截至11月1日, 2021, 我们的员工人数在全球约有802人, 其中726人在美国境内,76人在美国境外。68|YETI2022年委托书高管薪酬Toppan Merrill-YETIHoldings_Inc.DEF14A编辑和打印只有编辑|105251|16-Mar-22 10:56|21-35773-1.EA|序列:37CHKSUM内容:49737布局:21675图形:0干净的工作:21-35773-1循环#;BL#:12;0修剪:8.25“x10.75”作为:达拉斯:214-698-9777颜色:YETI蓝, ~注-颜色2, 黑色图形:无V1.5,

GRAPHIC

•根据SEC规则允许的“最小豁免”调整, 它允许将占员工总数不到5%的非美国员工排除在员工中位数计算之外, 我们排除了32名员工(占我们员工总数的不到5%, 不包括首席执行官, 截至11月1日, (2021年)来自以下3个国家:25名在华员工, 新加坡3名员工, 以及在菲律宾的4名员工。在被排除在外之后, 在确定员工中位数时,考虑了美国的726名员工和美国以外的44名员工。•为了确定我们的“中位员工”,我们分析了从我们的工资记录中汇编的截至12月31日的一年期间的实际总收入, 2021年确定员工中位数。实际收入包括基本工资, 加班补偿, 奖金和其他奖励工资(包括佣金和附加福利)。•我们按年计算在适用期间被雇用的员工的薪酬, 但在整个12个月里,他都没有为我们工作。•我们没有对居住在奥斯汀以外的员工的生活成本进行任何调整, 德克萨斯。•对于外国司法管辖区的雇员, 我们使用截至11月1日的汇率将以当地货币支付的金额转换为美元, 2021.•我们确定,我们的中位数员工是位于美国的全职公司员工。•关于“中位数雇员”的年度总薪酬,我们根据S-K条例第402(c)(2)(x)条的要求,确定并计算了2021财年该雇员薪酬的要素, 年度赔偿总额为115,152美元。关于首席执行官的年度总薪酬, 我们使用了上面列出的“汇总补偿表”中“总计”一栏中报告的金额。因为美国证券交易委员会确定所有员工年度总薪酬中值的规则允许公司采用多种方法, 应用某些排除,并做出合理的估计和假设,以反映其员工人数和薪酬惯例, 其他公司报告的薪酬比率可能无法与我们的薪酬比率相比, 由于其他公司有不同的员工数量和薪酬惯例,并且可能使用了不同的方法, 排除, 计算其薪酬比率时的估计和假设。YETI2022年委托书|69高管薪酬Toppan Merrill-YETIHoldings_Inc.DEF14A编辑和打印只有编辑|105251|16-Mar-22 10:56|21-35773-1.EA|序列:38CHKSUM内容:41233布局:60398图形:0干净的工作:21-35773-1循环#;BL#:12;0修剪:8.25“x10.75”作为:达拉斯:214-698-9777颜色:YETI蓝, ~注-颜色2, 彩通酷灰3C, 黑色图形:无V1.5,

GRAPHIC

审计事项独立注册公共会计师事务所费用下表列出了普华永道会计师事务所(“PWC”)在SCAL2021年提供的专业服务的估计总费用, 和Grant Thornton LLP(“Grant Thornton”), 我们之前的独立注册公共会计, 对于SCAL2020, 符合以下所述的审核委员会的预批准政策的批准。2021财政年度2020财政年度审计费用(1)1,092,400美元776,000美元审计相关费用——税费(2)528,300美元——所有其他费用(3)9,000美元——总费用1,629,700美元776,000美元(1)审计费用代表账单金额对于与我们的年度财务报表的综合审计和财务报告的内部控制相关的专业服务, 以及对我们季度报告中包含的中期合并财务报表的审查,由美国证券交易委员会牵头, 以及通常由我们的独立注册公共会计部提供的与法定或监管规定或业务有关的服务, 就审计或中期审查期间处理的事项和证券交易委员会的事项进行会计咨询, 包括安慰信, 同意书, 和评论信。(2)税务费是税务咨询的账单金额, 税务合规和咨询。(3)包括由我们的独立注册公共会计RM提供的产品和服务的费用,这些费用不包括在上述类别中。在考虑PWC所提供服务的性质时, 审计委员会确定,此类服务与提供独立审计服务是兼容的。审计委员会预先批准审计和非审计服务审计委员会的政策是预先批准所有审计聘用费, 条款和服务以及允许的非审计服务将由我们的独立注册公共会计师事务所执行。每年, 审计委员会进行审查, 在它认为适当的时候, 预先批准预期的审计, 与审计相关的, 年度内由独立注册公共会计师事务所提供的税务及其他服务。审计委员会审查属于预先指定的费用类别的服务范围的说明,并规定具体的预算准则。审计委员会定期审查并预先批准拟由独立注册公共会计师事务所提供的额外服务以及审计委员会在其年度审查期间预先批准的服务和费用范围之外的相关费用。为了对在定期排定的会议之间可能出现的时间敏感的服务请求作出回应, 审计委员会将预先审批权授予其一名或多名成员, 世卫组织向审计委员会下一次预定会议报告任何预先批准的决定。在2021财年, 审计委员会未根据《交易法》第10a(i)(1)(b)条所述的最低例外规定批准任何非审计服务。70|YETI2022年委托书Toppan Merrill-YETIHoldings_Inc.DEF14A编辑和打印只有编辑|105251|16-Mar-22 10:56|21-35773-1.FA|顺序:1CHKSUM内容:24431布局:26390图形:0清洁工作:21-35773-1周期#;BL#:12;0修剪:8.25“x10.75”作为:达拉斯:214-698-9777颜色:YETI蓝, ~注-颜色2, 黑色图形:无V1.5,

GRAPHIC

审计委员会报告审计委员会的以下报告不应被视为“征求材料”,也不应被视为向美国证券交易委员会“提交”或受第14A或14C条的约束(但不包括根据S-K条例第407条的规定)或《交易法》第18条的责任, 这些信息也不应通过引用并入根据1933年《证券法》提交的任何未来文件中, 经修正后, 除非YETI明确地将其以提及方式纳入此种备案。正如其章程所规定的, 审计委员会的目的是(a)协助审计委员会履行其对(i)YETI财务报表的Integrity的监督责任, (二)YETI遵守法律和管理规定的情况, 独立核数师的资格, 独立性和表现, YETI内部审计职能的履行情况;(b)编写审计委员会的报告,将其纳入YETI的年度委托书;(c)就YETI的财务问题向管理层和董事会提供咨询意见;(d)任命, 补偿, 保留, 解雇并监督YETI独立审计师的工作。我们的主要责任是监督。YETI的管理层负责准备工作, 其财务报表和YETI的独立注册公共会计师事务所的列报和Integrity, 负责审计和审核这些财务报表。YETI的独立注册公共会计师事务所直接向审计委员会报告, 负责这次任命, 补偿, 保留和监督独立注册公共会计师事务所。在这种情况下, 我们已经审阅并讨论了YETI截至1月1日的财年的经审计合并财务报表, 2022, 与YETI的管理层和PricewaterhouseCoopers LLP一起, YETI的独立注册公共会计师事务所(2021财年)。该审查包括与普华永道会计师事务所就上市公司会计监督委员会(“PCAOB”)和SEC的适用要求所要求讨论的事项进行的讨论。另外, 我们从普华永道会计师事务所收到了PCAOB适用要求所要求的书面披露和信函,涉及普华永道会计师事务所与审计委员会就独立性进行的沟通,并与普华永道会计师事务所讨论了其与YETI及其管理层的独立性。根据这些评论和讨论以及普华永道会计师事务所的报告, 审计委员会建议审计委员会将已审计财务报表纳入YETI截至1月1日财年的10-K表年度报告, 2022, 提交给证券交易委员会的文件。审计委员会Robert K. Shearer(主席)Alison DeanFrank D. GibeauDustan E. MccoyYETI2022年委托书|71审计事项Toppan Merrill-YETIHoldings_Inc.DEF14A编辑和打印只有编辑|105251|16-Mar-22 10:56|21-35773-1.FA|序列:2CHKSUM内容:22249布局:56808图形:0干净的工作:21-35773-1循环#;BL#:12;0修剪:8.25“x10.75”作为:达拉斯:214-698-9777颜色:YETI蓝, ~注-颜色2, 黑色图形:无V1.5,

GRAPHIC

根据我们3月5日提交给SEC的有关8-K表格的最新报告,独立注册公共会计师事务所发生了变化, 2021, 2月26日, 2021, 审计委员会批准解聘Grant Thornton为我们的独立注册公共会计师事务所。3月1日, 2021, 在向美国证券交易委员会提交了YETI截至1月2日的年度10-K报表之后, 2021, YETI拒绝了Grant Thornton作为其独立注册公共会计师事务所的职位。致同会计师事务所对我们截至12月28日的会计年度的合并财务报表的审计报告, 2019年和1月2日, 2021不包含任何不利意见或免责声明,也没有对不确定性进行限定或修改, 审计范围, 或者会计原则。在截至1月2日的财年中, 2021年和12月28日, 2019, 以及随后从1月3日开始的过渡期, 2021年至3月1日, 2021, (i)YETI与均富就任何会计原则或实务事宜,并无存在第S-K条第304(a)(1)项所指的分歧, 财务报表披露, 或审计范围或程序, 哪些分歧, 如果不能让致同会计师事务所满意, 会使致同会计师事务所在其关于YETI该年度的合并财务报表的报告中提及分歧的主题, 并且没有S-K条例第304(a)(1)(v)条所指的“应报告事件”, 除了YETI对财务报告的内部控制存在重大缺陷,这与无效的信息技术有关,在某些支持我们财务报告流程的信息技术系统的用户访问和程序更改管理领域,一般控制措施。YETI得出的结论是,这一重大缺陷已在9月26日得到纠正, 在YETI的10-Q表中披露的该期间的2020年。我们之前向均富提供了上述披露的副本,并要求均富向我们提供一封致美国证券交易委员会的信,说明它是否同意这些声明, 如果不是, 陈述它不同意的方面。致同会计师事务所的信的复印件, 日期为3月5日, 2021, 我们于3月5日向美国证券交易委员会提交了有关8-K表格的最新报告,作为附件16.1提交, 2021.2月26日, 2021, 审计委员会批准任命PWC为我们的独立注册公共会计师事务所,在Grant Thornton被解职后生效。3月1日, 2021, 在向美国证券交易委员会提交了YETI截至1月2日的年度10-K报表之后, 2021, YETI任命PWC为其新的独立注册公共会计师事务所,在截至1月1日的财政年度执行独立审计服务, 2022.在截至12月28日的财年中, 2019年和1月2日, 2021, 以及随后从1月3日开始的过渡期, 2021年至3月1日, 2021, 我们和任何代表我们行事的人都没有就(i)会计原则在特定交易中的应用咨询PWC, 无论是完成的还是提议的, 或对我们的合并财务报表可能发表的审计意见的类型, 在任何情况下,如果PWC向我们提供了书面报告或口头建议,认为PWC是我们在就任何会计事项作出决定时考虑的一个重要因素, 审计或财务报告问题;任何事项这是S-K条例第304(a)(1)条所指的“分歧”或S-K.72|YETI2022年委托书审计事项Toppan Merrill-YETIHoldings_Inc.第304(a)(1)(v)条所指的“应报告事件”的主题。DEF14A编辑和打印只有编辑|105251|16-Mar-22 10:56|21-35773-1.FA|序列:3CHKSUM内容:57831布局:61633图形:0干净的工作:21-35773-1循环#;BL#:12;0修剪:8.25“x10.75”作为:达拉斯:214-698-9777颜色:YETI蓝, ~注-颜色2, 黑色图形:无V1.5,

GRAPHIC

提案3。批准委任独立注册会计师事务所审核委员会对该项委任直接负责, 补偿, 保留和监督独立的外部审计公司,以审计YETI的财务报表。YETI的独立注册公共会计师事务所,截至1月1日的财年, 2022年是PWC。尽管不需要股东批准这一任命, 作为一个良好的公司治理的问题, 审计委员会要求股东批准其任命PWC担任我们2022财年的独立注册公共会计师事务所。如果任命未获批准, 审计委员会将考虑选择另一家独立的注册公共会计师事务所是否合适。即使任命被批准, 审计委员会, 依其判断, 可在财政年度内的任何时候指示任命另一家独立的注册公共会计师事务所,条件是该会计师事务所确定这种改变将符合YETI及其股东的最佳利益。审计委员会成员和董事会认为,审计委员会任命PWC为YETI的独立外部审计师符合YETI及其股东的最佳利益。我们希望PWC的代表将出席年会,如果他们愿意,将有机会发言并回答适当的问题。董事会一致建议股东投票“赞成”这一条款, 在不具约束力的基础上, 任命PWC为YETI在截至12月31日的SCAL年度的独立注册公共会计RM, 2022.YETI2022年委托书|73审计事项Toppan Merrill-YETIHoldings_Inc.DEF14A编辑和打印只有编辑|105251|16-Mar-22 10:56|21-35773-1.FA|顺序:4CHKSUM内容:29786布局:57943图形:21141清洁工作:21-35773-1循环#;BL#:12;0修剪:8.25“x10.75”作为:达拉斯:214-698-9777颜色:YETI蓝, ~注-颜色2, 黑色图形:checkmark_ko_icon.eps v1.5,

GRAPHIC

74|《YETI2022年委托书》某些受益所有人和管理层的股票所有权证券所有权下表列出了截至3月10日我们普通股的Bene Cial所有权信息, 2022年通过以下方式:•每个受益OWNS超过我们普通股5%的股东;•每个NEO(定义见“薪酬讨论和分析”);•我们的每位董事和董事提名;以及•我们所有现任执行官和董事作为一个整体。每个股东实益拥有的股份数量, 董事或高级管理人员是根据美国证券交易委员会的规则确定的,该信息不一定表示出于任何其他目的的实益拥有权。除非受适用的共同财产法或以下脚注中另有规定的影响, 所有上市人士对其实益拥有的所有股份拥有唯一的投票权和投资权。普通股数量的百分比实益拥有人的名称实益拥有人实益拥有(1)5%的股东:贝莱德, Capital World Investors(3)5,890,300 6.8%先锋集团(4)7,687,546 8.8%被任命为执行官, 董事Bryan C. Barksdale(5)43,801*Paul C. Carbone(6)181,794*Hollie S. Castro(7)24,012*Matthew J. Reintjes(8)440,543*Kirk A. Zambetti(9)34,715*Tracey D. Brown(10)3,689*Alison Dean(10)(11)1,403*Frank D. Gibeau(10)(12)6,507*Mary Lou Kelley(10)9,351*Dustan E. Mccoy(10)(13)16,885*Robert K. Shearer(10)——所有现任执行官和董事(11人)(10)(14)762,700**代表不到1%。(1)基于3月10日已发行普通股87,051,652股的百分比, 2022.Toppan Merrill-YETI控股公司。DEF14A编辑和打印只有编辑|105251|16-Mar-22 10:56|21-35773-1.FA|序列:5CHKSUM内容:24674布局:57971图形:0清洁工作:21-35773-1周期#;BL#:12;0修剪:8.25“x10.75”作为:达拉斯:214-698-9777颜色:YETI蓝, ~注-颜色2, 黑色图形:无V1.5,

GRAPHIC

(2)有关Bene Cially拥有的股份数量的信息是基于2月3日与美国证券交易委员会签署的附表13G/A中包含的信息, 2022年由贝莱德, Inc.(“BlackRock”)。根据13G/A表, 截至12月31日, 2021, 贝莱德对7,100,269股股票拥有唯一的投票权, 共享0股的投票权, 关于7,282,532股的唯一处置权和关于0股的共享处置权。贝莱德的地址是东52街55号, 纽约, 纽约10055。(3)有关Bene Cially拥有的股份数量的信息是基于2月11日与美国证券交易委员会签署的附表13G/A中包含的信息, 2022年由Capital World Investors, 注册投资顾问和资本研究与管理公司的部门, 以及其投资管理子公司和附属资本银行和信托公司, 凯投国际, Inc., 首创国际有限公司, Capital International SARL和Capital International K.K。根据13G/A表, 截至12月31日, 2021, Capitol World投资者对5890300股股票拥有唯一的投票权, 共享0股的投票权, 相对于5,890,300股的唯一处置权和相对于0股的共享处置权。Capitol World Investors的地址是南希望街333号, 55楼, 洛杉矶, 加州90071。(4)有关Bene Cially拥有的股份数量的信息是基于2月10日与美国证券交易委员会签署的附表13G/A中包含的信息, 先锋集团(“先锋”)将于2022年推出。根据13G/A表, 截至12月31日, 2021, 先锋对0股股票拥有唯一的投票权, 共有51,433股股票的投票权, 关于7,560,660股的唯一处置权和关于126,886股的共享处置权。Vanguard的地址是100Vanguard Blvd., 马尔文, 县治19355年。(5)包括Bryan C. Barksdale有权在3月10日起60天内购买的34,150股普通股, 2022年通过行使期权。(6)包括Paul C. Carbone有权在3月10日起60天内购买的150,934股普通股, 2022年通过行使期权。(7)包括12,192股普通股,Hollie S. Castro有权在3月10日起的60天内购买, 2022年通过行使期权。(8)包括420,328股普通股,Matthew J. Reintjes有权在3月10日起的60天内购买, 2022年通过行使期权。(9)包括Kirk A. Zambetti有权在3月10日起60天内购买的21,182股普通股, 2022年通过行使期权。(10)不包括根据2018年计划授予的DSU基础普通股, 它将在年度会议召开前夕归属, 但在(a)非雇员董事在其延期选举表格中指定的日期或(b)非雇员董事停止在董事会服务的六个月周年纪念日之前,不会进行和解, 具体如下:Tracey D. Brown, 1,403, Alison Dean, 1,342;Frank D. Gibeau, 2,085;Mary Lou Kelley, 8,103;Dustan E. Mccoy, 3,155人;Robert K. Shearer, 25,573.(11)包括Alison Dean有权在3月10日起60天内购买的1,403股普通股, 2022年通过RSU的归属。(12)关于Frank D. Gibeau有权在3月10日起60天内收购的1,403股普通股, 2022年通过RSU的归属。(13)关于Dustan E. Mccoy有权在3月10日起60天内收购的1,403股普通股, 2022年通过RSU的归属。(14)包括642,995股普通股,现任执行官和董事有权在3月10日起的60天内购买, 2022年通过行使期权或授予RSU。YETI2022年委托书|75股权托潘·美林-YETIHoldings_Inc.DEF14A编辑和打印只有编辑|105251|16-Mar-22 10:56|21-35773-1.FA|序列:6CHKSUM内容:22863布局:14357图形:0清洁工作:21-35773-1周期#;BL#:12;0修剪:8.25“x10.75”作为:达拉斯:214-698-9777颜色:YETI蓝, ~注-颜色2, 黑色图形:无V1.5,

GRAPHIC

76|YETI2022年代理声明某些关系和关联方交易以下是1月2日或之后发生的交易摘要, 2021, 我们参加了一个聚会, 涉及的金额超过12万美元,并且我们的任何执行官, 董事, 或超过我们股本5%的实益持有人拥有或将拥有直接或间接的重大权益。与我们的IPO有关的注册权协议, 我们和Cortec签订了注册权协议, Roy J. Seiders, RYANR.Seiders, 他们各自的一些分支机构, 和某些其他股东, 随后于2019年5月和2019年12月进行了修订(“注册权协议”)。根据注册权利协议的条款, 其中某些当事方(每一方, “权利持有人”, 总的来说, (“权利持有人”)可以要求注册, 或承销发行, 其全部或部分普通股。如果权利持有人要求注册或包销, 其他股东一方可以要求将其最多所有的普通股包括在此类注册声明或承销发行中, 视情况而定。在每一种情况下, 根据需求注册或在承销发行中提供的金额受某些限制和条件的约束, 包括(i)我们没有义务在任何12个月内进行超过四次需求注册或承销发行,并且任何需求注册或承销发行必须达到预期的总发行价格至少2.5亿美元。另外, 如果我们注册了额外的普通股或任何系列的优先股以出售给公众, 我们将被要求将此类注册通知给注册权协议的其他各方,并且, 受某些限制, 在登记中包括他们所持有的普通股。我们负责支付所有注册费用和与根据注册权协议进行的任何注册或承销发行相关的承销发行费用(包括与此注册相关的费用), 不包括任何承销费用, 佣金, 折扣和津贴及相关的法律费用。《注册权协议》包括有利于其股东一方的习惯赔偿条款,以弥补因我们根据与任何此类注册有关的证券法进行的任何备案或其他披露而产生或基于其产生的某些损失和责任。注册权利协议是作为我们2月28日向美国证券交易委员会提交的10-K表格年度报告的附件提交的, 2022, 并且此处的描述是通过引用该协议来限定的。根据审计委员会章程,关联方交易的政策和程序, 审计委员会负责审查和批准或不批准“关联方交易”。根据我们的政策, 关联方交易是, 除以下所述的除外情形外, 交易, 我们与相关人员之间的安排或关系,其中涉及的总金额超过或可能预计超过120,000美元,并且确定相关人员拥有, 有过, 或期望有直接或间接的重大利益或交易, 会使董事的独立性受到怀疑的安排或关系, 会出现我们与相关人员之间的利益冲突或法律禁止的其他情况, 规则或规则。我们的政策明确地将以下内容排除在关联方交易的定义之外:(a)对董事或执行官的补偿这是或将在YETI的委托书中披露;(b)对不是董事或另一名执行官的直系亲属的执行官的补偿已获薪酬委员会或董事会批准的交易;(c)涉及的费率或费用由竞争性投标确定的交易, 或涉及根据法律或政府权威确定的费率或费用;(d)涉及以银行股份所有权为服务的交易Toppan Merrill-YETIHoldings_Inc.。DEF14A编辑和打印只有编辑|105251|16-Mar-22 10:56|21-35773-1.FA|顺序:7CHKSUM内容:25283布局:53857图形:0干净的工作:21-35773-1循环#;BL#:12;0修剪:8.25“x10.75”作为:达拉斯:214-698-9777颜色:YETI蓝, ~注-颜色2, 黑色图形:无V1.5,

GRAPHIC

资金保管人, 转移代理, 书记官长, 契约受托人或类似服务;(e)一项交易,在该交易中,相关人的利益仅来自YETI股票的所有权,而所有股东按比例获得相同的利益;(f)在我们的IPO日期之前达成或完成的交易。我们有关关联方交易的政策提供了相关的人是:(a)任何已经服务过的人作为导演或在上一财政年度的任何时候担任YETI的执行官;(b)在与董事选举有关的委托书中提名成为董事的任何人(c)在上一财政年度的任何时候是(a)项所列任何人员的直系亲属的人以及(b)这句话;或(d)我们知道在交易时是YETI5%以上股份的实益拥有人的任何人或该人的任何直系亲属 在获得批准后,此类交易将在我们的下一次年度股东大会的委托书中披露。YETI2022年委托书|77股权托潘·美林-YETIHoldings_Inc.DEF14A编辑和打印只有编辑|105251|16-Mar-22 10:56|21-35773-1.FA|序列:8CHKSUM内容:37927布局:56808图形:0清洁工作:21-35773-1周期#;BL#:12;0修剪:8.25“x10.75”作为:达拉斯:214-698-9777颜色:YETI蓝, ~注-颜色2, 黑色图形:无V1.5, 审计委员会将向董事会报告其对任何关联方交易的行动。如果任何关联方交易获得审计委员会的批准

GRAPHIC

78|YETI2022年委托书补充信息YETI的执行办公室位于年会的问答, YETI的通讯地址是, 西南公园大道7601号, 奥斯汀, TX78735。以下是有关年度会议的问题和答案:为什么我会收到这份委托书?您收到的这份委托书是与YETI董事会在年度会议(以及年度会议的任何延期或推迟)上征集代理人有关的, 用于年度会议通知中规定的目的。什么是代理?代理人是你的法律指定的另一个人,以投票的股票,你所拥有的。如果你在一份书面文件中指定某人作为你的代理人, 该文档也称为代理(或代理卡)。Dustan E. Mccoy和Robert K. Shearer已被指定为与董事会征集年度会议代理人有关的代理人。谁有权在年度会议上投票?在3月10日交易结束时持有YETI的普通股, 2022, 即董事会指定为年度会议的记录日期(“记录日期”), 有权在年度会议上对其股票进行投票。截至记录日期, 我们已发行和发行在外的普通股为87,051,652股。YETI的普通股的每一股都使其持有人有权在年度会议上对每一事项进行表决。召开年会必须有多少股份?存在, 亲自或通过代理人, 有权在年度会议上投票的大多数已发行和已发行普通股的持有人,是构成进行交易的法定人数所必需的。如果出席年会的法定人数不足或代表不足, 年度会议的主席,或, 如果由年度会议主席指示, 我们现有的大多数已发行和已发行普通股的持有人, 在年度会议上亲自或通过代理人,并有权对其进行表决, 可能会不时休会,而无需另行通知或其他公告,直到有法定人数出席或代表出席为止。我投票的内容是什么,董事会的投票建议是什么?请参阅本委托书第1页“委托书摘要-待投票事项”下的内容。年会上还能决定其他事项吗?除年度会议通知中规定的事项外,管理层不打算在年度会议上进行任何表决,也没有其他人会这样做的信息。如果其他需要股东投票的事项在年度会议之前适当进行, 董事会任命的代理人持有人的意图是,根据适用法律及其对此类事项的判断,对他们所持有的代理人所代表的股份进行投票。Toppan Merrill-YETI控股公司。DEF14A编辑和打印只有编辑|105251|16-Mar-22 10:56|21-35773-1.FA|序列:9CHKSUM内容:33725布局:34877图形:0清洁工作:21-35773-1周期#;BL#:12;0修剪:8.25“x10.75”作为:达拉斯:214-698-9777颜色:YETI蓝, ~注-颜色2, 黑色图形:无V1.5,

GRAPHIC

我如何投票?请参阅本代理声明的第1页“代理摘要-如何投票”下的内容。我可以更改我的代理投票吗?如果你是有记录的股东, 您可以在年度会议之前的任何时候更改代理投票或撤销代理投票,方法是:•退还具有较晚日期的签名代理卡;•通过互联网或电话以电子方式授权新的投票;或者•向Bryan C. Barksdale提交一份书面撤销委托书的通知, 高级副总裁, 总法律顾问兼秘书, YETI控股, Inc., 西南公园大道7601号, 奥斯汀, 在年度会议上对您的原始委托书进行表决之前,请输入Texas78735。你不会出席年会, 就其本身而言, 构成对代理的撤销。除非您参加年度会议并在年度会议上对股票进行投票, 你应该用同样的方法(通过互联网, 电话或邮件),您首先用来投票您的股票。这将有助于年度会议的选举检查员核实您的最新投票。如果你是股份的实益拥有人, 你可以联系你的经纪人,提交新的投票指示, 银行或其他代名人。您还可以使用代理卡上的控制号码在年度会议上投票, 投票指示表格, 或互联网可用性的通知。如果我退还了代理卡,但没有提供投票说明,该怎么办?代理有签名的回来了但不包含投票指示将进行投票:•所有人选举本委托书中列出的两名I类董事提名人(建议1);•批准向YETI指定的执行官支付的薪酬(建议2);•批准任命PWC为YETI的独立注册公共会计师事务所,任期至12月31日, 2022年(提案3);以及•如果在年度会议上适当提出任何其他事项,则由指定的代理人持有人酌情决定。如果我不提供委托书或指令卡,我的股票会被投票吗?登记股东如果你的股票登记在你的名下, 你的股票将不会被投票,除非你通过互联网提供代理, 通过电话, 通过邮件, 或亲自在年会上投票。计划参与者如果您是我们员工401(k)计划的参与者,并且您没有及时向计划受托人提供指导, 分配到您的帐户的股票将由计划受托人根据您的计划条款和其他法律要求进行投票。YETI2022年委托书|79附加信息Toppan Merrill-YETIHoldings_Inc.DEF14A编辑和打印只有编辑|105251|16-Mar-22 10:56|21-35773-1.FA|顺序:10CHKSUM内容:31944布局:56808图形:0干净的工作:21-35773-1循环#;BL#:12;0修剪:8.25“x10.75”作为:达拉斯:214-698-9777颜色:YETI蓝, ~注-颜色2, 黑色图形:无V1.5,

GRAPHIC

80|YETI2022年委托书Bene Cial所有者经纪人谁持有股票的街道名称为消费者需要根据指示,从受益所有人收到的股票投票。纽约证券交易所规则452规定,在没有受益所有人指示的情况下,作为股票记录持有人的经纪人可以行使酌处权对这些股票进行投票。经纪人不得就非全权委托的事项进行投票,例如董事的选举, 在没有受益所有人指示的情况下,高管薪酬和其他重大事项, 尽管券商将被允许对审计批准等自由裁量项目进行投票。结果, 如果您没有向您的经纪人提交投票指示,并且您的股票是以街道名称持有的, 你的经纪公司不能对提议1和提议2的股票进行投票, 这被认为是非自由裁量权的问题, 但可能会对提案3投你的票, 这被认为是一个自由裁量的问题。如果你的经纪人行使这一自由裁量权,对提议3的股票进行投票, 您的股票将构成提案1和提案2的“经纪人无投票权”。多种形式的所有权YETI不能为作为注册股东以多种形式拥有股份的股东提供单一的委托书或指令卡, 计划参与者或受益所有人。结果, 如果你的股票持有在多种类型的账户中, 您必须根据您收到的有关该帐户的指示,为每种类型的帐户提交您的投票。每项提案需要多少票?对于提案1, 第一类董事的选举, 您可以对“所有”董事提名人投票,也可以对任何一个或多个董事提名人不投票。根据我们的规章制度, 董事提名是由有权在出席法定人数的股东大会上投票选举董事的普通股持有人以多数票选出的。保留投票和经纪人无投票权将不会影响董事的选举。这意味着,获得最多赞成票(在亲自或通过代理人正确投票的情况下)的被提名进入董事会的个人将被选举。对于提案2, 你可以投“赞成”、“反对”或弃权。根据我们的规章制度, 出席或代表年度会议的持有人对该提议投赞成票或反对票的大多数普通股的赞成票,必须批准支付给我们指定的执行官的薪酬。弃权和经纪人无表决权将不被视为已投票, 结果, 不会对该提案产生任何影响。对于提案3, 你可以投“赞成”、“反对”或弃权。根据我们的规章制度, 出席或代表年度会议的持有人对该提议投赞成票或反对票的大多数普通股的赞成票,必须批准任命我们的独立注册公共会计师事务所。弃权将不被视为已投票, 结果, 不会对该提案产生任何影响。因为批准独立审计师的任命被视为“例行”事项, 对于提案3,将不会有经纪人无表决权。YETI什么时候开始邮寄代理通知,RST向股东提供这份代理声明和代理形式?我们开始邮寄代理通知, 并首先向我们的股东提供了这份委托书和随附的委托书, 在3月21日前后, 2022.更多信息Toppan Merrill-YETIHoldings_Inc.DEF14A编辑和打印只有编辑|105251|16-Mar-22 10:56|21-35773-1.FA|顺序:11CHKSUM内容:16600布局:34877图形:0清洁工作:21-35773-1周期#;BL#:12;0修剪:8.25“x10.75”作为:达拉斯:214-698-9777颜色:YETI蓝, ~注-颜色2, 黑色图形:无V1.5,

GRAPHIC

谁来点票?Broadridge Financial Solutions的代表, Inc., 我们的转账代理人, 将选票制成表格,并担任选举检查员。我可以在哪里得知年会的投票结果?初步投票结果将在年会上公布。最终投票结果将由选举检查员统计,并由YETI在年度会议后四个工作日内向美国证券交易委员会提交的有关8-K表格的最新报告中披露。什么是“householding”,它对我有什么影响?对于共享一个地址且未收到代理通知的合格股东, 我们只向该地址发送一份委托书和年度报告,除非我们收到该地址的任何股东的相反指示。这种做法, 被称为“householding”,旨在降低我们的印刷和邮资成本。然而, 如果居住在该地址的在册股东希望将来收到单独的委托书或年度报告, 他或她可能会联系投资者关系, YETI控股, Inc., 西南公园大道7601号, 奥斯汀, Texas78735或致电(512)271-6332,询问投资者关系。收到我们的委托书和年度报告的多份副本的合格记录股东可以通过相同的方式与我们联系,要求保留房屋。通过银行持有股票的股东, 经纪人或其他被提名人可以通过与被提名人联系来请求房屋托管。我们在此承诺迅速交货, 经书面或口头请求, 该委托书或年度报告的副本,该副本应在共享地址发送给股东,并将该文件的单个副本发送给该共享地址。请求应直接指向上面列出的地址或电话号码。谁来承担这次委托代理的费用?准备的成本, 组装, 在网上发帖, 打印和邮寄代理通知, 年度会议通知, 年度报告, 这份委托书, 以及代理的形式, 以及将招标材料转发给我们普通股的实益拥有人的合理费用, 以及其他招揽费用, 将由YETI承担。YETI的管理人员和雇员可以请求代理, 无论是通过个人联系,还是通过邮件, 电话或其他电子手段。这些官员和员工不会因为委托代理而获得额外补偿, 但将报销自付费用。经纪公司和其他保管人, 被提名者, 和受托人, 我们的普通股登记在他们的名下, 将被要求将征集材料转发给此类普通股的实益拥有人。我能在YETI的网站上找到更多的信息吗?是的。尽管我们网站上包含的信息不是本委托书的一部分, 您可以在我们网站的投资者关系部分的“治理”项下找到有关YETI和我们公司治理实践的信息, WWW.YETI.com。我们的网站包含了董事会的信息, 董事会委员会, 宪章, 章程, 商业行为守则, 公司治理准则和有关内幕交易的信息。股东可以获得, 不收费, 以书面形式向投资者关系部提供上述文件的复印件, YETI控股, Inc., 西南公园大道7601号, 奥斯汀, 德州78735。YETI2022年委托书|81额外信息Toppan Merrill-YETIHoldings_Inc.DEF14A编辑和打印只有编辑|105251|16-Mar-22 10:56|21-35773-1.FA|顺序:12CHKSUM内容:24967布局:56808图形:0干净的工作:21-35773-1循环#;BL#:12;0修剪:8.25“x10.75”作为:达拉斯:214-698-9777颜色:YETI蓝, ~注-颜色2, 黑色图形:无V1.5,

GRAPHIC

82|YETI2022年股东委托书董事提名和股东提议任何希望将合格的提议纳入我们2023年年度股东大会的股东委托书的股东,必须遵守以下程序以及《交易法》第14a-8条规定的其他要求。有资格被纳入我们2023年年度股东大会的委托书中, 我们的秘书必须不迟于11月21日在我们的主要执行办公室收到该建议, 2022.另外, 任何打算在2023年年度股东大会上提交提案以供审议的股东, 但不包括在我们的委托书中, 或打算在年度会议上提名董事候选人的人,必须以书面形式通知我们的秘书。根据我们的规章制度, 此类书面通知必须(a)不早于1月5日在我们的主要执行办公室收到, 2023年,且不迟于2月4日营业时间结束, 2023, 及(b)符合本公司附例所载的特定规定。此外, 在我们2023年的年会上,任何打算征集代理人以支持董事提名(董事会提名除外)的股东,都必须在3月6日之前,向YETI发出书面通知,阐明根据《交易法》第14a-19条要求的信息, 2023.然而, 如果2023年年会的日期比今年年会的日期更改了30天以上, 书面通知必须在2023年年会日期之前60天或首次公开宣布2023年年会日期之日之后的第10个日历日的较晚者收到。规则14a-19中的通知要求是对上述我们的章程中适用的通知要求的补充。年报你可以获得一份YETI截至1月1日财年的10-K报表年报, 通过向YETIHoldings发送书面请求,不收取2022年费用, Inc., 西南公园大道7601号, 奥斯汀, 德克萨斯州78735, 收件人:投资者关系。有关10-K表的年度报告也可在WWW.YETI.com上查阅。其他事项董事会不知道有任何其他事项要在年度会议之前提出。如果, 然而, 任何其他事务都应该在年会之前妥善处理, 被指定为代理人的人将有权根据适用法律及其对此类事项的判断对代理人进行投票。根据董事会的命令, Bryan C. Barksdale高级副总裁, 总法律顾问兼秘书日期:3月21日, 2022年附加信息Toppan Merrill-YETIHoldings_Inc.DEF14A编辑和打印只有编辑|105251|16-Mar-22 10:56|21-35773-1.FA|序列:13CHKSUM内容:27244布局:64942图形:707清洁工作:21-35773-1循环#;BL#:12;0修剪:8.25“x10.75”作为:达拉斯:214-698-9777颜色:YETI蓝, ~注-颜色2, 黑色图形:bryan_barksdale_k_sig.eps v1.5,

GRAPHIC

附录A非公认会计准则财务指标的调整本委托书中提到的“调整后营业收入”、“调整后营业利润率”、“调整后净收入”和“调整后稀释后每股净收入”被认为是非公认会计准则的财务指标, 正如美国证券交易委员会规定的那样。我们在下面提供了这些指标与根据公认会计原则计算的最直接可比的Nancial指标的对账。我们认为,这些非GAAP财务指标可能有助于评估我们的财务信息,并比较同比业绩, 我们已经将调整后的净收入作为一项绩效指标纳入了我们的STIP。然而, 这些措施不应孤立地加以考虑,而应作为一种补充, 而不是作为替代, 我们的报告结果是按照公认会计原则编制的。另外, 我们的非GAAP财务信息可能无法与其他公司报告的类似标题的指标进行比较。就本委托书而言, 我们将调整后的营业收入和调整后的净收入定义为营业收入和净收入, 分别, 从我们的损益表中, 调整非现金股票补偿费用, 资产减损费, 业务优化费用, 在净收入调整的情况下, 还调整了债务修改和消灭的损失, 包括提前偿还债务产生的递延融资费用的加速摊销, 以及所有调整对税收的影响。调整后营业利润率的计算方法是,将调整后的营业收入除以净销售额。调整后的稀释后每股净收入是使用调整后的净收入计算的, 正如上面所定义的, 以及稀释后的加权平均流通股。下表提供了这些非GAAP财务指标的数字对帐(以百万为单位, 除了(按每股金额计算):2021财年2020财年营业收入274.9美元214.2调整项:非现金股票补偿费用15.59.0长期资产减损2.51.1业务优化费用(1)2.2—调整后营业收入295.1美元224.3净收入 212.6美元155.8调整项:非现金股票补偿费用15.59.0长期资产减值2.51.1提前偿还债务的损失(2)—1.1业务优化费用(1)2.2—调整项目的税收影响(3)(4.9)(2.7)调整后的净收入$227.8$164.2净销售额$1,411.0$1,091.7营业利润率19.5%19.6%调整后的营业利润率20.9%20.5%净收入稀释后每股2.40美元1.77美元调整后净收入每股摊薄后每股2.57美元1.87美元加权平均已发行普通股摊薄后每股88.78 7.8YETI 2022年股东委托书|83Toppan Merrill-YETIHoldings_Inc.DEF14A只打印,只打印10:56|21-35773-1.FA|顺序:14CHKSUM内容:14510布局:55656 ~注-颜色2, 黑色图形:无V1.5, 图形:0干净工作:21-35773-1周期#;BL#:12;0修剪:8.25“x10.75”作为:达拉斯:214-698-9777颜色:YETI蓝

GRAPHIC

84|《2022年YETI》委托书注:由于四舍五入的原因,金额可能无法重新计算。(1)表示与我们在田纳西州孟菲斯的新分销设施相关的启动成本,过渡和集成费用,以及退出我们在德克萨斯州达拉斯的分销设施的成本。(2)表示SCAL2020年我们的定期贷款的自愿预付款导致的递延Nancing费用的加速摊销。(3)表示分别按SCAL2021和SCAL2020的预期法定税率24.5%计算的调整的税收影响。Toppan Merrill-YETI控股公司。DEF14A Ed和打印仅Ed|105251|16-Mar-22 10:56|21-35773-1.FA|顺序:15CHKSUM内容:24280布局:64473图形:0清洁工作:21-35773-1循环#;BL#:12;0修剪:8.25“x10.75”作为:214-698-9777颜色:YETI蓝,~注-色2,黑色图形:无v1.5

GRAPHIC

2022YETICoolers,LLC7601Southwest Parkway Austin,TX78735-8989USA.com Toppan Merrill-YETIHoldings_Inc.DEF14A ED和打印只ED|105251|16-Mar-22 10:56|21-35773-1.ZA|顺序:1CHKSUM内容:0布局:23413图形:25175清洁作业:21-35773-1循环#;BL#:12;0修剪:8.25“x10.75”作为:达拉斯:214-698-9777颜色:黄、青、~注-色2、黑、品红图形:35773-1_OBC_4C_COV.EPS v1.5

GRAPHIC

签名[请在方框内签名]日期签名(共同所有人)投票日期, 用蓝色或黑色墨水在下面标记块,如下所示:将此部分保留为您的记录分离并返回此部分,仅此代理卡仅在签名和注明日期时有效。D71465-P66021!!!人人都要保守,人人都要保守,唯独不能禁戒!!!!!!YETI控股, 股份有限公司。保留对任何个人被提名人的投票权, 在下面一行写上“所有人除外”,并写上被提名人的号码。YETI控股, 股份有限公司。c/0Broadridge Corporate Issuer Solutions, 股份有限公司。邮政信箱1342布伦特伍德, NY11717 01)Frank D. Gibeau02)Matthew J. Reintjes1。选举两名I类董事董事会建议您对提案2和提案3投赞成票。2.批准, 在咨询的基础上, 支付给我们指定的执行官的薪酬。3.批准任命PricewaterhouseCoopers LLP为YETI控股公司, 股份有限公司的独立注册公共会计师事务所,该公司的会计年度截至12月31日, 2022.注:根据他们的判断, 委托书持有人有权对在会议或其任何休会之前适当进行的其他事务进行表决。提名人:董事会建议您投票支持所有人,以选举提案1中指定的每个I类董事提名人。请按您的姓名在此签名。作为律师签字时, 遗嘱执行人, 管理员, 或其他受托人, 请提供完整的标题。共同所有人应亲自签名。所有持有人都必须签字。如果是一家公司或合伙企业, 请由授权人员签署完整的公司或合伙企业名称。会议前通过互联网投票-到WWW.proxyvote.com或扫描上面的QR条形码使用互联网传输您的投票指示,并在截止日期或会议日期前一天的美国东部时间晚上11:59之前以电子方式传递信息。当您访问网站并按照指示获取记录并创建电子投票指示表格时,请带上您的代理卡。在会议期间,请访问WWW.virtualshareholdermeeting.com/YETI2022,您可以通过互联网参加会议并在会议期间投票。将打印在由箭头标记的框中的信息提供给用户,并按照说明进行操作。电话投票-1-800-690-6903在截止日期或会议日期的前一天的美国东部时间晚上11:59之前,使用任何按键式电话传输您的投票指示。打电话时请带上您的代理卡,然后按照 在您的代理卡上签名并注明日期,并在我们提供的邮资已付信封中将其退还,或将其退还给投票处理, c/o布罗德里奇, 51Mercedes Way, 埃奇伍德, NY11717。扫描查看材料&W投票, 指示。邮寄投票标记

GRAPHIC

有关年度会议代理材料可用性的重要通知:年度股东大会通知, 股东委托书和2021年年度股东报告可在WWW.proxyvote.com上获得。D71466-P66021YETIHoldings, Inc.2022年年度股东大会5月5日, 2022年上午8:00本委托书由董事会征集,以下签署人特此任命Dustan E. Mccoy和Robert K. Shearer, 或者他们中的任何一个, 作为代理人, 每个人都有权任命自己的替代者, 并在此授权他们代表和投票, 正如背面所提供的, 如果签字人亲自出席,他将拥有的所有权力, YETI控股公司的所有普通股, 的股份有限公司,以下签署人有权/有权在将于上午8:00举行的2022年年度股东大会上投票, 当地时间, 5月5日, 2022, 在WWW.virtualshareholdermeeting.com/YETI2022上, 以及任何延期或延期。该委托书所代表的股份, 如果执行得当, 将按照此处指示的方式进行投票。如果没有这样的指示, 该委托书所代表的股份将在两名I类董事的选举中对所有被提名者进行投票,并对提案2和3进行投票。根据他们的判断, 代理人有权对2022年年度股东大会之前可能适当进行的其他业务进行投票。继续,并在背面签名,