查看原文
免责申明:同花顺翻译提供中文译文,我们力求但不保证数据的完全准确,翻译内容仅供参考!
EX-10.1 3 ped _ ex101.htm EX-10.1 ped _ ex101.htm

表10.1

 

参与协议

 

Chaveroo开发项目

 

本《参与协议》(简称《协议》)由PEDEVCO公司(简称《协议》)与Evolution Petroleum Corporation(简称《EPM》)签署,协议日期自2023年9月12日(简称《协议》)起生效。PEDEVCO公司(简称《协议》)地址为575 N. Dairy Ashford,Suite 210,Houston,Texas 77079,地址为Dairy Ashford Rd.,Suite 425,Houston,Texas 77079,地址为Dairy Ashford Rd. 1155,地址为77079。EPM和PED有时分别称为“缔约方”,在本文中统称为“缔约方”。

 

简历

 

 

a.

PED拥有位于新墨西哥州Chavez和Roosevelt县的Chaveroo油田的现有租约(定义见下文)的石油和天然气租赁权益,这些权益在本合同所附的附件“A”(“项目区域”)中有进一步说明。

 

 

 

 

b.

EPM熟悉项目地区,并希望获得现有租约和项目地区的某些权利。

 

 

 

 

c.

双方希望根据本协定共同开发生产石油、天然气和其他碳氢化合物的项目区。

 

 

 

对于收到并充分的良好和有价值的考虑,双方在此商定如下:

 

第一条。

定义

 

本协定所使用的下列词语和术语应具有以下规定的含义:

 

 

a.

“收购方”应具有第11.1节中规定的含义。

 

b.

“购置成本”应具有第11.2节所述的含义。

 

c.

“土地购买价格”是指每英亩净租赁土地四百五十美元(合450.00美元)。

 

d.

“活动Block”是指通过转让给EPM而将工作利益转让给开发Block。

 

e.

“AFE”是指根据《运营协议》颁发的在项目地区钻探油井的支出授权。

 

f.

就任何人而言,“联属关系”是指直接或间接控制、受其控制或与其共同控制的任何其他人。为此目的,“控制”一词是指直接或间接地拥有权力,以指示或促使指示某人的管理和政策,不论是通过对有表决权的证券的所有权,还是通过合同或其他方式。

 

g.

“AMI”应具有XI规定的含义。

 

h.

“AMI Acquisition”应具有XI中所述的含义。

 

i.

“AMI要约公告”应具有XI中规定的含义。

 

j.

“AMI术语”应具有XI中规定的含义。

 

k.

“转让”是指以本协议所附附件“D-1”的形式和内容转让石油和天然气租赁,或以本协议所附附件“D-2”的形式和内容转让井筒工作权益(如适用),并作为本协议的一部分。

 

l.

“负担”是指所有特许权使用费(包括出租人的特许权使用费)、优先特许权使用费、生产付款、净利润利息和其他生产、计量或应付的负担(为免生疑问,不包括任何遣散税、从价税或生产税)。

 

 

 

 

 

m.

“营业日”指的是一周中的每一天,除了周六、周日以及德克萨斯州商业银行通常不营业的任何其他日子。

 

n.

就任何一方而言,“控制权变更”是指将一方的几乎全部资产或股份合并、合并、出售或转让给非关联第三方。

 

o.

“索赔”是指所有第三方索赔(包括但不限于任何政府机构的索赔)、损失、损害赔偿、责任、义务、费用、开支、律师费和开支、罚款、罚款、补救行动、诉讼因由或任何类型或性质的判决(以下单数称为“索赔”,多数称为“索赔”)。

 

p.

“关闭”或“关闭”是指本协议的执行和第4.7节所述初始开发Block的工作权益份额的完成出售,以及每个后续开发Block的工作权益份额的完成出售日期。

 

q.

“完井”或“完井”是指旨在促使或使油井能够在一个或多个区域生产石油和/或天然气的单一作业,包括但不限于在该作业中设置生产套管、射孔、增产和进行生产测试。如果一口井由于任何原因从未完成生产石油、天然气和其他碳氢化合物的工作,那么,根据运营商的建议,即暂时放弃或封堵或放弃任何此类油井的井筒,该油井应被视为已完成。

 

r.

“开发Block”应具有第3.1节所述的含义。

 

s.

“钻探和间隔单元”是指由土地所在州的监管机构指定的土地,以确定哪些矿藏和租赁权益将被包括在内,以确定哪些各方可能有机会(i)以有成本的工作权益参与油井或(ii)获得油井的特许权使用费或优先特许权使用费。

 

t.

“生效日期”是指本协议介绍性段落中规定的日期。

 

u.

“除外责任”应具有第6.5节中规定的含义。

 

v.

“排除井”或“排除井”是指自本协议生效之日起,PED在项目区域内拥有作业权益的任何井(以及所有井)。

 

w.

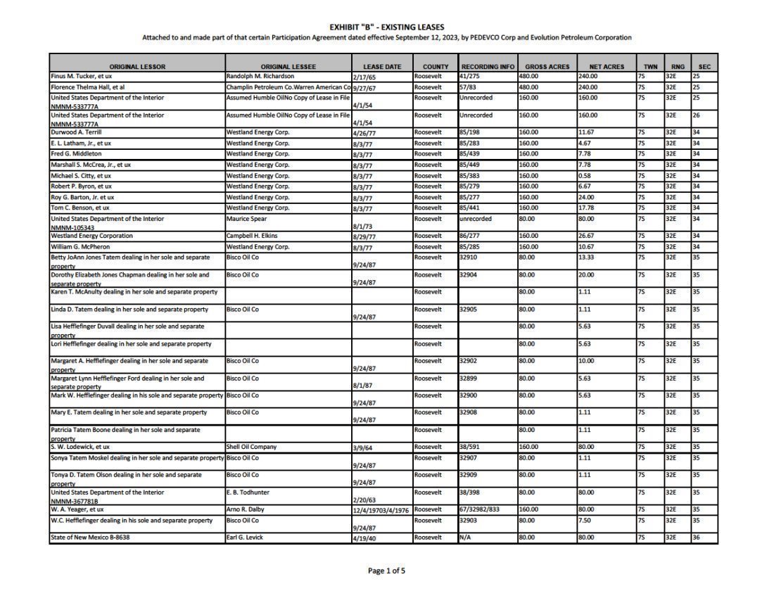
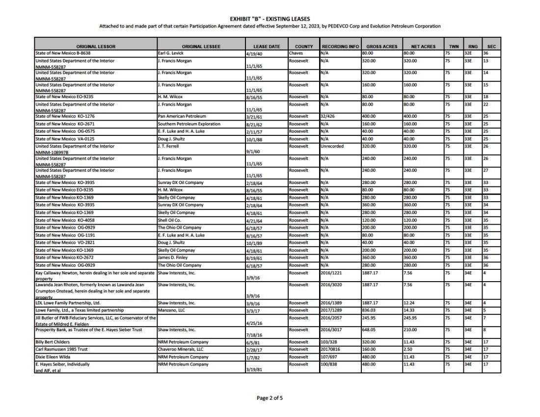
“现有租约”是指在本协议附件“B”中列出的石油和天然气租约。

 

x.

“政府当局”是指任何和所有联邦、州、部落、市、县或其他地方政府当局。

 

y.

“基础设施项目”应具有第5.5节所述的含义。

 

z.

“初始开发区块”应具有第4.2节所述的含义

 

AA。

“初始开发井”应具有第5.2条所述的含义

 

BB。

“初始购买价格”应具有第4.2节中规定的含义。

 

CC。

“初始期限”应具有第十二条规定的含义。

 

DD. DD. DD. DD. DD. DD. DD. DD. DD. DD. DD. DD. DD. DD. DD. DD. DD. DD. DD. DD. DD. DD. DD. DD. DD. DD. DD. DD. DD. DD. DD. DD. DD. DD. DD. DD. DD. DD. DD. DD. DD. DD. DD. DD. DD. DD. DD. DD. DD. DD. DD DD. DD. DD. DD. DD. DD. DD. DD. DD. DD. DD. DD. DD. DD. DD. DD. DD. DD. DD. DD. DD. DD. DD. DD. DD. DD. DD. DD. DD. DD. DD. DD. DD. DD. DD. DD. DD. DD. DD. DD. DD. DD. DD. DD. DD. DD. DD. DD. DD. DD. DD DD. DD. DD. DD. DD. DD. DD. DD. DD. DD. DD. DD. DD. DD. DD. DD. DD. DD. DD. DD. DD. DD. DD. DD. DD. DD. DD. DD. DD. DD. DD. DD. DD. DD. DD. DD. DD. DD. DD. DD. DD. DD. DD. DD. DD. DD. DD. DD. DD. DD. DD DD. DD. DD. DD. DD. DD. DD. DD. DD. DD. DD. DD. DD. DD. DD. DD. DD. DD. DD. DD. DD. DD. DD. DD. DD. DD. DD. DD. DD. DD. DD. DD. DD. DD. DD. DD. DD. DD. DD. DD. DD. DD. DD. DD. DD. DD. DD. DD. DD. DD. DD DD. DD. DD. DD. DD. DD. DD. DD. DD. DD. DD. DD. DD. DD. DD. DD. DD. DD. DD. DD. DD. DD. DD. DD. DD. DD. DD. DD. DD. DD. DD. DD. DD. DD. DD. DD. DD. DD. DD. DD. DD. DD. DD. DD. DD. DD. DD. DD. DD. DD. DD DD. DD. DD. DD. DD. DD. DD. DD. DD. DD. DD. DD. DD. DD. DD. DD. DD. DD. DD. DD. DD. DD. DD. DD. DD. DD. DD. DD. DD. DD. DD. DD. DD. DD. DD. DD. DD. DD. DD. DD. DD. DD. DD. DD. DD. DD. DD. DD. DD. DD. DD DD. DD. DD. DD. DD. DD. DD. DD. DD. DD. DD. DD. DD. DD. DD. DD. DD. DD. DD. DD. DD. DD. DD. DD. DD. DD. DD. DD. DD. DD. DD. DD. DD. DD. DD. DD. DD. DD. DD. DD. DD. DD. DD. DD. DD. DD. DD. DD. DD. DD. DD DD. DD. DD. DD. DD. DD. DD. DD. DD. DD. DD. DD. DD. DD. DD. DD. DD. DD. DD. DD. DD. DD. DD. DD. DD. DD. DD. DD. DD. DD. DD. DD. DD. DD. DD. DD. DD. DD. DD. DD. DD. DD. DD. DD. DD. DD. DD. DD. DD. DD. DD DD. DD. DD. DD. DD. DD. DD. DD. DD. DD. DD. DD. DD. DD. DD. DD. DD. DD. DD. DD. DD. DD. DD. DD. DD. DD. DD. DD. DD. DD. DD. DD. DD. DD. DD. DD. DD. DD. DD. DD. DD. DD. DD. DD. DD. DD. DD. DD. DD. DD. DD DD. DD. DD. DD. DD. DD. DD. DD. DD. DD. DD. DD. DD. DD. DD. DD. DD. DD. DD. DD. DD. DD. DD. DD. DD. DD. DD. DD. DD. DD. DD. DD. DD. DD. DD. DD. DD. DD. DD. DD. DD. DD. DD. DD. DD. DD. DD. DD. DD. DD. DD DD. DD. DD. DD. DD. DD. DD. DD. DD. DD. DD. DD. DD. DD. DD. DD. DD. DD. DD. DD. DD. DD. DD. DD. DD. DD. DD. DD. DD. DD. DD. DD. DD. DD. DD. DD. DD. DD. DD. DD. DD. DD. DD. DD. DD. DD. DD. DD. DD. DD. DD DD. DD. DD. DD. DD. DD. DD. DD. DD. DD. DD. DD. DD. DD. DD. DD. DD. DD. DD. DD. DD. DD. DD. DD. DD. DD. DD. DD. DD. DD. DD. DD. DD. DD. DD. DD. DD. DD. DD. DD. DD. DD. DD. DD. DD. DD. DD. DD. DD. DD. DD DD. DD. DD. DD. DD. DD. DD. DD. DD. DD. DD. DD. DD. DD. DD. DD. DD. DD. DD. DD. DD. DD. DD. DD. DD. DD. DD. DD. DD. DD. DD. DD. DD. DD. DD. DD. DD. DD. DD. DD. DD. DD. DD. DD. DD. DD. DD. DD. DD. DD. DD DD. DD. DD. DD. DD. DD. DD. DD. DD. DD. DD. DD. DD. DD. DD. DD. DD. DD. DD. DD. DD. DD. DD. DD. DD. DD. DD. DD. DD. DD. DD. DD. DD. DD. DD. DD. DD. DD. DD. DD. DD. DD. DD. DD. DD. DD. DD. DD. DD. DD. DD DD. DD. DD. DD. DD. DD. DD. DD. DD. DD. DD. DD. DD. DD. DD. DD. DD. DD. DD. DD. DD. DD. DD. DD. DD. DD. DD. DD. DD. DD. DD. DD. DD. DD. DD. DD. DD. DD. DD. DD. DD. DD. DD. DD. DD. DD. DD. DD. DD. DD. DD DD. DD. DD. DD. DD. DD. DD. DD. DD. DD. DD. DD. DD. DD. DD. DD. DD. DD. DD. DD. DD. DD. DD. DD. DD. DD. DD. DD. DD. DD. DD. DD. DD. DD. DD. DD. DD. DD. DD. DD. DD. DD. DD. DD. DD. DD. DD. DD. DD. DD. DD DD. DD. DD. DD. DD. DD. DD. DD. DD. DD. DD. DD. DD. DD. DD. DD. DD. DD. DD. DD. DD. DD. DD. DD. DD. DD. DD. DD. DD. DD. DD. DD. DD. DD. DD. DD. DD. DD. DD. DD. DD. DD. DD. DD. DD. DD. DD. DD. DD. DD. DD DD. DD. DD. DD. DD. DD. DD. DD. DD. DD. DD. DD. DD. DD. DD. DD. DD. DD. DD. DD. DD. DD. DD. DD. DD. DD. DD. DD. DD. DD. DD. DD. DD. DD. DD. DD. DD. DD. DD. DD. DD. DD. DD. DD. DD. DD. DD. DD. DD. DD. DD DD. DD. DD. DD. DD. DD. DD. DD. DD. DD. DD. DD. DD. DD. DD. DD. DD. DD. DD. DD. DD. DD. DD. DD. DD. DD. DD. DD. DD. DD. DD. DD. DD. DD. DD. DD. DD. DD. DD. DD. DD. DD. DD. DD. DD. DD. DD. DD. DD. DD. DD DD. DD. DD. DD. DD. DD. DD. DD. DD. DD. DD. DD. DD. DD. DD. DD. DD. DD. DD. DD. DD. DD. DD. DD. DD. DD. DD. DD. DD. DD. DD. DD. DD. DD. DD. DD. DD. DD. DD. DD. DD. DD. DD. DD. DD. DD. DD. DD. DD. DD. DD DD. DD. DD. DD. DD. DD. DD. DD. DD. DD. DD. DD. DD. DD. DD. DD. DD. DD. DD. DD. DD. DD. DD. DD. DD. DD. DD. DD. DD. DD. DD. DD. DD. DD. DD. DD. DD. DD. DD. DD. DD. DD. DD. DD. DD. DD. DD. DD. DD. DD. DD DD. DD. DD. DD. DD. DD. DD. DD. DD. DD. DD. DD. DD. DD. DD. DD. DD. DD. DD. DD. DD. DD. DD. DD. DD. DD. DD. DD. DD. DD. DD. DD. DD. DD. DD. DD. DD. DD. DD. DD. DD. DD. DD. DD. DD. DD. DD. DD. DD. DD. DD DD. DD. DD. DD. DD. DD. DD. DD. DD. DD. DD. DD. DD. DD. DD. DD. DD. DD. DD. DD. DD. DD. DD. DD. DD. DD. DD. DD. DD. DD. DD. DD. DD. DD. DD. DD. DD. DD. DD. DD. DD. DD. DD. DD. DD. DD. DD. DD. DD. DD. DD DD. DD. DD. DD. DD. DD. DD. DD. DD. DD. DD. DD. DD. DD. DD. DD. DD. DD. DD. DD. DD. DD. DD. DD. DD. DD. DD. DD. DD. DD. DD. DD. DD. DD. DD. DD. DD. DD. DD. DD. DD. DD. DD. DD. DD. DD. DD. DD. DD. DD. DD DD. DD. DD. DD. DD. DD. DD. DD. DD. DD. DD. DD. DD. DD. DD. DD. DD. DD. DD. DD. DD. DD. DD. DD. DD. DD. DD. DD. DD. DD. DD. DD. DD. DD. DD. DD. DD. DD. DD. DD. DD. DD. DD. DD. DD. DD. DD. DD. DD. DD. DD DD. DD. DD. DD. DD. DD. DD. DD. DD. DD. DD. DD. DD. DD. DD. DD. DD. DD. DD. DD. DD. DD. DD. DD. DD. DD. DD. DD. DD. DD. DD. DD. DD. DD. DD. DD. DD. DD. DD. DD. DD. DD. DD. DD. DD. DD. DD. DD. DD. DD. DD DD. DD. DD. DD. DD. DD. DD. DD. DD. DD. DD. DD. DD. DD. DD. DD. DD. DD. DD. DD. DD. DD. DD. DD. DD. DD. DD. DD. DD. DD. DD. DD. DD. DD. DD. DD. DD. DD. DD. DD. DD. DD. DD. DD. DD. DD. DD. DD. DD. DD. DD DD. DD. DD. DD. DD. DD. DD. DD. DD. DD. DD. DD. DD. DD. DD. DD. DD. DD. DD. DD. DD. DD. DD. DD. DD. DD. DD. DD. DD. DD. DD. DD. DD. DD. DD. DD. DD. DD. DD. DD. DD. DD. DD. DD. DD. DD. DD. DD. DD. DD. DD DD. DD. DD. DD. DD. DD. DD. DD. DD. DD. DD. DD. DD. DD. DD. DD. DD. DD. DD. DD. DD. DD. DD. DD. DD. DD. DD. DD. DD. DD. DD. DD. DD. DD. DD. DD. DD. DD. DD. DD. DD. DD. DD. DD. DD. DD. DD. DD. DD. DD. DD DD. DD. DD. DD. DD. DD. DD. DD. DD. DD. DD. DD. DD. DD. DD. DD. DD. DD. DD. DD. DD. DD. DD. DD. DD. DD. DD. DD. DD. DD. DD. DD. DD. DD. DD. DD. DD. DD. DD. DD. DD. DD. DD. DD. DD. DD. DD. DD. DD. DD. DD DD. DD. DD. DD. DD. DD. DD. DD. DD. DD. DD. DD. DD. DD. DD. DD. DD. DD. DD. DD. DD. DD. DD. DD. DD. DD. DD. DD. DD. DD. DD. DD. DD. DD. DD. DD. DD. DD. DD. DD. DD. DD. DD. DD. DD. DD. DD. DD. DD. DD. DD DD. DD. DD. DD. DD. DD. DD. DD. DD. DD. DD. DD. DD. DD. DD. DD. DD. DD. DD. DD. DD. DD. DD. DD. DD. DD. DD. DD. DD. DD. DD. DD. DD. DD. DD. DD. DD. DD. DD. DD. DD. DD. DD. DD. DD. DD. DD. DD. DD. DD. DD DD. DD. DD. DD. DD. DD. DD. DD. DD. DD. DD. DD. DD. DD. DD. DD. DD. DD. DD. DD. DD. DD. DD. DD. DD. DD. DD. DD. DD. DD. DD. DD. DD. DD. DD. DD. DD. DD. DD. DD. DD. DD. DD. DD. DD. DD. DD. DD. DD. DD. DD DD. DD. DD. DD. DD. DD. DD. DD. DD. DD. DD. DD. DD. DD. DD. DD. DD. DD. DD. DD. DD. DD. DD. DD. DD. DD. DD. DD. DD. DD. DD. DD. DD. DD. DD. DD. DD. DD. DD. DD. DD. DD. DD. DD. DD. DD. DD. DD. DD. DD. DD DD. DD. DD. DD. DD. DD. DD. DD. DD. DD. DD. DD. DD. DD. DD. DD. DD. DD. DD. DD. DD. DD. DD. DD. DD. DD. DD. DD. DD. DD. DD. DD. DD. DD. DD. DD. DD. DD. DD. DD. DD. DD. DD. DD. DD. DD. DD. DD. DD. DD. DD DD. DD. DD. DD. DD. DD. DD. DD. DD. DD. DD. DD. DD. DD. DD. DD. DD. DD. DD. DD. DD. DD. DD. DD. DD. DD. DD. DD. DD. DD. DD. DD. DD. DD. DD. DD. DD. DD. DD. DD. DD. DD. DD. DD. DD. DD. DD. DD. DD. DD. DD DD. DD. DD. DD. DD. DD. DD. DD. DD. DD. DD. DD. DD. DD. DD. DD. DD. DD. DD. DD. DD. DD. DD. DD. DD. DD. DD. DD. DD. DD. DD. DD. DD. DD. DD. DD. DD. DD. DD. DD. DD. DD. DD. DD. DD. DD. DD. DD. DD. DD. DD DD. DD. DD. DD. DD. DD. DD. DD. DD. DD. DD. DD. DD. DD. DD. DD. DD. DD. DD. DD. DD. DD. DD. DD. DD. DD. DD. DD. DD. DD. DD. DD. DD. DD. DD. DD. DD. DD. DD. DD. DD. DD. DD. DD. DD. DD. DD. DD. DD. DD. DD DD. DD. DD. DD. DD. DD. DD. DD. DD. DD. DD. DD. DD. DD. DD. DD. DD. DD. DD. DD. DD. DD. DD. DD. DD. DD. DD. DD. DD. DD. DD. DD. DD. DD. DD. DD. DD. DD. DD. DD. DD. DD. DD. DD. DD. DD. DD. DD. DD. DD. DD DD. DD. DD. DD. DD. DD. DD. DD. DD. DD. DD. DD. DD. DD. DD. DD. DD. DD. DD. DD. DD. DD. DD. DD. DD. DD. DD. DD. DD. DD. DD. DD. DD. DD. DD. DD. DD. DD. DD. DD. DD. DD. DD. DD. DD. DD. DD. DD. DD. DD. DD DD. DD. DD. DD. DD. DD. DD. DD. DD. DD. DD. DD. DD. DD. DD. DD. DD. DD. DD. DD. DD. DD. DD. DD. DD. DD. DD. DD. DD. DD. DD. DD. DD. DD. DD. DD. DD. DD. DD. DD. DD. DD. DD. DD. DD. DD. DD. DD. DD. DD. DD DD. DD. DD. DD. DD. DD. DD. DD. DD. DD. DD. DD. DD. DD. DD. DD. DD. DD. DD. DD. DD. DD. DD. DD. DD. DD. DD. DD. DD. DD. DD. DD. DD. DD. DD. DD. DD. DD. DD. DD. DD. DD. DD. DD. DD. DD. DD. DD. DD. DD. DD DD. DD. DD. DD. DD. DD. DD. DD. DD. DD. DD. DD. DD. DD. DD. DD. DD. DD. DD. DD. DD. DD. DD. DD. DD. DD. DD. DD. DD. DD. DD. DD. DD. DD. DD. DD. DD. DD. DD. DD. DD. DD. DD. DD. DD. DD. DD. DD. DD. DD. DD DD. DD. DD. DD. DD. DD. DD. DD. DD. DD. DD. DD. DD. DD. DD. DD. DD. DD. DD. DD. DD. DD. DD. DD. DD. DD. DD. DD. DD. DD. DD. DD. DD. DD. DD. DD. DD. DD. DD. DD. DD. DD. DD. DD. DD. DD. DD. DD. DD. DD. DD DD. DD. DD. DD. DD. DD. DD. DD. DD. DD. DD. DD. DD. DD. DD. DD. DD. DD. DD. DD. DD. DD. DD. DD. DD. DD. DD. DD. DD. DD. DD. DD. DD. DD. DD. DD. DD. DD. DD. DD. DD. DD. DD. DD. DD. DD. DD. DD. DD. DD. DD DD. DD. DD. DD. DD. DD. DD. DD. DD. DD. DD. DD. DD. DD. DD. DD. DD. DD. DD. DD. DD. DD. DD. DD. DD. DD. DD. DD. DD. DD. DD. DD. DD. DD. DD. DD. DD. DD. DD. DD. DD. DD. DD. DD. DD. DD. DD. DD. DD. DD. DD DD. DD. DD. DD. DD. DD. DD. DD. DD. DD. DD. DD. DD. DD. DD. DD. DD. DD. DD. DD. DD. DD. DD. DD. DD. DD. DD. DD. DD. DD. DD. DD. DD. DD. DD. DD. DD. DD. DD. DD. DD. DD. DD. DD. DD. DD. DD. DD. DD. DD. DD DD. DD. DD. DD. DD. DD. DD. DD. DD. DD. DD. DD. DD. DD. DD. DD. DD. DD. DD. DD. DD. DD. DD. DD. DD. DD. DD. DD. DD. DD. DD. DD. DD. DD. DD. DD. DD. DD. DD. DD. DD. DD. DD. DD. DD. DD. DD. DD. DD. DD. DD DD. DD. DD. DD. DD. DD. DD. DD. DD. DD. DD. DD. DD. DD. DD. DD. DD. DD. DD. DD. DD. DD. DD. DD. DD. DD. DD. DD. DD. DD. DD. DD. DD. DD. DD. DD. DD. DD. DD. DD. DD. DD. DD. DD. DD. DD. DD. DD. DD. DD. DD DD. DD. DD. DD. DD. DD. DD. DD. DD. DD. DD. DD. DD. DD. DD. DD. DD. DD. DD. DD. DD. DD. DD. DD. DD. DD. DD. DD. DD. DD. DD. DD. DD. DD. DD. DD. DD. DD. DD. DD. DD. DD. DD. DD. DD. DD. DD. DD. DD. DD. DD DD

“初始测试井”是指根据本协议为测试圣安德烈斯主矿层而钻探的第一口井。

 

EE。

“知悉”是指一个人(包括一方)将被视为知悉某一事实或其他事项,如果该人或该人的高级职员或经理实际上知悉该事实或事项,而没有查询的义务。

 

FF。

“租赁”是指土地所有人授权在该土地所有人全部或一方拥有的土地上勘探和生产石油和/或天然气的合同权利或契约。

 

GG。

“租赁节省操作”应具有第4.5节中所述的含义。

 

HH。

“租赁权NRI”是指一方在租赁中的工作权益(或该租赁中的特定深度或地层(如适用)),在该租赁的所有责任生效后,该一方在该租赁中生产、保存和出售或分配给该租赁的所有碳氢化合物(或适用的特定深度或地层)中的权益;但如果一方在任何租赁中的工作权益在该租赁的任何部分或深度方面存在差异,则应对该部分或深度进行单独计算。

 

 

 

 

 

ii.

“New Mexico Renewal Leases”应具有第4.8节规定的含义

 

JJ. JJ. JJ. JJ. JJ. JJ. JJ. JJ. JJ. JJ. JJ. JJ. JJ. JJ. JJ. JJ. JJ. JJ. JJ. JJ. JJ. JJ. JJ. JJ. JJ. JJ. J JJ. JJ. JJ. JJ. JJ. JJ. JJ. JJ. JJ. JJ. JJ. JJ. JJ. JJ. JJ. JJ. JJ. JJ. JJ. JJ. JJ. JJ. JJ. JJ. JJ. JJ. J JJ. JJ. JJ. JJ. JJ. JJ. JJ. JJ. JJ. JJ. JJ. JJ. JJ. JJ. JJ. JJ. JJ. JJ. JJ. JJ. JJ. JJ. JJ. JJ. JJ. JJ. J JJ. JJ. JJ. JJ. JJ. JJ. JJ. JJ. JJ. JJ. JJ. JJ. JJ. JJ. JJ. JJ. JJ. JJ. JJ. JJ. JJ. JJ. JJ. JJ. JJ. JJ. J JJ. JJ. JJ. JJ. JJ. JJ. JJ. JJ. JJ. JJ. JJ. JJ. JJ. JJ. JJ. JJ. JJ. JJ. JJ. JJ. JJ. JJ. JJ. JJ. JJ. JJ. J JJ. JJ. JJ. JJ. JJ. JJ. JJ. JJ. JJ. JJ. JJ. JJ. JJ. JJ. JJ. JJ. JJ. JJ. JJ. JJ. JJ. JJ. JJ. JJ. JJ. JJ. J JJ. JJ. JJ. JJ. JJ. JJ. JJ. JJ. JJ. JJ. JJ. JJ. JJ. JJ. JJ. JJ. JJ. JJ. JJ. JJ. JJ. JJ. JJ. JJ. JJ. JJ. J JJ. JJ. JJ. JJ. JJ. JJ. JJ. JJ. JJ. JJ. JJ. JJ. JJ. JJ. JJ. JJ. JJ. JJ. JJ. JJ. JJ. JJ. JJ. JJ. JJ. JJ. J JJ. JJ. JJ. JJ. JJ. JJ. JJ. JJ. JJ. JJ. JJ. JJ. JJ. JJ. JJ. JJ. JJ. JJ. JJ. JJ. JJ. JJ. JJ. JJ. JJ. JJ. J JJ. JJ. JJ. JJ. JJ. JJ. JJ. JJ. JJ. JJ. JJ. JJ. JJ. JJ. JJ. JJ. JJ. JJ. JJ. JJ. JJ. JJ. JJ. JJ. JJ. JJ. J JJ. JJ. JJ. JJ. JJ. JJ. JJ. JJ. JJ. JJ. JJ. JJ. JJ. JJ. JJ. JJ. JJ. JJ. JJ. JJ. JJ. JJ. JJ. JJ. JJ. JJ. J JJ. JJ. JJ. JJ. JJ. JJ. JJ. JJ. JJ. JJ. JJ. JJ. JJ. JJ. JJ. JJ. JJ. JJ. JJ. JJ. JJ. JJ. JJ. JJ. JJ. JJ. J JJ. JJ. JJ. JJ. JJ. JJ. JJ. JJ. JJ. JJ. JJ. JJ. JJ. JJ. JJ. JJ. JJ. JJ. JJ. JJ. JJ. JJ. JJ. JJ. JJ. JJ. J JJ. JJ. JJ. JJ. JJ. JJ. JJ. JJ. JJ. JJ. JJ. JJ. JJ. JJ. JJ. JJ. JJ. JJ. JJ. JJ. JJ. JJ. JJ. JJ. JJ. JJ. J JJ. JJ. JJ. JJ. JJ. JJ. JJ. JJ. JJ. JJ. JJ. JJ. JJ. JJ. JJ. JJ. JJ. JJ. JJ. JJ. JJ. JJ. JJ. JJ. JJ. JJ. J JJ. JJ. JJ. JJ. JJ. JJ. JJ. JJ. JJ. JJ. JJ. JJ. JJ. JJ. JJ. JJ. JJ. JJ. JJ. JJ. JJ. JJ. JJ. JJ. JJ. JJ. J JJ. JJ. JJ. JJ. JJ. JJ. JJ. JJ. JJ. JJ. JJ. JJ. JJ. JJ. JJ. JJ. JJ. JJ. JJ. JJ. JJ. JJ. JJ. JJ. JJ. JJ. J JJ. JJ. JJ. JJ. JJ. JJ. JJ. JJ. JJ. JJ. JJ. JJ. JJ. JJ. JJ. JJ. JJ. JJ. JJ. JJ. JJ. JJ. JJ. JJ. JJ. JJ. J JJ. JJ. JJ. JJ. JJ. JJ. JJ. JJ. JJ. JJ. JJ. JJ. JJ. JJ. JJ. JJ. JJ. JJ. JJ. JJ. JJ. JJ. JJ. JJ. JJ. JJ. J JJ. JJ. JJ. JJ. JJ. JJ. JJ. JJ. JJ. JJ. JJ. JJ. JJ. JJ. JJ. JJ. JJ. JJ. JJ. JJ. JJ. JJ. JJ. JJ. JJ. JJ. J JJ. JJ. JJ. JJ. JJ. JJ. JJ. JJ. JJ. JJ. JJ. JJ. JJ. JJ. JJ. JJ. JJ. JJ. JJ. JJ. JJ. JJ. JJ. JJ. JJ. JJ. J JJ. JJ. JJ. JJ. JJ. JJ. JJ. JJ. JJ. JJ. JJ. JJ. JJ. JJ. JJ. JJ. JJ. JJ. JJ. JJ. JJ. JJ. JJ. JJ. JJ. JJ. J JJ. JJ. JJ. JJ. JJ. JJ. JJ. JJ. JJ. JJ. JJ. JJ. JJ. JJ. JJ. JJ. JJ. JJ. JJ. JJ. JJ. JJ. JJ. JJ. JJ. JJ. J JJ. JJ. JJ. JJ. JJ. JJ. JJ. JJ. JJ. JJ. JJ. JJ. JJ. JJ. JJ. JJ. JJ. JJ. JJ. JJ. JJ. JJ. JJ. JJ. JJ. JJ. J JJ. JJ. JJ. JJ. JJ. JJ. JJ. JJ. JJ. JJ. JJ. JJ. JJ. JJ. JJ. JJ. JJ. JJ. JJ. JJ. JJ. JJ. JJ. JJ. JJ. JJ. J JJ. JJ. JJ. JJ. JJ. JJ. JJ. JJ. JJ. JJ. JJ. JJ. JJ. JJ. JJ. JJ. JJ. JJ. JJ. JJ. JJ. JJ. JJ. JJ. JJ. JJ. J J

“新墨西哥州续约期”应具有第4.8节中规定的含义

 

KK。

“非收购方”应具有第11.1节中规定的含义。

 

LL。

“油”和/或“气”是指石油、天然气、套管头气、凝析油、其组成产品和/或所有其他液态或气态碳氢化合物以及由此产生的其他可销售物质,除非本协议明确说明了限制该术语的包容性的意图。

 

毫米。

“运营协议”或“OA”应具有第7.1节中规定的含义。

 

NN. NN. NN. NN. NN. NN. NN. NN. NN. NN. NN. NN. NN. NN. NN. NN. NN. N NN. NN. NN. NN. NN. NN. NN. NN. NN. NN. NN. NN. NN. NN. NN. NN. NN. N NN. NN. NN. NN. NN. NN. NN. NN. NN. NN. NN. NN. NN. NN. NN. NN. NN. N NN. NN. NN. NN. NN. NN. NN. NN. NN. NN. NN. NN. NN. NN. NN. NN. NN. N NN. NN. NN. NN. NN. NN. NN. NN. NN. NN. NN. NN. NN. NN. NN. NN. NN. N NN. NN. NN. NN. NN. NN. NN. NN. NN. NN. NN. NN. NN. NN. NN. NN. NN. N NN. NN. NN. NN. NN. NN. NN. NN. NN. NN. NN. NN. NN. NN. NN. NN. NN. N NN. NN. NN. NN. NN. NN. NN. NN. NN. NN. NN. NN. NN. NN. NN. NN. NN. N NN. NN. NN. NN. NN. NN. NN. NN. NN. NN. NN. NN. NN. NN. NN. NN. NN. N NN. NN. NN. NN. NN. NN. NN. NN. NN. NN. NN. NN. NN. NN. NN. NN. NN. N NN. NN. NN. NN. NN. NN. NN. NN. NN. NN. NN. NN. NN. NN. NN. NN. NN. N NN. NN. NN. NN. NN. NN. NN. NN. NN. NN. NN. NN. NN. NN. NN. NN. NN. N NN. NN. NN. NN. NN. NN. NN. NN. NN. NN. NN. NN. NN. NN. NN. NN. NN. N NN. NN. NN. NN. NN. NN. NN. NN. NN. NN. NN. NN. NN. NN. NN. NN. NN. N NN. NN. NN. NN. NN. NN. NN. NN. NN. NN. NN. NN. NN. NN. NN. NN. NN. N NN. NN. NN. NN. NN. NN. NN. NN. NN. NN. NN. NN. NN. NN. NN. NN. NN. N NN. NN. NN. NN. NN. NN. NN. NN. NN. NN. NN. NN. NN. NN. NN. NN. NN. N N

“作业”或“作业”应包括但不限于与本协定所设想的勘探、开发、生产、运输、储存、现场加工或销售碳氢化合物有关的所有作业。

 

哦。

“操作员”的含义与第7.1节中所述的相同。

 

PP。

“参与方”是指选择或被视为已选择参与运营商根据本协议提出的任何提案的任何一方,“非参与方”是指选择或被视为已选择不参与运营商根据本协议提出的任何提案的任何一方。

 

QQ。

“PED ORRI”应具有第十四条规定的含义。

 

RR. RR. RR. RR. RR. RR. RR. RR. RR. RR. RR. RR. RR. RR. RR. RR. RR. R RR. RR. RR. RR. RR. RR. RR. RR. RR. RR. RR. RR. RR. RR. RR. RR. RR. R RR. RR. RR. RR. RR. RR. RR. RR. RR. RR. RR. RR. RR. RR. RR. RR. RR. R RR. RR. RR. RR. RR. RR. RR. RR. RR. RR. RR. RR. RR. RR. RR. RR. RR. R RR. RR. RR. RR. RR. RR. RR. RR. RR. RR. RR. RR. RR. RR. RR. RR. RR. R RR. RR. RR. RR. RR. RR. RR. RR. RR. RR. RR. RR. RR. RR. RR. RR. RR. R RR. RR. RR. RR. RR. RR. RR. RR. RR. RR. RR. RR. RR. RR. RR. RR. RR. R RR. RR. RR. RR. RR. RR. RR. RR. RR. RR. RR. RR. RR. RR. RR. RR. RR. R RR. RR. RR. RR. RR. RR. RR. RR. RR. RR. RR. RR. RR. RR. RR. RR. RR. R RR. RR. RR. RR. RR. RR. RR. RR. RR. RR. RR. RR. RR. RR. RR. RR. RR. R RR. RR. RR. RR. RR. RR. RR. RR. RR. RR. RR. RR. RR. RR. RR. RR. RR. R RR. RR. RR. RR. RR. RR. RR. RR. RR. RR. RR. RR. RR. RR. RR. RR. RR. R RR. RR. RR. RR. RR. RR. RR. RR. RR. RR. RR. RR. RR. RR. RR. RR. RR. R RR. RR. RR. RR. RR. RR. RR. RR. RR. RR. RR. RR. RR. RR. RR. RR. RR. R RR. RR. RR. RR. RR. RR. RR. RR. RR. RR. RR. RR. RR. RR. RR. RR. RR. R RR. RR. RR. RR. RR. RR. RR. RR. RR. RR. RR. RR. RR. RR. RR. RR. RR. R RR. RR. RR. RR. RR. RR. RR. RR. RR. RR. RR. RR. RR. RR. RR. RR. RR. R R

“许可产权负担”是指现有租赁的条款和条件;自生效之日起或在附件 B上列出的现有租赁的连锁所有权中的任何负担、留置权、记录权利或利益;现有租赁所有权链条中的所有合同和记录协议或在附件 G上披露的所有合同和协议;附件 G上列出的所有债权或其他事项;对尚未到期和应付的税款的留置权;在最终意向放弃或解除任何现有租赁(尚未转让)时重新转让的常规权利;地役权,现有租约中的条件、契诺、限制、役务、许可证、路权、地面租约及其他权利,以供经营、设施、道路、小巷、公路、铁路、管道、传输线、分配线、输电线、电话线、移走木材、放牧、伐木作业、运河、沟渠、水库及其他类似用途,或供共同或共同使用不动产、路权、设施及设备,而在每一情况下,这些并不会对任何现有租约的经营或使用造成重大损害;及所有其他产权负担、文书、许可证、义务,个别或合计影响现有租约的缺陷及不合规定之处(i)不会对任何现有租约的运作或使用造成实质上的干扰,(ii)将任何现有租约中的净英亩减至少于附件 B所列深度的净英亩数,或(iii)任何现有租约的负担超过附件 B所列负担。

 

党卫军。

“人”是指单个公司、合伙企业、信托、产业、非法人组织、协会或法人实体。

 

TT。

“项目”或“项目地区”是指附件“A”上列出的土地。

 

UU。

“合格井”是指列于附件“C”上的井,或由缔约方另行商定的井。

 

VV。

“San Andres Formation”应具有第4.2节所述的含义

 

WW。

“San Andres Main Pay Formation”应具有第八条规定的含义。

 

XX。

“后续开发区块”应具有第4.2节中规定的含义。

 

YY。

“后续井”是指根据本协议钻探的任何非合格井。

 

ZZ。

“税”或“税”是指任何政府机构征收的任何税种、评估和其他政府收费,包括收入、利润、总收入、印花、最低替代税或附加税、从价税、不动产、个人财产、转让、不动产转让、增值、销售、使用、关税、关税、股本、特许经营权、消费税、预扣税、遣散费、生产税、估计税或其他税,包括任何利息、罚款或附加税。

 

 

 

 

 

AAA。

“井筒”是指在地下钻出的用于开采石油和/或天然气的孔。

 

BBB。

就合格井(或该合格井中的特定深度或地层,视情况而定)而言,“工作权益”是指在该合格井或租赁(或适用的深度或地层)中的权益,该权益负有在该合格井或租赁上承担和支付维护、开发和运营成本和费用的义务,但不考虑任何负担的影响。

 

CCC。

“工作权益份额”或“工作权益份额”是指一方或多方在项目区的成本承担和所有权权益,包括第5.1节中规定的现有租约、合格油井、后续油井和AMI。

 

第二条。

展览

 

第2.1节展品。下列展品附于本协定,并作为协定的一部分:

 

EXHIBIT“A”–项目地区土地说明

 

EXHIBIT“B”–现有租约一览表

 

EXHIBIT“C”-合格井名单

 

EXHIBIT“D-1”–石油及天然气租赁转让表格

 

EXHIBIT“D-2”-井筒工作权益转让表格

 

EXHIBIT“E”–经营协议的格式(包括展品)

 

EXHIBIT“F”–协议备忘录

 

EXHIBIT“G”–许可产权负担

 

第三条。

土地和发展区块

 

第3.1节开发区块。项目区域应由下列单独的“开发区块”组成,其中应包括附件“C”中列出的每个开发Block的合格井:

 

开发Block # 1:

第5区,镇区8南,33区东,(W2;W2 E2,是480总英亩或更少)

 

开发Block # 2:

第25区,镇区7南,33区东,(全部,均为640.00总英亩或更少)

第30区,镇区7南,山脉34东,(全部,为505.48毛英亩或更少)

 

发展Block # 3:

第18区,镇区7南,Range 33东,(全部,499.16毛英亩或更少)

第19区,镇区7南,Range 33东,(全部,均为502.36毛英亩或更少)

 

 

 

 

开发Block # 4:

第31区,镇区7南,33区东,(全部,多或少为640.00总英亩)

第6区,镇区8南,Range 33东,(全部,多或少为640.00毛英亩)

 

开发Block # 5:

第1区,镇区8南,Range 32东,(全部,均为640.00总英亩或更少)

第2区,镇区8南,Range 32东,(全部,均为640.00总英亩或更少)

 

开发Block # 6:

第25区,镇区7南,Range 32东,(全部,多或少为640.00毛英亩)

第36区,镇区7南,Range 32东,(全部,多或少为640.00毛英亩)

 

发展Block 7:

第35区,镇区7南,Range 32东,(全部,多或少为640.00毛英亩)

第3区,镇区8南,Range 32东,(全部,多或少为640.00毛英亩)

 

开发Block # 8:

第20区,镇区7南,Range 34东,(全部,多或少为640.00毛英亩)

第29区,镇区7南,Range 34东,(全部,均为640.00毛英亩或更少)

 

开发Block # 9:

第5区,镇区7南,Range 34东,(全部,为640.00总英亩或更少)

第8区,镇区7南,Range 34东,(全部,多或少为640.00毛英亩)

第17区,镇区7南,Range 34东,(全部,多或少为640.00毛英亩)

 

开发Block # 10:

第2区,镇区8南,东岭33,(W/2的E/2和E/2,是480.00总英亩或更少)

第3区,镇区8 South,Range 33 East,(E/2 of the W/2,is 480.00 cross acres more or less)

第4区,镇区8南,东岭33,(E/2的E/2,是160.00总英亩或更少)

第5区,镇区8南,东岭33,(E/2的E/2,是160.00总英亩或更少)

 

开发Block # 11:

第35区,镇区7 South,Range 33 East,(W/2 W/2和E/2,即480.00毛英亩或更少)

第36区,镇区7南,33区东,(E/2 W/2和E/2,即480.00毛英亩或更少)

 

开发Block # 12:

第33区,镇区7南,33范围东,(全部,为640.00总英亩或更少)

第34区,镇区7 South,Range 34 East,(W/2和W/2 E/2,即480.00毛英亩或更少)

 

仅限于从地球表面到圣安德烈斯地层底部的深度

 

(为说明目的,开发区块列于附件“A”的平台A-2)

 

第四条。

租赁和结算

 

第4.1节项目领域。项目区域应包括项目区域内的石油和天然气租赁,如附件“A”所示,而租赁在附件“B”上标识(“现有租赁”)。现有租赁面积约为15,000,588(15,588)总租赁面积和净租赁面积。

 

 

 

 

第4.2节初始开发项目阻止购买价格。在交割时,EPM将向PED支付现金对价,金额为36.5万美元(365733.00美元)(“初始购买价格”),以换取现有租约中50%(50%)的工作权益份额,该权益仅限于初始开发区块的土地,定义如下,此外,这种分配应仅涵盖从地球表面到“圣安德烈斯组”底部的深度,该深度应被定义为在大西洋里奇菲尔德作业的State BF # 11井(又名Haley Chaveroo SA Unit # 40井)的伽马射线测井(API # 30-005-20792)上发现的3520 MD和4849’MD深度之间的地层等值,位于新墨西哥州查韦斯县东段33区8号镇南3段。开发Block # 1和开发Block # 2以下统称为“初始开发区块”,其余开发区块应统称为“后续开发区块”。在交割时,PED应通过执行和交付本协议所附的石油和天然气租赁转让,将现有租赁的百分之五十(50%)的工作权益份额转让给EPM,作为初始开发区块所载现有租赁的附件“D-1”。除第4.5条另有规定外,所有被排除在外的油井在任何转让中均应列为被排除在外的资产。

 

第4.3节购置额外的开发区块。在初始开发井完成后,EPM将有权(但没有义务)获得每个后续开发区块百分之五十(50%)的工作权益份额,但须遵守第5.4节规定的条款和条件,包括执行和交付每个后续开发Block的转让。

 

第4.4节特许权使用费负担。在项目区域内EPM取得其工作权益份额的每一份现有租赁和其他租赁中,EPM将取得该工作权益份额,但须按其在项目区域内现有租赁和此类其他租赁所在的县和/或新墨西哥州土地局正式公共记录中截至生效日期已备案的所有负担中所占比例份额为限。EPM同意受项目地区现有租约和其他租约的所有条款和规定的约束,在此情况下,EPM在PED受约束的范围内获得工作权益份额。

 

第4.5节节省租赁业务。任何非参与方参与一项旨在延长未以其他方式维持的租期的行动(“节省租期行动”),须丧失任何非参与方在该行动所持有的该部分租期内的权益,而任何受影响的发展Block连同非参与方在受影响的发展Block及合格井的工作权益份额,均须作相应调整。在任何租赁节余操作中,非参与方应将其各自在该租赁节余操作所延长的租赁部分中的工作权益份额以转让形式作为附件“D-1”转让给参与方。如果一方选择仅以其工作权益的一部分参与任何租赁节省操作,则该方应仅分配其选择不参与的工作权益的那部分。根据本条第4.5条作出的任何转让,须自节省租约操作完成后的翌日起生效,并须获转让而免受出租人使用费以外的任何负担,以及自生效日期起已存在的任何其他已知负担。在项目地区任何钻井及间隔单元内钻出的第一口井,就该钻井及间隔单元内的任何租赁权益而言,须视为一项节省租赁的作业。此外,如果对持有任何部分现有租约的排除井进行租约节省操作,那么PED可以选择并全权酌情向EPM提出租约节省操作,就好像EPM是上述油井的百分之五十(50%)的工作权益所有者一样。EPM在收到PED对任何此类排除井的提议后,将有三十(30)天的时间选择(a)以本协议所附附件“D-2”的转让形式收购上述排除井的50%(50%)工作权益,并参与将排除井恢复生产的操作,或(b)在必要时放弃收购或重新分配给PED的权利,任何现有租约中任何部分的权益,如由排除井的储租作业所持有,而非参与方在受影响的开发Block和合格井的工作权益份额须作相应调整,或(c)参与该作业以使排除井恢复生产,但EPM对该排除井不承担任何封堵、放弃或恢复责任;但如排除井的储租作业每失败一次,EPM同意向PED支付一笔数额相当于如果EPM参与了这种排除井的堵塞、废弃或恢复费用的EPM的工作权益份额的数额,该数额不超过每个排除井向EPM支付的净额四万美元(40,000.00美元)。

 

 

 

 

第4.6节按比例减少。如果PED在任何现有租赁或项目地区的任何其他租赁中拥有不足百分之百(100%)的工作权益份额,EPM分配的工作权益份额应按PED在上述租赁中能够交付的权益比例减少,以便PED和EPM各自拥有该较低工作权益份额的二分之一(1/2)。

 

第4.7节结束。“交割”应与双方全面执行本协议和交付初始开发区块的工作权益转让同时进行。任何其后的发展区块的关闭须按第5.4条的规定进行。

 

第4.8节国家租约的续期和租赁。PED可自行决定,寻求获得涵盖以下区域的租赁(“新墨西哥续租租赁”)。如果PED在生效日期后两(2)年内(“新墨西哥续租期”)获得任何新墨西哥续租,就本协议而言,所获得的租约应成为现有租约,如果EPM根据第5.4节获得,EPM应就其在这些租约中的工作权益份额向PED支付土地购买价款。除根据第四条和第五条的条款和条件外,EPM将被限制在新墨西哥租约续约期内收购新墨西哥租约的任何权益。在新墨西哥租约续约期届满时,任何一方对下述土地内权益的任何收购将被视为AMI收购,如果在AMI期限内并按此处理。

 

TWN 8号南、Range 32号东

第2部分----160英亩为E/2 E/2

Section 1 – 560 acres are the S/2,N/2 N/2,SW NE,SW NW

 

TWN 7号线南、32号线东

第31节----640英亩是该节的全部内容

第36段-560英亩为N/2,SE,W/2 SW

 

第4.9节遵约或AFE选择。除第4.5节所规定的节省租赁操作外,与项目区域内排除油井的封堵、废弃和恢复有关的所有费用和责任仍由石油和天然气部负责,不应转移给EPM。尽管有上述规定,EPM同意按照PED(或其附属机构)可能与新墨西哥州签订的涵盖部分或全部排除油井的遵约协议的谈判条款,向新墨西哥州支付其按比例分摊的份额(不超过每桶净销售的石油2.00美元)。在没有合规协议的情况下,EPM同意向PED支付高达10万美元的封堵、废弃和恢复费用,上述金额包含在AFE中。

 

第五条。

参与

 

第5.1节初始开发区块。在本协议结束时,在遵守本协议的条款、条件和规定的情况下,PED和EPM应按下列百分比各自拥有初始开发区块内现有租约的工作权益份额:

 

 

 

 

项目领域的工作兴趣份额

PEDEVCO公司*

 

50.00%

Evolution Petroleum Corporation

 

50.00%

 

100.00%

*由PED的附属公司持有

第5.2节初始开发井。根据本协定第七条规定的《经营协定》,各缔约方将被要求按比例参与下述“初始开发井”的工作权益份额:

 

 

i.

State 502H Well:Section 5,TWN 8 South,Range East

 

 

SHL(SE SW/SW SE)

FTP(800’FSL & 1,320 FWL)

LTP(100’FNL & 1320 FWL)

 

 

 

 

ii.

State 503H Well:Section 5,TWN 8 South,Range East

 

 

SHL(SE SW/SW SE)

FTP(800’FSL & 2,649 FWL)

LTP(100’FNL & 2,657 FWL)

 

 

 

 

iii.

State 504H Well:Section 5,TWN 8 South,Range East

 

 

SHL(SE SW/SW SE)

FTP(800’FSL & 1,320 FWL)

LTP(100’FNL & 1320 FWL)

 

第5.3节合格井。每个开发Block的合格井列于附件“C”上。

 

第5.4节后续开发区块和后续油井。在完成初始开发区块的所有合格井后,EPM应获得权利,但不是义务,获得其在开发区块# 3的工作权益份额,条件是EPM是参与方,并已全额资助其在初始开发区块的所有合格井的工作权益份额。此后,只要EPM是开发Block # 3的参与方,并已为其在该区块所有合格井中的工作权益份额提供了全部资金,EPM就有权(但没有义务)获得其在开发Block # 4中的工作权益份额,此后,只要EPM是开发Block # 4的参与方,并已为其在该区块所有合格井中的工作权益份额提供了全部资金,EPM就有权(但没有义务)获得其在开发Block # 5中的工作权益份额,以此类推,直至EPM获得其在所有后续开发区块的工作权益份额,届时本协议将终止,项目区域将受运营协议管辖。在符合第6.2节规定的程序的情况下(其中应包括根据PED纠正任何产权缺陷的时间延长EPM付款的时间,这种延长不超过九十(90)天),EPM自每个开发Block的最后一口合格井完工之日起有一百(100)天的时间,但自该开发Block中至少一口合格井首次销售之日起已过九十(90)天,向PED支付一笔款项,数额相当于其在该适用的开发Block中净英亩的工作权益份额乘以收购价格。EPM可在开发Block的最后一口合格井完成之日起一百(100)天内,通过向PED提交付款来获得其在剩余开发区块的工作权益份额(加上根据PED为纠正第6.2节规定的所有权缺陷的时间而进行的任何延期,此种延期不超过九十(90)天),但自上一个开发Block的至少一口合格井首次销售之日起九十(90)天后,PED应执行并交付该开发Block的转让。如果EPM未能及时提交任何后续开发Block的付款,而此种失败发生在向EPM发出十五(15)个工作日的书面通知之后,EPM对该后续开发Block或其尚未获得权益的任何及所有剩余后续开发区块内的租赁和土地将没有额外的权利,本协议应终止。本协议终止后,根据AMI获得的活动区块和任何面积将受运营协议管辖。为免生疑问,任何一方均可在活动Block提出合格井。尽管有上述规定,EPM仍应被视为已全额资助其工作权益份额的参与方,并有资格参与下一个后续开发Block,前提是其已(i)资助其在一个活跃Block内的合格油井的所有工作权益份额,不包括其可能参与的PED的任何额外权益,或(ii)资助该活跃Block合格油井总数至少一半的100%。所有后续油井应受运营协议的约束,但只有PED方可提议后续油井,直至本协议终止。

 

 

 

 

第5.5款基础设施投资。各缔约方将有机会以其相应的工作利益份额参与由PED或EPM提议的在项目区或距离项目区边界5英里范围内的土地上建设的任何基础设施项目,而该项目的主要目的是开发项目区(以下简称“基础设施项目”)。基础设施项目可包括但不限于石油和天然气管道、中游处理设施、供水设施和盐水处理井、收集和设施。PED或指定的经营者可向油井分配和收取与基础设施项目建造时该地区可获得的类似服务的市场价格相称的费用,这是PED或指定的经营者合理确定的,本条第5.4款的意图是,任何基础设施项目的非参与方不应以任何基础设施项目的参与方的费用为代价实现财务利益。PED或指定的运营商应就任何拟议的基础设施项目,连同设计规格、施工计划和估计费用,向双方提供书面通知。缔约方在收到任何基础设施项目提案后将有九十(90)天的时间就其参与的决定进行书面选举。未在上述订明期间内递交选举通知书,即视为不参加选举。基础设施项目的参与方应在收到相关发票后三十(30)天内支付从PED或指定经营者收到的每张发票,但在任何情况下,发票均不得在该九十(90)天选举期限届满之前寄出。未及时支付与基础设施项目有关的发票应被视为选择不参与基础设施项目,任何此类未付款方应在逾期三十(30)天之日被视为未参与方。基础设施项目的任何非参与方应在基础设施项目逾期三十(30)天之日丧失其在基础设施项目中的权益(包括以前支付的任何/所有款项)。

 

第5.6节套期保值。每一缔约方均有权对其作为参与方并已全额资助其在所有活动区块的工作权益份额的根据本协定钻探的任何油井的相应产量份额进行对冲。

 

第5.7节购买权。如果在EPM有机会按比例购买其在所有开发区块中的份额之前,开发计划署出售、转让或以其他方式转让任何或所有开发区块,EPM将有权以每净英亩450美元的价格购买其在其余开发区块中50%的工作权益份额;但前提是,只要(a)本协议的条款和条件对EPM的适用没有重大变化,(b)EPM的责任和/或责任没有重大增加,以及(c)收购方明确承担本协议规定的PED的所有义务,EPM就不享有与PED控制权变更有关的购买权。

 

第六条。

标题表示和验证

 

第6.1节标题审查。EPM有机会审查了初期发展区块现有租约的所有权,并对这一所有权感到满意。EPM签署本协议,并在收到转让后,接受初始开发区块现有租约的所有权,并放弃任何调整要求,但不包括违反以下第6.3节中的所有权特别保证或PED在转让中提供的陈述,这是PED通过、通过和根据PED对所有权的有限保证,但不包括其他保证。EPM应获准审查后续开发区块现有租约的所有权,但EPM根据本条第6.1款审查所有权,绝不应延长EPM根据第5.4条为后续开发区块付款的期限。

 

 

 

 

第6.2节所有权失效。EPM应向PED提供书面通知,说明其发现的任何所有权缺陷,如果这些缺陷对任何后续开发Block的现有租赁的可销售所有权产生重大影响,则应由EPM自行决定。有关下一个后续开发Block的任何该等通知,须自上一个开发Block的最后一口合格井完井的日期起计不迟于四十五(45)天内提供予环境保护署。在收到EPM就任何产权缺陷向PED发出的书面通知后十五(15)个工作日内,PED应将其是否寻求纠正任何此类产权缺陷的决定通知EPM。时间至关重要,如果PED未在该期限内将其决定通知EPM,PED应被视为已选择不纠正产权缺陷。如果PED(i)在收到上述产权缺陷通知后十五(15)个工作日内没有选择纠正产权缺陷,或(ii)在PED收到上述产权缺陷通知后九十(90)天内由于任何原因没有纠正产权缺陷,EPM可以接受后续开发Block的转让,但将有缺陷的租约排除在转让之外。在这种情况下,EPM只应就该后续开发Block内不受所确定的产权缺陷影响的部分向PED支付租金,EPM在该后续开发Block的工作权益份额应相应减少。如果任何后续开发Block的总产权缺陷超过该开发Block内净租赁面积的百分之二十(20%),EPM可自行决定要求PED将受影响的开发Block替换为下一个后续开发Block。任何有任何所有权缺陷的租赁及其所涵盖的矿产权益,应排除在任何开发Block的转让范围之外,并不再受本协议的约束。

 

第6.3节代表。PED声明,除许可的产权负担外,(i)据其所知,不存在影响现有租赁的留置权、债权或负担;(ii)据其所知,现有租赁根据其条款是有效的和存续的,并且是其各方及其各自的继承人和受让人的合法、有效和有约束力的义务;(iii)据其所知,为获得现有租赁而支付的所有奖金已全部支付,而维持现有租赁所需的任何延迟租金已在生效日期之前全部支付,(iv)其并不知悉任何现有租约的出租人或承租人就现有租约的条款下的失责或不履行而提出的任何申索,而该等申索在本协议执行前并未解决;(v)据其所知,出租人或承租人并未就任何现有租约的任何重要条文发生失责,而该等失责仍在继续;(vi)该等现有租约的任何条文并未发生失责,且据其所知,(vii)就现有租契而言,(a)发展局已按比例缴付所有从价税、财产、生产、遣散费、消费税及已到期应付的类似税项及课税,而发展局须提交的所有报税表均已及时提交,(b)并无任何政府当局评估或正在进行审核的税务欠妥之处,(c)并无现有的税务留置权,(viii)所有租金、特许权使用费、关闭特许权使用费,(九)现有租赁不受适用于本协议所设想的交易的任何优先购买权的约束。

 

第6.4节所有权申述的存续。上文第6.3节所列的申述在每次结束后的六(6)个月内有效。自首个发展区块的生效日期起,以及自每个其后发展Block的截止日期起,上述申述对现有租契而言,均须保持真实及正确,犹如是在截止日期作出的一样。

 

第6.5节不包括负债。除EPM根据第4.5节和第4.9节的规定同意外,EPM不应承担或有义务支付、履行或以其他方式履行PED的任何义务或责任(此种排除的义务和责任,即“排除的责任”):

 

 

(一)

归属于或产生于排除井;

 

(二)

对属于任何税期(或其部分税期)的排除井的所有权或经营、碳氢化合物的生产或从其收取的收益所征收的税款;

 

(三)

与关闭前从项目区处置或运输任何危险材料有关的责任;

 

 

 

 

 

 

 

(四)

与交易结束前PED或其任何关联公司对现有租约的所有权或经营有关的第三方个人的死亡或人身伤害;

 

(五)

每次交割前产生的债权、留置权或产权负担;以及

 

(六)

在交割前发生的与现有租约的所有权或经营有关的任何未支付的特许权使用费,无论目前是否产生。

 

第七条。

经营协议

 

第7.1节业务协议范本。项目区域应受A.A.P.L1989示范经营协议的管辖,其形式与作为附件“E”的经营协议(“经营协议”或“经营协议”)所附的经营协议大致相同,指定由PED指定和控制的关联公司为该协议下的“经营者”。(i)可因故由项目区内各方所代表的工作权益的多数票取代作业人,如适用,包括当时作业人的权益,或(ii)如果PED选择不参与某一油井,则可由参与该油井的工作权益的多数票取代作业人。PED没有义务为其作为非参与方的任何油井担任运营方。PED应作出商业上合理的努力,促使运营商在每口井的实际钻井作业开始前三十(30)个工作日内,为根据本协议钻探的任何井提供AFE。在执行本协定的同时,双方应执行《经营协定》。经营协议的规定应适用于本协议下的所有业务。但如果本协议与《经营协议》发生冲突,则应适用本协议的规定。

 

第7.2节不同意的选举。非参与方应有选择权,但没有义务将其根据《行动纲领》提出的任何良好建议的工作权益份额分配给参与方,以代替《行动纲领》的不同意条款。如果非参与方选择转让其权益,而不是根据OA被视为不同意,则该参与方应将其在受影响的井筒中的权益以转让形式转让给参与方,该转让形式在此作为附件“D-2”附上。根据本条第7.2条作出的任何转让,须自建议的操作完成后的翌日起生效,并须免受任何负担,但自生效日期起已存在的负担及以转让人为受益人的压倒一切的特许权使用费权益除外,该权益相当于以转让人的工作权益份额按比例减少的2%半(2.5%)的ORRI中的较低者,或如果负担允许,导致参与方在分配给参与方的权益中获得不少于78%(78%)的租赁NRI的金额。各缔约方可选择仅以其工作权益份额的一部分参与,在这种情况下,它们应根据本条第7.2款将其选择不参与的那部分工作权益份额分配给其他参与缔约方。本条第7.2条不适用于根据业务安排提出的任何被视为节省租约操作的建议。为免生疑问,一缔约方将保留其在生效日期后从第三方获得的自生效日期起存在的任何ORRI或特许权使用费权益,而不论由此产生的租赁NRI是否已交付给参与缔约方。但是,任何此类获得的特许权使用费权益或ORRI将受AMI的约束。

 

第八条。

初始测试井

 

PED应采取商业上合理的努力,在2023年12月31日或之前,在项目区域内开钻或促使开钻初始测试井,以测试San Andres主矿层,然后继续进行尽职调查,以钻探和完成初始开发井。“San Andres Main Pay地层”应被定义为位于新墨西哥州查韦斯县以东33号山口8号镇南3段的Atlantic Richfield作业的State BF # 11井(API # 30-005-20792)伽马射线测井发现的4309 MD至4375’MD深度之间的地层当量。根据本协议,PED没有义务开挖初始测试井,但如果PED未能在2024年12月31日或之前开挖初始测试井,EPM将有权(i)终止本协议,并且PED应退还EPM根据本协议向PED支付的所有款项,以换取PED根据本协议转让给EPM的任何和所有权益,或(ii)更换初始开发井的作业方。

 

 

 

 

第九条。

访问数据

 

在任何行动期间,EPM的正式授权代表可自担风险进入任何行动的地点或地点,并应同意受该行动的所有政策和程序的约束。作业方还应向EPM提供下列数据,说明在项目地区钻探的任何井中EPM是参与方的情况:

 

 

(a)

土豆和定位平台的通知。

 

 

 

 

(b)

所有油井信息的副本,包括但不限于每日作业报告、回流报告、所有日志、钻杆测试和岩心样品,这些都是操作者因其在项目区的作业而获得的。

 

 

 

 

(c)

经营者取得的与初始开发井有关的任何所有权意见或所有权报告的副本。

 

 

 

 

(d)

编制的所有调查的副本,以及向管理机构提交的表格。

 

 

 

 

(e)

根据《业务协定》的规定,所有信息参与者都有权获得任何其他合理要求的信息。经营者不应被要求提供任何非其所拥有的信息或信息经营者因法律或合同义务而被限制提供信息。

 

第十条。

通知

 

本协定要求或允许的所有通知和通信均应以书面形式发出,并按下述方式处理。根据本协议进行的任何通信或交付均应被视为已妥为作出,而接收方须承担以下义务:(a)亲自送达,收到时;(b)以传真方式发送,收到时;(c)邮寄后五个营业日、经核证的邮件、要求的回执;(d)以隔夜快递方式发送,发送后一天;或(e)以电子邮件方式收到,收据由收件人确认。所有通知的处理方式如下:

 

如果对PEDEVCO:

 

PEDEVCO公司。

J. Douglas Schick先生

575N. Dairy Ashford,210套房

德克萨斯州休斯顿77079

电话号码。(713) 574-7901

dschick@Pedevco.com

 

如果是EPM:

 

Evolution Petroleum Corporation

作者:Kelly W. Loyd

牛奶阿什福德路1155号。

425套房

休斯敦,TX77079

电话号码。(713) 935-0122

kloyd@evolutionpetroleum.com

 

 

 

 

XI。

共同利益领域

 

第11.1节AMI。双方特此建立一个共同利益区域(“AMI”),由项目区域内的土地组成,如所附附件“A”所述。自生效之日起及本协议终止后的三(3)个月内(“AMI条款”),如果本协议的任何一方获得任何石油和天然气租赁或石油和天然气租赁权的任何其他权益,包括但不限于农场、转租、期限转让或其他涉及AMI内土地的协议(“AMI收购”),该一方(“收购方”)应向另一方(“非收购方”)提供参与AMI收购的机会。根据第5.1节的规定,非收购方将有权(但无义务)根据其工作权益参与并获得AMI收购的工作权益份额。任何收购方提供的通知应在AMI收购日期后三十(30)天内提供,并应包括AMI收购的法律描述(包括任何现有Wellbores的名称和API编号)、被收购权益的一方的名称、自付费用总额、收购方将承担的任何义务、租赁的副本或收购该权益所依据的协议,并查阅收购方拥有的与之相关的所有尽职调查记录(“AMI发售通知”)。非收购方应在收到AMI要约通知后二十(20)个工作日内作出书面选择,决定是否参与收购其在AMI收购中的相应份额。根据本XI共同取得的任何权益应受《经营协议》的约束,但任何在向非收购方提出后完全由一方拥有的AMI收购将不再受本协议或《经营协议》的约束,除非该收购位于双方共同拥有的现有钻井和间隔单元内,在这种情况下,该收购应受《经营协议》的约束。本条第11.1款仅适用于石油和天然气租赁的收购或石油和天然气租赁权的任何其他权益,不适用于公司或实体层面的公司合并或收购。为免生疑问,任何一方在涉及另一方和/或其子公司的公司业务合并交易(如合并或股票收购),或在收购另一方及其子公司的全部或基本全部业务和资产时,只要企业和资产收购中的收购方同意承担另一方在本协议和经营协议下的全部义务,均不享有此种购买权。

 

第11.2节AMI要约和解。在收到非收购方选择参与并按比例获得AMI收购的任何份额后,收购方将向该参与的非收购方发送发票,说明其在AMI收购产生的自付费用总额中的按比例份额,并附有合理的证明文件。非收购方应负责按比例支付与AMI收购相关的所有费用,包括但不限于矿产起飞、石油和天然气租赁所有权报告、收购所有权意见以及与AMI收购相关的其他法律费用、所有权治疗、石油和天然气租赁奖金、延迟租金、与转入相关的所有费用和/或费用、经纪人费用、预付租金以及与AMI收购相关的任何其他成本或费用(“收购成本”)。参与的非收购方应在收到发票后三十(30)天内支付该发票。未能及时支付发票应被视为选择不按比例获得AMI发售的份额,非收购方可被视为AMI收购的非参与方。

 

在收到参与的非收购方及时支付其按比例分担的收购费用的发票后,收购方应立即将其各自在AMI收购中与此种付款相关的工作权益份额以转让形式转让给非收购方,该转让形式作为附件“D-1”附上。任何AMI收购的收购方不应以任何额外的负担、留置权或其他产权负担来负担被收购的权益。

 

 

 

 

第11.3节AMI除外情形。本XI的规定不适用于:

 

(i)在AMI范围内对石油和天然气权益的任何收购,如果该权益是从本协定的一方获得的,而该权益已受本协定的约束。

(ii)如在新墨西哥续租期内取得新墨西哥续租租约;

(iii)现有租约的续期(如在有关租约届满后九十(90)天内取得)。

 

第十二条。

协议期限

 

本协定自生效之日起生效,并继续有效,直至2025年12月31日(“初始期限”)或根据第5.4节终止。本协议终止后,项目地区内由双方共同拥有的任何水井或租赁应受《经营协议》条款的管辖。

 

第十三条。

保险

 

在根据本协议开展业务的任何时候,经营者(为双方的利益)都应按照《经营协议》的规定维持保险范围。

 

第十四条。

继任者和任务

 

本协议的规定对双方、其继承人、遗嘱执行人、代理人、继承人和受让人具有约束力,并对其有利。在不违反第5.7节所列条款的情况下,本协议每一方有权在书面通知另一方后,将其在本协议条款和规定下的全部或任何部分权利和义务转让给另一方。EPM对根据本协议获得的未开发土地的任何转让,应受制于有利于PED(以下简称“PED ORRI”)的2%(2%)的优先特许权使用费;但PED ORRI不适用于(i)转让给EPM关联公司、(ii)通过EPM控制权变更、以及(iii)也不适用于转让时的任何现有井眼。在任何此种转让中,转让方应向其受让人提供本协议的副本及其所附的所有证据,受让人应以书面证明其接受受本协议的条款和规定的约束。

 

 

 

 

第十五条。

代表和授权

 

第15.1节PED的陈述和保证。PED代表并保证EPM:

 

 

(a)

本协议的执行和交付,或本协议所设想的交易的完成,或本协议条款的遵守,均不会违反、冲突、导致留置权或产权负担的产生,或加速,或构成违约、违约或违约,或在通知或时间流逝后或两者兼而有之的情况下,构成违约、违约或违约,或导致任何文书、合同、协议、承诺、命令、令状、强制令、法令、法规、规则或条例加速适用于本协议或本协议所转让的财产,除非此类冲突、违反、违反、违约、加速或创建不是实质性的;

 

 

 

 

(b)

没有任何诉讼、诉讼、诉讼、索偿、要求、审计或其他程序待决,或威胁(i)与根据本协议所传达的利益有关,(ii)与项目地区有关,或(iii)质疑本协议的有效性或试图阻止本协议的完成,或与此有关的任何其他已采取或将要采取的行动;

 

 

 

 

(c)

根据本协议转让的任何权益均不受任何税务合伙协议的约束,或在其他情况下被视为或被要求被视为在根据《守则》副标题A第1章第K小节提交合伙企业所得税申报表的安排中持有;以及

 

 

 

 

(d)

PED是(i)一家正式成立、有效存在并根据成立国法律具有良好信誉的公司,(ii)具有适当资格和/或许可(通过其经营子公司)(视需要而定),并且(或其经营子公司)在新墨西哥州具有良好信誉,并且(iii)拥有一切必要的权力和权力以及必要的批准,以订立本协议并完成本协议所设想的交易。

 

第15.2条EPM的陈述和保证。EPM代表并向PED保证:

 

 

(a)

本协议的执行和交付,或本协议所设想的交易的完成,或本协议条款的遵守,均不会违反、冲突、导致留置权或产权负担的产生,或加速,或构成违约、违约或违约,或在通知或时间流逝后或两者兼而有之的情况下,构成违约、违约或违约,或导致任何文书、合同、协议、承诺、命令、令状、强制令、法令、法规、规则或条例加速适用于本协议或本协议所转让的财产,除非此类冲突、违反、违反、违约、加速或创建不是实质性的;

 

 

 

 

(b)

不存在任何诉讼、诉讼、诉讼、索赔、要求、审计或其他待决程序,或威胁质疑本协议的有效性或试图阻止本协议的完成,或已采取或将要采取的与此相关的任何其他行动;和

 

 

 

 

(c)

EPM是:(一)正式成立、有效存在并根据成立国法律具有良好信誉的公司;(二)将在本协定执行后十五(15)天内提出申请,要求成为在新墨西哥州具有良好信誉的适当资格和/或许可实体(视需要);(三)拥有订立本协定和完成本协定所设想的交易所需的一切权力和权力及必要的批准。

 

第十六条。

其他

 

第16.1节标题。本协定各条款和章节的标题仅供参考和参考,不应限制或以其他方式影响本协定任何条款或规定的含义或结构。

 

 

 

 

第16.2节保密。双方在此同意,在就本协议或本协议所设想的交易发布任何新闻稿或发表任何公开声明之前,应相互协商,除非适用法律或与任何国家证券交易所签订的上市协议可能要求发布任何新闻稿和公告,否则不得就本协议或本协议所设想的交易发布新闻稿或进行其他公开披露,或由一方根据本协议向另一方提供任何信息,各缔约方同意尽其商业上合理的最大努力,防止向参与本次交易正常业务过程的各缔约方的董事和高级管理人员、雇员、代理人和附属机构披露本次交易和本协议的其他条款,所有这些人应被指示遵守本协议的保密规定,或(ii)根据适用法律或法规的要求,或响应具有管辖权的法院的合法程序或传票或其他有效或可执行的命令(同时通知另一缔约方)。双方知悉并应确保向其披露与本协议所设想的交易有关的任何信息的代表也知悉适用的证券法的一般性质,包括但不限于所有适用的证券法,这些法律可能禁止拥有与本协议所涉事项有关的重大非公开信息的人:(一)交易任何一方的证券;或(二)将此类信息传达给另一人。

 

第16.3节双方的关系。本协议无意设立协会、信托或合资企业、采矿合伙企业或任何其他类型的合伙企业,本协议也不得解释为设立协会、信托或合资企业。尽管本协议中有任何条款规定双方在本协议下的权利和责任是多项的,而不是共同或集体的,或者本协议和本协议中设想的业务不构成合伙,但如果出于联邦所得税或任何相应的州法律的目的,本协议和本协议中设想的业务仍被视为合伙,则本协议中的每一方均选择不适用经修订的2017年《国内税收法》第K章第1章副标题A的全部或任何部分,a第761条和根据该条颁布的条例允许和授权的,以及适用的州法律中任何类似规定的适用。如果有任何要求每一方进一步证明这一选择,每一方同意签署这些文件并提供可能需要的其他证据。

 

第16.4节进一步保证。本协定双方同意不时签署和交付为实现本协定的目的而合理要求和必要的其他文书和其他行为。

 

第16.5节冲突。如果本协议的条款和规定与本协议所附的任何展品的条款和规定,包括《经营协议》的条款和规定发生冲突,则以本协议的规定为准。

 

第16.6条修正;放弃。除本协议具体规定的豁免外,本协议不得修改,也不得放弃本协议项下的任何权利,除非签署了一份书面文书,由承担此种修改或放弃责任的缔约方签署,并由该缔约方交付给声称受益于此种修改或放弃的缔约方。本协议任何一方放弃或未能强制执行本协议的任何条款,不应被解释为放弃进一步违反本协议的任何条款或任何其他条款。

 

关于法律的第16.7节;地点。本协议和本协议所设想的交易应按照德克萨斯州的法律解释并受其管辖,而不考虑其法律冲突规则。双方同意德克萨斯州哈里斯县法院的专属管辖权和审理地点。

 

第16.8节全面协议。本协议及其附件构成本协议各方对本协议主题事项的全部谅解,取代与此主题事项有关的所有谈判、事先讨论和事先协议及谅解。本协议双方之间或双方之间就本协议的主题事项所作的口头或书面陈述、协议、安排或谅解,在本协议中不存在未充分表达的情况。

 

第16.9节没有第三方受益人。本协议仅旨在使双方及其各自获准的继承人和受让人受益。

 

 

 

 

第16.10节可分割性。如果本协议的任何条款或规定因任何理由而被有管辖权的法院认定为非法、无效、不可执行或根据任何现行或未来的法律(或其解释)不合情理,则本协议的其余部分不受此类非法或无效的影响。任何此类无效条款应视为与本协议分离,如同本协议已在无效条款消除的情况下执行一样。本协议尚存的条款应继续完全有效,除非取消无效条款破坏了本协议的合法目的,在这种情况下,本协议无效。双方应以商业上合理的方式就本协定所需的任何修改进行谈判。

 

第16.11节对口单位/传真签字。本协定可由本协定双方以任何数目的对应方签署,每一方应被视为原始文书,但所有这些文书加在一起只构成同一文书。通过传真或.pdf签名交换的签名应被视为具有约束力。

 

第16.12节审查的充分机会。每一缔约方都承认,它有充分的机会审查本协定,并将其提交法律顾问审查和评论。此外,双方同意并理解本协定的条款是双方谈判的结果。本协议的每一项契约、条款和规定将仅根据其公平含义加以解释,而不是严格地对任何一方或任何一方加以解释。

 

[签名页紧随其后]

 

 

 

 

作为证据,本协议各方已签署本协议,自生效之日起生效。

 

  PEDEVCO公司。
       
签名: J. Douglas Schick

 

 

J. Douglas Schick,首席执行官  
     
  Evolution Petroleum Corporation  

 

 

 

 

 

签名:

Kelly W. Loyd

 

 

 

Kelly W. Loyd,总裁兼首席执行官

 

 

 

 

 

EXHIBIT“A”– Project Area Lands

 

PEDEVCO公司和EVOLUTION PETROLEUM CORPORATION于2023年9月12日签署的特定参与协议的附件和部分内容。

 

(待附)

 

 

 

 

 

 
 

 

 

 

 
 

 

 

 

 
 

 

 

 

 
 

 

 

 

 
 

 

 

 
 

 

 

 

 
 

 

 

 

 
 

 

 

EXHIBIT“D-1”–石油及天然气租赁转让表格

 

PEDEVCO公司和EVOLUTION PETROLEUM CORPORATION于2023年9月12日签署的特定参与协议的附件和部分内容。

 

(待附)

 

 

 

 

EXHIBIT“D-2”– Form of Assignment of Wellbore Working Interest

 

PEDEVCO公司和EVOLUTION PETROLEUM CORPORATION于2023年9月12日签署的特定参与协议的附件和部分内容。

 

(待附)

 

 

 

 

EXHIBIT“E”–经营协议的形式

 

PEDEVCO公司和EVOLUTION PETROLEUM CORPORATION于2023年9月12日签署的特定参与协议的附件和部分内容。

 

(待附)

 

 

 

 

EXHIBIT“F”–协议备忘录的格式

 

PEDEVCO公司和EVOLUTION PETROLEUM CORPORATION于2023年9月12日签署的特定参与协议的附件和部分内容。

 

(待附)

 

 

 

 

 

EXHIBIT“G”–许可产权负担

 

PEDEVCO公司和EVOLUTION PETROLEUM CORPORATION于2023年9月12日签署的特定参与协议的附件和部分内容。

 

PEDEVCO公司和/或其子公司在生效日期后就根据未来担保或信贷协议或融资(包括基于准备金的贷款融资)授予的担保权益的部分或全部现有租赁可能设定的担保物,这些担保物应由PEDEVCO公司以书面形式向Evolution Petroleum Corporation披露(可接受电子邮件)。然而,PEDEVCO公司应采取商业上合理的努力,争取部分解除任何可能使EVOLUTION PETROLEUM的权益在每次交割前受到负担的留置权或产权负担。