美国
证券交易委员会
华盛顿特区20549
表格20-F
根据1934年《证券交易法》第12(b)或12(g)条提交的☐登记声明
或者
根据1934年《证券交易法》第13或15(d)条提交的年度报告
截至财政年度:2022年12月31日
或者
根据1934年《证券交易法》第13或15(d)条提交的☐过渡报告
或者
☐根据1934年《证券交易法》第13或15(d)条提交的公司报告
要求本壳公司报告的事件发生日期
过渡时期
委员会档案编号:001-38631
(注册人的确切名称在其章程中指明)
(公司或组织的管辖权)
北京朝阳区酒仙桥中国100016
(主要行政办事处地址)
电话:+ 86-10-87700500
邮箱:zhangbing @ gsmg.co
北京朝阳区酒仙桥中国100016
(公司联系人的姓名、电话、电子邮件和/或传真号码和地址)
根据该法第12(b)节登记或将要登记的证券:
| 各类名称 | 交易代号) | 注册的交易所 | ||
|
|
|
这
|
||
| 认股权证,每份认股权证可行使一股普通股的二分之一,每股普通股11.50美元 | GSMGW | 纳斯达克股票市场 |
根据该法第12(g)节登记或将要登记的证券:无
根据该法第15(d)节有报告义务的证券:无
截至年度报告所涉期间结束时,发行人各类资本或普通股的流通股数量:截至2022年12月31日,已发行普通股数量为68,124,402股。
如果注册人是《证券法》第405条所界定的知名、经验丰富的发行人,请用复选标记表示。是☐否
如果本报告是年度报告或过渡报告,请用复选标记表明根据1934年《证券交易法》第13或15(d)节,登记人是否无需提交报告。是☐否
用复选标记表明登记人(1)在过去12个月内(或在要求登记人提交此类报告的较短期限内)是否提交了1934年《证券交易法》第13或15(d)条要求提交的所有报告,以及(2)在过去90天内是否遵守了此类提交要求。是☐
用复选标记表明登记人在过去12个月内(或在登记人必须提交此类文件的较短时间内)是否以电子方式提交了根据条例S-T规则第405条(本章第232.405条)要求提交的每一份交互式数据文件。是☐
通过复选标记指明注册人是大型加速申报人、加速申报人、非加速申报人还是新兴成长型公司。参见《交易法》第12b-2条中“加速申报人和大型加速申报人”、“加速申报人”和“新兴成长型公司”的定义。(勾选一项):
| 大型加速披露公司 | ☐ | 加速披露公司 | ☐ |
|
☒ | 新兴成长型公司 |
|
如果一家新兴成长型公司按照美国公认会计原则编制财务报表,请勾选注册人是否选择不使用延长的过渡期来遵守根据《交易法》第13(a)节规定的任何新的或经修订的财务会计准则。☐
用复选标记表明注册人是否已就编制或发布其审计报告的注册会计师事务所根据《萨班斯-奥克斯利法》(15 U.S.C. 7262(b))第404(b)节对其财务报告内部控制有效性的评估向其管理层提交了报告和证明。☐
请用复选标记表明登记人在编制本备案文件所列财务报表时采用了哪种会计基础:
| ☒ | 已发布的《国际财务报告准则》 国际会计准则理事会☐ |
其他☐ |
如果在回答上一个问题时已勾选“其他”,请用复选标记表示登记人选择遵循的财务报表项目。项目17 ☐项目18 ☐
如果这是一份年度报告,请用复选标记表明注册人是否为空壳公司(如1934年《证券交易法》第12b-2条所界定)。是☐否
目 录
| 简介 | 三、 | ||
| 关于前瞻性陈述的谨慎语言 | v | ||
| 注 | 六 | ||
| 第一部分 | |||
| 项目1。 | 董事、高级管理人员和顾问的身份 | 1 | |
| 项目2。 | 提供统计数据和预期时间表 | 1 | |
| 项目3。 | 关键信息 | 1 | |
| 项目4。 | 关于公司的资料 | 48 | |
| 项目4A。 | 未解决的工作人员意见 | 85 | |
| 项目5。 | 经营和财务审查及前景 | 85 | |
| 项目6。 | 高级管理人员和雇员 | 102 | |
| 项目7。 | 主要股东及关联方交易 | 111 | |
| 项目8。 | 财务信息 | 112 | |
| 项目9。 | 要约和上市 | 113 | |
| 项目10。 | 补充资料 | 113 | |
| 项目11。 | 关于市场风险的定量和定性披露 | 123 | |
| 项目12。 | 股票以外证券的说明 | 124 | |
| 第二部分 | |||
| 项目13。 | 违约、股息拖欠和违约 | 二-1 | |
i
| 项目14。 | 对证券持有人权利和收益使用的重大修改 | 二-1 | |
| 项目15。 | 控制和程序 | 二-2 | |
| 项目16A。 | 审计委员会财务专家 | II-3 | |
| 项目16B。 | Code of Ethics | II-4 | |
| 项目16C。 | 首席会计师费用和服务 | II-4 | |
| 项目16D。 | 审计委员会的上市标准豁免 | II-4 | |
| 项目16E。 | 发行人和附属购买者购买股票 | II-4 | |
| 项目16F。 | 变更注册人的核证账户 | II-4 | |
| 项目16G。 | 公司治理 | II-5 | |
| 项目16H。 | 矿山安全披露 | II-5 | |
| 项目16I。 | 关于防止检查的外国司法管辖区的披露。 | II-5 | |
| 第三部分 | |||
| 项目17 | 财务报表 | II-6 | |
| 项目18 | 财务报表 | II-6 | |
| 项目19 | 展览 | II-6 |
二
简介
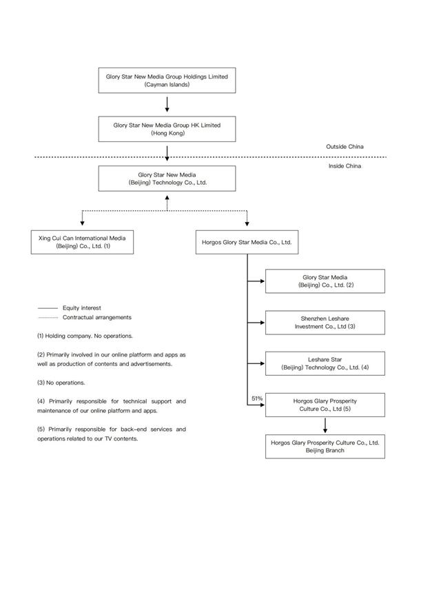
除非另有说明,“公司”、“我们”和“我们”指的是开曼群岛豁免公司Glory Star New Media Group Holdings Limited及其合并子公司,包括在业务合并完成后的VIE运营公司Xing Cui Can和Horgos。当本文用于描述企业合并之前的事件时,术语“公司”、“TKK”、“我们”和“我们”指的是我们的前身TKK Symphony Acquisition Corporation。
除非本表格20-F另有说明,否则,凡提及:
| ● | “我们”、“我们”、“我们的”或“公司”,是指GS Holdings和Glory Star Group的合并业务; | |
| ● | “组织章程大纲及细则”指GS Holdings第二次修订及重订的组织章程大纲及细则,经进一步修订并于本条例生效之日起生效; | |
| ● | 「业务合并」指TKK根据股份交换协议的条款收购Glory Star; | |
| ● | “开曼群岛公司法”是指经修订的《开曼群岛公司法(修订版)》; | |
| ● | “交易法”是指经修订的1934年美国证券交易法; | |
| ● | “GS Holdings”指Glory Star New Media Group Holdings Limited,一家开曼群岛豁免公司; | |
| ● | “荣耀星集团”是指荣耀星连同我们的合并子公司和VIE; | |
| ● | “Glory Star”指Glory Star New Media Group Limited,一家开曼群岛豁免公司; | |
| ● | “霍尔果斯”指霍尔果斯荣光星空传媒有限公司,一家在PRC注册成立的有限责任公司; | |
| ● | “IPO”是指TKK于2018年8月以每单位10.00美元的价格首次公开发行股票; | |
| ● | 纳斯达克是指纳斯达克资本市场; | |
| ● | PRC是指中华人民共和国; | |
| ● | “买方代表”是指TKK Symphony Sponsor 1,一家开曼群岛豁免公司,作为买方代表; | |
| ● | “人民币”是指中国的法定货币人民币; | |
| ● | “SEC”指美国证券交易委员会; | |
| ● | “证券法”是指经修正的1933年美国证券法; | |
| ● | “卖方代表”是指作为卖方代表的Bing Zhang; | |
| ● | “卖方”指荣耀星的股东; | |
| ● | “股份交换协议”指TKK、Glory Star、WFOE、Xing Cui Can、Horgos、各卖方、买方代表和卖方代表于2019年9月6日签署的股份交换协议,该协议可能会不时修订。 |
三、
| ● | “Sponsor”指TKK Symphony Sponsor 1,一家开曼群岛豁免公司; | |
| ● | “TKK”是指我们的前身TKK Symphony Acquisition Corporation; | |
| ● | “VIE合同”是指由VIE、外商独资企业、VIE的股东和某些其他方签署的某些必要文件,以在PRC实施某些合同安排,这些文件使外商独资企业能够(i)指导VIE及其子公司的活动,这些活动对VIE的经济业绩影响最大;(ii)获得VIE及其子公司的几乎全部经济利益;(iii)在PRC法律允许的范围内,拥有购买VIE全部或部分股权的独家选择权; | |
| ● | “单位”是指在TKK的IPO中发行的单位;每个单位由一股普通股、一份认股权证和一份权利组成(无论它们是在IPO中购买的,还是随后在公开市场上购买的); | |
| ● | “VIE”是指我们的可变利益实体Xing Cui Can和Horgos; | |
| ● | “WFOE”指由Glory Star间接全资拥有的外商独资企业有限责任公司Glory Star New Media(Beijing)Technology Co.,Ltd.;及 | |
| ● | 星翠灿是指星翠灿International Media(北京)有限公司,一家在PRC注册成立的有限责任公司。 |
由于四舍五入,在任何表格中,确定为总额的数额与其中所列数额的总和之间存在差异。
介绍我们的财务和营运数据
2020年2月14日,我们的前身TKK完成了由TKK、开曼群岛豁免公司Glory Star New Media Group Limited(“Glory Star”)、Glory Star New Media(Beijing)Technology Co.,Ltd.(一家在中华人民共和国(“PRC”)注册成立的外商独资企业有限责任公司(“WFOE”)、Glory Star、Xing Cui Can、Horgos、Glory Star的每一位股东(统称“卖方”)、TKK Symphony Sponsor 1、TKK的保荐人(“保荐人”)所设想的交易(“业务合并”),作为TKK除卖方以外的其他股东在业务合并结束后的代表,Bing Zhang作为卖方在业务合并结束后的代表,据此,Glory Star新媒体集团控股有限公司(“GS控股”)从卖方手中收购Glory Star 100%的股权。
在完成业务合并(“交割”)后,我们收购了Glory Star的所有已发行和未发行证券,以换取(i)约41,204,025股我们的普通股(“交割支付股份”),或一股普通股换取约0.04 854股Glory Star的已发行股份,其中2,060,201股交割支付股份(“托管股份”)应存入托管,以确保卖方的某些赔偿义务,此外(ii)在分别达到截至2019年12月31日和2020年12月31日的财政年度的某些财务业绩目标后,赚取由我们的5,000,000股普通股组成的付款,我们已经完全做到了这一点(“赚到的股票”)。
由于业务合并,卖方成为公司的控股股东。该业务合并作为反向合并入账,其中,出于会计和财务报告目的,Glory Star被视为收购方,该交易被视为Glory Star的反向资本重组。
四
关于前瞻性陈述的谨慎语言
本报告以及以引用方式并入本文和其中的信息可能包含1995年《美国私人证券诉讼改革法》所定义的“前瞻性陈述”,这些陈述旨在符合美国《私人证券诉讼改革法》规定的免责安全港的条件。这些陈述是基于我们管理层的信念和假设,以及我们目前可获得的信息。这些陈述不是历史事实陈述,可能包含对未来事件的估计、假设、预测和/或预期,这些事件可能会发生,也可能不会发生。这些陈述涉及已知和未知的风险、不确定性和其他因素,这些因素可能导致我们的实际结果、业绩或成就与前瞻性陈述中明示或暗示的内容存在重大差异。在某些情况下,你可以通过诸如“目标”、“预期”、“相信”、“可能”、“估计”、“预期”、“打算”、“可能”、“计划”、“潜在”、“应该”、“将”、“将”等词语或短语来识别这些前瞻性陈述,或者类似的表达方式,包括否定。我们的这些前瞻性陈述主要基于我们目前对未来事件和财务趋势的预期和预测,我们认为这些事件和财务趋势可能会影响我们的财务状况、业务结果、业务战略和财务需求。这些前瞻性陈述包括:
| ● | 未来的经营或财务业绩; | |
| ● | 未来支付的股息,如有,以及可用于支付股息的现金,如有; | |
| ● | 未来的收购、业务战略和预期的资本支出; | |
| ● | 关于利率和通货膨胀的假设; | |
| ● | 吸引和留住高级管理层和其他关键员工的能力; | |
| ● | 管理我们的成长的能力; | |
| ● | 一般经济和商业条件的波动; | |
| ● | 财务状况和流动性,包括我们在未来获得额外融资(从认股权证行使或外部服务)以资助资本支出、收购和其他一般公司活动的能力; | |
| ● | 为维持我们的资本基础所需的未来资本支出估计数; | |
| ● | 符合纳斯达克持续上市标准的能力,以及我们的证券从纳斯达克退市的可能性; | |
| ● | 立法和监管环境的潜在变化; | |
| ● | 投资回报率较低;以及 | |
| ● | 我们证券市场价格的潜在波动。 |
本报告所载的前瞻性陈述是基于我们目前对未来发展及其对我们的潜在影响的期望和信念。影响我们的未来发展可能不是我们所预期的。这些前瞻性陈述涉及许多风险、不确定性(其中一些超出我们的控制范围)和其他假设,这些假设可能导致实际结果或业绩与这些前瞻性陈述所表达或暗示的存在重大差异。这些风险和不确定性包括但不限于“风险因素”标题下描述的那些因素。如果这些风险或不确定性中的一项或多项成为现实,或者我们的任何假设被证明是不正确的,实际结果可能在重大方面与这些前瞻性陈述中预测的结果不同。我们不承担因新信息、未来事件或其他原因而更新或修改任何前瞻性陈述的义务,除非适用的证券法可能要求这样做。这些风险以及“风险因素”中描述的其他风险可能并非详尽无遗。
就其性质而言,前瞻性陈述涉及风险和不确定性,因为它们与事件相关,并取决于未来可能发生或不可能发生的情况。我们提醒您,前瞻性陈述并非对未来业绩的保证,我们的实际经营业绩、财务状况和流动性,以及我们所处行业的发展,可能与本报告所载的前瞻性陈述中做出或暗示的内容存在重大差异。此外,即使我们的业绩或经营、财务状况和流动性以及我们经营所在行业的发展与本报告所载的前瞻性陈述一致,这些业绩或发展可能并不代表以后期间的业绩或发展。
v
本年度报告中的前瞻性陈述仅涉及截至本年度报告作出这些陈述之日的事件或信息。我们不承担在本年度报告日期之后更新或修改任何前瞻性陈述的义务,无论是由于新信息、未来事件或其他原因。你不应该依赖前瞻性陈述作为对未来事件的预测。
注
Glory Star New Media Group Holdings Limited(简称“GS Holdings”)并非一家中国运营公司,而是一家在开曼群岛注册成立的离岸控股公司。作为一家控股公司,我们没有自己的实质性业务,GS控股通过其子公司和VIE、霍尔果斯和星翠灿在中国开展所有业务,这种公司结构对投资者具有独特的风险。“项目3.D.风险因素——与在中国做生意有关的风险。”
我们和我们的子公司都不拥有霍尔果斯或星翠灿的任何股份。相反,我们的WFOE与(i)霍尔果斯和霍尔果斯的股东,以及(ii)星翠灿和新翠灿的股东签订了一系列VIE合同,允许WFOE从霍尔果斯和星翠灿获得几乎所有的经济利益;以及某些排他性期权协议,这些协议为WFOE提供了在PRC法律允许的范围内购买霍尔果斯和星翠灿全部或部分股权的排他性期权。通过VIE合同,出于会计目的,我们被视为霍尔果斯和星翠灿的主要受益人,因此,我们能够按照美国公认会计原则在合并财务报表中合并霍尔果斯和星翠灿的财务业绩。见"项目4。公司信息”——“组织Structure”。然而,VIE结构不能完全复制外国对中国公司的投资,因为投资者不会、也可能永远不会直接持有中国运营实体的股权。相反,VIE结构为外国投资提供了合同敞口。尽管我们采取了一切可能的预防措施来有效地执行上述合同和公司关系,但这些VIE协议可能仍然不如直接所有权有效,并且我们可能会为执行这些安排的条款而产生大量成本。由于我们没有直接持有霍尔果斯和星翠灿的股权,我们面临着由于PRC法律法规的解释和适用的不确定性,包括但不限于互联网技术公司的外资所有权限制,PRC公司通过特殊目的载体在海外上市的监管审查,以及VIE合同的有效性和执行的风险。我们还面临着不确定的风险,即PRC政府未来在这方面采取的任何行动都可能使VIE结构失效,这可能导致我们的业务发生重大变化,普通股的价值可能大幅贬值或变得一文不值。参见“项目3.D.风险因素——与公司Structure相关的风险”。
我们的总部设在中国,因此面临一定的法律和运营风险。PRC管理我们目前业务的法律和法规有时是模糊和不确定的,因此,这些风险可能导致我们的子公司和VIE的运营发生重大变化,我们的普通股价值大幅贬值,或完全阻碍我们向投资者提供我们的证券的能力。最近,PRC政府采取了一系列监管行动并发表声明,以规范在中国的经营活动,包括打击证券市场的非法活动,加强对使用可变利益实体结构在海外上市的中国公司的监管,采取新措施扩大网络安全审查范围,扩大反垄断执法力度。
正如我们的PRC法律顾问竞天公诚所告知的,并基于其对《网络安全审查办法》(2021年)的理解,该《办法》于2022年2月15日生效,取代了2020年4月13日颁布的《网络安全审查办法》,我们的VIE及其子公司目前无需向中国国家互联网信息办公室或CAC申请网络安全审查,根据《办法》第七条,拥有100万以上用户个人信息的网络平台运营者,如有意在境外上市,应向CAC申请网络安全审查,因为我们的普通股在《办法》生效日期2022年2月15日之前在纳斯达克上市。根据《网络安全审查措施》(2021年),如果确定我们的VIE或其子公司构成关键信息基础设施运营商,并打算采购影响或可能影响国家安全的网络产品或服务,我们的VIE及其子公司可能会受到CAC的网络安全审查。此外,由于这些措施是新修订的,其解释和实施仍存在不确定性,我们不确定我们的VIE或其子公司在我们发行或上市新股或在资本市场进行其他融资活动时是否会受到网络安全审查。截至本年度报告之日,我们的VIE及其子公司尚未被任何PRC政府机构告知我们需要进行网络安全审查的任何要求。如果《网络数据安全管理条例草案》(征求意见稿)按提议获得通过,并且如果我们的VIE或其子公司被认定为拥有与国家安全、经济发展和公共利益相关的海量数据资源并进行影响或可能影响国家安全的合并、重组、拆分或进行其他影响或可能影响国家安全的数据处理活动的在线平台运营商,我们的VIE及其子公司也可能受到CAC的网络数据安全审查。截至本年度报告之日,我们、我们的子公司、我们的VIE及其子公司尚未参与任何由PRC监管机构发起的网络安全审查调查,也未收到任何调查、通知或制裁。根据我们的PRC法律顾问,截至本年度报告之日,PRC目前没有明确的法律或法规禁止我们、我们的外商独资企业、VIE及其子公司在海外证券交易所上市。然而,由于这些声明和监管行动是新发布的,官方指南和相关实施规则尚未发布,因此无法保证PRC有关当局将得出与我们的PRC法律顾问相同的结论。这些修订或新的法律法规将对我们的日常业务运作、接受外国投资的能力以及我们继续在美国交易所上市的能力产生什么潜在影响,目前还不确定。
六
2023年2月17日,证监会发布《境内公司境外证券发行上市试行管理办法》(《试行管理办法》)及相关配套指引(统称《境外上市管理新规》),自2023年3月31日起施行。根据《境外上市管理新规》,除其他事项外,寻求在境外市场发行证券并上市的PRC境内公司,应按照《试行管理办法》的要求履行向中国证监会备案的程序。境内公司在境外市场直接发行证券并上市的,发行人应当向中国证监会备案。境内公司在境外市场间接发行证券并上市的,发行人应当指定境内主要经营主体,作为境内责任主体向中国证监会备案。首次公开发行或者在境外市场上市,应当在境外提交相关申请后3个工作日内向中国证监会备案。发行人在原境外市场发行证券并在原境外市场上市的,应当在发行完成后3个工作日内向中国证监会备案。发行人在境外市场发售证券并上市后,发生控制权变更、境外证券监管机构或其他有关主管部门立案调查或处罚、上市地位变更或上市板块转让、自愿或强制退市等重大事项的,发行人应当在该事项发生并公开披露后3个工作日内向中国证监会报告。
正如我们的PRC法律顾问所告知的,我们目前不需要获得任何PRC当局的许可或批准,包括中国证监会或CAC继续在美国交易所上市。但是,如果我们寻求在纳斯达克股票市场的未来发行或寻求在其他海外市场的发行和上市,或发生《新境外上市管理规则》规定的任何重大事件,我们将需要根据《新境外上市管理规则》向中国证监会报告。我们不能保证我们能及时或根本不能根据新的海外上市管理规则获得报备或报告程序的批准。如果我们不能完全遵守新的监管规定,可能会严重限制或完全阻碍我们发行或继续发行普通股的能力,对我们的业务运营造成重大干扰,并严重损害我们的声誉,这将对我们的财务状况和经营业绩产生重大不利影响,并导致我们的普通股大幅贬值或变得一文不值。参见“风险因素——与在中国做生意有关的风险”。此外,中共中央办公厅、国务院办公厅联合印发《关于依法严厉打击非法证券活动的意见》,于2021年7月6日向社会公开。《意见》强调,要加强对非法证券活动的管理,加强对中国企业境外上市的监管。采取有效措施,如推进相关监管制度建设,应对中国概念境外上市公司的风险和事件,网络安全和数据隐私保护要求等类似事项。《意见》和拟颁布的任何相关实施规则可能会使我们在未来受到合规要求的约束。2023年2月24日,中国证监会颁布《关于加强境内公司境外证券发行上市保密和档案管理的规定》(简称《保密和档案管理规定》),并于2023年3月31日起施行。《保密和档案管理规定》规定了证券公司、证券服务提供商、境外监管机构以及与境外发行和上市有关的其他实体和个人提供文件、资料和会计档案的规则、要求和程序,包括但不限于进行境外发行和上市(直接或间接方式)的境内公司以及从事相关业务的证券公司和证券服务提供商(在境内或境外注册成立)不得泄露任何国家机密和政府机构的工作机密,不得损害国家安全和公共利益,境内公司拟直接或者通过境外上市单位公开披露或者提供含有国家秘密或者政府机构工作秘密的文件、资料的,应当依法取得主管部门批准,并向同级保密行政部门备案。鉴于目前PRC的监管环境,我们仍受制于PRC规则和条例的解释和执行的不确定性,这些规则和条例可能会迅速改变,几乎不会提前通知,以及PRC当局未来的任何行动。此外,我们不能向您保证,相关的PRC政府机构会得出与我们相同的结论,或如我们的PRC法律顾问所建议的那样。如果我们对PRC法律法规的解释有误,或者如果中国证监会、国家互联网信息办公室或其他PRC监管机构后来颁布了新的规则,要求我们向外国投资者发行我们的普通股必须获得他们的批准,我们可能无法获得对这种批准要求的豁免,如果获得这种豁免的程序已经建立。有关批准规定的任何不确定性和/或负面宣传都可能对我们证券的交易价格产生重大不利影响。因此,我们的业务可能会直接或间接地受到与我们的业务或行业有关的现有或未来法律法规的不利影响。参见“风险因素——与在中国做生意有关的风险”。
七
开曼群岛法律允许GS Holdings通过贷款或出资向我们在开曼群岛、香港和PRC的子公司提供资金。根据香港特别行政区的法律,我们在香港的子公司也被允许通过股息分配向荣耀星提供资金,而不受资金数额的限制。PRC现行法规允许外商独资企业在提取按照中国会计准则和法规确定的任何共同准备金后,仅从其累计税后利润中向我们的香港子公司支付股息。截至本年度报告日期,本公司、我们的子公司和VIE尚未分配任何收益或结算VIE合同项下的任何欠款。本公司、我们的子公司和VIE在可预见的将来没有任何计划分配收益或结清VIE合同项下的欠款。截至本招股章程日期,我们的任何附属公司或VIE均未向本公司作出任何股息或分派,而本公司亦未向股东作出任何股息或分派。我们打算保留任何未来收益来为我们的业务扩张提供资金,并且我们预计在可预见的未来不会支付任何现金股息。作为一家控股公司,如果我们决定将来为我们的任何普通股支付股息,我们将依赖于根据VIE合同从我们的PRC子公司和VIE向我们的PRC子公司收到的资金。见"项目4。公司信息——组织Structure。
2021年12月16日,上市公司会计监督委员会(PCAOB)发布了一份报告,说明其认定PCAOB无法检查或彻底调查总部位于中国大陆和PRC特别行政区香港的PCAOB注册的公共会计师事务所,原因是PRC当局在这些司法管辖区采取的立场。PCAOB根据PCAOB规则6100作出这些决定,该规则为PCAOB如何履行《控股外国公司责任法》(HFCAA)规定的职责提供了框架。该报告还在其附录A和附录B中分别列出了《受中国内地认定的注册会计师事务所》和《受香港认定的注册会计师事务所》。2022年8月26日,PCAOB与中国证券监督管理委员会和PRC财政部签署了《协议声明》,为PCAOB对总部设在中国内地和香港的注册会计师事务所进行检查和调查迈出了第一步。2022年12月15日,PCAOB宣布,它“能够在2022年首次获得在中华人民共和国(PRC)对审计事务所进行检查和调查的完整权限。因此,2022年12月15日,PCAOB董事会投票决定撤销之前的相反决定。”尽管如此,在执行这些规定方面仍存在不确定性,而且不能保证PCAOB能够以符合《议定书》声明的方式及时进行今后的检查和调查。2021年6月22日,美国参议院通过了《加速外国公司责任法案》(AHFCAA),该法案是根据《2023年综合拨款法案》颁布的,具体内容如下。
2022年12月29日,《2023年综合拨款法》签署成为法律,修订了HFCAA(i)将触发退市的连续年数从三年减少到两年,以及(ii)任何外国司法管辖区都可能成为PCAOB不能完全检查或调查公司审计师的理由。正如最初颁布的那样,HFCAA仅适用于PCAOB由于相关公共会计师事务所所在的外国司法管辖区的主管部门采取的立场而无法进行检查或调查的情况。根据2023年《综合拨款法》,如果PCAOB无法检查或调查相关会计师事务所是由于某个外国司法管辖区的主管机构采取的立场,那么HFCAA现在也适用。拒绝管辖权不一定是会计师事务所所在地。
我们截至2022年12月31日和2021年12月31日止年度的20-F表年度报告中包含的审计报告是由Assentsure PAC(“Assentsure”)发布的。Assentsure PAC(“Assentsure”)是一家总部位于新加坡的会计师事务所,在PCAOB注册,可接受PCAOB的检查。我们无意在未来解雇Assentsure,也无意聘请任何未经PCAOB定期检查的审计师。然而,我们不能保证本公司未来聘用的任何核数师在我们整个聘用期间将继续接受PCAOB的全面检查。如果我们不聘请一位接受PCAOB定期检查的审计师,我们的普通股可能会被摘牌。
你应该仔细阅读这份年度报告第1页开始的“风险因素”,以便讨论在决定购买我们的普通股之前应该考虑的信息。下面请在相关标题下对我们面临的主要风险进行总结。
与我们的业务和行业有关的风险
与我们的业务和行业有关的风险和不确定因素包括但不限于以下方面:
| ● | 如果我们未能预测用户的偏好,并以符合成本效益的方式提供高质量的内容,特别是受欢迎的原创内容,我们可能无法吸引和留住用户以保持竞争力。 |
| ● | 我们在一个资本密集型行业运营,需要大量现金来为我们的运营提供资金,并制作或获取高质量的视频内容。如果我们不能获得足够的资本来为我们的运营提供资金,我们的业务、财务状况和未来前景可能会受到重大的不利影响。 |
| ● | 如果我们为移动和在线视频内容及电子商务产品留住用户和吸引新用户的努力不成功,我们的业务、财务状况和经营业绩将受到重大不利影响。 |
八、
| ● | 如果我们未能留住现有或吸引新的广告客户在我们的移动和在线视频内容或电子商务平台上做广告,维持并增加我们在广告预算中的钱包份额,或者如果我们无法及时收回应收账款,我们的业务、财务状况和经营业绩可能会受到重大不利影响。 |
| ● | 我们在一个竞争激烈的市场经营,我们可能无法有效地竞争。 |
| ● | 我们业务的成功取决于我们维持和提升品牌的能力。 |
| ● | 他人增加专业制作的内容或PPC,可能会对我们的业务、财务状况和经营业绩产生重大不利影响。 |
| ● | 高级管理层和关键员工的持续合作对我们的成功至关重要,任何高级管理层或关键员工的流失都可能对我们的业务、财务状况和经营业绩产生重大不利影响。 |
| ● | 我们有限的经营历史使我们很难评估我们的业务和前景。 |
| ● | 我们可能无法有效地管理我们的增长。 |
| ● | 如果我们不能在电子商务平台上以有吸引力的价格提供品牌产品,以满足客户的需求和偏好,或者如果我们销售正宗、高质量产品的声誉受损,我们可能会失去客户,我们的业务、财务状况和经营业绩可能会受到重大不利影响。 |
| ● | 移动设备上的用户行为正在迅速演变,如果我们不能成功地适应这些变化,我们的竞争力和市场地位可能会受到影响。 |
| ● | 我们的业务前景和财务业绩可能会受到我们与第三方平台的关系的影响。 |
| ● | 我们面临风险,例如与我们通过第三方平台和我们的电子商务平台制作、许可和/或分发的内容有关的意外成本和潜在责任。 |
| ● | 由我们制作或在我们的电子商务平台上展示的视频和其他内容可能会被PRC监管机构发现有异议,并可能使我们受到处罚和其他行政行动。 |
| ● | 我们所处的行业发展迅速。如果我们未能跟上技术发展和用户不断变化的要求,我们的业务、财务状况、经营业绩和前景可能会受到重大不利影响。 |
| ● | 我们可能无法充分保护我们的知识产权,任何未能保护我们的知识产权都可能对我们的收入和竞争地位产生不利影响。 |
| ● | 我们的业务产生和处理大量数据,这些数据的不当使用或披露可能会损害我们的声誉,并对我们的业务和前景产生重大不利影响。 |
| ● | 如果不能维持或改善我们的技术基础设施,可能会损害我们的业务和前景。 |
| ● | 我们面临付款处理风险。 |
| ● | 我们业务的成功运作取决于中国互联网基础设施的性能和可靠性。 |
| ● | 针对我们内部系统和网络的安全漏洞和攻击,以及任何可能导致的漏洞或未能以其他方式保护机密和专有信息,都可能损害我们的声誉,对我们的业务产生负面影响,并对我们的财务状况和经营业绩产生重大不利影响。 |
| ● | 我们依靠我们的合作伙伴通过因特网协议电视(IPTV)提供我们的服务。 |
| ● | 我们IT系统的中断或故障可能会损害用户的在线娱乐体验,并对我们的声誉产生不利影响。 |
九
| ● | 未被发现的编程错误可能会对我们的用户体验和市场对我们视频内容的接受度产生不利影响,这可能会对我们的业务、财务状况和经营业绩产生重大不利影响。 |
| ● | 我们的收入和净收入可能受到中国经济放缓的重大不利影响,也可能受到美国和中国之间的贸易争端的间接影响,这可能导致经济前景的不确定性。 |
| ● | 我们面临与自然灾害、健康流行病和其他突发事件有关的风险,这些风险可能严重扰乱我们的业务。 |
| ● | 我们的半年度经营业绩可能会出现波动,这使得我们的经营业绩难以预测,并可能导致我们的季度经营业绩低于预期。 |
| ● | 我们需要高素质的人才来制作高质量的视频内容,如果我们无法聘用或留住合格的人才,我们可能无法有效地发展,我们的业务、财务状况和经营业绩可能会受到重大不利影响。 |
| ● | 我们的控股股东将对我们有很大的影响力。 |
| ● | 我们预计在可预见的未来不会派发现金股息,因此,我们投资者的唯一收益来源将取决于资本增值(如果有的话)。 |
| ● | 荣耀星集团的银行账户在中国,没有保险,也没有损失保险。 |
| ● | 我们未能保护我们的知识产权可能会对我们的业务产生负面影响。 |
| ● | 我们可能在诉讼中被列为被告,也可能在第三方、我们客户的竞争对手、政府或监管机构或消费者对我们的客户提起的诉讼中被列为被告,这可能导致对我们不利的判决,并对我们的业务造成重大破坏。这些行动可能涉及除其他外声称: |
| ● | 我们的业务依赖计算机软件和硬件系统,这些系统的故障可能会对我们的业务、财务状况和业务结果产生不利影响。 |
| ● | 我们不承担业务责任或中断、诉讼或财产保险,我们所经历的任何业务责任或中断、诉讼或财产损失可能会给我们带来巨大的成本和资源的转移。 |
| ● | 我们的元宇宙平台和NFT市场的创建取决于我们开发可接受的区块链的能力。 |
| ● | 我们的元宇宙宇宙目前正在开发中,我们不能保证我们的元宇宙平台会被其他人接受或产生足够的兴趣。 |
| ● | 无法保证NFT市场将得到发展和/或维持,这可能对我们的业务运营产生重大不利影响。 |
| ● | 如果我们无法继续开发或实现我们的元宇宙平台,以及开发我们的元宇宙体验中心,我们的业务将会受到一定程度的影响。 |
| ● | 区块链技术的基础技术受到与消费者接受区块链技术相关的一些全行业挑战和风险的影响。区块链网络和区块链资产的开发或接受的放缓或停止将对我们元宇宙平台的成功开发产生重大不利影响。 |
x
| ● | 数字资产的价格极不稳定。 |
| ● | 将我们的业务扩展到新的产品、服务和技术,包括内容类别,具有内在的风险,并可能使我们面临额外的商业、法律、财务和竞争风险。 |
| ● | 如果我们不能继续进行技术创新或开发、营销和销售新产品和服务,或加强现有技术、产品和服务以满足客户的要求,我们增加收入的能力就会受到损害。 |
| ● | NFT的价值是不确定的,可能会给我们带来不可预见的风险。 |
| ● | 特定数字资产在任何相关司法管辖区的“证券”地位都具有高度的不确定性,并且取决于我们的客户利用我们的产品和服务开展的活动,我们和我们的客户可能会受到监管审查、调查、罚款和其他处罚,这可能会对我们的业务、经营业绩和财务状况产生不利影响。 |
与我们公司Structure有关的风险
我们还面临与公司结构相关的风险和不确定性,包括但不限于以下风险和不确定性:
| ● | 如果PRC政府认定我们的VIE合同不符合适用的法规,或者这些法规或其解释在未来发生变化,我们可能会受到严重后果的影响,包括VIE合同无效以及我们放弃在霍尔果斯和星翠灿的权益。 |
| ● | 我们的VIE合同在提供运营控制方面可能不如直接所有权有效,霍尔果斯和星翠灿或其股东可能无法履行我们的VIE合同规定的义务。 |
| ● | 我们的VIE合同可能会受到PRC税务机关的审查,并可能被征收额外的税款。如果发现我们欠了额外的税,可能会大大降低我们的综合净收入和你方投资的价值。 |
| ● | 股东可能与我们有潜在的利益冲突,他们可能违反他们与我们的合同或导致以违反我们的利益的方式修改这些合同。 |
| ● | 我们通过霍尔果斯和星翠灿通过VIE合同在PRC开展增值电信服务和某些其他业务,但根据PRC法律,VIE合同的某些条款可能无法执行。 |
| ● | 如果我们行使收购霍尔果斯和星翠灿股权的选择权,所有权转让可能会使我们受到一定的限制和巨大的成本。 |
| ● | 我们目前的公司结构和业务运作可能会受到新颁布的《外国投资法》的重大影响。 |
| ● | 我们的广告业务、电子商务和某些其他业务依赖我们持有的批准证书和营业执照,霍尔果斯和星翠灿之间的关系的任何恶化都可能对我们的业务运营产生重大不利影响。 |
西
与在中国做生意有关的风险
我们面临与在PRC开展业务有关的风险和不确定性,包括但不限于以下风险和不确定性:
| ● | 最近州政府对在美上市中国公司的商业活动的干预,可能会对我们在中国的现有和未来业务产生负面影响。 |
| ● | 我们面临与冠状病毒和健康流行病及其他爆发有关的风险,这些风险可能严重扰乱我们的业务。 |
| ● | 本公司受PRC有关本行业的法律法规的约束。 |
| ● | 我们面临与中国广告业性质相关的风险,包括广告提案的频繁和突然变化。 |
| ● | 中国对媒体内容进行了广泛的监管,并可能因其为广告客户设计的广告内容或向其提供的服务而受到政府的制裁。 |
| ● | PRC法律法规的解释和执行方面的不确定性可能会限制我们可获得的法律保护。 |
| ● | 与NFT和元宇宙的监管管理和政府政策有关的重大不确定性可能会对我们未来将从事的NFT和元宇宙相关业务的成本、性能和运营前景产生重大影响。 |
| ● | 由于中国税务部门的原因,延迟开具发票可能会对我们的现金流产生重大不利影响。 |
| ● | 我们行业的竞争正在加剧,可能导致我们在未来失去市场份额和收入。 |
| ● | 我们的业务有赖于管理层的持续努力。如果它失去了他们的服务,我们的业务可能会受到严重干扰。 |
| ● | 我们的业务可能受到全球金融危机和经济衰退的重大不利影响。 |
| ● | 严重和长期的全球经济衰退和中国经济放缓可能会对我们的业务、经营业绩和财务状况产生不利影响。 |
| ● | PRC政府政治政策的任何不利变化都可能对中国的整体经济增长产生负面影响,从而对我们的业务产生重大不利影响。 |
| ● | 与PRC政府的政治和经济政策以及PRC法律法规有关的重大不确定性和限制,可能会对我们可能在PRC开展的业务产生重大影响,从而对我们的经营业绩和财务状况产生重大影响。 |
| ● | 美元和人民币之间的外币汇率波动可能会对我们的财务状况产生不利影响。 |
十二
| ● | 由于我们在中国开展所有业务,我们的所有官员和主席都居住在美国之外,因此作为股东保护利益和行使权利可能是困难的。 |
| ● | 中国未来的通货膨胀可能会抑制经济活动,并对我们的经营产生不利影响。 |
| ● | PRC对境外控股公司向PRC实体提供贷款和直接投资的监管,可能会延迟或阻止我们使用未来融资活动的收益向PRC运营子公司提供贷款或额外出资。 |
| ● | 根据PRC的规则、法规或政策,特别是随着中国境内公司海外发行和上市新的备案管理规则的颁布,我们可能需要中国证券监督管理委员会(“中国证监会”)或其他PRC政府机构的批准、备案和/或其他要求,如果需要,我们无法预测我们是否能够或在多快时间内获得批准、完成备案或满足其他政府要求。 |
| ● | 我们的VIE及其子公司可能对不当收集、使用或盗用客户提供的个人信息负有责任。 |
| ● | 网络平台业务经营相关法律法规的制定时间表、解释和实施存在不确定性。 |
| ● | 根据PRC法律,就像我们公司这样的海外上市而言,可能需要获得中国证监会或其他PRC监管机构的批准。 |
| ● | 在提交给美国证券交易委员会的报告和其他文件以及我们的其他公开声明中对我们的披露不受PRC任何监管机构的审查。 |
| ● | 《并购规则》为外国投资者进行的收购规定了复杂的程序,这可能加大通过收购实现增长的难度。 |
| ● | PRC有关PRC居民和PRC公民境外投资活动的规定可能会增加我们面临的行政负担,并可能使我们的PRC居民实益拥有人或股票期权持有者的雇员承担个人责任,限制我们的子公司增加我们的注册资本或向我们分配利润的能力,限制我们向我们的PRC子公司注资的能力,或可能使我们承担PRC法律规定的责任。 |
| ● | PRC法律对外汇的限制可能会限制我们将经营活动产生的现金转换为外币的能力,并可能对贵公司的投资价值产生重大不利影响。 |
| ● | 我们可能依赖全资子公司支付的股息和其他股权分配来满足我们可能需要的任何现金和融资需求,而对我们子公司向我们付款的能力的任何限制都可能对我们开展业务的能力产生重大不利影响。 |
| ● | 根据《企业所得税法》,就PRC税务而言,我们可能被视为一家居民企业,这可能会使我们就我们的全球收入和支付给我们的非中国股东的股息扣缴PRC所得税。 |
| ● | 我们可能面临比预期更大的税务负担。 |
| ● | PRC法律制度的不确定性,包括法律执行的不确定性,以及中国法律法规的突然或意外变化,可能会对我们产生不利影响,并限制您和我们可以获得的法律保护。 |
| ● | PRC的法律制度正在不断发展,由此产生的不确定性可能会对我们产生不利影响。 |
| ● | 如果我们直接受到最近涉及在美上市中国公司的审查、批评和负面宣传,它可能不得不花费大量资源调查和解决任何相关问题,这可能对我们的业务运营和声誉产生重大不利影响。 |
十三
| ● | 我们的优惠税务待遇终止的风险。 |
| ● | 由于业务合并,我们将面临有关PRC居民企业的非中国控股公司间接转让其股权的不确定性。 |
| ● | 新的立法或PRC劳动法或法规的变化可能会影响我们的业务运营。 |
| ● | 政府对货币兑换的控制可能会限制我们有效利用我们的净收入的能力,并影响你方投资的价值。 |
与我们的普通股有关的风险
除上述风险外,我们还面临与普通股相关的一般风险和不确定性,包括但不限于以下风险和不确定性:
| ● | 有关拟议私有化交易的不确定性可能会对我们的业务和普通股的市场价格产生不利影响。 |
| ● | 我们的普通股的交易价格很可能波动,这可能给我们的股东和投资者造成重大损失。 |
| ● | 如果证券或行业分析师不发表研究报告或发表不准确或不利的研究报告,我们的普通股的市场价格和交易量可能会下降。 |
| ● | 与未来确定上市公司会计监督委员会(PCAOB)无法彻底检查或调查我们的审计师有关的风险。 |
| ● | 未来出售或以其他方式稀释我们的股权可能会压低我们普通股的市场价格。 |
| ● | 某些股东对我们尚未遵守的他们的普通股有追缴和要求登记权的权利。出售若干普通股可能会对我们普通股的市场价格产生不利影响,而这些权利的存在可能会使我们今后更难筹集资金。 |
| ● | 在公开市场出售大量普通股,或认为这种出售可能发生,可能会压低我们普通股的市场价格。 |
| ● | 您在保护您的利益方面可能会遇到困难,并且您通过美国联邦法院保护您的权利的能力可能会受到限制,因为公司是根据开曼群岛公司法成立的。 |
| ● | 如果我们未能实施和维持有效的内部控制制度,以纠正我们在财务报告方面的重大缺陷,我们可能无法准确地报告我们的业务结果,履行我们的报告义务或防止欺诈。 |
| ● | 我们的股东对公司作出的某些判决可能无法执行。 |
| ● | 纳斯达克可能会让我们的普通股退市,这可能会限制投资者交易我们的证券的能力,并使我们受到额外的交易限制。 |
| ● | 如果我们的普通股受到美国证交会细价股规则的约束,经纪自营商在完成客户交易时可能会遇到困难,我们证券的交易活动可能会受到不利影响。 |
| ● | 我们是一家“新兴成长型公司”,我们不能确定适用于新兴成长型公司的降低的披露要求是否会降低我们的证券对投资者的吸引力。 |
| ● | 我们是一家“空壳公司”,根据《规则》第144条,我们的受限证券的转售受到额外限制。 |
| ● | 如果我们成为或将要成为一家被动的外国投资公司,可能会对美国投资者产生不利的美国联邦所得税后果。 |
上述风险在“项目3”下进行了更全面的讨论。关键信息——风险因素”,从本年度报告第1页开始。
十四
第一部分
项目1。董事、高级管理人员和顾问的身份
不适用。
项目2。提供统计数据和预期时间表
不适用。
项目3。关键信息
A. [保留]
资本化和负债
不适用。
C.要约的理由及所得款项的用途
不适用。
D.风险因素
你应仔细考虑下列所有风险因素和本报告所载的所有其他资料,包括财务报表。本报告还包含涉及风险和不确定性的前瞻性陈述。由于特定因素,包括下文所述的风险,我们的实际结果可能与前瞻性陈述中的预期存在重大差异。下文所述的风险因素不一定是详尽无遗的,我们鼓励你们对我们和我们的业务进行自己的调查。
与我们的业务和行业有关的风险
有许多风险和不确定因素可能影响我们的业务、业绩、发展和结果。其中许多风险是我们无法控制的。以下是对可能影响我们业务的重要风险因素的描述。如果这些风险中的任何一个实际发生,我们的业务、财务状况或经营业绩可能会受到重大不利影响。我们目前不知道或我们目前认为不重要的其他风险和不确定性也可能对我们的业务、财务状况或经营业绩产生重大不利影响。
如果我们未能预测用户的偏好,并以符合成本效益的方式提供高质量的内容,特别是受欢迎的原创内容,我们可能无法吸引和留住用户以保持竞争力。
我们的成功取决于我们维持和增加用户的能力,以及用户在CHEERS App上花费的时间。为了吸引和留住用户并与我们的竞争对手竞争,我们必须继续提供高质量的内容,特别是流行的原创内容,为我们的用户提供优越的在线娱乐体验。为此,我们必须继续制作新的原创内容,并以具有成本效益的方式寻找新的人才和制作人。鉴于我们在一个快速发展的行业中运营,我们必须预测用户偏好和行业趋势,并及时有效地应对这些趋势。如果我们未能满足用户的需求和偏好,以提供更好的用户体验或控制成本,我们可能会受到用户流量减少的影响,我们的业务、财务状况和经营业绩可能会受到重大不利影响。
我们目前依靠我们的内部员工团队为原创内容创造创意,并监督原创内容的创作和制作过程,并打算继续将我们的人力和资本资源投入到此类内容制作中。在有限的高素质创意人才库中,我们面临着对合格人才的激烈竞争。如果我们不能有效地竞争高素质人才,或以合理的成本吸引和留住顶尖人才,我们的原创内容制作能力将受到重大不利影响。如果我们无法以符合成本效益的方式提供满足用户口味和偏好的受欢迎的原创内容,我们的用户流量可能会减少,我们的业务、财务状况和经营业绩可能会受到重大不利影响。
1
我们在一个资本密集型行业运营,需要大量现金来为我们的运营提供资金,并制作或获取高质量的视频内容。如果我们不能获得足够的资本来为我们的运营提供资金,我们的业务、财务状况和未来前景可能会受到重大的不利影响。
互联网视频流内容提供商和电视节目制作商的运营需要对内容制作或获取以及视频制作技术进行大量和持续的投资。制作高质量的原创内容既费钱又费时,通常需要很长时间才能实现投资回报(如果有的话)。如果我们无法获得足够的资本来满足我们的资本需求,我们可能无法充分执行我们的战略增长计划,我们的业务、财务状况和前景可能会受到重大不利影响。
如果我们为移动和在线视频内容及电子商务产品留住用户和吸引新用户的努力不成功,我们的业务、财务状况和经营业绩将受到重大不利影响。
除了我们的电视节目内容制作,我们的移动和在线视频及电子商务产品在过去几年中经历了显着的用户增长。我们能否继续留住用户和吸引新用户,在一定程度上取决于我们能否持续不断地为用户提供有吸引力的内容选择,以及选择和观看视频内容的高质量体验。如果我们推出新的功能或服务,或改变现有功能和服务的组合,使我们的用户不受欢迎,我们可能无法吸引和留住用户,我们的业务、财务状况和经营业绩将受到重大不利影响。
如果我们未能留住现有或吸引新的广告客户在我们的移动和在线视频内容或电子商务平台上做广告,维持并增加我们在广告预算中的钱包份额,或者如果我们无法及时收回应收账款,我们的业务、财务状况和经营业绩可能会受到重大不利影响。
我们收入的很大一部分来自在我们的移动和在线视频内容以及我们的电子商务平台上投放的广告。我们的广告客户不是长期合同,我们可能无法留住我们的广告客户在未来,吸引新的广告客户持续或能够留住我们的广告客户。如果我们的广告客户发现他们可以在其他地方产生更好的回报,或者如果我们的竞争对手提供更好的在线广告服务以满足广告客户的目标,我们可能会失去部分或全部广告客户。此外,第三方可能开发和使用某些技术来阻止在线广告的显示,如果出现这种情况,我们的会员将能够跳过我们的广告客户的广告观看,这反过来可能导致我们失去广告客户。如果我们的广告客户确定他们在互联网视频流媒体平台或我们的视频内容上的支出没有产生预期回报,他们可能会将部分或全部广告预算分配给其他广告渠道,如电视、报纸和杂志或其他互联网渠道,如电子商务和社交媒体平台,并减少或终止与我们的业务。由于我们的大多数广告客户不受长期合同的约束,他们可以很容易地减少或终止广告安排,而不会产生重大责任。未能留住现有的广告客户或吸引新的广告客户在我们制作的视频内容内或在我们的电子商务平台上做广告,可能会对我们的业务、财务状况和经营业绩产生重大不利影响。
2
我们的品牌广告客户通常通过各种第三方广告代理签订广告协议。在中国的广告行业,广告公司通常与他们所代表的品牌广告客户保持良好的关系,并保持较长时间的合作。除了直接与广告客户订立广告合同外,我们还与代表广告客户的第三方广告代理商订立广告合同,即使我们与这些广告客户有直接联系。因此,我们依赖第三方广告代理商向我们的品牌广告客户销售和收取费用。我们的广告客户和广告代理商的财务状况可能会影响我们的应收账款回收。我们对我们的广告客户和广告代理商进行信用评估,以便在签订广告合同之前评估广告服务费的可收取性。然而,我们可能无法准确评估每个广告客户或广告代理商的信誉,广告客户或广告代理商无法及时向我们支付服务费用将对我们的流动性和现金流产生负面影响,并可能对我们的业务、财务状况和经营业绩产生重大不利影响。
我们在一个竞争激烈的市场经营,我们可能无法有效地竞争。
我们在中国经营的各个子市场面临着巨大的竞争,主要来自阿里巴巴(纳斯达克:BABA)、品多多(纳斯达克:拼多多)、斗鱼(纳斯达克:DOYU)、趣头条(纳斯达克:QTT)、芒果传媒(SZ.300413)和电广传媒(SH.603721)。我们争夺用户、使用时间、广告客户和购物者。我们的一些竞争对手拥有比我们更长的经营历史和更多的财政资源,因此可能能够吸引和保留更多的用户、使用时间和广告客户。我们的竞争对手可能以各种方式与我们竞争,包括进行品牌推广和其他营销活动,以及对我们的商业伙伴进行投资和收购。如果我们的任何竞争对手获得比我们更大的市场认可或能够提供更具吸引力的互联网视频内容,我们的用户流量和市场份额可能会下降,这可能会导致广告客户、购物者和用户的流失,并对我们的业务、财务状况和经营业绩产生重大不利影响。我们还面临着来自各大电视台对用户和用户时间的竞争,这些电视台正在增加其互联网视频产品。我们还面临来自其他互联网媒体和娱乐服务的用户和用户时间的竞争,例如提供新兴和创新媒体格式内容的互联网和社交媒体平台。
我们业务的成功取决于我们维持和提升品牌的能力。
我们相信,保持和提高我们的品牌对我们业务的成功具有重要意义。我们广受认可的品牌对于扩大我们的用户基础,进而扩大我们的购物者对我们的电子商务平台的吸引力以及对广告客户和内容提供商的吸引力至关重要。由于互联网视频行业竞争激烈,维持和提升我们的品牌在很大程度上取决于我们成为并保持中国市场领导者的能力,而这可能难以实现且成本高昂。如果我们的原创内容被认为质量低劣或对用户没有吸引力,我们维持和提升品牌的能力可能会受到不利影响,进而可能导致我们的移动和在线视频及电子商务平台失去用户。
他人增加专业制作的内容或PPC,可能会对我们的业务、财务状况和经营业绩产生重大不利影响。
我们的商业模式的成功取决于我们PPC的质量。PPC,特别是电视剧和电影的数量最近在中国有显著的增长,未来可能会继续增加。由于相对强劲的在线广告预算,互联网视频流媒体平台正在创造更多收入,并在总体上积极竞争制作和授权更多的PPC。随着对高质量PPC需求的增长,PPC生产商的数量可能会增加,从而导致对我们的用户和使用时间的竞争加剧,这反过来可能导致在我们的电子商务平台上失去广告客户、用户和购物者。在我们的电子商务平台上为客户、用户或购物者做广告的任何重大损失都将对我们的业务、财务状况和经营业绩产生重大不利影响。
3
高级管理层和关键员工的持续合作对我们的成功至关重要,任何高级管理层或关键员工的流失都可能对我们的业务、财务状况和经营业绩产生重大不利影响。
我们的成功取决于我们的高级管理层,特别是我们的执行官,包括我们的创始人Bing Zhang先生的持续和合作努力。如果我们的一名或多名高管或其他关键人员不能或不愿继续提供他们的服务,我们可能无法轻易或根本无法找到合适的替代者。管理层和关键人员的竞争非常激烈,合格候选人的数量有限。我们可能无法保留我们的高管或关键人员的服务,或在未来吸引和留住有经验的高管或关键人员。如果我们的任何执行官或关键员工加入竞争对手或形成竞争业务,我们可能会失去关键的商业秘密、技术诀窍、广告商和其他宝贵的资源。我们的每一位行政人员和主要雇员都签订了一份雇佣协议,其中包含竞业禁止条款。然而,我们不能向你保证,他们将遵守就业协议,或者我们执行这些协议的努力将足以有效地保护我们的利益。
我们有限的经营历史使我们很难评估我们的业务和前景。
我们期望继续扩大我们的用户和客户基础,并探索新的市场机会。然而,由于我们自2016年以来的经营历史有限,我们的历史增长率可能并不代表我们未来的表现。我们不能向你保证,我们的增长率将与过去一样。此外,我们可能在未来推出新的服务,或大幅扩展现有服务,包括那些目前规模相对较小的服务,或我们之前很少或根本没有开发或运营经验的服务。如果这些新的或增强的服务未能吸引用户和客户,我们的业务和经营业绩可能因此受到影响。我们无法向您保证,我们将能够收回我们在引入这些新服务或加强现有较小业务方面的投资,我们可能会因这些努力而遭受重大损失和资产价值减值。此外,作为一家以科技为基础的娱乐公司,我们经常向我们的用户和广告客户推出创新产品和服务,以抓住新的市场机会。然而,我们不能保证我们的产品和服务将受到我们的用户和广告客户的好评。如果我们的现有或新产品和服务不能得到我们的用户和客户的好评,我们的品牌形象可能受到损害,可能无法维持或扩大我们的用户和客户基础,这反过来可能对我们的业务、财务状况和经营业绩产生重大不利影响。你应该考虑到风险和不确定性,我们的前景快速增长的公司,有限的运营历史在一个快速发展的行业。
我们可能无法有效地管理我们的增长。
自2016年推出服务以来,我们经历了快速增长。为了管理我们业务的进一步扩展以及我们业务和人员的增长,我们需要不断扩大和加强我们的基础设施和技术,并改善我们的业务和财务系统、程序、合规和控制。我们还需要扩大、培训和管理我们不断增长的员工基础。此外,我们的管理层将需要维持和扩大我们与分销商、广告客户和其他第三方的关系。我们不能向你保证,我们目前的基础设施、系统、程序和控制措施将足以支持我们不断扩大的业务。如果我们不能有效地管理我们的扩张,我们的业务、财务状况、经营业绩和前景可能会受到重大的不利影响。
如果我们不能在电子商务平台上以有吸引力的价格提供品牌产品,以满足客户的需求和偏好,或者如果我们销售正宗、高质量产品的声誉受损,我们可能会失去客户,我们的业务、财务状况和经营业绩可能会受到重大不利影响。
我们未来在电子商务平台上的增长,部分取决于我们能否继续吸引新客户,以及能否增加现有客户的消费和重复购买率。不断变化的消费者偏好历来影响并将继续影响在线零售业。因此,我们必须紧跟新出现的生活方式和消费者偏好,并预测将吸引现有和潜在客户的产品趋势。
4
随着我们实施我们的战略,提供一个个性化的网络界面,专注于我们的客户所希望的深度策划和有针对性的产品,我们预计在产品和服务的选择方面将面临更多的挑战。我们专注于在我们的电子商务平台上只提供正宗的产品,因为我们的客户或潜在客户认为我们的任何产品不是正宗的,或缺乏质量,可能会损害我们的声誉。这对化妆品产品尤其重要,我们预计化妆品产品在我们的收入中所占的比例将越来越大。虽然我们的代表一般会检查在我们的电子商务平台上出售的产品,以确认其真实性和质量,但不能保证我们的供应商向我们提供了真实的产品,或我们销售的所有产品都符合消费者期望的质量。如果我们的客户无法在我们的产品组合中以有吸引力的价格找到想要的产品,或者如果我们销售正宗、高质量产品的声誉受损,我们的客户可能会对我们的电子商城失去兴趣,因此可能会减少访问我们的电子商务平台的频率,甚至完全停止访问,这反过来可能会对我们的业务、财务状况和经营业绩产生重大不利影响。
移动设备上的用户行为正在迅速演变,如果我们不能成功地适应这些变化,我们的竞争力和市场地位可能会受到影响。
在中国,买家、卖家和其他参与者越来越多地将移动设备用于各种用途,包括电子商务。虽然很大一部分参与者通过移动设备进入我们的电子商务平台,但这一领域正在迅速发展,我们可能无法继续提高移动设备用户在我们的电子商务平台上的移动访问或交易水平。不同移动设备和平台上的各种技术和其他配置增加了与这种环境相关的挑战。我们成功扩大使用移动设备访问电子商务平台的能力受到以下因素的影响:
| ● | 我们有能力继续在我们的电子商务平台和多种移动设备环境中的工具上提供引人注目的视频内容; | |
| ● | 我们在流行的移动操作系统上成功部署应用程序的能力;以及 | |
| ● | 替代平台的吸引力。 |
如果我们不能吸引大量新的移动买家和提高移动参与度,我们维持或发展业务的能力将受到重大不利影响。
我们的业务前景和财务业绩可能会受到我们与第三方平台的关系的影响。
除了我们自己的电子商务平台,我们还通过第三方平台分发视频内容。然而,我们不能保证我们与这些平台的安排在各自到期后将会延长或续期,或我们将能够以对我们有利的条款和条件延长或续期这些安排。此外,如果任何此类第三方平台违反其在与我们签订的任何协议下的义务,或在协议期限届满时拒绝延长或续签此类协议,而我们无法及时找到合适的替代者,或根本无法找到替代者,我们的用户基础和收入流可能会遭受重大损失,或失去通过此类平台扩展业务的机会。我们与我们过去使用过的第三方平台之间可能发生纠纷,可能对我们与这些平台的关系产生不利影响,进而可能对我们的业务、财务状况和经营业绩产生重大不利影响。
我们面临风险,例如与我们通过第三方平台和我们的电子商务平台制作、许可和/或分发的内容有关的意外成本和潜在责任。
作为内容的生产者、许可人和分销商,我们面临着疏忽、版权和商标侵权或基于我们生产、许可、提供和/或分发的内容的其他索赔的潜在责任。我们还可能面临潜在的责任内容,以推广我们的服务,包括营销材料和功能,如用户评论我们的平台。我们对原创内容的制作成本和其他费用负责。为这些索赔辩护的诉讼可能代价高昂,任何责任或不可预见的生产风险所产生的费用和损害可能会损害我们的业务、财务状况和经营业绩。我们可能不会因这些类型的索赔或费用而获得赔偿,我们可能不会为这些类型的索赔提供保险。
5
由我们制作或在我们的电子商务平台上展示的视频和其他内容可能会被PRC监管机构发现有异议,并可能使我们受到处罚和其他行政行动。
我们须遵守PRC有关互联网接入及互联网上传播视频和其他形式信息的规定。根据本条例,互联网内容提供者和互联网出版商不得在互联网上发布或展示任何违反PRC法律法规、损害中国国家尊严或公共利益,或淫秽、迷信、恐怖、令人毛骨悚然、令人反感、冒犯性、欺诈性或诽谤性的内容。此外,作为互联网视频流媒体制作商,我们不得(i)制作或传播歪曲、戏仿或诋毁经典文学作品的节目;(ii)对经典文学作品、广播和电视节目以及基于网络的原创视听节目的字幕进行重新编辑、重新配音或重新添加字幕;(iii)截取节目片段并将它们拼接成新节目;或(iv)传播歪曲原创作品的编辑作品。不遵守这些要求可能导致罚款、吊销提供互联网内容的许可证或其他许可证、暂停有关平台和名誉损害。此外,这些法律和条例须由有关当局解释,可能不可能在所有情况下都确定哪些类型的内容可能导致我们作为互联网内容提供者承担责任。
如果PRC监管机构认为我们制作的或在我们的电子商务平台上展示的任何内容是令人反感的,他们可能会要求我们限制或消除以下架订单或其他形式在我们的平台上传播此类内容。
我们所处的行业发展迅速。如果我们未能跟上技术发展和用户不断变化的要求,我们的业务、财务状况、经营业绩和前景可能会受到重大不利影响。
互联网视频流媒体行业正在快速发展,并受到持续的技术变革的影响。我们的成功将取决于我们是否有能力跟上技术变化和技术发展带来的用户行为。当我们在各种移动操作系统和设备上提供我们的服务时,我们依赖于我们的服务与我们无法控制的流行移动设备和移动操作系统(如Android和iOS)的互操作性。此类移动操作系统或设备的任何改变,如果降低我们服务的功能或给予竞争性服务优惠待遇,都可能对我们服务的使用产生不利影响。此外,如果移动操作系统和设备的数量增加(这在像中国这样的动态和分散的移动服务市场中很常见),我们可能会产生与开发这些设备和系统进入我们的电子商务平台所需的工具和软件相关的额外成本和费用。如果我们未能有效和及时地调整我们的产品和服务以适应这些变化,我们可能会受到用户流量减少的影响,这可能会导致用户基础减少。此外,技术的变化可能需要在产品开发以及修改产品、服务或基础设施方面进行大量资本支出。由于各种原因,如技术障碍、对市场需求的误解或错误预测或缺乏必要的资源,我们可能无法成功地执行我们的业务战略。如果不能跟上技术发展的步伐,可能会导致我们的产品和服务的吸引力下降,进而可能对我们的业务、经营业绩和前景产生重大不利影响。
我们可能无法充分保护我们的知识产权,任何未能保护我们的知识产权都可能对我们的收入和竞争地位产生不利影响。
我们认为,我们使用的商标、商业秘密、版权和其他知识产权对我们的业务至关重要。我们依靠中国和其他司法管辖区的商标、版权和商业秘密保护法,以及保密程序和合同条款来保护我们的知识产权和品牌。中国对知识产权的保护可能不如美国或其他司法管辖区有效,因此,我们可能无法充分保护我们的知识产权,这可能对我们的收入和竞争地位产生不利影响。此外,第三方未经授权使用我们的知识产权可能会对我们的收入和声誉产生不利影响。此外,我们可能难以应对与盗版我们的版权内容(尤其是我们的原创内容)相关的业务威胁。我们的内容和流媒体服务可能会受到未经授权的消费者复制和非法数字传播的影响,而不会给我们带来经济回报。
6
此外,监管未经授权使用专有技术是困难和昂贵的,我们可能需要诉诸诉讼来执行或捍卫知识产权,或确定我们或他人的所有权的可执行性、范围和有效性。此类诉讼和任何此类诉讼中的不利裁决都可能造成巨大的成本,并转移资源和管理注意力。
我们的业务产生和处理大量数据,这些数据的不当使用或披露可能会损害我们的声誉,并对我们的业务和前景产生重大不利影响。
我们的电子商务平台产生和处理大量的个人、交易、人口和行为数据。我们在处理大量数据和保护这些数据的安全方面面临着固有的风险。特别是,我们在交易数据和我们平台上的其他活动方面面临一些挑战,包括:
| ● | 保护我们系统中和托管的数据,包括防止外部各方对我们系统的攻击或我们员工的欺诈行为; |
| ● | 解决与隐私和共享、安全、安保和其他因素有关的问题;和 |
| ● | 遵守与个人信息的收集、使用、披露或安全有关的适用法律、规则和条例,包括管理当局和政府当局提出的与此种数据有关的任何要求。 |
任何导致用户数据泄露的系统故障或安全漏洞或失误都可能损害我们的声誉和品牌,从而损害我们的业务,此外还可能使我们承担潜在的法律责任。
如果不能维持或改善我们的技术基础设施,可能会损害我们的业务和前景。
采用新的软件和升级我们的在线基础设施需要投入大量的时间和资源,包括增加新的硬件、更新软件以及招聘和培训新的工程人员。维护和改善我们的技术基础设施需要大量投资。不利后果可能包括意料之外的系统中断、响应时间变慢、买卖双方体验的质量受损以及延迟报告准确的运营和财务信息。此外,我们使用的许多软件和接口都是内部开发的专有技术。如果我们在软件的功能和有效性方面遇到问题,或无法维护和不断改进我们的技术基础设施以满足我们的业务需求,我们的业务、财务状况、运营结果和前景以及我们的声誉可能会受到重大不利影响。
我们面临付款处理风险。
我们的电子商务客户使用各种不同的在线支付方式为他们的服务付款。我们依靠第三方来处理这类付款。接受和处理这些付款方式须遵守某些规则和条例,并需要支付交换费和其他费用。如果支付处理费增加,支付生态系统的重大变化,例如从支付处理方收到付款的延迟和/或有关支付处理的规则或条例的变化,我们的收入、业务费用和业务结果可能受到不利影响。
7
我们业务的成功运作取决于中国互联网基础设施的性能和可靠性。
除了在中国制作通过卫星电视传输的电视节目外,我们的业务依赖于中国互联网基础设施的性能和可靠性。几乎所有的互联网接入都是通过国有电信运营商在中国工业和信息化部的行政控制和监管下维持的。此外,中国的国家网络通过国有的国际网关连接到互联网,这是国内用户连接到中国境外互联网的唯一渠道。如果中国的互联网基础设施出现中断、故障或其他问题,我们可能无法使用替代网络。此外,中国的互联网基础设施可能无法满足与互联网使用持续增长相关的需求。
针对我们内部系统和网络的安全漏洞和攻击,以及任何可能导致的漏洞或未能以其他方式保护机密和专有信息,都可能损害我们的声誉,对我们的业务产生负面影响,并对我们的财务状况和经营业绩产生重大不利影响。
虽然我们已动用资源制定安全措施,防止未经授权访问我们的系统和网络,但我们的网络安全措施可能无法成功地发现或阻止所有未经授权访问我们网络上的数据的企图,或破坏和关闭我们的系统。未经授权访问我们的网络和系统可能导致信息或数据被盗用、用户信息被删除或修改、或拒绝服务或对我们的业务运营造成其他干扰。由于用于获取未经授权的访问或破坏系统的技术经常变化,并且可能在对我们或我们的第三方服务提供商发起攻击之前不为人所知,我们可能无法预测或实施适当的措施来防范这些攻击。如果我们无法避免这些攻击和安全漏洞,我们可能会承担重大的法律和财务责任,我们的声誉将受到损害,我们可能会因用户的不满而蒙受巨大的收入损失。我们可能没有足够的资源或技术水平来预测或防止迅速演变的网络攻击类型。实际或预期的攻击和风险可能使我们承担更高的费用,包括部署更多的人员和网络保护技术、培训雇员以及聘请第三方专家和顾问的费用。网络安全漏洞不仅会损害我们的声誉和业务,还会大大减少我们的收入和净收入。
我们依靠我们的合作伙伴通过因特网协议电视(IPTV)提供我们的服务。
在IPTV视频流市场,只有少数合格的许可证持有者能够通过IPTV、机顶盒等电子产品向电视终端用户提供互联网视听节目服务。这些执照的持有者大多是电台或电视台。希望经营这类业务的私营公司需要与这些许可证持有者合作,合法地提供相关服务。如果我们未能成功地维持现有的或建立新的关系,或者如果我们在通过这些设备向我们的会员提供流媒体内容时遇到技术、内容许可、监管或其他障碍,我们发展业务的能力可能会受到不利影响。
我们IT系统的中断或故障可能会损害用户的在线娱乐体验,并对我们的声誉产生不利影响。
我们能否在电子商务平台上为用户提供高质量的在线娱乐体验,取决于我们IT系统的持续和可靠运行。我们无法向您保证,我们将能够及时或以可接受的条件或根本无法获得足够的带宽。如果做不到这一点,可能会严重损害我们平台上的用户体验,并降低我们平台对用户和广告商的整体有效性。
8
如果我们经历频繁或持续的服务中断,无论是由我们自己的系统或第三方服务提供商的系统故障引起的,我们的用户体验可能会受到负面影响,进而可能对我们的声誉产生重大不利影响。我们无法向您保证,我们将成功地将服务中断的频率或持续时间降至最低。
未被发现的编程错误可能会对我们的用户体验和市场对我们视频内容的接受度产生不利影响,这可能会对我们的业务、财务状况和经营业绩产生重大不利影响。
由我们制作或在我们的电子商务平台上展示的视频内容可能包含只有在我们发布后才会变得明显的编程错误。我们通常能够及时解决此类编程错误。但是,我们无法向您保证,我们将能够有效地检测和解决所有这些编程错误。未检测到的音频或视频编程错误或缺陷可能会对用户体验产生不利影响,进而可能对我们的业务、财务状况和经营业绩产生重大不利影响。
我们的收入和净收入可能受到中国经济放缓的重大不利影响,也可能受到美国和中国之间的贸易争端的间接影响,这可能导致经济前景的不确定性。
我们业务的成功取决于消费者从电子商务、广告费、制作成本和第三方支付的版权费,这可能受到消费者信心和中国经济增长前景不确定性的影响。我们几乎所有的收入都来自中国。因此,我们的收入和净收入在很大程度上受到中国和全球经济状况以及在线和移动商务以及品牌广告特有的经济状况的影响。近年来,PRC政府采取了一系列措施来控制经济增长速度,包括提高和降低商业银行的利率和调整存款准备金率,以及实施其他旨在收紧或放松信贷和流动性的措施。过去,这些措施导致PRC经济放缓,尽管最近PRC采取了降低利率和调整存款准备金率的措施,以增加信贷供应,以应对经济疲软,部分原因是与美国的持续贸易争端,但不能保证PRC的努力将使国内经济前景更加确定,或消费者信心增强。任何持续或恶化的经济放缓都可能显著减少中国的国内贸易,包括通过互联网和我们的生态系统。在中国或我们可能经营的任何其他市场,经济衰退(无论是实际的还是预期的)、经济增长率的进一步下降或不确定的经济前景,都可能对我们的业务、财务状况和经营业绩产生重大的不利影响。
我们面临与自然灾害、健康流行病和其他突发事件有关的风险,这些风险可能严重扰乱我们的业务。
我们易受自然灾害和其他灾害的影响。火灾、洪水、台风、地震、断电、电信故障、闯入、战争、暴乱、恐怖袭击或类似事件可能导致服务器中断、故障、系统故障、技术平台故障或互联网故障,这可能导致数据丢失或损坏或软件或硬件故障,并对我们在电子商务平台上制作视频内容或提供产品和服务的能力产生不利影响。
如果我们的任何雇员被怀疑患有新冠疫情、埃博拉病毒病、H1N1流感、H7N9流感、禽流感、SARS或其他流行病,我们的业务运作可能会受到干扰,因为我们可以要求我们的雇员进行隔离和/或我们的办公室进行消毒。此外,我们的业务、财务状况或经营业绩可能会受到重大不利影响,因为任何这些流行病都会损害中国的整体经济。
9
我们的半年度经营业绩可能会出现波动,这使得我们的经营业绩难以预测,并可能导致我们的季度经营业绩低于预期。
我们的半年度经营业绩在过去有过波动,可能会继续波动,这取决于许多因素,其中许多因素是我们无法控制的。我们的经营业绩往往是季节性的。因此,将我们的经营业绩逐期比较可能没有意义。例如,在学校假期和学年的某些时段,在线用户数量往往较低,而在春节期间,广告收入往往较低,这可能会对我们在这些时段的现金流产生负面影响。
我们需要高素质的人才来制作高质量的视频内容,如果我们无法聘用或留住合格的人才,我们可能无法有效地发展,我们的业务、财务状况和经营业绩可能会受到重大不利影响。
我们目前依靠我们的内部员工团队为原创内容创造创意,并监督原创内容的创作和制作过程,并打算继续将我们的人力和资本资源投入到此类内容制作中。在有限的高素质创意人才库中,我们面临着对合格人才的激烈竞争。如果我们不能有效地竞争高素质人才,或以合理的成本吸引和留住顶尖人才,我们的原创内容制作能力将受到重大不利影响。如果我们无法以符合成本效益的方式提供满足用户口味和偏好的受欢迎的原创内容,我们的用户流量可能会减少,我们的业务、财务状况和经营业绩可能会受到重大不利影响。
我们未来的成功还取决于我们吸引和留住高素质管理人员的能力。我们的业务和管理的扩展将需要更多具有行业经验的管理人员和员工,我们的成功将高度依赖于我们吸引和留住熟练管理人员和其他员工的能力。我们可能无法吸引或留住高素质的人才。在中国,对熟练管理人员的竞争十分激烈。这种竞争可能使吸引、雇用和留住合格的管理人员和雇员变得更加困难和昂贵。
我们的控股股东将对我们有很大的影响力。
截至2022年12月31日,由我们的董事长Bing Zhang先生控制的Happy Starlight Limited实益拥有18,952,863股我们的普通股,即27.8%。此外,张先生还直接拥有我们普通股的760,000股,即1.1%;因此,张先生可被视为实益拥有我们普通股的19,712,863股,即28.9%。因此,张先生将对我们的业务产生重大影响,包括有关合并、合并、出售我们全部或几乎全部资产、选举董事、宣布股息和其他重大公司行动的决定。此外,这种所有权的集中可能会阻碍、延迟或阻止控制权的变更,这可能会剥夺你方在出售本公司的过程中从你方普通股中获得溢价的机会。
我们预计在可预见的未来不会派发现金股息,因此,我们投资者的唯一收益来源将取决于资本增值(如果有的话)。
我们不打算在可预见的将来宣布或支付我们的普通股的任何现金股息,并且目前打算保留任何未来的收益来为增长提供资金。因此,如果投资者要求投资于我们的证券以产生股息收入,他们就不应依赖投资于我们的证券。在可预见的未来,我们股票的资本增值(如果有的话)可能是我们投资者唯一的收益来源。
荣耀星集团的银行账户在中国,没有保险,也没有损失保险。
荣星集团的现金主要存放在中国各大银行,而这些银行主要由中国政府所有。荣耀星集团的现金账户没有保险,也没有其他保障。如果持有我们现金存款的任何银行或信托公司破产,或如果我们无法提取资金,我们可能会损失在该银行或信托公司的存款现金或冻结我们的帐户。
10
我们未能保护我们的知识产权可能会对我们的业务产生负面影响。
我们相信我们的品牌、商号、商标和其他知识产权对我们的成功至关重要。我们业务的成功在很大程度上取决于我们能否继续使用我们的品牌、商号和商标来提高品牌知名度和进一步发展我们的品牌。未经授权复制我们的商品名称或商标可能会降低我们的品牌价值和我们的市场接受度、竞争优势或商誉。此外,我们的专有信息没有获得专利或以其他方式注册为我们的财产,是我们的竞争优势和增长战略的一个组成部分。
监测和防止未经授权使用我们的知识产权是困难的。我们为保护我们的品牌、商号、商标和其他知识产权而采取的措施可能不足以防止第三方未经授权使用它们。此外,有关知识产权的法律在中国和国外的适用是不确定和不断变化的,可能给我们带来重大风险。据我们所知,中国有关当局历来没有像美国那样保护知识产权。如果我们无法充分保护我们的品牌、商号、商标和其他知识产权,我们可能会失去这些权利,我们的业务可能会遭受重大损失。此外,未经授权使用我们的品牌、商号或商标可能会在广告商中造成品牌混淆,并损害我们作为高质量和全面广告服务提供商的声誉。如果我们的品牌认知度下降,我们可能会失去广告客户和我们的扩张战略失败,我们的业务、经营业绩、财务状况和前景可能会受到重大不利影响。
我们可能在诉讼中被列为被告,也可能在第三方、我们客户的竞争对手、政府或监管机构或消费者对我们的客户提起的诉讼中被列为被告,这可能导致对我们不利的判决,并对我们的业务造成重大破坏。这些行动可能涉及除其他外声称:
| ● | 关于我们客户的产品或服务的广告声明是虚假的、欺骗性的或具有误导性的; |
| ● | 我们客户的产品有缺陷或有害,可能对他人有害;或 |
| ● | 为我们的客户制作的营销、沟通或广告材料侵犯了第三方的所有权。 |
这些索赔中的任何一项所产生的损害赔偿、费用、开支和律师费都可能对我们的业务、财务状况、经营业绩和前景产生重大不利影响,以致我们得不到客户的充分赔偿。无论如何,我们的声誉可能会受到这些指控的负面影响。
我们的业务依赖计算机软件和硬件系统,这些系统的故障可能会对我们的业务、财务状况和业务结果产生不利影响。
我们在设计广告和保存重要的操作和市场信息时,依赖我们的计算机软件和硬件系统。此外,我们依靠我们的计算机硬件来储存、传送和传输数据。任何导致数据输入、检索和传输中断或服务时间增加的系统故障都可能扰乱我们的正常运营。虽然我们有一个旨在解决计算机软件和硬件系统故障的灾后恢复计划,但我们可能无法有效地执行这一灾后恢复计划或在足够短的时间内恢复我们的业务,以避免业务中断。如果我们的计算机软件或硬件系统出现故障,可能会减少我们的收入,并损害我们与广告商、电视频道和其他媒体公司的关系,进而可能对我们的业务、经营业绩和财务状况产生重大不利影响。
11
我们不承担业务责任或中断、诉讼或财产保险,我们所经历的任何业务责任或中断、诉讼或财产损失可能会给我们带来巨大的成本和资源的转移。
我国保险业仍处于发展的初级阶段。中国的保险公司提供有限的业务中断、业务责任或类似业务保险产品。我们已确定,我们的业务中断或责任的风险、我们的财产(包括我们的设施、设备和办公家具)的潜在损失或损坏、为这些风险获得保险的成本以及以商业上合理的条款获得此类保险的相关困难,使我们无法以商业上合理的条款和条件获得此类保险。因此,我们没有为我们在中国的业务购买任何商业责任、中断、诉讼或财产保险。任何未投保的损失或损坏我们的财产或诉讼或业务中断的情况都可能给我们带来巨大的成本和资源的转移,这可能对我们的经营业绩产生不利影响。
我们的元宇宙平台和NFT市场的创建取决于我们开发可接受的区块链的能力。
我们创造可以铸造、接受和转让的NFT的能力取决于我们开发一个被接受和安全的区块链的能力。未能开发出安全可靠的区块链,将对我们创建一个市场的能力产生不利影响,让我们的用户可以交易、购买和出售他们的NFT。
我们的元宇宙宇宙目前正在开发中,我们不能保证我们的元宇宙平台会被其他人接受或产生足够的兴趣。
我们提出的元宇宙平台目前正在开发中。我们的意图是,我们的Metaverse平台将以虚拟世界为特色,包含智能零售、视频点播、社交网络、游戏和NFT的沉浸式体验,拥有广泛的“线上+线下”和“虚拟+现实”场景。通过利用我们的CHEERS视频和电子商城平台,我们的目标是继续为我们计划的元宇宙平台研究和开发不同的娱乐和购物应用程序,并为我们的用户提供一套工具,以促进创作者开发新内容。
无法保证NFT市场将得到发展和/或维持,这可能对我们的业务运营产生重大不利影响。
包括但不限于NFT在内的数字资产市场仍处于萌芽状态。因此,NFT市场可能不会发展,如果一个市场确实发展了,这种价值就会得到维持。如果一个市场没有为NFT发展起来,我们可能很难或不可能发展和维持一个市场,让我们的用户可以交易、购买和出售他们的NFT。我们可能无法完成元宇宙平台或NFT市场的开发。此外,我们可能无法成功地将一个NFT市场整合到我们的元宇宙平台中,从而影响我们开发和延续新业务的能力。
如果我们无法继续开发或实现我们的元宇宙平台,以及开发我们的元宇宙体验中心,我们的业务将会受到一定程度的影响。
我们的业务部分依赖于开发和实现我们的元宇宙平台和元宇宙体验中心。我们已经投入并期望继续投入大量资源来开发、分析和营销我们的元宇宙平台,但是我们不能保证我们的元宇宙平台会成功。元宇宙平台的成功部分取决于我们无法控制的不可预测和不稳定因素,包括消费者偏好、新的元宇宙平台、其他娱乐体验的可用性以及有关元宇宙的法规的潜在变化,这可能会影响我们增加收入的能力,我们的财务业绩将受到负面影响。
12
这些和其他的不确定性使得我们很难知道我们是否会按照我们的业务计划继续开发我们的元宇宙平台和元宇宙体验中心。如果我们不能成功地做到这一点,我们这一特定部门的业务模式可能会受到影响。
我们在开发和推出元宇宙平台方面有一段相对较新的历史。因此,我们可能难以预测元宇宙平台和元宇宙体验中心的开发时间表。如果开发或发布被推迟,我们无法继续投资于我们的元宇宙平台和元宇宙体验中心,我们增加收入的能力和我们的财务业绩将受到负面影响。
区块链技术的基础技术受到与消费者接受区块链技术相关的一些全行业挑战和风险的影响。区块链网络和区块链资产的开发或接受的放缓或停止将对我们元宇宙平台的成功开发产生重大不利影响。
区块链行业的增长受到消费者采用和长期发展的高度不确定性的影响。影响区块链和NFT行业进一步发展的因素包括但不限于:
| ● | 全球采用和使用NFT和其他区块链技术的增长; |
| ● | 政府和准政府对NFT及其使用的监管,或对区块链网络或类似系统的访问和运行的限制或监管; |
| ● | 区块链网络开源软件协议的维护和开发; |
| ● | 消费者人口结构以及公众品味和偏好的变化; |
| ● | 其他买卖商品和服务或交易资产的形式或方法,包括使用政府支持的货币或现有网络的新方法的出现和普及; |
| ● | 当前对NFT的兴趣在多大程度上代表着投机“泡沫”; |
| ● | 美国和世界的总体经济状况; |
| ● | 与NFT和区块链相关的监管环境;以及 |
| ● | NFT或其他数字资产的受欢迎程度或接受度下降。 |
作为一个整体,NFT行业的特点是快速的变化和创新,并且在不断发展。尽管近年来它经历了显著的增长,但区块链网络和区块链资产的开发、普遍接受、采用和使用的放缓或停止可能会阻止或延迟对NFT的接受和采用。
区块链网络或区块链资产的开发、普遍接受、采用和使用的放缓或停止可能会对NFT的价值产生不利影响。特定NFT的价值依赖于适用的区块链网络的开发、普遍接受、采用和使用,这取决于随时访问适用网络的能力。
数字资产的价格极不稳定。
即使是单一的其他数字资产的价格下降也可能导致整个数字资产行业的波动,并可能影响其他数字资产的价值,包括可能通过我们的元宇宙平台获得的任何NFT。例如,安全漏洞或影响购买者或用户对知名数字资产信心的任何其他事件或一系列情况可能会影响整个行业,也可能导致包括NFT在内的其他数字资产的价格波动。
13
将我们的业务扩展到新的产品、服务和技术,包括内容类别,具有内在的风险,并可能使我们面临额外的商业、法律、财务和竞争风险。
从历史上看,我们一直是一家数字媒体平台和内容驱动型电子商务公司。进一步扩展我们的业务和开发我们的CHEERS平台,将其纳入我们的元宇宙平台,涉及许多风险和挑战,包括潜在的新竞争、增加的资本要求和增加营销支出,以提高客户对这些新产品和服务的认识。向更多内容、产品和服务领域的发展可能需要改变我们现有的业务模式和成本结构,并修改我们的基础设施,并可能使我们面临新的监管和法律风险,其中任何一种风险都可能要求我们在我们很少或没有经验的领域拥有专门知识。我们无法保证能够从销售此类产品和服务中获得足够的收入,以抵消开发、获取、管理和货币化此类产品和服务的成本,我们的业务可能会受到不利影响。
如果我们不能继续进行技术创新或开发、营销和销售新产品和服务,或加强现有技术、产品和服务以满足客户的要求,我们增加收入的能力就会受到损害。
我们的增长在很大程度上取决于我们的创新能力和为现有创意平台增值的能力,以及为我们的客户和贡献者提供可扩展、高性能的技术基础设施的能力,这些基础设施能够高效、可靠地应对全球范围内客户和贡献者日益增加的使用,以及新功能的部署。例如,NFT需要额外的资本和资源。如果不改进我们的技术和基础设施,我们的业务可能会受到意外的系统中断、缓慢的性能或不可靠的服务水平的影响,其中任何一个都可能对我们的声誉以及吸引和留住客户和贡献者的能力产生负面影响。我们目前正在并计划继续进行重大投资,以维持和加强技术和基础设施,并改进我们的信息流程和计算机系统,以便更有效地经营我们的业务并保持竞争力。我们可能在未来几年内无法从这些投资中获得预期的收益、显著的增长或市场份额的增加,如果有的话。如果我们不能成功地或以具有成本效益的方式管理我们的投资,我们的业务和经营业绩可能会受到不利影响。
NFT的价值是不确定的,可能会给我们带来不可预见的风险。
NFT是独特的、独一无二的数字资产,在某些数字资产网络协议的支持下成为可能。由于其不可替代的特性,NFT引入了数字稀缺性,并成为流行的在线“收藏品”,类似于实物稀有收藏品,如交易卡或艺术品。与现实世界的收藏品一样,随着受欢迎程度的上升和随后的消退,NFT的价值可能容易出现“繁荣和萧条”的周期。如果出现这些萧条周期中的任何一个,可能会对我们未来某些战略的价值产生不利影响。此外,由于NFT通常依赖于与数字资产相同类型的基础技术,因此大多数适用于数字资产的风险也适用于NFT,这将使我们面临这些风险因素中其他地方描述的一般数字资产风险。
特定数字资产在任何相关司法管辖区的“证券”地位都具有高度的不确定性,并且取决于我们的客户利用我们的产品和服务开展的活动,我们和我们的客户可能会受到监管审查、调查、罚款和其他处罚,这可能会对我们的业务、经营业绩和财务状况产生不利影响。
美国证券交易委员会(SEC)及其工作人员的立场是,根据美国联邦证券法,某些数字资产属于“证券”的定义。用来确定某一特定数字资产是否为证券的法律测试是一种高度复杂的、以事实为导向的分析,随着时间的推移而演变,其结果很难预测。美国证交会一般不会就任何特定资产作为证券的地位提供预先指导或确认。此外,美国证交会在这一领域的观点是随着时间的推移而演变的,很难预测任何持续演变的方向或时机。关于各种数字资产,根据适用的法律标准,目前尚不能确定此类资产是否为证券,尽管我们根据基于风险的评估得出的结论是,根据适用的法律,某一特定资产可能被视为“证券”。
14
根据适用法律将数字资产归类为证券,对这类资产的提供、出售和交易产生的监管义务具有广泛的影响。例如,在美国作为证券的数字资产一般只能根据向美国证券交易委员会提交的登记声明或符合豁免登记条件的发售在美国发售或出售。在美国进行证券资产交易的人可能需要在美国证券交易委员会登记为“经纪人”或“交易商”。在美国,将买方和卖方聚集在一起交易数字资产的证券平台通常需要注册为全国性证券交易所,或者必须有资格获得豁免,例如由注册的经纪自营商按照ATS规则作为替代交易系统或ATS运营。为证券清算和结算提供便利的人员可以作为清算机构在证券交易委员会注册。外国司法管辖区可能有类似的许可证、登记和资格要求。
如果美国证交会、外国监管机构或法院判定我们的一位客户在我们提供的平台上提供、出售或交易的受支持的数字资产是一种证券,我们的客户将无法提供此类资产进行交易,除非它能够以合规的方式这样做,这将需要客户的大量支出。此外,我们或我们的客户可能会因未能按照注册要求提供或出售数字资产,或在没有适当注册的情况下充当经纪人、交易商或国家证券交易所而受到司法或行政处罚。这样的行动可能会导致禁制令、停止令,以及民事罚款、罚款、非法所得、刑事责任和名誉损害,这可能会对我们的业务、经营业绩和财务状况产生负面影响。
与我们的公司Structure有关的风险
如果PRC政府认定我们的VIE合同不符合适用的法规,或者这些法规或其解释在未来发生变化,我们可能会受到严重后果的影响,包括VIE合同无效以及我们放弃在霍尔果斯和星翠灿的权益。
我们是一家在开曼群岛注册的控股公司。作为一家控股公司,我们没有自己的实质性业务,我们的所有业务都是通过我们在PRC成立的子公司和VIE进行的。我们通过VIE合同控制并获得VIE业务运营的经济利益。我们的普通股是我们海外控股公司的股份,而不是我们在中国的VIE的股份。关于VIE合同安排的说明,见"项目4。公司信息——组织Structure。
截至2022年12月31日和2021年12月31日,VIE分别占公司合并经营业绩和现金流的大部分。截至2022年12月31日和2021年12月31日,VIE占公司合并总资产和总负债的大部分。
PRC现行法律法规对从事增值电信服务及其他相关业务的公司的外资所有权规定了一定的限制或禁令。根据《外国投资准入特别管理措施(2021年)》(“负面清单(2021年)”),我们的增值电信服务和某些其他业务被视为在外国投资方面受到限制或禁止。为遵守PRC的法律和法规,我们通过霍尔果斯和星翠灿在中国开展增值电信服务和某些其他业务,这些业务是基于(i)外商独资企业、(ii)星翠灿及其股东和(iii)霍尔果斯及其股东之间的VIE合同。由于这些VIE合同,我们对霍尔果斯和星翠灿实施控制,并将经营业绩合并或合并到我们的财务报表中。霍尔果斯和Xing Cui Can持有对我们的服务运营至关重要的许可证、批准和关键资产。
15
正如我们的PRC法律顾问所告知的,每一份受PRC法律管辖的VIE合同都是有效的,并且在现行PRC法律下具有法律约束力。然而,我们的PRC法律顾问也告知我们,当前或未来PRC法律法规的解释和适用存在很大的不确定性,PRC监管机构在确定特定合同结构是否违反PRC法律法规方面拥有广泛的自由裁量权。因此,PRC监管当局可能最终采取与我们的PRC法律顾问的结论相反的观点。此外,不确定是否会通过PRC有关可变利益实体结构的任何新法律或条例,或者如果通过这些法律或条例将提供什么。如果我们被发现违反了PRC的任何法律或法规,或者如果VIE合同被任何PRC法院、仲裁庭或监管机构认定为非法或无效,相关政府机构在处理此类违规行为时将拥有广泛的自由裁量权,包括但不限于:
| ● | 撤销构成VIE合同的协议; | |
| ● | 吊销我们与霍尔果斯和星翠灿的增值电信服务业务和某些其他业务有关的业务和经营许可证; | |
| ● | 要求我们终止或限制与增值电信服务业务及某些其他业务有关的业务; | |
| ● | 限制我们收取增值电信服务业务和某些其他业务产生的收入的权利; | |
| ● | 限制或禁止我们使用海外发行的收益为霍尔果斯和星翠灿的业务和运营提供资金; | |
| ● | 对我们征收罚款和/或没收他们认为是通过不合规的操作获得的收益; | |
| ● | 要求我们重组业务,以迫使我们成立一个新企业,重新申请必要的许可证,或搬迁我们与增值电信服务业务和某些其他业务有关的业务、员工和资产; | |
| ● | 施加我们可能无法遵守的附加条件或要求;或 | |
| ● | 采取其他可能对我们的业务有害的监管或执法行动。 |
此外,在霍尔果斯和星翠灿股权的任何记录持有人名下的任何资产,包括此类股权,都可能在与针对该记录持有人的诉讼、仲裁或其他司法或争议解决程序有关的情况下由法院保管。我们不能确定股权是否会按照VIE合同处置。此外,可能会引入新的PRC法律、规则和条例,以施加额外的要求,可能会对我们的公司结构和VIE合同提出额外的挑战。任何该等事件的发生或任何该等处罚的实施,均可能对我们开展业务的能力造成重大不利影响。此外,如果这些处罚中的任何一项导致我们失去指导合并后的关联实体及其子公司的活动的权利或获得其经济利益的权利,我们将不再能够合并霍尔果斯和星翠灿,从而对我们的经营业绩产生不利影响。
16
我们的VIE合同在提供运营控制方面可能不如直接所有权有效,霍尔果斯和星翠灿或其股东可能无法履行我们的VIE合同规定的义务。
我们根据VIE合同在中国开展增值电信服务业务和某些其他业务,由(i)外商独资企业、(ii)星翠灿及其股东和(iii)霍尔果斯及其股东签署。我们来自增值电信服务和某些其他业务的收入和现金流归属于霍尔果斯和星翠灿。在为我们提供对霍尔果斯和星翠灿的控制权方面,VIE合同可能不如直接所有权有效。例如,直接所有权将使我们能够直接或间接行使我们作为股东的权利,对霍尔果斯和星翠灿的董事会进行变更,这反过来可能影响变更,但须遵守管理层的任何适用的信托义务。然而,根据VIE合同,作为一个法律事项,如果霍尔果斯和星翠灿或股东未能履行其各自在VIE合同下的义务,我们可能不得不承担大量费用和花费大量资源来执行这些合同安排,诉诸诉讼或仲裁,并依赖PRC法律的法律补救措施。这些补救办法可包括寻求具体的履行或强制性救济和要求损害赔偿,其中任何一种可能无效。例如,如果当WFOE根据VIE合同行使看涨期权时,股东拒绝将其在霍尔果斯和星翠灿的股权转让给WFOE或WFOE的指定人,或者如果他们对我们有恶意行为,我们可能不得不采取法律行动迫使他们履行各自的合同义务。如果我们无法执行这些VIE合同,或者我们在执行这些VIE合同的过程中遇到重大延误或其他障碍,我们可能无法有效地指导VIE的活动,并可能失去对霍尔果斯和星翠灿拥有的资产的控制权。因此,我们可能无法在合并财务报表中合并霍尔果斯和星翠灿,这可能对我们的财务状况和经营业绩产生重大不利影响。
我们的VIE合同可能会受到PRC税务机关的审查,并可能被征收额外的税款。如果发现我们欠了额外的税,可能会大大降低我们的综合净收入和你方投资的价值。
根据适用的PRC法律和法规,关联方之间的安排和交易可能会受到PRC税务机关的质疑,可能会被征收额外的税款和利息。如果PRC税务机关认定VIE合同下的交易不是在公平的基础上进行的,我们将受到不利的税务后果,因为PRC税务机关有权对我们的税务状况进行特殊的税务调整。此类调整可能会对我们产生不利影响,因为我们会增加我们的税收支出,而不会减少外商独资企业的税收支出,使我们面临滞纳金和其他因少缴税款而受到的罚款。如果我们的税务负债增加,或受到滞纳金或其他罚款的影响,我们的综合经营业绩可能会受到不利影响。
股东可能与我们有潜在的利益冲突,他们可能违反他们与我们的合同或导致以违反我们的利益的方式修改这些合同。
我们通过霍尔果斯和星翠灿开展增值电信服务业务和某些其他业务。我们对这些实体的控制是基于与它们及其股东签订的允许我们控制它们的VIE合同。股东可能与我们有潜在的利益冲突,如果他们认为这会促进他们自己的利益,或者如果他们以其他方式恶意行事,他们可能会违反与我们的合同。我们无法向您保证,当我们与霍尔果斯和星翠灿之间发生利益冲突时,股东将完全符合我们的利益,或者利益冲突将以有利于我们的方式解决。
此外,股东可能违反或导致霍尔果斯和星翠灿违反VIE合同。目前,我们没有任何安排来解决这些股东与我们公司之间的潜在利益冲突,只是我们可以援引与霍尔果斯和星翠灿的股东签订的股权质押协议下的权利,在股东违反VIE合同的情况下执行股权质押。对于同时也是我们董事和高级职员的个人,我们依赖他们遵守开曼群岛的法律,这些法律规定,董事和高级职员对公司负有受托责任,要求他们本着诚信行事,并以他们认为符合公司最佳利益的方式行事,不利用他们的职位谋取个人利益。
17
股东还可能涉及与第三方的个人纠纷或其他可能对其各自在霍尔果斯和星翠灿的股权以及我们与霍尔果斯、星翠灿和股东的VIE合同的有效性或可执行性产生不利影响的事件。例如,如果霍尔果斯或星翠灿的任何股权由与当前VIE合同不具约束力的第三方继承,我们可能会失去对霍尔果斯和星翠灿的控制权,或者不得不通过产生不可预测的成本来维持这种控制权,这可能会对我们的业务和运营造成重大干扰,并损害我们的财务状况和经营业绩。
我们通过霍尔果斯和星翠灿通过VIE合同在PRC开展增值电信服务和某些其他业务,但根据PRC法律,VIE合同的某些条款可能无法执行。
构成VIE合同的所有协议均受PRC法律管辖,并规定在PRC通过仲裁解决争议。因此,这些协议将按照PRC法律解释,争议将按照PRC法律程序解决。PRC的法律环境不如其他司法管辖区发达,PRC法律制度的不确定性可能会限制我们执行VIE合同的能力。同时,关于如何根据PRC法律解释或执行合并关联实体背景下的VIE合同的先例很少,也很少有正式的指导。如果有必要采取法律行动,这种仲裁的最终结果仍然存在很大的不确定性。此外,根据PRC法律,仲裁员的裁决是终局裁决,当事人不能就仲裁结果向法院提出上诉,如果败诉当事人未能在规定的期限内履行仲裁裁决,胜诉当事人只能通过仲裁裁决承认程序在PRC法院执行仲裁裁决,这将需要额外的费用和延迟。如果我们无法执行VIE合同,或在执行过程中遇到重大时间延误或其他障碍,我们将很难有效地指导霍尔果斯和星翠灿的活动,我们开展业务的能力以及我们的财务状况和经营业绩可能会受到重大不利影响。
如果我们行使收购霍尔果斯和星翠灿股权的选择权,所有权转让可能会使我们受到一定的限制和巨大的成本。
根据国务院颁布并于2022年3月修订的《外商投资电信企业管理条例》(简称《FITE条例》),除国家另有规定外,外国投资者不得持有任何提供增值电信服务,包括ICP服务的公司50%以上的股权。如果PRC法律允许外国投资者投资于像我们这样的中国增值电信企业,我们可以解除VIE合同,并行使选择权,收购霍尔果斯和星翠灿的股权。
根据VIE合同,WFOE或其指定的人有权以相当于行使时PRC法律允许的最低价格从股东手中购买霍尔果斯和星翠灿的全部或任何部分股权。如果发生这种转让,主管税务机关可要求外商独资企业参照市场价值为所有权转让收入缴纳企业所得税,在这种情况下,税额可能很大。
我们目前的公司结构和业务运作可能会受到新颁布的《外国投资法》的重大影响。
2019年3月15日,全国人民代表大会(简称“全国人大”)颁布了《PRC外商投资法》,自2020年1月1日起施行。由于它相对较新,在解释和执行方面存在很大的不确定性。《PRC外商投资法》没有明确界定通过VIE合同控制的合并关联实体如果最终由外国投资者“控制”,是否会被视为外商投资企业。但是,在“外商投资”的定义中,它有一个包罗万象的规定,包括外国投资者通过法律、行政法规或者国务院规定的其他方式在中国进行的投资。因此,未来的法律、行政法规或国务院的规定仍有余地将VIE合同作为外商投资的一种形式,届时我们的VIE合同是否会被视为违反了外商在PRC投资的市场准入要求,如果是,我们的VIE合同应如何处理,将是不确定的。
18
《PRC外商投资法》给予外商投资实体国民待遇,但在外商投资准入特别管理措施(负面清单)中规定为外商投资“限制”或“禁止”行业的外商投资实体除外。《PRC外商投资法》规定:(一)在“限制”行业经营的外商投资实体必须获得PRC政府有关部门的市场准入许可和其他批准;(二)外国投资者不得投资于负面清单“禁止”的任何行业。如果我们通过VIE合同对霍尔果斯和星翠灿的控制在未来被视为外商投资,并且根据当时生效的负面清单,霍尔果斯和星翠灿的任何业务被“限制”或“禁止”外商投资,我们可能被视为违反了PRC外商投资法,允许我们对霍尔果斯和星翠灿拥有控制权的VIE合同可能被视为无效和非法,我们可能被要求解除此类VIE合同和/或重组我们的业务运营,其中任何一项都可能对我们的业务运营产生重大不利影响。
此外,如果未来的法律、行政法规或规定要求公司就现有的VIE合同采取进一步行动,我们可能会面临很大的不确定性,我们是否能够及时完成这些行动,或者根本不能完成这些行动。如果不能及时采取适当措施,应对这些或类似的监管合规挑战,可能会对我们目前的公司结构和业务运营产生重大不利影响。
我们的广告业务、电子商务和某些其他业务依赖我们持有的批准证书和营业执照,霍尔果斯和星翠灿之间的关系的任何恶化都可能对我们的业务运营产生重大不利影响。
根据我们持有的批准证书、营业执照和其他必要的许可证,我们在PRC经营我们的广告业务、电子商务和某些其他业务。我们不能保证,当许可证或证书的条款到期时,我们将能够以与其目前持有的条款基本相似的条款更新我们的许可证或证书。
此外,我们与霍尔果斯和星翠灿的关系受VIE合同约束,该合同旨在为我们提供指导霍尔果斯和星翠灿业务运营的能力。然而,VIE合同可能无法有效地控制我们的业务运营所需许可证的申请和维护。如果我们违反VIE合同、破产、业务困难或无法履行我们在VIE合同下的义务,因此,我们的经营、声誉和业务可能受到严重损害。
与在中国做生意有关的风险
最近州政府对在美上市中国公司的商业活动的干预,可能会对我们在中国的现有和未来业务产生负面影响。
最近,中国政府宣布将加强对在海外上市的中国企业的监管。根据新措施,中国将加强对跨境数据流动和安全的监管,打击证券市场的非法活动,惩治证券欺诈发行、市场操纵和内幕交易,还将检查证券投资的资金来源,控制杠杆率。中国国家互联网信息办公室(简称“CAC”)还对几家在美国上市的科技巨头展开了网络安全调查,重点是反垄断、金融科技监管,最近,随着《数据安全法》的通过,企业如何收集、存储、处理和传输数据。
19
我们的总部设在中国,并在中国设有业务。我们目前使用可变利益实体来执行我们的业务计划和开展我们在中国的业务。此外,我们的主要股东位于中国。因此,中国政府总有可能在未来寻求干预或影响任何在中国有任何级别业务的公司的运营,包括向投资者提供证券、在美国或其他外汇交易所上市其证券、开展业务或接受外国投资的能力。鉴于中国最近的声明,存在着我们暂时无法预见的风险和不确定性,中国的规则和法规可能会在很少或根本不提前通知的情况下迅速改变。中国政府可能会在任何时候干预或影响公司目前和未来在中国的运营,或者对海外发行和/或外国对像我们这样的发行人的投资施加更多控制。
如果发生上述任何一种或全部情况,这可能导致公司的经营和/或普通股价值发生重大变化和/或严重限制或完全阻碍公司向投资者提供或继续提供证券的能力,并导致此类证券的价值大幅下降或一文不值。
我们面临与冠状病毒和健康流行病及其他爆发有关的风险,这些风险可能严重扰乱我们的业务。
2020年第一季度,一种新型冠状病毒(新冠疫情)在世界各地传播,并在2020年3月被世界卫生组织宣布为大流行病,这在中国和国际市场造成了巨大的波动。2020年初,为加强遏制新冠疫情传播的努力,中国政府采取了一系列行动,其中包括延长春节假期,对感染新冠疫情的中国人进行隔离和其他治疗,要求居民留在家中,避免在公共场所聚集。目前,没有普遍公认的新冠疫情抗病毒治疗方法。虽然这些限制性措施已逐步取消,但放宽对经济和社会生活的限制可能导致新的情况,从而可能导致重新实施限制。重新实施限制性措施可能会对我们的行动产生不利影响。
新冠疫情可能在多大程度上进一步影响我们的业务和财务业绩,将取决于未来的发展,这些发展具有高度的不确定性,在很大程度上是我们无法控制的。即使新冠疫情的经济影响逐渐消退,疫情也会对商业活动和消费行为产生长期的影响。我们不能保证能够调整我们的业务,以适应这些变化和我们经营所处的日益复杂的环境。
本公司受PRC有关本行业的法律法规的约束。
我们经营业务受PRC行政监管机构和适用法律的约束。为了经营我们的业务,我们必须获得各种政府机构的执照和许可证。如果我们失去执照和许可证,我们将无法经营我们的一些业务,这将对我们的业务产生不利影响。
我们面临与中国广告业性质相关的风险,包括广告提案的频繁和突然变化。
中国广告业的本质是,广告提案和实际广告的突然变化是经常发生的。在中国,电视台作为广告发布者,仍然对广告内容负责,因此,电视台可以拒绝或建议对广告内容进行修改。我们努力通过鼓励签订基本的书面协议,尽量减少与客户工作有关的问题,但我们面临与广告客户发生意外事件或纠纷的风险。此外,与我们在PRC行业的其他公司类似,在特定行业内的广告客户与广告公司之间的关系通常不是排他性的,我们目前在多个行业的单一行业内为多个客户提供服务。如果中国的这种做法发生变化,有利于排他性关系,如果我们应对这种变化的努力无效,我们的业务、经营业绩和财务状况可能会受到重大不利影响。
20
中国对媒体内容进行了广泛的监管,并可能因其为广告客户设计的广告内容或向其提供的服务而受到政府的制裁。
PRC广告法律法规要求广告主、广告经营者和广告发布者,包括我们的企业,确保广告不包含任何虚假或误导性内容,其广告活动应完全符合适用的法律、法规和规章。违反这些法律、规则或条例可能导致处罚,包括罚款、没收广告费、命令停止传播广告和命令发布纠正误导信息的广告。在严重违法的情况下,PRC政府可以吊销我们的营业执照。此外,这种不遵守行为可能构成违反刑法,因此可能对我国提起刑事诉讼。
我们的业务包括协助广告客户设计和制作广告,以及执行他们的广告活动。我们代理我们的客户处理电视频道,或我们的客户希望在其平台上展示其广告的其他媒体。根据我们与电视频道或其他媒体的协议,我们通常负责遵守有关其向媒体提供的广告内容的适用法律、规则和条例。此外,我们的一些广告客户提供完整的广告,供我们在电视频道上展示。虽然这些广告须接受内部审查和核查,但其内容可能不完全符合适用的法律、规则和条例。此外,对于与特殊类型的产品和服务相关的广告内容,如药品和医疗程序、杀虫剂和保健品,我们必须确认我们的客户已获得必要的政府批准和/或这些广告不得包含特定内容。我们努力遵守这些要求,包括要求广告客户提供相关文件,并聘请受过培训的合格广告检查员审查广告内容是否符合适用的PRC法律、规则和条例。然而,我们不能向你保证,我们的业务不会发生违反或据称违反内容要求的情况。如果相关的PRC政府机构认定我们代理的广告内容违反了任何适用的法律、规则或法规,我们可能会受到处罚,这可能会损害我们的声誉,并可能占用我们管理层的大量时间和其他资源。针对这类诉讼进行辩护可能既困难又昂贵。虽然我们与客户的协议通常要求他们保证其广告内容的公正性、准确性和遵守相关法律法规,并同意就违反这些保证的行为向我们作出赔偿,但这些合同补救措施可能并不涵盖我们因政府处罚而造成的所有损失。违反或涉嫌违反内容要求也可能损害我们的声誉,并损害我们开展和扩展业务的能力。
PRC法律法规的解释和执行方面的不确定性可能会限制我们可获得的法律保护。
PRC法律制度是以成文法为基础的大陆法系。鼓励使用以前的法院裁决作为参考,但目前尚不清楚以前的法院裁决在多大程度上可能影响目前的法院裁决,因为鼓励政策是新的,而且这方面的司法实践有限。20世纪70年代末,PRC政府开始颁布一套全面的经济法规体系。过去四十年来,立法的总体效果大大增加了对PRC各种形式的外国或私营部门投资的保护。WFOE是我们在PRC的运营子公司,是一家外商独资企业,受适用于外商在PRC投资的法律法规以及适用于外商投资企业的法律法规的约束。WFOE是一家私有公司,受PRC法律和法规的约束,这些法律和法规通常适用于PRC的公司。这些法律和条例仍在演变,其解释和执行涉及不确定因素。例如,我们可能不得不诉诸行政和法院程序来执行我们通过法律或合同享有的法律保护。然而,由于PRC行政和法院当局在解释和执行法定和合同条款方面拥有很大的自由裁量权,因此,与较发达的法律体系相比,评估行政和法院诉讼的结果以及我们在PRC法律体系中可能享有的法律保护水平可能更加困难。这些不确定因素也可能妨碍我们执行已签订的合同的能力。因此,这些不确定性可能对我们的业务和运营产生重大不利影响。
21
与NFT和元宇宙的监管管理和政府政策有关的重大不确定性可能会对我们未来将从事的NFT和元宇宙相关业务的成本、性能和运营前景产生重大影响。
NFT和元宇宙行业是我们未来商业计划的重要组成部分。例如,我们打算推出元宇宙体验中心,让用户有机会亲身体验虚拟世界,并能够创建自己的NFT。我们还计划采用NFT技术,帮助保护平台原创内容在CHEERS视频平台中的版权。此外,我们将利用我们的CHEERS生态系统、区块链技术以及与各种合作伙伴的战略合作,开发一个元宇宙平台,该平台的特点是一个包含沉浸式体验的虚拟世界。
尽管NFT和元宇宙在中国的业务发展迅速,市场参与者越来越多,但在这方面很少有法律或法规颁布。过去,中国政府出台了一系列法规和政策,禁止或限制虚拟货币的发行和交易,一些地方监管部门发布了关于推进城市元宇宙标准体系建设的指导意见。然而,PRC尚未颁布任何具体的法律或法规来监管NFT和元宇宙相关业务。因此,我们不能确定政府当局是否和何时能够颁布新的法律、条例或政策来规管这些业务,以及我们对这些业务的经营是否能够满足政府当局的规管要求。此外,有关NFT或元宇宙的新法律或法规可能会使我们为遵守这些规则付出巨大成本,或者在我们未能遵守这些规则的情况下处罚、暂停甚至终止这些业务,这可能会严重影响我们的成本、业绩和这些业务的前景。
此外,由于中国没有针对NFT和元宇宙的明确监管法规,对NFT和元宇宙资产的法律保护可能不如对其他资产的保护有效。如果我们的客户或我们拥有的NFT和元宇宙资产在没有适当法律补救措施的情况下遭受侵权、盗窃或其他不利影响,我们对这些业务的业务运营和/或我们的声誉可能会受到不利影响。
由于中国税务部门的原因,延迟开具发票可能会对我们的现金流产生重大不利影响。
在中国经营的公司可能需要提前从中国税务机关获得增值税发票,以便根据客户的合同安排向他们收取会费。为了做到这一点,企业需要向中国税务机关提交发票,然后等待增值税发票的签发。收到后,它将增值税发票发送给客户付款。有时,中国税务机关可能会延迟开具增值税发票,因为该公司的发票金额超过了之前为该期间的增值税发票规定的配额。此类配额由中国税务机关根据公司过去的业务运营情况,根据公司在一段时间内开具的发票金额设定,配额会定期调整。因此,对于像我们这样快速增长的公司,我们的发票可能会定期超过当前的配额,这会导致延迟获得增值税发票,影响我们及时向客户开具发票和收取应收账款的能力。为了应对这一挑战,我们发挥了积极作用,与中国税务部门联系,解释该公司的快速增长,超过了及时获取增值税发票所需的配额。此外,我们正与客户密切合作,以便在开具增值税发票之前收到付款。但是,如果我们不能及时增加我们的配额,导致延迟开具增值税发票,或者我们的客户不能或不愿意在收到增值税发票之前付款,它可能会在收取我们的应收账款时受到延迟,从而影响我们的现金流。
22
我们行业的竞争正在加剧,可能导致我们在未来失去市场份额和收入。
我们的行业可能会面临日益激烈的竞争,我们相信,随着这个行业的成熟和开始整合,市场将变得更具竞争力。我们的一些竞争对手拥有比我们更大、更成熟的用户基础,以及比我们更多的财务、营销和其他资源。因此,我们可能会失去市场份额,我们的收入可能会下降,从而影响我们的收益和增长潜力。
我们的业务有赖于管理层的持续努力。如果它失去了他们的服务,我们的业务可能会受到严重干扰。
我们的业务运作有赖于我们管理层的持续努力,特别是本文件中提到的执行官员。如果我们的一个或多个管理层不能或不愿意继续与我们合作,我们可能无法及时或根本无法替换他们。我们可能会产生额外的费用来招聘和留住合格的替代者。我们的业务可能受到严重干扰,我们的财务状况和经营业绩可能受到重大不利影响。此外,我们的管理层可能会加入竞争对手或组建竞争公司。我们可能无法成功地执行我们与我们的管理团队所拥有的任何合同权利,特别是在中国,所有这些人都居住在中国,我们的业务是通过我们的子公司和VIE合同经营的。因此,我们的业务可能会因为失去一名或多名管理层成员而受到负面影响。
我们的业务可能受到全球金融危机和经济衰退的重大不利影响。
我们在PRC经营业务。任何未来的全球金融危机和经济衰退都可能以多种方式对我们的业务、财务状况、业务结果和前景产生重大不利影响,包括:
| ● | 在全球金融危机和经济衰退期间,我们可能面临严峻的挑战、客户流失和其他经营风险;以及 |
| ● | 融资和其他流动性来源可能无法以合理的条件获得,或者根本无法获得。 |
在经济长期低迷或金融危机的情况下,这些风险可能会加剧。
严重和长期的全球经济衰退和中国经济放缓可能会对我们的业务、经营业绩和财务状况产生不利影响。
自2012年以来,中国经济增速较前十年有所放缓,并在2021年有所恢复。根据中国国家统计局的数据,2022年中国国内生产总值(GDP)增长3.0%。包括美国和中国在内的一些世界主要经济体的央行和金融当局所采取的货币和财政政策的长期影响存在很大的不确定性。此外,中美关系也受到美国多轮加征关税和中国征收报复性关税的关注,中国与其他亚洲国家的关系也受到关注,这可能导致或加剧与领土争端有关的潜在冲突。目前尚不清楚这些挑战和不确定因素是否会得到遏制或解决,以及从长远来看它们可能对全球政治和经济状况产生何种影响。中国的经济状况对全球经济状况、国内经济和政治政策的变化以及预期或预期的中国整体经济增长率十分敏感。全球或中国经济的任何长期放缓都可能对我们的业务、经营业绩和财务状况产生负面影响,而国际市场的持续动荡可能会对我们进入资本市场以满足流动性需求的能力产生不利影响。
23
PRC政府政治政策的任何不利变化都可能对中国的整体经济增长产生负面影响,从而对我们的业务产生重大不利影响。
本公司是一家控股公司,我们的所有业务完全在PRC进行。中国经济在许多方面与其他大多数国家的经济不同,包括政府对经济的参与程度、经济发展的总体水平、增长率以及政府对外汇和资源配置的控制。PRC政府通过配置资源、控制外币债务的支付、制定货币政策和向特定行业或公司提供优惠待遇,对中国的经济增长实施重大控制。PRC政府采取的任何行动和政策都可能对中国经济产生负面影响,从而对我们的业务产生重大不利影响。
与PRC政府的政治和经济政策以及PRC法律法规有关的重大不确定性和限制,可能会对我们可能在PRC开展的业务产生重大影响,从而对我们的经营业绩和财务状况产生重大影响。
我们的业务运作可能会受到PRC当前和未来政治环境的不利影响。中国政府对我们开展商业活动的方式施加了巨大的影响和控制。我们在中国经营的能力可能会受到中国法律法规变化的不利影响。在现任政府的领导下,PRC政府一直在推行经济改革政策,鼓励私营经济活动和更大程度的经济分权。然而,PRC政府可能不会继续推行这些政策,或可能不时大幅改变这些政策,而不会发出通知。
PRC法律法规,包括但不限于管理我们业务的法律法规或适用于在中国的外国投资的法律法规的解释和适用,存在很大的不确定性。自1979年以来,中国政府开始颁布一套全面的法律体系,对一般的经济事务进行管理,处理外商投资、公司组织和治理、商业、税收和贸易等经济事务,并鼓励外商在中国投资。虽然法律的影响不断增加,但中国还没有形成一个完全一体化的法律体系,而且最近颁布的法律法规可能没有充分涵盖中国经济活动的所有方面。此外,由于这些法律和条例相对较新,而且由于公布的案件和司法解释数量有限,而且作为先例缺乏效力,这些法律和条例的解释和执行涉及重大的不确定性。影响现有和拟议的未来业务的新法律和条例也可追溯适用。此外,为了跟上中国迅速变化的社会和经济,40年来,法律法规不断变化和修订。由于政府机构和法院提供对法律和法规的解释,并就合同纠纷和问题作出裁决,它们在某些欠发达地区裁决新业务和新政策或法规方面缺乏经验,这会造成不确定性,并可能影响我们的业务。因此,我们不能清楚地预见中国立法活动在外商投资企业或在中国执行法律法规的有效性方面的未来方向。不确定因素,包括新的法律法规和现行法律的变化,以及某些领域的机构和法院缺乏经验的官员的司法解释,可能会给外国投资者造成问题。
中华人民共和国十三届全国人大二次会议于2019年3月15日表决通过《中华人民共和国外商投资法》(简称《外商投资法》),自2020年1月1日起施行。现行三大外商投资法(《中外合资经营企业法》、《中外合作经营企业法》和《外商独资企业法》)于2020年1月1日被《外商投资法》取代。
24
《外商投资法》明确规定,“国家依照本法保护外国投资者在中国境内的投资、收益和其他合法权益”;“外国投资者可以依照本法规定,在中国境内以人民币或者其他外币自由汇入或者汇出,其出资、收益、资本利得、资产提案所得、知识产权使用费、依法取得的赔偿、赔偿或者清算所得等;”“外国投资者不得投资外商投资准入负面清单禁止投资的领域。外商投资准入负面清单限制投资的领域,应当符合负面清单规定的投资条件;”“各级人民政府及其有关部门制定外商投资规范性文件,应当符合法律、法规的规定,没有法律、行政法规作为依据的,不得损害外商投资企业的合法权益或者增加其义务,不得设置市场准入、退出条件,不得干预外商投资企业的正常生产经营活动。”
目前尚不清楚PRC政府当局将如何在实践中实施《外商投资法》。与2015年公布的《中华人民共和国外商投资法草案》相比,《外商投资法》没有“通过合同安排,包括但不限于合同和信托协议,在中国境内控制或者取得企业股权”的表述。PRC投资者通过可变利益实体结构控制的境外公司是否会被视为外国投资还有待观察。
美元和人民币之间的外币汇率波动可能会对我们的财务状况产生不利影响。
人民币对美元和其他货币的汇率可能会波动。汇率受政治和经济条件的变化以及PRC政府所采取的外汇政策等因素的影响。2005年7月21日,PRC政府改变了人民币盯住美元的政策。根据新政策,人民币兑一篮子外国货币可以在一个狭窄且有管理的区间内波动。在取消盯住美元的政策后,人民币在三年内对美元升值超过20%。然而,从2008年7月到2010年6月,人民币兑美元汇率稳定在一个狭窄的区间内波动。国际社会仍然对PRC政府施加巨大压力,要求其采取更加灵活的货币政策,这可能导致人民币对外国货币进一步大幅升值。2010年6月20日,中国人民银行宣布,PRC政府将改革人民币汇率制度,增加人民币汇率的弹性。2015年8月11日,央行牵头中间价报价行进一步完善人民币兑美元汇率形成机制,表示中间价报价参照前一交易日收盘价确定。2015年12月11日,中国外汇交易中心推出人民币汇率指数,加强了对货币篮子的参考,以更好地保持人民币对篮子内货币汇率的稳定。由此,形成了人民币兑USD中间价“收盘价+一篮子货币汇率变动”的形成机制。2016年6月,建立了外汇自律机制,使金融机构能够在维护外汇市场有序运行和公平竞争环境中发挥更重要的作用。2017年2月,外汇自律机制将对货币篮子中间价的参考时间从提交报价前24小时调整为从上一交易日收盘到提交报价之间的15小时,避免了重复提及次日中间价中USD汇率的每日变动。总体上,人民币汇率中间价形成机制不断完善,有效提高了人民币汇率政策的规则性、透明性和市场化程度,为稳定汇率预期发挥了积极作用。人民币对美元汇率弹性进一步增强,呈现较大的双向波动。我们无法预测这一新的政策和机制将如何影响人民币汇率。
我们的收入和成本大多以人民币计价,我们的金融资产也有很大一部分以人民币计价。人民币与美元汇率的任何重大波动都可能对我们的现金流、收入、收益和财务状况,以及我们以美元支付的普通股的金额和股息(如果有的话)产生重大不利影响。此外,人民币与美元汇率的任何波动都可能导致财务报告中的外币兑换损失。
25
由于我们在中国开展所有业务,我们的所有官员和主席都居住在美国之外,因此作为股东保护利益和行使权利可能是困难的。
本公司在开曼群岛注册成立,通过霍尔果斯、星翠灿及其子公司——我们在中国的综合VIE ——开展我们在中国的所有业务。此外,我们的所有官员和主席都居住在美国境外,这些人的资产基本上都位于美国境外。由于上述所有原因,我们的股东在通过针对我们的管理层或主要股东的行动来保护他们的利益方面,可能比那些完全或主要在美国做生意的公司的股东更加困难。
中国未来的通货膨胀可能会抑制经济活动,并对我们的经营产生不利影响。
近年来,中国经济经历了一段时期的快速扩张,这可能导致高通胀率或高通缩率。这导致PRC政府不时采取各种纠正措施,以限制信贷的提供或调节增长和遏制通货膨胀。未来,高通胀可能导致PRC政府再次对信贷和/或价格实施控制,或采取其他可能抑制中国经济活动的行动。PRC政府试图控制信贷和/或价格的任何行动都可能对我们的业务运营产生重大不利影响。
PRC对境外控股公司向PRC实体提供贷款和直接投资的监管,可能会延迟或阻止我们使用未来融资活动的收益向PRC运营子公司提供贷款或额外出资。
作为一家拥有PRC子公司的境外控股公司,我们可以向我们的PRC子公司转移资金,或通过股东贷款或出资的方式为我们的经营实体融资。对属于外商投资企业的PRC子公司的贷款,以投资总额与注册资本的差额或其资产净值的2倍为限。在上述额度范围内,外商投资企业可以自愿承揽外债。此类贷款应在国家外汇管理局或其当地对应机构登记。此外,如果我们决定以出资的方式为我们的经营实体提供资金,这些出资必须通过其企业登记系统、国家企业信用信息公示系统和国家外汇管理局向PRC某些政府部门,包括中国商务部或其地方主管部门和国家市场监督管理总局(以下简称“市场监督管理总局”)提交信息并进行登记。我们可能无法获得这些政府注册或及时完成相关的提交,如果有的话。如果我们未能收到此类注册或完成提交,我们向PRC经营实体提供贷款或增资的能力可能会受到负面影响,这可能会对我们的流动性以及我们为业务融资和扩张的能力产生负面影响。
此外,国家外汇管理局于2012年11月19日发布《关于进一步完善和调整直接投资外汇管理政策的通知》(《国家外汇管理局关于进一步完善和调整直接投资外汇管理政策的通知》(汇发〔 2012 〕 59号),自2012年12月17日起施行,分别于2015年5月4日、2018年10月10日进一步修订,并于2019年12月30日部分废止,要求严格审查境外发行募集资金净额结算的真实性,按照发行文件所述方式结算募集资金净额。此外,外管局于2015年3月30日发布《关于改革外商投资企业外汇资本金结汇管理方式的通知》(《国家外汇管理局关于改革外商投资企业外汇资本金结汇管理方式的通知》(汇发〔 2015 〕 19号),自2015年6月1日起施行,2019年12月30日部分废止,允许外商投资企业自行结汇,外商投资企业自行结汇取得的人民币资金,由外商投资企业自行结汇取得的资金,在结汇待付款账户下管理,外商投资企业应当如实将资金用于经营范围内的经营用途,除法律、法规另有规定外,不得将前述资金用于证券投资等。此外,国家外汇管理局于2016年6月9日进一步发布了《关于改革和规范资本项目结汇管理规定的通知》(《国家外汇管理局关于改革和规范资本项目结汇管理政策的通知》(汇发〔 2016 〕 16号),境内机构在公司经营范围内,应当如实将资本项下的外汇收入用于自营目的,银行不得为境内机构办理其全部资本项下外汇收入一次付清的结汇或付清其结汇待付款账户内全部人民币资金的结汇或付款手续,境内机构不能提供交易真实性证明的相关材料。
26
2019年10月23日,外汇局发布《关于进一步促进跨境贸易和投资便利化的通知》(《国家外汇管理局关于进一步促进跨境贸易投资便利化的通知》(汇发〔 2019 〕 28号)),即28号文,规定非投资性外商投资企业在不违反《负面清单》、投资标的真实合法的前提下,允许其以资本金进行境内股权投资。2020年4月10日,外汇局发布《关于优化外汇管理支持涉外业务发展的通知》(《关于优化外汇管理支持涉外业务发展的通知》(汇发〔 2020 〕 8号)),即8号文,允许符合条件的企业在不预先提供各项支出真实性证据材料的情况下,使用资本金、外贷和境外上市资本项下收入进行境内支付,但资金使用应当真实,并符合现行资本项下收入使用管理规定。考虑到28号文和8号文往往以原则为导向,并须由执行机构作出详细解释,以便在实践中进一步适用和执行这些法律法规,因此不清楚它们将如何执行,政府当局和银行对其解释和执行可能存在很大的不确定性。
根据PRC的规则、法规或政策,特别是随着中国境内公司海外发行和上市新的备案管理规则的颁布,我们可能需要中国证券监督管理委员会(“中国证监会”)或其他PRC政府机构的批准、备案和/或其他要求,如果需要,我们无法预测我们是否能够或在多快时间内获得批准、完成备案或满足其他政府要求。
2021年12月27日,国家发展改革委、商务部发布《负面清单》(2021年版),自2022年1月1日起施行。根据《负面清单》(2021年版),境内企业从事《负面清单》(2021年版)“禁止”行业的,拟在境外发行股票并上市交易的,应当经国家有关主管部门审批。此外,禁止外国投资者参与该企业的经营管理,每一外国投资者及其关联方在该企业的持股比例不得超过10%,所有外国投资者的持股比例不得超过30%。根据国家发展和改革委员会(简称“发改委”)就负面清单(2021年版)发布的新闻稿,上述规定仅适用于从事禁止投资领域的境内企业直接境外上市,对于不符合上述持股比例要求的现有上市公司,境外投资者持股比例不作调整。
正如我们的PRC法律顾问所告知的,基于其对PRC法律的理解和我们截至本年度报告日期的公司结构,尽管发改委在新闻稿中发表了声明,但上述审批和管理要求是否适用于像我们这样在新的负面清单生效之前已经在国外上市的公司尚不确定,也没有与相关要求或程序相关的详细规则来获得国家有关主管部门的批准。然而,如果有关政府当局决定或新的未来规则规定我们必须获得批准和/或遵守管理要求,我们将不得不申请这种批准和/或调整我们目前的管理机制。我们不能保证能够及时或完全获得这种批准。此外,遵守新的管理要求可能会妨碍我们管理的效率或能力,妨碍我们的外国投资者目前享有的权利,并可能使我们付出巨大的成本。如果我们未能按要求或及时获得批准,我们的合同安排可能会被视为非法,并被相关政府机构勒令取消,我们可能会受到其他行政措施或处罚,这可能会对我们的业务、财务状况和经营业绩产生重大不利影响。
27
2023年2月17日,证监会发布《境内公司境外证券发行上市试行管理办法》(《试行管理办法》)及相关配套指引(统称《境外上市管理新规》),自2023年3月31日起施行。根据《境外上市管理新规》,除其他事项外,寻求在境外市场发行证券并上市的PRC境内公司,应按照《试行管理办法》的要求履行向中国证监会备案的程序。境内公司在境外市场直接发行证券并上市的,发行人应当向中国证监会备案。境内公司在境外市场间接发行证券并上市的,发行人应当指定境内主要经营主体,作为境内责任主体向中国证监会备案。首次公开发行或者在境外市场上市,应当在境外提交相关申请后3个工作日内向中国证监会备案。发行人在原境外市场发行证券并在原境外市场上市的,应当在发行完成后3个工作日内向中国证监会备案。发行人在境外市场发售证券并上市后,发生控制权变更、境外证券监管机构或其他有关主管部门立案调查或处罚、上市地位变更或上市板块转让、自愿或强制退市等重大事项的,发行人应当在该事项发生并公开披露后3个工作日内向中国证监会报告。
不符合填补要求将导致中国境内企业、控股股东、实际控制人及其他相关责任人受到处罚,可变利益实体的潜在处罚包括50万元至1000万元人民币的罚款。根据《境外上市管理新规》的规定,今后在纳斯达克证券市场上市或者在其他境外市场发行上市或者发生《境外上市管理新规》规定的重大事项的,应当向中国证监会报告。我们不能保证根据新的海外上市管理规则,我们能够及时或根本不能获得报备或报告程序的批准。如果我们不能完全遵守新的监管规定,可能会严重限制或完全阻碍我们发行或继续发行普通股的能力,对我们的业务运营造成重大干扰,并严重损害我们的声誉,这将对我们的财务状况和经营业绩产生重大不利影响,并导致我们的普通股大幅贬值或变得一文不值。
我们的VIE及其子公司可能对不当收集、使用或盗用客户提供的个人信息负有责任。
通过我们的Cheers e-Mall互联网平台,我们收集并保留大量内部和客户数据,包括个人信息,因为我们的各种信息技术系统进入、处理、汇总和报告这些数据。我们还保留有关我们业务的各个方面以及我们的雇员的信息。客户、员工和公司数据的完整性和保护对我们的业务至关重要。我们的客户和员工希望我们能充分保护他们的个人信息。适用的法律要求我们的VIE及其子公司对我们收集的个人信息严格保密,并采取适当的安全措施保护这些信息。
28
根据PRC有关网络安全和数据安全的适用法律和条例,数据处理在广义上包括收集或访问、处理、传输和相关的数据活动。
经第7号修正案(2009年2月28日生效)和第9号修正案(2015年11月1日生效)修订的《PRC刑法》禁止机构、公司及其雇员出售或以其他方式非法泄露公民在履行职责或提供服务过程中获取的个人信息,或通过盗窃或其他非法方式获取这些信息。2016年11月7日,PRC全国人民代表大会常务委员会发布《PRC网络安全法》(《中华人民共和国网络安全法》),自2017年6月1日起施行。根据《网络安全法》,网络经营者未经用户同意,不得收集个人信息,只能收集用户提供服务所必需的个人信息。提供者也有义务为其产品和服务提供安全维护,并应遵守有关法律法规中关于保护个人信息的规定。《PRC民法典》(由PRC全国人民代表大会于2020年5月28日发布,自2021年1月1日起生效)为中国民法规定的隐私和个人信息侵权索赔提供了主要法律依据。PRC的监管机构,包括国家互联网信息办公室、工信部和公安部,越来越注重数据安全和数据保护领域的监管。PRC有关网络安全的监管规定不断变化。例如,中国的各种监管机构,包括国家互联网信息办公室、公安部和国家市场监督管理总局,都以不同的、不断变化的标准和解释执行数据隐私和保护法律法规。2021年12月28日,中国政府颁布了《网络安全审查办法》,自2022年2月15日起施行。根据《网络安全审查办法》,关键信息基础设施运营商采购任何网络产品或服务,或网络平台运营商进行影响或可能影响国家安全的数据处理活动,均应根据《办法》接受网络安全审查。拥有超过一百万用户个人信息的网络平台运营商,在寻求海外上市时,必须向CAC设立的网络安全审查办公室提出网络安全审查申请。
正如我们的PRC法律顾问所告知的,并基于其对《网络安全审查办法》(2021年)的理解,该《办法》于2022年2月15日生效,取代了2020年4月13日颁布的《网络安全审查办法》,我们的VIE及其子公司目前不需要向中国国家互联网信息办公室或“CAC”申请网络安全审查,根据《办法》第七条,拥有100万以上用户个人信息的网络平台运营者,如有意在境外上市,应向CAC申请网络安全审查,因为我们的普通股在《办法》生效日期2022年2月15日之前在纳斯达克上市。根据《网络安全审查措施》(2021年),如果确定我们的VIE或其子公司构成关键信息基础设施运营商,并打算采购影响或可能影响国家安全的网络产品或服务,我们的VIE及其子公司可能会受到CAC的网络安全审查。此外,由于这些措施是新修订的,其解释和实施仍存在不确定性,我们不确定我们的VIE或其子公司在我们发行或上市新股或在资本市场进行其他融资活动时是否会受到网络安全审查。截至本年度报告之日,我们的VIE及其子公司尚未被任何PRC政府机构告知我们需要进行网络安全审查的任何要求。如果《网络数据安全管理条例草案》(征求意见稿)按提议颁布,如果我们的VIE或其子公司被认定为拥有与国家安全、经济发展和公共利益相关的海量数据资源并进行影响或可能影响国家安全的合并、重组、拆分或进行其他影响或可能影响国家安全的数据处理活动的在线平台运营商,我们的VIE及其子公司也可能受到CAC的网络数据安全审查。
29
最近,据报道,中国的某些互联网平台在网络安全问题上受到了更严格的监管审查。截至本年度报告之日,我们、我们的子公司、我们的VIE及其子公司尚未被任何PRC政府机构告知任何要求我们提交网络安全审查的要求。然而,由于PRC的有关网络安全法律法规的解释和执行仍存在重大不确定性,我们无法向您保证我们不会受到此类网络安全审查要求的约束,如果是这样,我们将能够通过此类审查。此外,我们将来可能会受到PRC监管机构加强的网络安全审查或发起的调查。任何未能或延迟完成网络安全审查程序或任何其他不遵守相关法律法规的行为都可能导致罚款或其他处罚,包括暂停业务、关闭网站、将我们的应用从相关应用商店下架、吊销先决条件许可,以及声誉损害或法律诉讼或针对我们的诉讼,这可能对我们的业务、财务状况或经营业绩产生重大不利影响。
PRC政府当局颁布了《中华人民共和国个人信息保护法》(《中华人民共和国个人信息保护法》)、《中华人民共和国数据安全法》(《中华人民共和国数据安全法》)、《网络安全审查办法》(《网络安全审查办法》)和《跨境数据传输安全评估办法》(《数据出境安全评估办法》),以确保网络安全、数据和个人信息保护以及跨境数据传输。最近,CAC进一步提出了《网络数据安全管理条例草案(征求意见稿)》(《网络数据安全管理条例草案》),以征求公众意见,为潜在的网络安全审查范围提供了指导。
我们高度重视数据安全、网络安全和个人信息保护,以及PRC相关法律法规的发展。截至本年度报告之日,我们在PRC的主要经营实体霍尔果斯已实施了全面的内部政策和措施来保护网络安全、数据隐私和个人信息,以确保其遵守PRC的相关法律法规。
截至本年度报告日期,(i)没有发生任何重大事件,包括资料或个人资料外泄、违反资料保护及私隐法律及规例或调查或其他法律程序,而这些事件是由政府主管当局或第三方对我们提出或威胁提出的,会对我们的业务造成重大不利影响;(ii)我们没有收到任何调查、通知或警告,有关政府当局(包括CAC)就有关网络安全和数据安全的任何问题对我们的业务进行处罚或处罚;(iii)我们没有参与任何由有关政府当局就违反CAC发布的适用法规或政策而提起的诉讼、司法审查、调查或其他法律诉讼。
尽管我们采取了各种措施来遵守所有适用的数据隐私和保护法律法规,但并不能保证我们当前的安全措施以及我们的第三方服务提供商的安全措施可能始终足以保护我们的客户、员工或公司数据;与所有公司一样,我们不时经历数据事件。此外,鉴于我们的客户群的规模以及我们系统中个人数据的类型和数量,我们可能是电脑黑客、外国政府或网络恐怖分子特别有吸引力的目标。未经授权访问我们专有的内部和客户数据可能是通过侵入、破坏、未经授权的一方破坏我们的安全网络、计算机病毒、计算机拒绝服务攻击、员工盗窃或滥用、破坏我们第三方服务提供商的网络安全或其他不当行为获得的。由于计算机程序员使用的技术可能会试图渗透和破坏我们专有的内部和客户数据,这些技术经常变化,并且在针对目标发起攻击之前可能不会被识别,我们可能无法预测这些技术。未经授权访问我们专有的内部和客户数据也可能是通过不充分使用安全控制获得的。任何此类事件都可能损害我们的声誉,并对我们的业务和经营业绩产生不利影响。此外,我们可能不时受到关于我们的安全和隐私政策、系统或测量的负面宣传。
30
任何未能防止或缓解安全漏洞、网络攻击或其他未经授权访问我们的系统或泄露我们客户的数据(包括他们的个人信息)的行为,都可能导致此类数据的丢失或误用、我们的服务系统中断、客户体验下降、客户信心和信任丧失、我们的技术基础设施受损,并损害我们的声誉和业务,导致重大的法律和财务风险以及潜在的诉讼,并可能导致此类证券的价值大幅下降或一文不值。此外,任何违反有关法律法规中有关网络安全、数据安全和个人信息保护的规定和要求的行为,可能会使我们受到整改、警告、罚款、没收非法所得、暂停相关业务、吊销执照、取消被记入相关信用记录的资格甚至承担刑事责任。
至于CAC最近发布的条例草案,正如我们的PRC法律顾问所告知的那样,由于条例草案的有效版本(特别是其执行条款)在本年度报告之日尚未正式发布,其预期通过或生效日期可能会有进一步的变化,具有很大的不确定性。我们将继续密切关注数据安全方面的立法和监管发展,并遵守最新的监管规定。
网络平台业务经营相关法律法规的制定时间表、解释和实施存在不确定性。
通过我们的Cheers电子商城,我们经营一个在线平台,并受各种互联网相关法律法规的约束。这些与互联网有关的法律和条例是相对较新和不断变化的,其颁布时间表、解释和执行涉及重大的不确定性。
例如,2021年2月7日,国务院反垄断委员会颁布了《平台经济领域反垄断指南》,即《平台经济领域反垄断指南》。《平台经济反垄断指南》为识别某些互联网平台滥用市场支配地位的行为提供了操作标准和指导方针,这些行为被禁止限制不正当竞争和维护用户利益,包括但不限于禁止使用大数据和分析进行个性化定价、禁止在没有合理理由的情况下以低于成本的价格销售产品、禁止使用技术手段封锁竞争对手的接口、禁止使用捆绑服务销售服务或产品。此外,互联网平台强制收集用户数据可能被视为滥用市场支配地位,可能会导致消除或限制竞争。2021年8月,全国人大常委会正式颁布《个人信息保护法》,自2021年11月起施行。《个人信息保护法》规定了个人信息保护的基本制度,包括但不限于规定了个人信息的扩展定义,提供了跨境场景的长臂管辖权,强调个人权利,禁止盗取、出售、秘密收集个人信息等猖獗的侵犯个人信息行为。此外,2021年6月10日,全国人民代表大会常务委员会颁布了《PRC数据安全法》,该法于2021年9月生效。除其他外,《数据安全法》为可能影响国家安全的数据活动规定了安全审查程序。此外,于2022年2月15日生效的《网络安全审查办法》规定了关键信息基础设施运营商和互联网平台运营商的网络安全审查机制,并规定拥有超过100万用户个人数据的互联网平台运营商,如果计划在外国上市的公司,必须申请网络安全审查办公室的审查。
我们的VIE及其子公司可能会受到CAC和PRC其他相关监管机构的网络安全审查,并被要求以高昂的成本改变我们在数据隐私和网络安全事务方面的现有做法。在这种网络安全审查期间,我们可能被要求停止向我们的客户提供服务,这种审查也可能导致对我们的负面宣传和转移我们的管理和财政资源。
31
2018年8月31日,全国人大常委会发布《电子商务法》,自2019年1月1日起施行。《电子商务法》对电子商务经营者包括电子商务平台经营者、平台上经营的商户和网上经营的个人和单位提出了一系列要求。我们的PRC子公司为响应加强的监管要求而采取的治理措施可能无法满足这些要求,并可能导致处罚或我们的商户流失到这些平台,或客户在我们的平台上对我们提出投诉或索赔。
由于现行和未来互联网相关法律法规的颁布时间表、解释和实施存在不确定性,我们无法向您保证,我们的业务运营将在所有方面遵守这些法规,我们可能会被勒令终止某些被监管机构视为非法的业务运营,并受到罚款和/或其他制裁。
根据PRC法律,就像我们公司这样的海外上市而言,可能需要获得中国证监会或其他PRC监管机构的批准。
《外国投资者兼并境内企业条例》或《并购规则》旨在要求由PRC公司或个人控制的境外特殊目的公司,以该特殊目的公司的股份收购PRC境内公司股权的境外特殊目的公司,在其证券在境外证券交易所公开上市之前,必须获得中国证监会的批准。正如我们的PRC法律顾问所告知的,基于其对规则和公司截至本年度报告日期的公司结构的理解,我们认为不需要中国证监会的批准,因为公司不是在其股票在纳斯达克股票市场上市之前以其股票收购PRC国内公司股票的特殊目的机构。然而,有关的PRC当局将如何解释或执行《并购规则》仍存在不确定性,上述意见将受任何新的PRC法律、规则和条例或与本公司等特殊目的公司的海外上市有关的任何形式的详细执行和解释的约束。我们无法向您保证,包括中国证监会在内的相关PRC政府机构将得出与我们的PRC法律顾问相同的结论。如果需要获得中国证监会的批准,我们需要多长时间才能获得批准尚不确定,如果未能获得中国证监会的批准或延迟获得中国证监会的批准,我们可能会受到中国证监会和PRC其他监管机构的制裁。
此外,2021年7月6日,中共中央办公厅、国务院办公厅联合发布《关于依法严厉打击非法证券活动的意见》,要求PRC监管机构加快推进证券境外发行上市相关规则制定,完善数据安全、跨境数据流动、保密信息管理等法律法规。在《网络安全法》和《数据安全法》或《数据安全法》的框架内或之外,已经通过或预期将通过许多法规、指南和其他措施,包括(一)2022年7月颁布并自2022年9月1日起生效的《跨境数据转移安全评估办法》,其中要求在特定情况下将个人信息和重要数据转移出中国之前进行安全审查;(二)2021年12月颁布并自2022年2月15日起生效的《网络安全审查办法》,其中规定,网络平台运营者拥有超过100万用户的个人信息,在寻求境外上市时,必须向网络安全审查办公室申请进行网络安全审查,如果PRC相关政府机构认定运营者的网络产品或服务、数据处理或可能在境外上市影响或可能影响国家安全,则可启动网络安全审查。由于这些监管指引的解释和实施仍存在不确定性,我们无法向您保证,我们将能够遵守与我们未来海外筹资活动有关的新监管要求,我们的PRC子公司可能会在数据隐私、跨境调查和法律索赔的执行等方面受到更严格的要求。
32
截至本年度报告之日,我们没有收到中国证监会、CAC或对我们的业务有管辖权的任何其他PRC机构对我们目前在美国交易所上市的任何询问、通知、警告、处罚或任何监管异议。尽管如此,我们的PRC法律顾问告知我们,目前PRC有关境外证券登记和其他资本市场活动的法律法规不断变化,一些法规是新颁布的,例如中国证监会颁布新的境内公司境外发行和上市备案管理规则,有关境外证券登记和其他资本市场活动的监管要求的制定、解释和实施仍存在重大不确定性。如果将来确定像我公司这样的海外上市需要中国证监会、CAC或其他批准,我公司的PRC子公司可能面临中国证监会、CAC或其他PRC监管机构的制裁。这些监管机构可能会对我们在中国的业务施加罚款和处罚,限制我们在中国境外支付股息的能力,限制我们在中国的业务,延迟或限制将注册所得款项汇回中国,或采取其他可能对我们的业务、财务状况、经营业绩和前景以及股票交易价格产生重大不利影响的行动。中国证券监督管理委员会、CAC或其他PRC监管机构也可能采取行动,要求我们暂停目前在美国交易所的上市,或使我们采取适当行动。此外,如果中国证监会、CAC或其他监管机构后来颁布新规则,要求我们的PRC子公司获得其批准,我们可能无法获得对此类批准要求的豁免,如果获得此类豁免的程序已经建立。有关批准要求的任何不确定性和/或负面宣传都可能对我们的业务和经营业绩产生重大不利影响。
《并购规则》为外国投资者进行的收购规定了复杂的程序,这可能加大通过收购实现增长的难度。
《并购规则》规定了额外的程序和要求,可能使外国投资者的并购活动更加耗时和复杂,包括在某些情况下要求外国投资者控制PRC境内企业的任何控制权变更交易必须事先通知商务部。未来,我们可能会通过收购互补性业务来发展我们的业务。遵守本条例的规定完成此类交易可能会耗费时间,任何必要的审批程序,包括获得商务部的批准,都可能延误或阻碍我们完成此类交易的能力。任何延迟或无法获得完成收购的适用批准都可能影响我们扩大业务或保持市场份额的能力。此外,未来,如果我们的任何收购受到《并购规则》的约束,并被发现不符合《并购规则》的要求,相关的PRC监管机构可能会对我们在PRC的业务进行罚款和处罚,限制我们在PRC的经营特权,或采取其他可能对我们的业务、财务状况、经营业绩、声誉和前景产生重大不利影响的行动。
PRC有关PRC居民和PRC公民境外投资活动的规定可能会增加我们面临的行政负担,并可能使我们的PRC居民实益拥有人或股票期权持有者的雇员承担个人责任,限制我们的子公司增加我们的注册资本或向我们分配利润的能力,限制我们向我们的PRC子公司注资的能力,或可能使我们承担PRC法律规定的责任。
国家外汇管理局颁布了规定,要求PRC居民和PRC公司实体就其直接或间接的境外投资活动向国家外汇管理局的当地分支机构或合格银行进行登记。本条例可适用于身为PRC居民的股东,并可适用于本公司日后进行的任何海外收购。根据《关于境内居民通过特殊目的载体进行境外投融资及往返投资有关问题的通告》或国家外汇管理局第37号通告(《国家外汇管理局关于境内居民通过境外特殊目的公司进行境外投融资及远程投资外汇管理有关问题的通告》(汇发〔 2014 〕 37号))的规定,境外公司直接或间接持股的PRC居民,如发生涉及增资或减资、股份转让或换股、合并、分立或其他重大事项的重大变更,必须向国家外汇管理局有关分支机构更新登记。外管局于2015年2月发布了《关于进一步简化和改进直接投资外汇管理的通知》,自2015年6月1日起施行。本通知对国家外汇管理局第37号通知进行了修订,该通知要求PRC居民或实体在设立或控制境外投资或融资境外实体时,必须在符合条件的银行而不是国家外汇管理局或其当地分支机构进行登记。
33
在什么情况下,其他国家和地区的居民可以被归类为PRC居民,这是不确定的。PRC政府当局可能会以不同的方式解释我们的受益所有人的地位,或者他们的地位可能会在未来发生变化。此外,我们可能无法充分了解我们的实益拥有人的身份,我们无法向您保证,我们所有的PRC居民实益拥有人都将遵守外管局的规定。作为PRC居民的我们的实益拥有人未能进行任何必要的登记,可能会使我们受到罚款和法律制裁,并阻止我们进行分配或支付股息,因此我们的业务运营和我们向您分配利润的能力可能会受到重大不利影响。
PRC法律对外汇的限制可能会限制我们将经营活动产生的现金转换为外币的能力,并可能对贵公司的投资价值产生重大不利影响。
我们几乎所有的收入和运营费用都是以人民币计的。根据PRC有关外汇管理规定,允许在不需要国家外汇管理局批准的情况下,对包括股息、贸易和与服务有关的外汇交易在内的“经常账户”交易进行人民币兑换,但须遵守程序要求,包括出示此类交易的相关书面证据,并在拥有外汇业务许可证的中国境内指定外汇银行进行此类交易。根据我们目前的结构,我们的资金来源主要是来自我们在PRC的子公司的股息支付。我们无法向您保证,我们将能够履行我们的所有外币债务或将利润汇出中国。如果未来相关法规的变化对我们的子公司支付股息的能力施加限制,我们的流动性和履行第三方支付义务的能力以及我们分配股息的能力可能会受到重大不利影响。
我们可能依赖全资子公司支付的股息和其他股权分配来满足我们可能需要的任何现金和融资需求,而对我们子公司向我们付款的能力的任何限制都可能对我们开展业务的能力产生重大不利影响。
本公司是一家控股公司,它可能依赖我们全资子公司的股息以及霍尔果斯和星翠灿向我们在中国的全资子公司支付的服务、许可证和其他费用来满足我们的现金需求,包括它可能产生的任何债务。PRC现行法规允许我们的PRC子公司仅从其根据中国会计准则和法规确定的累计利润(如果有的话)中向我们支付股息。此外,我们的PRC子公司星翠灿和霍尔果斯必须每年拨出至少10%的税后利润(如果有的话)作为法定储备金,直到该储备金达到其注册资本的50%,并且他们还必须进一步拨出一部分税后利润作为自愿储备金,由其股东酌情决定。这些储备不能作为现金股利分配。此外,如果我们的PRC子公司Xing Cui Can和Horgos在未来代表他们自己产生债务,管理债务的工具可能会限制他们向我们支付股息或其他付款的能力。此外,PRC税务机关可能会要求我们根据现有的合同安排调整我们的应纳税所得额,这将对我们的PRC子公司向我们支付股息和其他分配的能力产生重大不利影响。对我们的子公司向我们分配股息的能力或对霍尔果斯和星翠灿向我们支付股息的能力的任何限制,都可能对我们的增长、进行可能有利于我们的业务的投资或收购、支付股息或以其他方式为我们的业务提供资金和开展业务的能力产生重大不利影响。
34
根据《企业所得税法》,就PRC税务而言,我们可能被视为一家居民企业,这可能会使我们就我们的全球收入和支付给我们的非中国股东的股息扣缴PRC所得税。
根据《企业所得税法》(EIT Law),在中国境外设立的“事实上的管理机构”位于中国境内的企业被视为“居民企业”,一般将对其全球收入适用统一的25%的企业所得税税率。尽管“事实上的管理机构”一词的定义是“对企业的运营、人力资源、会计和资产拥有实质性和全面管理和控制权力的管理机构”,但目前尚不清楚企业“事实上的管理机构”在何种情况下会被视为位于中国。国家税务总局于2009年4月22日发布的通知(《国家税务总局关于境外注册中资控股企业依据实际管理机构标准认定为居民企业有关问题的通知》)规定,PRC公司或PRC集团公司控制的外国企业,在满足下列要求的情况下,可归为在中国境内设有“实际管理机构”的“居民企业”:(1)主要在PRC行使日常经营职能的高级管理人员和核心管理部门;(2)财务和人力资源决定须由PRC境内的个人或机构决定或批准;(3)主要资产、会计账簿、公司印章,董事会和股东大会的会议记录和文件位于或保存在PRC;(4)企业至少有半数有表决权的董事或高级管理人员居住在PRC。此外,国家税务总局近日颁布了《境外注册中资企业控股居民企业所得税管理暂行规定》(《境外注册中资企业控股居民企业所得税管理办法(试行)》),自2011年9月1日起施行,明确了居民身份认定的若干事项、认定后的管理事项和主管税务机关。本暂行规定还规定,在中国大陆境外注册成立的中国控股企业,取得股息、利息等来源于中国的收入的,取得在境外注册并由中国控股的PRC居民企业证明的,不适用PRC预提所得税。
我们管理团队的大多数成员都在中国,预计将留在中国。虽然我们的海外控股公司不受任何PRC公司或公司集团的控制,但我们不能向你保证,根据《企业所得税法》和我们的实施细则,它不会被视为PRC的居民企业。如果我们被视为PRC居民企业,我们将按全球收入25%的税率缴纳PRC企业所得税。但在这种情况下,我们从PRC子公司获得的股息收入可免征PRC企业所得税,因为《企业所得税法》和我们的实施细则一般规定,PRC居民企业从我们的直接投资实体——也是PRC居民企业——获得的股息可免征企业所得税。因此,如果我们被视为PRC居民企业,并从我们的PRC子公司获得股息以外的收入,对我们的全球收入征收25%的企业所得税可能会显著增加我们的税收负担,并对我们的现金流和盈利能力产生重大不利影响。此外,《企业所得税法》和实施规则相对较新,在解释有关查明来自中国的收入的规定方面存在不明确之处。如果我们被视为PRC居民企业,我们分配给我们的非中国实体投资者的股息,或我们的非中国实体投资者可能从我们的普通股转让中获得的收益,可能被视为来自中国的收入,因此根据企业所得税法需要缴纳10%的PRC预扣税,因此,您的投资价值可能会受到重大不利影响。
我们可能面临比预期更大的税务负担。
根据PRC法律法规,企业实体之间的安排和交易可能会受到PRC税务机关的审计或质疑。适用于我们业务活动的税法须予解释。如果PRC税务机关认定我们的某些业务活动不是以公平交易价格为基础,并相应地调整我们的应纳税所得额,我们可能会面临重大和不利的税务后果。此外,PRC税务机关可能会对我们征收滞纳金和其他欠缴税款的罚款。如果我们的税务负债高于预期,我们未来的综合净利润可能会受到重大不利影响。
35
PRC法律制度的不确定性,包括法律执行的不确定性,以及中国法律法规的突然或意外变化,可能会对我们产生不利影响,并限制您和我们可以获得的法律保护。
我们的VIE及其运营子公司是根据PRC法律注册并受其管辖的。PRC的法律制度是以成文法为基础的。鼓励使用以前的法院裁决作为参考,但目前尚不清楚以前的法院裁决在多大程度上可能影响目前的法院裁决,因为鼓励政策是新的,而且这方面的司法实践有限。1979年,PRC政府开始颁布一套全面的法律法规体系,规范一般的经济事务,如外国投资、公司组织和治理、商业、税收和贸易。由于我们的大部分业务在中国开展,我们的业务主要受PRC法律法规的管辖。然而,由于PRC的法律制度继续快速发展,许多法律、条例和规则的解释并不总是统一的,这些法律、条例和规则的执行涉及不确定性,这可能会限制我们所能获得的法律保护。由于不断变化的法律法规而产生的不确定性,也可能妨碍总部设在中国的公司,例如我们公司,获得或保持在中国开展业务所需的许可证或执照的能力。在没有必要的许可证或执照的情况下,政府当局可以对我们施加实质性的制裁或惩罚。此外,某些PRC政府当局发布的某些监管要求可能不会得到其他PRC政府当局(包括地方政府当局)的一致实施,因此严格遵守所有监管要求是不切实际的,或者在某些情况下是不可能的。例如,我们的VIE及其PRC子公司可能不得不诉诸行政和法院程序来执行我们通过法律或合同享有的法律保护。然而,由于PRC行政和法院当局在解释和执行法定和合同条款方面拥有自由裁量权,与较发达的法律体系相比,我们可能更难预测行政和法院诉讼的结果以及我们所享有的法律保护水平。此外,PRC的法律制度在一定程度上是以政府政策和内部规则为基础的,有些政策和内部规则没有及时或根本没有公布,可能具有追溯效力。因此,我们可能直到违反这些政策和规则之后的某个时候才知道我们违反了这些政策和规则。这些不确定性,包括对我们的合同、财产(包括知识产权)和程序权利的范围和影响的不确定性,可能对我们的业务产生重大不利影响,并阻碍我们继续经营的能力。
此外,如果中国在环境保护或企业社会责任方面采取更严格的标准,我们可能会产生更高的合规成本,或在我们的运营中受到额外的限制。中国的知识产权和保密保护也可能不如美国或其他国家有效。此外,我们无法预测PRC法律制度的未来发展对我们业务运营的影响,包括新法律的颁布、现有法律的变更或其解释或执行。这些不确定性可能会限制我们和我们的投资者(包括你们)可获得的法律保护。此外,在中国的任何诉讼都可能旷日持久,导致巨额成本,并转移我们的资源和管理注意力。
PRC政府对我们的业务有重大的监督和自由裁量权,并可在政府认为适当的情况下干预或影响我们的业务,以促进监管、政治和社会目标。PRC政府最近公布了一些新政策,这些政策对某些行业,如教育和互联网行业产生了重大影响,我们不能排除将来发布有关我们行业的法规或政策的可能性,这些法规或政策可能会对我们的业务、财务状况和经营业绩产生不利影响。此外,PRC政府最近对在海外进行的证券发行和其他资本市场活动以及对像我们这样的中国公司的外国投资进行了更多的监督和控制。任何对我们业务运作的干预或影响,或对证券发行和其他资本市场活动施加更多监督和控制的行动,都可能对我们的业务、财务状况和经营业绩以及我们的股票价值产生不利影响,或严重限制或完全阻碍我们向投资者提供或继续提供证券的能力,并导致此类证券的价值大幅下降,或在极端情况下变得一文不值。
36
PRC的法律制度正在不断发展,由此产生的不确定性可能会对我们产生不利影响。
我们主要通过我们的VIE及其在中国的子公司开展业务。我们在中国的业务受PRC法律法规管辖。随着中国和PRC法律体系在过去几十年中不断快速发展,PRC政府在颁布有关经济事务和事项的法律法规方面取得了重大进展,例如,这些法律法规大大加强了对在华各种形式的外国投资的保护。然而,这些法律和条例中有许多是相对较新的,公布的决定和法令数量有限。特别是,国内公司在网络安全、数据安全、隐私保护、反垄断以及海外证券发行和上市等监管要求的演变、解释和执行方面存在很大的不确定性,我们可能需要采取某些相应措施来保持我们的监管合规,例如调整相关业务或交易,引入合规专家和人才,这可能会产生额外的相关成本并对我们的业务产生不利影响。因此,许多法律、条例和规则的解释并不总是统一的,这些法律、条例和规则的执行涉及不确定性,这可能会限制我们可获得的法律保护。因此,在执行和解释方面存在不确定性,可能难以评估行政和法院诉讼的结果以及你我两国可获得的法律保护水平。这些不确定性,包括对我们的合同、财产(包括知识产权)和程序权利的范围和影响的不确定性,以及未能对中国监管环境的变化做出回应,都可能对我们的业务产生重大不利影响,并阻碍我们继续经营的能力。
如果我们直接受到最近涉及在美上市中国公司的审查、批评和负面宣传,它可能不得不花费大量资源调查和解决任何相关问题,这可能对我们的业务运营和声誉产生重大不利影响。
一些在中国开展业务的美国上市公司,受到了投资者、金融评论员和美国证交会等监管机构的密切关注、批评和负面宣传。大部分的审查、批评和负面宣传都集中在财务和会计违规和错误、财务会计缺乏有效的内部控制、公司治理政策不完善或不遵守这些政策,在许多情况下,还有欺诈指控。由于审查、批评和负面宣传,某些在美国上市的中国公司的公开交易股票价值急剧下降。某些公司现在受到股东诉讼和美国证交会执法行动的影响,并正在对这些指控进行内部和外部调查。目前尚不清楚这种审查、批评和负面宣传可能对我们的业务产生什么影响。如果我们成为任何不利指控的对象,无论这些指控被证明是真实的还是不真实的,它将不得不花费大量资源来调查这些指控和/或辩护。这种情况将是昂贵和耗时的,并分散我们的管理层对发展我们的业务的注意力。此类指控可能会对我们的业务运营和声誉产生重大不利影响。
我们的优惠税务待遇终止的风险。
目前,霍尔果斯、霍尔果斯Glary Wisdom营销策划有限公司、霍尔果斯Glary Prosperity Culture Co.,Ltd.符合2017年至2020年免征所得税条件,享受15%的所得税优惠税率,预计持续时间为2021年至2025年。荣耀星(霍尔果斯)传媒科技有限公司于2020年至2024年有资格获豁免所得税,预期于2025年至2029年可享受15%的优惠所得税率,若我们不再享有该优惠税率,所得税率可能会增加至多25%,这可能对财务状况及经营业绩造成不利影响。
37
由于业务合并,我们将面临有关PRC居民企业的非中国控股公司间接转让其股权的不确定性。
2015年2月3日,国家税务总局发布《关于非中国居民企业间接转让资产征收企业所得税问题的通知》,即7号文。根据第7号文,非中国居民企业“间接转让”资产,包括在PRC居民企业的股权,如果这种安排不具有合理的商业目的,并且是为了逃避缴纳PRC企业所得税而设立的,则可以重新定性为直接转让PRC应税资产。因此,这种间接转让产生的收益可能需要缴纳PRC企业所得税。在确定交易安排是否具有“合理商业目的”时,除其他外,考虑因素包括:(一)有关离岸企业股权的主要价值是否直接或间接来自PRC应税资产;(二)有关离岸企业的资产是否主要是在中国境内的直接或间接投资,或者收入是否主要来自中国;(三)直接或间接持有PRC应税资产的离岸企业及其子公司是否具有真实的商业性质,以其实际功能和风险敞口为证。根据7号文,纳税人未扣缴税款或者未扣缴税款的,转让人应当在法定期限内自行向税务机关申报缴纳。逾期缴纳适用的税款将使转让方承担违约利息。7号文不适用于投资者通过公开证券交易所出售股份的交易,而这些股份是在公开证券交易所取得的。2017年10月17日,国家税务总局发布《关于非中国居民企业所得税预扣税款问题的通知》,即37号文,进一步阐述了非中国居民企业预扣税款的计算、申报和缴纳义务的相关实施规则。尽管如此,第7号通告的解释和适用仍存在不确定性。7号文可由税务机关决定适用于我们的海外交易或出售我们的股票或我们的海外子公司的股票,其中涉及作为转让方的非居民企业。
因此,由于业务合并,如果我们的普通股持有人在公开市场购买我们的普通股并在私人交易中出售,或在私人交易中购买我们的普通股并在公开市场上出售,并且不遵守国家税务总局第7号通告,PRC税务机关可能会采取行动,包括要求我们为他们的调查提供协助或对我们进行处罚,这可能会对我们的业务运营产生负面影响。此外,由于我们可能将收购作为我们的增长战略之一,并可能进行涉及复杂公司结构的收购,PRC税务机关可能会对资本利得征税,或要求我们就任何潜在收购提交某些额外文件供其审查,这可能会产生额外的收购成本,或推迟我们的收购时间表。
根据第7号通知,PRC税务机关有权根据转让的股权的公允价值与投资成本之间的差额对应税资本收益进行调整。我们可能会在未来进行涉及复杂公司结构的收购。如果我们根据《企业所得税法》被视为非居民企业,并且如果PRC税务机关根据第7号通知对这些交易的应纳税所得额进行调整,我们与这些潜在收购相关的所得税费用将会增加,这可能会对我们的财务状况和经营业绩产生不利影响。
新的立法或PRC劳动法或法规的变化可能会影响我们的业务运营。
有关的PRC劳动法或法规可能会不时修订或更新,新的法律或法规可能会颁布。我们可能被要求改变我们的业务实践,以遵守新的或修订的劳动法律法规或适应政策变化。不能保证我们能够根据这些新的要求及时或有效地改变我们的业务做法。任何此类失败都可能使我们受到行政罚款或处罚或其他可能对我们的品牌名称、声誉、业务、财务状况和经营业绩产生重大不利影响的不利后果。
38
政府对货币兑换的控制可能会限制我们有效利用我们的净收入的能力,并影响你方投资的价值。
PRC政府对人民币(人民币)的外汇兑换实行管制,在某些情况下,对货币汇出中国实行管制。我们所有的收入都是以人民币结算的。在我们目前的公司结构下,我们将主要依靠WFOE的股息支付来满足我们可能需要的现金和融资需求,或可能的股息支付。根据PRC现行的外汇管理条例,经常项目的支付,包括利润分配、利息支付以及与贸易和服务有关的外汇交易,可以不经国家外汇管理局事先批准,按照某些程序要求,以外币支付。具体而言,在现有的外汇限制下,未经国家外汇管理局事先批准,外商独资企业经营活动产生的现金可用于向我方支付股息。但是,如果要将人民币兑换成外币并汇出中国以支付资本费用,例如偿还外币贷款,则需要得到有关政府当局的批准或登记。因此,我们可能需要获得国家外汇管理局的批准或完成相关登记,才能使用外商独资企业和VIE运营产生的现金,以人民币以外的货币偿还各自欠中国境外实体的债务(如果有的话),或以人民币以外的货币在中国境外支付其他资本支出。PRC政府可自行决定在今后限制使用外币进行经常账户交易。如果外汇管制制度使我们无法获得足够的外币来满足我们的外币需求,贵方的投资价值可能会受到影响。
与我们的普通股有关的风险
有关拟议私有化交易的不确定性可能会对我们的业务和普通股的市场价格产生不利影响。
2022年7月11日,GS Holdings与Cheers Inc.(“母公司”)和GSMG有限公司(“合并子公司”)就向开曼群岛公司注册处提交合并计划(“合并计划”)签订了合并协议和计划(“合并协议”)。根据合并协议和合并计划,合并子公司将与GS Holdings合并,不再存在,GS Holdings继续作为存续公司,成为母公司的全资子公司(“私有化交易”)。合并完成后,GS Holding将成为一家私有公司,普通股将不再在纳斯达克资本市场(“纳斯达克”)上市。此外,在提交表格15 90天后或SEC可能决定的更长期限内,根据经修订的1934年《证券交易法》和经修订的1933年《证券法》,目前在纳斯达克分别以“GSMG”和“GSMGW”代码上市的普通股和某些认股权证将被注销。
根据GS Holdings董事会特别委员会的一致建议,GS Holdings董事会批准了合并协议,并建议GS Holdings的股东投票支持授权和批准合并协议、合并计划及其所设想的交易的提议。该委员会完全由独立董事组成,独立董事与买方集团和GS Holdings的任何管理层成员没有关联。2022年10月27日,GS Holdings召开股东大会,其中约75.225%的已发行普通股在股东大会上亲自或委托代理人投票。在股东大会上亲自或通过代理人投票的这些普通股中,约99.882%的人投票赞成授权和批准合并协议、合并计划以及由此设想的交易的提案。
截至本年度报告日期,私有化交易尚未完成。无法保证合并协议的各方将继续进行或完成私有化交易。无论完成与否,拟议的私有化交易都有可能将管理层的注意力、员工的注意力和其他资源从战略机遇和运营事项上转移出去。此外,随着私有化交易的发展,某些事件,例如合并的完成或任何合并协议的修订或终止,可能会增加普通股交易价格的波动性。此外,我们可能会面临与拟议的私有化交易有关的潜在诉讼。
39
我们的普通股的交易价格很可能波动,这可能给我们的股东和投资者造成重大损失。
由于我们无法控制的因素,我们的普通股的交易价格可能波动很大,可能波动很大。这可能是由于广泛的市场和行业因素造成的,比如市场价格的表现和波动,或者近年来在美国上市的其他类似情况的公司的表现不佳或财务业绩恶化。其中一些公司的证券自首次公开发行以来经历了大幅波动,包括在某些情况下其证券交易价格大幅下跌。这些公司的证券在发行后的交易表现可能会影响投资者对这些在美国上市的公司的态度,从而影响我们普通股的交易表现,而不论我们的实际经营表现如何。此外,证券市场可能不时出现与我们的经营业绩无关的重大价格和数量波动,例如美国和其他司法管辖区的股价大幅下跌。
除了市场和行业因素外,我们的普通股的价格和交易量可能因我们自身业务的特定因素而高度波动,这些因素包括:
| ● | 我们的收入、收益和现金流的变化; | |
| ● | 关于我们或我们的竞争对手提供的新产品和服务、投资、收购、战略合作伙伴关系、合资企业或资本承诺的公告; | |
| ● | 我们公司或我们的竞争对手的业绩或市场估值的变化; | |
| ● | 证券分析师对财务估计的变动; | |
| ● | 我们的用户和客户数量的变化; | |
| ● | 我们经营指标的波动; | |
| ● | 我们未能按预期实现货币化机会; | |
| ● | 主要管理人员和人员的增加或离职; | |
| ● | 解除对我们已发行股本证券的锁定或其他转让限制,或出售额外股本证券; | |
| ● | 关于我们、我们的竞争对手或我们的行业的有害负面宣传; | |
| ● | 影响我们或我们的行业的市场状况或监管发展;及 | |
| ● | 潜在的诉讼或监管调查。 |
任何这些因素都可能导致我们的普通股票的交易量和交易价格发生巨大而突然的变化。过去,上市公司的股东往往会在上市公司的证券市场价格出现不稳定时期后,对该公司提起证券集体诉讼。如果我们卷入了集体诉讼,可能会转移管理层对我们业务和运营的大量注意力和其他资源,这可能会损害我们的经营业绩,并需要我们为诉讼辩护支付大量费用。任何此类集体诉讼,无论是否成功,都可能损害我们的声誉,并限制我们未来筹集资金的能力。此外,如果对我们的索赔成功,我们可能需要支付重大损害赔偿,这可能对我们的财务状况和经营业绩产生重大不利影响。
40
如果证券或行业分析师不发表研究报告或发表不准确或不利的研究报告,我们的普通股的市场价格和交易量可能会下降。
我们普通股的交易市场将部分取决于证券或行业分析师发表的关于我们或我们行业的研究和报告。如果研究分析师没有建立和保持足够的研究覆盖范围,或者如果覆盖我们的分析师下调我们的普通股评级,或者发布关于我们行业的不准确或不利的研究,我们普通股的市场价格可能会下降。如果其中一名或多名分析师停止报道我们,或未能定期发表关于我们的报告,我们可能会在金融市场上失去知名度,进而可能导致我们普通股的市场价格或交易量下降。
与未来确定上市公司会计监督委员会(PCAOB)无法彻底检查或调查我们的审计师有关的风险。
作为一家在纳斯达克资本市场上市的上市公司,我们的财务报表必须由在PCAOB注册的独立注册会计师事务所审计。在PCAOB注册的一项要求是,如果SEC或PCAOB提出要求,该会计师事务所必须对其审计和相关审计工作底稿进行定期检查,以评估其是否符合适用的专业标准。由于我们的审计机构位于香港和中国内地,由于各种国家保密法和修订后的证券法,PCAOB无法在未经中国当局批准的情况下进行检查,因此PCAOB目前无法自由地检查我们审计机构的工作。由于在中国无法获得PCAOB的检查,PCAOB无法全面评估中国审计师的审计和质量控制程序。因此,投资者可能被剥夺这种PCAOB检查的好处。PCAOB无法对中国境内的审计师进行检查,这使得评估这些会计师事务所的审计程序或质量控制程序的有效性,比接受PCAOB检查的境外审计师更加困难。
2021年3月24日,美国证交会通过了临时最终修正案,该修正案将在《联邦公报》公布30天后生效,涉及《氢氟碳化合物管理局》的某些披露和文件要求的实施(经2023年《综合拨款法》修订)。临时最终修订将适用于SEC认定的注册人,这些注册人提交了年度报告,并附有位于外国司法管辖区的注册公共会计师事务所出具的审计报告,而PCAOB已确定,由于该司法管辖区的某个当局采取的立场,它无法彻底检查或调查。在要求任何注册人遵守临时最终修订之前,SEC必须实施一个识别此类注册人的程序。截至本年度报告发布之日,美国证交会正在就这一识别过程征求公众意见。根据《HFCAA》(经2023年《综合拨款法》修订),修订将要求任何已确定的注册人向SEC提交文件,证明注册人并非由该司法管辖区的政府实体拥有或控制,并且除其他事项外,还要求在注册人的年度报告中披露该注册人的审计安排和政府对该注册人的影响。
2021年6月22日,美国参议院通过了《加速外国公司责任法案》(Accelerating Holding Foreign Companies Accountable Act,简称“AHFCAA”),该法案已于2022年12月29日根据《2023年综合拨款法案》(Consolidated Appropriations Act,2023)颁布,具体内容如下。
2021年11月5日,SEC批准了PCAOB规则6100,即《控股外国公司责任法》下的董事会裁决,立即生效。该规则为“PCAOB根据HFCAA(经2023年《综合拨款法》修订)认定PCAOB无法检查或调查位于外国司法管辖区的完全注册的公共会计师事务所,因为该司法管辖区的当局采取了立场”建立了一个框架。
41
2021年12月2日,SEC宣布通过修正案,以最终确定实施HFCAA中提交和披露要求的规则。这些规则适用于被SEC认定为已提交年度报告的注册人,该注册人的审计报告由位于外国司法管辖区的注册公共会计师事务所出具,而PCAOB无法进行检查或调查(委员会认定的发行人)。最终修订要求经委员会认定的发行人向美国证交会提交文件,证明如果属实,它不是由公共会计师事务所外国司法管辖区的政府实体拥有或控制的。这些修正案还要求,作为《交易法》第3b-4条所定义的“外国发行人”的经委员会认定的发行人,在其年度报告中为其自身及其任何合并的外国经营实体提供某些额外披露。此外,通过的新闻稿提供了关于SEC为识别发行人和对某些经委员会识别的发行人的证券实施交易禁令而制定的程序的通知,这些程序符合HFCAA(经2023年《综合拨款法》修订)的要求。美国证交会将在2020年12月18日之后的财政年度确定经委员会认定的发行人。经委员会认定的发行人必须遵守被认定的每一年的年度报告中的提交和披露要求。如果注册人根据其截至2021年12月31日的财政年度的年度报告被确定为委员会确定的发行人,注册人将被要求在其截至2022年12月31日的财政年度的年度报告中遵守提交或披露要求。
2021年12月16日,上市公司会计监督委员会(PCAOB)发布了一份报告,说明其认定PCAOB无法检查或彻底调查总部位于中国大陆和PRC特别行政区香港的PCAOB注册的公共会计师事务所,原因是PRC当局在这些司法管辖区采取的立场。PCAOB根据PCAOB规则6100作出这些决定,该规则为PCAOB如何履行《控股外国公司责任法》(HFCAA)规定的职责提供了框架。该报告还在其附录A和附录B中分别列出了《受中国内地认定的注册会计师事务所》和《受香港认定的注册会计师事务所》。2022年8月26日,PCAOB与中国证券监督管理委员会和PRC财政部签署了《协议声明》,为PCAOB对总部位于中国内地和香港的注册会计师事务所进行检查和调查迈出了第一步。2022年12月15日,PCAOB宣布,它“能够在2022年首次获得对中华人民共和国(PRC)审计事务所进行全面检查和调查的权限。因此,2022年12月15日,PCAOB董事会投票决定撤销之前的相反决定。”尽管如此,在执行这些规定方面仍存在不确定性,而且不能保证PCAOB能够以符合《议定书》声明的方式及时进行今后的检查和调查。此外,根据HFCAA(经2023年《综合拨款法》修订),如果我们的审计师连续两年未接受PCAOB的检查,我们的证券可能被禁止在美国证券交易所或美国场外交易市场交易,这最终可能导致公司的普通股被摘牌。2021年6月22日,美国参议院通过了《加速外国公司责任法案》(Accelerating Holding Foreign Companies Accountable Act,简称“AHFCAA”),该法案是根据《2023年综合拨款法案》颁布的,具体内容如下。
2022年12月29日,《2023年综合拨款法》签署成为法律,修订了HFCAA(i)将触发退市的连续年数从三年减少到两年,以及(ii)任何外国司法管辖区都可能成为PCAOB不能完全检查或调查公司审计师的理由。正如最初颁布的那样,HFCAA仅适用于PCAOB由于相关公共会计师事务所所在的外国司法管辖区的主管部门采取的立场而无法进行检查或调查的情况。根据2023年《综合拨款法》,如果PCAOB无法检查或调查相关会计师事务所是由于某个外国司法管辖区的主管机构采取的立场,那么HFCAA现在也适用。拒绝管辖权不一定是会计师事务所所在地。
本年度报告所载截至2022年12月31日和2021年12月31日止年度的审计报告由Assentsure出具,Assentsure是一家总部位于新加坡的会计师事务所,在PCAOB注册,可接受PCAOB的检查。我们无意在未来解雇Assentsure,也无意聘用任何不受PCAOB定期检查的审计师。然而,我们不能保证本公司未来聘用的任何核数师在我们整个聘用期间将继续接受PCAOB的全面检查。如果我们不聘请一名接受会计监督委员会定期检查的核数师,我们的普通股股票可能会被除牌。
42
如果我们的审计师不受PCAOB的检查,SEC可能会提出可能对我们产生影响的额外规则或指导。HFCAA的颁布,以及任何旨在增加美国监管机构获取中国审计信息的额外规则制定努力的影响,都可能对包括我们在内的受影响的SEC注册人造成投资者的不确定性,我们股票的市场价格可能受到重大不利影响。此外,PCAOB是否能够在未来三年内对我们的审计员进行检查,或者是否能够进行检查,仍然存在很大的不确定性,并且取决于我们无法控制的一些因素。如果我们不能及时满足PCAOB的检查要求,我们的股票也将不能“场外”交易。如果你想出售或购买我们的股票,这样的退市将严重损害你的能力,与退市相关的风险和不确定性将对我们的股票价格产生负面影响。此外,这种除名将严重影响我们以我们可以接受的条件筹集资本的能力,或根本不影响,这将对我们的业务、财务状况和前景产生重大不利影响。
未来出售或以其他方式稀释我们的股权可能会压低我们普通股的市场价格。
2021年2月24日,我们完成了总计3,810,976股公司普通股的承销公开发行,以及购买3,810,976股公司普通股的认股权证,公开发行价格为每股3.28美元,并附有认股权证(“公开发行”)。此外,我们给予承销商45天的期权(“超额配股权”),以购买最多571,646股普通股,以及认股权证,以公开发行价格(减去承销折扣和佣金)购买最多571,646股普通股。2021年3月25日,就公开发售而言,承销商完全行使并结束了超额配股权,以公开发售价格购买额外的571,646股普通股,以及购买最多571,646股普通股的认股权证。今后在公开市场上出售我们的普通股、优先股、认股权证、债务证券、由普通股、优先股、认股权证或债务证券组成的单位,或上述证券的任何组合,或认为这种出售可能发生,可能会对我们普通股的价格产生负面影响。我们有很多股东持有我们大量的普通股。如果这些股东中有一个或多个在相对较短的时间内,出于流动性或其他原因,出售其所持股份的很大一部分,我们普通股的现行市场价格可能会受到负面影响。
此外,增发普通股、可转换为普通股或可行使普通股的证券、其他与股票挂钩的证券,包括认股权证或根据货架登记声明发行的证券的任何组合,将稀释我们股东的所有权权益,并可能压低我们普通股的市场价格,削弱我们通过出售额外股本证券筹集资本的能力。
我们可能需要寻求额外的资本。如果这些额外融资是通过发行股本证券、可转换为股本的债务或购买股本证券的期权或认股权证获得的,我们的现有股东在发行、转换或行使这些证券时可能会遭受重大稀释。
某些股东对我们尚未遵守的他们的普通股有追缴和要求登记权的权利。出售若干普通股可能会对我们普通股的市场价格产生不利影响,而这些权利的存在可能会使我们今后更难筹集资金。
我们的一些首次股东有权获得附着登记权和/或要求登记权,即我们在他们的股份可能被解除托管的日期前三个月开始的任何时间登记出售他们的内部人股份。此外,私人认股权证的购买者和我们的某些股东、高级管理人员和董事有权获得附着登记权和/或要求登记权,即我们登记出售私人认股权证和私人认股权证的相关股份,以及此类股东、高级管理人员、董事或其关联公司可能发行的任何证券,以支付向我们提供的或与业务合并有关的营运资金贷款。根据这些登记权协议,我们有义务尽快提交一份登记声明,以便在SEC登记某些内部人士和其他人拥有的大约5220万股普通股。关于我们提交一份2020年9月14日宣布生效的储架登记声明,我们没有登记那些被附着和/或要求获得登记权的股东所持有的普通股。此外,2020年12月29日,其中一名投资者要求登记其普通股。根据登记权协议,我们已通知其他投资者和所有者,我们打算提交一份登记声明,以及他们是否希望他们的普通股也在美国证券交易委员会登记。关于公开发行,我们已同意在2021年4月30日之前不向美国证券交易委员会提交此类要求登记声明。
由于我们尚未根据注册权提交注册声明,因此无法保证我们不会受到潜在损害。此外,大量普通股的登记和持有人出售其普通股的能力,可能会压低我们的普通股价格。
43
在公开市场出售大量普通股,或认为这种出售可能发生,可能会压低我们普通股的市场价格。
在公开市场出售大量普通股可能会压低普通股的市场价格,并削弱我们通过出售额外股本证券筹集资本的能力。我们已根据一份货架登记声明向美国证券交易委员会登记了价值1.3亿美元的证券,根据市场情况,我们可能会不时在其中发布声明。这种证券的发行可能会压低我们普通股的市场价格,我们无法预测未来出售我们的普通股对我们普通股的市场价格的影响。
您在保护您的利益方面可能会遇到困难,并且您通过美国联邦法院保护您的权利的能力可能会受到限制,因为公司是根据开曼群岛公司法成立的。
我们是一家根据开曼群岛法律成立的豁免公司。因此,投资者可能难以在美国境内向我们的董事或执行人员送达诉讼程序,或执行美国法院对我们的董事或执行人员作出的判决。
我们的公司事务受我们的《组织章程大纲》、《开曼群岛公司法》和开曼群岛普通法管辖。我们还将受制于美国的联邦证券法律。根据开曼群岛法律,股东对董事采取行动的权利、少数股东的行动以及我们的董事对我们的信托责任在很大程度上受开曼群岛普通法管辖。开曼群岛的普通法部分源于开曼群岛相对有限的司法判例以及英格兰普通法,其法院的裁决具有说服力,但对开曼群岛的法院没有约束力。根据开曼群岛法律,我们的股东的权利和董事的信托责任不同于美国某些司法管辖区的法规或司法判例。特别是,与美国相比,开曼群岛的证券法律体系不同,某些州,如特拉华州,可能有更充分发展和司法解释的公司法体系。此外,开曼群岛公司可能没有资格向美国联邦法院提起股东派生诉讼。
我们被告知,开曼群岛的法院不太可能(i)承认或执行美国法院基于美国或任何州的联邦证券法的民事责任条款对我们作出的判决;(ii)在开曼群岛提起的原始诉讼中,根据美国或任何州的联邦证券法的民事责任条款对我们施加责任,只要这些条款施加的责任是刑事性质的。在这种情况下,虽然开曼群岛没有对在美国获得的判决进行法定强制执行,但开曼群岛法院将承认并执行具有管辖权的外国法院的外国资金判决,而不会根据案情重审,其依据原则是,在满足某些条件的情况下,有管辖权的外国法院的判决使判定债务人有义务支付已作出判决的金额。要在开曼群岛执行一项外国判决,这种判决必须是终局的和决定性的,而且必须是一笔清算款项,而且不得涉及与开曼群岛就同一事项作出的判决不一致的税款或罚款,不得以欺诈为由予以弹劾或以某种方式获得,也不得属于违反自然正义或开曼群岛公共政策而执行的一种判决(惩罚性或多重损害赔偿的裁决很可能被认为是违反公共政策的)。如果同时在其他地方提起诉讼,开曼群岛法院可中止执行程序。
由于上述所有原因,面对管理层、董事会成员或控股股东采取的行动,公众股东可能比作为美国公司的公众股东更难以保护自己的利益。
44
如果我们未能实施和维持有效的内部控制制度,以纠正我们在财务报告方面的重大缺陷,我们可能无法准确地报告我们的业务结果,履行我们的报告义务或防止欺诈。
在我们与TKK合并业务之前,Glory Star是一家私营公司,只有有限的会计人员和其他资源来处理我们对财务报告的内部控制。荣耀星管理层尚未完成对其财务报告内部控制有效性的评估,其独立注册会计师事务所也未对其财务报告内部控制进行审计。在进行业务合并后,在审计本年度报告所载合并和合并财务报表的过程中,我们和我们的独立注册会计师事务所发现我们在财务报告内部控制方面存在重大缺陷,这是因为缺乏足够的财务报告和会计人员,他们对美国公认会计原则(“U.S. GAAP”)和SEC报告要求有适当的了解,无法正确处理复杂的U.S. GAAP会计问题,也无法编制和审查我们的合并财务报表和相关披露,以满足U.S. GAAP和SEC的财务报告要求。在我们于2021年3月29日以表格20-F提交原始年度报告后,管理层发现,由于公司与TKK合并以及2020年2月14日发生的反向资本重组,与TKK首次公开发行相关的私人认股权证的会计核算出现错误,并记入公司的合并财务报表。此类错误被认为与上述重大缺陷有关,这些缺陷与我们缺乏足够的财务报告和会计人员有关,这些人员对美国公认会计原则有适当的了解,无法正确处理复杂的美国公认会计原则会计问题,也无法编制和审查我们的合并财务报表和相关披露,以满足美国公认会计原则和美国证交会的财务报告要求。在查明实质性弱点之后,我们已采取措施,并计划继续采取措施,以纠正这些控制缺陷。见"项目15。控制和程序——财务报告内部控制的变更”。然而,这些措施的实施可能无法充分解决我们在财务报告内部控制方面的这些缺陷,我们不能得出结论认为这些缺陷已得到充分补救。我们未能纠正这些控制缺陷或未能发现和解决任何其他控制缺陷,可能导致我们的财务报表不准确,并影响我们及时遵守适用的财务报告要求和相关监管申报的能力。此外,对财务报告的内部控制不力可能严重妨碍我们防止欺诈的能力。
作为一家上市公司,我们必须遵守2002年《萨班斯-奥克斯利法》。《萨班斯-奥克斯利法案》第404条要求我们在20-F表格的年度报告中包含管理层关于我们财务报告内部控制有效性的报告。此外,一旦我们不再是《JOBS法案》定义的“新兴成长型公司”,我们的独立注册会计师事务所必须证明并报告我们财务报告内部控制的有效性。我们的管理层可能会得出结论,我们对财务报告的内部控制是无效的。此外,即使我们的管理层认为我们对财务报告的内部控制是有效的,我们的独立注册会计师事务所在进行独立测试后,如果对我们的内部控制或我们的控制的记录、设计、操作或审查水平不满意,或者对相关要求的解释与我们不同,我们可能会出具合格的报告。此外,在可预见的将来,我们的报告义务可能对我们的管理、业务和财政资源及系统造成重大压力。我们可能无法及时完成我们的评估测试和任何必要的补救措施。
在记录和测试我们的内部控制程序的过程中,为了满足第404节的要求,我们可能会发现我们在财务报告内部控制方面的其他弱点和缺陷。此外,如果我们未能保持我们对财务报告的充分内部控制,因为这些标准不时被修改、补充或修正,我们可能无法持续得出结论,我们根据第404节对财务报告拥有有效的内部控制。如果我们不能实现和维持有效的内部控制环境,我们的财务报表可能出现重大错报,不能履行我们的报告义务,这可能导致投资者对我们报告的财务信息失去信心。这反过来可能限制我们进入资本市场,损害我们的经营成果,并导致我们普通股的交易价格下降。此外,对财务报告的内部控制不力可能使我们面临更大的欺诈或滥用公司资产的风险,并可能使我们从我们上市的证券交易所退市、受到监管调查和民事或刑事制裁。我们可能还需要重述以前各期的财务报表。
45
我们致力于尽快纠正其实质性弱点。但是,不能保证这一实质性弱点将在何时得到补救,或今后不会出现其他实质性弱点。如果我们无法对财务报告保持有效的内部控制,我们及时、准确地记录、处理和报告财务信息的能力可能会受到不利影响,这可能会使我们受到诉讼或调查,需要管理资源,增加我们的开支,对投资者对我们财务报表的信心产生负面影响,并对我们的股价产生不利影响。
我们的股东对公司作出的某些判决可能无法执行。
本公司是一家开曼群岛豁免公司,我们的所有资产都位于美国境外。我们目前基本上所有的业务都是在PRC进行的。此外,公司的所有董事和管理人员都是美国以外国家的国民和居民。这些人的资产有很大一部分位于美国境外。因此,如果你认为你的权利受到美国联邦证券法律或其他方面的侵犯,你可能很难或不可能在美国对公司或这些个人提起诉讼。即使你成功地提起了这类诉讼,开曼群岛和PRC的法律也可能使你无法对我们的资产或我们的董事和高级职员的资产执行判决。
纳斯达克可能会让我们的普通股退市,这可能会限制投资者交易我们的证券的能力,并使我们受到额外的交易限制。
我们的证券在全国证券交易所纳斯达克资本市场上市。我们不能向你保证,我们将能够继续遵守纳斯达克的上市要求。如果纳斯达克资本市场将我们的证券摘牌,我们可能会面临重大的不利后果,包括:
| ● | 我们证券的市场报价有限; |
| ● | 我们证券的流动性减少; |
| ● | 确定我们的普通股是“细价股”,这将要求买卖我们普通股的经纪商遵守更严格的规则,并可能导致我们证券的二级交易市场的交易活动减少; |
| ● | 有限的新闻和分析师报道;以及 |
| ● | a未来发行更多证券或获得更多融资的能力下降。 |
如果我们的普通股受到美国证交会细价股规则的约束,经纪自营商在完成客户交易时可能会遇到困难,我们证券的交易活动可能会受到不利影响。
如果在任何时候,我们的有形资产净值为5000,001美元或以下,而我们的普通股的市场价格低于每股5.00美元,我们的普通股交易可能受《交易法》颁布的“细价股”规则的约束。根据这些规则,向机构认可投资者以外的人推荐此类证券的经纪自营商必须:
| ● | 为买方作出特别的书面适当性决定; | |
| ● | 在出售前收到买方对交易的书面协议; |
46
| ● | 向买方提供风险披露文件,以识别与投资“细价股”相关的某些风险,并描述这些“细价股”的市场以及买方的法律补救措施;以及 |
| ● | 在完成“细价股”交易之前,从买方处获得一份签名并注明日期的确认书,证明买方实际上已经收到了所需的风险披露文件。 |
如果我们的普通股受到这些规则的约束,经纪自营商可能会发现很难进行客户交易,我们证券的交易活动可能会受到不利影响。因此,我们的证券的市场价格可能会被压低,你可能会发现出售我们的证券更加困难。
我们是一家“新兴成长型公司”,我们不能确定适用于新兴成长型公司的降低的披露要求是否会降低我们的证券对投资者的吸引力。
我们是一家“新兴成长型公司”,正如2012年《创业启动法案》(Jumpstart Our Business Startups Act)或《创业启动法案》(JOBS Act)所定义的那样。在长达5年的时间里,我们仍将是一家“新兴成长型公司”。但是,如果我们在三年内发行的不可转换债券超过10亿美元,或者收入超过12.35亿美元,或者非关联公司持有的普通股的市值在任何一个财政年度的第二个财政季度的最后一天超过7亿美元,我们将从下一个财政年度起不再是一家新兴的成长型公司。作为一家新兴的成长型公司,我们没有被要求遵守《萨班斯-奥克斯利法案》第404节的审计师认证要求,我们在定期报告和代理声明中减少了有关高管薪酬的披露义务,我们没有被要求就高管薪酬举行不具约束力的咨询投票,以及股东批准之前未获批准的任何“金降落伞”付款。此外,作为一家新兴的成长型公司,我们选择推迟采用新的或经修订的会计准则,这些准则对上市公司和私营公司的生效日期不同,直至这些准则适用于私营公司。因此,我们的财务报表可能无法与符合上市公司生效日期的公司进行比较。我们无法预测投资者是否会发现我们的股票不那么有吸引力,因为我们可能会依赖这些规定。如果一些投资者因此发现我们的股票不那么有吸引力,我们的股票可能会有一个不那么活跃的交易市场,我们的股价可能会更不稳定。
此外,《JOBS法》第102(b)(1)条规定,新兴成长型公司无需遵守新的或经修订的财务会计准则,直至私营公司(即那些没有宣布生效的《证券法》登记声明或没有根据《交易法》登记的证券类别的公司)必须遵守新的或经修订的财务会计准则。JOBS法案规定,公司可以选择退出延长的过渡期,并遵守适用于非新兴成长型公司的要求,但任何选择退出的选择都是不可撤销的。我们选择不选择退出这种延长的过渡期,这意味着当一项标准发布或修订,而它对上市公司或私营公司的适用日期不同时,我们作为一家新兴成长型公司,在要求私营公司采用新的或修订的标准之前,不会采用新的或修订的标准。这可能会使我们的财务报表与另一家既不是新兴成长型公司也不是选择不使用延长过渡期的新兴成长型公司的上市公司进行比较变得困难或不可能,因为所使用的会计准则可能存在差异。
我们是一家“空壳公司”,根据《规则》第144条,我们的受限证券的转售受到额外限制。
以下是第144条第(i)(B)(2)项的引文:"尽管有第(i)(1)款的规定,如果证券的发行人以前是(i)(1)(i)款所述的发行人,但现在不再是(i)(1)(i)款所述的发行人;须遵守《交易法》第13或15(d)条的报告要求;在过去12个月内(或在要求该发行人提交此类报告和材料的较短期限内)提交了《交易法》第13或15(d)条要求提交的所有报告和其他材料,除了表格8-K报告(本章第249.308条);并已向委员会提交了反映其作为不再是第(i)(1)(i)款所述发行人的实体的地位的当前“表格10信息”,则这些证券可在发行人向委员会提交“表格10信息”之日起一年后根据本节的要求出售。作为紧接业务合并前的“空壳公司”,我们将受到第144条规定的额外限制,该条规定,在我们遵守第144条第(i)(B)(2)款之前,不得出售我们的受限制证券。
47
如果我们成为或将要成为一家被动的外国投资公司,可能会对美国投资者产生不利的美国联邦所得税后果。
虽然我们不相信我们现在或将来会成为一家被动的外国投资公司,或PFIC,但我们不能保证我们过去不是PFIC,将来也不会成为PFIC。我们是否为私人融资中心的决定是每年作出的,并将取决于我们不时的收入和资产的组成。具体地说,在任何纳税年度,我们将被归类为美国联邦所得税的PFIC,条件是:(i)我们在该纳税年度的总收入的75%或以上是被动收入,或(ii)我们在该纳税年度的资产价值(按季度确定)的至少50%可归属于产生或持有用于产生被动收入的资产。见"项目10。附加信息——税收——美国联邦所得税的重要考虑——被动外国投资公司。”
虽然我们不认为我们过去或将来会成为私人融资中心,但我们与我们的可变利益实体之间的合约安排将如何处理,以符合私人融资中心规则的目的,这一点并不完全清楚。如果为了美国联邦所得税的目的(例如,由于PRC有关当局不尊重这些安排),我们被确定不拥有我们的可变利益实体的股票,我们可能被视为PFIC。见"项目10。附加信息——税收——美国联邦所得税的重要考虑——被动外国投资公司。”
如果我们成为或即将成为PFIC,可能会对我们的美国投资者股东产生不利的美国联邦所得税后果。例如,如果我们是PFIC,根据美国联邦所得税法律和条例,我们的美国投资者将承担更多的纳税义务,并将承担繁重的报告要求。我们不能保证在任何课税年度都不会或不会成为PFIC。我们促请你就美国联邦所得税对PFIC规则适用的影响咨询你自己的税务顾问。见"项目10。附加信息——税收——美国联邦所得税的重要考虑——被动外国投资公司。”
项目4。关于公司的资料
A.公司的历史和发展
导言
2020年2月14日,我们的前身TKK完成了由TKK、开曼群岛豁免公司Glory Star New Media Group Limited(“Glory Star”)、Glory Star New Media(Beijing)Technology Co.,Ltd.(一家在中华人民共和国(“PRC”)注册成立的外商独资企业有限责任公司(“WFOE”)并由Glory Star、Xing Cui Can、Horgos、Glory Star的股东(统称“卖方”)、TKK Symphony Sponsor 1、TKK的保荐人(“保荐人”)间接全资拥有的业务合并,作为TKK除卖方以外的股东在业务合并结束后及之后的代表,以及作为卖方在业务合并下的代表的Bing Zhang,据此,Glory Star New Media Group Holdings Limited(“GS Holdings”)从卖方手中收购Glory Star 100%的股权。
在业务合并结束时,我们收购了Glory Star的所有已发行和未发行证券,以换取我们的大约46204025股普通股,其中包括向Glory Star前股东发行的1000000股普通股,因为2019和2020财政年度都实现了某些财务业绩目标。
48
由于业务合并,卖方成为公司的控股股东。该业务合并作为反向合并入账,其中,出于会计和财务报告目的,Glory Star被视为收购方。
根据开曼群岛法律,我们于2018年2月5日以TKK Symphony Acquisition Corporation的名义注册为一家获豁免公司。就换股协议而言,我们将名称由“TKK Symphony Acquisition Corporation”改为“Glory Star New Media Group Holdings Ltd.”。由于业务合并,我们所有的业务都是通过我们的子公司和我们的VIE进行的。
以下是我们每个子公司和VIE的简要说明:
| ● | 荣耀星.荣耀星新媒体集团有限公司(“荣耀星”)是一家根据开曼群岛法律于2018年11月30日注册成立的豁免公司。GSNM被授权发行5,000,000股普通股,其中2,000,000股已发行在外。荣耀星由本公司全资拥有。 | |
| ● | 荣耀星HK.荣耀星新媒体集团香港有限公司(简称“荣耀星香港”)是一家于2018年12月18日根据《香港公司条例》注册成立的有限公司。Glory Star HK的股本总额为HKD 1.00元及一(1)股法定股份。Glory Star HK由Glory Star全资拥有。 | |
| ● | 外商独资企业.荣耀星新媒体(北京)科技有限公司(简称“WFOE”)是由荣耀星香港于2019年3月13日成立的一家外商独资企业。WFOE已于2019年4月4日获得北京市工商行政管理局顺义区分局颁发的营业执照(编号:91110113MA01HN7N6P)。 | |
| ● | 星翠灿.星翠灿International Media(北京)有限公司(简称“星翠灿”)是一家于2016年9月7日根据PRC法律注册成立的有限责任公司,现股东为:Bing Zhang、Jia Lu、Ran Zhang、何宜兴、Ronghui Zhang、林慧、金慧、李韩英、张英豪、肖建聪,均为PRC居民。邢翠灿现持有北京市工商行政管理局朝阳区分局颁发的营业执照。通过一系列合同协议,WFOE被视为控制星翠灿,并有权合并星翠灿所有经审计的财务业绩。 | |
| ● | 霍尔果斯.霍尔果斯荣耀星空传媒有限公司(简称“霍尔果斯”)是一家于2016年11月1日根据PRC法律注册成立的有限责任公司。目前的股东为星翠灿、Bing Zhang、Jia Lu、Ran Zhang、何宜兴、Ronghui Zhang、林慧、金慧、李汉英、张英豪和珠峰创业投资有限公司(简称“珠峰”)。霍尔果斯目前持有霍尔果斯市场监管局颁发的营业执照。Xianhong Liang和Jiancong Xiao是Horgos通过Everest的受益所有人。通过一系列合同协议,WFOE被视为控制霍尔果斯,并有权合并霍尔果斯所有经审计的财务业绩。 |
在荣耀星注册成立之前,于2017年8月31日(“收购日期”),霍尔果斯完成了对乐视星(北京)科技有限公司(“北京乐视星”)100%股权的收购。乐视星是一家在PRC注册成立的公司,主要从事互联网广告活动,并拥有“时尚星短视频应用乐视星软件”的版权。霍尔果斯以0美元的代价,从六名个人股东手中收购了北京乐享的全部100%股权。在收购之前,Bing Zhang先生是霍尔果斯的首席运营官,并拥有北京乐夏尔65%的股权,因此此次收购被视为关联交易。北京乐山的资产和负债按截至收购日期的账面价值入账,北京乐山的经营业绩自2017年8月31日起与荣星集团的经营业绩合并。
49
此外,2018年10月26日,霍尔果斯管理层Bing Zhang、Ran Zhang和Jia Lu以当时的霍尔果斯资产净值(MBO)为基础,以人民币3940万元(合600万美元)的价格从Lead Eastern Investment Co.,Ltd.(简称“当代东方”)收购了51%的股权。在MBO之前,当代东方是霍尔果斯的最大股东,希望霍尔果斯专注于传统广告和有线电视网络的内容制作,这是当时霍尔果斯的业务。然而,霍尔果斯的管理层希望将霍尔果斯扩张并转型为一家在线媒体和电子商务公司,这就是今天的荣耀星集团。不过,当时,当代东方并不希望对霍尔果斯的新业务进行额外投资,事实上,由于当时自身的财务问题,该公司正寻求清算其在霍尔果斯的持股。紧随MBO结束后,当代东方不再是霍尔果斯的股东,Bing Zhang先生通过邢翠灿直接和间接成为霍尔果斯的控股股东,持有霍尔果斯72.58%的股权。
私有化交易
2022年7月11日,GS Holdings与Cheers Inc.(一家根据开曼群岛法律注册成立的豁免有限责任公司)(“母公司”)和GSMG有限公司(一家根据开曼群岛法律注册成立的豁免有限责任公司)(“合并子公司”)签订了一份合并协议和计划(“合并协议”),据此,合并子公司将与GS Holdings合并(“合并”)并终止存在,公司继续作为存续公司(“存续公司”)并成为母公司的全资子公司(“私有化交易”)。
母公司和合并子公司均为一家根据开曼群岛法律成立的有限责任豁免公司,仅为合并的目的而成立。在合并生效时(“生效时间”),母公司将由以下个人和实体实益拥有:
| (a) | Bing Zhang先生,公司创始人、董事Shlomo Kramer(“董事会”)及公司行政总裁(“董事长”); |
| (b) | Happy Starlight Limited,一家根据英属维尔京群岛法律组建的公司,由主席全资拥有(“HSL”); |
| (c) | Jia Lu先生,PRC公民,本公司董事兼高级副总裁; |
| (d) | Enjoy Starlight Limited,一家根据英属维尔京群岛法律组建的公司,由Jia Lu先生全资拥有(“ESL”); |
| (e) | Himanshu H. Shah先生,美利坚合众国公民,Shah Capital Management公司总裁兼首席投资官; |
| (f) | Shah Capital Management,Inc.,一家北卡罗来纳州公司,担任Shah Capital Opportunity Fund LP(“Shah Capital”)的投资顾问; |
| (g) | Shah Capital Opportunity Fund LP,a Delaware limited partnership(“Shah Opportunity”); |
| (h) | PRC公民、财富星光有限公司董事Ronghui Zhang先生; |
| (一) | Wealth Starlight Limited,一家根据英属维尔京群岛法律组建的公司,由Ronghui Zhang先生全资拥有(“WSL”); |
| (j) | Wei Zhang先生,PRC公民,私人投资者; |
| (k) | Hui Lin先生,PRC公民,Rich Starlight Limited董事; |
50
| (l) | Rich Starlight Limited,一家根据英属维尔京群岛法律组建的公司,由Hui Lin先生全资拥有(“RSL”); |
| (m) | Hanying Li女士,PRC公民,Renny Consulting Ltd和Lilly Starlight Limited董事; |
| (n) | Renny Consulting Ltd,一家根据英属维尔京群岛法律组建的公司,由Hanying Li女士全资拥有(“Renny Consulting”); |
| (o) | Lilly Starlight Limited,一家根据英属维尔京群岛法律组建的公司,由Hanying Li女士全资拥有(“LSL”); |
| (p) | Song Gao先生,PRC公民,私人投资者; |
| (q) | 邱培元先生,加拿大公民,Smart Best国际公司董事; |
| (r) | Smart Best International Corporation,一家由邱培元先生全资拥有的英属维尔京群岛公司(“Smart Best”); |
| (s) | 张正军先生,PRC公民,私人投资者; |
| (t) | Nan Lu先生,PRC香港特别行政区公民,私人投资者; |
| (u) | 王建华先生,PRC公民,私人投资者; |
| (五) | Ailin Xin女士,PRC公民,Ring & King投资有限公司董事; |
| (w) | Ring & King投资有限公司,一家根据英属维尔京群岛法律组建的公司,由Ailin Xin女士全资拥有(“Ring & King”); |
| (十) | 高通投资有限公司(广东民营投资股份有限公司),PRC股份有限公司(“Gortune”); |
| (y) | 高通另类投资(珠海横琴)有限公司(粤民投另类投资(珠海横琴)有限公司),由Gortune控制的PRC有限责任公司(“Gortune GP”); |
| (z) | 粤民投惠桥九号(深圳)投资合伙企业(有限合伙)(粤民投慧桥玖号(深圳)投资合伙企业(有限合伙)PRC有限责任合伙企业(“Gortune SPV”); |
| (aa) | 周云芳先生,PRC公民,中晟鼎鑫投资基金管理(北京)有限公司唯一股东、执行董事兼总经理; |
| (bb) | 中盛鼎鑫投资基金管理(北京)有限公司(中晟鼎新投资基金管理(北京)有限公司),一间由周云芳先生全资拥有的PRC有限责任公司(“中盛鼎新”); |
| (cc) | Ye Tian先生,PRC公民,iKing Way Limited的唯一股东和董事; |
| (dd) | iKing Way有限公司,一家根据开曼群岛法律组建的公司,由Ye Tian先生全资拥有(“iKing Way”); |
| (ee) | Xiu Jin先生,PRC公民,上海林思企业管理合伙企业(有限合伙)的普通合伙人;及 |
| (ff) | 上海林思企业管理合伙企业(有限合伙)(上海麟思企业管理合伙企业(有限合伙)),PRC有限责任合伙企业(“上海林思”)。 |
51
(a)至(w)所列的个人和实体统称为“展期股东”。(z)、(bb)、(dd)和(ff)中所列的个人和实体统称为“发起人”。(a)至(ff)中所列的个人和实体在本文中统称为“买方集团”。
截至本年度报告日期,展期股东实益拥有GS Holdings已发行及未发行普通股总数的约72.8%(统称为“展期股份”)。如果合并完成,公司将继续作为一家私人控股公司运营,并将由买方集团实益拥有。由于合并,公司股票将不再在纳斯达克资本市场(“纳斯达克”)上市。
根据合并协议的条款,如果合并在生效时间完成,则在紧接生效时间之前已发行和流通的每一股普通股,但(a)展期股份,(b)母公司、合并子公司、GS Holdings(如果有的话)或在紧接生效时间之前各自的任何子公司拥有的普通股,(上文(a)和(b)项所述的股份统称为“不包括股份”),(c)根据《开曼群岛公司法》(经修订)第238条(统称为“异议股”),在紧接生效时间之前已发行和流通的普通股,将被注销,以换取每股普通股1.55美元现金的权利,不计利息,扣除任何适用的预扣税款。展期股份将在生效时间或紧接生效时间之前提供给母公司,以换取新发行的母公司股份,该等展期股份随后将根据紧接生效时间之前的合并协议无偿注销。除展期股份以外的不包括股份将在紧接生效时间之前无偿注销。异议股份将于生效日期注销,而该等异议股份的每名持有人将只有权按照中国证监会的规定收取该等异议股份的公允价值的付款。
在紧接认股权证生效时间之前发行和未到期的每份公开认股权证(如下文所定义的认股权证协议中所定义的术语),根据日期为2018年8月15日的认股权证协议(由GS Holdings和Continental Stock Transfer & Trust Company作为认股权证代理人签署)的条款(“认股权证协议”),应成为存续公司的认股权证。
每份私人认股权证(该术语在认股权证协议中定义)在紧接认股权证生效时间之前发出和尚未兑现,应根据认股权证协议的条款成为存续公司的认股权证。
根据后续发行认股权证第3(d)(i)节的规定,每份普通股认股权证(每份认股权证的持有人均有权以每股4.10美元的行权价购买一股GS Holdings的股份(每份认股权证为“后续发行认股权证”),该认股权证在紧接生效时间之前已发行和流通,所有与此相关的权利均应无偿注销。
此外,在生效时间或之前,公司应终止其2019年股权激励计划及根据该计划订立的任何相关奖励协议。
买方集团拟通过保荐人根据保荐人出具的日期为2022年7月11日的股权承诺函(“股权承诺函”)提供的股权融资为合并对价提供资金。在计算这一数额时,GS控股公司和买方集团没有考虑展期股份的价值。展期股份将在生效时间或紧接生效时间之前提供给母公司,以换取新发行的母公司股份。根据紧接生效时间之前的合并协议,展期股份随后将被无偿注销。
52
由两名独立董事Ke Chen先生和Zhihong Tan先生组成的GS Holdings董事会特别委员会(“董事会”)审查和审议了合并协议的条款和条件、合并计划以及合并协议所设想的交易,包括合并。2022年7月11日,特别委员会一致(a)认定,对于GS Holdings及其股东(不包括展期股东)或非关联证券持有人而言,这是公平的(在实质上和程序上),符合其最佳利益,并宣布订立合并协议、合并计划以及合并协议所设想的交易(包括合并)是可取的,(b)建议董事会授权并批准合并协议、合并计划以及合并协议所设想的交易(包括合并)的执行、交付和履行,及(c)建议董事会指示将授权及批准合并协议、合并计划及由此拟进行的交易(包括合并)的完成提交公司股东大会表决,并建议公司股东授权及批准合并协议、合并计划及由此拟进行的交易(包括合并)的完成。
2022年7月11日,董事会(买方小组成员中的董事长和Jia Lu先生除外,由于各自在拟议交易中的利益,他们没有参与董事会会议期间讨论的任何事项,也没有对任何事项进行投票),在仔细考虑了所有相关因素,包括特别委员会代表公司作出的一致决定和建议后,(a)确定公司和非关联证券持有人(在实质上和程序上)是公平的,并且符合公司和非关联证券持有人的最佳利益,并宣布签订合并协议是可取的,合并计划,以及合并协议所设想的交易,包括合并,(b)批准执行、交付和履行合并协议,合并计划,以及合并协议所设想的交易,包括合并,以及(c)决定建议公司股东授权和批准合并协议、合并计划以及由此设想的交易的完成,包括合并。
2022年10月27日,GS Holdings召开股东大会,其中约75.225%的已发行普通股在股东大会上亲自或委托代理人投票。在股东大会上亲自或通过代理人投票的这些普通股中,约99.882%的人投票赞成授权和批准合并协议、合并计划及其所设想的交易的提案。
截至本年度报告日期,私有化交易尚未完成。无法保证合并协议的各方将继续进行或完成私有化交易。
新兴成长型公司地位
我们是一家“新兴成长型公司”,根据《创业启动法》(“JOBS法”)的定义,我们有资格利用适用于非新兴成长型公司的其他上市公司的各种报告和财务披露要求的某些豁免,包括但不限于:(1)在本年度报告中仅提交两年的已审计财务报表,以及仅提交两年的相关管理层对财务状况和经营业绩的讨论和分析,(2)无需遵守《萨班斯-奥克斯利法》第404节的审计师证明要求,(3)在我们的定期报告和代理声明中减少有关高管薪酬的披露义务,以及(4)豁免就高管薪酬举行不具约束力的咨询投票和股东批准任何先前未获批准的金降落伞付款的要求。我们打算利用这些豁免。
此外,《JOBS法》第107节还规定,新兴成长型公司可利用《证券法》第7(a)(2)(B)节规定的延长过渡期,遵守新的或经修订的会计准则。因此,一家新兴的成长型公司可以推迟采用某些会计准则,直到这些准则适用于私营公司。
53
我们可以保持一家新兴成长型公司长达五年,或者直到(1)我们的年度总收入超过12.35亿美元的第一个财政年度的最后一天,(2)我们成为《交易法》第12b-2条所定义的“大型加速申报人”之日,如果非关联公司持有的普通股的市值在我们最近完成的第二个财政季度的最后一个工作日超过7亿美元,并且我们已公开报告至少12个月,或(3)我们在前三年期间发行超过10亿美元不可转换债券的日期。
外国私人发行人地位
根据《交易法》的规定,我们是一家外国私人发行商。因此,我们不受适用于美国国内上市公司的某些规定的限制。例如:
| ● | 我们不需要提供像国内上市公司那样多的《交易法》报告,也不需要提供那么频繁的报告; | |
| ● | 在中期报告方面,我们只被允许遵守母国的要求,这些要求没有适用于国内上市公司的规则严格; |
| ● | 我们不需要在某些问题上提供同样程度的信息披露,例如高管薪酬; | |
| ● | 我们不受FD条例旨在防止发行人有选择地披露重大信息的规定的约束; | |
| ● | 我们不需要遵守《交易法》中有关根据《交易法》注册的证券的代理、同意或授权的规定;和 | |
| ● | 我们不需要遵守《交易法》第16条的规定,该条要求内部人公开报告其股票所有权和交易活动,并确定内部人对任何“短线”交易所获利润的责任。 |
SEC拥有一个互联网网站,其中包含报告、代理声明和信息声明,以及以电子方式向SEC提交的有关发行人的其他信息。SEC网站的地址是http://www.sec.gov。我们在http://gsmg.co上有一个网站。然而,本年度报告所载的资料,或可透过本公司网站或本年度报告所引任何其他网站查阅的资料,并不是本年度报告的一部分。
我们的主要行政办公室位于中国北京市朝阳区酒仙桥拓芳营南路8号新华科技大厦B Block 22F,地址:100016,我们的电话号码是+ 86-10-87700500。
B.业务概览
我们提供广告和内容制作服务,并在中国经营领先的移动和在线广告、媒体和娱乐业务。我们的主要制作包括短视频、在线综艺、网络剧、直播和干杯系列。自2018年推出CHEERS应用后,我们正迅速成为中国领先的内容驱动型电商平台之一。我们专注于创造原创的生活方式内容,以货币化我们的广告和电子商务平台。我们主要提供自产内容的版权许可、广告和定制内容制作以及CHEERS电子商城市场服务、会员费和其他收入。我们打算利用中国直播和电子商务市场的巨大增长潜力,同时培育新的、创新的盈利机会。
54
我们计划通过向市场推出新的应用程序来进一步扩展我们的移动和在线业务,从而创建一个CHEERS生态系统。2021年,我们推出了自主研发的车载互动娱乐应用CheerCar;2022年,我们推出了全新的数字收藏NFT应用CheerReal,它允许不同的文化元素重合,带来全新的数字艺术沉浸式体验;作为我们不断扩展的CHEERS生态系统的一部分,我们还在开发和测试我们的海外社交音频应用CheerChat,它将为我们的用户提供个人和群体匹配功能,同时连接使用智能语音翻译技术的高质量内容社区,预计将于2023年推出。
此外,作为我们长期零售战略的一部分,我们计划利用我们的CHEERS生态系统、区块链技术以及与各种合作伙伴在AR和VR技术方面的战略合作,开发一个以虚拟世界为特色的元宇宙平台,其中包含智能零售、视频点播、社交网络、游戏和NFT等领域的沉浸式体验。作为先驱,我们的战略始终致力于媒体和娱乐行业的先进技术、创新和数字颠覆。
关键指标
我们监控以下关键指标,以评估我们的业务增长,衡量我们营销工作的有效性,确定影响我们业务的趋势,并做出战略决策:
| ● | CHEERS应用下载.我们将该指标定义为截至该期间结束时CHEERS App的总下载数。因为我们已经通过我们的CHEERS应用程序扩展到电子商务领域,我们认为这是理解该业务增长的一个关键指标。下载量表明,我们在营销方面是否成功地将我们在其他平台上专业制作的内容的观众转化为CHEERS应用程序。我们将某一时期结束时的下载次数视为我们视频平台的吸引力和可用性以及我们电子商城平台流量增加的一个关键指标。下表列出截至所述期间结束时CHEERS App的下载总数: |
| 12月31日, | ||||||||
| 2021 | 2022 | |||||||
| (百万) | ||||||||
| 应用下载 | ||||||||
| 欢呼视频 | 259 | 342 | ||||||
| 欢呼电子商城 | 12.5 | 34.5 | ||||||
| ● | 每月活跃用户(MAU).我们将月活跃用户定义为使用CHEERS应用程序登录或访问我们的在线视频内容和/或我们的电子商务平台的用户,无论是在手机还是平板电脑上。我们使用基于用户账户活动的公司内部数据计算MAU,并进行调整以消除“重复”账户。MAU是我们的管理层用来管理他们的运营的工具。特别是,我们的管理层设定每日MAU目标,并监控MAU,以确定是否对促销活动、广告活动和/或在线视频内容进行调整。下表列出截至所示期间结束时我们的CHEERS应用程序的MAU: |
| 12月31日, | ||||||||
| 2021 | 2022 | |||||||
| (百万) | ||||||||
| MAU | ||||||||
| 欢呼视频 | 45.3 | 47.7 | ||||||
| 欢呼电子商城 | 2.3 | 3.8 | ||||||
| ● | 回购利率(RPR)。我们跟踪RPR来分析我们营销的有效性以及客户保留,这对我们的电子商城至关重要。RPR的计算方法是我们的客户在一段时间内下了不止一个订单的百分比。在2022商业年的360天期间,我们的CHEERS电子商城RPR为34.5%。 |
| ● | 每日使用时间(DTS)。我们衡量DTS作为一个额外的指标来评估我们的视频内容的吸引力和用户粘性。在2022年的商业年度,使用我们的CHEERS视频的平均DTS为56分钟。 |
55
我们的愿景
我们的愿景是成为一家全球领先的移动媒体和娱乐公司,致力于为追求美好生活的人们提供一个以电子商务和高品质生活方式娱乐为特色的综合平台。

我们的生意
我们成立于2016年,专注于提供广告和内容制作服务,通过创造以生活方式、文化和时尚为特色的专业内容,成为中国领先的移动和在线广告、媒体和娱乐企业。2018年,我们推出了CHEERS应用,将我们的电子商务服务与专业制作的内容相结合,从而扩展到电子商务服务领域。对于我们的愿景而言,我们将继续制作、制作和增加我们丰富的短视频、剧集和直播资料库,我们拥有这些资料,并在我们的移动应用程序互联网协议电视(IPTV)和在线平台上进行直播,以及向中国和世界各地的其他媒体(如中国电视台和第三方在线流媒体平台)分发和授权。利用我们专业制作的内容和分销网络的受欢迎程度,我们将观众吸引到我们的CHEERS生态系统,使他们成为我们在线视频流服务的用户以及我们的电子商城和在线游戏的客户。
自成立以来,我们一直致力于为我们的用户开发一个生态系统,其中包括高质量的内容、电子商务、社交网络和游戏。这些核心元素构成了我们未来元宇宙平台的基础,并继续为我们实现新的战略目标提供强大的竞争优势。我们计划与5G和AR技术、NFT技术和VR设备供应商的战略合作伙伴继续整合我们的尖端区块链技术、来自我们CHEERS生态系统的庞大用户基础、优质内容和我们的电子商务平台,开发一个拥有广泛“线上+线下”和“虚拟+现实”场景的元宇宙。通过利用我们的CHEERS视频和电子商城平台,我们的目标是继续为我们计划的元宇宙平台研究和开发不同的娱乐和购物应用程序,并为我们的用户提供一套工具,以促进创作者开发新内容。我们计划通过投资于对最新创新技术的持续研究,继续发展和实施我们的新业务计划。
CHEERS应用-视频平台
CHEERS视频平台是一个专业制作和策划的媒体平台,以生活方式、文化和时尚为主题的高质量视频吸引用户,并继续开发生活方式短视频和互动直播。我们继续收到用户和内容创作者加入CHEERS视频平台的兴趣,并于2021年12月1日升级该平台,纳入UGC权利管理系统。通过这些升级,用户现在有机会共同构建平台,并为改善内容生产生态系统做出贡献。我们制定了一个新的战略计划,与我们合作,培养优秀的UGC创作者,并在长期内产生高质量的UGC。该计划包括多项举措,如对教资创作者的流量支持和现金补贴,以及对热门话题的引导,以支持高质量视频的创作。我们还将采用NFT技术,帮助保护平台原创内容的版权。
此外,我们计划吸引拥有大量粉丝/流量的网红,以帮助加速该平台的应用。我们期望加强用户与平台之间的关系,通过利用我们与领先内容创作者的生产价值来加速用户参与。我们预计,通过为用户创造新的收入来源,并将平台的流量转化为额外收入,该平台的盈利能力将会提高。
56
CHEERS App-电子商城平台
凭借我们的品牌、庞大的观众和我们CHEERS视频平台的用户,我们在2019年4月推出了我们的电子商城,通过我们筛选和批准的第三方商家向我们的用户提供产品。我们向CHHERS电子商城平台上的第三方商家收取服务费和销售其产品的佣金。
虽然CHEERS视频平台为我们保持了较高的业务增长,但电子商城也扩大了我们在视频内容驱动型电子商务行业的影响力,并成为我们的另一个增长动力。随着电子商城的独立运营,我们将寻求在我们的电子商务业务上部署更多资源,扩展到跨境电子商务市场,实现更大的业务自主权。我们相信,CHEERS电子商城平台的独立运营将使其能够更好地与其他应用程序集成,从而改善业务表现和增长。
此外,新独立运营的CHEERS电子商城和CHEERS视频平台继续成为我们的主要增长动力,这得益于我们独特的技术、优质内容和强大的消费者数据洞察力的互补性,这些都是由我们的内容驱动的生态系统提供的。
以下是我们CHEERS App的电子商城平台摘要:
| - | 在线直播电子商务 |
直播电商正在成为内容创作者最具创新性和最具盈利能力的工具之一。为了保护内容创作者的利益——这是我们在生态系统中坚持的价值观之一——我们将CHEERS电子商城的SAAS供应链系统与平台连接起来,允许内容创作者自行选择相关产品进行销售。创作者可以从他们的直播内容中获得佣金和相关的任务奖励。此外,该平台利用区块链技术确保每笔交易都被正确分类。通过这些措施,我们相信我们已经建立了一个实质性的闭环商业模式,在我们的生态系统内为客户创造了额外的价值,并提高了用户参与度,这将有助于我们继续扩大其在CHEERS生态系统上的收入潜力。
2018年6月,我们推出了第一个名为Shopping Genius的直播节目。我们现在有十(10)个正在制作中的直播节目,每个节目90-180分钟,用户可以与彼此和主持人互动,通过参与我们的实时在线游戏和测验获得折扣券,并使用这些折扣券在我们的电子商城购物。此外,根据一些客户的要求,一些直播节目是定制的,以便引导观众在客户的在线商店和/或其他电子商务平台,如京东和淘宝网进行购买。我们通过推广我们的订阅者可以通过我们的电子商城购买产品的产品,将我们的直播节目货币化。此外,我们的电子商务供应商和电子商城的分销商可以选择与我们签订单独的广告协议,在我们的直播节目中推广他们的产品。
57
自2021年以来,已推出六(6)场直播节目,其中三(3)场在外部平台上,以增加内容输出的多样性和提升品牌效应,进一步巩固了我们业务的竞争力。以下是我们当前直播节目的摘要:
| 购物天才 | 该节目推广在CHEERS电子商城平台上出售的各种产品,并为观众提供机会参与问答游戏,以获得促销产品的折扣券。 | |||
| 讨价还价的天才 | 该节目宣传在CHEERS电子商城平台上出售的各种产品,并允许观众相互竞争促销产品的折扣券。 | |||
| 猜谜游戏 | 这是一个现场游戏节目,观众可以在购买CHEERS电子商城平台上的商品时赢得折扣。 | |||
| 不可战胜的幸运卡 | 这是一个游戏直播节目,观众可以在CHHERS e-Mall平台上购买商品时获得折扣。 | |||
| 欢呼美食家 | 这是一个互动的现场推广节目,通过名人影响者和观众之间的合作,在CHEERS电子商城平台上推广低价产品,创造基于观众定制食谱的食品和饮料产品。观众可以使用通过CHEERS电子商城提供的多种产品个性化他们的食谱,包括新鲜水果和蔬菜、糕点、零食和不同类型的饮料,他们的食谱由受邀网红在节目期间制作。 | |||
| 大品牌 | 这是一个直播节目,宣传顶级美容品牌的化妆品,同时向观众提供各种产品的详细建议和评价。观众还可以通过CHEERS电子商城平台以低价和大幅折扣购买展示的化妆品。 | |||
| 10元,走! | 这是一个直播教育节目,宣传各种物美价廉的必需品和日常用品,以及日常生活中各种场合的建议用途。 | |||
| 大师秀 | TikTok(中国) | TikTok上的这个节目在每一集预先录制的节目中谈论热门话题,分享生活和商业方面的小窍门,并不时在直播活动中宣传CHEERS电子商城的产品。 | ||
| 欢呼好东西 | TikTok(中国) | 这个在TikTok上的直播节目宣传在CHEERS电子商城上提供的优质产品。 | ||
| CHEERS快手精品店 | 快手 | 这场在快手上的直播秀宣传CHEERS电子商城上提供的优质产品。 |
| - | 在线短视频 |
我们在我们的CHEERS视频平台上播放我们专业制作的内容,我们从传统的视频前、视频内、横幅广告和弹出式广告中获得广告收入。我们还通过软产品植入产生收入,这些植入到我们的原始视频内容中。我们利用我们深厚的专业制作内容库、庞大的观看观众群和大数据分析能力,帮助我们的广告客户锁定他们在中国的特定人群。
58
我们将继续积极引入优质IP,支持优质内容创作者,通过我们的内容生态系统留住更多用户,将我们的CHEERS视频平台、内容创作者和用户以闭环商业模式连接起来,加速我们的规模增长。我们将利用用户生成内容(“UGC”)的战略优势,更大程度地激发系统活力,构建良性发展生态系统,巩固平台的核心竞争力,为公司未来的增长做好准备。
| - | 网络游戏 |
我们为我们的CHEERS电子商城平台开发了四(4)款在线游戏,玩家可以在其中玩我们自己开发的游戏。我们通过用户在应用内购买礼包和游戏特权,将在线游戏变现。
CheerCar应用
CheerCar是我们自主研发的互动娱乐app,在车联网生态系统腾讯汽车智能上首批上线。作为一款旨在为车辆提供娱乐的车载互动娱乐应用,CheerCar让乘客和车载信息娱乐系统之间的连接更紧密、更高效。作为腾讯车联网生态系统中的一款应用,CheerCar允许用户设置偏好,并浏览我们在其CHEERS视频平台上提供的高质量视频库中的个性化内容。CheerCar还使用个性化的智能算法推荐系统,根据用户的偏好推荐内容。
CheerReal应用
CheerReal是我们自主研发的全新数字收藏NFT app,于2022年9月上线,让不同文化元素重合,带来源自传统领域的全新沉浸式数字艺术体验。
在艺术家、收藏家和市场之间建立高效而紧密的联系。CheerReal旨在加速文化和艺术品的数字化,促进和最大化数字资产的价值,创建数字资产的新生态系统。
CheerChat应用
CheerChat是我们的海外社交音频应用,自2021年以来已进入测试阶段。通过利用我们的CHEERS视频和CHEERS电子商城平台的流量和货币化系统,我们的CheerChat应用将在渗透社交音频市场方面拥有强大而独特的竞争优势。CheerChat将为用户提供个人和群体匹配功能,同时连接利用智能语音翻译技术的高质量内容社区。我们的创新技术和商业模式将为其CheerChat用户提供独特的社交场景和更个性化的社交音频网络娱乐体验。我们相信,推出我们的CheerChat应用程序将是我们进入元宇宙的一个关键进展。
CheerChat应用原定于2022年推出,但由于AI技术的开发和实施,该应用已被推迟到2023年,这将改善我们CHEERS生态系统的整体用户体验和发展。CheerChat的推出表明我们重视继续将创新技术应用于我们的商业模式,并通过对研发的战略投资创造更多价值。这一长期愿景使我们能够保持我们在新媒体行业的领先地位。
59
元宇宙体验中心
荣耀星元宇宙体验中心的开发和推出已被推迟。我们计划开发Glory Star元宇宙体验中心,让用户有机会亲身体验虚拟世界。用户将能够创建自己的NFT,在虚拟购物中心购物,在数字社交网络中互动,并享受沉浸式游戏体验。这些体验中心将是现实与虚拟世界的真正融合,通过正确应用5G、AI、AR和VR技术,我们将把它变成与现实世界无缝连接的体验。
系列电视节目
2017年2月,我们开始制作我们的系列电视节目,包括六(6)个生活方式节目,包括Cheers Food、Cheers Health、Cheers Fashion、Cheers Baby、Cheers Space和Cheers World,每集长度为30分钟。我们的系列电视节目在内容创作和制作方面是独一无二的,在室内和室外都拍摄了流行的生活方式更新。我们通过向拥有独家广告时间和收取广告费的电视台授权,以及通过展示我们电子商城的产品,从我们的系列电视节目中获得收入。我们在各种在线视频平台、移动应用程序、IPTV和电视频道上分发和推广我们的系列电视节目内容,我们通过传统的视频前、视频内和弹出广告产生广告收入。我们还从软性植入广告中获得收入,这些软性植入广告被纳入我们的系列电视节目。我们制作并授权我们的系列电视节目,在地方广播、基本有线电视网络和中国各地播出。我们的节目可以在安徽卫视和深圳卫视等卫星电视台上看到,这两家电视台都是按年签约的。以下是我们系列电视节目的摘要:
| 干杯健康 | ![]() |
这档电视节目以健康的生活方式为特色并加以推广。 | ||
| 干杯时尚 | ![]() |
这档电视节目以高端时尚和美容为特色,被吹捧为时尚界的时尚圣经。 | ||
| 干杯世界 | ![]() |
这档电视节目是中国唯一的领先短旅游节目,汇集了世界上最好的旅游目的地,从游客的独特视角和目的地的文化场景分享旅游体验。它得到了外国驻华使馆文化中心或领事馆的充分推荐,与世界许多国家的使馆有着密切的联系与合作。 | ||
| 干杯宝贝 | ![]() |
这档电视节目由曹颖主持,她以问答形式分享家长的育儿经验,并进行深度访谈。这是中国为数不多的这类项目之一。 | ||
| 干杯食品 | |
这个电视节目以食物为中心,从不同的角度讲述人与食物之间的故事。自深圳卫视开播以来,我们的平均排名一直稳定在中国前8名之内。 | ||
| 干杯空间 | |
这个每周定期的节目关注家居装饰和室内设计。 |
60
戏剧和综艺节目
我们与第三方合作,制作和授权原创网络剧和综艺节目,在网络视频平台上发行。我们目前开发了以下剧集和综艺节目:
| 我最伟大的英雄 | 这部电视剧探讨了一支高中网球队的生活。该节目与爱奇艺合作,已成为最受欢迎的青少年电视剧之一。 | |||
| 嗨!说唱 第一季 |
这档综艺节目是在2018年开发的一档“轻综艺”脱口秀节目。 | |||
| 嗨!说唱 第二季 |
2019年,我们开发了这个综艺节目的第二季。它是目前中国最受欢迎的综艺节目之一。 | |||
| 嗨!说唱 第三季 |
嗨!Rap Season 3自2020年8月22日首次推出以来,已成为千禧一代最受追捧的网络综艺节目之一。 | |||
明星 改头换面 |
自2021年5月5日首播以来,该剧的收视率飙升,该剧也继续保持着中国主流电视节目的最高收视率。 |
根据与合作伙伴签订的合同,我们可以分享观众数量带来的收入,也可以分享内容带来的广告收入。
广告
我们在我们的CHEERS应用程序以及各种在线视频平台、移动应用程序、IPTV和电视频道上分发和推广我们专业制作的内容,我们通过传统的视频前、视频内和弹出广告产生广告收入。我们还从软性产品植入中获得收入,这些软性产品植入我们的原创视频内容,包括我们的在线短视频。此外,我们的电子商城供应商和分销商可以选择签订单独的广告协议,以便在我们的直播节目中展示他们的产品。直播节目中展示的所有商品都可以在电子商城购买。我们利用我们深厚的专业制作内容库、广泛的分销渠道和大数据分析能力,帮助我们的广告客户锁定他们在中国的特定人群。
生产服务
我们根据客户的需求,通过制作综艺节目、短视频和直播节目,向第三方广告公司提供品牌广告服务,并收取一定费用。我们还提供收费的策划、拍摄和后期制作服务。
内容许可和分发
我们亦会不时取得转播权及/或分销第三方电影及电视剧。
行业概览
中国电子商务的增长
电子商务市场规模的不断扩大,以及中国网络购物者的数量,为新兴的电子商务平台构建了坚实的行业前景。
61
根据我们于2020年7月委托的艾瑞市场研究报告《中国内容驱动型电商平台市场概览》,2019年中国电商市场销售总额达到人民币348,100亿元,2015-2019年复合年增长率(CAGR)为12.4%。中国电商销售额增速高于社会消费品零售总额增速,后者在2015年至2019年期间的复合年增长率为8.1%。

资料来源:国家统计局,艾瑞咨询
艾瑞咨询的数据显示,2020年3月,网购人口已达7.1亿,其中99.6%也是手机购物者。到2021年,中国网购人口预计将达到8.5亿,复合年增长率为10.8%。

资料来源:CNNIC,艾瑞咨询
62
在线视频用户的增长
高速互联网网络的发展和短视频平台的日益普及推动了在线视频观众的增长。根据艾瑞咨询的报告,截至2020年3月,中国网络视频用户规模达到8.5044亿,较2015年的复合年增长率为13.3%。到2020年3月,在线视频用户占互联网用户总数的94%,而在2015年底,这一比例仅为72%。

资料来源:CNNIC,艾瑞咨询
视频内容驱动型电商平台
随着电子商务市场和在线视频用户的快速增长,许多电子商务平台开始利用视频内容协助其电子商务平台的客户获取。
视频内容驱动型电子商务平台是指具有促销和广告视频内容、鼓励或激励顾客在其电子商务平台上购物的电子商务平台。大多数平台采用的视频内容是直播节目和短视频。
视频内容驱动的电子商务平台可以是PGC、PUGC或UGC内容驱动的,这取决于由谁来制作内容:
|
|
● | PGC指的是专业生成的内容,它依赖于专业的视频制作者,通常制作成本更高。然而,它对细节的关注和始终如一的品质也具有最高的商业价值; |
| ● | UGC是指用户生成的内容,其特色是由公众制作的内容;以及 | |
| ● | PUGC是指专业用户生成的内容,是PGC和UGC的结合。 |
货币化
视频内容驱动型电商平台通常可以通过以下方式将视频内容变现:
| ● | 视频内产品植入、开始屏幕广告、应用内横幅广告及其他形式广告的广告收入; | |
| ● | 交易完成和结算时平台上视频制作者和直播主播的佣金收入;以及 | |
| ● | 平台上商品的直接电子商务销售。 |
63
自有PGC视频内容驱动型电商平台
自有PGC视频内容驱动型电子商务平台是内容驱动型电子商务平台的一部分,拥有内部专业视频制作和自有电子商务平台。与其他视频内容驱动型电商平台相比,专有的PGC视频内容驱动型电商平台通常具有较大的优势,可以通过专门的专业制作团队维持高质量的内容生产。
市场规模
自有PGC视频内容驱动型电商平台行业仍处于发展初期,增速较高,但合格的市场参与者有限。然而,许多电商平台已经或正计划在2020年在其平台上开发视频内容。
根据艾瑞咨询报告,2019年以GMV计的自有PGC视频内容驱动型电商平台市场规模约为35亿元,2016-2019年CAGR为151.6%。到2024年,该市场预计将以32.5%的复合年增长率增长至145亿元人民币。

资料来源:艾瑞咨询
视频内容驱动型电商平台的关键成功因素
| ● | 商品的选择:平台在选择受欢迎程度高、利润率合理的商品时必须谨慎周到,以保持客户的吸引力。 | |
| ● | 可持续的高质量视频内容:平台必须能够保持一致的视频内容质量,并避免发布任何可能导致负面宣传、甚至监管处罚的视频。 | |
| ● | 稳定的客户流入:一个平台必须确保一个稳固的客户获取渠道,并将所有客户活动保持在一个专有的生态系统内,以便最大限度地减少客户流失。 |
64
竞争
我们的竞争对手包括阿里巴巴(纳斯达克:BABA)、拼多多(纳斯达克:拼多多)、斗鱼(纳斯达克:DOYU)、趣头条(纳斯达克:QTT)、芒果传媒(SZ.300413)和中广天泽(SH.603721),面向用户、购物者和广告客户。我们还与其他互联网媒体和娱乐服务竞争,例如提供新兴和创新媒体格式内容的互联网和社交平台,以及主要电视台。
雇员
截至2022年12月31日,我们有138名全职员工。我们已根据PRC《劳动法》和《合同法》与所有员工签订了书面雇佣合同。我们的员工都不受集体谈判合同的约束。我们相信,我们与员工保持着良好的工作关系,在为我们的业务招聘员工方面,我们没有遇到任何重大的劳资纠纷或困难。
下表列出截至2022年12月31日按职能分类的雇员细目:
| 部门 | 人数 | 百分比 共计 |
||||||
| 人力资源和一般管理部 | 8 | 5.8 | % | |||||
| 财务管理部 | 8 | 5.8 | % | |||||
| 业务发展及证券部 | 1 | 0.7 | % | |||||
| 公众及投资者关系部 | 3 | 2.2 | % | |||||
| 资讯科技及研究部 | 11 | 8.0 | % | |||||
| 综合内容营销部 | 27 | 19.5 | % | |||||
| CHEERS平台及电子商城部 | 80 | 58.0 | % | |||||
| 合计 | 138 | 100.00 | % | |||||
根据PRC的规定,我们参加各种政府法定社会保障计划,包括养老金缴款计划、医疗保险计划、失业保险计划、工伤保险计划、生育保险计划和住房公积金。根据PRC法律,我们必须按雇员工资、奖金和某些津贴的特定百分比向社会保障计划缴款,但不超过当地政府不时规定的最高金额。对未缴纳社会保险费的用人单位,可以责令其整改,在规定的期限内缴纳规定的保险费,并补缴滞纳金。
知识产权
我们的成功在很大程度上取决于我们保护核心技术和知识产权的能力。为了做到这一点,我们依靠我们的商业秘密,包括技术诀窍、标准劳动协议和第三方保密协议中的保密条款、版权法、商标、知识产权许可和其他合同权利来建立和保护我们的技术所有权。我们目前没有任何专利,也没有任何待决的专利申请。
截至2022年12月31日,我们在PRC拥有75个注册商标,在香港拥有10个注册商标。此外,截至2022年12月31日,我们在PRC拥有59项注册版权(包括50项与我们业务的各个方面有关的软件版权和9项艺术品版权)。软件和艺术品对我们的业务至关重要。
65
法律程序
有时,我们可能会卷入在正常经营过程中出现的各种诉讼和法律程序。然而,诉讼受到固有的不确定性的影响,这些或其他事项的不利结果可能会不时出现,可能会损害我们的业务。据管理层所知,没有任何针对我们的重大法律诉讼。
在任何程序中,我们的任何董事、高级职员或持有我们有投票权证券百分之五(5%)以上的任何实益股东都不是我们的反方或对我们有不利的重大利益。
季节性
除了中国整体经济和市场状况的变化导致广告支出水平的波动外,我们的收入还受到商业和消费者支出的季节性波动的影响,随着时间的推移,这些波动也会影响中国的广告支出水平。我们的季度经营业绩在过去一直波动,并可能继续波动,这取决于许多因素,其中许多因素是我们无法控制的。我们的经营业绩往往是季节性的。因此,在逐期比较我们的经营业绩时,应予以详细关注。例如,在节假日和年末,在线用户数量往往更高,而在年末,广告收入往往更高。
保险
我们不为火灾、地震、洪水或任何其他灾害造成的设备和设施损失投保任何财产保险。按照中国的行业惯例,我们不为执行人员投保营业中断保险或关键员工保险。我们的任何设备或建筑物的未投保损坏或重大产品责任索赔可能会对我们的经营业绩产生重大不利影响。
政府条例
我们行业的规例
PRC政府对电子商务行业和媒体行业实施广泛的控制和监管,包括电视、广告和媒体内容制作。本节概述了与我们的业务相关的主要PRC法规。
外国投资条例
外商投资产业指导目录
2017年6月28日,国家发展和改革委员会(简称“发改委”)、商务部(简称“商务部”)发布《外商投资目录》,自2017年7月28日起施行。对外商投资,《外商投资目录》分为鼓励类产业、限制类产业和禁止类产业,未列入《外商投资目录》的产业列为外商投资许可产业。外商投资目录限制行业和禁止行业清单由《外商投资准入特别管理措施(负面清单)(2018年版)》废止,后由发改委、商务部于2019年6月30日发布、2019年7月30日实施的《外商投资准入特别管理措施(负面清单)(2019年版)》(“2019年负面清单”)取代。根据2019年负面清单,外商投资增值电信服务(电子商务除外)属于负面清单。因此,外国投资者只能通过有一定持股要求和主管当局批准的股权或合同合资企业进行投资活动。PRC合伙人须持有合资企业的多数股权,并须获得商务部或工业和信息化部(工信部)的批准,方可成立合资企业并开展业务。随后公布的2020年和2021年负面清单仍保留了上述对增值电信服务(电子商务、国内多方通信、存储转发、呼叫中心服务除外)的外资投资要求。
66
对增值电信公司的外国直接投资
根据国务院2001年12月11日颁布并于2008年9月10日、2016年2月6日和2022年5月1日修订的《外商投资电信企业管理规定》或《FITE条例》,除国家另有规定外,禁止电信企业的外国投资者持有提供增值电信服务的外商投资企业50%以上的股权。
工信部于2006年7月13日发布了《关于加强外商投资经营增值电信业务管理的通知》。工信部通告指出,持有《互联网内容提供商许可证》的PRC公司,不得以任何形式向外国投资者出租、转让或出售《互联网内容提供商许可证》,不得向在中国境内非法从事增值电信业务的外国投资者提供任何协助,包括资源、场所或设施。此外,提供增值电信服务的运营公司使用的域名和注册商标必须由该公司和/或我们的股东合法拥有。此外,该公司的经营场所和设备必须符合我们批准的ICP许可证,该公司应改进我们的内部互联网和信息安全标准以及应急管理程序。
2015年6月19日,工信部发布《关于放宽网上数据处理及交易处理业务(营利性电子商务)境外投资者持股限制的通知》,即196号文。第196号通知允许外国投资者在提供在线数据处理和交易处理服务(营利性电子商务)的PRC实体中持有100%的股权。对于在线数据处理和交易处理业务(营利性电子商务)许可证的申请,外资持股比例的要求适用本通知,其他要求和相应的审批程序适用《FITE条例》。然而,由于PRC监管当局没有提供额外的解释,尚不清楚2015年工信部通告可能对我们或其他具有类似公司和合同结构的PRC互联网公司产生何种影响。
鉴于外国直接投资于增值电信服务和我们的业务可能涉及的某些其他类型的业务,包括互联网文化服务和广播/电视节目制作和经营业务的限制,我们可能依赖与我们的VIE的合同安排在中国经营此类业务。有关更多信息,请参阅“我们的公司Structure”。由于缺乏PRC有关政府当局的解释性指导,PRC政府当局是否会认为我国的公司结构和合同安排构成外国对增值电信业务的所有权存在不确定性。
外国投资法
全国人大常委会于2019年3月15日颁布《外商投资法》,自2020年1月1日起施行,取代《中华人民共和国外商独资企业法》、《中华人民共和国中外合资经营企业法》和《中华人民共和国中外合作经营企业法》,成为PRC外商投资基本法。
67
《外商投资法》规定,外国投资者在中国境内的出资、利润、资本利得、资产处置所得、知识产权使用费、依法取得的赔偿或者赔偿、清算所得,可以依法以人民币或者外汇自由汇入或者汇出中国。此外,还进一步规定,国家保护外国投资者和外商投资企业持有的知识产权的合法权益。地方各级政府及其有关部门制定外商投资的具体规范性文件,应当符合外商投资法等法律法规的规定。在没有法律法规依据的情况下,地方政府不得减少或损害外商投资企业的合法权益,不得增加监管负担,不得为外商投资企业进入特定市场设置额外障碍,不得干预外商投资企业的正常经营活动。
由于PRC监管当局没有作出补充解释,尚不清楚PRC政府当局将如何在实践中实施《外国投资法》,PRC投资者通过可变利益实体结构控制的境外公司是否被视为外国投资仍有待观察。有关更多信息,请参阅“风险因素——与在中国开展业务有关的风险——与PRC政府的政治和经济政策以及PRC法律法规有关的重大不确定性和限制可能会对我们可能在PRC在PRC开展的业务产生重大影响,并相应地对我们的经营业绩和财务状况产生重大影响。”
与电子商务有关的条例
2005年,国务院办公厅印发《关于加快发展电子商务的若干意见》,强调电子商务的重要性和规范电子商务发展的重要性。2007年,商务部颁布了《网上交易指导意见(试行)》,将网上交易界定为买卖双方利用互联网和网上交易参与者的行为进行的商品或服务交易。
根据商务部2007年颁布的《商务部关于促进电子商务规范化发展的意见》,其中要求规范网络交易有关各方的信息发布和传递行为,依法、规范、公平、公正地开展网络营销、电子签约、售后服务等电子商务交易行为,防范和解决各类交易纠纷,规范电子支付行为,保障资金安全流动。
促进电子商务应用的实施意见于2013年10月由商务部颁布,旨在进一步促进电子商务发展,引导网络零售健康快速发展,加强乡村和农产品电子商务发展,支持城市社区电子商务应用体系发展,推动跨境电子商务创新应用。
2015年5月,国务院颁布《关于努力发展电子商务加快培育经济新动力的意见》,以降低市场准入要求,进一步简化注册资本登记,深入推进电子商务领域“先证后照”向“先照后证”改革,简化境内电子商务企业境外上市审批流程,鼓励电子商务领域跨境人民币直接投资。
68
此外,2016年12月,国家工商行政管理总局等政府部门发布了《关于全面加强电子商务领域信用建设的指导意见》。这些意见要求,电子商务平台(a)建立健全内部信用约束机制,充分利用大数据技术,加强商品质量、知识产权、服务水平等方面的信用管控;(b)建立商业信用早期风险预警体系,对销售伪造、假冒商品、恶意倒卖炒作信用的严重失信商家,及时向社会发布相关信息和风险提示,根据相关行业主管部门和监管部门的要求;(c)建立和完善举报投诉处理机制,及时向相关行业主管部门和监管部门提交查明的涉嫌违法违规行为线索;(d)与相关部门协调对电子商务平台上的经营者进行调查和处理。对电子商务平台未积极履行责任的,授权相关行业主管部门或监管部门及时采取措施,如进行沟通、通报并依法予以行政处罚。我们认为,我们目前在实质上遵守这些意见所提供的指导。
2018年8月31日,全国人大颁布了《PRC电子商务法》,该法于2019年1月1日生效,旨在规范在PRC境内进行的电子商务活动。根据《电子商务法》,电子商务平台经营者应当(一)收集、核实并登记申请在其平台上销售产品或提供服务的第三方商家提交的真实信息,包括身份、地址、联系人和许可证,建立登记档案,定期更新信息;(二)按照规定向市场监管行政部门报送其平台上第三方商户的身份信息,并提醒第三方商户向市场监管行政部门完成登记;(三)按照税收征管的法律法规向税务机关报送其平台上第三方商户的身份信息和涉税信息,并提醒第三方商户个人完成税务登记;(四)记录并保留产品和服务信息(v)在平台主页上展示平台服务协议及交易规则或此类信息的链接;(vi)展示平台经营者自身在其平台上提供的产品或服务的引人注目的标签,并对此类产品和服务承担责任;(vii)建立信用评估系统,展示信用评估规则,为消费者提供对其平台上提供的产品和服务发表评论的途径,(viii)制定知识产权保护规则,并在任何知识产权持有人通知平台经营者其知识产权受到侵犯时采取必要措施。
第三方平台供应商就在线食品交易提交的备案
2016年7月,国家食品药品监督管理总局颁布了《网络食品安全违法行为调查处理办法》,最近一次修订是在2021年4月,根据该办法,PRC网络食品交易第三方平台提供商必须向省级食品药品监督管理局备案并获得备案编号。网络食品交易第三方平台提供者未完成备案的,可由主管食品药品监督管理部门责令整改并给予警告,未完成整改的,可处5000元以上3万元以下罚款。截至2019年3月18日,星辉北京已向食品药品监督管理总局完成了规定的备案手续。
有关产品质量及消费者权益保护的规例
根据2014年3月修订并生效的《PRC消费者权益保护法》,以及国家市场监督管理总局于2021年3月15日发布的《网络交易监督管理办法》,对包括互联网企业经营者和平台服务商在内的经营者提出了严格的要求和义务。例如,除某些例外情况外,消费者有权在无故收到网上购买的商品后七天内退回。各网络交易平台经营者应当建立平台经营者及其发布的商品或者服务信息的检查监测制度;平台内的商品或者服务信息违反市场监管法律、法规或者规则,损害国家利益和公共利益,或者有违所认定的公序良俗的,应当依法采取必要的处置措施,保存相关记录,并告知平台所在地县级以上市场监管部门。此外,网上市场平台提供者如果知道或应当知道任何销售者或制造者利用网上平台侵犯消费者的合法权益,并且没有采取必要措施防止或制止这种活动,则可能与销售者和制造者承担连带责任。
69
由全国人大于2020年5月颁布并于2021年1月1日生效的《PRC民法典》还规定,网络服务提供者收到被侵权人关于侵权行为的通知的,应当采取必要措施,包括按要求及时删除、屏蔽、解链。否则,它将与相应的在线用户共同承担延长的损害赔偿。
作为一家电子商务平台服务提供商,我们受《PRC消费者权益保护法》、《网上交易办法》和《PRC民法典》的约束,并认为我们目前在所有重大方面均遵守这些规定。
媒体行业条例
节目内容
根据国家广播电影电视总局2004年7月19日颁布、2004年8月20日生效、2015年8月28日和2020年10月29日修订的《广播电视节目制作管理规定》,从事(一)电视节目制作,如专题节目、一般节目、电视剧和动画,以及(二)此类节目版权的交易活动和代理服务的主体,必须先取得国家广电总局或我局省级分局的初步许可。霍尔果斯和Xing Hui Beijing已获得相应的批准。
广告业条例
与广告法有关的规例
中国有关广告业务的主要法规包括中国石油天然气集团公司于1994年10月27日颁布的《广告法》,该法于2015年4月24日、2018年10月26日和2021年4月29日进行了修订。根据《广告法》,广告主是指直接或通过代理人设计、制作和发布广告以推销产品或服务的法人、经济组织或个人。广告经营者是指委托提供广告内容设计、制作和代理服务的法人、经济组织或者个人。广告发布者是指为广告主或者广告主委托的广告经营者发布广告的法人或者其他经济组织。广告应对产品的功能、产地、质量、价格、制造商、有效期、保修或所提供服务的内容、形式、质量、价格或承诺作出明确而明确的描述。虚假广告可能误导消费者,损害消费者的合法权益,将使广告主承担民事责任。广告经营者、广告发布者不能提供广告人真实姓名、地址或者有效联系方式的,消费者可以要求广告经营者、广告发布者先行赔偿。涉及消费者生命健康的产品或者服务的虚假广告,对消费者造成损害的,广告代理商、广告发布者或者广告代言人应当与广告主承担连带责任。对于其他虚假商品或服务广告,广告经营者、广告发布者和广告代言人明知或应当知道虚假但仍提供设计、制作、代理或发布服务,或提供推荐或背书的,与广告主承担连带责任。
PRC广告法律法规对在中国的广告作出了具体的内容要求,其中包括禁止误导性内容、最高级的措辞、破坏社会稳定的内容或涉及淫秽、迷信、暴力、歧视或侵犯公共利益的内容。麻醉、精神、有毒或放射性药物的广告也被禁止。禁止通过广播、电影、电视或印刷媒体,或在等候休息室、剧院、电影院、会议厅、体育场或其他公共区域传播烟草广告。对涉及专利产品或工艺、药品、医疗器械、农用化学品、食品、酒类和化妆品等事项的广告也有具体的限制和要求。此外,通过广播、电影、电视、报纸、杂志等媒体形式发布的有关药品、医疗器械、农用化学品和兽用药品的广告,以及根据有关法律、行政法规规定应接受行政机关审查的其他广告,在传播前必须报请有关行政机关进行内容审批。
70
PRC广告法律法规要求广告客户确保其制作的广告内容真实、准确,并完全符合适用的法律法规。在提供广告服务时,广告服务提供者和广告发布者必须审查广告主为广告提供的规定的证明文件,并核实广告内容是否符合适用的PRC法律法规。违反这些条例可能导致处罚,包括罚款、没收广告收入、命令停止传播广告和命令发布纠正误导信息的广告。在严重违法的情况下,SAIC或者我们的地方分支机构可以吊销违法人员的广告经营许可证。此外,广告主、广告服务提供者或广告分销商在其广告业务过程中侵犯第三方合法权益的,可能要承担民事或刑事责任。
与互联网广告有关的规例
2016年7月4日,SAIC发布《互联网广告管理暂行办法》,自2016年9月1日起施行。除《广告法》规定的要求外,《互联网广告办法》还对在线广告业务规定了额外的合规要求。根据《互联网广告办法》,互联网广告是指通过网站、网页、互联网应用程序或其他互联网媒介,以文字、图像、音频、视频或其他方式直接或间接营销商品或服务的商业广告。主要的额外合规要求是:(i)广告必须是可识别的,并标有“广告”字样,(二)通过弹出式页面或其他形式在互联网上发布广告,应当提供醒目的“关闭”按钮,确保“一键关闭”;(三)必须明确区分赞助搜索结果和自然搜索结果;(四)禁止未经收件人许可,通过电子邮件发送广告或广告链接,或诱导互联网用户以欺骗方式点击广告;(五)不参与互联网广告经营的互联网信息服务提供者应当停止发布违法广告如果他们知道或应该知道这些广告是非法的。根据《互联网广告办法》,不得发布适用法律、行政法规禁止发布的处方药、烟草和商品、服务的网络广告。此外,有关医疗、药品、特殊医学用途食品配方、医疗器械、农药、兽药、保健食品等特殊商品或服务的广告,在发布前必须报请有关行政主管部门进行内容审批。
与互联网信息安全和隐私保护有关的条例
PRC政府当局制定了有关互联网信息安全和保护个人信息免遭滥用或未经授权泄露的法律法规。从国家安全的角度来看,中国的互联网信息是受到管制和限制的。中国石油天然气集团公司于2000年颁布了《关于维护互联网安全的决定》,并于2009年8月27日进行了修订。在中国,违反者可能会因以下行为受到刑事处罚:(一)不当进入具有战略重要性的计算机或系统;(二)传播具有政治破坏性的信息;(三)泄露国家机密;(四)传播虚假商业信息;或(五)侵犯知识产权。公安部已颁布措施,禁止使用互联网,其中包括导致泄露国家机密或传播破坏社会稳定的内容。互联网信息服务提供者违反本办法的,公安部和地方公安机关可以吊销该服务提供者的经营许可证,关闭我们的网站。
根据2011年工信部发布的《规范互联网信息服务市场秩序若干规定》,互联网信息服务提供者未经用户同意,不得收集用户个人信息或者向第三方提供信息,必须明确告知用户收集和处理用户个人信息的方式、内容和目的,只能收集为提供服务所必需的信息。互联网信息服务提供者还必须妥善维护用户个人信息,一旦用户个人信息发生泄漏或可能发生泄漏,互联网信息服务提供者必须立即采取补救措施,并在严重情况下立即向电信管理当局报告。此外,根据中国石油天然气集团公司2012年12月发布的《关于加强网络信息保护的决定》和工信部2013年7月发布的《电信和互联网用户个人信息保护令》,收集和使用用户个人信息必须(一)征得用户同意;(二)符合合法性、合理性和必要性原则;(三)在规定的目的、方法和范围内。
71
互联网信息服务提供者还必须严格保密,禁止泄露、篡改或销毁任何此类信息,或向其他方出售或提供此类信息。互联网信息服务提供者必须采取技术和其他措施,防止所收集的个人信息遭到任何未经授权的披露、损坏或丢失。违反本法律、法规的,可以对互联网信息服务提供者处以警告、罚款、没收违法所得、吊销许可证、撤销备案、关闭网站甚至追究刑事责任。
此外,根据最高人民法院、最高人民检察院、公安部2013年发布的《关于依法惩治侵害公民个人信息犯罪活动的通知》和最高人民法院、最高人民检察院2017年5月发布的《关于侵害公民个人信息刑事案件法律适用若干问题的解释》,下列活动可构成侵犯公民个人信息罪:(一)向特定人员提供公民个人信息,或违反国家有关规定,在网上或通过其他方式发布公民个人信息;(二)未经他人同意,向他人提供合法收集的与公民有关的信息(除非该信息经过处理,不能追溯到特定人员,也无法恢复);(三)在履行职责或提供服务时违反适用的规则和条例收集公民个人信息;(四)通过购买、违反适用的规则和条例接受或交换此类信息。
此外,根据中国石油天然气集团公司2015年8月29日发布并于2015年11月生效的《刑法第九修正案》,任何互联网服务提供者未按适用法律的要求履行互联网信息安全管理相关义务,且拒不按命令整改的,将因以下原因受到刑事处罚:(一)大规模传播非法信息;(二)因客户信息泄露造成严重影响;(三)严重丢失犯罪证据;或(四)其他严重情况。此外,任何个人或实体(a)以违反适用法律的方式向他人出售或提供个人信息,或(b)窃取或非法获取任何个人信息,在严重情况下将受到刑事处罚。
2016年11月,中国石油天然气集团公司颁布了《中华人民共和国网络安全法》,自2017年6月1日起施行。制定《网络安全法》是为了维护网络安全,维护网络空间主权、国家安全和公共利益,保护公民、法人和其他组织的合法权益,要求网络经营者,其中包括互联网信息服务提供者,按照适用法律法规的规定以及国家和行业标准的强制性要求,采取技术措施和其他必要措施,保障网络安全稳定运行,有效应对网络安全事件,防范违法犯罪活动,并保持网络数据的完整性、保密性和可用性。网络安全法强调,使用网络的个人和组织,必须遵守PRC宪法和法律,遵守公共秩序,不得危害网络安全,不得利用网络从事危害国家安全、经济秩序和社会秩序,侵犯他人名誉、隐私、知识产权和其他合法权益等非法活动。《网络安全法》重申了现行其他法律法规中关于个人信息保护的基本原则和要求,如对收集、使用、处理、存储和披露个人信息的要求,要求互联网服务提供者采取技术措施和其他必要措施,确保所收集的个人信息的安全,防止个人信息泄露、损坏或丢失。违反《网络安全法》规定和要求的,可以对互联网服务提供者处以警告、罚款、没收违法所得、吊销许可证、撤销备案、关闭网站甚至追究刑事责任。2021年8月,中国石油天然气集团公司颁布了《中华人民共和国个人信息保护法》,进一步明确了个人信息保护的具体规则。随着《个人信息保护法》的实施,一个较为完善的网络空间安全治理体系和数据与个人信息保护体系的建设,整个社会对个人信息(特别是个人隐私)的保护水平有望大幅提升。
72
为了遵守这些PRC法律法规,我们采用了内部程序来监控网站和应用程序上显示的内容。然而,由于我们生成和处理的数据量太大,我们可能无法妥善保护客户的个人信息,也无法保护我们的网络。请参阅“风险因素——与我们的业务和行业相关的风险——我们的业务产生和处理大量数据,不当使用或披露这些数据可能会损害我们的声誉,并对我们的业务和前景产生重大不利影响。”
与区块链技术相关的法规
根据CAC 2019年1月10日发布的《Block链信息服务管理规定》,区块链信息服务提供者应当在提供服务十个工作日内,通过国家互联网信息办公室Block链信息服务备案管理系统填写服务提供者名称、服务类别、服务形式、应用区域、服务器地址等信息,办理备案手续。区块链信息服务提供者开发、推出新产品、新应用程序、新功能的,应当按照有关规定报国家网信办和有关省、自治区、直辖市网信办进行安全评估。2021年5月27日,工信部、CAC发布《关于加快区块链技术应用和行业发展的指导意见》,根据《意见》,国家支持和鼓励企业将区块链技术应用于食品药品溯源、物流资金流管理、数据采集、共享、分析、取证、电子政务等领域。此外,国家将通过应用试点、政策支持和加强产业人才培养等方式,促进区块链技术应用和产业发展。
与知识产权有关的条例
版权条例
根据1990年颁布、最近于2020年修订的《著作权法》,以及2002年颁布、2013年修订的《实施条例》,受保护作品的创作者在出版、着作、修改、完整性、复制、分发、租赁、展览、表演、放映、广播、通过信息网络传播、制作、改编、翻译、汇编和相关活动方面享有个人和财产权。版权的期限是作者个人的寿命加上50年,但对于公司来说,期限是在首次出版后50年。考虑到版权的社会效益和成本,PRC当局在版权保护与某些限制之间取得平衡,这些限制允许某些用途,如用于私人学习、研究、个人娱乐和教学,而无需向作者提供补偿或事先授权。
国家版权局和工信部于2005年4月29日联合颁布并于2005年5月30日起施行的《互联网著作权行政保护办法》规定,互联网信息服务经营者收到合法著作权人的侵权通知后,必须立即采取补救措施,对侵权内容予以撤除或者禁入。如果ICP经营者在收到损害公共利益的侵权通知后,故意传送侵权内容或未采取补救行动,则ICP经营者可能受到行政处罚,包括责令停止侵权活动、当局没收从侵权活动中获得的所有收入或支付罚款。
2006年5月18日,国务院颁布了《信息网络传播权保护条例》(2013年修订)。根据这些条例,书面作品或录音或录像的网络传播权所有人如果认为因特网服务提供者提供的信息储存、搜索或链接服务侵犯了他或她的权利,可以要求因特网服务提供者删除或断开与这些作品或录音的链接。
为进一步贯彻落实国务院2001年颁布、2013年1月修订的《计算机软件保护条例》,国家版权局于2002年发布了《计算机软件著作权登记办法》,适用于软件著作权登记、许可合同登记和转让合同登记。
截至2022年12月31日,我们拥有五十(50)项注册软件著作权和九(9)项艺术品著作权。
73
商标条例
注册商标受1982年通过、后分别于1993年、2001年、2013年和2019年修订的《PRC商标法(2019年修订)》以及2002年国务院通过、最近于2014年4月29日修订的《PRC商标法实施条例》的保护。SAIC商标局负责商标注册。商标局对注册商标的有效期为十年,经商标所有人请求,可以再延长十年。商标注册人可以通过签订商标许可协议将我们注册的商标许可给另一方,该协议必须向商标局备案。与专利一样,《商标法》在商标注册方面采用了先备案原则。申请的商标与已经注册的另一商标相同或者相似的,或者经初步审查同意在相同或者相似种类的产品或者服务上使用的,可以驳回该商标申请。申请注册商标的人不得损害他人先取得的现有商标权,也不得预先注册已被另一方使用并已通过使用获得“足够声誉”的商标。
截至2022年12月31日,我们在PRC拥有七十五(75)个注册商标,在香港拥有十(10)个注册商标。
域名条例
互联网域名注册及相关事项主要由工信部于2017年8月24日颁布并于2017年11月1日起施行的《互联网域名管理办法》和中国互联网络信息中心颁布并于2019年6月18日起施行的《国家顶级域名注册实施细则》规范。域名所有者必须注册他们的域名,工信部负责PRC互联网域名的管理。域名服务遵循“先到先取”的原则。在注册程序完成后,申请人将成为此类域名的持有者。
截至2022年12月31日,我们在PRC拥有6个域名。
劳工条例
劳动合同法
《PRC劳动合同法》于2007年6月29日颁布,2012年12月28日修订,2013年7月1日生效。根据《PRC劳动合同法》,企业与员工之间要建立劳动关系,必须签订劳动合同。本单位不能要求职工超过相关劳动法律法规允许的时限工作,应当向职工支付不低于当地最低工资标准的工资。单位还应当遵守上述法律、法规的规定,履行解除和终止劳动合同、支付劳动报酬和经济补偿金、使用劳务派遣和缴纳社会保险的程序。
社会保险和住房公积金条例
根据中国石油天然气集团公司2010年10月28日颁布、2011年7月1日实施、随后于2018年12月29日修订的《PRC社会保险法》,国家建立了包括基本养老保险、基本医疗保险、失业保险、工伤保险和生育保险在内的社会保险制度,规定用人单位和个人均需缴纳社会保险费。移徙工人参加这种社会保险计划,在PRC境内就业的外国人也参加社会保险。违反《PRC社会保险法》的,可处以罚款,情节严重的,可承担刑事责任。对未缴纳社会保险费的用人单位,可以责令其改正不缴纳社会保险费的情况,并在规定的期限内缴纳所需的保险费,并视情况征收每日0.05%的滞纳金。用人单位逾期不缴纳社会保险费仍不改正的,可以处逾期一倍以上三倍以下的罚款。
74
根据1999年4月3日国务院公布实施、后于2002年3月24日、2019年3月24日修订的《住房公积金管理条例》,中国境内企业须自设立之日起30日内向住房公积金管理中心登记,自登记之日起20日内为职工办理住房公积金账户设立手续。违反规定的,可以责令未缴纳住房基金缴款的企业整改,并在规定的期限内缴纳规定的缴款。该公司完全遵守这些规定。
PRC居民境外投资外汇登记条例
2014年7月4日,国家外汇管理局发布《关于境内居民境外投融资和特殊目的载体往返投资外汇管制有关问题的通知》,即外管局37号文,取代了外管局2005年10月21日发布的通称“外管局75号文”。外管局37号文要求PRC居民为境外投融资目的直接设立或间接控制境外实体时,以境外居民合法拥有的境内企业资产或股权或境外资产或权益,在外管局37号文中称为“特殊目的载体”,向外管局当地分支机构进行登记。国家外汇管理局37号文还要求,在特殊目的载体发生重大变化时,如PRC个人出资增加或减少、股份转让或交换、合并、分立或其他重大事件时,应修改登记。如果持有特殊目的载体权益的PRC股东未履行规定的国家外汇管理局注册,该特殊目的载体的PRC子公司可能被禁止向境外母公司进行利润分配和开展后续跨境外汇活动,特殊目的载体向PRC子公司追加资本的能力可能受到限制。此外,如果不遵守上述各项外管局登记要求,可能会导致PRC法律规定的规避外汇管制的责任。国家外汇管理局于2015年2月发布了《关于进一步简化和改进直接投资外汇管理有关问题的通知》,自2015年6月1日起施行。本通知对国家外汇管理局第37号通知进行了修订,要求PRC居民或实体在设立或控制境外投资或融资境外实体时,必须在符合条件的银行而非国家外汇管理局或我国分支机构进行登记。
外币兑换条例
中国外汇管理的主要法规是1996年1月29日颁布的《PRC外汇管理条例》,随后于1997年1月14日和2008年8月1日进行了修订。根据这些规则,人民币通常可自由兑换用于支付经常项目,如贸易和服务相关的外汇交易和股息支付,但不能自由兑换用于资本项目,如资本转移、直接投资、证券投资、衍生产品或贷款,除非事先获得国家外汇管理局的批准。
根据《外汇管理规则》,在PRC的外商投资企业可以不经国家外汇管理局批准,通过提供董事会决议、税务证明等证明文件,进行股息支付,或者通过提供证明此类交易的商业文件,进行与贸易和服务有关的外汇交易。它们还被允许保留外币,但须经国家外汇管理局批准上限,以偿还外汇负债。此外,涉及境外直接投资或境外证券及衍生产品投资与交易的外汇交易,须经国家外汇管理局登记,必要时须经有关政府部门批准或备案。
75
2012年11月19日,外管局发布了《关于进一步完善和调整外商直接投资外汇管理政策的通知》,并分别于2015年5月4日、2018年10月10日和2019年12月30日进行了修订。本通知对现行外汇兑换程序作了重大修订和简化。根据该通知,设立前费用账户、外汇资金账户和担保账户等各类特殊目的外汇账户的开立,外商投资企业在PRC境内的人民币收益再投资,以及外商投资企业向我国境外股东汇付外汇利润和股息,不再需要外管局的批准或核查,同一实体可在不同省份开立多个资金账户,这在以前是不可能的。此外,国家外汇管理局于2013年5月发布《关于印发〈外国投资者境内直接投资外汇管理规定〉及其配套文件的通知》,并于2018年10月10日进一步修订,2019年12月30日部分废止,其中规定,国家外汇管理局或我国分支机构对境外投资者在PRC直接投资的管理,应当以登记方式进行,银行应当根据国家外汇管理局和我国分支机构提供的登记信息,办理与在PRC直接投资有关的外汇业务。
2015年2月13日,外管局发布《关于进一步简化和完善直接投资外汇管理的通知》,即外管局第13号通知。自国家外汇管理局第13号通知于2015年6月1日生效并于2019年12月30日部分废止后,有关外商直接投资和境外直接投资的外汇登记将不再向国家外汇管理局申请批准,而是要求实体和个人向符合条件的银行申请此类外汇登记。符合条件的银行将在外管局的监督下直接审查申请并进行登记。
外管局于2015年3月30日发布、2015年6月1日起施行、2019年12月30日部分废止的《关于改革外商投资企业外资结算管理办法的通知》或外管局第19号通知规定,外商投资企业可以根据我局实际经营需要,向银行结算我国资本账户中经有关外汇管理部门确认的货币出资权益(或银行已登记的货币出资注入账户的部分)的外汇资金。根据外管局19号文,目前允许外商投资企业100%自行结汇;外商投资企业应当在经营范围内如实将我方资金用于经营用途;普通外商投资企业以结汇金额进行境内股权投资的,应当先办理境内再投资登记,并在外汇管理部门或者注册地银行开立相应的结汇账户待付款。
由国家外汇管理局颁布并于2016年6月9日生效的《关于改革和规范资本项目结汇管制政策的通知》或外管局16号文规定,在PRC注册的企业也可以自行决定将其外债从外币兑换成人民币。外汇局第16号通知还规定了自行决定的资本项目(包括但不限于外币资本和外债)下外汇兑换的综合标准,适用于在PRC注册的所有企业。
2019年10月23日,外汇局发布《国家外汇管理局关于进一步推进跨境贸易和投资便利化的通知》或外汇局28号文,明确允许在核定经营范围内没有股权投资的外商投资企业,只要有如实投资,且符合外商投资相关法律法规,可以使用结汇所得资金进行境内股权投资。
76
PRC企业所得税
根据2007年3月16日全国人大颁布、2008年1月1日实施、随后于2017年2月24日、2018年12月29日修订的企业所得税法,以及2007年12月6日国务院颁布、2008年1月1日实施、2019年4月23日修订的企业所得税法实施条例,企业分为居民企业和非居民企业。居民企业,是指依照PRC法律设立的企业,或者依照外国(地区)法律设立但在我国境内有实际管理机构的企业,按25%的税率缴纳中国境内外企业所得税。非居民企业是指根据外国法律设立的实体,其实际管理机构不在中国境内,但在中国境内有机构或场所,或在中国境内没有机构或场所,但收入来源在中国境内。在中国境内设立事业单位或场所的非居民企业,对来源于中国境内并由上述事业单位或场所取得的所得,以及在中国境外发生的所得,按25%的税率缴纳企业所得税,前提是该所得与上述事业单位或场所之间存在实际关系。对于在中国境内没有机构或场所的非居民企业,或者虽然在中国境内有机构或场所,但所得与上述机构或场所之间不存在实际关系的,按源自中国的所得的10%的税率缴纳企业所得税。上述收入包括销售商品、提供劳务、转让财产、包括股利在内的股权投资收入、利息收入、租金收入、特许权使用费收入、捐赠收入和其他收入。此外,根据《企业所得税法》和《企业所得税法实施条例》的规定,符合条件的居民企业之间的股利、红利等股权投资所产生的收入,以及在中国境内设立机构或者场所的非居民企业从居民企业取得的股利、红利等股权投资所产生的收入,其收入与该机构或者场所有实际关系的,属于免税收入。
PRC –高新技术企业
根据《企业所得税法》及其实施细则,对自主拥有核心知识产权并同时符合实施细则规定的其他财务或非财务条件的特定“高新技术企业”,减按15%的税率征收企业所得税。2008年4月,国家税务总局、科技部、财政部联合发布《高新技术企业认定管理规则》,划定了“高新技术企业”认定的具体标准和程序,并于2016年1月修订,自2016年1月1日起施行。
2019年10月15日,我们的VIE子公司乐享星(北京)科技有限公司(畅享星光(北京)科技有限公司)被北京市科学技术委员会、北京市财政局和国家税务总局北京市税务局认定为“高新技术企业”,并将在2019年至2022年享受15%的优惠税率,但须符合一定的资格标准。
根据北京市人民政府发布的若干意见和管理办法,经中关村科技园区管理委员会认定为高新技术企业的企业,在符合一定条件时,有权享受一系列专项服务和资金支持,如被授予专利和注册国际商标的资金奖励,更多参与政府间科技合作项目的机会,其技术、产品和服务进入国际市场的机会更多,创业培训相关服务等优惠待遇。
2022年5月、2022年12月,乐享星(北京)科技有限公司被国家工业和信息化部、国家科技部认定为合格高新技术企业(“国家专精特新企业”),并在2022年-2025年按照一定的资质标准给予上述优惠。
PRC增值税条例
根据1993年12月13日国务院颁布、后于2008年11月10日、2016年2月6日、2017年11月19日修订的《PRC增值税暂行条例》和1993年12月25日财政部(简称财政部)颁布、后于2008年12月15日、2011年10月28日修订的《中华人民共和国增值税暂行条例实施细则》,销售加工、修理、更换的货物或者劳务的单位和个人,出售劳务、无形资产,不动产或者在中国境内进口的货物属于增值税(VAT)的纳税人,依法缴纳增值税。除另有规定外,销售货物、劳务或者有形动产租赁服务或者进口货物的纳税人,增值税税率为17%;销售运输、邮政、基础电信、建筑、不动产租赁服务的纳税人,销售不动产、转让土地使用权的纳税人,或者销售、进口特定货物的纳税人,除另有规定外,增值税税率为6%;销售劳务或者无形资产的纳税人,除另有规定外,增值税税率为6%。
77
2016年3月23日,财政部、国家税务总局发布《财政部、国家税务总局关于全面推开营业税改征增值税试点方案的通知》及附件,规定自2016年5月1日起,销售服务、无形资产、不动产的单位和个人缴纳增值税,不征收营业税。
根据财政部和国家税务总局于2018年4月4日发布、2018年5月1日生效的《财政部和国家税务总局关于调整增值税税率的通知》,原分别适用17%和11%税率的应税销售或货物进口活动的税率分别调整为16%和10%。
根据财政部、国家税务总局、海关总署于2019年3月20日联合发布的《关于深化增值税改革有关政策的通知》,原适用于增值税一般纳税人应税销售或者货物进口的16%和10%的税率,分别调整为13%和9%。
股息分配
《企业所得税法》规定,非居民企业的股息和其他PRC来源的被动收入的标准预提税率为20%。《实施细则》将税率从20%降至10%。PRC中央政府与香港政府于二零零六年八月二十一日签署《PRC内地与香港避免双重课税及防止逃税的安排》。根据该安排,PRC公司向香港居民支付的股息不应超过5%的预扣税,条件是收款人是一家持有该PRC公司至少25%股权的公司,并被视为该安排下的“实益拥有人”。关于实施《中国内地与香港特别行政区关于避免双重征税及防止逃税的安排第五议定书》的通知、关于实施《中国内地与香港特别行政区关于避免双重征税及防止逃税的安排第四议定书》的通知(国家税务总局公告〔 2016 〕 12号),国家税务总局关于执行《中国内地与香港特别行政区关于避免重复征税和防止偷税漏税的安排第三议定书》的公告,公告〔 2011 〕 1号,关于实施《中国内地与香港特区关于避免重复征税和防止收入逃税的安排第二议定书》(国税函[ 2008 ] 685号)和《国家税务总局关于解释和实施〈中国内地与香港特区关于避免重复征税和防止收入逃税的安排〉部分条款的通知》(国税函[ 2007 ] 403号)已于2011年1月4日和2015年8月27日部分废止,对《安排》作了相应修改。
2018年2月3日,国家税务总局发布《国家税务总局关于税务条约“受益所有人”有关问题的公告》税务总局公告〔 2018 〕 9号,9号文,明确受益所有人是对所得以及所得的权利和财产拥有所有权和控制权的人。申请人为证明“实益拥有人”身份,应当按照国家税务总局颁布的《非居民纳税人条约待遇管理办法》(现行有效版本为国家税务总局公告〔 2019 〕 35号)提交材料。其中,申请人依照本公告第三条规定为“实益拥有人”的,除提供申请人的税务居民身份外,还应当提供居住国(地区)主管税务机关出具的符合“实益拥有人”标准的人员和符合标准的人员的税务居民身份证件;依照本公告第四条第(四)项规定为“实益拥有人”的,申请人还应当提供,除申请人的税务居民身份证件外,由申请人所在国家(地区)主管税务机关签发的直接或间接持有申请人100%股份的人和多层持有人的税务居民身份证件;税务居民身份证件应当证明其取得所得当年或者前一年为税务居民。
78
关于间接转让的税务条例
2015年2月3日,国家税务总局发布《关于非中国居民企业间接转让资产征收企业所得税问题的通知》,即7号文。根据第7号文,非中国居民企业“间接转让”资产,包括在PRC居民企业的股权,如果这种安排不具有合理的商业目的,并且是为了逃避缴纳PRC企业所得税而设立的,则可以重新定性为直接转让PRC应税资产。因此,这种间接转让产生的收益可能需要缴纳PRC企业所得税。在确定交易安排是否具有“合理的商业目的”时,除其他外,考虑因素包括:(一)有关离岸企业股权的主要价值是否直接或间接来自PRC的应税资产;(二)有关离岸企业的资产是否主要是在中国的直接或间接投资,或者我们的收入是否主要来自中国;(三)直接或间接持有PRC应税资产的离岸企业及其子公司是否具有真实的商业性质,以其实际功能和风险敞口为证。根据7号文,缴费人未扣缴或者补缴税款的,转让人应当在法定期限内自行向税务机关申报缴纳。逾期缴纳适用的税款将使转让方承担违约利息。7号文不适用于投资者通过公开证券交易所出售股份的交易,而这些股份是在公开证券交易所取得的。2017年10月17日,国家税务总局发布《关于非中国居民企业所得税预扣税款问题的通知》,即国家税务总局第37号文,进一步阐述了非居民企业预扣税款的计算、申报和缴纳义务的相关实施规则。尽管如此,对《国家税务总局第7号通告》的解释和适用仍存在不确定性。国家税务总局第7号通知可由税务机关决定适用于我们的海外交易或出售我们的股票或我们的海外子公司的股票,其中涉及作为转让方的非居民企业。
关于外国投资者并购境内企业的规定
2006年8月8日,包括商务部、国务院国有资产监督管理委员会、国家税务总局、国家工商行政管理总局、中国证监会和国家外汇管理局在内的六个PRC监管机构联合通过了《外国投资者并购境内企业条例》,该条例于2006年9月8日生效,并于2009年6月26日进行了修订。除其他事项外,《并购规则》还包括一些规定,这些规定旨在要求为收购PRC境内公司而成立的、由PRC个人控制的境外特殊目的载体在境外证券交易所上市交易之前,必须获得中国证监会的批准。2006年9月21日,中国证监会在官网公布了我国特殊目的载体境外上市审批程序。中国证监会的审批程序要求向中国证监会提交申请和证明文件。我们认为,根据《并购规则》,我们不需要获得中国证监会的批准,因为我们不是一家为上市目的而成立的特殊目的机构,在其股票在纳斯达克证券市场上市之前,以其股份收购了PRC境内公司的股票。
但是,我们不能向您保证,包括中国证监会在内的有关PRC政府机构会得出与我们相同的结论。如果中国证监会或其他PRC监管机构随后确定我们需要获得中国证监会的批准,或者如果中国证监会或其他PRC政府机构在联交所发布任何需要中国证监会或其他政府机构批准的解释或实施规则,我们可能会面临中国证监会或其他PRC监管机构的制裁。在这种情况下,这些监管机构可能会对我们在PRC的业务施加罚款和处罚,限制我们在PRC的经营特权,延迟或限制将未来任何发行的收益汇回PRC,或采取其他可能对我们的业务、财务状况、经营业绩和前景以及我们股票的交易价格产生重大不利影响的行动。
关于境内公司境外发行证券并上市的办法
2023年2月17日,证监会发布《境内公司境外证券发行上市试行管理办法》(《试行管理办法》)及相关配套指引(统称《境外上市管理新规》),自2023年3月31日起施行。新《境外上市管理规则》对境内公司境外发行上市的监管制度进行了细化,对直接和间接境外发行上市行为均实行备案管理,明确了直接和间接境外发行上市的适用情形和相关监管要求。
79
根据《境外上市管理新规》,除其他事项外,寻求在境外市场发行证券并上市的PRC境内公司,应当按照《试行管理办法》的要求履行向中国证监会备案的程序。境内公司在境外市场直接发行证券并上市的,发行人应当向中国证监会备案。境内公司在境外市场间接发行证券并上市的,发行人应当指定境内主要经营主体,作为境内责任主体向中国证监会备案。首次公开发行或者在境外市场上市,应当在境外提交相关申请后3个工作日内向中国证监会备案。
发行人在原境外市场发行证券并在原境外市场上市的,应当在发行完成后3个工作日内向中国证监会备案。发行人在境外市场发售证券并上市后,发生控制权变更、境外证券监管机构或其他有关主管部门立案调查或处罚、上市地位变更或上市板块转让、自愿或强制退市等重大事项的,发行人应当在该事项发生并公开披露后3个工作日内向中国证监会报告。
《试行管理办法》还规定,如果发行人同时符合以下条件,则该发行人进行的境外证券发行和上市将被视为PRC境内公司的间接境外发行:(一)发行人最近一个会计年度经审计的合并财务报表所载的营业收入、利润总额、资产总额或净资产的50%或以上由境内公司核算;(二)发行人的主要业务活动在中国内地进行,或其主要营业地点位于中国大陆,或负责其业务运营和管理的高级管理人员大部分为PRC公民或其通常居住地位于中国大陆。发行人向境外监管机构提交首次公开发行申请的,必须在申请提交后三个工作日内向中国证监会备案。《境外上市试行办法》还要求,就已完成境外发行和上市的发行人发生控制权变更、自愿或强制退市等重大事项,向中国证监会提交后续报告。
根据《试行管理办法》,境内公司不履行备案程序,或者违反《办法》规定在境外市场发行证券并上市的,证监会对境内公司责令整改,给予警告,并处以相关罚款。对直接负责的主管人员和其他直接责任人员给予警告,并分别处以相应的罚款。对组织、指使实施上述违法行为的境内公司控股股东、实际控制人以及直接责任人员、主管人员和其他直接责任人员,按照办法处以罚款。
2023年2月24日,中国证监会颁布《关于加强境内公司境外证券发行上市保密和档案管理的规定》(简称《保密和档案管理规定》),并于2023年3月31日起施行。根据《保密和档案管理规定》,开展境外发行上市(直接或间接方式)的境内公司和开展相关业务的证券公司、证券服务商(在境内或境外注册成立),应当建立健全保密和档案管理制度,并采取必要措施履行保密和档案管理义务。不得泄露国家机密和政府机构的工作秘密,不得损害国家安全和公共利益。因此,境内公司拟直接或者通过境外上市单位,向证券公司、证券服务提供者和境外监管机构等有关个人或者单位公开披露或者提供含有国家秘密或者政府机构工作秘密的文件、资料的,应当依法经主管部门批准,并向同级保密行政部门备案。此外,如果涉及文件、资料泄露,将对国家安全或公共利益造成损害,境内公司应严格履行适用法规规定的相关程序。
此外,《保密和档案管理规定》规定,境内公司向包括证券公司、证券服务提供商和境外监管机构及个人在内的任何实体提供会计档案或会计档案副本的,应当按照适用的规定履行适当程序。证券公司、证券服务提供者在中国内地从事境内公司境外发行上市相关业务的工作文件,应当保留在中国内地。需要向中国大陆境外转移或传送该文件的,应当按照规定办理有关审批手续。
组织Structure
我们是一家开曼群岛豁免公司,结构为一家控股公司,通过我们在PRC的子公司和VIE在中国开展业务。通过我们的香港子公司Glory Star HK,我们拥有WFOE的直接股权,WFOE是我们在PRC的全资子公司。WFOE与(i)Xing Cui Can和我们的股东,以及(ii)Horgos和我们的股东签订了一系列合同安排,这些安排使我们有权指导VIE的活动,这些活动对VIE的经济表现影响最大,并获得VIE的几乎所有经济利益。如果VIE或其各自的股东未能履行其在这些合同安排下的义务,如果我们未能保持对VIE的控制并指导其业务活动,将导致我们无法继续将VIE的财务经营业绩合并到我们的财务经营业绩中,并将对我们的业务产生重大不利影响。
80
2021年2月5日,我们将霍尔果斯荣光星空传媒有限公司(“霍尔果斯”)持有的霍尔果斯荣光智慧营销策划有限公司(“荣光”)51%的所有权出售给持有荣光智慧49%所有权的赵锋先生。在完成出售智慧的交易后,霍尔果斯不再持有智慧的股份,智慧不再是霍尔果斯的控股子公司。
下图展示了我们截至2022年12月31日的公司结构。除非另有说明,本图所示的股权均为100%持有。图中所示的WFOE和Xing Cui Can以及WFOE和Horgos之间的关系受VIE合同管辖,不构成股权所有权。

81
外商独资企业、VIE和VIE股东之间的合同安排
PRC现行法律法规对从事增值电信服务和某些其他业务的公司的外国所有权规定了某些限制或禁令。Glory Star HK是一家在香港注册的公司。外商独资企业被视为外商投资企业。为遵守PRC的法律法规,我们主要通过基于VIE合同的VIE在中国开展业务。作为VIE合同的结果,Glory Star HK对GSNM在PRC的合并附属实体施加控制,并根据美国公认会计原则将这些实体的经营业绩合并到我们的财务报表中。以下是VIE合同的摘要,这些合同使我们有权指导VIE的活动,这些活动对VIE的经济业绩影响最大,并从我们的业务中获得VIE的几乎所有经济利益。
允许我们指导VIE活动的合同
商业合作协议。2019年9月,WFOE与Xing Cui Can和Horgos及其各自的股东分别签订了商业合作协议,根据该协议,(1)未经WFOE书面同意,各VIE不得进行任何可能对该VIE的资产、义务、权利和运营产生重大影响的交易;(2)各VIE和VIE股东同意接受WFOE就该VIE雇员的雇用和解雇、日常运营提出的建议,该VIE的股利分配和财务管理;(3)VIE和VIE股东只能指定WFOE指定的个人担任董事、总经理、首席财务官和其他高级管理人员。此外,每个VIE股东同意:(i)除非WFOE要求,否则不会作出任何决定或以其他方式要求VIE向VIE股东分配任何利润、资金、资产或财产,或(ii)就VIE股东持有的VIE股份发放任何股息或其他分配。每个商业合作协议的期限是永久的,除非WFOE提前三十(30)天通知终止,或者WFOE将各自VIE的所有股份转让给WFOE(或我们指定的人)。
排他性选择协议。2019年9月,WFOE与Xing Cui Can和Horgos及其各自的股东分别签订了排他性期权协议。根据这些排他性期权协议,VIE股东已授予WFOE(或我们的指定人)一项期权,以相当于PRC法律当时允许的最低价格收购其在VIE中的全部或部分股权。股权分期转让的,每一期的收购价格应当与转让的股权比例成正比。WFOE可在任何时候行使VIE股东授予的选择权,由我们全权酌情决定。此外,WFOE可将此种选择权转让给任何第三方。除其他义务外,VIE股东不得变更或修改VIE的章程和细则,不得增加或减少VIE的注册资本,不得以任何方式出售、转让、抵押或处置其股权,不得产生、继承、担保或承担除在正常经营过程中发生的债务以外的任何债务,除非WFOE另有明确约定,不得订立任何重大合同,除非在正常经营过程中发生的债务,除非WFOE另有明确约定。这些排他性期权协议的期限均为10年,并将自动延长连续5年的期限,除非WFOE事先另有书面通知。外商独资企业可在提前三十(30)天通知或将各自VIE的全部股份转让给外商独资企业(或我们指定的人)后终止独家期权协议。
股票质押协议。2019年9月,WFOE与星翠灿和霍尔果斯及其各自的股东分别签订了股份质押协议。根据这些股份质押协议,VIE股东已将其在VIE中的所有股权作为优先担保权益质押给WFOE,以确保VIE的履行及其股东在适用情况下履行(一)《排他性服务总协议》、(二)《商业合作协议》和(三)《排他性选择权协议》(统称“主要协议”)下的义务。如果VIE股东或VIE未能履行其各自在主要协议下的义务,WFOE有权行使我们的权利,处置VIE股东在VIE股权中的质押权益。在VIE和VIE股东履行其在主要协议项下的义务之前,股权质押协议将继续有效。
82
代理协议和授权书。2019年9月,WFOE与Xing Cui Can和Horgos及其各自的股东分别签订了代理协议和授权书。根据代理协议和授权书,每个VIE股东不可撤销地提名和指定WFOE或WFOE指定的任何自然人作为我们的实际代理人,以行使该VIE股东在该VIE中的所有权利,包括但不限于:(i)执行和交付任何和所有书面决定,并签署VIE董事会或股东的任何会议记录;(ii)就VIE的任何事项作出股东的决定,包括但不限于出售、转让、抵押、质押或处置VIE的任何或所有资产,(iii)出售、转让、质押或处置VIE的任何或全部股份,(iv)在必要时提名、任命或罢免VIE的董事、监事和高级管理人员,(v)监督VIE的经营业绩,(vi)有权充分获取VIE的财务信息,(vii)对VIE的董事或高级管理人员提起任何股东诉讼或采取其他法律行动,(viii)批准年度预算或宣布股息,(ix)管理和处置VIE的资产,(x)有权充分控制和管理VIE的财务,会计和日常运营,(xi)批准向相关政府部门或监管机构提交任何文件,以及(xii)VIE章程和/或相关法律法规对VIE股东规定的任何其他权利。在专属服务协议的有效期内,代理协议和授权书仍然有效。
确认书和保证书。各VIE股东于2019年9月签署了一份确认和担保函,据此,各VIE股东同意全面执行《主要协议》、《股份质押协议》、《代理协议》和《授权委托书》中规定的安排,并同意不进行任何可能有悖于此类协议的目的或意图的行为。
配偶同意。VIE股东的每一方配偶(如适用)于2019年9月签署了一份配偶同意书,据此,每一方股东的配偶承认,配偶持有的霍尔果斯和星翠灿的股权将按照主要协议、股份质押协议、代理协议和授权委托书中规定的安排处置,并承诺不进行任何意图干扰上述协议中规定的安排的行为,并同意在接受霍尔果斯和星翠灿的任何股权时受上述协议的约束。
使我们能够从VIE获得几乎所有经济利益的合同
主专享服务协议。2019年9月,WFOE与Xing Cui Can和Horgos分别签订了独家服务协议,根据这些协议,WFOE提供独家技术支持和服务、员工培训和咨询服务、公共关系服务、市场开发、规划和咨询服务、人力资源管理服务、知识产权许可以及双方确定的其他服务。作为交换,VIE向WFOE支付的服务费等于VIE的税前利润减去(i)VIE及其子公司在上一个财政年度的累计亏损,(ii)运营成本、费用和税收,以及(iii)适用的PRC税法和惯例下的合理运营利润。在这些协议的期限内,WFOE有权自行决定调整服务费的支付金额和时间,而无需征得VIE的同意。WFOE(或我们的服务提供商)将拥有因履行这些协议而产生的任何知识产权。这些独家服务协议的期限是永久的,除非WFOE提前三十(30)天通知终止,或根据期权协议将各自VIE的所有股份转让给WFOE(或我们指定的人)10年后终止。
与我们的VIE之间的现金转移
GS Holdings是一家控股公司,没有自己的业务。我们主要通过我们的VIE及其在中国的子公司在中国开展业务。我们可能依赖我们的VIE支付的股息和分配来满足我们的现金和融资需求,包括向我们的股东支付股息和其他现金分配所需的资金,以偿还我们可能产生的任何债务和支付我们的运营费用。如果我们的VIE及其子公司将来代表它们自己承担债务,管理债务的工具可能会限制其向我们支付股息或进行其他分配的能力。
83
根据开曼群岛的法律,GS Holdings(和Glory Star)被允许通过贷款或出资向我们在开曼群岛、香港和PRC的子公司提供资金,但须满足适用的政府注册、批准和备案要求。根据香港法律,荣耀星新媒体集团有限公司(简称“GS HK”)也可通过股息分配向荣耀星提供资金,而不受资金数额的限制。
Glory Star已从我们于2021年2月完成的承销公开发行的净收益中转移了约1000万美元的现金。在公开发行中,我们总共发行了3810976股普通股,连同购买3810976股普通股的认股权证,并以每股3.28美元的公开发行价格和相关认股权证(“公开发行”)以出资形式出售给WFOE。没有现金从外商独资企业转移到VIES,VIE也没有分配任何收益,也没有结清根据VIE协议欠下的任何款项。如果我们、我们的子公司和我们的VIE计划在未来转移更多现金,我们预计这种转移将通过现金存款或电汇。
我们目前打算保留所有可用资金和未来收益(如果有的话),用于我们业务的运营和扩张,并且不预期在可预见的未来宣布或支付任何股息。任何与我们的股息政策有关的未来决定将由董事会在考虑我们的财务状况、经营业绩、资本要求、合同要求、业务前景和董事会认为相关的其他因素后酌情决定,并受制于任何未来融资工具所载的限制。
在不违反《离岛公司法》及经不时修订及重申的公司章程大纲及章程细则的情况下,董事会对是否派发股息有酌情权。此外,我们的股东可以通过普通决议宣布股息,但股息不得超过我们董事会建议的数额。根据开曼群岛法律,开曼群岛公司可从利润或股票溢价账户中支付股息,但在任何情况下,如果股息将导致公司无法支付其在正常经营过程中到期的债务,则不得支付股息。
根据香港税务局的现行做法,我们支付的股息在香港无须缴税。PRC的法律和法规目前对现金从Glory Star转移至GS HK或从GS HK转移至Glory Star没有任何实质性影响。根据香港的法律,港元兑换为外币,以及将货币汇出香港或跨境汇款给美国投资者,不受任何限制。
PRC现行法规允许外商独资企业仅从其根据中国会计准则和法规确定的累计税后利润(如果有的话)中向我们的香港子公司支付股息。此外,外商独资企业须每年拨出至少10%的税后利润(如果有的话),作为法定储备金,直至该储备金达到其注册资本的50%。外商独资企业还可以从其税后利润中提取一部分资金,用于酌情提取准备金,不过,如果需要提取的金额,则由其股东自行决定。虽然法定准备金除其他方式外,可用于增加注册资本和消除未来超过各自公司留存收益的亏损,但除清算时外,准备金不得作为现金红利分配。
PRC政府还对将人民币兑换成外币和将货币汇出PRC实行管制。因此,我们可能难以完成必要的行政程序,以取得和汇出外汇,以支付我们的利润的股息,如果有的话。此外,如果外商独资企业将来自行承担债务,管理债务的工具可能会限制其支付股息或支付其他款项的能力。如果我们或我们的子公司无法通过目前的VIE合同从我们的业务中获得全部收入,我们可能无法为我们的普通股支付股息。
如果有的话,我们普通股的现金红利将以美元支付。如果我们在税收方面被视为PRC税务居民企业,我们支付给海外股东的任何股息可能被视为来自中国的收入,因此可能被征收最高为10.0%的PRC预扣税。
为了向我们的股东支付股息,我们将依赖星翠灿和/或霍尔果斯根据他们之间的VIE合同向WFOE支付的股息,以及向GS HK分配这些股息作为WFOE的股息。Xing Cui Can和/或Horgos向WFOE支付的某些款项需要缴纳PRC税款,包括企业所得税、增值税和某些其他税款(视情况而定)。截至本年度报告之日,我们的PRC子公司尚未进行任何转让或分配。
84
根据《中国内地与香港特别行政区关于对所得避免双重征税和逃税的安排》或《双重避税安排》,如果香港居民企业持有PRC项目不少于25%的股份,10%的预扣税率可降至5%。然而,5%的预扣税率并不自动适用,而且必须满足某些要求,包括但不限于:(a)香港项目必须是相关股息的实益拥有人;(b)香港项目必须在收到股息前的连续12个月内直接持有PRC项目不少于25%的股权。在目前的实践中,香港项目必须获得香港税务机关的税务居民证明才能申请PRC 5%的较低预扣税率。由于香港税务机关将根据具体情况签发此种税务居民证明,我们无法向您保证,我们将能够从相关的香港税务机关获得税务居民证明,并就我们的PRC子公司向其直接控股公司GS HK支付的股息享受双重征税安排规定的5%的预扣税率优惠。截至本年度报告日期,我们尚未向有关的香港税务机关申请税务居民证明书。GS HK拟在WFOE计划向GS HK宣派及派付股息时申请税务居民证明书。
D.财产、厂房和设备
我们的主要行政办公室位于中华人民共和国北京市朝阳区将台驼房营路8号新华科技大厦22楼,办公面积约1,770平方米。截至2022年12月31日,我们还额外租用了六(6)个主要用于办公空间的设施。我们总共租赁了2,246平方米的办公空间,包括我们的主要行政办公室。我们每月支付大约48751美元的租金。我们相信,我们目前的办事处是合适和足够的,在这个时候经营我们的业务。我们没有任何不动产。
项目4A。未解决的工作人员意见
不适用。
项目5。经营和财务审查及前景
概述
在企业合并之前,TKK是一家空白支票公司,于2018年2月5日作为开曼群岛豁免公司注册成立,其注册目的是与一个或多个企业进行合并、股份交换、资产收购、股份购买、资本重组、重组或类似业务合并。
2020年2月14日,我们的前身TKK完成了由TKK、开曼群岛豁免公司Glory Star New Media Group Limited(“Glory Star”)、Glory Star New Media(Beijing)Technology Co.,Ltd.(一家在中华人民共和国(“PRC”)注册成立的外商独资企业有限责任公司(“WFOE”)并由Glory Star、Xing Cui Can、Horgos、Glory Star的股东(统称“卖方”)、TKK Symphony Sponsor 1、TKK的保荐人(“保荐人”)间接全资拥有的业务合并,作为TKK除卖方以外的股东在业务合并结束后及之后的代表,以及作为卖方在业务合并下的代表的Bing Zhang,据此,Glory Star New Media Group Holdings Limited(“GS Holdings”)从卖方手中收购Glory Star 100%的股权。
在业务合并结束时,我们收购了Glory Star的所有已发行和未发行证券,以换取我们的大约46204025股普通股,其中包括10,000,000股普通股,这些普通股是由于在2020和2019财政年度都实现了某些财务业绩目标而发行给Glory Star的前股东的。
85
就股份交换协议而言:
-TKK与保荐人及卖方订立登记权协议(“登记权协议”),根据该协议,TKK将就截止付款股份及赚取股份的登记向卖方授予若干登记权。
-TKK与某些直接或间接拥有Glory Star Group股权超过10%的卖方在交割前订立了锁定协议(“锁定协议”),根据该协议,卖方各方同意,在交割后至(i)50%的交割支付股份(包括托管股份)和赚取股份(“限制性证券”)(以较早者为准)结束的期间内,(x)交割日期的六个月周年日,(y)在截止日期后开始的任何30个交易日内,我们的普通股的截止销售价格在任何20个交易日内等于或超过每股12.50美元的日期,以及(z)在截止日期后我们与非关联第三方完成清算、合并、股份交换或其他类似交易的日期(“后续交易”),以及(ii)就余下的50%受限制证券而言,(x)截止日期的一年周年,以及(y)在截止日期后我们完成后续交易的日期,直接或间接出售、转让、转让、质押、质押或以其他方式处置受限制证券,或公开披露上述任何行为的意图。锁定协议于2021年2月14日到期。
-TKK与某些在交割前直接或间接拥有Glory Star股权超过30%的卖方(包括Glory Star Group的董事长)及其主要股东(连同适用的卖方,即“标的方”)签订了《非竞争和非招揽协议》(“非竞争协议”)。根据非竞争协议,在交易结束后的三(3)年内,每一标的方和我们的关联公司未经我们的事先书面同意,不得在PRC任何地方或我们直接或间接参与或正在积极考虑参与的任何其他市场从事在线媒体和娱乐服务(统称为“业务”)(或拥有、管理、融资或控制,或受聘或担任在线媒体和娱乐服务(定义见下文)实体的高级管理人员、董事、雇员、成员、合伙人、代理人、顾问、顾问或代表)。然而,标的各方及其各自的关联公司可在公开交易的竞争对手的任何类别的已发行股权中拥有不超过3%的被动投资,只要标的各方及其关联公司及其各自参与我们业务的董事、高级职员、经理和雇员,以及标的各方或其各自关联公司的直系亲属不参与该竞争对手的管理或控制。根据非竞争协议,在此限制期内,未经我方事先书面同意,标的各方也不得(i)在交割时(或交割前一年)招揽或雇用我们的雇员、顾问或独立承包商,或以其他方式干扰我们与此类人员的关系,(ii)在交割时(或交割前一年)招揽或转移我们与业务有关的客户,或以其他方式干扰我们与此类人员的合同关系,或(iii)干扰或扰乱我们的任何供应商、供应商、分销商,代理或其他服务提供商,其目的是与我们竞争,因为它与业务有关。主题缔约方还将在每项《非竞争协定》中同意不贬低我们,并对我们保密,不使用我们的机密信息。
在业务合并之后,我们的公众股东拥有GS Holdings约5.05%的股份,TKK的前董事、高级管理人员和初始股东,包括保荐人,EarlyBirdCapital,Inc.(EBC)拥有GS Holdings约12.16%的股份,卖方拥有GS Holdings约82.79%的股份。
由于业务合并,卖方成为公司的控股股东。该业务合并作为反向合并入账,其中,出于会计和财务报告目的,Glory Star被视为收购方,该交易被视为Glory Star的反向资本重组。
86
影响经营业绩的关键因素
全球新冠疫情的长期影响可能会对我们的业务和内容制作能力产生负面影响,这可能会扰乱我们的业务并影响经营业绩。
新冠疫情的持续对我们造成业务放缓,并影响我们2022年的内容制作能力和电子商务物流,导致我们的定制内容制作、版权和CHEERS电子商城市场服务的收入减少。新冠疫情可能在多大程度上进一步影响我们的业务和财务业绩,将取决于未来的发展,这些发展具有高度的不确定性,在很大程度上是我们无法控制的。即使新冠疫情的经济影响逐渐消退,疫情也会对商业活动和消费行为产生长期的影响。我们不能保证能够调整我们的业务,以适应这些变化和我们经营所处的日益复杂的环境。虽然我们已经恢复了业务活动,但围绕新冠疫情的持续仍存在很大的不确定性。我们不能向你保证,新冠疫情能够在不久的将来消除或控制,或不会再次发生。因此,业务中断的程度以及对我们的财务业绩和前景的相关影响,目前还不能合理地得到保证。
我们在一个资本密集型行业运营,需要大量现金来为我们的运营提供资金,并制作或获取高质量的视频内容。如果我们不能获得足够的资本来为我们的运营提供资金,我们的业务、财务状况和未来前景可能会受到重大的不利影响。
互联网视频流内容提供商和电视节目制作商的运营需要对内容制作或获取以及视频制作技术进行大量和持续的投资。制作高质量的原创内容既费钱又费时,通常需要很长时间才能实现投资回报(如果有的话)。如果我们无法获得足够的资本来满足我们的资本需求,我们可能无法充分执行我们的战略增长计划,我们的业务、财务状况和前景可能会受到重大不利影响。
如果我们为移动和在线视频内容及电子商务产品留住用户和吸引新用户的努力不成功,我们的业务、财务状况和经营业绩将受到重大不利影响。
除了我们的电视节目内容制作,我们的移动和在线视频及电子商务产品在过去几年中经历了显着的用户增长。我们能否继续留住用户和吸引新用户,在一定程度上取决于我们能否持续不断地为用户提供有吸引力的内容选择,以及选择和观看视频内容的高质量体验。如果我们推出新的功能或服务,或改变现有功能和服务的组合,使我们的用户不受欢迎,我们可能无法吸引和留住用户,我们的业务、财务状况和经营业绩将受到重大不利影响。
我们在一个竞争激烈的市场经营,我们可能无法有效地竞争。
我们在中国经营的各个子市场面临着巨大的竞争,主要来自阿里巴巴(纳斯达克:BABA)、品多多(纳斯达克:拼多多)、斗鱼(纳斯达克:DOYU)、趣头条(纳斯达克:QTT)、芒果传媒(SZ.300413)和电广传媒(SH.603721)。我们争夺用户、使用时间、广告客户和购物者。我们的一些竞争对手拥有比我们更长的经营历史和更多的财政资源,因此可能能够吸引和保留更多的用户、使用时间和广告客户。我们的竞争对手可能以各种方式与我们竞争,包括进行品牌推广和其他营销活动,以及对我们的商业伙伴进行投资和收购。如果我们的任何竞争对手获得比我们更大的市场认可或能够提供更具吸引力的互联网视频内容,我们的用户流量和市场份额可能会下降,这可能会导致广告客户、购物者和用户的流失,并对我们的业务、财务状况和经营业绩产生重大不利影响。我们还面临着来自各大电视台对用户和用户时间的竞争,这些电视台正在增加其互联网视频产品。我们还面临来自其他互联网媒体和娱乐服务的用户和用户时间的竞争,例如提供新兴和创新媒体格式内容的互联网和社交媒体平台。
87
我们业务的成功取决于我们维持和提升品牌的能力。
我们相信,保持和提高我们的品牌对我们业务的成功具有重要意义。我们广受认可的品牌对于扩大我们的用户基础,进而扩大我们的购物者对我们的电子商务平台的吸引力以及对广告客户和内容提供商的吸引力至关重要。由于互联网视频行业竞争激烈,维持和提升我们的品牌在很大程度上取决于我们成为并保持中国市场领导者的能力,而这可能难以实现且成本高昂。如果我们的原创内容被认为质量低劣或对用户没有吸引力,我们维持和提升品牌的能力可能会受到不利影响,进而可能导致我们的移动和在线视频及电子商务平台失去用户。
他人增加专业制作的内容或PPC,可能会对我们的业务、财务状况和经营业绩产生重大不利影响。
我们的商业模式的成功取决于我们PPC的质量。PPC,特别是电视剧和电影的数量最近在中国有显著的增长,未来可能会继续增加。由于相对强劲的在线广告预算,互联网视频流媒体平台正在创造更多收入,并在总体上积极竞争制作和授权更多的PPC。随着对高质量PPC需求的增长,PPC生产商的数量可能会增加,从而导致对我们的用户和使用时间的竞争加剧,这反过来可能导致在我们的电子商务平台上失去广告客户、用户和购物者。在我们的电子商务平台上为客户、用户或购物者做广告的任何重大损失都将对我们的业务、财务状况和经营业绩产生重大不利影响。
我们可能无法有效地管理我们的增长。
自2016年推出服务以来,我们经历了快速增长。为了管理我们业务的进一步扩展以及我们业务和人员的增长,我们需要不断扩大和加强我们的基础设施和技术,并改善我们的业务和财务系统、程序、合规和控制。我们还需要扩大、培训和管理我们不断增长的员工基础。此外,我们的管理层将需要维持和扩大我们与分销商、广告客户和其他第三方的关系。我们不能向你保证,我们目前的基础设施、系统、程序和控制措施将足以支持我们不断扩大的业务。如果我们不能有效地管理我们的扩张,我们的业务、财务状况、经营业绩和前景可能会受到重大的不利影响。
我们面临与中国广告业性质相关的风险,包括广告提案的频繁和突然变化。
中国广告业的本质是,广告提案和实际广告的突然变化是经常发生的。在中国,电视台作为广告发布者,仍然对广告内容负责,因此,电视台可以拒绝或建议对广告内容进行修改。我们努力通过鼓励签订基本的书面协议,尽量减少与客户工作有关的问题,但我们面临与广告客户发生意外事件或纠纷的风险。此外,与我们在PRC行业的其他公司类似,在特定行业内的广告客户与广告公司之间的关系通常不是排他性的,我们目前在多个行业的单一行业内为多个客户提供服务。如果中国的这种做法发生变化,有利于排他性关系,如果我们应对这种变化的努力无效,我们的业务、经营业绩和财务状况可能会受到重大不利影响。
88
无法保证NFT市场将得到发展和/或维持,这可能对我们的业务运营产生重大不利影响。
包括但不限于NFT在内的数字资产市场仍处于萌芽状态。因此,NFT市场可能不会发展,如果一个市场确实发展了,这种价值就会得到维持。如果一个市场没有为NFT发展起来,我们可能很难或不可能发展和维持一个市场,让我们的用户可以交易、购买和出售他们的NFT。我们可能无法完成元宇宙平台或NFT市场的开发。此外,我们可能无法成功地将一个NFT市场整合到我们的元宇宙平台中,从而影响我们开发和延续新业务的能力。
A.经营成果
我们的经营业绩受到媒体和在线零售行业竞争环境的影响,我们保持客户粘性和增加市场份额的能力起着至关重要的作用。2022年,我们的内容生产能力和电子商务物流受到新冠疫情封锁限制的不利影响,导致我们的定制内容制作、版权和CHEERS电子商城市场服务的收入受到严重影响。此外,我们的经营业绩也取决于中国经济的复苏。
我们对我们的整体市场定位和战略充满信心。凭借强大和高效的执行,我们相信我们的经营业绩将继续蓬勃发展,我们将能够为我们的用户和客户提供更有价值的内容和产品。
经营成果
截至二零二一年十二月三十一日止年度与二零二二年十二月三十一日止年度的经营业绩比较
下表汇总了我们在所示期间的综合业务结果的绝对数额和在我们的净收入总额中所占的百分比。不应把业务活动历史成果的期间比较作为未来业绩的指示性指标。
| (以千美元计,百分比除外) | ||||||||||||||||||||||||
| 结束的那些年 | ||||||||||||||||||||||||
| 12月31日, | ||||||||||||||||||||||||
| 2021 | 2022 | 改变 | ||||||||||||||||||||||
| $ | % | $ | % | $ | % | |||||||||||||||||||
| 收入 | 153,012 | 100.00 | 157,079 | 100.00 | 4,067 | 2.66 | ||||||||||||||||||
| 营业费用: | ||||||||||||||||||||||||
| 收入成本 | (34,944 | ) | (22.84 | ) | (40,580) | (25.83 | ) | (5,636 | ) | 16.13 | ||||||||||||||
| 销售和营销 | (77,520 | ) | (50.66 | ) | (82,534) | (52.54 | ) | (5,014 | ) | 6.47 | ||||||||||||||
| 一般和行政 | (3,341 | ) | (2.18 | ) | (5,908) | (3.76 | ) | (2,567 | ) | 76.83 | ||||||||||||||
| 研究与开发 | (920 | ) | (0.60 | ) | (1,331) | (0.85 | ) | (411 | ) | 44.67 | ||||||||||||||
| 总营业费用 | (116,725 | ) | (76.28 | ) | (130,353) | (82.99 | ) | (13,628 | ) | 11.68 | ||||||||||||||
| 经营收入 | 36,287 | 23.72 | 26,726 | 17.01 | (9,561 | ) | (26.35 | ) | ||||||||||||||||
| 其他(费用)收入: | ||||||||||||||||||||||||
| 利息支出,净额 | (513 | ) | (0.34 | ) | (93) | (0.06 | ) | 420 | (81.87 | ) | ||||||||||||||
| 认股权证负债公允价值变动 | 809 | 0.53 | (62) | (0.04 | ) | (871 | ) | (107.66 | ) | |||||||||||||||
| 其他收入(支出),净额 | (255 | ) | (0.17 | ) | 282 | 0.18 | 537 | (210.59 | ) | |||||||||||||||
| 其他收入共计 | 41 | 0.03 | 127 | 0.08 | 86 | 209.76 | ||||||||||||||||||
| 所得税前收入 | 36,328 | 23.74 | 26,853 | 17.10 | (9,475 | ) | (26.08 | ) | ||||||||||||||||
| 所得税费用 | (976 | ) | (0.64 | ) | (413) | (0.26 | ) | 563 | (57.68 | ) | ||||||||||||||
| 净收入 | 35,352 | 23.10 | 26,440 | 16.83 | (8,912 | ) | (25.21 | ) | ||||||||||||||||
89
收入
我们主要有两个业务部门:Cheers App互联网业务和传统媒体业务。我们的Cheers App互联网业务通过播放IP短视频、通过我们的Cheers App直播和广告产生广告收入,并通过我们的Cheers E-mall市场产生服务收入。我们的传统媒体业务主要贡献于我们的Cheers系列电视广告收入、版权收入、定制内容制作收入和其他。因此,我们的业务运营依赖于这四大类收入来源:广告、版权许可、定制内容制作和CHEERS电子商城市场服务。
我们在2022年的收入为1.57亿美元,而2021年同期为1.53亿美元,大致保持在同一水平。尽管外部环境不确定,但我们对我们在持续基础上的出色表现感到自豪。我们认为,这是因为该公司努力提高品牌认知度和用户流量生成,使我们的应用获得更多曝光率和更高人气,从而在2022财年获得竞争优势。
我们最大的收入来源是广告收入,截至2022年12月31日止年度为1.52亿美元,与截至2021年12月31日止年度相比增长14.4%。由于新冠疫情封锁限制,定制内容制作、版权和CHEERS电子商城市场服务的收入下降
营业费用
运营费用包括收入成本、销售和营销、一般和行政以及研发费用。
收入成本主要包括电视剧、短视频、直播和网络剧的制作成本、劳动力成本和相关收益、支付给各频道所有者的播放费用、商品和版权购买成本以及与我们的在线游戏和购物平台CHEERS App的运营相关的成本,例如带宽成本和无形资产摊销。我们的收入成本从截至2021年12月31日止年度的3490万美元增至截至2022年12月31日止年度的4060万美元,这主要是由于我们对优质内容的持续投资导致的制作成本。这有助于获得并确保我们在该行业的竞争优势。
我们的销售和营销费用主要包括销售部门的工资和福利、用户获取费用、广告费、差旅费和CHEERS电子商城营销费用。我们的销售和营销费用增加了500万美元,从截至2021年12月31日止年度的7750万美元增至截至2022年12月31日止年度的8250万美元,主要是由于营销和广告费增加,以提高公司的品牌认知度和用户流量。
我们的一般和行政费用主要包括管理层成员的工资和福利,以及应收账款和专业服务费的坏账准备费用。我们的一般和管理费用增加了260万美元,即76.8%,从截至2021年12月31日止年度的330万美元增至截至2022年12月31日止年度的600万美元。主要原因是截至2022年12月31日止年度录得更多的信用损失准备金。在考虑了应收款项回收的所有情况,如历史经验、应收账款余额的账龄、客户的信用质量、当前的经济状况和对未来经济状况的预测之后,以真实、公允和审慎的方式记录更多的坏账准备,代表财务报表。
我们的研发费用主要包括我们研发部门的工资和福利。截至2021年12月31日和2022年12月31日止年度的研发费用分别为90万美元和130万美元。这一增长主要是由于继续投资于信息技术基础设施、用户友好性升级以及继续实施内容驱动战略。
90
其他收入,净额
截至2022年12月31日止年度的其他收入净额为0.13百万美元,主要包括利息支出和认股权证负债公允价值变动抵消的0.28百万美元的其他收入。截至2021年12月31日止年度的其他收入净额为0.04亿美元,主要包括认股权证负债的公允价值变动80万美元,部分被利息费用和其他费用0.76万美元抵消。
截至2022年12月31日止年度认股权证负债公允价值的变动意味着私募认股权证的重新计量净损失为0.06亿美元。私募认股权证是在TKK Symphony Acquisition Corporation(“TKK”)首次公开发行时发行的,由于该公司与TKK合并以及2020年2月14日发生的反向资本重组,这些认股权证被记入我们的合并财务报表。截至2020年2月14日,TKK有13,000,000份私募认股权证尚未发行。根据二项式期权估值模型,截至2021年12月31日和2022年12月31日的私人认股权证的公允价值估计分别为2.4万美元和8.6万美元。与2021年12月31日相比,截至2022年12月31日的公允价值变动为6.2万美元,已在综合经营报表中确认。
所得税费用,净额
截至2022年12月31日止年度的所得税费用净额为0.4百万美元,而截至2021年12月31日止年度的所得税费用净额为1.0百万美元。
净收入
由于上述原因,我们在2022年的净收入为2640万美元(包括与私人认股权证相关的认股权证负债的重估收益),而2021年的净收入为3540万美元(包括与私人认股权证相关的认股权证负债的重估收益)。
分段信息
我们有两个运营部门,即Cheers APP互联网业务和传统媒体业务。我们的Cheers APP互联网业务通过我们的Cheers APP播放IP短视频、直播和APP广告产生广告收入,通过我们的Cheers E-mall市场产生服务收入。我们的传统媒体业务主要贡献于我们的Cheers系列电视广告收入、版权收入、定制内容制作收入和其他。下表根据业务收入和收益衡量每个分部的业绩,并利用这些结果评估每个分部的业绩,并为每个分部分配资源。
| 已结束的年份 | ||||||||
| 12月31日, | ||||||||
| 2021 | 2022 | |||||||
| 美元) | ||||||||
| (以千 | ||||||||
| 净收入: | ||||||||
| 干杯APP互联网业务 | $ | 135,263 | $ | 144,045 | ||||
| 传统媒体业务 | 17,749 | 13,034 | ||||||
| 分部净收入合计 | $ | 153,012 | $ | 157,079 | ||||
| 合并净收入共计 | $ | 153,012 | $ | 157,079 | ||||
| 营业收入: | ||||||||
| 干杯APP互联网业务 | $ | 32,081 | $ | 24,510 | ||||
| 传统媒体业务 | 4,210 | 2,218 | ||||||
| 分部营业收入合计 | $ | 36,291 | $ | 26,728 | ||||
| 未分配项目* | (4 | ) | (2 | ) | ||||
| 合并营业收入共计 | $ | 36,287 | $ | 26,726 | ||||
| * | 截至2021年12月31日和2022年12月31日止年度的未分配项目是基于股份的员工薪酬,不分配给分部。 |
91
截至2020年12月31日止年度的经营业绩与2021年的比较
下表汇总了我们在所示期间的综合业务结果的绝对数额和在我们的净收入总额中所占的百分比。不应把业务活动历史成果的期间比较作为未来业绩的指示性指标。
| (以千美元计,百分比除外) | ||||||||||||||||||||||||
| 结束的那些年 | ||||||||||||||||||||||||
| 12月31日, | ||||||||||||||||||||||||
| 2020 | 2021 | 改变 | ||||||||||||||||||||||
| (重报) | ||||||||||||||||||||||||
| $ | % | $ | % | $ | % | |||||||||||||||||||
| 收入 | 123,763 | 100.00 | 153,012 | 100.00 | 29,249 | 23.63 | ||||||||||||||||||
| 营业费用: | ||||||||||||||||||||||||
| 收入成本 | (38,481 | ) | (31.09 | ) | (34,944 | ) | (22.84 | ) | 3,537 | (9.19 | ) | |||||||||||||
| 销售和营销 | (43,827 | ) | (35.41 | ) | (77,520 | ) | (50.66 | ) | (33,693 | ) | 76.88 | |||||||||||||
| 一般和行政 | (10,095 | ) | (8.16 | ) | (3,341 | ) | (2.18 | ) | 6,754 | (66.90 | ) | |||||||||||||
| 研究与开发 | (691 | ) | (0.56 | ) | (920 | ) | (0.60 | ) | (229 | ) | 33.14 | |||||||||||||
| 总营业费用 | (93,094 | ) | (75.22 | ) | (116,725 | ) | (76.28 | ) | (23,631 | ) | 25.38 | |||||||||||||
| 经营收入 | 30,669 | 24.78 | 36,287 | 23.72 | 5,618 | 18.32 | ||||||||||||||||||
| 其他(费用)收入: | ||||||||||||||||||||||||
| 利息支出,净额 | (282 | ) | (0.23 | ) | (513 | ) | (0.34 | ) | (231 | ) | 81.91 | |||||||||||||
| 认股权证负债公允价值变动 | 19,714 | 15.93 | 809 | 0.53 | (18,905 | ) | (95.90 | ) | ||||||||||||||||
| 其他收入(支出),净额 | 531 | 0.43 | (255 | ) | (0.17 | ) | (786 | ) | (148.02 | ) | ||||||||||||||
| 其他(费用)收入共计 | 19,963 | 16.13 | 41 | 0.03 | (19,922 | ) | (99.79 | ) | ||||||||||||||||
| 所得税前收入 | 50,632 | 40.91 | 36,328 | 23.74 | (14,304 | ) | (28.25 | ) | ||||||||||||||||
| 所得税费用 | (1,673 | ) | (1.35 | ) | (976 | ) | (0.64 | ) | 697 | (41.66 | ) | |||||||||||||
| 净收入 | 48,959 | 39.56 | 35,352 | 23.10 | (13,607 | ) | (27.79 | ) | ||||||||||||||||
收入
我们主要有两个业务部门:Cheers APP互联网业务和传统媒体业务。我们的Cheers APP互联网业务通过我们的Cheers APP播放IP短视频、直播和APP广告产生广告收入,通过我们的Cheers E-mall市场产生服务收入。我们的传统媒体业务主要贡献于我们的Cheers系列电视广告收入、版权收入、定制内容制作收入和其他。
截至2021年12月31日止年度,我们的收入增加了2920万美元,即23.6%,达到1.53亿美元,而截至2020年12月31日止年度的收入为1.238亿美元,这主要是由于广告收入和CHEERS电子商城市场服务收入的增加。
截至2021年12月31日止年度的广告收入为1.329亿美元,与截至2020年12月31日止年度相比增加了2830万美元,即27.0%。截至2021年12月31日止年度,CHEERS电子商城市场服务收入为680万美元,与截至2020年12月31日止年度相比,增加了530万美元,增幅为348.7%。
我们在我们的CHEERS应用程序以及各种在线视频平台、移动应用程序、IPTV和电视频道上分发和推广我们专业制作的内容,在这些平台上,我们通过传统的视频前、视频内和弹出广告产生广告收入。我们还从软性产品植入中获得收入,这些软性产品植入被纳入我们的原创视频内容,包括我们的在线短视频。此外,我们的电子商城供应商和分销商可以选择签订单独的广告协议,以便在我们的直播节目中展示他们的产品。我们在2021财政年度的收入增长是由以下因素推动的:
| (1) | 由于公司努力提高品牌认知度和用户流量,我们成功地扩大了我们的用户基础,进而扩大了我们对欢呼电子商城客户,从而导致大量的业务订单。 |
| (2) | 我们CHEERS平台上的广告获得了更多的曝光率,这是因为活跃用户的数量不断增加,导致每条广告的价格上涨。此外,我们看到在我们的CHEERS平台、在线短视频和直播节目上的广告需求和广告数量迅速增长,这导致广告服务订单增加。 |
92
营业费用
运营费用包括收入成本、销售和营销、一般和行政以及研发费用。
收入成本主要包括电视剧、短视频、直播和网络剧的制作成本、劳动力成本和相关收益、支付给各频道所有者的播放费用、商品和版权购买成本以及与我们的在线游戏和购物平台CHEERS App的运营相关的成本,例如带宽成本和无形资产摊销。截至2021年12月31日止年度,我们的收入成本从截至2020年12月31日止年度的3850万美元下降至3490万美元,降幅为350万美元,降幅为9.2%,主要原因是我们传统媒体业务的内容制作成本和渠道成本下降。由于我们在CHEERS平台、在线短视频和直播节目上的广告制作成本增加,与我们在这些平台上增加的广告收入相一致,部分抵消了这一减少。
我们的销售和营销费用主要包括销售部门的工资和福利、用户获取费用、广告费、差旅费和CHEERS电子商城营销费用。我们的销售和营销费用从截至2020年12月31日止年度的4,380万美元增加到截至2021年12月31日止年度的7,750万美元,增幅为3,370万美元,增幅为76.9%,主要原因是营销和广告费增加,以提高公司的品牌认知度和用户流量。
我们的一般和行政费用主要包括管理层成员的工资和福利,以及应收账款和专业服务费的坏账准备费用。我们的一般和管理费用从截至2020年12月31日止年度的1010万美元减少到截至2021年12月31日止年度的330万美元,减少了680万美元,降幅为66.9%。2020年,我们向某些员工发行了股票期权,以表彰他们对公司业务的贡献,也向专业服务提供商发行了股票期权,以表彰他们在SPAC业务合并方面所做的努力。截至2021年底,我们没有发行任何期权。
我们的研发费用主要包括我们研发部门的工资和福利。截至2020年12月31日和2021年12月31日止年度的研发费用分别为70万美元和90万美元。
其他收入,净额
截至2020年12月31日止年度的其他收入净额为2000万美元,主要是利息支出、认股权证负债公允价值变动以及营业外收入净额。截至2021年12月31日止年度的其他收入净额为0.04亿美元,主要包括认股权证负债公允价值变动80万美元,部分被利息费用和其他费用0.76万美元抵消。
截至2021年12月31日止年度的认股权证负债公允价值变动意味着私募认股权证的重新计量净收益为80万美元。私募认股权证是在TKK Symphony Acquisition Corporation(“TKK”)首次公开发行时发行的,由于该公司与TKK合并以及2020年2月14日发生的反向资本重组,这些认股权证被记入我们的合并财务报表。截至2020年2月14日,TKK有13,000,000份私人认股权证尚未发行,截至2021年12月31日,未发行私人认股权证的数量没有变化。根据二项式期权估值模型,截至2020年12月31日和2021年12月31日的私人认股权证的公允价值估计分别为80万美元和0.02亿美元。与2020年12月31日相比,截至2021年12月31日的公允价值变动为80万美元,已在合并经营报表中确认。
93
所得税费用,净额
截至2020年12月31日止年度的所得税费用净额为170万美元,而截至2021年12月31日止年度的所得税费用净额为100万美元。
净收入
由于上述原因,我们2021年的净收入为3530万美元(包括与私人认股权证有关的认股权证负债的重估收益),而2020年的净收入为4900万美元(包括与私人认股权证有关的认股权证负债的重估收益)。
分段信息
我们有两个运营部门,即Cheers APP互联网业务和传统媒体业务。我们的Cheers APP互联网业务通过我们的Cheers APP播放IP短视频、直播和APP广告产生广告收入,通过我们的Cheers E-mall市场产生服务收入。我们的传统媒体业务主要贡献于我们的Cheers系列电视广告收入、版权收入、定制内容制作收入和其他。该表根据业务收入和收益衡量每个部门的业绩,并利用这些结果评估每个部门的业绩,并为每个部门分配资源。
已结束的年份 12月31日, |
||||||||
| 2020 | 2021 | |||||||
(以千 美元) |
||||||||
| 净收入: | ||||||||
| 干杯APP互联网业务 | $ | 83,573 | $ | 135,263 | ||||
| 传统媒体业务 | 40,190 | 17,749 | ||||||
| 分部净收入合计 | $ | 123,763 | $ | 153,012 | ||||
| 合并净收入共计 | $ | 123,763 | $ | 153,012 | ||||
| 营业收入: | ||||||||
| 干杯APP互联网业务 | $ | 24,343 | $ | 32,081 | ||||
| 传统媒体业务 | 11,707 | 4,210 | ||||||
| 分部营业收入合计 | $ | 36,050 | $ | 36,291 | ||||
| 未分配项目* | (5,381 | ) | (4 | ) | ||||
| 合并营业收入共计 | $ | 30,669 | $ | 36,287 | ||||
| * | 截至2020年12月31日和2021年12月31日止年度的未分配项目是基于股份的员工薪酬,不分配给分部。 |
94
流动性和资本资源
截至2020年12月31日、2021年12月31日和2022年12月31日,我们的主要流动资金来源是现金和现金等价物,分别约为1770万美元、7730万美元和7050万美元。截至2022年12月31日,营运资金为1.51亿美元。我们相信,我们目前的现金和现金等价物以及我们预期的业务活动现金流量将足以满足我们预期的营运资金需求和未来12个月的资本支出。如果我们确定我们的现金需求超过了我们当时手头的现金和现金等价物的数量,我们可能会寻求发行股票或债务证券或获得信贷安排。增发和出售额外股权将进一步稀释我们的股东。负债的发生将导致固定债务的增加,并可能导致可能限制我们业务的经营契约。我们不能向你保证,如果有的话,我们将以我们可以接受的数额或条件提供融资。
截至2022年12月31日,我们几乎所有的现金和现金等价物都是在中国持有的,这些现金和现金等价物都是以人民币(RMB)计价的。此外,我们是一家控股公司,没有自己的实质性业务。我们主要通过我们在中国的子公司和VIE开展业务。因此,我们支付股息的能力(如果有的话)取决于我们全资子公司支付的股息。我们预计未来不会派发任何股息,因为所得的任何净收入都将再投资于本公司。此外,根据PRC会计准则和规定,我们的外商独资企业只能从其留存收益(如果有的话)中向我们支付股息。根据PRC法律,我们的外商独资企业及其合并实体必须每年拨出至少10%的税后利润(如果有的话)作为法定储备金,直至该储备金达到其注册资本的50%。虽然法定储备金除其他方式外,可用于增加注册资本和消除未来亏损超过各自公司的留存收益,但储备金不得作为现金红利分配,除非在清算时。外商独资公司将股息汇出中国,须经外管局指定的银行审查。我们目前计划将我们的外商独资企业的所有收益再投资于业务发展,并且不打算要求外商独资企业派发股息。
如果我们遇到不利的经营环境或产生预期的资本支出需求,或者如果我们加快增长,那么可能需要额外的融资。但是,不能保证,如果需要的话,额外的资金将以优惠的条件提供,或根本不能提供。这种融资可包括使用额外的债务或出售或额外的证券。任何融资,包括出售股本证券或可转换为股本证券的工具,都可能对我们现有的股东造成直接和可能重大的稀释。
现金流
下表汇总了我们所列年份的现金流量:
年份结束 12月31日, |
||||||||||||
| 2020 | 2021 | 2022 | ||||||||||
(以千 美元) |
||||||||||||
| 经营活动所产生的现金净额 | 8,741 | 46,455 | 7,739 | |||||||||
| 投资活动所用现金净额 | (4,418 | ) | (1,051 | ) | (7,989 | ) | ||||||
| 筹资活动提供的现金净额 | 5,381 | 13,286 | 508 | |||||||||
| 汇率变动的影响 | 1,108 | 881 | (7,078 | ) | ||||||||
| 现金,现金等价物和限制现金的净增加(减少) | 10,812 | 59,571 | (6,820 | ) | ||||||||
我们主要通过净收入和银行贷款为业务提供资金。在截至2021年12月31日和2022年12月31日的年度,我们的应收账款增加了,我们不得不补充我们的现金流。我们打算继续关注更及时的应收账款回收,这将增加我们的现金流。我们预计,近期的主要资本支出将用于进一步增强我们的CHEERS应用程序。为了提高其拟议的增长,我们预计将通过发行股票或债务证券或获得信贷安排来筹集资本。增发和出售额外股权将进一步稀释我们的股东。负债的发生将导致固定债务的增加,并可能导致可能限制我们业务的经营契约。我们不能向你保证,如果有的话,我们将以我们可以接受的数额或条件提供融资。
95
业务活动
截至2020年12月31日止年度,经营活动产生的现金净额为870万美元。这主要包括净收入4900万美元,应付账款增加280万美元,应计负债和其他应付款增加520万美元,主要原因是从Cheers电子商城市场预收现金;与私人认股权证有关的认股权证负债重新计量收益增加1970万美元,应收账款增加2400万美元,与我们报告的2020年12月31日终了年度收入比2019年12月31日终了年度增加相符,部分抵消,预付款项增加1930万美元,主要原因是两部联合制作的电视剧的预付款项增加了1750万美元,软件开发预付款增加了310万美元。
截至2021年12月31日止年度,经营活动提供的现金净额为4650万美元。这主要包括净收入3540万美元,应付账款增加480万美元,应收账款减少1990万美元,主要是由于客户收到现金;应计负债和其他应付款减少920万美元,以及预付款项增加1070万美元,这部分抵消,这主要是由于供应商预付款和软件开发预付款增加。
截至2022年12月31日止年度,经营活动提供的现金净额为770万美元。这主要包括净收入2640万美元,预付款项减少1690万美元,原因是从第三方购买的制作内容减少,自有制作内容增加;收入增加导致应收账款增加4210万美元,部分抵消了这一减少。
投资活动
截至2020年12月31日止年度,用于投资活动的现金净额为440万美元,主要来自为购置无形资产支付的270万美元,以及为短期投资支付的160万美元。
截至2021年12月31日止年度,用于投资活动的现金净额为110万美元,主要来自购买无形资产的270万美元付款,部分被180万美元的短期投资回报所抵消。
截至2022年12月31日止年度,用于投资活动的现金净额为800万美元,主要来自购买无形资产和购买设备的付款,购买设备是为了增强CHEERS App的购物、游戏和媒体功能,以促进业务和运营的未来增长。
融资活动
截至2020年12月31日止年度,筹资活动提供的现金净额为540万美元,其中包括提取的550万美元银行贷款;部分被支付的10万美元贷款发起费所抵消。
截至2021年12月31日止年度,筹资活动提供的现金净额为1330万美元,其中包括1530万美元的股权融资收益和510万美元的银行贷款提款;被支付的银行贷款和贷款发起费690万美元部分抵消。
截至2022年12月31日止年度,筹资活动提供的现金净额为50万美元,其中包括偿还银行贷款和因银行贷款到期而产生的贷款发放费用630万美元;由Glory Star Group股东的70万美元出资和短期借款610万美元抵消。
请参阅"综合财务报表附注——附注9。银行贷款”,以了解贷款条款和利率的细节。
96
C.研究与发展
我们有一支经验丰富的工程师团队,他们主要在我们的北京总部工作。我们积极竞争工程人才,并通过外包与顶级IT公司密切合作,以应对人工智能推荐搜索引擎、区块链评分电子商城、网络游戏对战平台、数据仓库、社交网络E-commence V3.0、视频媒体仓库等挑战。在2020年、2021年和2022年,我们的研发支出分别为70万美元、90万美元和130万美元。此外,由于研发支出的资本化,无形资产从截至2020年12月31日的1800万美元增加到截至2021年12月31日的2120万美元,增加了320万美元,而截至2022年12月31日增加了590万美元至2710万美元。我们计划继续投资并改进我们的CHEERS应用程序,以进一步提高用户友好性、功能性和效率。
D.趋势信息
见本年度报告项目5的“— A.经营成果”和“项目3.D.关键信息—风险因素”。
E.关键会计估计
我们对财务状况和业务结果的讨论和分析是以我们的合并财务报表为基础的。这些财务报表是根据美国公认会计原则编制的,该原则要求我们作出影响我们的资产和负债以及收入和支出的报告金额的估计和假设,在合并财务报表日期披露或有资产和负债,并披露在财务报告期间发生的收入和支出的报告金额。最重要的估计和假设包括应收账款的估值、长期资产的可收回性、未摊销的制作内容、收入确认和股份补偿。我们将继续评估我们认为在目前情况下合理的这些估计和假设。我们依靠这些评价作为对从其他来源不易看出的资产和负债的账面价值作出判断的基础。由于使用估计数是财务报告过程的一个组成部分,由于我们的估计数发生变化,实际结果可能与这些估计数不同。
以下关键会计政策依赖于假设和估计,在编制我们的合并财务报表时使用了这些政策:
应收账款净额
应收账款是指公司在履行其履约义务时有权无条件获得对价的金额(包括已开票和未开票的金额)。本公司没有任何合同资产,因为收入是在承诺的服务的控制权转移时确认的,而且客户的付款不取决于未来的事件。公司为应收账款的潜在信贷损失保留备抵。管理部门审查应收账款的构成,并分析历史坏账、客户集中程度、客户信誉、当前经济趋势和客户付款方式的变化,以估计备抵。逾期账款一般只有在所有催收努力都已用尽并且认为收回的可能性很小之后才从坏账备抵中注销。
未摊销的制作内容
制作内容包括直接制作成本、制作间接费用和购置成本,并按未摊销成本或估计公允价值中的较低者列报。制作的内容还包括为与第三方达成合作制作其某些作品的安排而支付的现金支出。
97
本公司采用个人-电影-预测-计算法,根据ASC 926,根据当期实际收入(分子)与截至财政年度开始时估计剩余未确认最终收入(分母)的比率,对制作的内容进行摊销。制作内容的最终收入估计数将定期审查,如果有任何调整,将导致摊销率的预期变化。如果对总收入和其他事件或情况变化的估计表明,电影或电视剧的公允价值低于其未摊销成本,则目前就未摊销成本超过电影或电视剧公允价值的金额确认损失。在截至2020年12月31日、2021年和2022年12月31日的年度,销售成本分别摊销了15970美元、7375美元和128美元,截至2021年12月31日和2022年12月31日,没有减值准备入账,770美元入账。
长期资产减值
根据ASC主题360,只要有事件或情况变化表明资产的账面价值可能无法完全收回,或至少每年一次,公司都会审查长期资产的减值情况。当预期未贴现未来现金流量的总和低于资产的账面价值时,本公司确认减值损失。减值金额按资产的估计公允价值与其账面价值之间的差额计量。截至2020年12月31日、2021年和2022年12月31日止年度,公司未记录任何减值费用。
认股权证
本公司根据会计准则编纂(ASC)815-40,衍生工具和套期保值——实体自有权益合同对公开和私人认股权证进行评估。作为权益入账的认股权证按发行日确定的公允价值入账,此后不再重新计量。记录为负债的认股权证按其公允价值入账,并在每个报告日随着合并经营报表中普通股认股权证负债估计公允价值的变动而重新计量。
收入确认
公司于2017年1月1日提前采用了新的收入准则会计准则编纂(ASC)606《客户合同收入》。这一新收入标准的核心原则是,公司应确认收入,以反映向客户转让承诺的商品或服务的金额,该金额反映了公司预期有权以这些商品或服务换取的对价。为实现这一核心原则采取了以下五个步骤:
| ● | 步骤1:确定与客户的合同 |
| ● | 步骤2:确定合同中的履约义务 |
| ● | 步骤3:确定交易价格 |
| ● | 步骤4:将交易价格分配给合同中的履约义务 |
| ● | 步骤5:在公司履行履约义务时确认收入 |
98
该公司主要提供自产内容的版权许可、广告和定制内容制作及其他业务,并从这些业务中获得收入。收入确认政策讨论如下:
版权收入
公司自行制作或联合制作以生活方式、文化和时尚为主题的电视剧,并将电视剧的版权以一集为基础授权给客户在一段时间内播放。一般来说,公司与客户签订合同,要求公司向客户提供一系列基本相同且具有相同转移模式的剧集。因此,一系列事件的交付被定义为合同中唯一的履约义务。
对于仅由本公司制作的电视剧,本公司通过衡量在许可期开始后提供给被许可方供展览的整集剧集的交付进度,来逐步履行其履约义务。因此,合同中的版权收入是根据交付的剧集数量的进展情况在一段时间内确认的。
该公司还与其他制片人联合制作电视剧,并将版权授权给第三方视频广播平台播放。对于荣星集团与联合制片人共同制作的电视剧,公司通过向客户交付整集剧集来履行其长期履约义务,并要求客户根据播出平台上发生的电视剧有效后续播放量的数量和单价支付对价。因此,版权收入在有效的后续观看发生或与交付若干集有关的履约义务已得到履行时予以确认。
广告收入
该公司通过销售其电视剧和流媒体内容的各种形式的广告,通过1)广告展示,或2)将促销活动整合到电视剧和将要播出的内容中,产生收入。广告合同的签订是为了确定不同广告场景的不同合同价格,与广告期相一致。本公司直接与广告客户或代表广告客户的第三方广告代理商订立广告合同。
对于涉及第三方广告代理商的合同,公司是主要的,因为公司负责履行提供广告服务的承诺,并有确定指定广告价格的酌处权。根据一项框架合同,公司在播出前从广告公司收到单独的定购单。因此,每个定购单都被确定为一项单独的履约义务,其中包含一捆广告,这些广告基本相同,并具有相同的转让给客户的模式。在可收回性得到合理保证的情况下,在定购单的服务期内每月确认收入。
对于直接与广告商签订的合同,公司承诺展示内容和转移模式基本相同或相似的一系列广告,并将展示整个系列广告确定为合同规定的单一履约义务。公司通过衡量在合同中展示整个系列广告的进展情况来逐步履行其履约义务,广告收入根据展示的广告数量逐步确认。
付款条款和条件因合同类型而异,条款通常包括要求在6至9个月内付款。直接广告客户和第三方广告代理商一般在展示期结束时收费,并要求公司开具增值税发票,以便付款。
定制内容制作收入
该公司根据客户的要求制作定制的流媒体短视频,并根据交付情况赚取固定费用。收入在短视频传输时确认。
99
CHEERS电子商城市场服务收入
该公司通过在线电子商务平台CHEERS E-mall,使第三方商家能够向中国消费者销售其产品。本公司就在Cheer电子商城完成的销售交易向商家收取平台服务费,包括但不限于产品展示、促销和交易结算服务。本公司在交易期间的任何时间都不控制商家提供的产品,对商品的定价也没有自由。交易服务费确定为平台销售价格与商户结算价格之间的差额。CHEERS电子商城市场服务收入在消费者确认收到商品后,确定公司向商家提供市场服务的履约义务已在每项销售交易下完成时确认。服务付款一般在交付前收到。
本公司自行决定向消费者提供优惠券,作为推广CHEERS E-mall市场的激励措施,有效期通常在一周左右或不到一周,这些优惠券只能用于未来购买CHEERS E-mall上提供的合格商品,以降低并非针对任何商家的购买价格。消费者不是本公司的客户,因此向消费者提供的奖励不被视为支付给客户的对价。由于消费者必须在未来购买商家的商品以赎回这些优惠券,本公司在获得优惠券时不计入任何费用,并在未来购买时将赎回优惠券的金额确认为营销费用。
其他收入
其他收入主要包括购买和制作的电视系列的版权交易以及在淘宝平台上销售产品。对于购买和制作的电视系列片的版权许可,公司在交付母带和授权转播权的某个时间点按净额确认收入。对于产品的销售,公司根据销售订单中的固定价格和生产金额,在产品转让时确认收入。
下表分别列出截至2020年12月31日、2021年和2022年12月31日止年度的收入分类:
结束的那些年 12月31日, |
||||||||||||
| 2020 | 2021 | 2022 | ||||||||||
(单位:美元 以千为单位) |
||||||||||||
| 收入类别: | ||||||||||||
| 广告收入 | $ | 104,664 | $ | 132,918 | $ | 152,086 | ||||||
| 定制内容制作收入 | 10,200 | 5,326 | - | |||||||||
| 版权收入 | 6,883 | 7,478 | 4,217 | |||||||||
| CHEERS电子商城市场服务收入 | 1,517 | 6,807 | 306 | |||||||||
| 其他收入 | 499 | 483 | 470 | |||||||||
| 合计 | $ | 123,763 | $ | 153,012 | $ | 157,079 | ||||||
| 确认收入的时间: | ||||||||||||
| 随时间转移的服务 | $ | 121,747 | $ | 145,722 | $ | 156,303 | ||||||
| 在某一时点转移的服务 | 1,517 | 6,807 | 306 | |||||||||
| 在某一时间点转移的货物 | 499 | 483 | 470 | |||||||||
| 合计 | $ | 123,763 | $ | 153,012 | $ | 157,079 | ||||||
100
本公司在摊销期为一年或一年以下的情况下,对与客户签订合同所产生的费用采用了一种实际的权宜之计。在ASC主题606的范围内,本公司没有与客户取得合同所产生的任何重大增量成本和/或与客户履行合同所产生的成本,这些成本应被确认为资产并以与相关合同收入确认时间相匹配的方式摊销到费用中。
股份补偿
公司定期向符合条件的雇员和非雇员顾问发放限制性普通股。本集团根据ASC主题718 ——股票补偿——对发放给雇员和非雇员顾问的股票奖励进行会计处理。以股份为基础的奖励按奖励在授予日的公允价值计量,并确认为费用a)在不需要归属条件的情况下在授予日立即确认;或b)在规定的服务期(即归属期)内使用直线法。
有关受限制普通股的股份补偿是根据其普通股在授予日的公允价值计量的。本集团确认基于服务的限制性股票在归属期内的补偿费用,扣除估计的没收。没收是在赠款时估计的,如果实际没收与这些估计数不同,则在以后各期加以修订。
所得税
该公司使用ASC 740规定的资产/负债法核算所得税。在这种方法下,递延所得税资产和负债是根据资产和负债的财务报告和税基之间的差异确定的,所采用的税率将在预期差异转回的期间生效。如果根据现有证据的权重,递延所得税资产的一部分或全部很可能无法变现,本公司将计提一笔抵减递延所得税资产的估值备抵。税率变动对递延税款的影响在包括颁布日期在内的期间内确认为收入或损失。
ASC 740-10-25的规定,“所得税不确定性的会计”,为合并财务报表确认和计量纳税申报表中已(或预期将采取)的税务状况规定了一个可能性更大的门槛。这一解释还就所得税资产和负债的确认、当期和递延所得税资产和负债的分类、与税务状况相关的利息和罚款的会计处理以及相关披露提供了指导。公司不认为在2020年12月31日、2021年和2022年12月31日存在任何不确定的税务状况。
本公司在PRC的经营子公司须接受有关税务机关的审查。根据《PRC税收管理和征收法》,纳税人或扣缴义务人因计算错误而少缴税款的,诉讼时效为三年。在特殊情况下,少缴税款超过10万元人民币(15685美元)的,时效延长至五年。在转让定价问题上,诉讼时效为十年。在逃税的情况下没有时效规定。截至2022年12月31日,本公司PRC子公司截至2018年12月31日至2022年12月31日的纳税年度仍可由PRC税务机关进行法定审查。
101
最近的会计公告
2021年10月,FASB发布了ASU第2021-08号,《企业合并(主题805):来自客户合同的合同资产和合同负债的会计处理》(ASU 2021-08),明确企业的收购方应根据主题606,客户合同收入确认和计量企业合并中的合同资产和合同负债。新的修订自2023年12月15日之后开始的财政年度生效,包括这些财政年度内的过渡期。修正案应前瞻性地适用于在修正案生效之日或之后发生的企业合并,并允许早日通过。公司目前正在评估新的指导意见对合并财务报表的影响。
2022年6月,FASB发布了ASU 2022-03,“公允价值计量(主题820):受合同销售限制的股本证券的公允价值计量”,其中明确了对出售股权证券的合同限制不被视为股权证券记账单位的一部分,因此在计量公允价值时不被考虑。修正案还阐明,一个实体不能作为一个单独的记账单位,承认和衡量合同规定的销售限制。这一指导意见还要求对受合同销售限制的股本证券进行某些披露。新的指导方针要求在通过修正后的任何调整后前瞻性地适用,这些调整在收益中确认,并在通过之日披露。本指导意见对2023年12月15日之后开始的财政年度有效,包括这些财政年度内的过渡期。允许提前领养。公司预计,采用这一指导意见不会对财务状况、业务结果和现金流量产生重大影响。
财务会计准则委员会已发布或提议的其他会计准则,如在未来某一日期之前不需要采用,预计在采用后不会对合并财务报表产生重大影响。本公司不讨论预计不会对其合并财务状况、经营业绩、现金流量或披露产生影响或与之无关的近期公告。
项目6。董事、高级管理人员和雇员
| a. | 董事和高级管理人员 |
下表列出了截至本年度报告日期的现任董事、执行人员和重要雇员的姓名和年龄。
| 姓名 | 年龄 | 职务 | ||
| Bing Zhang | 55 | 董事(主席)、首席执行官及临时首席财务官 | ||
| Jia Lu | 42 | 荣耀星传媒(北京)有限公司董事、高级副总裁。 | ||
| Ke Chen | 44 | 独立董事 | ||
| Zhihong Tan | 55 | 独立董事 | ||
| Yong Li | 53 | 独立董事 |
本公司各董事及执行人员的地址及电话号码为:北京市朝阳区酒仙桥拓芳营南路8号新华科技大厦B Block 22F,100016(电话:+ 86-10-87700500)。
以下是我们每一位执行人员和董事的简介:
Bing Zhang先生于2020年2月完成业务合并后成为我们的董事长、董事和首席执行官。张先生自2019年起担任荣耀星集团董事长,并自2016年起担任霍尔果斯和星翠灿的首席执行官。2011年至2016年,张兵担任趋势集团副总裁、趋势之星(北京)文化传媒有限公司董事会主席兼总经理。Bing Zhang拥有清华大学商学院EMBA学位和湖南大学学士学位。
102
Jia Lu先生于2020年2月成为我们的董事。卢先生为荣光星空传媒(北京)有限公司董事、高级副总裁,自2018年起担任霍尔果斯荣光星空传媒有限公司、霍尔果斯荣光智慧营销策划有限公司、荣光智慧(北京)营销策划有限公司董事,自2017年起担任霍尔果斯荣光盛世文化有限公司董事,自2016年起担任荣光星空传媒(北京)有限公司高级副总裁。2011年至2016年,卢先生担任趋势之星(北京)文化传媒有限公司副总经理。卢先生拥有北京电影学院学士学位。
Ke Chen先生于2020年9月成为我们的独立董事。陈先生自2017年起担任北京长安律师事务所(简称“长安”)合伙人,并于2014年至2017年担任其金融证券部副主任。在此之前,陈光诚自2004年以来一直是Hogan Lovells的合伙人。陈先生的法律业务集中在银行、股票证券、基金、项目融资、并购、公司融资、外国直接投资、对外投资、建筑、房地产以及监管和合规工作。陈先生于2002年获得法学学士学位,2003年获得白金汉大学法学硕士学位。
Zhihong Tan先生于2022年4月成为我们的独立董事。谭先生自2014年起担任湖南仁健企业集团副总裁。1992年至2000年,谭先生任湖南省外资企业物资公司经理,2000年至2010年,任湖南天徕村文化娱乐公司总经理。此外,谭先生还在2010年至2013年期间担任天府房地产公司总经理。谭先生毕业于湖南财经大学,获得价格理论学士学位。Tan先生还持有ACCA国际注册会计师证书。
李勇先生于2020年2月成为我们的独立董事。李先生是中国电视艺术家协会(CTAA)智能传播委员会副主任,成美资本合伙人,自2019年6月起担任谷源文化董事长。2014年至2018年,李先生担任东方文娱传媒集团有限公司东方卫视中心督察长/总经理。2011年至2014年,李先生担任上海新媒体娱乐股份有限公司总经理。此外,李书福是第一个在上海推出“独立制片人制度”的人,该制度极大地促进了中国娱乐和媒体行业的发展。李先生于2006年获得中欧国际工商学院商学硕士学位,并于1991年获得中国传媒大学新闻学学士学位。
103
董事会多元化
下表提供了截至本年度报告之日我们董事会的多样性方面的某些信息。
| 董事会多元化矩阵 | ||||
| 主要执行办公室的国家: | 中国 | |||
| 外国私人发行人 | 是 | |||
| 母国法律禁止披露 | 无 | |||
| 董事总数 | 5 | |||
| 女性 | 男 | 非- 二进制 |
没有 披露 性别 |
|
| 第一部分:性别认同 | ||||
| 董事 | 0 | 5 | 0 | 0 |
| 第二部分:人口背景 | ||||
| 在母国管辖范围内任职人数不足的个人 | 0 | |||
| LGBTQ + | 0 | |||
| 没有披露人口背景 | 0 | |||
我们目前只有五名董事会成员,他们都是男性,没有一个是多元化的。虽然我们重视多样性,但由于拟议的私有化交易,我们并没有做出任何改变来增加董事会成员的多样性。我们计划探索实现董事会多元化的方法,包括可能扩大董事会规模和/或作为董事会轮换过程的一部分。
家庭关系
没有任何董事或执行干事有S-K条例第401项所界定的家庭关系。
B.补偿
2022年,我们向我们的高管支付了总计245,016美元的现金,其中包括于2022年7月29日辞职的前首席财务官Perry Lu。我们没有预留或累积任何金额,为我们的高管和董事提供养老金、退休金或其他类似福利。根据法律规定,我们在PRC的子公司和合并可变利益实体必须缴纳相当于每个雇员工资一定比例的养老金、医疗保险、失业保险和其他法定福利以及住房公积金。
福利计划
我们并没有为我们的高级职员、董事或雇员制定任何利润分享计划或类似的计划。但是,我们将来可能会制定这样的计划。
行使的合计期权/股票增值权(SAR)和财政年终期权/SAR价值表
在上一个财政年度,我们的行政人员和上表所列的其他个人都没有行使期权或特别行政区。
股权补偿计划信息
2020年2月14日,我们的董事会批准了我们的2019年股权激励计划(“2019年计划”),该计划于2019年12月23日获得股东批准。2019年计划允许授予最多3732590股普通股的股票和期权。在截至2022年12月31日的财政年度,没有向我们的行政人员和雇员颁发任何奖励。请参阅"项目6。董事、高级管理人员和雇员—— B.向我们的执行人员授予股份的报酬。截至2022年12月31日,根据2019年计划,购买普通股的期权和限制性股票单位共计_2140,340股尚未发行。
104
长期激励计划
在上一个财政年度,我们没有授予任何长期奖励。
养恤金福利
我们没有任何指定的执行人员参与或拥有由其赞助的合格或不合格的固定福利计划的账户余额。
不合格递延补偿
我们没有任何指定的执行人员参与或拥有不合格的固定缴款计划或由其维持的其他递延薪酬计划的账户余额。
非执行董事的薪酬
我们分别与我们的独立董事谭志宏、李勇和Ke Chen先生就他们作为公司独立董事的任命签订了独立董事协议。根据独立董事协议,每位独立董事有权收取每月2000美元(每年24000美元)的费用。此外,我们还根据2019年股权激励计划的限制性股票授予协议的条款和条件,向每位独立董事授予了2000股普通股。每位独立董事也有权获得自付费用的补偿。2022年,我们向独立董事支付了总计7.2万美元的现金,其中包括于2022年4月6日辞职的前董事Ming Shu Leung,并且没有根据我们的2019年计划向独立董事授予任何限制性股票单位。
与执行干事签订的就业协议
我们与首席执行官Bing Zhang签订了一份雇佣协议,自2019年12月20日起生效。张艺谋是一名“随心所欲”的员工。
荣耀星传媒(北京)有限公司与本公司董事及高级副总裁Jia Lu签订了《雇佣协议》,自2019年12月20日起生效。鲁炜是一名“随心所欲”的员工。
截至2022年12月31日和2021年12月31日止年度,没有支付基于绩效的现金奖金。截至2022年12月31日止年度,没有根据2019年计划向我们的执行干事发放任何奖励。
C.董事会惯例
董事会
我们的董事会分为三个级别,每年只选出一个级别的董事,每个级别的董事(第一次年度股东大会之前任命的董事除外)任期三年。由Jia Lu和Zhihong Tan组成的第一类董事的任期将于2023年年会结束。由李勇和Bing Zhang组成的第二类董事的任期将于2024年年会届满,由Ke Chen组成的第三类董事的任期将于2022年年会届满,除非在2023年3月31日举行的2022年年会上再次当选。
105
我们的董事由董事会选举产生,由董事会酌情决定,而不是根据具体的任期任职。本公司董事会获授权委任其认为适当的人士担任本公司章程大纲及章程细则所列的职务。我们的组织章程大纲和章程细则规定,我们的管理人员可能包括首席执行官、总裁、首席财务官、副总裁、秘书、助理秘书、司库以及董事会可能决定的其他职位。
董事独立性
目前,根据纳斯达克上市规则,Zhihong Tan、李勇和Ke Chen都将被视为“独立董事”。纳斯达克上市规则的一般定义是,公司或其子公司的高级职员或雇员或任何其他有关系的个人以外的人,公司董事会认为,这些人会干扰董事在履行董事职责时行使独立判断。我们的独立董事将定期举行只有独立董事出席的会议。
董事会各委员会
我们的董事会有三个常设委员会:一个审计委员会、一个提名委员会和一个薪酬委员会。除分阶段实施的规则和某些有限的例外情况外,纳斯达克的规则和《交易法》的规则10A-3要求上市公司的审计委员会仅由独立董事组成,纳斯达克的规则要求上市公司的薪酬委员会和提名委员会仅由独立董事组成。
审计委员会
我们成立了一个董事会审计委员会,由Zhihong Tan、李勇和Ke Chen组成,他们都是纳斯达克上市标准下的独立董事。Tan先生是审计委员会主席。
审计委员会的职责载于我们的《审计委员会章程》,包括但不限于:
| ● | 审查并与管理层和独立审计员讨论年度审定财务报表,并向董事会建议是否应将审定财务报表列入我们的年度报告; | |
| ● | 与管理层和独立审计师讨论与编制财务报表有关的重大财务报告问题和判断; | |
| ● | 与管理层讨论重大风险评估和风险管理政策; | |
| ● | 监督独立审计员的独立性; | |
| ● | 根据法律规定,核查对审计负有主要责任的牵头(或协调)审计伙伴和负责审查审计的审计伙伴的轮换情况; | |
| ● | 审查和批准所有关联交易; | |
| ● | 询问并与管理层讨论我们对适用法律法规的遵守情况; | |
| ● | 预先批准由我们的独立审计师提供的所有审计服务和允许的非审计服务,包括所提供服务的费用和条款; | |
| ● | 委任或更换独立核数师; |
106
| ● | 为编制或发布审计报告或相关工作的目的,确定独立审计员工作的报酬和监督(包括解决管理层和独立审计员在财务报告方面的分歧); | |
| ● | 制定程序,接收、保留和处理我们收到的有关会计、内部会计控制或报告的投诉,这些投诉对我们的财务报表或会计政策提出了重大问题;和 | |
| ● | 批准报销我们的管理团队在确定潜在目标业务方面所发生的费用。 |
审计委员会财务专家
审计委员会在任何时候都将完全由“独立董事”组成,这些独立董事具有纳斯达克上市标准所定义的“金融知识”。纳斯达克上市标准将“金融知识”定义为能够阅读和理解基本财务报表,包括公司的资产负债表、损益表和现金流量表。
此外,我们必须向纳斯达克证明,该委员会拥有并将继续拥有至少一名成员,该成员过去在金融或会计领域有工作经验,在会计领域有必要的专业认证,或其他类似的经验或背景,这些经验或背景会导致该个人在金融领域的成熟程度。董事会认定,Zhihong Tan、李勇和Ke Chen均符合美国证交会规定的“审计委员会财务专家”的资格。
提名委员会
我们成立了一个董事会提名委员会,由Zhihong Tan、李勇和Ke Chen组成,他们都是纳斯达克上市标准下的独立董事。先生。陈是提名委员会主席。提名委员会负责监督被提名担任我们董事会成员的人选。提名委员会审议由其成员、管理层、股东、投资银行家和其他人士确定的人选。
甄选董事提名人指引
《提名委员会章程》规定的挑选被提名人的准则一般规定,拟被提名人:
| ● | 应在商业、教育或公共服务方面表现出显着或显着的成就; | |
| ● | 应具备必要的才智、教育和经验,以便对董事会作出重大贡献,并为董事会的审议工作带来各种技能、不同的视角和背景;以及 | |
| ● | 应具备最高的道德标准、强烈的专业精神和为股东利益服务的强烈奉献精神。 |
提名委员会将审议与管理和领导经验、背景、诚信和专业精神有关的若干资格,以评估一个人是否有资格成为董事会成员。提名委员会可能需要某些技能或特征,如财务或会计经验,以满足董事会不时出现的具体需要,并将考虑其成员的总体经验和构成,以获得广泛和多样化的董事会成员组合。提名委员会不区分股东和其他人推荐的被提名人。
107
赔偿委员会
我们成立了一个董事会薪酬委员会,由Zhihong Tan、李勇和Ke Chen组成,他们都是纳斯达克上市标准下的独立董事。李先生是薪酬委员会主席。薪酬委员会的职责在我们的《薪酬委员会章程》中有所规定,包括但不限于:
| ● | 每年审查和批准与首席执行官薪酬有关的公司目标和目标,根据这些目标和目标评估首席执行官的业绩,并根据这些评估确定和批准首席执行官的薪酬(如果有的话); | |
| ● | 审查和批准我们所有其他执行官的薪酬; | |
| ● | 审查我们的高管薪酬政策和计划; | |
| ● | 实施和管理我们基于股权的激励薪酬计划; | |
| ● | 协助管理层遵守我们的委托书和年报披露要求; | |
| ● | 批准我们的行政人员和雇员的所有特别津贴、特别现金付款和其他特别薪酬和福利安排; | |
| ● | 如有需要,提交一份有关高管薪酬的报告,并列入我们的年度代理声明;和 | |
| ● | 对董事薪酬进行审查、评估,并酌情提出修改建议。 |
特别委员会
我们成立了一个董事会特别委员会,由Zhihong Tan和Ke Chen组成,他们都是纳斯达克上市标准下的独立董事。陈力先生为特别委员会主席。特别委员会的目的是审查和审议合并协议的条款和条件、合并计划以及合并协议所设想的交易,包括私有化交易。
董事会领导Structure和在风险监督中的作用
不存在要求合并或分离领导角色的政策,我们的管理文件也没有规定特定的结构。这使我们的董事会能够灵活地在任何时候为公司建立最合适的结构。
审计委员会积极参与监督我们的风险管理进程。审计委员会侧重于我们的一般风险管理战略,并确保管理层执行适当的风险缓解战略。此外,管理层向董事会所作的业务和战略介绍包括考虑我们业务的挑战和风险,董事会和管理层积极参与关于这些主题的讨论。此外,审计委员会的每个委员会都在其职责范围内考虑风险。
参与某些法律程序
据我们所知,在过去十年中,我们的董事或执行人员均未涉及以下任何一项:(1)在破产时或在破产前两年内,由该人作为普通合伙人或执行人员的任何企业提交或针对该企业提交的任何破产申请;(2)在刑事诉讼中被定罪或正在接受待决的刑事诉讼(不包括交通违法和其他轻微违法行为);(3)受任何命令、判决或命令的约束,而该命令、判决或命令随后未被撤销、暂停执行或撤销,任何有管辖权的法院,永久或暂时禁止、禁止、暂停或以其他方式限制其参与任何类型的业务、证券或银行活动;(4)被有管辖权的法院(在民事诉讼中)、证券交易委员会或商品期货交易委员会认定违反了联邦或州的证券或商品法,且该判决未被推翻、暂停或撤销。
108
薪酬委员会联锁及内部人士参与
我们没有任何人员目前或过去一年担任任何实体的薪酬委员会成员,而该实体有一名或多名人员在我们的董事会任职。
Code of Ethics
我们通过了适用于我们的董事、管理人员和雇员的Code of Ethics。我们已向美国证交会提交了一份《Code of Ethics》和《审计委员会章程》、《提名委员会章程》和《薪酬委员会章程》,并已在我们的网站http://ir.gsmg.co上公布。此外,根据我们的要求,我们将免费提供一份《Code of Ethics》。如欲索取Code of Ethics副本,可致函本公司,地址为中国北京市朝阳区酒仙桥拓芳营南路8号新华科技大厦Block B座22F,荣星新媒体集团控股有限公司。
D.雇员
截至2022年12月31日,我们有大约138名全职员工。下表列出截至2022年12月31日按职能分列的雇员人数细目:
| 部门 | 人数 | 百分比 共计 |
||||||
| 人力资源和一般管理部 | 8 | 5.8 | % | |||||
| 财务管理部 | 8 | 5.8 | % | |||||
| 业务发展及证券部 | 1 | 0.7 | % | |||||
| 公众及投资者关系部 | 3 | 2.2 | % | |||||
| 资讯科技及研究部 | 11 | 8.0 | % | |||||
| 综合内容营销部 | 27 | 19.5 | % | |||||
| CHEERS平台及电子商城部 | 80 | 58.0 | % | |||||
| 合计 | 138 | 100.00 | % | |||||
我们已根据PRC《劳动法》和《合同法》与所有员工签订了书面雇佣合同。我们的员工都不受集体谈判合同的约束。我们相信,我们与员工保持着良好的工作关系,在为我们的业务招聘员工方面,我们没有遇到任何重大的劳资纠纷或困难。
根据PRC的规定,我们参加各种政府法定社会保障计划,包括养老金缴款计划、医疗保险计划、失业保险计划、工伤保险计划、生育保险计划和住房公积金。根据PRC法律,我们必须按雇员工资、奖金和某些津贴的特定百分比向社会保障计划缴款,但不超过当地政府不时规定的最高金额。对未缴纳社会保险费的用人单位,可以责令其整改,在规定的期限内缴纳规定的保险费,并补缴滞纳金。
109
E.股权
下表列出了根据《交易法》第13d-3条的规定,截至本年度报告之日我们普通股的实益所有权的信息。
| ● | 每一位实益拥有我们的普通股的董事和执行人员;和 | |
| ● | 我们认识的每一个人实益拥有我们普通股的5.0%以上。 |
实益所有权包括对证券的投票权或投资权。除下述情况外,在符合适用的共有财产法的情况下,表中所列的人对显示为他们实益拥有的所有普通股拥有唯一的投票权和投资权。每个上市公司实益拥有权的百分比基于截至2023年2月28日已发行的68,124,402股普通股。
有关实益拥有权的资料已由每名董事、高级人员或拥有5%或以上普通股的实益拥有人提供。受益人所有权是根据证交会的规则确定的,通常要求受益人对证券拥有投票权或投资权。在计算下列人员实益拥有的普通股数量和该人员的所有权百分比时,每个人持有的在本年度报告日期后60天内可行使或可转换的期权、认股权证或可转换证券的基础普通股被视为未行使,但在计算任何其他人的所有权百分比时不被视为未行使。除本表脚注另有说明或适用的共有财产法另有规定外,所有被列入名单的人对其实益拥有的所有普通股拥有唯一的投票权和投资权。
| 普通股 实益拥有 |
||||||||
| 姓名和地址(1) | 编号 | 百分比 | ||||||
| Bing Zhang(2) | 19,712,863 | 28.9 | % | |||||
| Jia Lu(3) | 6,554,281 | 9.6 | % | |||||
| Ke Chen | 2,000 | * | % | |||||
| Zhihong Tan | 2,000 | * | % | |||||
| Yong Li | 2,000 | * | % | |||||
| 所有董事和执行干事(五人): | 26,273,144 | 38.6 | % | |||||
| 幸福星光有限公司(2) | 18,952,863 | 27.8 | % | |||||
| 乐享星光有限公司(3) | 6,554,116 | 9.6 | % | |||||
| 沙阿资本管理(4) | 7,557,251 | 11.1 | % | |||||
| Shah Capital Opportunity Fund LP(4) | 7,557,251 | 11.1 | % | |||||
| Himanshu H. Shah(4) | 7,557,251 | 11.1 | % | |||||
| * | 不到1% |
| (1) | 除另有说明外,二人的营业地址均为北京市朝阳区驼房营路8号新华科技大厦Block B座22层。 |
| (2) | Bing Zhang先生是荣耀星董事长兼首席执行官。张先生是Happy Starlight Limited的唯一股东和董事,该公司持有我们27.8%的普通股。 |
| (3) | Jia Lu先生是荣星传媒(北京)有限公司的董事和高级副总裁。卢先生是Enjoy Starlight有限公司的唯一股东和董事,该公司持有我们9.6%的普通股。 |
| (4) | Himanshu H. Shah先生是Shah Capital Management,Inc.的总裁兼首席投资官,该公司是Shah Capital Opportunity Fund LP的投资顾问,Shah先生也是该公司的管理成员。因此,Shah先生可被视为Shah Capital Opportunity Fund LP所持股份的实益拥有人,并拥有对这些证券的投票权和决定权。 |
110
F.披露登记人为收回错误赔偿而采取的行动
不适用。
项目7。主要股东及关联方交易
A.主要股东
请参阅"项目6。董事、高级管理人员和员工—— E.持股。”
B.关联交易
我们通过PRC子公司和VIE在中国开展业务。关于这些合同安排的说明,见"项目4。公司信息——组织Structure。
关于与有关各方的某些关系的说明,见"项目4。公司信息——答:公司的历史和发展。”
截至2021年12月31日和2022年12月31日,应付关联方款项包括:
12月31日, 2021 |
12月31日, 2022 |
|||||||
| (单位:千美元) | ||||||||
| TKK交响乐赞助商1 | 500 | - | ||||||
| $ | 500 | $ | - | |||||
截至2021年12月31日和2022年12月31日的余额分别为500,000美元和0美元,是从关联方借入的,用于公司的营运资金需求。这些余额是短期性质的,不计息,无担保,可按要求偿还。2022年2月16日,应付TKK Symphony Sponsor 1的50万美元已全部偿还。
可转换本票关联方
2019年9月6日,我们向保荐人发行了本金不超过1,100,000美元的无担保本票(“保荐书”),用于保荐人发放或将发放的流动资金贷款,据此,先前提供的350,000美元预付款被转换为保荐书项下的贷款。该票据没有利息,应于(i)企业合并完成或(ii)清算中较早的日期到期。根据保证书提供的贷款中最多1000000美元可转换为认股权证,每份认股权证使持有人有权获得一股普通股的一半,每份认股权证0.50美元。2019年9月和10月,我们在保证人说明项下又收到750000美元,使截至2019年12月31日在保证人说明项下的未清余额总额达到1100000美元。
111
2020年2月14日,我们与保荐人订立了一份经修订和重报的本票(“经修订的本票”),将到期日从业务合并结束之日延长至业务合并结束之日起一年。此外,根据经修订的保荐书,TKK授权保荐人将经修订的保荐书项下的未偿还余额1,400,000美元转换为普通股,转换价格相当于在该转换日期前十个交易日我们的普通股在纳斯达克或我们的普通股上市或报价的其他证券交易所或证券市场的成交量加权平均价格;但转换价格不得低于5.00美元。在2021年2月14日,即经修订的保荐书的到期日,经修订的保荐书自动转换为28万股普通股,转换价格为每股5.00美元。
就业协议
见"项目6。董事、高级管理人员和雇员—— B.薪酬——雇佣协议。”
C.专家和律师的利益
不适用。
项目8。财务信息
A.合并报表和其他财务资料
见"项目18。财务报表。”
法律程序
有时,我们可能会卷入在正常经营过程中出现的各种诉讼和法律程序。然而,诉讼受到固有的不确定性的影响,这些或其他事项的不利结果可能会不时出现,可能会损害我们的业务。据管理层所知,目前没有任何针对我们的重大法律诉讼。在任何程序中,我们的任何董事、高级职员或持有我们有投票权证券百分之五(5%)以上的任何实益股东都不是我们的反方或对我们有不利的重大利益。
股息政策
我们目前预计在可预见的未来不会宣布或支付此类股息,并预计将所有未分配收益再投资以扩大我们的业务,我们的管理层认为这将对我们的股东最有利。如有派息,将由董事会酌情决定,董事会可能会考虑我们的经营业绩、财务状况、资本需求和收购策略等因素。
B.重大变化
除本年度报告其他部分所披露的情况外,自本年度报告所载经审计的合并财务报表之日起,我们未发生任何重大变化。
112
项目9。要约和上市
A.报价和上市详情。
我们的普通股和认股权证分别以GSMG和GSMGW的代码在纳斯达克资本市场上市。合并完成后,公司的股份和权益不再在纳斯达克资本市场交易,交易代码分别为“TKKSU”和“TKKSR”。
分配计划
不适用。
C.市场
我们的普通股和认股权证分别以GSMG和GSMGW的代码在纳斯达克资本市场上市。
D.出售股东
不适用。
E.稀释
不适用。
F.发行费用
不适用。
项目10。补充资料
A.股本
不适用。
B.组织章程大纲和章程细则
我们以参考方式将第二份经修订及重订的组织章程大纲的说明,纳入2020年2月21日提交证监会的表格8-K的附件 3.1。
C.重大合同
2021年2月22日,我们与Univest Securities,LLC(“Univest”)签订了一份承销协议(“承销协议”),作为协议中指定的几家承销商(统称“承销商”)的代表,根据该协议,我们同意发行和出售(i)3,810,976股普通股(“发售股份”),每股面值0.0001美元(“普通股”)和(ii)认股权证(“认股权证”),以通过承销公开发行(“公开发行”)购买总计3,810,976股普通股(“认股权证股份”)。此外,我们授予承销商45天的期权(“超额配股权”),以购买最多571,646股普通股(“期权股”),以及认股权证,以公开发行价格(减去承销折扣和佣金)购买最多571,646股普通股。2021年2月24日,我们以每股3.28美元的公开发行价格和相关认股权证完成了公开发行。在扣除承销折扣和佣金及其他估计发行费用后,公开发行的净收益约为1130万美元。Univest Securities,LLC是此次发行的唯一账簿管理人。
113
于2021年3月25日,承销商就我们于2021年2月24日进行的公开发售(“超额配股权”)完全行使并完成了购买额外571,646股公司普通股的超额配股权,以及购买最多571,646股公司普通股的认股权证。额外的普通股和认股权证以每股普通股和相关认股权证3.28美元的公开发行价格出售。在扣除承销折扣后,超额分配活动的额外净收益约为170万美元。
2021年8月25日,我们与一家机构投资者签订了认购协议(“认购协议”),根据该协议,公司同意出售最多2,857,142股普通股(“普通股”),并认股权证购买最多2,857,142股普通股,总收益不超过约10,000,000美元。在此次发行中出售的每一股普通股都将附有一份认股权证(“认股权证”),可用于以每股4.40美元的行权价购买一股普通股。每股普通股和随附的认股权证以3.5美元的固定合并购买价格出售。每份认股权证可立即行使,并于发行日期一周年届满。普通股和认股权证的购买将在投资者选择时分批进行,但前提是每批普通股和认股权证的购买额至少为1000000美元。投资者必须在2021年9月30日之前购买全部10,000,000美元的普通股和认股权证。根据认购协议,2021年8月30日,投资者购买了价值2,000,000美元的普通股和认股权证,用于第一批571,428股普通股和认股权证,用于购买571,428股普通股。然而,截至2021年9月30日,投资者尚未选择根据认购协议购买剩余的普通股和认股权证。
除上述情况外,我们并没有在正常业务过程中和“项目4”中所述以外订立任何重要合同。本公司的资料”或本年度报告的其他部分。
D.外汇管制
见"项目3。关键信息——风险因素——与在中国做生意有关的风险。”
E.税收
开曼群岛税务考虑
以下是对投资于本公司证券的某些开曼群岛所得税后果的讨论。讨论是对现行法律的一般总结,可能会有前瞻性和追溯性的修改。它不是作为税务建议,不考虑任何投资者的具体情况,也不考虑开曼群岛法律以外的税务后果。
根据开曼群岛现行法律
在开曼群岛,就我们的证券支付股息和资本将不需要缴税,向任何证券持有者支付股息或资本将不需要扣缴税款,处置证券所得的收益也不需要缴纳开曼群岛所得税或公司税。开曼群岛目前没有所得税、公司或资本利得税,也没有遗产税、遗产税或赠与税。
就发行我们的普通股或就该等股份的转让文书而言,无须缴付印花税。
114
本公司已根据开曼群岛的法律成立为一家获豁免的有限责任公司,因此已申请并收到开曼群岛财政司以以下形式作出的承诺:
税收减免法
(经修订)
关于税务减让的承诺
根据《税务减免法》(经修订)第6条的规定,财政司与Glory Star New Media Group Holdings Limited(“本公司”)承诺:
| 1. | 本公司或其经营活动不得适用本群岛以后颁布的任何对利润、收入、收益或升值征税的法律;及 |
| 2. | 此外,对利润、收入、收益或增值,或属于遗产税或遗产税性质的,无须课税: |
| 2.1 | 在公司的股份、债权证或其他债务上或就公司的股份、债权证或其他债务而言;或 |
| 2.2 | 通过全部或部分预扣《税务减免法》(经修订)第6(3)节所界定的任何相关付款。 |
这些特许权的期限为自本合同签订之日起20年。
香港税务
2018年3月21日,香港立法会通过《2017年税务(修订)(第7号)条例草案》(《条例草案》),引入两级利得税率制度。该法案于2018年3月28日签署成为法律,并于次日在宪报刊登。在两级利得税率制度下,合资格集团实体的首200万港元(HKD)的利润将按8.25%课税,而200万港元以上的利润将按16.5%课税。
中华人民共和国税务
根据《PRC企业所得税法》及其实施细则,在PRC境外设立并在PRC内设有“事实上的管理机构”的企业被视为居民企业,应按其所得的25%的税率缴纳企业所得税。《实施细则》将“事实上的管理机构”定义为对企业的业务、生产、人员、账目和财产实行全面、实质性控制和全面管理的机构。2009年4月,国家税务总局发布了一份名为“82号文”的通知,为确定境外注册成立的中国控股企业的“事实上的管理机构”是否位于中国提供了某些具体标准。虽然本通知仅适用于由PRC企业或PRC企业集团控制的离岸企业,而不适用于由PRC个人或外国人控制的企业,但该通知所载的标准可能反映了国家税务总局关于在确定所有离岸企业的税务居民身份时应如何适用“事实上的管理机构”标准的总体立场。根据第82号通知,PRC企业或PRC企业集团控制的境外注册企业,只有在满足以下所有条件的情况下,其“事实上的管理机构”在中国境内,才被视为PRC税务居民:(一)日常经营管理的主要地点在PRC;(二)有关企业财务和人力资源事项的决定由PRC的组织或人员作出或须经其批准;(三)企业的主要资产、会计账簿和记录、公司印章,(四)至少有50%的有表决权的董事会成员或高级管理人员惯常居住在PRC。
115
我们不认为我们满足了上述所有条件。我们是一家在开曼群岛PRC以外注册成立的控股公司。作为一家控股公司,我们的关键资产是我们在子公司的所有权权益,我们的关键资产位于PRC境外,我们的记录(包括董事会决议和股东决议)保存在境外。出于同样的原因,我们认为我们在中国境外的其他实体也不是PRC的居民企业。然而,企业的税务居民身份须由PRC税务机关决定,对“事实上的管理机构”一词的解释仍存在不确定性。不能保证PRC政府最终会采纳这一观点。
但是,如果PRC税务机关在企业所得税方面认定我们是PRC居民企业,我们可能需要从支付给非居民企业股东的股息中预扣10%的预扣税。10%的税率可以通过适用的税收协定或中国与我们的股东的管辖权之间的类似安排而降低。例如,对于有资格享受中国内地与香港税收协定优惠的股东,如果满足相关条件,股息税率将降至5%。此外,非居民企业股东在出售或以其他方式处置股份所获得的收益,如被视为来自PRC境内,可被征收10%的PRC税。目前尚不清楚,如果我们被确定为PRC居民企业,我们的非中国个人股东是否需要为这些非中国个人股东获得的股息或收益缴纳任何PRC税。如果对这些股息或收益适用PRC税,则一般适用20%的税率,除非根据适用的税收协定可以降低税率。然而,如果Glory Star Holdings有限公司被视为PRC居民企业,那么Glory Star Holdings有限公司的非中国股东是否能够要求享受其税收居住国与PRC之间的任何税收协定的好处,这一点也不清楚。
如果我们不被视为PRC居民企业,非PRC居民的股东将不会因我们分配的股息或出售或以其他方式处置我们的股份而获得的收益而被征收PRC所得税。但是,根据第7号文和国家税务总局第37号文,非居民企业通过转让应税资产,特别是PRC居民企业的股权,间接处置境外控股公司的股权进行“间接转让”的,作为转让方的非居民企业或者直接拥有该应税资产的受让人或者PRC实体,可以向有关税务机关报告该间接转让情况。根据“实质重于形式”的原则,如果境外控股公司缺乏合理的商业目的,并且是为了减少、避免或推迟PRC税收而设立的,PRC税务机关可以不予考虑。因此,这种间接转让所产生的收益可能需要缴纳PRC企业所得税,转让方有义务代扣适用的税款,目前PRC居民企业股权转让的税率为10%。我们和我们的非中国居民投资者可能面临被要求提交申报表并根据第7号通知和国家税务总局第37号通知被征税的风险,我们可能需要花费宝贵的资源来遵守第7号通知和国家税务总局第37号通知,或者确定我们不应根据这些通知被征税。
重要的美国联邦所得税考虑因素
以下摘要并不是对适用于您的美国联邦所得税后果的详细描述,如果您受到美国联邦所得税法律的特殊待遇,包括如果您是:
| ● | 银行; | |
| ● | 金融机构; | |
| ● | 保险公司; | |
| ● | 受监管的投资公司; |
116
| ● | 房地产投资信托; | |
| ● | 证券或货币交易商; | |
| ● | 已选择按市价计值方法对贵方证券进行会计处理的人; | |
| ● | 美国侨民或美国前长期居民; | |
| ● | 政府或机构或其工具; | |
| ● | 免税组织; | |
| ● | 对替代性最低税负有责任的人; | |
| ● | 作为对冲、综合或转换交易、推定出售或跨式交易的一部分而持有我们的普通股的人; | |
| ● | 拥有或被视为拥有我们股票10%或以上(通过投票或价值)的人; | |
| ● | 根据行使任何雇员购股权或以其他方式作为补偿而取得我们的普通股的人; | |
| ● | 为美国联邦所得税目的的合伙企业或其他转手实体; | |
| ● | “功能货币”不是美元的人;或 | |
| ● | 因在适用的财务报表中确认我们普通股的任何毛收入项目而被要求加速确认的人。 |
下面的摘要并没有详细描述根据您的具体情况对您产生的所有美国联邦所得税后果,也没有实质性地涉及对净投资收入、美国联邦遗产税和赠与税的联邦医疗保险税收或任何州、地方或非美国税法的影响。如果您正在考虑购买、拥有或处置我们的普通股,您应该咨询您自己的税务顾问,考虑到您的特殊情况以及其他美国联邦税法和任何其他税收管辖区的法律所产生的任何后果,美国联邦所得税对您的影响。
适用于美国普通股股东的重大税务后果
以下摘要说明截至本年度报告之日,我们普通股的所有权对美国联邦所得税的重大影响。下文所述讨论仅适用于作为资本资产持有普通股的美国持有者(“美国持有者”)。如本文所使用的,“美国持有人”一词是指普通股份的受益所有人,该普通股份用于美国联邦所得税的目的:
| ● | 美国公民或居民; | |
| ● | 在美国、其任何州或哥伦比亚特区的法律中或根据其法律创建或组建的公司(或为美国联邦所得税目的被视为公司的其他实体); | |
| ● | 不论其来源如何,其所得均须缴纳美国联邦所得税的遗产;或 | |
| ● | 如果信托受美国境内法院的主要监督,并且一名或多名美国人拥有或有权控制信托的所有重大决定,或者根据适用的美国财政部条例,该信托拥有有效的选举,可被视为美国人。 |
117
下文的讨论以经修订的1986年《国内税收法》或《国内税收法》的规定以及截至本年度报告之日的有关条例、裁决和司法裁决为基础,相关当局可能被替换、撤销或修改,从而导致不同于下文讨论的美国联邦所得税后果。
如果合伙企业持有我们的普通股,合伙人的税务待遇一般取决于合伙人的地位和合伙企业的活动。如果你是持有我们普通股的合伙企业的合伙人,你应该咨询你的税务顾问。
对我们普通股的股息和其他分配征税
根据下文“被动外国投资公司”项下的讨论,普通股的分配总额(包括为反映PRC预扣税款而预扣的任何金额)将作为股息征税,但以根据美国联邦所得税原则从我们的当期或累计收益和利润中支付的金额为限。这些收入(包括预扣税款)将包括在你实际收到或推定收到的当日的普通收入中,如果是普通股。这些股息将不符合《守则》所允许的公司所获股息扣除的条件。下面的讨论假定所有的股息将以美元支付。
根据适用的限制(包括最低持有期要求),美国非公司投资者从合格外国公司获得的股息可被视为“合格股息收入”,但须降低税率。外国公司从该公司获得的在美国已建立的证券市场上易于交易的普通股的股息,被视为合格的外国公司。美国财政部的指导意见指出,我国的普通股(在纳斯达克资本市场上市)可以在美国成熟的证券市场上随时交易。因此,我们相信,我们为普通股支付的任何股息都将有资格享受这些降低的税率。合格的外国公司还包括有资格享受与美国签订的某些所得税协定的好处的外国公司。如果根据《企业所得税法》,我们被视为PRC居民企业,尽管我们不能保证,我们可能有资格享受美国和PRC之间的所得税条约的好处,该条约下称《条约》,如果我们有资格享受这些好处,我们支付的普通股股息将有资格享受降低的税率。见上文“中华人民共和国税务”。鉴于你的具体情况,你应该就这些规则的适用问题咨询你自己的税务顾问。
如果我们在支付股息的纳税年度或上一个纳税年度是PFIC,那么非公司美国股东将不能享受从我们收到的任何股息的减税税率。见下文“被动外国投资公司”。
如果根据《企业所得税法》,我们被视为PRC居民企业,您可能需要为支付给您的普通股股息缴纳PRC预扣税。见上文“中华人民共和国税务”。在这种情况下,根据某些条件和限制,PRC的股息预扣税将被视为外国税款,可以抵减你的美国联邦所得税负债。为计算外国税收抵免,普通股股息将被视为外国来源收入,一般构成被动类别收入。但是,在某些情况下,如果您持有普通股的时间少于规定的最短期限,在此期间您不会受到损失风险的保护,或者您有义务支付与股息相关的款项,您将不能获得外国税收抵免,以抵减对普通股股息征收的任何PRC预扣税款。如果你有资格享受条约福利,PRC的任何红利税都不能抵减你的美国联邦所得税负债,但所扣税率超过适用的条约税率。管理外国税收抵免的规则是复杂的。我们促请你咨询你的税务顾问,了解在你的特殊情况下外国税收抵免的可获得性。
118
如果任何分配的金额超过我们根据美国联邦所得税原则确定的某一纳税年度的当期和累计收益和利润,该分配将首先被视为资本的免税返还,从而导致普通股的调整基础减少(从而增加您在随后处置普通股时确认的收益或损失金额),超过调整基础的余额将作为出售或交换时确认的资本收益征税,如下文“资本利得税和普通股处置”中所述。因此,任何超过我们当前和累积收益和利润的分配通常不会产生外国来源的收入,并且您通常不能使用对这些分配征收的任何PRC预扣税所产生的外国税收抵免,除非该抵免可以用于(在适用的限制下)对适当类别的其他外国来源的收入应缴纳的美国联邦所得税进行外国税收抵免。然而,我们并不期望根据美国联邦所得税原则来保持收益和利润。因此,你应该预期,分配一般将报告为股息(如上所述)。
作为按比例分配给我们所有股东的普通股或普通股认购权的一部分,一般不需要缴纳美国联邦所得税。因此,这些分配通常不会产生外国来源的收入,并且通常您将不能使用任何PRC对分配征收的预扣税款所产生的外国税收抵免,除非该抵免可以用于(在适用的限制下)对适当类别的其他外国来源的收入应缴纳的美国联邦所得税进行外国税收抵免。
资本利得税及普通股处置
就美国联邦所得税而言,您将确认普通股的任何出售、交换或其他处置的应税收益或损失,其金额等于普通股实现的金额(包括为反映PRC预扣税款而预扣的任何金额)与您在普通股中的计税基础之间的差额。根据下文“被动外国投资公司”下的讨论,这种收益或损失通常是资本收益或损失。持有一年以上的资本资产所产生的个人资本收益有资格享受减税。资本损失的可扣除性受到限制。您确认的任何收益或损失一般将被视为美国来源的收益或损失。但是,如果我们在《企业所得税法》中被视为PRC居民企业,并且对任何收益征收PRC税,并且如果您有资格享受《条约》规定的利益,您可以选择将该收益视为《条约》规定的PRC来源收益。如果你没有资格享受《条约》的好处,或者你没有选择将任何收益视为PRC的来源,那么你可能不能使用因处置我们的普通股而征收的任何PRC税收而产生的外国税收抵免,除非该税收抵免可以用于(在适用的限制下)对来自外国的其他收入的应缴税款。如果为本条约的目的,你是美国居民,而且你符合本条约规定的其他要求,你就有资格享受本条约的好处。由于确定你是否有资格享受《条约》的福利是实事求是的,而且取决于你的具体情况,因此特别敦促你就你是否有资格享受《条约》的福利咨询你的税务顾问。我们还敦促你咨询你的税务顾问,了解在处置我们普通股的收益被征收任何PRC税时的税务后果,包括外国税收抵免的可获得性,以及在你的特殊情况下选择将任何收益视为PRC来源。
医疗保险税
某些个人、遗产或信托的美国股东,其收入超过某些门槛,一般须就其全部或部分净投资收入征收3.8%的税,其中可能包括其股息收入毛额和处置我们普通股的净收益。
119
认股权证的拥有、处分及行使
认股权证的行使
美国股东一般不会因行使现金认股权证而在购买普通股(“认股权证股份”)时确认收益或损失。美国持有人在行使认股权证时收到的认股权证股份的初始税基,将等于(i)美国持有人在认股权证中的税基,加上(ii)美国持有人在行使认股权证时支付的行权价格之和。美国持有人在行使认股权证时收到的认股权证份额的持有期将从认股权证行使后的第二天开始。
认股权证的处置
根据PFIC规则,在出售或以其他方式处置认股权证时,美国持有人一般会在出售或以其他方式处置的认股权证中确认资本收益或损失,其金额等于现金数额加上所收到的任何财产的公平市场价值与该美国持有人的税基之间的差额。这种资本利得或损失将是长期资本利得或损失,如果在出售或其他应税处置时,美国持有人对认股权证的持有期超过一年。优惠税率适用于非公司美国持有者的长期资本收益。目前,对于作为美国联邦所得税目的的公司应纳税的美国持有者的长期资本收益,没有优惠税率。资本损失的扣除受到《守则》的重大限制。
不经行使的认股权证的有效期届满
根据PFIC的规定,在认股权证失效或到期时,美国持有人将在认股权证中确认与该美国持有人的税基相等的损失。任何此类损失一般都将是资本损失,如果在失效或到期时,美国持有人对认股权证的持有期超过一年,则将是长期资本损失。资本损失的扣除受到《守则》的重大限制。
对认股权证的调整
该认股权证就可行使认股权证的认股权证股份数目或在某些情况下对认股权证的行使价格作出调整作出规定。根据下文讨论的PFIC规则,具有防止权证持有人利益被稀释作用的调整一般不会对美国持有人征税。然而,如果调整具有增加美国持有人在我们的资产或收益和利润中的比例权益的效果,则调整可被视为对美国持有人的建设性分配。根据下文讨论的PFIC规则,任何此类建设性分配都将根据上文标题“对我们普通股的股息和其他分配征税”下所述的规则征税。
被动外国投资公司(“PFIC”)
根据我们的收入和资产的预计构成以及我们的资产的估值,我们预计不会成为我们当前应纳税年度的PFIC,我们也不希望将来成为PFIC,尽管在这方面无法保证。
一般而言,我们会成为任何课税年度的PFIC,在该年度内:
| ● | 我们的总收入中至少有75%是被动收入;或者 | |
| ● | 我们资产价值的至少50%(按季度确定)可归属于产生或为产生被动收入而持有的资产。 |
120
为此目的,被动收入一般包括股息、利息、特许权使用费和租金(不包括特许权使用费和在积极从事某项贸易或业务中产生的、并非来自相关人员的租金)。此外,现金和其他易于转换为现金的资产通常被视为被动资产。如果我们拥有另一家公司至少25%的股份(按价值计算),就PFIC测试而言,我们将被视为拥有我们在另一家公司资产中的比例份额,并获得我们在另一家公司收入中的比例份额。虽然我们并不期望成为私人融资中心,但就私人融资中心的规则而言,我们与我们的可变利益实体之间的合约安排将如何处理,并不完全清楚。如果为了美国联邦所得税的目的(例如,由于PRC有关当局不尊重这些安排),我们被确定不拥有我们的可变利益实体的股票,我们可能被视为PFIC。
我们是否是PFIC的决定是每年作出的。因此,由于我们的资产或收入构成的变化,我们有可能在当前或任何未来的纳税年度成为PFIC。如果我们是一个PFIC在任何纳税年度,你持有我们的普通股,你将受到以下讨论的特别税务规则。
如果在你持有我们的普通股的任何纳税年度,我们是私人股本投资公司,而你没有及时作出按市值计价的选择(如下文所述),你将受到特别税务规则的约束,涉及任何收到的“超额分配”以及从出售或其他处置(包括普通股质押)中获得的任何收益。在某一应纳税年度收到的分配,如超过前三个应纳税年度或你持有普通股期间收到的平均年度分配的125%,将被视为超额分配。根据这些特别税收规则:
| ● | 超额分配或收益将在你持有普通股期间按比例分配; | |
| ● | 分配给当前应纳税年度的金额,以及在我们作为PFIC的第一个应纳税年度之前的任何应纳税年度的金额,将被视为普通收入;和 | |
| ● | 分配给其他年度的款额,须按适用于该年度的个人或公司的最高有效税率缴税,而一般适用于少缴税款的利息费用,将就每一有关年度的应占税款征收。 |
虽然我们是不是私人股本投资公司的决定是每年作出的,但如果我们是你持有我们普通股的任何一个纳税年度的私人股本投资公司,你在该年度和你持有普通股的随后每一年一般都要遵守上述特别税务规则(即使我们在随后这几年不符合私人股本投资公司的资格)。然而,如果我们不再是私人股本投资公司,你方可作出特别选择,确认收益,就好像你方的普通股是在我们是私人股本投资公司的最后一个课税年度的最后一天售出一样,以避免私人股本投资公司规则的持续影响。我们促请你就这次选举咨询你自己的税务顾问。
在某些情况下,你可以对你的普通股作出按市值计价的选择,而不是受上述特别税务规则的约束,但这些普通股应被视为“可上市股票”。如果普通股在“合格交易所或其他市场”(在适用的财政部条例的含义内)定期交易,普通股一般将被视为可上市股票。根据现行法律,普通股票的美国持有者可以选择按市值计价,因为这些股票是在纳斯达克资本市场上市的,纳斯达克资本市场是一个合格的交易所。
如果你作出有效的按市价计算的选择,我们是私人股本投资公司的每一年,你将把你的普通股在年底的公允市场价值超过你的调整税基的部分作为普通收入列入普通股。你将有权在每一有关年度扣除你在普通股上的经调整税基超过其在年底的公平市价的部分,作为普通亏损,但只限于先前因按市价计算的选举而计入收入的净额。如果你作出有效的按市价计算的选择,在我们是PFIC的每一年:(一)你在出售或以其他方式处置你的普通股时确认的任何收益将被视为普通收入;(二)任何损失将被视为普通损失,但仅限于先前因按市价计算的选择而计入收入的净额。
121
你在普通股的调整税基将增加任何收入的金额,并减少任何扣除的金额,根据盯市规则。如果你作出按市价计算的选择,该选择将在作出该选择的纳税年度及其后的所有纳税年度生效,除非普通股不再在有资格的交易所定期交易,或美国国税局或IRS同意撤销该选择。然而,由于不能对我们可能拥有的任何较低级别的私人融资平台进行按市值计价的选择(如下文所述),就你在任何此类较低级别的私人融资平台的间接权益而言,你方一般将继续受制于上文所讨论的特别税务规则。我们促请你谘询你的税务顾问,以了解是否可以进行按市价计算的选举,以及在你的特殊情况下进行选举是否可取。
或者,你有时可以选择将PFIC视为《守则》第1295条规定的“合格选举基金”,从而避免上述规则。然而,这一选择不适用于你,因为我们不打算遵守允许你进行这次选举所必需的要求。
此外,如果我们是支付股息的纳税年度或上一个纳税年度的私人股本投资公司,非公司美国股东将不能享受从我们收到的任何股息的减税税率。如果你在我们被归类为私人股本公司的任何年份持有我们的普通股,你通常需要提交IRS表格8621。
如果我们是PFIC在你持有我们的普通股的任何纳税年度,而我们的任何非美国子公司也是PFIC,为适用本规则的目的,你将被视为拥有较低级别PFIC股份的一定比例(按价值计算)。我们促请你就PFIC规则适用于我们任何子公司的问题咨询你的税务顾问。
如果我们在任何纳税年度被视为私人股本投资公司,请咨询您的税务顾问关于持有普通股的美国联邦所得税后果。
信息报告和备份扣留
一般而言,信息报告将适用于在美国境内(在某些情况下,在美国境外)支付给你的普通股的股息以及出售、交换或以其他方式处置我们普通股的收益,除非你是豁免收款人。如果您未能提供纳税人识别号或豁免身份证明,或者在支付股息的情况下,如果您未能报告全部股息和利息收入,这些付款可能需要缴纳备用预扣税。
如果及时向IRS提供所需信息,根据备用预扣税规则预扣的任何金额将被允许作为退款或抵减美国联邦所得税负债。
根据2010年《雇佣激励恢复就业法》,某些美国股东必须报告与普通股相关的信息,但有某些例外情况(包括某些金融机构账户中持有的普通股的例外情况),方法是附上完整的IRS表格8938,“特定外国金融资产报表”,以及他们持有普通股的每一年的纳税申报表。我们促请你就有关你持有普通股的资料报告规定,咨询你自己的税务顾问。
122
F.股息和支付代理
不适用。
G.专家发言
不适用。
H.展示文件
我们之前已向SEC提交了经修订的F-1表格(文件编号333-226423和333-256688)、S-8表格(文件编号333-237788)和F-3表格(文件编号333-248554)的注册声明。
我们必须遵守《交易法》的定期报告和其他信息要求。根据《交易法》,我们需要向SEC提交报告和其他信息。具体来说,我们需要在每个财政年度结束后的四个月内每年提交一份20-F表格。报告和其他资料的副本一经提交,可免费查阅,并可按规定的费率在美国证交会维护的公共参考设施取得,地址为Judiciary Plaza,100 F Street,N.E.,Washington,D.C. 20549。公众可致电美国证交会1-800-SEC-0330,获取有关华盛顿特区公共资料室的信息。SEC还在http://www.sec.gov网站上维护一个网站,其中包含报告、代理声明和信息声明,以及关于使用EDGAR系统向SEC提交电子文件的注册人的其他信息。作为一家外国私人发行商,我们不受《交易法》规则的约束,该规则除其他事项外,规定了向股东提供代理声明和内容,我们的执行人员、董事和主要股东不受《交易法》第16条中的报告和短期利润回收条款的约束。
一、附属信息
关于我们的子公司的清单,见"项目4。公司信息——组织Structure。
J.提交证券持有人的周年报告
如果我们被要求根据表格6-K的要求向证券持有人提供年度报告,我们将按照EDGAR档案手册以电子格式向证券持有人提交年度报告。
项目11。关于市场风险的定量和定性披露
外汇风险
我们的功能货币是人民币。人民币对美元的任何重大价值重估,都可能在很大程度上相当于我们未来以美元计价的普通股的价值和股息。见"项目3。关键信息—— D.风险因素——与在中国做生意有关的风险——美元和人民币之间的外币汇率波动可能会对我们的财务状况产生不利影响。关键信息——风险因素——与在中国做生意有关的风险—— PRC法律对外汇的限制可能会限制我们将经营活动产生的现金兑换成外币的能力,并可能对贵公司的投资价值产生重大不利影响。
集中风险
我们的销售对象是主要位于中国的客户。截至2020年12月31日、2021年和2022年12月31日止年度,一个主要客户分别占公司总收入的14%、20%和21%。
截至2021年12月31日,前五大客户占应收账款净额的比例为80%,各客户占应收账款净额的比例分别为24%、21%、20%、9%和7%。截至2022年12月31日,前五大客户占应收账款净额的比例为76%,各客户占应收账款净额的比例分别为27%、19%、11%、10%和9%。
123
截至2021年12月31日和2022年12月31日,一家主要供应商占应付账款的比例分别为53%和30%。
与我们的VIE结构有关的风险
PRC法律制度的不确定性可能会限制我们执行合同安排的能力。如果发现法律结构和合同安排违反PRC法律法规,PRC政府可以:
| ● | 撤销构成VIE合同的协议; | |
| ● | 吊销我们PRC子公司和VIE的营业执照和经营许可证; | |
| ● | 要求我们终止或限制与增值电信服务业务及某些其他业务有关的业务; | |
| ● | 限制我们收取增值电信服务业务和某些其他业务产生的收入的权利; | |
| ● | 限制或禁止我们使用海外发行的收益为霍尔果斯和星翠灿的业务和运营提供资金; | |
| ● | 对我们征收罚款和/或没收他们认为是通过不合规的操作获得的收益; | |
| ● | 施加额外的条件或要求,我们的PRC子公司和VIE可能无法遵守; | |
| ● | 要求我们或我们的PRC子公司和VIE重组相关的所有权结构或业务;或 | |
| ● | 采取其他可能对我们的业务有害的监管或执法行动。 |
如果PRC政府采取上述任何行动,我们开展咨询服务业务的能力可能会受到负面影响。因此,我们可能无法在合并财务报表中合并我们的VIE,因为我们可能失去指导VIE及其子公司的活动的能力,这些活动对VIE的经济业绩影响最大,我们可能失去从VIE获得经济利益的能力。
项目12。股票以外证券的说明
A.债务证券
不适用。
认股权证和权利
不适用。
C.其他证券
不适用。
D.美国存托股份
不适用。
124
第二部分
项目13。违约、股息拖欠和违约
没有。
项目14。对证券持有人权利和收益使用的重大修改
见"项目10。附加信息”,用于描述证券持有人的权利,保持不变。
2020年9月,我们在F-3表格(档案编号333-248554)上提交了一份登记声明,该声明于2020年9月14日宣布生效,以发行普通股、优先股、债务证券、认股权证、由普通股、优先股、债务证券或认股权证组成的单位,或这些证券的任何其他组合,总发行价格最高可达130,000,000美元。我们打算按照我们在F-3表格(档案编号333-248554)的登记说明中所披露的方式,使用这些发行的净收益。
2021年2月,我们完成了一次承销公开发行,发行和出售了总计3,810,976股普通股,以及购买3,810,976股普通股的认股权证,公开发行价格为每股3.28美元,并附有认股权证(“公开发行”)。此外,我们给予承销商45天的期权(“超额配股权”),以购买最多571,646股普通股,以及认股权证,以公开发行价格(减去承销折扣和佣金)购买最多571,646股普通股。在扣除承销折扣和佣金及其他估计发行费用后,公开发行的净收益约为1130万美元。Univest Securities,LLC是此次发行的唯一账簿管理人。
2021年3月25日,就公开发售而言,承销商完全行使超额配股权,以公开发售价格购买额外的571,646股普通股,连同认股权证购买最多571,646股普通股(“超额配股权”)。在扣除承销折扣后,超额分配活动的额外净收益约为170万美元。
2021年6月,我们以经修订的F-1表格(档案编号333-256688)提交了一份登记声明,该声明于2021年6月21日宣布生效,内容涉及其中指明的售股股东转售合计56,810,652股普通股。售股股东购买了与我们的首次公开发行和股票交易协议所设想的业务合并有关的可登记证券。我们将不会从出售普通股的股东的出售中获得任何收益。出售普通股的所有收益将直接支付给出售股东。
我们的公开发行费用约为120万美元,其中包括公开发行的承销佣金约为88万美元,其他费用和开支约为32万美元。所有交易费用均不包括支付给本公司董事或高级职员或其联系人、持有本公司股本证券10%或以上的人或本公司的关联公司的费用。我们从公开发售中获得的净收益没有直接或间接支付给我们的任何董事或高级职员或他们的联系人、拥有我们10%或以上股本证券的人或我们的关联公司。
本公司拟将公开发售所得款项净额主要用作营运资金及其他一般公司用途。截至本报告提交之日,公开发售所得净额中约有1000万美元用作周转资金,用于预付我们的营销和用户获取活动及一般公司用途。我们仍打算使用F-3注册声明中披露的公开发售的剩余收益。支付的款项不是(i)直接或间接支付给发行人的董事、高级职员、普通合伙人或其联系人;支付给拥有发行人任何类别股本证券10%或以上的人;以及支付给发行人的关联公司;或(ii)直接或间接支付给他人。截至2021年12月31日,公开发售所得款项净额的用途并无变动。
二-1
项目15。控制和程序
披露控制和程序
披露控制和程序是一种控制和其他程序,旨在确保我们根据《交易法》提交或提交的报告中要求披露的信息在SEC规则和表格规定的时间段内得到记录、处理、汇总和报告。披露控制和程序包括但不限于旨在确保根据《交易法》提交或提交的公司报告中要求披露的信息被积累并传达给管理层,包括我们的首席执行官和首席财务官,以便及时就要求披露做出决定的控制和程序。
根据《交易法》第13a-15条和第15d-15条的要求,我们的首席执行官和首席财务官对截至2022年12月31日我们的披露控制和程序的设计和运作的有效性进行了评估。基于这一评估,在首席执行官和首席财务官的参与下,我们的管理层得出结论,由于下文所述的重大缺陷,截至2022年12月31日,我们的披露控制和程序不有效。我们将采取补救措施,以解决我们的披露控制和程序中的重大缺陷,如下文“财务报告内部控制的变化”中所述。
管理层关于财务报告内部控制的年度报告
我们的管理层负责根据经修订的1934年《证券交易法》,对财务报告建立和维持规则13a-15(f)和15d-15(f)所界定的适当内部控制。我们对财务报告的内部控制是一个过程,旨在为我们的财务报告的可靠性提供合理保证,并根据美利坚合众国公认会计原则(GAAP)为外部目的编制财务报表,其中包括以下政策和程序:
| (1) | 有关保持记录,以合理的细节,准确和公平地反映交易和处置我公司的资产; |
| (2) | 提供合理的保证:交易记录是必要的,以便按照公认会计原则编制合并财务报表,并且我们公司的收支只是根据我们的管理层和董事的授权进行的;以及 |
| (3) | 就防止或及时发现可能对合并财务报表产生重大影响的未经授权收购、使用或处置本公司资产提供合理保证。 |
财务报告的内部控制由于其固有的局限性,可能无法防止或发现错报。此外,对今后各期的任何成效评估的预测都可能受到以下风险的影响:由于条件的变化,控制可能变得不充分,或政策或程序的遵守程度可能恶化。
根据2002年《萨班斯-奥克斯利法》第404节和美国证券交易委员会颁布的相关规则的要求,我们的管理层(包括首席执行官和首席财务官)使用Treadway委员会发起组织委员会(简称COSO)发布的报告《内部控制——综合框架(2013)》中规定的标准,评估了截至2022年12月31日财务报告内部控制的有效性。
二-2
重大缺陷是指对财务报告的内部控制存在缺陷或缺陷的组合,因此有合理的可能性不能及时防止或发现公司年度或中期财务报表的重大错报。在我们对截至2022年12月31日的财务报告内部控制进行评估期间,我们发现了一个重大缺陷,这与我们缺乏足够的财务报告和会计人员有关,这些人员对美国公认会计原则(“美国公认会计原则”)和美国证交会的报告要求有适当的了解,无法正确处理复杂的美国公认会计原则会计问题,也无法编制和审查我们的合并财务报表和相关披露,以满足美国公认会计原则和美国证交会的财务报告要求。
由于上述重大缺陷,我们的管理层得出结论认为,截至2022年12月31日,我们没有根据COSO发布的《内部控制——综合框架(2013)》中确立的标准,对财务报告保持有效的内部控制。
注册会计师事务所的鉴证报告
这份表格20-F的年度报告不包括我们的独立注册公共会计师事务所的内部控制鉴证报告,因为根据JOBS法案,我们是一家新兴的增长型公司。
财务报告内部控制的变化
在编制合并财务报表时,我们在截至2022年12月31日的财务报告内部控制中发现了上述重大缺陷。正如PCAOB制定的标准所界定的,“重大缺陷”是指财务报告内部控制方面的缺陷或缺陷的组合,因此有合理的可能性不能及时防止或发现年度或中期财务报表的重大错报。
为了弥补我们在编制合并财务报表时发现的重大缺陷,我们试图采取几项措施来改善我们对财务报告的内部控制,包括(i)雇用更多具有美国公认会计原则和美国证交会报告要求经验的会计人员,以及(ii)为我们的会计人员提供更多经常性培训,涵盖广泛的会计和财务报告主题。
除上述情况外,在本年度报告所涉期间,我们对财务报告的内部控制没有发生任何对我们的财务报告内部控制产生重大影响或有可能产生重大影响的变化。
我们的管理层已经并将继续努力加强我们对财务报告的内部控制。我们对财务报告的内部控制没有任何其他变化,这些变化对我们对财务报告的内部控制产生了重大影响,或有可能产生重大影响。
项目16A。审计委员会财务专家
Zhihong Tan、李勇和Ke Chen均符合20-F表16A项定义的“审计委员会财务专家”的资格。Zhihong Tan、李勇和Ke Chen均符合《纳斯达克上市规则》第5605(a)(2)条的“独立性”要求,以及《交易法》第10A-3条的独立性要求。Tan先生是审计委员会主席。
II-3
项目16B。Code of Ethics
我们通过了适用于我们的董事、管理人员和雇员的Code of Ethics。我们已向美国证交会提交了一份《Code of Ethics》和《审计委员会章程》、《提名委员会章程》和《薪酬委员会章程》,并已在我们的网站http://ir.gsmg.co上公布。此外,根据我们的要求,我们将免费提供一份《Code of Ethics》。如欲索取Code of Ethics副本,可致函本公司,地址为中国北京市朝阳区酒仙桥拓芳营南路8号新华科技大厦Block B座22F,荣星新媒体集团控股有限公司。
项目16C。首席会计师费用和服务
下表列出下列各类别的费用总额,这些费用与我们的独立注册会计师事务所在所示期间提供和收费的某些专业服务有关。
截止财政年度 12月31日, |
||||||||
| 2021 | 2022 | |||||||
| (单位:千美元) | ||||||||
| 审计费用(1) | $ | 330 | $ | 250 | ||||
| 审计相关费用 | - | - | ||||||
| 税费 | - | - | ||||||
| 所有其他费用 | - | - | ||||||
| 合计 | $ | 330 | $ | 250 | ||||
| (1) | 审计费用包括我们的独立注册会计师事务所在每个财政年度为审计我们的年度财务报表、审查中期财务报表和审计我们的财务报表而提供的专业服务所收取的费用总额,这些服务涉及我们在2020年的业务合并,以及就S-8和F-3向美国证券交易委员会提交的同意函和与承销公开发行有关的安慰函的签发。 |
我们的审计委员会的政策是预先批准我们的独立注册会计师事务所Assentsure PAC提供的所有审计和非审计服务,包括审计服务、审计相关服务、税务服务和上述其他服务。
项目16D。审计委员会的上市标准豁免
不适用。
项目16E。发行人和附属购买者购买股票
在本年度报告所述期间,我们或《交易法》第10b-18(a)(3)条所定义的任何“关联购买者”均未购买我们的任何股本证券。
项目16F。变更注册人的核证账户
自2021年8月9日起,我们解除了前审计师Friedman LLP(“Friedman”)的职务,并任命Assentsure PAC为继任审计师。关于这一点,我们规定,在截至2019年12月31日、2019年12月31日和2020年12月31日的财政年度内,以及在弗里德曼辞职之日或之前的随后的过渡期内:(a)公司与弗里德曼之间在会计原则或惯例、财务报表披露或审计范围或程序等事项上没有任何分歧,这些分歧如果没有得到弗里德曼满意的解决,本应使它在其报告中提及分歧的主题;(b)没有发生20-F表项目16F(a)(1)(v)(A)至(D)所列的应报告事件。
II-4
项目16G。公司治理
作为一家在纳斯达克资本市场上市的开曼群岛公司,我们受纳斯达克资本市场公司治理上市标准的约束。然而,纳斯达克资本市场的规则允许像我们这样的外国私人发行者遵循其本国的公司治理实践。我国开曼群岛的某些公司治理做法可能与纳斯达克资本市场的公司治理上市标准有很大不同。我们打算遵循以下母国惯例,以取代《纳斯达克上市规则》,具体如下:
| ● | 纳斯达克《上市规则》第5605(b)(1)条规定,上市公司除其他事项外,董事会的大多数成员必须是独立的。然而,作为一家外国私人发行商,我们是被允许的,并且我们可以遵循母国的惯例来代替上述要求,或者我们可以选择在上市一年内遵守上述要求。我国开曼群岛的公司治理实践并不要求我们董事会的多数成员由独立董事组成。目前,我们董事会的大多数成员都是独立的。 |
| ● | 根据《纳斯达克上市规则》第5635条,我们不打算遵循纳斯达克关于股东批准某些证券发行的规定。根据我们的组织章程大纲和章程细则,我们的董事会有权发行证券,包括与某些事件有关的证券,例如收购另一家公司的股份或资产、为员工制定或修订基于股权的薪酬计划、我们的控制权变更、以市价或低于市价的价格进行配股、某些私募和发行可转换票据,以及发行我们已发行普通股的20%或更多。 |
除上述以外,我们的公司治理实践与美国本土公司在纳斯达克资本市场公司治理上市标准下的实践没有显著差异。我们可能在未来决定使用外国私人发行公司豁免部分或所有其他纳斯达克公司治理规则。因此,与适用于美国国内发行人的纳斯达克公司治理上市标准相比,我们的股东得到的保护可能更少。只要我们继续符合外国私人发行者的资格,我们就可以利用这些豁免。
项目16H。矿山安全披露
不适用。
项目16I。关于防止检查的外国司法管辖区的披露
不适用。
II-5
第三部分
项目17。财务报表
我们选择根据项目18提供财务报表。
项目18。财务报表
荣星新媒体集团控股有限公司及其附属公司的合并财务报表载于本年度报告的末尾。
项目19。展览
EXHIBIT INDEX
II-6
II-7
| * | 随函提交。 |
| ** | 随函附上。 |
II-8
签名
登记人在此证明其符合以表格20-F提交的所有要求,并已妥为安排并授权以下签署人代表其签署本年度报告。
| 耀世星辉新文娱集团控股有限公司 | ||
| 签名: | Bing Zhang | |
| 姓名: | Bing Zhang | |
| 职位: | 首席执行官 | |
| 日期:2023年3月22日 | ||
II-9
目 录
F-1
![]() |
Assentsure PAC UEN – 201816648N 桥南路80号# 06-02 新加坡金堡大厦058710 http://www.assentsure.com.sg |
独立注册会计师事务所报告
致股东和董事会
耀世星辉新文娱集团控股有限公司
关于财务报表的意见
我们审计了随附的荣耀星空新媒体集团控股有限公司及其附属公司(统称“本公司”)截至2022年12月31日和2021年12月31日的合并资产负债表,以及截至2022年12月31日和2021年12月31日止年度的相关合并经营及综合收益表、股东权益和现金流量表,以及相关附注(统称“合并财务报表”)。我们认为,合并财务报表按照美国公认会计原则(“美国公认会计原则”),在所有重大方面公允反映了公司截至2022年12月31日和2021年12月31日的财务状况以及截至2022年12月31日和2021年12月31日止年度的经营业绩和现金流量。
意见基础
这些合并财务报表是公司管理层的责任。我们的责任是根据我们的审计对公司的合并财务报表发表意见。我们是一家在美国上市公司会计监督委员会(PCAOB)注册的公共会计师事务所,根据美国联邦证券法以及美国证券交易委员会和PCAOB的适用规则和条例,我们必须对公司保持独立。
我们按照PCAOB的标准进行了审计。这些标准要求我们计划和进行审计,以便对合并财务报表是否不存在由于错误或欺诈造成的重大错报有合理的把握。本公司没有被要求对其财务报告的内部控制进行审计,我们也没有受聘进行审计。作为审计的一部分,我们需要了解财务报告的内部控制,但目的不是对公司财务报告内部控制的有效性发表意见。因此,我们不表示这种意见。
我们的审计包括执行评估财务报表重大错报风险的程序,无论是由于错误还是欺诈,以及执行应对这些风险的程序。这些程序包括在测试的基础上审查关于合并财务报表中的数额和披露情况的证据。我们的审计工作还包括评价管理层采用的会计原则和作出的重大估计,以及评价合并财务报表的总体列报方式。我们相信,我们的审计为我们的意见提供了合理的基础。
| /s/
|
|
| 自2021年以来,我们一直担任公司的审计员 | |
|
|
|
| 2023年3月22日 | |
F-2
独立注册会计师事务所报告
致股东和董事会
耀世星辉新文娱集团控股有限公司
关于财务报表的意见
我们审计了随附的荣耀星新媒体集团控股有限公司及其附属公司(统称“本公司”)截至2020年12月31日止年度的综合经营及综合收益表、股东权益变动表和现金流量表,以及相关附注(统称合并财务报表)。我们认为,合并财务报表按照美利坚合众国普遍接受的会计原则,在所有重大方面公允列报了2020年12月31日终了年度的业务结果和现金流量。
2020年财务报表的重报
如合并财务报表附注1所述,2020年合并财务报表已重报,以更正错报。
意见基础
这些合并财务报表是公司管理层的责任。我们的责任是根据我们的审计对公司的合并财务报表发表意见。我们是一家在美国上市公司会计监督委员会(PCAOB)注册的公共会计师事务所,根据美国联邦证券法以及美国证券交易委员会和PCAOB的适用规则和条例,我们必须对公司保持独立。
我们按照PCAOB的标准进行了审计。这些准则要求我们计划和进行审计,以便对合并财务报表是否不存在由于错误或欺诈造成的重大错报有合理的把握。本公司没有被要求对其财务报告的内部控制进行审计,我们也没有受聘进行审计。作为审计的一部分,我们需要了解财务报告的内部控制,但目的不是对公司财务报告内部控制的有效性发表意见。因此,我们不表示这种意见。
我们的审计包括执行评估财务报表重大错报风险的程序,无论是由于错误还是欺诈,以及执行应对这些风险的程序。这些程序包括在测试的基础上审查关于合并财务报表中的数额和披露情况的证据。我们的审计还包括评价管理层采用的会计原则和作出的重大估计,以及评价综合财务报表的总体列报方式。我们认为,我们的审计为我们的意见提供了合理的基础。
Friedman LLP
从2020年到2021年,我们一直担任公司的审计师。
纽约,纽约
2021年3月29日(附注1及15除外)日期为2021年5月28日
F-3
耀世星辉新文娱集团控股有限公司
合并资产负债表
(单位:千美元,股票和每股数据除外)
12月31日, 2021 |
12月31日, 2022 |
|||||||
| 物业、厂房及设备 | ||||||||
| 当前资产: | ||||||||
| 现金及现金等价物 | $ |
|
$ |
|
||||
| 短期投资 | ||||||||
| 应收账款净额 |
|
|
||||||
| 预付款项和其他流动资产 |
|
|
||||||
| 流动资产总额 |
|
|
||||||
| 固定资产、工厂及设备,净值 |
|
|
||||||
| 无形资产,净值 |
|
|
||||||
| 递延所得税资产 |
|
|
||||||
| 未摊销制作内容,净额 |
|
|
||||||
| 使用权资产 |
|
|
||||||
| 预付款项和其他非流动资产净额 |
|
|
||||||
| 非流动资产合计 |
|
|
||||||
| 总资产 | $ |
|
$ |
|
||||
| 负债和权益 | ||||||||
| 流动负债: | ||||||||
| 短期银行贷款 | $ |
|
$ |
|
||||
| 应付账款 |
|
|
||||||
| 客户预付款 |
|
|
||||||
| 应计负债及其他应付款 |
|
|
||||||
| 其他应缴税款 |
|
|
||||||
| 租赁负债流动 |
|
|
||||||
| 应付关联方款项 |
|
- | ||||||
| 可转换本票关联方 | ||||||||
| 流动负债合计 |
|
|
||||||
| 长期银行贷款 | ||||||||
| 非流动租赁负债 |
|
|
||||||
| 认股权证责任 |
|
|
||||||
| 非流动负债合计 |
|
|
||||||
| 负债总额 | $ |
|
$ |
|
||||
| 股权 | ||||||||
| 优先股(面值$ |
$ | $ | ||||||
| 普通股(面值$ |
$ |
|
$ |
|
||||
| 额外实收资本 |
|
|
||||||
| 法定储备金 |
|
|
||||||
| 留存收益 |
|
|
||||||
| 累计其他综合收益(亏损) |
|
( |
) | |||||
| Total GLORY STAR NEW MEDIA GROUP HOLDINGS LIMITED SHAREHOLDERS’EQUITY |
|
|
||||||
| 非控制性权益 |
|
|
||||||
| 总股本 |
|
|
||||||
| 总负债和权益 | $ |
|
$ |
|
||||
所附附注是这些合并财务报表的组成部分。
F-4
耀世星辉新文娱集团控股有限公司
综合业务报表和
综合收入(损失)
(单位:千美元,股票和每股数据除外)
截至12月31日, |
||||||||||||
| 2020 | 2021 | 2022 | ||||||||||
| (重报) | ||||||||||||
| 收入 | $ |
|
$ |
|
$ |
|
||||||
| 营业费用: | ||||||||||||
| 收入成本 | ( |
) | ( |
) | ( |
) | ||||||
| 销售和营销 | ( |
) | ( |
) | ( |
) | ||||||
| 一般和行政 | ( |
) | ( |
) | ( |
) | ||||||
| 研究与开发 | ( |
) | ( |
) | ( |
) | ||||||
| 总营业费用 | ( |
) | ( |
) | ( |
) | ||||||
| 经营收入 |
|
|
|
|||||||||
| 其他(费用)收入: | ||||||||||||
| 利息支出,净额 | ( |
) | ( |
) | ( |
) | ||||||
| 认股权证负债公允价值变动 |
|
|
( |
) | ||||||||
| 其他收入(支出),净额 |
|
( |
) |
|
||||||||
| 其他收入共计 |
|
|
|
|||||||||
| 所得税前收入 |
|
|
|
|||||||||
| 所得税费用 | ( |
) | ( |
) | ( |
) | ||||||
| 净收入 |
|
|
|
|||||||||
| 减:归属于非控股权益的净(亏损)收益 | ( |
) |
|
( |
) | |||||||
| 归属于Glory Star New Media Group Holdings Limited股东的净利润 | $ |
|
$ |
|
$ |
|
||||||
| 其他综合收入(亏损) | ||||||||||||
| 未实现外币折算收益(亏损) |
|
|
( |
) | ||||||||
| 综合收入 |
|
|
|
|||||||||
| 减:归属于非控股权益的综合(亏损)收益 | ( |
) |
|
( |
) | |||||||
| 应占荣耀星新媒体集团控股有限公司股东的综合收益 | $ |
|
$ |
|
$ |
|
||||||
| 每股普通股收益 | ||||||||||||
| 基本 | $ |
|
$ |
|
$ |
|
||||||
| 用于计算每股普通股收益的加权平均股份 | ||||||||||||
| 基本 |
|
|
|
|||||||||
| 每股普通股收益 | ||||||||||||
| 稀释剂 | $ |
|
$ |
|
$ |
|
||||||
| 用于计算每股普通股收益的加权平均股份 | ||||||||||||
| 稀释剂 |
|
|
|
|||||||||
所附附注是这些合并财务报表的组成部分。
F-5
耀世星辉新文娱集团控股有限公司
股东权益变动综合报表
(单位:千美元,股票和每股数据除外)
| 普通股 | 附加 实收 |
保留 | 法定 | 累计 其他 全面的 |
股东总数" | 非控制性 | 合计 | |||||||||||||||||||||||||||||
| 股票 | 金额 | 资本 | 收益 | 储备金 | (损失)收益 | 股权 | 利益 | 股权 | ||||||||||||||||||||||||||||
| 截至2019年12月31日的余额 |
|
$ | |
$ |
|
$ |
|
$ |
|
$ | ( |
) | $ |
|
$ | |
$ |
|
||||||||||||||||||
| 反向资本重组 |
|
|
( |
) | ( |
) | - | - | ( |
) | ( |
) | ||||||||||||||||||||||||
| 给予非雇员的股份补偿 |
|
|
- |
|
|
|||||||||||||||||||||||||||||||
| 就有关权利的谈话而发行股份 |
|
- | ||||||||||||||||||||||||||||||||||
| 盈利股票 |
|
|
( |
) | - | - | ||||||||||||||||||||||||||||||
| 给予雇员的股份补偿 |
|
|
- |
|
|
|||||||||||||||||||||||||||||||
| 以私募方式发行股份 |
|
|
- |
|
|
|||||||||||||||||||||||||||||||
| 法定储备金拨款 | - | - | - | ( |
) |
|
- | - | ||||||||||||||||||||||||||||
| 净收入 | - | - | - |
|
- |
|
( |
) |
|
|||||||||||||||||||||||||||
| 外币折算调整 | - | - | - |
|
|
|
|
|||||||||||||||||||||||||||||
| 截至2020年12月31日的余额(重报) |
|
$ |
|
$ |
|
$ |
|
$ |
|
$ |
|
$ |
|
$ |
|
$ |
|
|||||||||||||||||||
| 给予非雇员的股份补偿 | - | - |
|
- | - | - |
|
- |
|
|||||||||||||||||||||||||||
| 为转换权利而发行股份 |
|
|
- |
|
|
|||||||||||||||||||||||||||||||
| 盈利股票 |
|
|
( |
) | - | - | - | - | - | - | ||||||||||||||||||||||||||
| 给予雇员的股份补偿 |
|
|
- |
|
|
|||||||||||||||||||||||||||||||
| 通过私募发行股票 |
|
|
- |
|
|
|||||||||||||||||||||||||||||||
| 法定储备金拨款 | - | - | ( |
) |
|
- | - | - | ||||||||||||||||||||||||||||
| 净收入 | - | - |
|
- | - |
|
|
|
||||||||||||||||||||||||||||
| 外币折算调整 | - | - | - |
|
|
|
|
|||||||||||||||||||||||||||||
| 截至2021年12月31日的余额 |
|
|
|
|
|
|
|
|
|
|||||||||||||||||||||||||||
| 反向资本化 | - | - | - | - | - | - | - | - | ||||||||||||||||||||||||||||
| 授予非雇员的基于股票的薪酬 | - | - | - | - | - | - | - | - | ||||||||||||||||||||||||||||
| 为转换权利而发行股份 | - | - | - | - | - | - | - | - | ||||||||||||||||||||||||||||
| 股东的捐款 | - | - |
|
|
|
|||||||||||||||||||||||||||||||
| 发给雇员的基于股份的补偿 |
|
- |
|
- | - | - |
|
- |
|
|||||||||||||||||||||||||||
| 以私募方式发行股份 | - | - |
|
- | - | - |
|
- |
|
|||||||||||||||||||||||||||
| 法定储备金拨款 | - | - | - | ( |
) |
|
- | - | - | - | ||||||||||||||||||||||||||
| 年度净收入 | - | - | - |
|
- | - |
|
( |
) |
|
||||||||||||||||||||||||||
| 外币折算调整 | - | - | - | - | - | ( |
) | ( |
) | ( |
) | ( |
) | |||||||||||||||||||||||
| 余额,2022年12月31日 |
|
|
|
|
|
( |
) |
|
|
|
||||||||||||||||||||||||||
所附附注是这些合并财务报表的组成部分。
F-6
耀世星辉新文娱集团控股有限公司
合并现金流量表
(单位:千美元)
截至12月31日, |
||||||||||||
| 2020 | 2021 | 2022 | ||||||||||
| (重报) | ||||||||||||
| 经营活动产生的现金流量: | ||||||||||||
| 净收入 | $ |
|
$ |
|
$ |
|
||||||
| 调整以使经营活动产生的净收入与净现金保持一致: | ||||||||||||
| (备抵转回)呆账备抵 | ( |
) | ( |
) |
|
|||||||
| 折旧及摊销 |
|
|
|
|||||||||
| 使用权资产摊销 |
|
|
|
|||||||||
| 递延收入(福利)税费用 | ( |
) |
|
( |
) | |||||||
| 雇员基于股份的薪酬 |
|
|
- | |||||||||
| 非雇员基于股份的薪酬 |
|
|
|
|||||||||
| 处置子公司的收益 | ( |
) | - | |||||||||
| 贷款发放费用的摊销 |
|
|
|
|||||||||
| 认股权证负债公允价值变动 | ( |
) | ( |
) |
|
|||||||
| 资产和负债变动 | ||||||||||||
| 应收账款 | ( |
) |
|
( |
) | |||||||
| 预付款和其他资产 | ( |
) | ( |
) |
|
|||||||
| 未摊销的制作内容 |
|
( |
) |
|
||||||||
| 应付账款 |
|
|
( |
) | ||||||||
| 客户预付款 | ( |
) | ( |
) | ( |
) | ||||||
| 应计负债及其他应付款 |
|
( |
) |
|
||||||||
| 其他应缴税款 |
|
|
|
|||||||||
| 租赁负债 | ( |
) | ( |
) | ( |
) | ||||||
| 经营活动所产生的现金净额 |
|
|
|
|||||||||
| 投资活动产生的现金流量: | ||||||||||||
| 购置不动产、厂场和设备 | ( |
) | ( |
) | ( |
) | ||||||
| 购置无形资产的预付款 | ( |
) | ( |
) | ( |
) | ||||||
| 为出售子公司而处置的现金 | ( |
) | - | |||||||||
| (付款)短期投资回报 | ( |
) |
|
- | ||||||||
| 投资活动所用现金净额 | ( |
) | ( |
) | ( |
) | ||||||
| 融资活动产生的现金流量: | ||||||||||||
| 银行贷款收益 |
|
|
|
|||||||||
| 偿还银行贷款 | ( |
) | ( |
) | ( |
) | ||||||
| 贷款发放费用的支付 | ( |
) | ( |
) | ( |
) | ||||||
| 股东捐款 | - |
|
||||||||||
| 对有关各方的偿还 | ( |
) | - | |||||||||
| 收购TKK获得的现金 |
|
- | ||||||||||
| 股权融资收益 |
|
- | ||||||||||
| 筹资活动提供的现金净额 |
|
|
|
|||||||||
| 汇率变动的影响 |
|
|
( |
) | ||||||||
| 现金及现金等价物净增加(减少)额 |
|
|
( |
) | ||||||||
| 年初现金及现金等价物 |
|
|
|
|||||||||
| 年末现金及现金等价物 | $ |
|
$ |
|
|
|||||||
| 补充披露现金流信息: | ||||||||||||
| 已付利息 | $ |
|
$ |
|
|
|||||||
所附附注是这些合并财务报表的组成部分。
F-7
耀世星辉新文娱集团控股有限公司
合并财务报表附注
(单位:千美元,股票和每股数据除外)
1.合并财务报表重述
Glory Star New Media Group Holdings Limited(简称“公司”)已重述其于2021年3月29日向美国证券交易委员会(简称“SEC”)提交的截至2020年12月31日止年度的20-F表格年度报告(简称“20-F表格原件”)中包含的截至2020年12月31日止年度的先前发布的合并财务报表及相关披露,以更正因错误应用与先前发行的私人认股权证相关的公认会计原则而导致的错误。
2021年4月12日,美国证券交易委员会(简称“证交会工作人员”)发布了一份公开声明,题为《关于特殊目的收购公司(简称“SPAC”)认股权证的会计和报告考虑的工作人员声明》(简称“证交会工作人员声明”)。SEC员工声明强调了某些条款的潜在会计影响,这些条款在与SPAC首次公开发行相关的认股权证中很常见。
在审议了SEC员工声明后,公司重新评估了其认股权证的历史会计核算,并得出结论认为,由于公司与TKK合并以及2020年2月14日发生的反向资本重组,公司必须修改与TKK Symphony Acquisition Corporation(“TKK”)首次公开发行相关的私人认股权证的会计处理方式,并将其记入公司的合并财务报表。管理公司私人认股权证的认股权证协议包括一项条款,规定根据认股权证持有人的特征对结算金额进行可能的变更。在对报表进行审查后,公司管理层根据会计准则编纂(ASC)分主题815-40,实体自有权益合同,对认股权证进行了进一步评估。ASC第815-40-15节述及与股票挂钩的金融工具(包括认股权证)的股本与负债处理和分类,并指出,只有在认股权证与发行人的普通股挂钩的情况下,认股权证才可被归类为股本的一部分。根据ASC第815-40-15条,如果权证的条款要求在特定事件时调整行权价格,并且该事件不是具有固定行权价格和固定基础股票数量的权证公允价值的输入,则权证不与发行人的普通股挂钩。根据管理层的评估,公司的审计委员会在与管理层协商后得出结论,公司的私人认股权证没有按照《ASC》第815-40-15条所设想的方式与公司的普通股挂钩,因为该票据持有人的特征并不是对股票固定换固定期权定价的输入。
根据重新评估,公司得出结论认为,公开认股权证符合权益分类标准,其历史会计核算为权益是适当的,应按发行日的相对公允价值入账,无需重新计量。私人认股权证应在综合资产负债表上按其公允价值记为认股权证负债,并在每个报告日重新计量,并在公司综合业务报表上将认股权证负债重估的变动记录在案。
下表反映了对公司先前报告的截至2020年12月31日止年度的合并财务报表中所列具体细列项目的重述调整的影响。先前报告的金额来自公司的原始表格20-F(单位:千美元,股票和每股数据除外)。
F-8
耀世星辉新文娱集团控股有限公司
合并财务报表附注
(单位:千美元,股票和每股数据除外)
1.合并财务报表重述(续)
合并资产负债表
| 截至2020年12月31日 | ||||||||||||
| 作为 以前 报告 |
重述 影响 |
如重述 | ||||||||||
| 负债和权益 | ||||||||||||
| 认股权证责任 | $ | $ |
|
$ |
|
|||||||
| 非流动负债合计 |
|
|
|
|||||||||
| 负债总额 |
|
|
|
|||||||||
| 额外实收资本 |
|
( |
) |
|
||||||||
| 留存收益 |
|
|
|
|||||||||
| 总股本 |
|
( |
) |
|
||||||||
| 总负债及权益 |
|
|
||||||||||
综合经营报表和综合收益/(亏损)
截至本年度 2020年12月31日 |
||||||||||||
| 作为 以前 报告 |
重述 影响 |
如重述 | ||||||||||
| 认股权证负债公允价值变动 | $ | $ |
|
$ |
|
|||||||
| 其他收入共计 |
|
|
|
|||||||||
| 所得税前收入 |
|
|
|
|||||||||
| 净收入 |
|
|
|
|||||||||
| 归属于Glory Star New Media Group Holdings Limited股东的净利润 |
|
|
|
|||||||||
| 综合收入 |
|
|
|
|||||||||
| 应占荣耀星新媒体集团控股有限公司股东的综合收益 |
|
|
|
|||||||||
| 每股普通股收益 | ||||||||||||
| 基本 |
|
|
|
|||||||||
| 稀释剂 |
|
|
|
|||||||||
合并现金流量表
截至本年度 2020年12月31日 |
||||||||||||
| 作为 以前 报告 |
重述 影响 |
如重述 | ||||||||||
| 经营活动产生的现金流量: | ||||||||||||
| 净收入 | $ |
|
$ |
|
$ |
|
||||||
| 调整以使经营活动产生的净收入与净现金保持一致: | ||||||||||||
| 认股权证负债公允价值变动 | ( |
) | ( |
) | ||||||||
| 经营活动所产生的现金净额 |
|
|
||||||||||
F-9
耀世星辉新文娱集团控股有限公司
合并财务报表附注
(单位:千美元,股票和每股数据除外)
1A。组织和主要活动
组织和一般
GS Holdings是一家空白支票公司,于2018年2月5日在开曼群岛注册成立,原名TKK。GS Holdings成立的目的是与一个或多个企业或实体进行合并、股份交换、资产收购、股份购买、资本重组、重组或其他类似的业务合并。TKK的首次公开发行(简称“首次公开发行”)的注册声明于2018年8月15日宣布生效。
反向资本重组
2020年2月14日,GS Holdings完成了本公司、开曼群岛获豁免公司Glory Star New Media Group Limited(“Glory Star”)、Glory Star New Media(Beijing)Technology Co.,Ltd.(一家在中华人民共和国(“PRC”)注册成立的外商独资企业有限责任公司(“WFOE”)并由Glory Star间接全资拥有的交易(“业务合并”),Xing Cui Can International Media(北京)有限公司(一家在PRC注册成立的有限责任公司)(“Xing Cui Can”),霍尔果斯荣耀星传媒有限公司。有限公司(“Horgos”),一间于PRC注册成立的有限责任公司,Glory Star的每一名股东(统称“卖方”),TKK Symphony Sponsor 1,本公司的保荐人(“保荐人”),在业务合并完成后及之后以代表身份代表GS Holdings除卖方外的股东,以及Bing Zhang作为卖方代表,据此,GS Holdings从卖方收购Glory Star的100%股权。由于业务合并,卖方成为公司的控股股东。该业务合并作为反向合并入账,其中,出于会计和财务报告目的,Glory Star被视为收购方,该交易被视为Glory Star的反向资本重组。
在完成业务合并(“交割”)后,本公司收购Glory Star的所有已发行和未发行证券,以换取(i)41,204,025股本公司普通股(“交割支付股份”),其中2,060,201股交割支付股份应存入托管,以确保卖方的某些赔偿义务,加上(ii)如果公司达到2019财政年度的某些财务业绩目标,则赚取至多5,000,000股公司普通股的付款,如果公司达到2020财政年度的某些财务业绩目标,则赚取至多5,000,000股公司普通股的付款(“赚取股份”)。如果在2019财政年度和/或2020财政年度未能实现财务业绩目标,但公司在2019财政年度和2020财政年度合计达到某些财务业绩目标,则卖方将有权获得他们在其他情况下没有收到的任何盈利股票。
在上述业务合并和期末支付股份发行生效后,本公司已发行和流通的普通股共有49,767,866股。
反向资本重组相当于Glory Star为TKK的净货币资产发行证券,同时进行资本重组。荣耀星将把TKK净资产的公允价值记入股本。在业务合并后的后续财务报表中,财务报表中反向资本重组前一期间的资产和负债数额作为Glory Star的资产和负债数额列报,并按合并前的账面金额确认和计量。
F-10
耀世星辉新文娱集团控股有限公司
合并财务报表附注
(单位:千美元,股票和每股数据除外)
1A。组织和主要活动(续)
重组荣星集团
2018年11月30日,Glory Star根据开曼群岛法律成立为一家获豁免的有限责任公司。
2018年12月18日,荣耀星空新媒体集团香港有限公司(简称“荣耀星空香港”)根据香港法律法规成立为全资子公司。Glory Star HK是一家控股公司,持有于2019年3月13日在PRC成立的Glory Star New Media(Beijing)Technology Co.,Ltd.(简称“WFOE”)的全部股权。
星翠灿于2016年9月7日根据中华人民共和国(“PRC”或“中国”)法律在北京注册成立。这是一家控股公司,没有业务。
根据中华人民共和国(PRC或中国)法律,霍尔果斯于2016年11月1日在中国新疆霍尔果斯经济区注册成立。霍尔果斯是中国领先的通过移动互联网提供和运营优质生活方式内容的公司。
霍尔果斯于下列日期在PRC成立了一些子公司:
| ● | 荣耀星传媒(北京)有限公司(简称“荣耀星北京”)是一家于2016年12月9日在北京注册成立的公司,由霍尔果斯全资拥有。 |
| ● | 乐视星(北京)科技有限公司(简称“北京乐视星”)是一家于2016年3月28日在北京注册成立的公司,由霍尔果斯全资拥有。 |
| ● | 霍尔果斯盛世文化有限公司(简称“盛世文化”),于2017年12月14日在新疆霍尔果斯经济区注册成立,并于
|
| ● | 深圳乐山投资有限公司(简称“深圳乐山”)是一家于2018年6月27日在广东省深圳市注册成立的公司,由霍尔果斯全资拥有。截至2018年12月31日,深圳乐购处于休眠状态。 |
| ● | 霍尔果斯Glary Wisdom营销策划有限公司(简称“霍尔果斯Glary Wisdom”)于2018年6月13日在新疆霍尔果斯经济区注册成立并
|
| ● | 荣耀星(霍尔果斯)传媒科技有限公司(简称“霍尔果斯科技”)于2020年9月9日在新疆霍尔果斯经济区注册成立,由霍尔果斯全资拥有。 |
F-11
耀世星辉新文娱集团控股有限公司
合并财务报表附注
(单位:千美元,股票和每股数据除外)
1A。组织和主要活动(续)
2019年9月,WFOE与(i)Xing Cui Can及其股东,以及(ii)Horgos及其股东签订了一系列合同安排,允许Glory Star行使权力,指导Xing Cui Can和Horgos(“VIE”)的活动,这些活动对VIE的经济表现影响最大,并获得VIE的几乎所有经济利益。这些合同协议包括商业合作协议、独家期权协议、股票质押协议、代理协议、授权书和主独家服务协议(统称为“VIE协议”)。重组后,荣耀星及其全资子公司荣耀星HK和WFOE及其VIE和VIE的子公司均由同一股东实际控制。
VIE合同安排
PRC现行法律和法规对从事增值电信服务和某些其他业务的公司的外国所有权规定了某些限制或禁止。荣耀星北京被认为是一家外商投资企业。为遵守PRC的法律和法规,荣耀星主要通过星翠灿和霍尔果斯及其子公司根据一系列合同安排在中国开展业务。以下是为Glory Star提供指导VIE活动的权力的合同安排的摘要,这些活动对VIE的经济业绩影响最大,并使它能够从其业务中获得基本上所有的经济利益。
下文详细介绍了每一项VIE协定:
商业合作协议
2019年9月,WFOE与Xing Cui Can和Horgos及其各自的股东分别签订了商业合作协议,据此,(1)未经WFOE书面同意,各VIE不得进行任何可能对该VIE的资产、义务、权利和运营产生重大影响的交易;(2)各VIE和VIE股东同意接受WFOE就该VIE雇员的雇用和解雇、日常运营提出的建议,该VIE的股利分配和财务管理;(3)VIE和VIE股东只能指定WFOE指定的个人担任董事、总经理、首席财务官和其他高级管理人员。此外,每个VIE股东同意:(i)除非WFOE要求,否则不会作出任何决定或以其他方式要求VIE向VIE股东分配任何利润、资金、资产或财产;(ii)或就VIE股东持有的VIE股份发放任何股息或其他分配。这些商业合作协议的期限是永久的,除非外商独资企业提前三十(30)天通知终止,或外商独资企业将各自VIE的全部股份转让给外商独资企业(或其指定人)。
F-12
耀世星辉新文娱集团控股有限公司
合并财务报表附注
(单位:千美元,股票和每股数据除外)
1A。组织和主要活动(续)
排他性期权协议
2019年9月,WFOE与Xing Cui Can和Horgos及其各自的股东签订了单独的排他性期权协议。根据这些排他性期权协议,VIE股东已授予WFOE(或其指定人)一项期权,以相当于PRC法律当时允许的最低价格收购其在VIE中的全部或部分股权。股权分期转让的,每一期的收购价格应当与转让的股权比例成正比。外商独资企业可在任何时候自行决定行使VIE股东授予的选择权。此外,WFOE可将此种选择权转让给任何第三方。除其他义务外,VIE股东不得变更或修改VIE的章程和细则,不得增加或减少VIE的注册资本,不得以任何方式出售、转让、抵押或处置其股权,不得产生、继承、担保或承担除在正常经营过程中发生的债务以外的任何债务,除非WFOE另有明确约定,不得订立任何重大合同,除非在正常经营过程中发生的债务,除非WFOE另有明确约定。这些排他性期权协议的期限均为10年,并将自动延长连续5年的期限,除非WFOE事先另有书面通知。外商独资企业可在提前三十(30)天通知或将各自VIE的全部股份转让给外商独资企业(或其指定人)后终止排他期权协议。
股份质押协议
2019年9月,WFOE与星翠灿和霍尔果斯及其各自的股东签订了单独的股份质押协议。根据这些股份质押协议,VIE股东已将其在VIE中的所有股权作为优先担保权益质押给WFOE,以确保VIE的履行及其股东在适用情况下履行其根据(i)《排他性服务总协议》、(ii)《业务合作协议》和(iii)《排他性选择权协议》(统称为“主要协议”)承担的义务。如果VIE股东或VIE未能履行其各自在主要协议下的义务,WFOE有权行使其处置VIE股东在VIE股权中质押权益的权利。VIE股权质押正在中国市场监督管理总局办理登记手续。在VIE和VIE股东履行其在主要协议项下的义务之前,股权质押协议将继续有效。
代理协议及授权书
2019年9月,WFOE与Xing Cui Can和Horgos及其各自的股东分别签订了《代理协议》和《授权书》。根据代理协议和授权书,每个VIE股东不可撤销地提名和指定WFOE或WFOE指定的任何自然人作为其实际代理人,以行使该VIE股东在该VIE中拥有的所有权利,包括但不限于:(i)执行和交付任何和所有书面决定,并签署VIE董事会或股东的任何会议记录;(ii)就VIE的任何事项作出股东决定,包括但不限于出售、转让、抵押,质押或处置VIE的任何或全部资产,(iii)出售、转让、质押或处置VIE的任何或全部股份,(iv)在必要时提名、任命或罢免VIE的董事、监事和高级管理人员,(v)监督VIE的经营业绩,(vi)充分获取VIE的财务信息,(vii)对VIE的董事或高级管理人员提起任何股东诉讼或采取其他法律行动,(viii)批准年度预算或宣布股息,(ix)管理和处置VIE的资产,(x)拥有控制和管理VIE的财务、会计和日常运营的全部权利,(xi)批准向有关政府当局或监管机构提交任何文件,以及(xii)VIE章程和/或有关VIE股东的法律法规规定的任何其他权利。在专属服务协议的有效期内,代理协议和授权委托书仍然有效。
F-13
耀世星辉新文娱集团控股有限公司
合并财务报表附注
(单位:千美元,股票和每股数据除外)
1A。组织和主要活动(续)
保兑及保证书
各VIE股东于2019年9月签署了一份确认和担保函,据此,各VIE股东同意全面执行《主要协议》、《股份质押协议》、《代理协议》和《授权委托书》中规定的安排,并同意不进行任何可能有悖于此类协议的目的或意图的行为。
主专享服务协议
WFOE于2019年9月与Xing Cui Can和Horgos签订了单独的独家服务协议,根据该协议,WFOE提供独家技术支持和服务、员工培训和咨询服务、公共关系服务、市场开发、规划和咨询服务、人力资源管理服务、知识产权许可以及由各方确定的其他服务。作为交换,VIE向WFOE支付的服务费等于VIE的税前利润减去(i)VIE及其子公司在上一个财政年度的累计亏损,(ii)运营成本、费用和税收,以及(iii)适用的PRC税法和惯例下的合理运营利润。在这些协议的期限内,WFOE有权自行决定调整服务费的支付金额和时间,而无需征得VIE的同意。WFOE(或其服务提供商)将拥有因履行这些协议而产生的任何知识产权。每一项专属服务协议的期限是永久的,除非外商独资企业提前三十(30)个通知终止,或根据期权协议将各自VIE的所有股份转让给外商独资企业(或其指定人)10年后终止。
与VIE结构有关的风险
根据关于合并可变利益实体(“VIE”)的会计准则,VIE通常是指缺乏足够股本为其活动提供资金而没有其他各方提供额外财政支持的实体,或者其股东缺乏足够的决策能力。必须对公司参与的所有VIE进行评估,以确定VIE风险和回报的主要受益者。为了财务报告的目的,主要受益人必须合并VIE。荣耀星认为,与其VIE及其各自股东的合同安排符合PRC法律法规,并具有法律效力。然而,PRC法律制度的不确定性可能会限制荣耀之星执行合同安排的能力。如果发现法律结构和合同安排违反PRC法律法规,PRC政府可以:
| ● | 吊销本公司在PRC的子公司和VIE的营业执照; |
| ● | 终止或限制公司PRC子公司与VIE之间的任何关联交易; |
| ● | 以订立合约安排的方式限制本公司在中国的业务扩展; |
| ● | 对公司的PRC子公司和VIE可能无法遵守的规定处以罚款或其他要求; |
| ● | 要求公司或公司的PRC子公司和VIE重组相关的所有权结构或业务;或 |
| ● | 限制或禁止公司使用增发募集资金进行融资。 |
F-14
耀世星辉新文娱集团控股有限公司
合并财务报表附注
(单位:千美元,股票和每股数据除外)
1A。组织和主要活动(续)
公司综合资产负债表中列报的总资产和负债以及综合经营报表中列报的收入、费用、净收入,以及综合现金流量表中列报的经营、投资和融资活动产生的现金流量,基本上是荣耀之星VIE和VIE子公司的财务状况、经营和现金流量。在截至2020年12月31日、2021年和2022年12月31日的年度,荣耀星没有向VIE提供任何财务支持。截至2021年12月31日和2022年12月31日以及截至2020年12月31日、2021年12月31日和2022年12月31日止年度的合并财务报表中包括以下VIE和VIE子公司的财务报表金额和余额:
| 12月31日, | 12月31日, | |||||||
| 2021 | 2022 | |||||||
| 总资产 | $ |
|
$ |
|
||||
| 负债总额 | $ |
|
$ |
|
||||
| 截至12月31日, | ||||||||||||
| 2020 | 2021 | 2022 | ||||||||||
| 总收入 | $ |
|
$ |
|
$ |
|
||||||
| 净收入 | $ |
|
$ |
|
$ |
|
||||||
| 经营活动所产生的现金净额 | $ |
|
$ |
|
$ |
|
||||||
| 投资活动所用现金净额 | $ | ( |
) | $ | ( |
) | $ | ( |
) | |||
| 筹资活动提供的(用于)现金净额 | $ |
|
$ | ( |
) | $ |
|
|||||
本公司认为,除VIE的注册资本和不可分配的法定准备金外,VIE中没有任何资产只能用于清偿VIE的特定债务。由于VIE是根据《PRC公司法》注册成立的有限责任公司,VIE的债权人对VIE的任何债务不能求助于本公司的一般信贷。任何安排中都没有明示或暗示的条款要求本公司或其子公司向VIE提供财务支持。但是,如果VIE需要财政支持,公司可以根据其选择并在法定限制和限制的前提下,通过贷款向VIE提供财政支持。
F-15
耀世星辉新文娱集团控股有限公司
合并财务报表附注
(单位:千美元,股票和每股数据除外)
2.重要会计政策摘要
(a)列报依据
所附合并财务报表是根据美利坚合众国普遍接受的会计原则(“美国公认会计原则”)编制的。合并财务报表包括公司、子公司、VIE和VIE子公司的财务报表。所有公司间交易和结余已在合并时消除。
(b)估计数的使用
按照美国公认会计原则编制财务报表需要作出估计和假设,这些估计和假设会影响资产和负债的报告金额,以及在财务报表日披露或有资产和负债以及报告期间的收入和支出的报告金额和附注,包括呆账备抵、未摊销生产内容备抵、不动产、厂房和设备及无形资产的使用寿命、长期资产减值、递延所得税资产的估值备抵和收入确认。实际结果可能与这些估计数不同。
(c)公允价值计量
本公司应用ASC主题820,公允价值计量和披露定义了公允价值,建立了公允价值计量框架,并扩大了公允价值计量的财务报表披露要求。
ASC专题820将公允价值定义为在资产或负债的主要或最有利市场的市场参与者之间的有序交易中,在计量日出售资产所得的价格或转移负债所支付的价格(退出价格)。
ASC专题820规定了估值技术的层次结构,其依据是对估值技术的投入是可观察的还是不可观察的。层次结构如下:
对估值方法的第一级投入是活跃市场中相同资产或负债的报价(未经调整)。
对估值方法的第2级投入包括活跃市场中类似资产和负债的报价,以及在金融工具基本上整个期限内可直接或间接观察到的资产或负债的投入。
对估值方法的第3级投入是不可观察的,对公允价值具有重要意义。不可观察输入值是指反映公司自己对市场参与者在为资产或负债定价时所使用的假设的估值技术输入值。
本公司管理层负责考虑现金及现金等价物、短期投资、应收账款、预付款和其他流动资产、短期银行贷款、应付账款、客户垫款、应计负债和其他应付款项以及其他应付税款的账面金额,根据这些工具的短期到期情况,将其与公允价值相若,因为这些工具具有短期性质。
F-16
耀世星辉新文娱集团控股有限公司
合并财务报表附注
(单位:千美元,股票和每股数据除外)
2.重要会计政策摘要(续)
(d)现金和现金等价物
现金包括库存现金和银行现金。本公司在中国的多家金融机构持有现金。截至2021年12月31日和2022年12月31日,未投保的现金余额分别为77302美元和70482美元。本公司在银行账户中没有遭受任何损失,并认为其在银行账户中的现金没有任何风险。
(e)短期投资
短期投资指投资于PRC金融机构的结构性存款,本公司可选择在任何工作日赎回。本公司将所有原到期日超过三个月、但少于12个月的高流动性投资作为短期投资入账。利息收入计入收益。
(f)应收账款净额
应收账款是指公司在履行其履约义务时有权无条件获得对价的金额(包括已开票和未开票的金额)。本公司没有任何合同资产,因为收入是在承诺的服务的控制权转移时确认的,而且客户的付款不取决于未来的事件。公司为应收账款的潜在信贷损失保留备抵。管理部门审查应收账款的构成,并分析历史坏账、客户集中程度、客户信誉、当前经济趋势和客户付款方式的变化,以估计备抵。逾期账款一般只有在所有催收努力都已用尽并且认为收回的可能性很小之后才从坏账备抵中注销。
(g)未摊销的制作内容
制作内容包括直接制作成本、制作间接费用和购置成本,并按未摊销成本或估计公允价值中的较低者列报。制作的内容还包括为与第三方达成合作制作其某些作品的安排而支付的现金支出。
本公司采用个人-电影-预测-计算法,根据ASC 926,根据当期实际收入(分子)与截至财政年度开始时估计剩余未确认最终收入(分母)的比率,对制作的内容进行摊销。制作内容的最终收入估计数将定期审查,如果有任何调整,将导致摊销率的预期变化。如果对总收入和其他事件或情况变化的估计表明,电影或电视剧的公允价值低于其未摊销成本,则目前就未摊销成本超过电影或电视剧公允价值的金额确认损失。在截至2020年12月31日、2021年和2022年12月31日的年度,销售成本分别摊销了15970美元、7375美元和128美元,截至2021年12月31日和2022年12月31日,没有减值准备入账,770美元入账。
F-17
耀世星辉新文娱集团控股有限公司
合并财务报表附注
(单位:千美元,股票和每股数据除外)
2.重要会计政策摘要(续)
(h)固定资产、工厂及设备,净值
不动产、厂场和设备按成本减累计折旧列报,并在资产的估计使用寿命内按直线法折旧。成本是指资产的购买价格和使该资产投入现有使用所产生的其他费用。维修和保养费用在发生时记作费用;主要的更换和改进则资本化。当资产报废或处置时,成本和累计折旧从账目中扣除,由此产生的任何收益或损失在处置年度计入收入/损失。估计使用寿命如下:
| 估计使用寿命 | ||
| 电力设备 |
|
|
| 办公设备和家具 |
|
|
| 租赁权改善 |
|
(一)无形资产净额
无形资产按成本减去累计摊销后的金额列报,并以反映无形资产的经济利益预期消耗或以其他方式使用的方式进行摊销。无形资产余额指与CHEERS App相关的软件,该应用是一款允许用户访问其在线商店(e-Mall)、视频内容、直播和在线游戏的移动应用程序。该软件是根据公司的要求从外部采购的,并按照公司估计的从该软件产生经济效益的方式在7年内直线摊销。
(j)长期资产减值
根据ASC主题360,只要有事件或情况变化表明资产的账面价值可能无法完全收回,或至少每年一次,公司都会审查长期资产的减值情况。当预期未贴现未来现金流量的总和低于资产的账面价值时,本公司确认减值损失。减值金额按资产的估计公允价值与其账面价值之间的差额计量。截至2020年12月31日、2021年和2022年12月31日止年度,公司未记录任何减值费用。
F-18
耀世星辉新文娱集团控股有限公司
合并财务报表附注
(单位:千美元,股票和每股数据除外)
2.重要会计政策摘要(续)
(k)租赁
2016年2月,财务会计准则委员会(FASB)发布了ASU2016-02,租赁(主题842),自2018年12月15日之后开始的年度报告期(包括中期)生效,允许提前采用。公司已于2019年1月1日采用经修订的追溯办法采用专题842,反映了该标准适用于合并财务报表所列最早比较期开始时存在或之后订立的租赁。
本公司租赁其办公室,根据专题842,这些办公室被归类为经营租赁。根据专题842,承租人必须在开始日期确认所有租赁(短期租赁除外)的下列事项:(一)租赁负债,即承租人支付租赁付款的义务,按折现计算;(二)使用权资产,即代表承租人在租赁期内使用或控制某一特定资产的使用权的资产。
在启动之日,公司按尚未支付的租赁付款的现值确认租赁负债,并使用租赁内含利率进行折现,如果利率不能轻易确定,则使用与基础租赁相同期限的公司增量借款利率进行折现。使用权资产最初按成本确认,成本主要包括租赁负债的初始金额加上所产生的任何初始直接成本,主要包括经纪佣金,减去收到的任何租赁奖励。对所有使用权资产进行减值审查。截至2021年12月31日和2022年12月31日,使用权租赁资产无减值。
公司的租赁协议不包含任何实质性的剩余价值担保或实质性的限制性契约。
(l)客户预付款
截至2021年12月31日和2022年12月31日,来自客户的预付款分别为536美元和147美元,这是从我们的客户收到的尚未提供的商品或服务的预付款。
本公司在转让与预付款有关的货物或服务的控制权时,将把预付款确认为收入,并且根据合同没有义务转让额外的货物或服务。
(m)增值税
霍尔果斯及其中国子公司提供服务和销售产品需缴纳增值税。
增值税负债的金额是通过对所提供的服务和产品销售的开票金额(销项增值税)减去使用相关证明发票购买的商品所支付的增值税(进项增值税)适用适用的税率确定的。本公司在合并经营报表中列报的所有期间的收入均为扣除PRC增值税后的净额。
F-19
耀世星辉新文娱集团控股有限公司
合并财务报表附注
(单位:千美元,股票和每股数据除外)
2.重要会计政策摘要(续)
(n)收入确认
公司于2017年1月1日提前采用了新的收入准则会计准则编纂(ASC)606《客户合同收入》。这一新收入标准的核心原则是,公司应确认收入,以反映向客户转让承诺的商品或服务的金额,该金额反映了公司预期有权以这些商品或服务换取的对价。为实现这一核心原则采取了以下五个步骤:
| ● | 步骤1:确定与客户的合同 |
| ● | 步骤2:确定合同中的履约义务 |
| ● | 步骤3:确定交易价格 |
| ● | 步骤4:将交易价格分配给合同中的履约义务 |
| ● | 步骤5:在公司履行履约义务时确认收入 |
该公司主要提供自产内容的版权许可、广告和定制内容制作及其他业务,并从这些业务中获得收入。收入确认政策讨论如下:
版权收入
公司自行制作或联合制作以生活方式、文化和时尚为主题的电视剧,并将电视剧的版权以一集为基础授权给客户在一段时间内播放。一般来说,公司与客户签订合同,要求公司向客户提供一系列基本相同且具有相同转移模式的剧集。因此,一系列事件的交付被定义为合同中唯一的履约义务。
对于仅由本公司制作的电视剧,本公司通过衡量在许可期开始后提供给被许可方供展览的整集剧集的交付进度,来逐步履行其履约义务。因此,合同中的版权收入是根据交付的剧集数量的进展情况在一段时间内确认的。
该公司还与其他制片人联合制作电视剧,并将版权授权给第三方视频广播平台播放。对于荣星集团与联合制片人共同制作的电视剧,公司通过向客户交付整集剧集来履行其长期履约义务,并要求客户根据播出平台上发生的电视剧有效后续播放量的数量和单价支付对价。因此,版权收入在有效的后续观看发生或与交付若干集有关的履约义务已得到履行时予以确认。
广告收入
该公司通过销售其电视剧和流媒体内容的各种形式的广告,通过1)广告展示,或2)将促销活动整合到电视剧和将要播出的内容中,产生收入。广告合同的签订是为了确定不同广告场景的不同合同价格,与广告期相一致。本公司直接与广告客户或代表广告客户的第三方广告代理商订立广告合同。
F-20
耀世星辉新文娱集团控股有限公司
合并财务报表附注
(单位:千美元,股票和每股数据除外)
2.重要会计政策摘要(续)
(n)收入确认(续)
对于涉及第三方广告代理商的合同,公司是主要的,因为公司负责履行提供广告服务的承诺,并有确定指定广告价格的酌处权。根据一项框架合同,公司在播出前从广告公司收到单独的定购单。因此,每个定购单都被确定为一项单独的履约义务,其中包含一捆广告,这些广告基本相同,并具有相同的转让给客户的模式。在可收回性得到合理保证的情况下,在定购单的服务期内每月确认收入。
对于直接与广告商签订的合同,公司承诺展示内容和转移模式基本相同或相似的一系列广告,并将展示整个系列广告确定为合同规定的单一履约义务。公司通过衡量在合同中展示整个系列广告的进展情况来逐步履行其履约义务,广告收入根据展示的广告数量逐步确认。
付款条款和条件因合同类型而异,条款通常包括要求在6至9个月内付款。直接广告客户和第三方广告代理商一般在展示期结束时收费,并要求公司开具增值税发票,以便付款。
定制内容制作收入
该公司根据客户的要求制作定制的流媒体短视频,并根据交付情况赚取固定费用。收入在短视频传输时确认。
CHEERS电子商城市场服务收入
该公司通过在线电子商务平台CHEERS E-mall,使第三方商家能够向中国消费者销售其产品。本公司就在Cheer电子商城完成的销售交易向商家收取平台服务费,包括但不限于产品展示、促销和交易结算服务。本公司在交易期间的任何时间都不控制商家提供的产品,对商品的定价也没有自由。交易服务费确定为平台销售价格与商户结算价格之间的差额。CHEERS电子商城市场服务收入在消费者确认收到商品后,确定公司向商家提供市场服务的履约义务已在每项销售交易下完成时确认。服务付款一般在交付前收到。
F-21
耀世星辉新文娱集团控股有限公司
合并财务报表附注
(单位:千美元,股票和每股数据除外)
2.重要会计政策摘要(续)
(n)收入确认(续)
本公司自行决定向消费者提供优惠券,作为推广CHEERS E-mall市场的激励措施,有效期通常在一周左右或不到一周,这些优惠券只能用于未来购买CHEERS E-mall上提供的合格商品,以降低并非针对任何商家的购买价格。消费者不是本公司的客户,因此向消费者提供的奖励不被视为支付给客户的对价。由于消费者必须在未来购买商家的商品以赎回这些优惠券,本公司在获得优惠券时不计入任何费用,并在未来购买时将赎回优惠券的金额确认为营销费用。
其他收入
其他收入主要包括购买和制作的电视系列的版权交易以及在淘宝平台上销售产品。对于购买和制作的电视系列片的版权许可,公司在交付母带和授权转播权的某个时间点按净额确认收入。对于产品的销售,公司根据销售订单中的固定价格和生产金额,在产品转让时确认收入。
下表分别列出截至2020年12月31日、2021年和2022年12月31日止年度的收入分类:
已结束的年份 12月31日, |
||||||||||||
| 2020 | 2021 | 2022 | ||||||||||
| 收入类别: | ||||||||||||
| 广告收入 | $ |
|
$ |
|
$ |
|
||||||
| 定制内容制作收入 |
|
|
- | |||||||||
| 版权收入 |
|
|
|
|||||||||
| CHEERS电子商城市场服务收入 |
|
|
|
|||||||||
| 其他收入 |
|
|
|
|||||||||
| 合计 | $ |
|
$ |
|
$ |
|
||||||
| 确认收入的时间: | ||||||||||||
| 随时间转移的服务 | $ |
|
$ |
|
$ |
|
||||||
| 在某一时点转移的服务 |
|
|
|
|||||||||
| 在某一时间点转移的货物 |
|
|
|
|||||||||
| 合计 | $ |
|
$ |
|
$ |
|
||||||
本公司在摊销期为一年或一年以下的情况下,对与客户签订合同所产生的费用采用了一种实际的权宜之计。在ASC主题606的范围内,本公司没有与客户取得合同所产生的任何重大增量成本和/或与客户履行合同所产生的成本,这些成本应被确认为资产并以与相关合同收入确认时间相匹配的方式摊销到费用中。
F-22
耀世星辉新文娱集团控股有限公司
合并财务报表附注
(单位:千美元,股票和每股数据除外)
2.重要会计政策摘要(续)
(o)收入成本
收入成本主要包括电视剧、短视频和直播的制作成本、劳动力成本和相关收益、支付给各频道所有者的播放费用、商品和版权购买成本以及与公司在线游戏和购物平台CHERRS App的运营相关的成本,如带宽成本和无形资产摊销。
(p)股份补偿
公司定期向符合条件的雇员和非雇员顾问发放限制性普通股。本集团根据ASC主题718 ——股票补偿——对发给雇员和非雇员顾问的股票奖励进行会计处理。以股份为基础的奖励按奖励在授予日的公允价值计量,并确认为费用a)在授予日(如果不需要归属条件)立即确认;或b)在规定的服务期(即归属期)使用直线法。
有关受限制普通股的股份补偿是根据其普通股在授予日的公允价值计量的。本集团确认基于服务的限制性股票在归属期内的补偿费用,扣除估计的没收。没收是在赠款时估计的,如果实际没收与这些估计数不同,则在以后各期加以修订。
(q)所得税
该公司使用ASC 740规定的资产/负债法核算所得税。在这种方法下,递延所得税资产和负债是根据资产和负债的财务报告和税基之间的差异确定的,所采用的税率将在预期差异转回的期间生效。如果根据现有证据的权重,递延所得税资产的一部分或全部很可能无法变现,本公司将计提一笔抵减递延所得税资产的估值备抵。税率变动对递延税款的影响在包括颁布日期在内的期间内确认为收入或损失。
ASC 740-10-25的规定,“所得税不确定性的会计处理”,为合并财务报表确认和计量纳税申报表中已(或预期将采取)的税务状况规定了一个可能性更大的门槛。这一解释还就所得税资产和负债的确认、当期和递延所得税资产和负债的分类、与税务状况相关的利息和罚款的会计处理以及相关披露提供了指导。公司不认为在2021年12月31日和2022年12月31日存在任何不确定的税务状况。
本公司在PRC的经营子公司须接受有关税务机关的审查。根据《PRC税收管理和征收法》,纳税人或扣缴义务人因计算错误而少缴税款的,诉讼时效为三年。在特殊情况下,少缴税款超过10万元人民币(15685美元)的,时效延长至五年。在转让定价问题上,诉讼时效为十年。在逃税的情况下没有时效规定。截至2022年12月31日,本公司PRC子公司截至2018年12月31日至2022年12月31日的纳税年度仍可由PRC税务机关进行法定审查。
F-23
耀世星辉新文娱集团控股有限公司
合并财务报表附注
(单位:千美元,股票和每股数据除外)
2.重要会计政策摘要(续)
(r)非控制性权益
本公司附属公司的非控制权益指该附属公司的权益(净资产)中不直接或间接归属于本公司的部分。非控制性权益在综合资产负债表上作为权益的一个单独组成部分列报,净收益和其他综合收益归属于控制性权益和非控制性权益。
(s)每股收益
公司根据ASC 260,即每股收益(ASC 260)计算每股收益(EPS)。ASC 260要求拥有复杂资本结构的公司提供基本和稀释的每股收益。基本每股收益的计算方法是:归属于普通股股东的净收益/(亏损)除以当期已发行普通股的加权平均数。稀释每股收益类似于基本每股收益,但对潜在普通股(如可转换证券、盈利股票、认股权证和股票期权)的每股稀释效应,就好像它们是在所述期间开始时或发行日期(如果较晚)被转换的一样。具有反稀释效应的潜在普通股(即增加每股收益或减少每股亏损的普通股)被排除在稀释每股收益的计算之外。截至2020年12月31日、2021年和2022年12月31日止年度不存在反稀释效应。
(t)有关各方
如果当事人通过一个或多个中间人直接或间接控制、受公司控制或与公司共同控制,则当事人被视为与公司有关联。关联方还包括公司的主要所有人、公司管理层、公司主要所有人的直系亲属及其管理层,以及公司可能与之打交道的其他各方,如果一方控制或可能对另一方的管理或经营政策产生重大影响,以致交易方中的一方可能无法充分追求其各自的利益。本公司在附注11中披露了所有重大关联方交易。
(u)集中和信贷风险
公司基本上所有的经营活动都是以人民币进行的,人民币不能自由兑换成外币。所有外汇交易都是通过中国人民银行或其他银行进行的,这些银行有权按照中国人民银行的汇率买卖外币。中国人民银行或其他监管机构批准外币付款,需要提交付款申请表以及供应商的发票、运输文件和已签署的合同。
本公司在PRC、香港和开曼设有若干银行账户,这些账户没有联邦存款保险公司(FDIC)保险或其他保险。截至2021年12月31日和2022年12月31日,公司的现金中有74,963美元和70,199美元存放在PRC的金融机构,目前没有任何规则或法规要求这些金融机构在银行倒闭时为银行存款投保。
应收账款通常是无担保的,来自从客户那里赚取的收入,因此面临信贷风险。公司对客户信用度的评估以及对未偿余额的持续监控,降低了风险。
F-24
耀世星辉新文娱集团控股有限公司
合并财务报表附注
(单位:千美元,股票和每股数据除外)
2.重要会计政策摘要(续)
(u)集中和信贷风险(续)
该公司的销售对象是主要位于中国的客户。本公司的收入和应收账款集中于特定客户。截至2020年12月31日、2021年和2022年12月31日止年度,主要客户分别占公司总收入的14%、20%和21%。截至2021年12月31日,前五大客户占应收账款净额的比例为80%,各客户占应收账款净额的比例分别为24%、21%、20%、9%和7%。截至2022年12月31日,前五大客户占应收账款净额的比例为76%,各客户占应收账款净额的比例分别为27%、19%、11%、10%和9%。
截至2021年12月31日和2022年12月31日,一家主要供应商占应付账款的比例分别为53%和30%。
(五)外币折算
本公司的报告货币为美元(“USD”)。子公司、VIE和VIE在中国的子公司的功能货币为人民币。对于功能货币为人民币的实体,经营成果和现金流量按期间平均汇率折算,资产和负债按期末统一汇率折算,权益按历史汇率折算。因此,在现金流量表中报告的与资产和负债有关的数额不一定与资产负债表上相应余额的变化一致。将当地货币财务报表转换成美元的过程中产生的换算调整数包括在综合收入/损失的确定中。以外币计价的交易按交易日的现行汇率折算为记账本位币。以外币计值的资产和负债按资产负债表日的现行汇率折算为记账本位币,以记账本位币以外的货币计值的交易的汇率波动所产生的任何交易损益在发生时计入经营业绩。
本公司的所有收入和支出交易均以营运子公司的记账本位币进行。本公司并无以外币进行任何重大交易。交易损益对本公司的经营业绩没有、预计也不会产生重大影响。
2021年12月31日和2022年12月31日的合并资产负债表金额(权益除外)分别为人民币6.3757元至1.00美元和人民币6.96 46元至1.00美元。股票账户按其历史汇率列报。截至2020年12月31日、2021年和2022年12月31日的年度合并业务和现金流量表采用的平均换算率分别为人民币6.9042元至1.00美元、人民币6.4531元至1.00美元和人民币6.7261元至1.00美元。
F-25
耀世星辉新文娱集团控股有限公司
合并财务报表附注
(单位:千美元,股票和每股数据除外)
2.重要会计政策摘要(续)
(w)最近的会计公告
2021年10月,FASB发布了ASU第2021-08号,《企业合并(主题805):来自客户合同的合同资产和合同负债的会计处理》(ASU 2021-08),明确企业的收购方应根据主题606,客户合同收入确认和计量企业合并中的合同资产和合同负债。新的修订自2023年12月15日之后开始的财政年度生效,包括这些财政年度内的过渡期。修正案应前瞻性地适用于在修正案生效之日或之后发生的企业合并,并允许早日通过。公司目前正在评估新的指导意见对合并财务报表的影响。
2022年6月,FASB发布了ASU 2022-03,“公允价值计量(主题820):受合同销售限制的股本证券的公允价值计量”,其中明确了对出售股权证券的合同限制不被视为股权证券记账单位的一部分,因此在计量公允价值时不被考虑。修正案还阐明,一个实体不能作为一个单独的记账单位,承认和衡量合同规定的销售限制。这一指导意见还要求对受合同销售限制的股本证券进行某些披露。新的指导方针要求在通过修正后的任何调整后前瞻性地适用,这些调整在收益中确认,并在通过之日披露。本指导意见对2023年12月15日之后开始的财政年度有效,包括这些财政年度内的过渡期。允许提前领养。公司预计,采用这一指导意见不会对财务状况、业务结果和现金流量产生重大影响。
财务会计准则委员会已发布或提议的其他会计准则,如在未来某一日期之前不需要采用,预计在采用后不会对合并财务报表产生重大影响。本公司不讨论预计不会对其合并财务状况、经营业绩、现金流量或披露产生影响或与之无关的近期公告。
F-26
耀世星辉新文娱集团控股有限公司
合并财务报表附注
(单位:千美元,股票和每股数据除外)
3.应收账款净额
截至2021年12月31日和2022年12月31日,应收账款包括:
12月31日, 2021 |
12月31日, 2022 |
|||||||
| 应收帐款-毛额 | $ |
|
$ |
|
||||
| 呆账备抵 | ( |
) | ( |
) | ||||
| 应收账款净额 | $ |
|
$ |
|
||||
公司在截至2020年12月31日和2021年12月31日的年度分别转回了1126美元和268美元的坏账费用,并在截至2022年12月31日的年度记录了440美元的坏账费用。
4.预付款项及其他流动及非流动资产
截至2021年12月31日和2022年12月31日,预付款项及其他流动和非流动资产包括:
12月31日, 2021 |
12月31日, 2022 |
|||||||
| 预付外包生产成本 | $ |
|
$ |
|
||||
| 预付合拍电视剧的费用 |
|
|||||||
| 预付给供应商的款项 |
|
|
||||||
| 工作人员预付款 |
|
|
||||||
| 其他 |
|
|
||||||
| 小计 |
|
|
||||||
| 减:呆账备抵 | ||||||||
| 预付款项和其他资产净额 | $ |
|
$ |
|
||||
| 包括: | ||||||||
| 预付款项和其他流动资产净额 | $ |
|
$ |
|
||||
| 预付款项和其他非流动资产净额 | $ |
|
$ |
|
||||
5.物业、厂房及设备净额
截至2021年12月31日和2022年12月31日,不动产、厂场和设备包括:
12月31日, 2021 |
12月31日, 2022 |
|||||||
| 电子设备 | $ |
|
$ |
|
||||
| 办公设备和家具 |
|
|
||||||
| 租赁权改善 |
|
|
||||||
|
|
|
|||||||
| 减:累计折旧 | ( |
) | ( |
) | ||||
| $ |
|
$ |
|
|||||
截至2020年12月31日、2021年和2022年12月31日,折旧费用分别为156美元、82美元和90美元。
F-27
耀世星辉新文娱集团控股有限公司
合并财务报表附注
(单位:千美元,股票和每股数据除外)
6.净无形资产
截至2021年12月31日和2022年12月31日,无形资产包括:
12月31日, 2021 |
12月31日, 2022 |
|||||||
| 无形资产–毛额 | $ |
|
$ |
|
||||
| 减:累计摊销 | ( |
) | ( |
) | ||||
| $ |
|
$ |
|
|||||
无形资产余额主要是与CHEERS App相关的软件,主要包括电子商城、在线游戏、视频媒体库和数据仓库模块等,这些软件是根据公司的要求从外部购买的,按照公司估计的方式在7年内直线摊销,以产生此类软件的经济效益。
截至2020年12月31日、2021年和2022年12月31日,摊销费用分别为2754美元、2008美元和2794美元。以下是截至2022年12月31日无形资产摊销额按会计年度分列的明细表:
| 2023 | $ |
|
||
| 2024 |
|
|||
| 2025 |
|
|||
| 2026 |
|
|||
| 此后 |
|
|||
| 合计 | $ |
|
7.应计负债及其他应付款
截至2021年12月31日和2022年12月31日,应计负债和其他应付款包括:
| 12月31日, 2021 |
12月31日, 2022 |
|||||||
| 应付Cheers e-Mall商户款项 |
|
|
||||||
| 共同投资网络系列制作基金 |
|
|
||||||
| 应付薪金 |
|
|
||||||
| 其他应付款 |
|
|
||||||
| $ |
|
$ |
|
|||||
| 应付给Cheers e-Mall商家的款项与代表商家预收的现金有关,相关交易尚未完成。 |
F-28
耀世星辉新文娱集团控股有限公司
合并财务报表附注
(单位:千美元,股票和每股数据除外)
8.其他应付税款
截至2021年12月31日和2022年12月31日,其他应缴税款包括:
| 12月31日, 2021 |
12月31日, 2022 |
|||||||
| 应付增值税 | $ |
|
$ |
|
||||
| 应交所得税 |
|
|
||||||
| 应缴营业税 |
|
|
||||||
| 其他 |
|
|||||||
| $ |
|
$ |
|
|||||
9.银行贷款
银行贷款指在一年内和一年以上到期的应付各银行的款项。截至2021年12月31日和2022年12月31日,银行贷款包括:
| 12月31日, 2021 |
12月31日, 2022 |
|||||||
| 短期银行贷款: | ||||||||
| 北京银行贷款(1) | $ |
|
$ |
|
||||
| 招商银行贷款(2) |
|
|
||||||
| 华夏银行贷款(3) |
|
|
||||||
| 厦门国际银行贷款(4) |
|
|
||||||
| $ |
|
$ |
|
|||||
| (1) |
2021年12月28日,荣耀星北京与北京银行签订贷款协议,借入471美元作为营运资金,期限为一年,到期日为2022年12月23日。贷款的固定年利率为3.80%。公司为截至2021年12月31日的未摊销余额为7美元的贷款支付了7美元的担保费。贷款发放成本在综合资产负债表中列报,作为直接从贷款账面值中扣除的款项,并按截至2021年12月31日的实际利率5.29%摊销至利息费用。贷款由北京世创通盛融资担保有限公司担保,霍尔果斯和公司董事长张兵先生为其提供了反担保。贷款已于2022年11月21日全部偿还。
2022年3月31日,北京乐购与北京银行签订贷款协议,借入718美元作为营运资金,期限为一年,到期日为2023年3月31日。贷款的固定年利率为3.70%。截至2022年12月31日,公司为这笔未摊销余额为4美元的贷款支付了15美元的担保费。贷款发放成本在综合资产负债表中列报,作为从贷款账面值中直接扣除的款项,并按截至2022年12月31日的实际利率5.80%摊销至利息费用。该贷款由北京海淀科技企业融资担保有限公司提供担保,并由荣星北京、霍尔果斯科技和公司董事会主席张兵先生提供反担保。
2022年11月29日,荣耀星北京与北京银行签订贷款协议,借入431美元作为营运资金,期限为一年,到期日为2023年11月28日。贷款的固定年利率为3.65%。公司为截至2022年12月31日未摊销余额为6美元的贷款支付了7美元的担保费。贷款发放成本在综合资产负债表中列报,作为从贷款账面值中直接扣除的款项,并按截至2022年12月31日的实际利率5.20%摊销至利息费用。贷款由北京世创通盛融资担保有限公司担保,霍尔果斯和公司董事长张兵先生为其提供了反担保。 |
F-29
耀世星辉新文娱集团控股有限公司
合并财务报表附注
(单位:千美元,股票和每股数据除外)
9.银行贷款(续)
| (2) | 2020年3月,Glory Star Beijing与招商银行签订了另一份两年期最高额度为1533美元的信贷安排协议。2021年3月26日。荣耀星北京提取了1568美元,固定利率为4.5%。贷款已于2022年3月21日全部偿还。2022年2月,Glory Star Beijing与招商银行签订了另一项最高2154美元的两年期信贷安排协议。2022年3月1日和2022年3月25日。荣耀星北京提取了2,154美元,固定利率为4.5%。截至2022年12月31日,公司为这笔未摊销余额为10美元的贷款支付了51美元的担保费。贷款发放成本在综合资产负债表中列报,作为直接从贷款账面值中扣除的费用,并使用截至2022年12月31日的6.94%的实际利率摊销到利息费用中。该贷款由北京中关村科技融资担保有限公司提供担保,霍尔果斯、本公司董事长张兵先生和本公司副总裁鲁佳先生为该公司提供了反担保。 |
| (3) |
2020年3月,荣星北京与华夏银行签订了一份两年期最高额度为1533美元的信贷安排协议。2020年3月23日,荣耀星北京提款1533美元,其中153美元于2021年3月21日全部偿还,其余1380美元于2022年3月23日到期。贷款的固定年利率为6.09%。截至2021年12月31日,未清余额为1412美元,将于2022年3月23日到期。公司为剩余贷款支付了33美元的担保费,截至2021年12月31日,未摊销余额为6美元。贷款发放成本在综合资产负债表中列报,直接从贷款账面值中扣除,并按截至2021年12月31日的实际利率8.13%摊销至利息费用。本次贷款由北京海淀科技企业融资担保有限公司提供担保,霍尔果斯以应收北京爱奇艺科技股份有限公司的账款为抵押向北京海淀科技企业融资担保有限公司提供反担保,公司董事长张兵先生提供追加担保。
2022年3月,荣星北京与华夏银行签订了一份两年期最高718美元的信贷安排协议。2022年3月31日。Glory Star Beijing提取了718美元,其中718美元将于2023年3月30日到期。贷款的固定年利率为3.70%。截至2022年12月31日,公司为这笔未摊销余额为11美元的贷款支付了15美元的担保费。贷款发放成本在综合资产负债表中列报,作为从贷款账面值中直接扣除的款项,并按截至2022年12月31日的实际利率5.80%摊销至利息费用。本次贷款由北京海淀科技企业融资担保有限公司提供担保,霍尔果斯科技和北京乐夏为北京海淀科技企业融资担保有限公司提供反担保,公司董事长张兵先生提供追加担保。 |
| (4) | 2020年9月29日,乐视北京分别与厦门国际银行签订了两年期最高1073美元的信贷安排协议和一年期最高460美元的信贷安排协议。2020年9月30日,乐视北京分别提取了1073美元和460美元,到期日均为2021年3月29日。这些贷款的固定利率分别为6.0%和5.5%。这些贷款由霍尔果斯和公司董事会主席张兵先生担保。两笔贷款均已于2021年3月4日偿还,并于同日重新发放,固定利率分别为6.0%和5.5%。贷款已于2021年9月3日偿还。2021年9月6日,1097美元的债券重新发行,到期日为2022年3月5日。2021年11月23日,471美元重新发行,到期日为2022年5月22日。这两笔贷款的固定年利率为6.0%。
2021年11月12日,乐视北京与厦门国际银行签订了一份两年期最高431美元的信贷安排协议。2022年11月25日,北京乐享提取了431美元,到期日为2023年5月24日。该贷款的固定利率为6.0%。这笔贷款由霍尔果斯和公司董事会主席张兵先生担保。 |
截至2020年12月31日、2021年和2022年12月31日止年度,银行贷款加权平均利率分别约为7.19%、6.92%和6.46%。截至2020年12月31日、2021年和2022年12月31日,与银行贷款相关的利息支出分别为332美元、383美元和346美元。
F-30
耀世星辉新文娱集团控股有限公司
合并财务报表附注
(单位:千美元,股票和每股数据除外)
10.租赁
该公司根据不可撤销的经营租约租用办公空间,租期从一年到五年不等。本公司认为,在确定租赁期限和使用权资产及租赁负债的初步计量时,可以合理地确定应行使的续租或终止选择权。租赁付款的租赁费用在租赁期内按直线法确认。初始期限为12个月或以下的租赁不记入资产负债表。
公司在合同开始时确定合同是否属于或包含租赁,以及该租赁是否符合融资租赁或经营租赁的分类标准。在可获得的情况下,公司使用租约中的内含费率将租约付款折现为现值;然而,公司的大部分租约并没有提供一个容易确定的内含费率。因此,公司根据对其增量借款率的估计对租赁付款进行贴现。
公司的租赁协议不包含任何实质性的剩余价值担保或实质性的限制性契约。
与经营租赁有关的补充资产负债表资料如下:
12月31日, 2021 |
12月31日, 2022 |
|||||||
| 使用权资产 | $ |
|
$ |
|
||||
| 租赁负债流动 | $ |
|
$ |
|
||||
| 非流动租赁负债 |
|
|
||||||
| 经营租赁负债共计 | $ |
|
$ |
|
||||
截至2022年12月31日,经营租赁的加权平均剩余租赁条款和折现率如下:
| 剩余租期和贴现率: | ||||
| 加权平均剩余租期(年) |
|
|||
| 加权平均贴现率 |
|
% | ||
截至2020年12月31日、2021年和2022年12月31日止年度,公司的经营租赁费用总额分别为533美元、535美元和454美元。
以下是截至2022年12月31日按财政年度开列的租赁负债到期情况一览表:
| 2023 |
|
|||
| 2024 |
|
|||
| 租赁付款共计 |
|
|||
| 减:估算利息 |
|
|||
| 租赁负债现值 | $ |
|
F-31
耀世星辉新文娱集团控股有限公司
合并财务报表附注
(单位:千美元,股票和每股数据除外)
11.关联方交易
应付关联方款项
截至2021年12月31日和2022年12月31日,应付关联方款项如下:
12月31日, 2021 |
12月31日, 2022 |
|||||||
| TKK交响乐赞助商1 | |
|||||||
| $ |
|
$ | ||||||
截至2021年12月31日和2022年12月31日的余额分别为500美元和零美元,是从关联方借入的,用于公司的营运资金需求。这些余额是短期性质的,不计息,无担保,可按要求偿还。2022年2月16日,应付TKK Symphony Sponsor 1的50万美元已全部偿还。
可转换本票关联方
2019年9月6日,GS Holdings向保荐人发行了本金不超过1100美元的无担保本票(“保荐书”),用于保荐人发放或将发放的流动资金贷款,据此,先前提供的350美元预付款被转换为保荐书项下的贷款。该票据没有利息,应于(i)业务合并的完成或(ii)GS Holdings的清算中较早的日期到期。根据保荐书,最多可将1000美元的贷款转换为认股权证,每份认股权证使持有人有权获得一股普通股的一半,每份认股权证为0.50美元。2019年9月和10月,GS控股公司在保荐书项下又收到750美元,使截至2019年12月31日在保荐书项下的未清余额总额达到1100美元。
2020年2月14日,GS控股与保证人订立了一份经修订和重报的本票(“经修订的保证人票”),将到期日从企业合并结束之日延长至企业合并结束之日起一年。此外,根据经修订的保荐书,TKK授予保荐人权利,可将经修订的保荐书项下的未清偿余额1400美元转换为GS Holdings的普通股,转换价格等于该转换日期前十个交易日GS Holdings普通股在纳斯达克或其普通股上市或报价的其他证券交易所或证券市场的成交量加权平均价格;但转换价格不得低于5.00美元。2021年2月14日,即经修订的保荐书的到期日,经修订的保荐书自动转换为280000股GS Holdings的普通股,转换价格为每股5.00美元。
F-32
耀世星辉新文娱集团控股有限公司
合并财务报表附注
(单位:千美元,股票和每股数据除外)
12.所得税
开曼群岛
GS Holdings和Glory Star在开曼群岛注册成立。根据开曼群岛现行法律,GS Holdings和Glory Star无需缴纳所得税或资本利得税。此外,股息支付在开曼群岛不需缴纳预扣税。
香港
2018年3月21日,香港立法会通过《2017年税务(修订)(第7号)条例草案》(《条例草案》),引入两级利得税率制度。该法案于2018年3月28日签署成为法律,并于次日在宪报刊登。在两级利得税率制度下,合资格集团实体的首200万港元(HKD)的利润将按8.25%课税,而200万港元以上的利润将按16.5%课税。
PRC
WFOE、霍尔果斯、荣耀星北京、北京乐夏尔、霍尔果斯荣耀昌盛、深圳乐夏尔、霍尔果斯荣耀智、北京荣耀智、霍尔果斯科技和星翠灿是在PRC注册成立的,根据有关的PRC所得税法就应纳税所得额缴纳PRC企业所得税(“EIT”)。2007年3月16日,全国人民代表大会颁布了新的企业所得税法,该法于2008年1月1日生效。该法对外商投资企业和国内企业适用统一的25%的企业所得税税率。截至2019年12月31日、2020年和2021年12月31日止年度,北京辉煌智慧被认定为小型微利企业,并获得10%的所得税优惠税率。北京乐山被认定为高新技术企业,享受15%的所得税优惠税率。霍尔果斯、霍尔果斯荣耀昌盛、霍尔果斯荣耀昌盛、霍尔果斯荣耀昌盛、霍尔果斯荣耀昌盛、霍尔果斯荣耀昌盛、霍尔果斯荣耀昌盛、霍尔果斯荣耀耀昌盛、霍尔果斯荣耀昌盛、霍尔果斯荣耀昌盛、霍尔果斯荣耀昌盛、霍尔果斯荣耀昌盛、霍尔果斯荣耀霍尔果斯科技在2020年至2024年期间有资格获得所得税豁免,并有望在2025年至2029年期间享受15%的所得税优惠税率,因为它们都是在新疆霍尔果斯经济区注册成立的。
F-33
耀世星辉新文娱集团控股有限公司
合并财务报表附注
(单位:千美元,股票和每股数据除外)
12.所得税(续)
法定所得税率与公司实际所得税率的对账如下:
截至12月31日止年度 |
||||||||||||
| 2020 | 2021 | 2022 | ||||||||||
| (重报) | ||||||||||||
| 所得税拨备前净收入 | $ |
|
$ |
|
$ |
|
||||||
| PRC法定税率 |
|
% |
|
% |
|
% | ||||||
| 按法定税率征收的所得税 |
|
|
|
|||||||||
| 不能为税务目的而扣除的开支 |
|
|
|
|||||||||
| 估值备抵变动 |
|
|
||||||||||
| 权证责任重估的影响 | ( |
) | ( |
) |
|
|||||||
| 给予PRC实体的优惠税率的影响(a) | ( |
) | ( |
) | ( |
) | ||||||
| 所得税费用 | $ |
|
$ |
|
$ |
|
||||||
| 实际所得税率 |
|
% |
|
% |
|
% | ||||||
| (a) |
|
现行的《PRC企业所得税法》对外商投资企业向其在PRC境外的直接控股公司分配的股息征收10%的预提所得税。如果PRC与外国控股公司之间有税务协定安排,将适用较低的预扣税率。例如,对香港控股公司的分配,如符合PRC税务机关规定的某些要求,将适用5%的预扣税率。
截至2021年12月31日和2022年12月31日,公司未对其在PRC的外商投资企业的留存收益缴纳任何预扣税,因为公司打算将其收益进行再投资以进一步扩大其在中国大陆的业务,其外商投资企业也不打算向其直接的外国控股公司宣派股息。
F-34
耀世星辉新文娱集团控股有限公司
合并财务报表附注
(单位:千美元,股票和每股数据除外)
12.所得税(续)
ASC 740“所得税会计”项下的暂时性差异对截至2021年12月31日和2022年12月31日递延所得税资产的税务影响如下:
12月31日, 2021 |
12月31日, 2022 |
|||||||
| 递延所得税资产: | ||||||||
| 呆账备抵 | $ | |
$ | |
||||
| 递延所得税资产总额,净额 | $ |
|
$ |
|
||||
ASC 740-10-25的规定,“所得税不确定性的会计”,规定了合并财务报表确认和计量纳税申报表中已(或预期将采取)的税务状况的可能性大于不可能的阈值。这一解释还就所得税资产和负债的确认、当期和递延所得税资产和负债的分类、与税务状况相关的利息和罚款的会计处理以及相关披露提供了指导。公司认为截至2021年12月31日和2022年12月31日不存在任何不确定的税务状况。
13.对雇员的股份补偿
2020年2月14日,公司董事会批准了2019年股权激励计划(“2019年计划”),该计划允许向公司员工、董事和顾问授予最多3732590股普通股的股票和期权。根据行使期权而发行的普通股的每股行使价将不低于授予日每股普通股公平市价的100%或110%。
2020年3月13日,公司三名独立董事与公司签订了独立董事协议和限制性股票授予协议(“授予协议”)。根据授标协议,在担任公司董事期间,公司每名独立董事有权收取每月2美元(每年24美元)的费用,以及每年2000股公司普通股。2020年3月13日,根据公司2019年计划授予协议,公司向每位独立董事授予2000股。所有股份于批出日期归属。
2020年5月29日,公司根据公司2019年计划的授标协议,授予高管和关键员工1,585,000股。50%的股份在授予日立即归属,50%的股份在授予日起90天后归属,取决于每个人是否继续受雇。截至2020年12月31日,除因两名员工从公司辞职而注销的24000股股票外,所有股票均已归属。
2020年9月15日,公司与Ke Chen先生签订了独立董事协议(“陈氏协议”)。根据《陈氏协议》,陈先生每年将获得每月2美元(每年24美元)的报酬,外加费用补偿,以及每年服务2000股公司普通股。2020年9月14日,公司根据公司2019年股权激励计划下的限制性股票奖励协议的条款授予陈先生2,000股。100%的股份于2021年9月14日全部归属。
2022年4月7日,董事会任命Zhihong Tan先生为我们的非执行董事,然后授予并授予2000股普通股作为补偿。
F-35
耀世星辉新文娱集团控股有限公司
合并财务报表附注
(单位:千美元,股票和每股数据除外)
13.对雇员的股份补偿(续)
截至2021年12月31日和2022年12月31日止年度的限制性普通股活动摘要如下。
数目 股份 |
加权 平均 授予日期 公允价值 |
|||||||
| 美元 | ||||||||
| 2020年12月31日 |
|
|
||||||
| 既得 |
|
|
||||||
| 2021年12月31日 | ||||||||
| 授予 |
|
|
||||||
| 既得 |
|
|
||||||
| 2022年12月31日 | ||||||||
截至2021年12月31日和2022年12月31日止年度的股票公允价值总额分别为6美元和2美元。截至2020年12月31日、2021年和2022年12月31日止年度为限制性普通股确认的补偿费用分配到以下费用项目:
| 已结束的年份 12月31日, |
||||||||||||
| 2020 | 2021 | 2022 | ||||||||||
| 收入成本 | $ |
|
$ | $ | ||||||||
| 销售和营销 |
|
|||||||||||
| 一般和行政 |
|
|
|
|||||||||
| $ |
|
$ |
|
$ |
|
|||||||
截至2021年12月31日和2022年12月31日,不存在未确认的补偿费用。
F-36
耀世星辉新文娱集团控股有限公司
合并财务报表附注
(单位:千美元,股票和每股数据除外)
14.股权
优先股
本公司获授权发行2000000股优先股,每股面值0.0001美元,其名称、权利和优惠由本公司董事会不时决定。截至2021年12月31日和2022年12月31日,没有已发行或流通的优先股。
普通股
本公司获准发行200,000,000股普通股,每股面值0.0001美元。普通股持有人每一股有权投一票。
公司聘请EarlyBirdCapital作为与业务合并有关的顾问(“原始营销协议”),协助公司确定目标企业,与股东举行会议,讨论潜在的业务合并和目标企业的属性,向有意购买证券的潜在投资者介绍公司,协助公司获得股东对业务合并的批准,并协助公司发布新闻稿和提交与业务合并有关的公开文件。公司同意在业务合并完成后向EarlyBirdCapital支付相当于8750美元的现金服务费(不包括可能需要支付的任何适用的发现者费用)。公司还同意向EarlyBirdCapital支付相当于交易价值1.0%的现金费用,前提是EarlyBirdCapital找到了与公司完成业务合并的目标企业。
就业务合并而言,公司于2020年2月14日与EarlyBirdCapital订立业务合并营销协议费用修订(“费用修订”),据此EarlyBirdCapital同意修订原始营销协议。根据费用修正案,EarlyBirdCapital同意减少根据原始协议应支付的8750美元的费用,并放弃偿还费用,以换取一张4000美元的无息可转换本票(“EBC票据”)。EBC票据的有效期为一年,可根据EarlyBirdCapital的选择转换为公司普通股,转换价格等于转换日期前十个交易日公司普通股在纳斯达克或公司普通股上市或报价的其他证券交易所或证券市场的成交量加权平均价格;但转换价格不得低于5.00美元(“底价”)。2020年3月26日,EBC债券被转换为公司的800,000股普通股。
本公司与深圳市泉渡广告有限公司(以下简称“泉渡广告”)订立营销推广服务合同,以扩大华南地区的广告市场,争取更大的市场份额。泉渡广告是一家致力于拓展广告业务的公司。长期致力于中国南方电力地区,包括深圳、广东、福建、湖南和湖北等省,拥有非常广泛的资源,并与消费、电信和医疗企业建立了长期的合作关系。服务期限为12个月,从2020年3月至2021年3月。根据合同,本公司于2020年3月13日以每股2.45美元的价格发行125,000股股票,对权度广告提供的服务进行补偿。
自纳斯达克上市以来,公司正努力拓展新的业务增长领域,寻求合作和并购资产。为此,本公司与深圳市易金城商务咨询有限公司(以下简称“易金城”)订立协议,以协助收购媒体及内容资产并寻找合作伙伴。亿金诚是一家专注于为上市公司提供业务咨询和并购服务的公司。服务期限为9个月,从2020年3月至2020年12月。根据该合同,本公司于2020年3月13日发行价值每股2.45美元的20万股公司普通股,以补偿易进成在本协议项下的服务。
在2019财政年度结束后,根据股份交换协议的条款,公司确定2019年盈利目标已达到,卖方有权获得2019年盈利股份。于2020年4月22日,公司根据股份交换协议的条款向卖方额外发行5,000,000股公司普通股,作为2019年盈利股份。
F-37
耀世星辉新文娱集团控股有限公司
合并财务报表附注
(单位:千美元,股票和每股数据除外)
14.股票(续)
2020年5月13日,公司与Consortium Management,LLC(以下简称“Consortium”)签订了一份咨询和媒体放大协议,根据该协议,公司同意支付最多300美元的现金,并发行112,500股公司普通股,由Consortium为公司提供某些服务。集团收到了180美元现金和根据《咨询协议》提供服务的全部112500股股份。本公司于2020年10月16日向集团再发行20,000股普通股,用于支付结算款项。
2020年9月15日,公司与Fortune Path Limited(一家在英属维尔京群岛注册的公司)签订了一份咨询协议,并根据咨询协议的条款和条件向Fortune Path Limited指定的人Xingxian Li发行了100,000股普通股。根据咨询协议将向Fortune Path Limited的指定持有人发行的10万股公司普通股,价值3.12美元,即公司普通股于2020年9月15日的收盘价。
2020年10月,公司与Hong Kong Duoku Limited(简称“Duoku”)签订认购协议,根据该协议,公司将以每股10.31美元的价格向Duoku发行193,986股普通股。2020年11月17日,公司完成了193986股普通股的发行,购买价格为每股10.31美元。
2021年2月,向TKK发行了28万股可转换债券转换后可发行的普通股,加权平均行使价为每股5.00美元。
2021年2月22日,公司与Univest Securities,LLC(“Univest”)签订了一份承销协议(“承销协议”),作为协议中指定的几家承销商(统称“承销商”)的代表,根据该协议,公司同意发行和出售(i)3,810,976股公司普通股(“发售股份”),每股面值0.0001美元(“普通股”)和(ii)认股权证(“认股权证”),以通过承销公开发行(“发售”)购买总计3,810,976股普通股(“认股权证股份”)。此外,本公司已授予承销商45天期权(“超额配股权”),以购买最多571,646股普通股(“期权股”),并授予认股权证,以购买最多571,646股普通股,价格为公开发行价格,减去承销折扣和佣金。发售股份和认股权证将于2021年2月24日交付,按照承销协议的规定,以每股3.28美元的公开发行价格和相关认股权证购买一股普通股,但须满足某些成交条件。
2021年3月25日,承销商全额行使超额配股权,完成了购买额外571,646股公司普通股的交易,同时认购了与2021年2月24日公司承销公开发行相关的最多571,646股公司普通股的认股权证。额外的普通股和认股权证以每股普通股和相关认股权证3.28美元的公开发行价格出售。
在2020年财政年度结束后,根据股份交换协议的条款,公司确定2020年盈利目标已达到,卖方有权获得2020年盈利股份。于2021年4月,公司根据股份交换协议的条款向卖方额外发行5,000,000股公司普通股,作为2020年盈利股份。
2021年8月26日,公司与一家机构投资者签订认购协议,出售最多2,857,142股公司普通股(“普通股”),总收益不超过约10,000,000美元(“发售”)。每股普通股将附有一份可行使的认股权证,以每股4.40美元的行权价购买一股普通股(“认股权证”)。每股普通股和认股权证以固定的合并购买价格3.50美元出售。每份认股权证可立即行使,并于发行日期一周年时失效。此次发售的首个截止日期为2021年8月30日,代表571,428股普通股的买卖和购买571,428股普通股的认股权证。
2022年4月7日,董事会任命Zhihong Tan先生为我们的非执行董事,然后授予并授予2000股普通股作为补偿。
截至2021年12月31日和2022年12月31日,已发行和流通的普通股分别为68,122,402股和68,124,402股。
公开认股权证
根据首次公开发行,TKK以每单位10.00美元的购买价格出售了25,000,000个单位,包括在承销商选择部分行使超额配股权后于2018年8月22日出售给承销商的3,000,000个单位。每一股由一股普通股、一份认股权证(“公开认股权证”)和一项权利(“公共权利”)组成。每份公开认股权证使持有者有权以每股11.50美元的行使价格购买一股普通股的二分之一。每一项公权赋予持有人在企业合并结束时获得一股普通股十分之一的权利。
公开认股权证只可对全部股份行使。在行使公开认股权证时,不会发行零碎普通股。公开认股权证将于(a)完成一项业务合并及(b)自首次公开发行结束起计12个月后生效。任何公开认股权证均不得以现金形式行使,除非本公司有一份有效和现行的登记表,涵盖在行使公开认股权证时可发行的普通股,并有一份现行的与此种普通股有关的招股说明书。尽管如此,如果一份涵盖在行使公开认股权证时可发行的普通股的登记声明在企业合并完成之日起90天内不能生效,则持有人可根据《证券法》规定的现有登记豁免,以无现金方式行使公开认股权证,直至有一份有效登记声明为止,并在公司未能保留有效登记声明的任何期间内。如果不能获得登记豁免,持有者将无法在无现金的基础上行使其公开认股权证。公开认股权证自企业合并完成之日起五年或在赎回或清算时更早到期。
F-38
耀世星辉新文娱集团控股有限公司
合并财务报表附注
(单位:千美元,股票和每股数据除外)
14.股票(续)
本公司可在下列情况下赎回公开认股权证:
| ● | 全部而不是部分; |
| ● | 每份认股权证的价格为0.01美元; |
| ● | 在公开认股权证可行使期间的任何时间; |
| ● | 在不少于30天前向每名公开认股权证持有人发出赎回的书面通知; |
| ● | 当且仅当在向认股权证持有人发出赎回通知前的第三个营业日结束的30个交易日内的任何20个交易日内,公司普通股的报告最后出售价格等于或超过每股18.00美元;以及 |
| ● | 当且仅当在赎回时及在上述整个30天的交易期内,并在其后的每一天持续至赎回日期之前,该等认股权证的相关普通股有一份有效的现行登记声明。 |
如果公司要求赎回公开认股权证,管理层将有权要求所有希望行使公开认股权证的持有人按照认股权证协议的规定,在“无现金基础上”行使公开认股权证。
在行使认股权证时可发行的普通股的行使价格和数量可能会在某些情况下进行调整,包括在股票资本化、特别股息或资本重组、重组、合并或合并的情况下。然而,认股权证将不会因以低于其行使价的价格发行普通股或因延长公司完成业务合并的期限而发行潜在延期认股权证而调整。此外,在任何情况下,本公司都不需要以现金净额结算认股权证。如果公司无法在合并期内完成业务合并,而公司清算信托账户中的资金,权证持有人将不会收到与其权证相关的任何此类资金,也不会从信托账户以外的公司资产中获得与此类权证相关的任何分配。因此,认股权证可能到期时一文不值。
截至2021年12月31日和2022年12月31日,公司有25,000,000份公开认股权证尚未发行。
权利
在企业合并完成后,每一公权持有人将自动获得普通股的十分之一(1/10),即使公权持有人就企业合并或就企业合并前活动对公司经修订和重述的组织章程大纲和章程细则的修订转换了其持有的所有普通股。在企业合并结束后,公司发行了2504330股与公权交换有关的股票。
法定储备金
霍尔果斯、北京荣耀星、北京乐山、深圳乐山、荣耀昌盛、霍尔果斯科技和星翠灿在PRC经营,须按其所得税后净利润的10%提取准备金,这是根据PRC会计规则和规定确定的。本公司按PRC企业会计准则规定的年度利润提取法定准备金。在拨入法定储备金之前,所得利润必须与公司以往年度的累计亏损相抵销。在向股东派发股息之前,必须提取法定准备金。在法定准备金达到注册资本的50%之前,必须进行批款。该法定准备金不以现金股利的形式分配。
非控制性权益
截至2020年12月31日,公司的非控股权益分别为霍尔果斯Glary Wisdom的49%股权和Glary Prosperity的49%股权。截至2021年12月31日和2022年12月31日,公司的非控股权益为霍尔果斯Glary Prosperity的49%股权。
F-39
耀世星辉新文娱集团控股有限公司
合并财务报表附注
(单位:千美元,股票和每股数据除外)
15.私人配售认股权证
在首次公开发行结束的同时,Symphony Holdings Limited(“Symphony”)以每份私募认股权证0.50美元的价格购买了总计11,800,000份私募认股权证,总购买价为5,900美元。2018年8月22日,TKK完成了额外1,200,000份私募认股权证的销售,每份私募认股权证的价格为0.50美元,总收益为600美元。每份私募认股权证可按每股11.50美元的行权价购买一股普通股的二分之一。
私募认股权证与首次公开发售中出售的单位的公开认股权证相同,但私募认股权证(i)不得由公司赎回,而(ii)可以现金或无现金方式行使,只要这些认股权证由首次购买者或其任何获准受让人持有。如果私募认股权证是由非首次购买者或其任何获准受让人持有的,私募认股权证将可由公司赎回,并可由持有人按照与公开认股权证相同的基准行使。此外,除某些有限的例外情况外,在企业合并完成之前,私募权证不得转让、转让或出售。
截至2021年12月31日和2022年12月31日,公司有13,000,000份私募认股权证尚未发行。与此种私募认股权证有关的认股权证负债在每个报告期间均按其公允价值重新计量。公允价值的变动在综合业务报表中确认。认股权证负债的公允价值变动情况如下:
认股权证 责任 |
||||
| 2020年12月31日估计公允价值(重报) | $ |
|
||
| 从企业合并中承担的担保责任 | ||||
| 估计公允价值变动 | ( |
) | ||
| 截至2021年12月31日的估计公允价值 | $ |
|
||
| 从企业合并中承担的担保责任 | ||||
| 估计公允价值变动 |
|
|||
| 截至2022年12月31日的估计公允价值 | $ |
|
||
采用二项式期权估值模型对私人认股权证的公允价值进行了估算。二项式期权估值模型的应用需要使用一些投入和包括波动性在内的重要假设。在确定普通股的预期波动性时,需要作出重大判断。由于公司普通股的交易历史有限,公司根据上市公司的同行群体来确定预期的波动性。以下是所使用的投入和假设:
对于 年终 12月31日, 2022 |
对于 年终 12月31日, 2021 |
对于 年终 12月31日, 2020 |
||||||||||
| 股票价格 | $ |
|
$ |
|
$ |
|
||||||
| 行权价格 | $ |
|
$ |
|
$ |
|
||||||
| 无风险利率 |
|
% |
|
% |
|
% | ||||||
| 预期任期(年) |
|
|
|
|||||||||
| 预期股息率 | ||||||||||||
| 预期波动 |
|
% |
|
% |
|
% | ||||||
F-40
耀世星辉新文娱集团控股有限公司
合并财务报表附注
(单位:千美元,股票和每股数据除外)
16.分部信息
根据ASC 280,分部报告,经营分部被定义为一个企业的组成部分,它有单独的财务信息,由主要经营决策者(“CODM”)或决策小组在决定如何分配资源和评估业绩时定期进行评估。公司在确定可报告经营分部时采用“管理法”。管理办法将公司首席经营决策者用于作出经营决策和评估业绩的内部组织和报告作为确定公司可报告分部的来源。管理层,包括首席运营决策者,通过不同服务的收入来审查运营结果。
根据管理层的评估,公司已确定其拥有ASC 280定义的两个运营部门,包括Cheers APP互联网业务和传统媒体业务。Cheers APP Internet Business的广告收入来自播放IP短视频、直播和通过Cheer APP的APP广告,以及Cheers E-mall market的服务收入。传统媒体业务主要贡献干杯电视剧广告收入、版权收入、定制内容制作收入及其他。主要经营决策者根据业务收入和收益衡量每个分部的业绩,并利用这些结果评估每个分部的业绩,并为每个分部分配资源。公司目前不将员工的资产和股份薪酬分配给其分部,因为主要经营决策者不使用这些信息来分配资源或评估经营分部的业绩。由于公司的大部分长期资产位于PRC,而公司的大部分收入来自PRC,因此不提供地理信息。
下表汇总了公司截至2020年12月31日、2021年和2022年12月31日止年度的经营分部业绩:
已结束的年份 12月31日, |
||||||||||||
| 2020 | 2021 | 2022 | ||||||||||
| 净收入: | ||||||||||||
| 干杯App互联网业务 | $ |
|
$ |
|
$ |
|
||||||
| 传统媒体业务 |
|
|
|
|||||||||
| 合并净收入共计 | $ |
|
$ |
|
$ |
|
||||||
| 营业收入: | ||||||||||||
| 干杯APP互联网业务 | $ |
|
$ |
|
$ |
|
||||||
| 传统媒体业务 |
|
|
|
|||||||||
| 分部营业收入合计 |
|
|
|
|||||||||
| 未分配项目(1) | ( |
) | ( |
) | ( |
) | ||||||
| 合并营业收入共计 | $ |
|
$ |
|
$ |
|
||||||
| * |
|
F-41
耀世星辉新文娱集团控股有限公司
合并财务报表附注
(单位:千美元,股票和每股数据除外)
17.承诺
资本支出承诺
截至2022年12月31日,公司的资本支出承诺总额为5557美元。这些承诺主要与收购CheerCar、CheerReal和一个VR平台有关。
18.后续事件
2023年2月,荣星北京向华夏银行偿还了359美元的短期银行贷款,乐山北京向北京银行偿还了359美元的短期银行贷款。
2023年2月28日,荣耀星北京向招商银行偿还了718美元的短期银行贷款,并于2023年3月7日向招商银行借入相同金额的流动资金,到期日为2024年3月6日,固定利率为4.5%。
这些合并财务报表经管理层批准,可于2023年3月22日发布。本公司对截至该日期的后续事件进行了评估,并得出结论认为,除上述披露的事件外,没有其他可报告的后续事件。
F-42