查看原文
免责申明:同花顺翻译提供中文译文,我们力求但不保证数据的完全准确,翻译内容仅供参考!
EX-96.2 8 展览962-technicalreport.htm EX-96.2 文件

附件 96.2

image_1.jpg










image_2.jpg

NUEVA VICTORIA行动技术报告摘要
2024年



日期:4月23日,2025
SQM TRS Nueva Victoria

tm2311827d1_ex96-4img001.jpg
总结
本报告提供了在Nueva Victoria Nite获得SQM硝酸盐、碘矿产资源和矿产储量所使用的方法、程序和分类。交付的矿产资源和储量对应于截至2024年12月31日的更新。
所得结果汇总于下表:

采矿 总推断资源 总指示资源 计量资源总额
吨位 硝酸盐等级 碘级 吨位 硝酸盐等级 碘级 吨位 硝酸盐等级 碘级
(公吨) (%) (ppm) (公吨) (%) (ppm) (公吨) (%) (ppm)
新维多利亚 48.5 5.3 372 295.8 5.4 353.2 1004.5 4.3 284.0


2024年矿产储量

探明储量(1) 平均品位硝酸盐 平均等级碘 平均截止值
(百万吨) (按重量计算的百分比) (百万分之几) 矿山品位
采矿
新维多利亚 781.4 4.5 303 碘250ppm
概略储量(2) 平均品位硝酸盐 平均等级碘 平均截止值
(百万吨) (按重量计算的百分比) (百万分之几) 矿山品位
部门
新维多利亚 254.4 5.7 366 碘250ppm

(1)上表显示了与该矿物的开采和处理有关的损失前的探明储量和概略储量。探明储量和概略储量受到采矿方法的影响,导致矿山计划中可供开采的估计储量与最终转移到浸出垫的可采材料之间存在差异。回收材料中所含硝酸盐和碘工艺的全球平均冶金回收率在每个pampa中是可变的(50%至80%)。探明储量和概略储量的夹缝厚度≥ 2.0m,坡度不超过8%。
(2)所有已探明的开采储量都采用区块模型估值法,对此每个pampa都会有一个边界效益(BC),以实现每个区块经济价值的最大化。



SQM TRS Nueva Victoria

tm2311827d1_ex96-4img001.jpg
目 录
1
1
1.1
1
1.2
1
1.3
1
1.4
3
1.5
4
1.6
5
5
5
1.7
6
1.8
6
1.9
6
2
8
2.1
8
2.2
8
2.3
11
2.4
12
3
13
3.1
13
3.2
14
3.3
14
3.4
14
3.5
16
3.6
15
4
16
4.1
16
SQM TRS Nueva Victoria

tm2311827d1_ex96-4img001.jpg
SQM TRS Nueva Victoria

tm2311827d1_ex96-4img001.jpg
6.5
39
39
39
39
39
39
40
7
41
7.1
41
7.2
41
7.3
42
44
44
44
7.3.4
100T和50M网格
#
50
51
52
52
53
8
54
8.1
54
54
55
8.2
57
8.3
57
57
SQM TRS Nueva Victoria

tm2311827d1_ex96-4img001.jpg
58
81
8.3.3.1
P兰宁RC D里林
8.3.3.2
HEADER
8.3.3.3 地质测绘
8.3.3.4 为机械制备调运样品
8.4
85
9
86
9.1
86
9.2
86
9.3
86
9.4
86
9.5
86
9.6
86
9.7
87
10
88
88
90
90
92
93
94
96
100
102
103
104
106
SQM TRS Nueva Victoria

tm2311827d1_ex96-4img001.jpg
106
107
108
110
111
111
111
111
11
112
112
112
113
113
113
114
116
122
11.1.7.1
S瓦特P很多
11.1.7.2
VISUALVALIDATION
11.1.8
P奥来贡M内脏RESOURCEE估值
134
135
135
135
136
12
137
137
SQM TRS Nueva Victoria

tm2311827d1_ex96-4img001.jpg
CUT-OFFG雷达和截止福利
138
139
139
13
143
143
146
151
153
155
14
156
157
159
159
161
164
164
167
167
168
169
169
171
173
173
176
176
178
SQM TRS Nueva Victoria

tm2311827d1_ex96-4img001.jpg
178
15
180
185
185
192
193
193
194
16
195
195
16.2
I奥丁 ITSD历险记,米市场,C竞争,pRODUCTS,C用户
#
16.2.1
I奥丁M市场
#
16.2.2
I奥丁PRODUCTS
#
16.2.3
I奥丁:米招架和C用户
#
16.2.4
I奥丁C竞争
#
16.3
NITRATES
#
16.3.1
S特殊性P兰特NUTRITION,米市场,C竞争,pRODUCTS,C用户
#
16.3.2
INDUSTRIALC血红素,米市场,C竞争,pRODUCTS,C用户
#
17
207
207
208
213
217
217
217
218
219
SQM TRS Nueva Victoria

tm2311827d1_ex96-4img001.jpg
221
222
224
224
225
225
229
18
231
231
231
232
232
232
232
232
232
232
233
19
234
234
234
234
237
239
239
241
20
242
SQM TRS Nueva Victoria

tm2311827d1_ex96-4img001.jpg
SQM TRS Nueva Victoria

tm2311827d1_ex96-4img001.jpg
表格
2
4
12
16
38
42
51
51
52
#
#
#
#
#
#
#
89
93
95
95
SQM TRS Nueva Victoria

tm2311827d1_ex96-4img001.jpg
#
101
103
104
109
112
T11-2.s具体GRAVITYS安培在NUEVAVICTORIA
#
T11-3.bMODELDIMENSIONS
#
T11-4.VV阿里奥格拉姆MODEL forI奥丁和NITRATE inNUEVAVICTORIA
#
T11-5.s放大器S选举EACHSECTOR
#
#
#
#
T11-9.m内脏RESOURCEE刺激,e独家M内脏RESERVES,作为D埃森贝尔31, 2022
#
#
#
140
141
143
146
#
153
SQM TRS Nueva Victoria

tm2311827d1_ex96-4img001.jpg
154
155
159
164
165
168
169
176
170
T14-8 NUEVAVICTORIAP罗斯P兰特PRODUCTIONS摘要
#
174
175
176
177
178
193
193
207
#
#
#
#
#
SQM TRS Nueva Victoria

tm2311827d1_ex96-4img001.jpg
222
214
216
218
218
220
228
229
229
231
233
233
#
#
#
#
数字
13
14
#
20
23
26
SQM TRS Nueva Victoria

tm2311827d1_ex96-4img001.jpg
27
28
29
30
32
33
41
43
#
#
#
#
#
55
56
56
58
#
#
#
#
#
SQM TRS Nueva Victoria

tm2311827d1_ex96-4img001.jpg
#
#
#
FIGURE10-9.i奥丁R生态作为一种F的功能TOTALSALTSCONTENT
#
F伊居尔10-10.p圆柱体S凯尔斯和IRRIGATIONS治疗在I缩容S标签
#
F伊居尔10-11.iRRIGATIONS兵法S选举
#
F伊居尔10-12.nITRATE和I奥丁YIELDE刺激和INDUSTRIALCORRelation for theP埃里奥德2008-2022
#
F伊居尔11-2.VV阿里奥格拉姆MODEL forI奥丁和NITRATE inNUEVAVICTORIA
#
F伊居尔11-3.p局域网VIEW of theP奥利贡斯B订购M内脏RESOURCESHERMOSA
#
F伊居尔11-4.s瓦特P很多I奥丁
#
#
C要闻
#
F伊居尔11-6.s瓦特P很多I奥丁HERMOSA
#
C要闻
#
F伊居尔11-8.s瓦特P很多I奥丁T奥卡萨
125
F伊居尔11-9.s瓦特P很多NITRATET奥卡萨
126
评注
#
#
#
F伊居尔12-2米美联社RESERVESSECTORS inNUEVAVICTORIA
#
144
146
SQM TRS Nueva Victoria

tm2311827d1_ex96-4img001.jpg
HEAP浸水垫(f伊居尔13-3)是为了积累一个总1米T,高度之间715M和Crown地区65.000M2
#
#
152
154
155
157
160
#
#
#
166
167
172
181
182
183
183
186
#
#
#
209
210
SQM TRS Nueva Victoria

tm2311827d1_ex96-4img001.jpg
SQM TRS Nueva Victoria

tm2311827d1_ex96-4img001.jpg
1执行摘要
1.1财产概要和所有权
Nueva Victoria Property位于伊基克市东南145公里处,占地面积69,793公顷(公顷),地势低洼。属性边界包括几个具有经济价值的硝酸盐和碘矿床,包括Hermosa Oeste,Tente en el Aire,Pampa Hermosa,Pampa Enga ñ adora等Nueva Victoria Property还具有巨大的金属矿化潜力,特别是铜和金,这可能在未来维持SQM的开采或产生特许权使用费。毗邻Nueva Victoria项目的几处房产拥有类似Nueva Victoria的地质特征的矿藏,其中包括由Urticoechea家族拥有的ACF Minera S.A.持有的矿区。
1.2地质和矿化
Nueva Victoria是位于智利北部中间盆地(中央凹陷)的硝酸盐-碘矿床,西部受沿海山脉(代表侏罗纪岩浆弧)限制,东部受Precordillera(与新生代岩浆活动有关,该活动产生了智利北部的大型Cu-AU矿床)限制,为它们的沉积和集中形成了天然屏障。
Nueva Victoria矿床所浸没的区域地质对应于古近纪碎屑沉积岩,在火山基底之上,与代表侏罗纪火山活动的中间成分(主要是安山岩-凝灰岩)的熔岩有关,覆盖着一系列属于白垩纪的侵入体,这些侵入体大多露头在财产区域之外。
Nueva Victoria的矿化为甲状,区域分布广泛,形成延伸数公里的矿床。成矿厚度可变,地幔约1.0至6.0米(m)。
由于随时间推移的地质活动(火山作用、风化作用、断层作用),这些沉积物可以被发现为连续的地幔、薄薄的盐壳和表层caliche和“堆叠”的caliche。
所鉴定的矿物学关联主要对应于Na-K的可溶性硫酸盐、Ca的可溶性较低的硫酸盐、氯化物、硝酸盐、碘酸盐。
在感兴趣的矿种范围内,对于硝酸盐;硝酸硝酸钾;海克磷灰石;劳达石、辉长石作为碘酸盐。

2024年,在Hermosa Oeste、Pampa Enga ñ adora;Franja Oeste、TEA Oeste、Iris Vigia;Mina Sur和Mina Oeste有一个5,325公顷的详细勘探计划。2024年进行的基本勘探对应于Pampa Fortuna的3500公顷。目前,钻探总数为3,284反循环(RC)钻孔(20,274米)。所有的钻孔都是垂直的。钻探在第一个侦察阶段(1000 x 1000 m;800 x 800 m;400 x 400 m)以宽网格进行;到后来缩小这一间距,以确定其不同类别中的资源。
1.3矿产资源报表
本小节包含与Nueva Victoria项目矿产资源估算相关的前瞻性信息。可能导致实际结果与前瞻性信息中的结论、估计、设计、预测或预测存在重大差异的重大因素包括与本小节中所述的一个或多个重大因素或假设的任何重大差异,包括与确定经济开采前景相关的地质解释、控制和假设。
所有可用的样品都在不合成、不封顶或其他异常值限制的情况下使用,以开发支持估算矿产资源的地质模型。不同地质单元之间使用了硬接触。使用普通克里金(KO)插值方法在一个三维块模型中一次估算出钻孔网格为50x50m和最大为100x100m的区域。此外,还构建了变异函数并用于支持搜索数据中观察到的椭球各向异性和线性趋势。使用为碘计算的相同变异函数模型进行碘和硝酸级插值。在钻孔网格大于100x100m和最大200x200m的扇区中,使用反向距离在三维块模型中进行估计
SQM TRS Nueva Victoria
帕格。1

tm2311827d1_ex96-4img001.jpg
加权(IDW)插值法。对于具有200x200m至400x400m钻孔网格的区域,使用多边形方法进行了二维估计。
使用钻孔网格对矿产资源进行分类。网格为50 x 50 m至100 x 100 m的区域被归类为实测区域。对于指示矿产资源,该区域应设置200x200m钻孔网格。为了定义推断资源,使用了400 x 400米钻孔网格。
矿产资源涉及一种新的方法,即“区块价值化”,它为资源考虑了每个pampa的最佳经济包络,以获得大于0.1(BC)的边界效益(美元/吨矿石)。块价值计算中包含的参数有:碘价、硝酸盐价格、碘回收率、硝酸盐回收率、矿山成本、碘厂成本和硝酸盐厂成本。区块估值方法是针对测量和指示的资源量(不含储量)进行堆叠的。由此推断的资源没有估值,报告的是碘边界品位(300ppm)。
矿产资源估算,不含矿产储量,列示于表1-1.请注意,基于在地表发现的caliche矿床,所有具有环境许可且在区块增值范围内的测量和指示矿产资源已转换为矿产储量。由于上述原因,其提供了不包括采矿储量的地质资源,对此测量、指示和推断地质资源的报告均包含在本技术报告摘要(TRS)中。随着每年对矿产资源估算过程的审查和改进,矿产资源可能会在几何、吨位或品位方面发生变化。
表1-1。原地矿产资源估算,不包括矿产储量,2024年12月31日生效。
新维多利亚 推断资源 指示资源 计量资源
吨位(MT) 硝酸盐(%) 碘(ppm) 吨位(MT) 硝酸盐(%) 碘(ppm) 吨位(MT) 硝酸盐(%) 碘(ppm)
Franja Oeste 16.0 3.9 401 12.6 2.2 251 21.1 3.5 282
埃尔莫萨 46.6 5.1 169
Hermosa Oeste 17.0 4.7 387 9.6 4.9 267 18.3 3.8 230
北米娜 14.7 2.5 272
米娜·奥斯特 50.9 2.8 180
米娜·苏尔 12.6 3.0 274
苏泰阿 5.9 2.5 249
TEA Unificado 37.2 3.8 241
TEA Oeste 13.0 3.8 307 7.9 3.5 265
托尔卡萨 7.8 2.7 197
恩加尼亚多拉 6.1 4.3 252
椰子油 5.1 7.3 302
洛杉矶 9.3 7.9 331
TEA Oeste 1.1 4.0 397
合计 48.5 5.3 372 41.4 3.6 272 223.1 3.6 218
(a)矿产资源不是矿产储量,不具备证明的经济可行性。无法确定在应用修正因子后,该矿产资源的全部或任何部分将转化为矿产储量。
(b)矿产资源基于修正因素的应用以及由于Caliche矿床位于地表,部分具有环境许可且在区块增值范围大于3的测量和指示矿产资源已转换为矿产储量。由于上述原因,提供的地质资源不包括采矿储量,这些资源包括在本技术报告摘要中指出和推断的测量地质资源报告中。
SQM TRS Nueva Victoria
帕格。2

tm2311827d1_ex96-4img001.jpg
(c)由于数字四舍五入和使用平均法造成的差异,数值比较可能不相加。
(d)单位“MT”、“ppm”、“%”分别指百万吨、百万分率、重量百分比。
(e)资源矿产涉及的边界效益(美元/吨矿石)大于0.1且caliche厚度≥ 2.0m。
(f)随着每年对矿产资源估算过程进行审查和改进,矿产资源可能会在几何形状、吨位或品位方面发生变化。
密度分配给所有材料,默认值为2.1(t/m3),这一数值来自SQM在Nueva Victoria和其他运营部门所做的几项分析。
矿产资源估算考虑了一个最优截止效益(BC),以最大化每个区块的经济价值,这个值考虑了相应的运营、财务和计划投资成本、折旧、利润率和税收。用于确定经济开采合理前景的碘价为4.2万美元/吨,与用于估算矿产储量的碘价相同。
Marco Fazzi和Freddy Ildefonso是负责矿产资源的QP。QP不知道本技术报告中未讨论的任何可能对矿产资源估算产生重大影响的环境、许可、法律、所有权、税收、社会经济、营销、政治或其他相关因素。
1.4矿产储量报表
本子部分包含与该项目矿产储量估算相关的前瞻性信息。可能导致实际结果与前瞻性信息中的结论、估计、设计、预测或预测存在重大差异的重大因素包括与本子节中提出的一个或多个重大因素或假设的任何重大差异,包括矿产资源模型吨和品位,修正因素包括采矿和回收因素、生产率和进度、采矿设备生产力、商品市场和价格以及预计的运营和资本成本。
由钻孔网格50 x 50 m和最大100 x 100 m定义并使用3D块和普通克里金法评估的Measure矿产资源被认为具有较高的地质可信度,合格为探明矿产储量。(见表12.2)
以大于100x100m至200x200m的钻孔网格为界的指示矿产资源;并采用3D块模型和反距离加权(IDW)插值方法评价的地质可信度中等水平的,视为合格的概略矿产储量。
矿产储量基于区块估值方法,该方法为资源考虑了每个pampa的最优经济包络线的截止效益(美元/吨矿石)大于3。区块价值计算中包含的参数为:碘价、硝酸盐价格、碘回收率、硝酸盐回收率、矿山成本、碘厂成本和硝酸盐厂成本”,储量的另一限制条件为caliche厚度≥ 2.0m和坡度,不得超过8%。经济可行性体现在税后现金流折现(见第19节).所有矿产储量均在具有环境许可(RCA)的部门中定义。
根据这些标准,Nueva Victoria的探明储量矿产估计为7.814亿吨(公吨),估计平均硝酸盐品位为4.5%,碘含量为302.7ppm。
Nueva Victoria矿址的可能矿产储量为254.4公吨,估计平均硝酸盐品位为5.7%,碘含量为366.3ppm。矿产储量以原位矿石表示。
SQM TRS Nueva Victoria
帕格。3

tm2311827d1_ex96-4img001.jpg
表1-2。Nueva Victoria矿的矿产储备(2024年12月31日生效)
探明储量 可能的储量 总储备
吨位(MT) 781.4 254.4 1,035.83
碘级(ppm) 302.7 366.3 318.3
硝酸盐品位(%) 4.5 5.7 4.8
碘(kT) 237 93 330
硝酸盐(kT) 3.5 2 2

注意事项:
(a)矿产储量以大于3美元/吨的边界效益(BC)、≥ 2.0m的caliche厚度和坡度不大于8%的扇区限制为依据。
(b)已探明的Minerals储量是基于按照上述(a)中所述标准测量的矿产资源,计算是使用普通克里金估计的模型进行的。
(c)概略矿产储量是基于指示矿产资源基于上述(a)中描述的标准,使用由IDW估算的模型进行计算。
(d)矿产储量以原位矿石(caliche)为参照点。
(e)单位“MT”、“KT”;“ppm”、“%”分别指百万吨、千吨;百万分之一、重量百分比。
(f)矿产储量基于42.0美元/公斤的碘价。Miner还基于经济可行性,如税后贴现现金流(见第19节).
(g)Marco Fazzi和Freddy Ildefonso是负责矿产储备的QP。
(h)QP不知道有任何环境、许可、法律、所有权、税收、社会经济、营销、政治或其他相关因素可能对矿产储量估计产生重大影响,而这些因素未在本TRS中讨论。
(一)由于数字四舍五入和使用平均方法导致的差异,数值比较可能不会合计。

1.5矿山设计、优化、排产
在Nueva Victoria,2024年达到的Caliche提取总量为4920万吨(公吨)。2025年至2040年的长期(LP)Caliche产量介于每年48公吨至每年54公吨之间,矿石总产量为858公吨,平均碘品位为327ppm,硝酸盐品位为4.9%。Nueva Victoria的采矿程序涉及以下流程:
清除表层和过载(0.50米到1.0米厚之间)。
Caliche提取,最大深度可达6米,通过炸药(钻爆)或地面采矿(SM)。
卡利切装载,使用前端装载机和/或铲子。
运输该矿料堆浸,使用高吨位(100至150吨)矿车(刚性料斗)。
建设堆浸蓄积共1公吨,高度7至15米,冠层面积6.5万平方米(m ²)。
SQM TRS Nueva Victoria
帕格。4

tm2311827d1_ex96-4img001.jpg












SQM进行的物理稳定性分析表明,这些堆是长期稳定的,不需要对边坡进行修改进行闭合。
对堆浸进行连续灌溉,完成浸出循环。每个堆的周期大约持续300到500天,在此期间,堆高减少15%到20%。
SQM为建立采矿计划设定的标准对应如下:
Caliche厚度≥ 2.0m
斜率不大于8%的板块。
粒状碘销售单价4.2万美元/吨(采矿、浸出、海水管道及植物加工)。
在采矿过程中,SQM考虑的效率在80%到90%之间(矿物提取、装载、运输的整体过程中的矿物损失和品位稀释;以及堆浸建设)。
鉴于采矿和浸出工艺设定的生产要素(71.1%的碘和35.1%的浸出用硝酸盐生产为平均值),预计本期间(2025-2040年)从浸出工艺到处理厂的总生产量为199.7kt的颗粒状碘和14,839kt的硝酸盐。
1.6冶金和矿物加工
1.6.1冶金检测汇总
开发的测试工作旨在通过在工厂中建立的分离和回收方法确定原材料对生产的敏感性,评估有害元素,在操作中建立机制并优化工艺,以保证回收将与矿物学和化学特征以及待处理矿物的物理和粒度具有内在联系。
从历史上看,SQM Nitrates通过其研发区域,在工厂和/或中试规模进行了测试,这些测试允许通过化学氧化测试、溶液清洗以及最近的浸出堆操作优化测试,通过对要浸出的矿石进行事先分类,提高有关回收过程和产品质量的知识。
SQM位于安托法加斯塔市的分析实验室和Iris Pilot Plant Laboratory(Nueva Victoria)进行物理化学、矿物学和冶金测试。后者允许知道caliche床对抗水浸的行为,从而支持未来的表现。此外,所产生的知识有助于通过caliches的可溶性含量与工艺的冶金产量之间的经验相关性,选择最佳灌溉策略以实现利润最大化,并估计工业规模的回收率。
1.6.2采矿和矿物加工概要
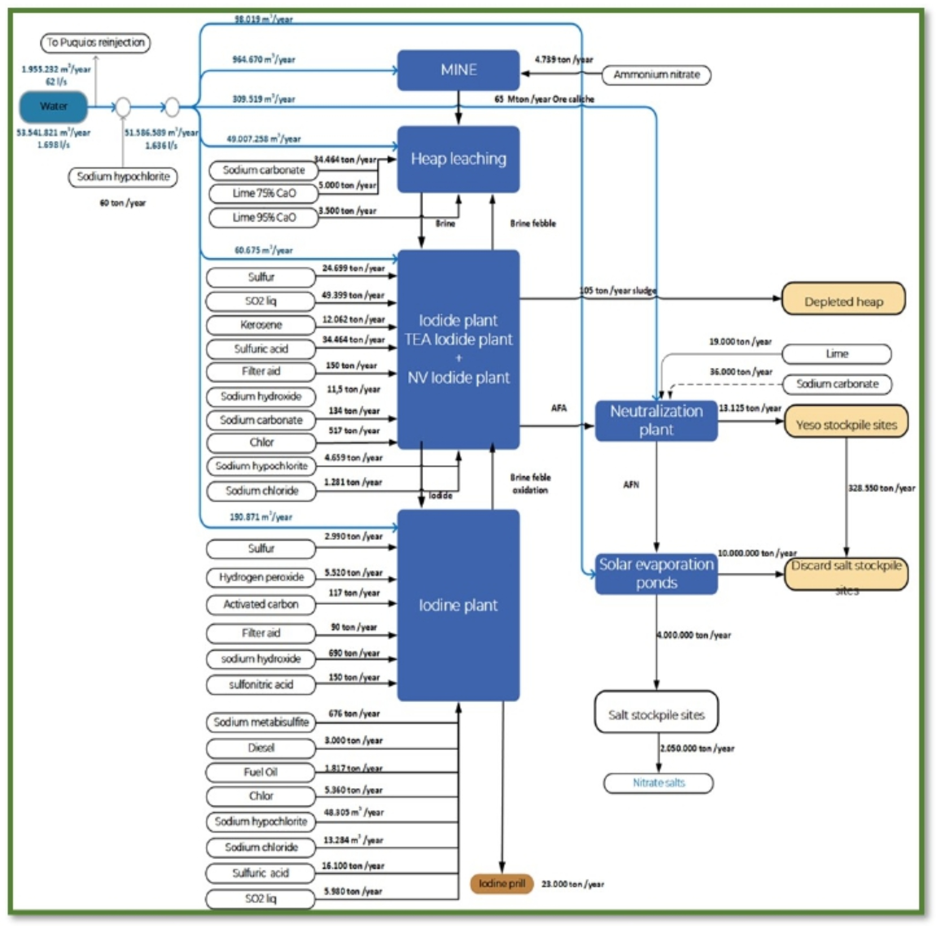
Nueva Victoria行动包括属于Nueva Victoria、Sur Viejo和Iris的Nueva Victoria地区。生产过程从开采“卡利切”矿石开始。这些矿石被堆浸成生成的富碘酸根和富硝酸盐的浸出液,SQM将其称为“卤水”。卤水通过管道输送到加工厂,在那里碘酸盐被转化为碘化物,然后进行加工以获得颗粒(“颗粒”)碘。贫碘盐水退出碘化物工厂的SQM将其称为卤水Feble(“BF”),字面意思是枯竭意义上的微弱卤水,减弱。一定比例的BF被再循环到该工艺的堆浸阶段;剩余的BF被送到Sur Viejo的蒸发池。太阳能蒸发池产生富含硝酸钠和硝酸钾的盐。这些富含硝酸盐的盐被送到SQM Coya Sur工厂(位于Nueva Victoria以南160公里处,智利北部安托法加斯塔地区Maria Elena镇东南7公里处),在那里进行提炼,生产商业硝酸钠和硝酸钾。
Nueva Victoria获准采矿的地表面积为1,299平方公里(km2).Iris获准开采的地表面积为45.5公里2.Iris没有扩建计划。
SQM TRS Nueva Victoria
帕格。5

tm2311827d1_ex96-4img001.jpg












Nueva Victoria的Caliche开采量为每年3700万吨(Mtpy),Iris的额外开采量为6.48Mtpy。随着TEA扩建的纳入,Nueva Victoria和Iris的整体开采率将提高到总计71.48Mtpy。
1.7资本和运营成本
本节包含与项目的资本和运营成本估算相关的前瞻性信息。可能导致实际结果与前瞻性信息中的结论、估计、设计、预测或预测存在重大差异的重大因素包括与本节所述的一项或多项重大因素或假设的任何重大差异,包括现行经济条件持续存在,因此预计的资本成本、劳动力和设备生产率水平以及或有事项足以说明重大因素或假设的变化。
年度产量估计数用于确定年度资本和运营成本估计数。所有成本估算均以2024年美元为单位。总资本成本估计约为12.75亿美元,用于海水管道、TEA扩建项目的新设施,以及当前运营的维持和扩建资本。年度运营成本基于为SQM提供的历史运营成本、材料移动和估计单位成本。这些包括采矿、浸出、碘和硝酸盐生产。矿石资本成本包括营运资本和关闭成本。年度总运营成本6.0美元/吨caliche至7.5美元/吨caliche,长期平均总运营成本6.8美元/吨caliche(表19.3).
1.8经济分析
本节包含与项目经济分析相关的前瞻性信息。可能导致实际结果与前瞻性信息中的结论、估计、设计、预测或预测存在重大差异的重大因素包括与本小节中阐述的一个或多个材料因素或假设的任何重大差异,包括估计资本和运营成本、项目时间表和批准时间、资金的可用性、预计的商品市场和价格。
所有费用均按2024年美元承担。
为经济分析,开发了贴现现金流(DCF)模型。
现金流折现采用4.2万美元/吨的碘销售价格和323美元/吨的化肥用硝酸盐价格。估算化肥用硝酸盐价格为323美元/吨。
QP认为这些价格合理地反映了当前的市场价格,并且合理地用作本研究的经济分析的销售价格。
贴现现金流确定本报告中提供的矿产储量估计在经济上是可行的。基本情况NPV估计为31亿美元。本研究的净现值对碘和硝酸盐的运营成本和销售价格最为敏感。(表19.4)QP认为成本估算的准确性和偶然性完全在预可行性研究(PFS)标准之内,并且足以进行支持为SQM估算的矿产储量的经济分析。
1.9结论和建议
矿产资源和矿产储量的QP Marco Fazzi和Freddy Ildefonso得出结论,在审查这份TRS中所做的工作包括申报矿产储量的充分细节和信息。关于资源处理过程,负责的QP,Gino Slanzi的结论是,已经使用了适当的工作实践和设备、设计方法和加工设备选择标准。此外,公司开发了新工艺,持续、系统地优化了运营。
在以下领域给出了一些建议:
继续在2022年为Qa-QC计划实施的改进,将其整合到Acquire System Management以符合行业最佳实践,从而促进更稳健的质量控制。
SQM TRS Nueva Victoria
帕格。6

tm2311827d1_ex96-4img001.jpg












随着地质数据库向Acquire平台的迁移,在安全的基础上实现钻井、地质、地球化学数据的可追溯性。
通过堆浸模拟评估可浸出物被认为很重要,这允许构建一个caliche浸出的概念模型,以期对抛石进行二次处理,以提高整体回收率。建议继续进行地质冶金模型的研究工作,以确定真正的恢复到水的增加。
环境问题包括渗滤液或酸水管理、大气排放管理、尾矿堆管理和渗滤液抛渣。

与外部公司审计整个资源估算过程,即钻井数据库、资源量估算、储量估值的专家评审

上述所有建议均在申报的CAPEX/OPEX范围内考虑,并不意味着执行这些建议的额外成本。
SQM TRS Nueva Victoria
帕格。7

tm2311827d1_ex96-4img001.jpg












2介绍
这份技术总结报告(TRS)由SQM的Sociedad Qu í mica y Minera de Chile(SQM)的专业人员和外部顾问团队,根据美国证券交易委员会(SEC)Subpart 1300(以下简称SK1300)的法规SKR要求编写。
2.1报告的职权范围和目的
在Nueva Victoria,SQM通过堆浸和蒸发生产硝酸盐(硝酸钠和硝酸钾)和碘。
本TRS报告的生效日期为2024年12月31日。
这个TRS使用英语拼写和度量单位。等级以重量百分比(wt.%)表示。截至2024年12月31日,成本以不变美元表示。
除另有说明外,本TRS中的坐标使用世界测地线参考系统(PSAD)1956 Universal Transverse Mercator(UTM)ZONE 19 South(19S)以公制单位表示。
这份TRS的目的是报告SQM的Nueva Victoria业务的矿产资源和矿产储量。
2.2数据和信息来源
这个TRS是基于SQM和公共领域数据中的信息。所有信息均在本文件中通篇引用,列于本报告末尾的最终“参考资料”部分。 表2-1提供了此TRS中使用的缩写(ABV.)和首字母缩略词。
表2-1。缩略语和首字母缩略词
首字母缩写词/AbbV。 定义
' 分钟
" 第二次
% 百分数
°
° C Celsius度
100T 100截方格
AA 原子吸收
AAA 安第斯分析分析
AFA 弱酸性水
AFN FEBL中性水
阿杰伊 Ajay Chemicals Inc。
作为 辅助站
ASG Ajay-SQM集团
BF 盐水Feble
BFN 中性卤水Feble
BWN 云量丰富
CIM Centro de Investigaci ó n Minera y Metal ú rgica
厘米 公分
CU 用水量
COM 采矿作业中心
光热发电 聚光太阳能发电
CONAF 国家林业发展公司
DDH 金刚石钻孔
SQM TRS Nueva Victoria
帕格。8

tm2311827d1_ex96-4img001.jpg












首字母缩写词/AbbV。 定义
DGA 水务总局
DTH 井下
EB1 1号泵站
EB2 2号泵站
环评 环境影响声明
EW 东西向
FC 财务成本
FNW 微弱的中性水
g
G 重力
GU 地质单位
g/CC 克每厘米
克/毫升 克每毫升
克/吨 克每吨
克/升 克每升
全球定位系统 全球定位系统
h 小时
公顷
公顷/年 每年公顷
HDPE 高密度聚乙烯
ICH 工业化学品
ICP 电感耦合等离子体
ISO 国际标准化组织
公斤 公斤
kh
水平地震系数
千克/米3
千克每立方米
公里 千米
kv
垂直地震系数
千米/米3
每立方米千牛顿
公里2
平方公里
千帕 千帕斯卡
kt 千吨
kTPD 日产千吨
ktpy 每年千吨
千美元 千美元
千伏 千伏
千伏安 千伏安培
L/h-m2
升每小时平方米
升/米2/d
每日每平方米升
L/s 升每秒
LR 浸出率
LCD/LED 液晶显示器/发光二极管
LCY Caliche和Iodine实验室
LTE 中压输电线路
LIMS 实验室信息管理系统
SQM TRS Nueva Victoria
帕格。9

tm2311827d1_ex96-4img001.jpg












首字母缩写词/AbbV。 定义
LOM 我的生命
m
并购 并购
米/公里2
米每平方公里
米/秒 米/秒
m2
平方米
m3
立方米
m3/d
立方米/日
m3/h
立方米每小时
m3/吨
立方米每吨
马斯尔 海拔高度
mbgl 地面以下米
mbSL 海平面以下米
毫米 毫米
mm/y 每年毫米
MPa 百万帕
公吨 百万吨
MTPY 每年百万吨
兆瓦 兆瓦
兆瓦时/年 每年兆瓦时
NNE 东北偏北
NNW 西北偏北
净现值 净现值
NS 南北
O3
臭氧
ORP 氧化还原电位
PLS 孕体浸出液
PMA 颗粒矿物分析
ppbv 十亿分之一体积中的零件
ppm 百万分之一
聚氯乙烯 聚氯乙烯
质量保证 质量保证
质量保证/质量控制 质量保证/质量控制
质量控制 质量控制
QP 合资格人士
RC 逆循环
RCA 环境资质决议
RMR 岩体等级
ROM 矿场运行
RPM 每分钟转数
RQD 岩石质量指数
SG 比重
美国证券交易委员会 美国证券交易委员会
上证 东南偏南
SEIA 环境影响评价制度
SQM TRS Nueva Victoria
帕格。10

tm2311827d1_ex96-4img001.jpg












首字母缩写词/AbbV。 定义
综合格斗 环境部
SMA 环境监管
斯尼法 国家环境资质信息系统(SMA在线系统)
PSA 环境跟踪计划(Plan de Seguimiento Ambiental)
SEM 地形平地机地面掘进机
SFF 特种大田肥料
SI 中间溶液
Norte Grande互联系统
S-K 1300 美国证券交易委员会第1300分部
SM 露天采矿
SM(%) 盐基质
SPM 可沉积颗粒物
高级 地位值,或1 km ²区域内的最大高差
党卫军 可溶性盐
SX 溶剂萃取
t
TR 灌溉率
TAS 污水处理厂
茶饮项目 Tente en el Aire项目
tpy 吨每年
t/m3
吨每立方米
tpd 吨/日
TRS 技术报告摘要
ug/m3
微克每立方米
美元 美元
美元/公斤 每公斤美元
美元/吨 每吨美元
UTM 环球横向墨卡托
紫外线 紫外线
VEC 自愿环境承诺
WGS 世界大地测量系统
WSF 水溶性肥料
重.% 重量百分比
XRD X射线衍射
XRF X射线荧光
2.3检查详情
每个合格人员(QP)最近的现场访问日期列于表2-2:






SQM TRS Nueva Victoria
帕格。11

tm2311827d1_ex96-4img001.jpg












表2-2。QP为支持TRS审查而对Nueva Victoria进行的现场访问汇总
合格人员(QP) 专家 访问日期 参观详情
马可·法齐 地质和采矿 DIC-24 Nueva Victoria矿山和设施
吉诺·斯兰齐 冶金和矿物加工 DIC-24 检查碘厂、矿山和浸出桩
弗雷迪·伊尔德方索 地质和采矿 DIC-24 Nueva Victoria矿山和设施
在Nueva Victoria Property的实地走访中,QP们在SQM技术人员的陪同下:
参观了矿床(caliche)地区。
检查了钻井作业并审查了采样规程。
审查了岩心样品和钻孔日志。
评估了对未来钻探地点的准入。
观过程虽然采,堆浸到成品颗粒状碘产品。
与SQM人员审查并整理数据和信息,以纳入TRS。
2.4以前关于项目的报告
WSP Consulting Chile(WSP)编写的技术报告摘要,2022年3月。
SQM SA编写的技术报告摘要;2023年3月。
SQM SA编写的技术报告摘要;2024年4月。
SQM TRS Nueva Victoria
帕格。12

tm2311827d1_ex96-4img001.jpg












3描述和位置
3.1位置
Nueva Victoria房产位于塔马鲁加尔省的Pozo Almonte公社,位于智利北部塔拉帕卡地区。该物业的中心位于伊基克市东南偏南(SSE)80公里处,波佐阿尔蒙特市以南70公里处。
该物业的出入控制检查点位于Ruta 5南主干道(泛美高速公路)东侧,位于Pozo Almonte市以南83公里处。Nueva Victoria Property南北约55公里,东西约40公里。

图3-1。一般位置图
plano_ubicacinxnv.jpg


SQM TRS Nueva Victoria
帕格。13

tm2311827d1_ex96-4img001.jpg












3.2矿产权、债权、权利、租赁和选择权
SQM目前拥有位于智利北部的5处矿产,分别位于Tarapac á第一区(I)和Antofagasta第二区(II)。这些是Nueva Victoria、Pampa Orcoma;Mar í a Elena、Pedro de Valdivia和Pampa Blanca物业。所有物业的总占地面积约为288,915公顷,并已作出400x400米或更细的探矿网格分辨率。
Nueva Victoria Property占地约69,800公顷。
3.3矿业权
SQM在智利北部I和II地区拥有超过1,538,919公顷土地的矿产勘探权,目前正在对该地区不到1%的矿产资源进行开采(截至2023年12月)。
图3-2。Nueva Victoria项目的位置

plano_pmineraxnv-rca.jpg

3.4环境影响和允许
自1997年以来,SQM已完成多项环境影响评估(环评)(Estudio de Impacto Ambiental)和环境影响报告书(EIS)(Declaraci ó n de Impacto Ambiental,DIA)支持Nueva Victoria Property(包括“Pampa Hermosa”和“TEA”项目)的开发和持续扩张。这些环境评估在智利监管平台内完成Sistema de Evaluaci ó n de Impacto Ambiental(SEIA),由智利监管局(Chilean Regulatory Authority)管理,该Servicio de Evaluaci ó n Ambiental(海,https://www.sea.gob.cl/).
SQM TRS Nueva Victoria
帕格。14

tm2311827d1_ex96-4img001.jpg












第17.1节本TRS详情这些环境研究及环境批准(许可证),称为Resoluciones de Calificaci ó n Ambiental(RCA),由SEA发行。
3.5其他重要因素和风险
SQM的运营受到某些风险因素的影响,这些因素可能会影响业务、财务状况、现金流或SQM的运营结果。潜在风险因素清单汇总如下:
风险与作为一家总部设在智利的公司有关;潜在的政治风险以及智利宪法和立法的变化,这些变化可能会影响发展计划、生产水平、特许权使用费和其他成本。
与金融市场相关的风险。
3.6特许权使用费和协议
除了向智利政府支付标准的矿产特许权使用费外,根据智利版权法,SQM有义务为来自采矿财产“COCAR”的生产支付1000美元/吨的颗粒状碘和10美元/吨在Coya Sur设施生产的硝酸盐,两者均由美国CPI(“消费者价格指数-所有城市消费者”)调整。受此影响的矿业财产仅为SQM总资源量的35公吨。


SQM TRS Nueva Victoria
帕格。15

tm2311827d1_ex96-4img001.jpg












4无障碍、气候、当地资源、基础设施和物理学
这段TRS概要介绍了Nueva Victoria物业的物理环境、物业的通道以及相关的民用基础设施。
4.1地图学
Nueva Victoria Property位于阿塔卡马沙漠的中间盆地(中央凹陷)。该物业构成平均海拔1.500m.a.s.l.的平缓地形地形区。
图4-1展示了由数字高程模型(DEM)开发的地形图,对应于30米分辨率的ASTER卫星图像。图的下部通过DEM呈现了一个地形横截面。图中将地形坡度划分为总结的六大类表4-1.
表4-1。ASTER DEM分析中应用的斜率分类
坡度类别
很低 4.3°
4.3° 9.94°
适度 9.94° 16.71°
16.71° 26.58°
26.58°
很高 坡度> 38.66 °
从检查图4-1,可以理解的是,Nueva Victoria Property呈现的坡度从非常低(接近平坦)到中等或中等不等。由于海岸陡峭,在靠近海岸的西部地区观察到了最陡峭的斜坡。
图4-1。边坡参数图SR和高程剖面轨迹AA "
image_6.jpg
SQM TRS Nueva Victoria
帕格。16

tm2311827d1_ex96-4img001.jpg












4.2蔬菜
Nueva Victoria Property是一个没有植被覆盖的沙漠景观(环评,2007年)。
4.3无障碍和向物业的运输
如详细介绍第1款在这个TRS中,Nueva Victoria Property位于SSE伊基克市80公里处,位于Pozo Almonte市以南70公里处。从Diego Aracena国际机场前往该物业的主要路线如下:
1.沿Ruta 1向北行驶28公里,到达伊基克市。
2.在主要道路上向东北行驶穿过伊基克市,乘坐Ruta 16(motorway)到达Alto Hospicio定居点,行驶总距离44公里。
3.继续沿Ruta 16(motorway)向东行驶83公里,到达荒无人烟的矿业小镇亨伯斯通。亨伯斯通是智利国家古迹,也是联合国教科文组织世界遗产的一部分,其中硝石(KNO3)曾被开采。
4.在亨伯斯通,在Ruta 5的主干道上向南转,从亨伯斯通87公里处到达波佐阿尔蒙特市。
5.在Ruta5主干道上继续向南,到达SQM门禁检查点(加里塔)位于171公里的Nueva Victoria物业。

4.4气候和运营季节长度
新维多利亚位于高度干旱的阿塔卡马沙漠的中间盆地(中央凹陷),纬度约为21 ° S。该地区地形地势平缓,大部分地区基本平坦,平均海拔为1,500 m.a.s.l。长期年降雨量接近0毫米,年平均气温为18 ° C。空气的相对湿度较低。在非常罕见的情况下,11月至2月发生在安第斯山脉Altiplano海拔4,000 m.a.s.l.以上陆地上空的对流夏季降雨可能会向西延伸,给中间盆地和新维多利亚带来非常罕见的降雨。
研究区的气候在K ö ppen气候分类法(EIA,2007)中被归类为低边缘沙漠气候。
Nueva Victoria全年运营,没有气候限制会迫使运营在一年中的任何时间关闭。然而,一旦发生非常罕见的雷暴,必须采取预防措施,以消除雷击可能带来的生命危险。

4.5基础设施可用性和来源
在Nueva Victoria矿区,可以找到以下设施和基础设施。
Nueva Victoria的主要设施如下:
Caliche矿区。
工业供水。
堆浸作业。
碘植物(Nueva Victoria,Modulo 4 TEA和Iris属性)。
蒸发池(Sur Viejo)。
SQM TRS Nueva Victoria
帕格。17

tm2311827d1_ex96-4img001.jpg












Iodine production & prilling plant NV(Nueva Victoria)。
行政和技术办公室及培训室。
医疗设施。
营地和相关设施(健身房、餐厅等)。
生活垃圾处理场。
危险废物堆场。
无害化工业废料场。
SQM TRS Nueva Victoria
帕格。18

tm2311827d1_ex96-4img001.jpg












5历史
智利北部Caliche矿藏的商业开采始于19世纪30年代,当时从矿物中提取硝酸钠用于炸药和化肥生产。到十九世纪末,硝酸盐生产已成为智利的主导产业,智利也随之成为硝酸盐生产和供应的世界领导者。这一繁荣带来了外国直接投资的激增,以及所谓的硝酸盐“办公室”或“Officinas Salitreras”的发展。
合成硝酸盐在20世纪20年代的商业化发展和L930年代的全球经济萧条,造成了智利硝酸盐业务的严重收缩,直到二战后不久才以任何显着的方式恢复。战后,广泛扩大的合成硝酸盐商业生产导致智利天然硝酸盐行业进一步收缩,该行业在1960年代一直处于低迷水平。
维多利亚“办公室”最早是在1941年至1944年间由“Compa ñ í a Salitrera de Tarapac á”成立的。在巅峰时期,维多利亚州生产了150,000公吨硝酸盐,员工人数超过2,000人。1960年,智利的生产发展公司CORFO成立了SQM的根。1971年,Anglo Lautaro将其所有股份出售给CORFO,SQM成为智利政府的全资所有。自SQM创立以来,智利北部的Caliche矿床一直生产硝酸盐和碘。
2002年底,Nueva Victoria East作为采矿业务重新建立。Nueva Victoria矿物通过卡车运输到产生碘的堆浸设施。该站点由位于Nueva Victoria、Sur Viejo和Iris对应的三个区的设施组成。
整体站点布局显示在图6-4.
2014年,投资开发新的采矿部门,增加了Nueva Victoria的硝酸盐和碘产量,实现了该地每年约8500公吨碘的生产能力(包括Iris设施)。
2015年,SQM公司专注于提高运营效率。这包括一项重组我们的碘和硝酸盐业务的计划。为了利用Nueva Victoria高效的生产设施,决定暂停采矿和硝酸盐作业,并减少Pedro de Valdivia矿场的碘产量。2017年期间,Nueva Victoria的碘产能有所增加,目前有效碘产能约为每年14,000公吨。
SQM TRS Nueva Victoria
帕格。19

tm2311827d1_ex96-4img001.jpg












6地质设置、矿化和沉积
6.1区域地理环境
在智利,硝酸盐-碘矿床位于中间盆地,东部受限于沿海山脉(代表侏罗纪岩浆弧)和Precordillera(与源自智利北部巨型Cu-Au矿床的岩浆活动有关),为它们的沉积和集中形成了天然屏障。(图6-1).
智利北部的盐和硝酸盐沉积物出现在从山顶和山脊到宽阔山谷中心的所有地形位置(Ericksen,1981)。它们寄主在不同年代的岩石中,呈现出非常不同的岩性;然而,一个显着的特征是它们总是以某种方式与被称为盐水碎屑系列(CSSà晚渐新世到新近纪)。CSS主要由晚白垩世-始新世火山弧的既有岩石侵蚀和再沉积产生的硅质碎屑和火山碎屑砂岩和砾岩组成。这个关键的地层单元包括在一系列沉积环境下沉积的岩石,包括河流、风成、湖泊和冲积,但所有这些都主要是在干旱条件下发育的。CSS的上部包括主要由硫酸盐和氯化物组成的湖相和蒸发岩。CSS的露头始终位于古晚白垩世-始新世火山弧以西,覆盖了现今的地形(Chong et al.,2007)。
图6-1。智利北部盐碱地矿床地貌图案。
image_7.jpg
注:硝酸盐矿床仅限于沿海山脉东部边缘和中部盆地(取自Gajardo,A & Carrasco,R.(2010)。Salares del Norte de Chile:潜在锂源。智利SERNAGEOMIN)。
智利的大部分硝酸盐矿藏分布在塔拉帕卡省和安托法加斯塔省,更偏北的出现在塔拉帕卡省,主要局限于沿海山脉东侧的一条狭窄地带;而在南部,它们不仅在沿海山脉广泛延伸,而且在中央山谷和安第斯前线也广泛延伸(Garret,1983)。这类矿床中存在极其稀有的矿物,其中我们发现了硝酸盐、硝酸盐-硫酸盐、氯化物、高氯酸盐、碘酸盐、硼酸盐、碳酸盐和铬酸盐。矿化发生为矿脉或浸渍填充孔隙、空腔、干燥多边形和未固结沉积沉积物的裂缝;或作为块状沉积物形成固结到半固结的水泥,作为广泛的均匀地幔固结在风化层中,称为caliche。
SQM TRS Nueva Victoria
帕格。20

tm2311827d1_ex96-4img001.jpg












Nueva Victoria硝酸盐-碘矿床所处的区域地质对应于古近纪碎屑沉积岩,在火山基底之上,与代表侏罗纪火山活动的中间成分熔岩(主要是安山岩-凝灰岩)相关。地质成分的影响区域包括沿海平原、沿海Farell ó n、沿海山脉和中部大潘帕。该地区最古老的岩石露头对应上石炭纪花岗岩。该单元被Sierra de Lagunas地层的岩石所覆盖,对应上三叠统-下侏罗统火山-沉积产物,并受到伴生的下潜侵入岩的影响。Sierra de Lagunas地层明显一致地被Oficina Viz组的岩石所覆盖,这些岩石代表了下侏罗纪和中侏罗纪岩浆弧的火山产物。
Cerro Vetarr ó n二长岩露头在Cordillera de la Costa的中部,它与Oficina Viz组部分同时期。Oficina Viz组被环塔贾亚群海相沉积岩一致覆盖àL í gate Cove组和El Godo组。
深成岩起源于上侏罗纪-下白垩纪的弧形岩浆活动,以斑纹闪长岩、塞罗卡拉斯科侵入杂岩、奥亚尔比德侵入杂岩为代表,也有与后一个单元伴生的下深海体。这些复合体在沿海地带和沿海山脉的西部边缘露头。
与阿塔卡马断裂系相关的南北断层变形过程造成了Cerro Rojo组和Punta Barranco组大陆沉积的构造盆地(张拉盆地和地堑)。这些中生代单元受到下白垩世次火山侵入体和蒙得维的亚侵入体复合体的花岗岩侵入。这些侵入体在Cordillera de la Costa的最东端露头,第二个单元的年龄向东递减。另一方面,在海岸山脉的东部界限,上白垩纪侵入露头的孤立岩石,代表了该时期的岩浆活动,并证明了岩浆活动轴线向东迁移。
在更新世-全新世期间由东风波、构造和侵蚀事件共同作用而产生的沿海大陡坡,将沿海山脉的西部边缘与沿海地带限制在一起。与沿海大陡壁相连的是大量的崩积沉积物,沿着与东西断层相关的陡壁和一些山锋的斜坡也发现了较小规模的崩积沉积物。沿海大断崖生成后,沿岸沉积物沉积发生在其脚下。沿海山脉西缘物质的各种引力位移引起的块状滑坡沉积物。
在更新世-全新世,Alto Hospicio砾石的沉积和冲积沉积物发生在更新世-全新世的沿海地区,局限于沟谷底部,局部形成冲积扇。这些矿床的延伸比渐新世-上新世矿床要小得多,这表明冲积碎屑物质的贡献减少了。另一方面,中部盆地有大量的更新世-全新世冲积层延伸,其成分来自Precordillera岩石的侵蚀。这些冲积矿床被活动的冲积矿床切割和覆盖,延伸范围较小,由粘土、淤泥和细砂组成。
6.2当地地理
Nueva Victoria Property的地质情况介绍于图6-2.地质单元介绍如下。
6.2.1侵入性火成岩
白垩纪的花岗岩、闪长岩、石英二长岩和辉长岩,以窗台和堤坝的形式侵入。记为JG在地质图上。
6.2.2火山和海洋沉积序列
侏罗纪时代海相沉积岩(砂岩、海辉石角砾岩、页岩和石灰岩),有陆相安山岩和安山岩角砾岩的夹层。记为JM(m)在地质图上。
SQM TRS Nueva Victoria
帕格。21

tm2311827d1_ex96-4img001.jpg












6.2.3分层沉积和火山碎屑岩
这一类别包括中生代至新生代沉积和火山碎屑单元,包括:
侏罗纪时代的大陆火山碎屑岩,包括安山岩、角砾岩&安山岩团块与大陆沉积物的夹层。记为合资公司(i)在地质图上。
三叠纪时代的大陆碎屑沉积岩,包括砾岩、砂岩&石英岩与海相沉积岩的夹层。记为TR在地质图上。
由风成沉积物、崩落沉积物、冲积扇、台地、沉积泥石流组成的第四纪差至良好固结沉积物。记为QCP在地质图上。
形成盐田、盐滩、盐水和石膏结壳的蒸发盐,与现代和以前的湿地和咸水或盐水泻湖以及以前或现在的浅水地下区域有关。记为Qs在地质图上。
近期的冲积沉积物、沉积泥石流和风成沉积物。记为夸尔在地图上。
SQM TRS Nueva Victoria
帕格。22

tm2311827d1_ex96-4img001.jpg












图6-2。Nueva Victoria的地质图。内部文档-SQM
image_8.jpg
SQM TRS Nueva Victoria
帕格。23

tm2311827d1_ex96-4img001.jpg












image_9.jpg
SQM TRS Nueva Victoria
帕格。24

tm2311827d1_ex96-4img001.jpg












6.3物业地质学
通过钻孔测井和地表测绘收集地质信息,在第四纪单元(QCP)(单元A至E)范围内确定了5个层次子单元。(图6-3).这些单元对应于沉积物和沉积岩,它们承载着感兴趣的非金属或工业矿石,即碘和硝酸盐。每个单元如下所述。
6.3.1A股
形成轮廓的上部。它对应于浅棕色的硫酸化土壤或岩石膏盐水碎屑层。平均厚度约为0.4米。它主要由沙子和淤泥大小的颗粒组成,在较小程度上由碎石大小的碎屑组成。它在深处呈现为胶结良好的层位,而在剖面中更高,在距地表0.2米的范围内,更易溶解的成分的风化和浸出使其具有多孔性和易碎性。在地表,它表现为松散的细沙到淤泥大小的沉积物,当地称为“chuca”或“chusca”,很容易被风吹走或被尘魔放高。在chusca下方,该单元的主管部分可能会出现近垂直裂缝垂直裂缝,这些裂缝可能会被chusca或风成沉积物填满。
6.3.2B股
Underlises Unit A.它对应于浅棕色的碎屑硫酸盐土壤,其特征是在中到粗砂基质中的硬石膏结核。它的厚度可能横向变化。它通常在0.5到1.0米之间,但可能会变得横向不变。
6.3.3C单元
位于B单元下方,由细至中深棕色砂岩组成,夹层沉积角砾岩。这个单元的厚度在0.5到2.0米之间变化。砂岩和角砾岩被硫酸盐、氯化物和硝酸盐组成的盐很好地固结和胶结。盐类以包膜的形式出现在沉积碎屑(砂粒和碎石粒)周围,填充沉积碎屑之间的空腔,并由于盐水风化而形成盐类聚集体,(浅层地下水位毛细管边缘的水蒸发产生的盐类沉积)。
6.3.4D单元
Underlises Unit C.它由深棕色基质支撑的多聚角砾岩组成。这个单元的厚度在1到5米之间变化。碎屑是有棱角的,随着深度趋于亚圆形。它们的直径从2毫米(非常细的碎石)到80毫米(小鹅卵石)不等。岩性上,碎屑包括斑状安山岩、杏仁质安山岩、侵入性和高度蚀变的岩屑。角砾岩的基质由中等到粗砂粒组成。角砾岩被很好地固结,并被盐类固结。与C单元的情况一样,这些盐包括硫酸盐、氯化物和硝酸盐,它们以包膜的形式出现在熔体周围,填充空洞,并以盐水风化产生的盐类聚集体的形式出现。
6.3.5单位e
这个单元就像D单元,除了沉积的织物和结构。它由深棕色的碎屑支撑的多聚砾岩组成。碎屑呈亚圆形,大小范围很广,有些碎屑直径超过100毫米。它们的组成包括斑状安山岩、强烈绿帘化和绿泥化的斑状安山岩、不确定的蚀变侵入岩碎片和富含氧化铁的碎屑。该矿床被盐类很好地胶结,就像在单元C & D的情况下,这些盐类包裹着碎屑,填充空洞,并以盐类风化形成的盐类集合体或堆积体的形式出现。
6.3.6F股
对应于沉积层序的火成岩基底。在新维多利亚,这对应于白垩纪火山岩、安山岩到闪长岩熔岩和花岗岩体。基底几乎没有经济利益的矿化,这仅限于裂缝填充物,在存在的地方。
SQM TRS Nueva Victoria
帕格。25

tm2311827d1_ex96-4img001.jpg












图6-3。Nueva Victoria的QCP单元的典型简介。
image_10.jpg
硫酸盐沉积物的上层,形成松散的、易于风运的“chusca”,在那里它被风化并在地表浸出。这个单元的厚度在0.5 – 0.9米的范围内变化。
硬石膏结核在中质至粗砂质基质。该单元的厚度通常在0.5-1.0 m的范围内变化,但可能会变得横向不变。
平层细粒至中粒深棕砂岩,沉积角砾岩夹层。这个单元承载着经济矿化。该单元的厚度通常在1.0– 1.5米之间变化。
细粒至中粒角砾岩等级。与C单元的情况一样,该单元承载着经济矿化。机组厚度在1.0-3.0米之间变化。
Nueva Victoria不同板块的地质对应于沉积和火山-沉积组合,在侏罗纪火成岩结晶侏罗纪基底上,通过沉积循环相关,这可能对应于一个冲积扇的远端相,其大小从中砂到细碎石不等。总的来说,发现的相对应于角砾岩、砂岩、安山岩、侵入岩、凝灰岩。在TEA区和Hermosa区,可以观察到盐壳包裹着砂岩,以及硬石膏的覆盖,硬石膏以不规则的方式存在,厚度可变。在西矿区,硬石膏结壳要频繁得多,达到最大厚度,公制数量级。图6-4显示详细描述的扇区的位置。

SQM TRS Nueva Victoria
帕格。26

tm2311827d1_ex96-4img001.jpg












图6-4。新维多利亚部门
plano_avancexpilasxnvx2.jpg

6.3.7Tente en el Aire(TEA)
从形态上看,这一沉积区域处于一个由NW-SE断层系统交叉并被火山露头包围的平坦区域(pampa)。低地形起伏保护了蒸发岩矿床免受侵蚀过程的影响,特别是在TEA的南部和东北部。TEA的西部地区受到地表径流的影响,浸出了caliche,使其变得柔软、易碎和多孔,并降低了其硝酸盐含量。岩性TEA在火山基底上呈现一系列砂岩和多聚角砾岩。盐壳和不同厚度硬石膏覆盖砂岩(图6-5).
矿化的发生对应于矿化地幔(caliche),其厚度通常在3.0– 3.5m范围内变化。70%的TEA被高硝酸盐含量、称职的caliche覆盖,由高含量的可溶性盐胶结。其余30%的TEA被地质力学质量较低的还原硝酸盐浸出方巾覆盖。
TEA caliche中的硝酸盐矿化在4.5 – 6.5% NaNO范围内3与碘在400-430 ppm范围内I2.
SQM TRS Nueva Victoria
帕格。27

tm2311827d1_ex96-4img001.jpg












图6-5。TEA矿床截面示意图。
plano_litologaxteax2024xv1.jpg
seccion_tea.jpg
SQM TRS Nueva Victoria
帕格。28

tm2311827d1_ex96-4img001.jpg












6.3.8托尔卡萨
托尔卡萨矿床区域包括东南部的一个开阔的潘帕,受西面火山露头和东面河流矿床的限制。其地质包括一系列细粒砂岩和中粒角砾岩,碎屑尺寸有随深度增加的趋势。卡利切的矿化地幔通常厚度为2.5 – 3.2米。硝酸盐含量在空间上是可变的。在砂岩和角砾岩亚基之间的地层序列中可以识别出硝酸盐(NaNO3)层位,由富含矿物的地下水沉积(图6-6).
Torcaza的硝酸盐品位在4.0– 6.0% NaNO范围内3而碘品位在300-400ppm范围内。
图6-6。Torcaza扇区地层横截面
plano_litologaxtorcazax202.jpg
seccion_torcaza.jpg
SQM TRS Nueva Victoria
帕格。29

tm2311827d1_ex96-4img001.jpg












6.3.9埃尔莫萨
Hermosa矿床区域包括一个被NW-SE断层系统穿过的封闭盆地。这是一个平缓起伏的区域,有盐分堆积的区域。它受限于西部和北部的火山露头。平缓的地形浮雕侵蚀有限。Hermosa的地质包括一系列中粒砂岩和多聚角砾岩,覆盖在火山基底上的寡聚角砾岩(图6-7).
Hermosa的矿化地幔(caliche)通常厚度在3.5 – 4.0 m范围内变化。90%的Hermosa被高硝酸盐含量、称职的caliche覆盖,并由高含量的可溶性盐胶结。Hermosa剩余的10%被地质力学质量较低的还原硝酸盐浸出法覆盖。
Hermosa caliche的硝酸盐矿化在5.5 – 7.5% NaNO范围内3,碘品位在250-450ppm I区间2.
图6-7。Hermosa扇区层状柱和示意图横截面。
plano_litologaxhermosax202.jpg
SQM TRS Nueva Victoria
帕格。30

tm2311827d1_ex96-4img001.jpg












seccion_hermosa.jpg

6.3.10米娜·奥斯特
Mina Oeste对应于位于冲积环境中的东南部开阔的潘帕,受西面火山露头和东面河流沉积物的限制。岩性上,该板块由一系列细砂岩和中角砾岩形成,深度处碎屑增加。并且硬石膏结壳存在于这个扇区,并且比其他扇区频繁得多,达到最大厚度,阶度量(图6-8).
与Torcaza矿床区域一样,Mina Oeste矿床区域在东南部包括一个开放的潘帕,受限于西部的火山露头和东部的河流矿床。其地质包括一系列细粒砂岩和中粒角砾岩,碎屑尺寸有随深度增加的趋势。
在Oeste矿,硬石膏结壳比其他矿床区域更突出,横向持久性更强,可能达到1米量级的厚度。
Caliche的矿化地幔比TEA和Hermosa中的要薄一些,一般达到2.0– 2.5m范围的厚度。卡利切受到了浸出,这降低了它的硝酸盐含量和地质力学能力。
西矿硝酸盐品位在3.5 – 5.5% NaNO区间3而碘品位在300-400ppm范围内。
6.3.11北米娜
Mina Norte矿床区域对应一个凸起的区块,东面以Sur Viejo盐滩为界。
这一部门的卡利什遭受了盐的再流动和侵蚀,反映在较低的硝酸盐含量和卡利什的厚度减少。岩性上,方铅岩对应的是石英含量高的砂岩和角砾岩,这使得它们具有很强的磨蚀性。 图6-9展示了Mina Norte的地层柱和横截面。
卡利切地幔平均厚度为2.0– 2.2米。该区域的方舱地质力学质量一般较高,除了局部被断层切割可能导致显着粘土含量的地方。
至于Mina Oeste矿床区域,Mina Norte的硝酸盐品位在3.5 – 4.5% NaNO范围内3而碘品位在350-400ppm范围内。

SQM TRS Nueva Victoria
帕格。31

tm2311827d1_ex96-4img001.jpg












图6-8。Mina Oeste Sector横截面示意图。
plano_litologaxminaoestex2.jpg

seccion_minaxoeste.jpg
SQM TRS Nueva Victoria
帕格。32

tm2311827d1_ex96-4img001.jpg












图6-9。Mina Norte扇区横截面示意图。

plano_litologaxminanortex2.jpg

seccion_minaxnorte.jpg














SQM TRS Nueva Victoria
帕格。33

tm2311827d1_ex96-4img001.jpg












6.3.12米娜·苏尔
Mina Sur矿床区域对应一个构造隆起盆地,东面以Sur Viejo盐滩为界。Mina Sur矿床区域因矿化后的地表水径流而富集,有利于可溶性盐的再流动,并富集氯化物、硫酸盐、钾、钙、钠。南矿的地质包括一系列硬质合金、砂岩和多聚角砾岩,覆盖在不同粘土含量的粉砂岩上。
caliche地幔平均厚度达到2.0米。它们的地质力学质量通常很高,除了局部的地方,它们被断层切割,这可能会导致显着的粘土含量。
Mina Sur的硝酸盐品位低于Mina Norte和Mina Oeste,在2.5– 3.5% NaNO范围内3,虽然碘品位在350-450ppm稍高。

图6-10。米纳苏尔区横截面示意图。
plano_litologaxminasurx202.jpg



seccion_minaxsur.jpg

SQM TRS Nueva Victoria
帕格。34

tm2311827d1_ex96-4img001.jpg












6.3.13 TEA Oeste
TEA Oeste对应的是一种冲积型矿床,由砂岩和冲积角砾岩及碎屑寡晶支撑基质的层序形成,由盐类胶结;在此层序下,浅层深度可见火山单元,主要在矿床的西缘。

粘土和硫酸盐含量一般较低;过载厚度在0-0.3米之间变化。矿化地幔平均厚度为3.0米。

硝酸盐矿化发生在范围为3.5 – 4.5% NaNO的不连续盐岩中3,虽然碘矿化发生在大型连续盐岩心;品位为400-430 ppm。

图6-11。TEA Oeste扇区横截面示意图。
plano_litologaxteaoestex20.jpg
seccion_teaxoeste.jpg



SQM TRS Nueva Victoria
帕格。35

tm2311827d1_ex96-4img001.jpg












6.3.14 Franja Oeste

Franja Oeste对应于冲积型矿床,由砂岩和冲积角砾岩形成,由寡晶和/或多晶基质支撑,由盐类胶结,其碎屑来自直接下伏单元的侵蚀。它被一层位于一层球状到粉状硬石膏上的盐水淤泥所覆盖。

角砾岩和砂岩,一般属于弱岩,半致密至浸出,粘土和硫酸盐含量较低,碎屑平均百分比为19%,一般为小卵石大小。
caliche地幔平均厚度达到3.0米。硝酸盐品位在3.0– 4.0% NaNO之间变化3,而碘的等级从300-400ppm不等。

图6-12。Franja Oeste Sector横截面示意图。

plano_litologaxfoestex2024.jpg
6.3.15埃莫萨奥斯特

Hermosa Oeste区对应一个冲积型硝酸盐矿床,由一系列砂岩、砾岩和冲积角砾岩组成,由盐类胶结的寡晶和/或多晶基质支撑,其碎屑来自紧邻下伏单元的侵蚀。层序,该层序被一层位于球状至粉状硬石膏上的盐质淤泥所覆盖。

其特点是存在面向NW-SE的反向断层,产生一些突兀的地形坡度,使浮雕呈现阶梯状外观。

SQM TRS Nueva Victoria
帕格。36

tm2311827d1_ex96-4img001.jpg












该地区的平均碎屑含量为21%。硫酸盐和粘土含量较低,中、高粘土含量,占钻孔的11.5%,平均厚度1.9m,从约1.7米深出现。
caliche地幔平均厚度达到3.5米。硝酸盐品位在5.0– 7.0% NaNO之间变化3,而碘的等级从350-450ppm不等。

图6-13。Franja Oeste扇区横截面示意图。

hermosa_wxgeox2.jpg seccion_hermosaxoeste.jpg
SQM TRS Nueva Victoria
帕格。37

tm2311827d1_ex96-4img001.jpg












6.4矿化

表6-1介绍了Nueva Victoria Property矿物学的概要。表所基于的数据库中包含的样本数由表头中的“n =”值表示。TEA迄今样本数量最多,n = 293个。记录的矿物以百分比表示。该表使用以下颜色编码来表示每种感兴趣矿物的干样品按质量划分的百分比含量:
红色填充表示该矿物占干燥样品质量的10%或更大。
橙色填充表示矿物占干燥样品质量的5%到10%之间。
黄色填充表示矿物占干燥样品质量的1%到5%之间。
在没有颜色填充的单元格中,表示感兴趣的矿物占干样品质量的比例不到1%。
表6-1。Nueva Victoria Caliches矿物学。
集团 矿物
(括号内为西班牙名字)
公式 西矿(n = 75) 托尔卡萨(n = 22) Franja Oeste
(n = 53)
南矿
(n = 94)
埃尔莫萨
(n = 179)

(n = 293)
硝酸盐 硝胺
纳诺3
13.1% 15.8% 12.1% 5.3% 14.1% 14.7%
达拉普斯基塔
3(所以4)(否3).H2O
0.4% 0.1% 0.4% 0.2%
硬质岩
K372(所以4)6(否3)2.6H2O
0.2% 1.4% 0.3% 0.8% 0.5% 0.3%
碘酸盐 劳塔石
CA(IO3)2
0.3% 0.3% 0.3% 0.1%
绿柱石
2K222+ FE63+ Si6O24(OH)6
0.7% 0.8% 0.8% 0.7% 1.0% 0.8%
钾长石
CA(IO3)2.H2O
1.6% 0.8% 0.6% 0.4% 0.6% 0.7%
氯化物 哈利特 NACI 7.2% 13.1% 11.0% 6.6% 8.4% 9.4%
硫酸盐 硬石膏
卡索4
8.3% 3.5% 12.0% 31.9% 5.7% 7.8%
格劳贝里特
2CA(so4)2
4.0% 3.3% 1.1% 5.5% 4.0% 0.9%
Loeweite,
127(所以4)13.15H2O
2.5% 0.6% 0.3% 1.8% 1.9% 0.9%
多卤石
K2CA2镁(SO4)4.2H2O
11.8% 11.0% 10.0% 7.8% 8.9% 10.5%
凯撒石
管理公司4.H2O
2.5% 1.9% 3.7% 0.7% 2.6% 3.5%
布洛迪特
2镁(SO4)2.4H2O
2.3% 4.2% 2.7% 2.2% 3.9% 6.8%
碳酸盐 方解石
CACO3
1.0%
粘土 帕利戈斯基特
(mg,Al)2Si4O10(OH).4H2O
0.1% 0.1% 0.6%
伊利石
K0.65艾尔2[ Si4O10](OH)2.nH2O
0.6% 0.4% 0.4% 0.1% 0.6% 2.4%
费尔德斯帕斯 钙长石
(NA-CA)Al2Si2O8
11.4% 13.6% 12.7% 5.7% 8.9% 6.6%
镜片 白云母
KAl2(ALSI3O10)(OH)2
3.4% 2.0% 2.8% 1.8% 5.9% 2.6%
氯硝酸铁
(Fe,MG)5Al(Si3AlO10)(OH)8
1.6% 0.3% 0.4% 0.1% 1.2% 0.7%
硅酸盐 石英
SiO2
6.4% 8.5% 7.9% 11.7% 13.6% 4.0%
阿尔比特
纳阿尔西3O8
7.5% 4.7% 6.7% 6.0% 5.4% 14.5%
钠长石CA
CaAl2Si2O8
12.5% 9.3% 10.7% 6.3% 8.3% 8.9%
正长链酶
KalSi3O8
0.8% 3.2% 3.3% 4.1% 2.3% 0.6%
天竺葵K
CA25(ALSI7O22)(OH)2
1.3% 0.9% 0.4% 0.1% 0.1%
SQM TRS Nueva Victoria
帕格。38











6.5存款类型
6.5.1Caliche矿床的成因
Wetzel(1961)假设硝酸盐矿床是由泥流事件富集的盐类。Mueller(1960)支持Singewald和Miller(1916)的理论,该理论引用了盐滩边缘的毛细管上升和地下水蒸发的积累。Fiestas(1966)提出,来自火山气体云的酸与硝酸盐田的岩石和土壤之间的反应对于集中在caliche矿床内的矿物盐的成因很重要。Ericksen(1975)提出,矿物盐的来源主要是大气,是从海岸向内陆携带的矿物盐气溶胶的干燥大气降水的产物;气溶胶来自海洋表面/大气层界面的海洋喷雾,特别是来自海岸破碎带的波浪。1963年,他使用凝结雾样本,证明智利北部沿海雾中含有矿物盐,这可能是矿物盐的重要来源,随后随着时间的推移,这些矿物盐通过浸出和蒸发变得集中,形成经济的caliche矿床。
Pueyo et al.(1998)和Reich et al.(2003)等作者描述了咸水地下水和卤水的成因机制,这些机制可以在砂岩和角砾岩等多孔母岩中产生caliche沉积物,尽管通过浅水地下表层毛细管边缘蒸发的水的浓缩过程,主要是蒸发-浓缩。可溶性矿物盐首先通过蚀变岩和预先存在的盐分物质的浸出进入源水。它们强调了长期运行的水文系统在盐类的浸出和运输中的作用,包括在以前较潮湿的气候时期(水文古系统)。
目前的想法是,智利干旱北部的大多数经济Caliche矿床的矿物盐,除了少数特定的海相蒸发岩矿床外,主要是火山起源。Chong(1991)指出,火山物质的浸出本来会受到与第三纪中期火山弧相关的热过程的青睐。á lvarez(2016)解释了地下水如何从含碘的富含有机物岩石中浸出碘可能构成Caliche矿床中碘的重要来源。

6.5.2新维多利亚
Nueva Victoria的矿化是mantiform,有延伸数公里的明显矿床区域。矿化地幔(caliche)厚度因矿床区域而异,落在1.0– 6.0m的范围内。由于地质过程随时间的变化(风化、侵蚀、断层、火山作用),caliche矿床可以采取多种形式,包括,如下所述。

6.5.3连续地幔
侧向连续成矿体位于砂岩和角砾岩中;呈现caliche厚度一般在2.0– 4.0m范围内,但偶尔可达6.0m。在caliche最厚的地方,硝酸盐品位往往最高。碘品位往往在深度降低。caliche地幔可能被充满胶结砂(砂堤)的裂缝切割。沿层状平面触点可以观察到矿物盐的二次沉积。

6.5.4薄薄的盐壳和表层Caliche
蒸发岩矿床表现为薄(0.5至1.2米),横向不连续成矿,常发育在高能力的细粒砂岩内部和上方。这些稀薄矿床中的硝酸盐品位可达20%,碘可达到1,500ppm的值。

6.5.5堆积如山的卡利奇斯。
这种类型的矿床存在于浸出度较高的区域。它特别与冲积扇有关。上覆物质的浸出降低了其胶结程度和地质力学能力,降低了其所含的经济矿化品位。在地层深处(例如冲积扇)对浸出的矿物进行再沉淀,结果在深处产生了更好的胶结、地质力学上更称职、更矿化的方铅矿。厚度
SQM TRS Nueva Victoria
帕格。39











这些矿化方铅矿是可变的,但一般在2.0m左右。通常,这些方铅矿的矿物品位低于其他方铅矿床样式。

6.5.6其他经济矿化
与caliche地幔相关的大部分经济硝酸盐和碘矿化发生在:
宿主砂岩、角砾岩和砾岩沉积碎屑(砂粒和碎石粒)周围的包裹体。
沉积碎屑间孔隙空间的充填。
盐水风化引起的蒸发体聚集体。
经济矿化也可能表现为以下几种方式:
切割caliche地幔作为裂缝填充物(沙堤)。
与沉积物-熔岩接触面相关的0.5至1.0米厚度的矿脉。
在火山岩中作为0.5至1.0米厚的脉。
作为蚀变或断裂火山岩中的矿脉。
Nueva Victoria的硝酸盐矿床位于中间盆地西部边缘,主要由碎屑沉积岩(砂岩、角砾岩和砾岩)的地表或浅水平至亚水平地层形成,这些碎屑沉积岩已被富含矿物盐(硝酸盐、氯化物、碘酸盐)的溶液矿化,形成在大型水平层中发现的caliche矿床,厚度从1到4米不等,顶部有0.0到2.0米的贫瘠物质(覆盖层)。
SQM TRS Nueva Victoria
帕格。40











7勘探
Nueva Victoria是一个活跃的矿山运营。正在进行的勘探由SQM进行,主要目的是支持矿山运营和增加估计的矿产资源。勘探战略的重点是拥有关于矿体吨位和品位的初步背景信息,并将成为下一次重新分类活动的决策基础。勘探工作由矿山人员完成。
7.1表面样本
SQM不为勘探效果收集地表样本。
7.2地貌调查
使用遥控操作的无人飞机Wingtra One(图7-1);设备,分辨率61兆像素,最大飞行高度600m,飞行自主55分钟。测量中的精确度为5至2厘米。
该计量自2015年起承包给STG。
图7-1。Wingtra One固定翼飞机
image_19.jpg
在2015年之前,地形测量是每25米通过数据测量剖面完成的;这些剖面是在土地测量员制作剖面时通过步行和从点收集信息完成的。利用这些信息,生成相应的插值,得到扇形面和等高线。

SQM TRS Nueva Victoria
帕格。41











7.3钻探方法及结果
Nueva Victoria地质和钻孔数据库包括114,306个孔,代表482,738米的钻孔。表7-1按部门汇总钻探情况。图7-2显示钻孔位置。至于所使用的钻孔类型,则对应于RC孔,最大深度为7米。所有的Nueva Victoria钻探都是用垂直钻孔完成的。
表7-1。Nueva Victoria、Iris和Soronal Properties按部门划分的钻孔数量和总米数的详细信息
SQM物业 部门 环评 网格 钻孔N ° 总公尺 核心复苏(%)
索罗纳尔 福图纳 埃尔莫萨 100 - 400 1,192 6,126 90
埃尔莫萨 埃尔莫萨 100T 12,038 60,510 90
Tente en el Aire 埃尔莫萨 100T-200 7,313 36,565 89
Hermosa Oeste 100T-200-400 4,743 24,868 87
科鲁尼亚 埃尔莫萨 100 1,038 6,228 无数据
TEA Oeste 100T-200-400 3,434 17,695 87
苏泰阿 100T 1,165 6,336 87
椰子油 100T-100-200 1,402 7,073 87
Pampa Enga ñ adora 100T-200-400 3,738 20,753 85
Franja Oeste 100T-200 8,027 40,887 87
Nueva Victoria & Iris Oeste 3 50 - 100 485 2,183 84
米娜·奥斯特 新维多利亚 50-100T 18,692 66,251 90
北米娜 新维多利亚 50 21,165 74,078 83.5
米娜·苏尔 新维多利亚 50-100T 24,541 86,959 94
鸢尾花Vigia 新维多利亚 100T-200 933 4,226 87
托尔卡萨 托尔卡萨 50 - 100 - 200 4,400 22,000 88.1
114,306 482,738
钻探活动是根据矿产资源的资源预测优先顺序和长期规划管理进行的。随后,这份探矿计划提交给各自的副总裁批准,如果他们符合拟规划的储量预测,如果不重合,则修改探矿计划。

























SQM TRS Nueva Victoria
帕格。42











图7-2。钻孔位置图

plano_sondajesxnvxv3xfig7x2.jpg


SQM TRS Nueva Victoria
帕格。43











Nueva Victoria的钻探完成,探矿格为400 x 400 m、200 x 200 m、100 x 100 m、100 t和50 x 50 m。
7.3.1网格> 400米
已被确认并具有一些成矿潜力的区域最初在宽网格反向气孔中进行勘探,一般大于400米,根据遇到矿石的深度不同,可变深度为6至8米。考虑到网格的类型以及吨位和品位的估算精度受到影响,将该资源定义为假设和投机资源,勘探目标网格> 400 m。
7.3.2400米网格
一旦确定了有预期的推断扇区,就会进行400x400m的探矿网格。在公认存在caliche的区域或400x400m网格钻探伴随着确认矿化连续性的局部更近间距钻探的区域,400m网格钻探提供了合理的信心水平,因此确定了矿化体的尺寸、厚度、吨位和品位,用于确定勘探目标和未来开发。所获得的信息辅之以地表地质和地质单元的定义。该区域用于估算推断资源量。在没有合理置信度的其他情况下,400x400m网格将被定义为潜在资源。
7.3.3200米
随后,重新定义了潜在的扇区,并进行了200x200m的探矿网格,在这种情况下,允许以显着的置信度划定矿化体的尺寸、功率、吨位、品位以及矿化的连续性。在这一阶段,启动详细的地质工作,继续补充地表地质单元的定义并确定部门开展地质冶金分析。该区域用于估算指示矿产资源。

7.3.4100米、100吨和50米网格
50x50米、100x100米和100T~100x50米探矿网格允许以显着的置信度(与钻井网格相关的信息量)划定矿化体的尺寸、功率、吨位和品位以及矿化的连续性。然后继续根据探矿地点确定地质单元并从中试厂收集地质冶金分析信息。该区域用于估算已测量的矿产资源。
Mina Norte地区钻探活动的结果可以在图7-3,其中红色突出显示碘大于450ppm的扇区,洋红色突出显示碘在400-450ppm之间;蓝色突出显示碘在350-400ppm之间;绿色突出显示碘在300-350ppm之间,黄色突出显示碘低于300ppm。Mina Norte矿化体呈连续规律分布,北矿北部和中部碘矿化浓度较高。
SQM TRS Nueva Victoria
帕格。44











图7-3。等碘图Nueva Victoria Mina Norte
plano_isoyodoxminanortex20.jpg
图7-4。等碘图Nueva Victoria Mine Sur

plano_isoyodoxminasurx2024.jpg
米纳苏尔区钻探活动的结果可以在图7-4,其中以红色突出显示碘大于450ppm的扇区,以洋红色突出显示碘在400-450ppm之间;以蓝色突出显示碘在350-400ppm之间;以绿色突出显示碘在300-350ppm之间,以黄色突出显示碘低于300ppm。Mina Sur的矿化体呈连续和规律分布,该区南部的碘矿化浓度更高。
SQM TRS Nueva Victoria
帕格。45











图7-5。等碘图Nueva Victoria Mina Oeste
plano_isoyodoxminaoestex20.jpg
Mine Oeste板块的钻探活动结果可见于图7-5,其中红色突出显示碘大于450ppm的扇区,洋红色突出显示碘在400-450ppm之间;蓝色突出显示碘在350-400ppm之间;绿色突出显示碘在300-350ppm之间,黄色突出显示碘在300ppm以下。Mina Oeste矿化体呈连续规律分布,板块中心碘矿化浓度较高。
SQM TRS Nueva Victoria
帕格。46











图7-6。等碘图Nueva Victoria;茶区
plano_isoyodoxteax2024xv1.jpg
TEA领域的钻探活动结果显示在图7-6.其中红色突出显示的是碘大于450ppm的扇区,洋红色突出显示的是碘在400-450ppm之间;蓝色突出显示的是碘在350-400ppm之间;绿色突出显示的是碘在300 – 350ppm之间,黄色突出显示的是碘在300ppm以下。TEA矿化体呈不连续、不规则分布,板块东部和北部碘矿化浓度较高。
SQM TRS Nueva Victoria
帕格。47











图7-7。等碘图Hermosa区

plano_isoyodoxhermosax2024.jpg
Hermosa区钻探活动的结果显示在图7-7.其中红色突出显示的是碘大于450ppm的扇区,洋红色突出显示的是碘在400-450ppm之间;蓝色突出显示的是碘在350-400ppm之间;绿色突出显示的是碘在300 – 350ppm之间,黄色突出显示的是碘在300ppm以下。矿化体在
SQM TRS Nueva Victoria
帕格。48











Hermosa呈不连续和不规则分布,板块西南部的碘矿化浓度更高。


图7-8。等碘图Torcaza区

plano_isoyodoxtorcazax2024.jpg
Torcaza区钻探活动结果见图7-8.其中红色突出显示的是碘大于450ppm的扇区,洋红色突出显示的是碘在400-450ppm之间;蓝色突出显示的是碘在350-400ppm之间;绿色突出显示的是碘在300 – 350ppm之间,黄色突出显示的是碘在300ppm以下。托尔卡萨矿化体东部连续、规律,西部不连续、不规则成矿。








SQM TRS Nueva Victoria
帕格。49











图7-9。等碘图TEA Oeste Sector
plano_isoyodoxteaoestex202.jpg
TEA Oeste部门的钻探活动结果显示在图7-9.其中红色突出显示的是碘大于450ppm的扇区,洋红色突出显示的是碘在400-450ppm之间;蓝色突出显示的是碘在350-400ppm之间;绿色突出显示的是碘在300-350ppm之间,黄色突出显示的是碘在300ppm以下。TEA Oeste的矿化体在中心部分具有连续性和规律性,而在西部,矿化是不连续和不规则的。

7.3.52024年竞选活动。
SQM正在Nueva Victoria矿山周边地区开展勘探、重新分类和资源评估计划,该矿山目前正在运营中。SQM已执行400米间距的侦察钻探。(表7-2表7-3).
2024年在TEA板块及周边开展矿产资源重新分类项目,为五年发展规划具备可开采矿产储量。
为此,载运3,993个钻孔,代表23,033米出,估算成本106.5美元/m;逐样获得总盐分析样品。有了这些信息,Hermosa Oeste和Franja Oeste有部门需要从Probable到Proven Reserve重新分类。
SQM TRS Nueva Victoria
帕格。50











表7-2。在2024年的战役中钻探的米
项目/面积 钻孔 总公尺
Hermosa Oeste 19 89
Franja Oeste 914 5,384
Pampa Enga ñ adora 1,019 5,931
椰子油 63 378
鸢尾花Vigia 108 648
米娜·奥斯特 342 2,025.5
米娜·苏尔 426 2,556
福图纳 171 1,020.5
埃尔莫萨 383 2,298
TEA Oeste 548 2,703
合计 3,993 23,033
表7-3。活动2024年平均NANO3和我2
项目/面积 钻孔
平均NaNO3(%)
平均I2(ppm)
Hermosa Oeste 19 6.8 539
Franja Oeste 914 2.9 151
Pampa Enga ñ adora 840 2.5 212
米娜·奥斯特 342 2.6 170
米娜·苏尔 426 1.4 81
埃尔莫萨 383 5.6 270
TEA Oeste 548 1.8 186
合计 3,472 2.7 180
7.3.6勘探钻头样品回收
已对迄今已完成的所有RC孔进行了岩心回收计算。在历史战役中,由于所使用的钻机类型,回收率较低。
自2015年以来,对钻井设备进行了改造,从而减少了材料损失,从而提高了样本回收率。应该指出的是,采收率高于80%,这一数值与待钻探岩石的能力程度直接相关,例如在Franja Oeste和Pampa Enga ñ adora的采收率较低,它们呈现低压实的半软方块。Hermosa和TEA等行业的回收率接近90%,因为它们对应的是竞争和矿化程度高的caliche行业。表7-4详细介绍了新维多利亚州各行业的复苏百分比。

SQM TRS Nueva Victoria
帕格。51











表7-4。Nueva Victoria按部门划分的复苏百分比
SQM物业 部门 环评 网格 钻孔N ° 总公尺 核心复苏(%)
索罗纳尔 福图纳 埃尔莫萨 100 - 400 1,192 6,126 90
埃尔莫萨 埃尔莫萨 100T 12,038 60,510 90
Tente en el Aire 埃尔莫萨 100T-200 7,313 36,565 89
Hermosa Oeste 100T-200-400 4,743 24,868 87
科鲁尼亚 埃尔莫萨 100 1,038 6,228 无数据
TEA Oeste 100T-200-400 3,434 17,695 87
苏泰阿 100T 1,165 6,336 87
椰子油 100T-100-200 1,402 7,073 85
Pampa Enga ñ adora 100T-200-400 3,738 20,753 85
Franja Oeste 100T-200 8,027 40,887 87
Nueva Victoria & Iris Oeste 3 50 - 100 485 2,183 84
米娜·奥斯特 新维多利亚 50-100T 18,692 66,251 90
北米娜 新维多利亚 50 21,165 74,078 83.5
米娜·苏尔 新维多利亚 50-100T 24,541 86,959 94
鸢尾花Vigia 新维多利亚 100T-200 933 4,226 87
托尔卡萨 托尔卡萨 50 - 100 - 200 4,400 22,000 88.1
114,306 482,738
7.3.7勘探钻孔测井
对于所有样品钻孔测井均由SQM地质学家进行,这是在现场进行的。日志记录过程使用了记录的协议。地质测井记录了有关岩石类型、矿物学、蚀变和地质力学的信息。
伐木过程包括以下步骤:
使用刻度为cm的工具测量“底座”和钻孔。
切削(RC)和/或钻孔岩心(DDH)的测绘,确定它们的颜色、岩性、蚀变和/或矿化的类型和强度。
地质力学单元的测定a浸出、平滑、粗糙和插层。
使用平板电脑和/或计算机以数字方式记录信息,使用带有控制系统和Acquire中数据验证的预定义格式。
测井地质学家负责:
生成尽可能高质量和内部一致性的地质数据,在Acquire中使用既定程序和使用系统。
定位并核实待映射工作信息。
执行地质力学和岩性钻孔测绘程序。
7.3.8数据点的勘探钻孔位置
进行钻孔套环坐标测量过程,分2个阶段。钻孔打孔前,地质区由Acquire生成包含钻孔个数的平面图和清单,标记并协调到STG公司外部承包人的人员。一位土地测量师在野外对该点位进行了测量,并用木桩和标识卡识别出该点位,标识卡上有推荐钻孔数量、坐标和标高等信息的内容条形码。
SQM TRS Nueva Victoria
帕格。52











钻孔后,使用GNSS设备勘测孔洞,随后由具备所有所需信息的专门软件进行处理。一旦完整战役结束,就对勘测数据进行复核,并发送一份清单,其中包含演习id信息及其坐标。
领子坐标被输入微软®Excel工作表,随后由SQM的人员在Acquire中汇总为最终数据库。
钻孔结束时,钻孔套管被拆除,钻箍上标有永久性混凝土纪念碑,纪念碑上的金属标签上记录着钻孔名称。
7.3.9合资格人士关于勘探钻探的声明
合格人员认为,选取间距逐渐减小的采样网格作为矿产资源区,是从推断升级到实测矿产资源随着它们进一步转换为Proven,以及已应用生产计划的概略矿产储量,是适当的,并且符合caliche采矿的良好商业惯例。数据收集的详细程度适合这些矿床的地质和开采方法。
SQM TRS Nueva Victoria
帕格。53











8样本编制、分析和安全
8.1站点样本准备方法和安全性

告知Nueva Victoria矿产资源的分析样品是在位于安托法加斯塔市的Iris工厂和内部实验室制备和化验的。

所有采样均由外部操作人员完成。基于实地访问期间的程序审查和随后的数据审查,QP认为为确保样本代表性而采取的措施对于估算矿产资源是合理的。
8.1.1RC钻孔

这次RC钻探的重点是从“卡利切地幔”收集化学变量的岩性和品位数据。RC钻孔由外部公司“Performations RMu ñ oz”在SQM的监督下进行,直径为5 μ inch。SQM设计了钻探活动和兴趣点,以获得有关caliche地幔等级的新信息。

一旦指定钻点,对钻机定位进行勘测,并在勘测的钻孔位置设置钻机,继续钻孔(图8-1 a、b yc).在每个钻孔开始时,钻孔点被清理或覆盖,用反铲消除了软覆盖层,或chusca。

在塑料袋中以连续50厘米的间隔从气旋中采集样本。样品在平台上进行了称重和四等分。取了一个切割样品留在地板上作为对照样品。样品袋系好,插上一张号码卡。(图8-1d).

图8-1。A)钻点标记B)钻机定位C)RC钻孔D)平台RC样品

imagen8-1.jpg

样品用卡车运到工厂进行机械制备和化学分析。然后,它们按照正确的顺序从卡车上卸下,并放置在工厂人员提供的托盘上。样本装卸通过读取条码进行记录,条码并入Acquire。(图8-2).
SQM TRS Nueva Victoria
帕格。54











图8-2。a)运输卡车。b)带有RC样品的托盘
imagen8-2.jpg
8.1.2样品制备
机械样品制备由位于Nueva Victoria的试点工厂Iris V7进行。样品制备包括(图8-3).
12至18公斤的样品在锥形分离器中进行分割,所得样品的重量应在1.0至2.5公斤之间(相当于初始样品质量的10%至14%)
在潮湿的情况下干燥样品。
使用圆锥破碎机缩小样品尺寸,以生产大约1至2.5公斤的样品,通过数字8目(-# 8)。
将样品分割在一个每个12个½ "槽的Riffle切割机中。样品在2中分离,其中一个对应废品,另一个样品至少要重500克。
样品粉碎。
包装和标签,生成2袋样品,一种将用于要求250克的复合材料(原件),另一种将用于实验室,其中要求100克。(图8-4。).
确定了样品流中质量控制样品的插入点。每20个样本纳入重复样本,包括第一个样本。样品装在装有最多63个样品(重约15公斤)的盒子里,运往Caliche Iodine Internal实验室。

SQM TRS Nueva Victoria
帕格。55











图8-3。样品制备流程图
image_27.jpg
图8-4。A)样品分部b)圆锥破碎机c)Riffle切割机d)样品粉碎e)包装
imagen2.jpg


SQM TRS Nueva Victoria
帕格。56











8.2实验室、分析和分析程序
NO的化学分析3并在位于安托法加斯塔的Caliche碘实验室进行了碘处理。这是ISO 9001:2015认证的可运输碘,复制在caliche和钻孔。
caliche碘实验室有能力分析500个样本/天进行硝酸盐和碘分析。样本处理,从接收到分析,分3个方面进行:
接收和压制区
硝酸盐区
氧化还原体积面积
采用紫外可见分子吸收光谱进行硝酸盐分析。进入实验室信息管理系统(LIMS)系统的最低浓度为1,0%,结果以NaNO %表示3.采用氧化还原容积法进行碘分析。向LIMS系统报告的最低浓度为0.005%。
8.3结果、质量控制程序和质量保证行动
8.3.1实验室质量控制
为验证实验室分析结果,采取了以下控制措施(图8-5)
碘:
准备一份参考标准。
二次参考材料的使用。
测量参比标准和试剂空白,确保所用试剂质量。
每5个样本一个用已知浓度的Caliche制备的QC
得到的结果不应超过QC标称值的2%,否则应修正变量,从头开始分析批次。
硝酸盐:
分析在样本开始时设置一个标准解。
每5个样品一个用已知浓度的Caliche制备的QC,所得结果的变异不应超过QC标称值的5%,否则应修正变量,从头开始分析批次。
SQM TRS Nueva Victoria
帕格。57











图8-5。实验室化学分析结果审批流程图
image_29.jpg
8.3.2质量控制和质量保证计划(Qa-QC)

QA/QC程序通常设置到位,以确保勘探数据的可靠性和保证性。包括钻井、测量、采样、化验、数据管理、数据库完整性等方面的书面实地程序。

质量控制程序旨在确保钻井活动数据的质量,以便输入估算数据库的品位数据具有足够的精确度和精确度,被认为是可靠的。为此目的,将盲控样品放入批次,由70个样品组成的架子组成。插入模板A和B由AcQuire软件生成和控制,该软件将控件分布如下,增加了16.7%,包括高等级标准、低等级标准、空白(已知和核证值)、重复样本(表8-1).

表8-1。插入控制的数量和类型。

样本 模板A %模板A 模板b %模板B
样本Primary 60 100% 60 100%
DUPG(粗复制件) 1 1.7% 1 1.7%
DUPP(精复本) 2 3.3% 2 3.3%
STDA(高等级标准) 2 3.3% 1 1.7%
STDB(低等级标准) 1 1.7% 2 3.3%
DUP(重复场) 1 1.7% 1 1.7%
BK(空白) 3 5% 3 5%



SQM TRS Nueva Victoria
帕格。58











输入的控件数量与每盒样品数量成正比,根据公式:

性病(A、B、BK & DUP、DUPG、DUPP)=(模板/每盒样本数)*100

为了准备有质量控制的盒子,使用经过培训的技术人员进行样品处理和使用AcQuire软件。他们的责任是确保适当的样品处理以避免污染和正确插入所有控件,确保样品按顺序编号。一旦这样做,盒子就会被密封,以便运送到SQM实验室。AcQuire系统使用带数字读取的条码系统,最大限度地减少了人为错误,因为如果条码代码不是连续的,它不允许该过程继续进行。此外,运送样品的盒子有编码和二维码,确保可追溯性。

图8-6。创建盒子,用条形码指示样品。

imagen8-6.jpg

这些批次在实验室中进行分析,以便量化该过程的精确度、精确度和污染情况,详情如下:

-Precision:通过重复对的失败百分比来量化。可接受限值为超过实际检测限值3倍的故障不超过10%。

-精度:结合标准分析结果,计算出相对偏差和变异系数,并通过控制图对过程控制进行分析。可接受性范围是最大5%的偏误(阳性或阴性),变异系数不超过5%,建议在过程失控时进行调查,无论是由于粗误、分析误、系统误或其他错误。当样本超过3个标准差,或连续2个或更多样本超过2个标准差时,定义为失去控制。

-污染:超过实验室实际检测限值3倍的细白样品不得超过5%。如果这些交付的结果超出了既定参数,则拒绝批量(机架),并调查问题的根本原因,随后重新分析所涉及的机架。

AcQuire和LIMS系统作为我们的数据库发挥作用,以获取信息并执行对所有样本的跟踪,从而优化结果的时间及其在可追溯性方面的可靠性。


8.3. 2.1 QAQC方案结果

2023年至2024年底新维多利亚区QA-QC计划的结果。QAQC计划的结果为获得结果的每个pampa提供了详细的信息。

SQM TRS Nueva Victoria
帕格。59











标准

表8-2详细介绍每个pampa的控制结果汇总表。

表8-2。对照结果汇总表(标准)–潘帕斯

部门 性病 MV 元素 单位 平均 样本 OCS OCS(%) 偏差(%) 简历(%)
埃尔莫萨 STD _ A _ 1 499
I2
ppm 503 627 16 2.55 0.31 8.31
埃尔莫萨 STD _ A _ 1 5.93
纳诺3
% 5.8 627 14 2.23 -1.94 4.49
埃尔莫萨 STD _ B _ 1 250
I2
ppm 259.6 425 16 3.76 3.42 7.43
埃尔莫萨 STD _ B _ 2 2.76
纳诺3
% 2.7 425 12 2.82 -1.59 8.08
Tea Oeste STD _ A _ 1 499
I2
ppm 532.4 17 0 0 6.68 6.66
Tea Oeste STD _ A _ 1 5.93
纳诺3
% 5.6 19 0 0 -6.27 7.55
Tea Oeste STD _ B _ 2 260
I2
ppm 260 7 0 0 0 3.14
Tea Oeste STD _ B _ 2 2.76
纳诺3
% 2.4 7 0 0 -12.01 3.11
Hermosa Oeste STD _ A _ 1 499
I2
ppm 520.6 279 12 4.3 3.96 7.92
Hermosa Oeste STD _ A _ 1 5.93
纳诺3
% 5.8 287 4 1.39 -2.35 3.7
Hermosa Oeste STD _ B _ 1 250
I2
ppm 262.7 102 5 4.9 5.1 8.57
Hermosa Oeste STD _ B _ 2 2.76
纳诺3
% 2.8 106 2 1.89 -0.5 6.96
Franja Oeste STD _ A _ 1 499
I2
ppm 504.1 316 0 0 1.02 12.56
Franja Oeste STD _ A _ 1 5.93
纳诺3
% 5.5 368 2 0.54 -6.42 6.23
Franja Oeste STD _ B _ 1 250
I2
ppm 274.2 252 3 1.19 9.67 11.23
Franja Oeste STD _ B _ 2 2.76
纳诺3
% 2.6 281 5 1.78 -7.47 7.71
椰子油 STD _ A _ 2 560
I2
ppm 596 5 0 0 6.43 5.64
椰子油 STD _ A _ 2 5.31
纳诺3
% 4.6 5 0 0 -12.99 10.08
椰子油 STD _ B _ 2 260
I2
ppm 271.4 7 0 0 4.4 7.79
椰子油 STD _ B _ 2 2.76
纳诺3
% 2.3 7 0 0 -16.67 5.61
恩加尼亚多拉 STD _ A _ 1 499
I2
ppm 525.9 190 0 0 5.4 12.58
恩加尼亚多拉 STD _ A _ 1 5.93
纳诺3
% 5.4 194 2 1.03 -8.5 8.44
恩加尼亚多拉 STD _ B _ 1 250
I2
ppm 275.6 189 2 1.06 10.24 10.74
恩加尼亚多拉 STD _ B _ 2 2.76
纳诺3
% 2.6 191 4 2.09 -7.81 7.1
米娜·苏尔 STD _ A _ 2 560
I2
ppm 552.1 124 3 2.42 -1.27 2.4
米娜·苏尔 STD _ A _ 2 5.31
纳诺3
% 5.3 123 3 2.44 -0.98 5.86
米娜·苏尔 STD _ B _ 2 260
I2
ppm 261.3 120 0 0 0.48 4.08
米娜·苏尔 STD _ B _ 2 2.76
纳诺3
% 2.6 117 2 1.71 -4.81 8.68
米娜·奥斯特 STD _ A _ 2 560
I2
ppm 547.5 91 2 2.2 -2.24 2.69
米娜·奥斯特 STD _ A _ 2 5.31
纳诺3
% 5.1 91 3 3.3 -3.41 4.89
米娜·奥斯特 STD _ B _ 2 260
I2
ppm 257.2 90 4 4.44 -1.25 4.88
米娜·奥斯特 STD _ B _ 2 2.76
纳诺3
% 2.5 90 2 2.22 -8.21 7.81

埃尔莫萨

以下数字提供了在潘帕埃尔莫萨省对碘的精确度图表的结果(图8.7)和硝酸盐(图8.8)变量。

SQM TRS Nueva Victoria
帕格。60











图8-7。STD A-1和B-1碘精度评估(499ppm和250ppm)。

imagen8-7.jpg

图8-8。STD A-1和B-1硝酸盐精度评估(5.93%和2.76%)。

figura8-8.jpg



Hermosa Oeste

以下数字提供了在Pampa Hermosa Oeste中对碘的精确度图表的结果(图8.9)和硝酸盐(图8.10)变量。

















SQM TRS Nueva Victoria
帕格。61











图8-9。STD A-1和B-1碘精度评估(499ppm和250ppm)。

imagen8-9.jpg

图8-10。STD A-1和B-1硝酸盐精度评估(5.93%和2.76%)。

imagen8-10.jpg


恩加尼亚多拉

以下数字提供了在Pampa Enga ñ adora中对碘的精确度图表的结果(图8.11)和硝酸盐(图8.12)变量。


















SQM TRS Nueva Victoria
帕格。62











图8-11。STD A-1和B-1碘精度评估(499ppm和250ppm)。

imagen8-11.jpg

图8-12。STD A-1和B-1硝酸盐精度评估(5.93%和2.76%)。

imagen8-12.jpg



Franja Oeste

以下数字提供了在Pampa Franja Oeste中对碘的精确度图表的结果(图8.13)和硝酸盐(图8.14)变量。

















SQM TRS Nueva Victoria
帕格。63











图8-13。STD A-1和B-1碘精度评估(499ppm和250ppm)。

imagen8-13.jpg


图8-14。STD A-1和B-1硝酸盐精度评估(5.93%和2.76%)。

imagen8-14.jpg



米娜·苏尔

以下数字提供了在Pampa Mina Sur对碘的精确度图表的结果(图8.15)和硝酸盐(图8.16)变量。

图8-15。STD A-1和B-1碘精度评估(560ppm和260ppm)。

SQM TRS Nueva Victoria
帕格。64











imagen8-15.jpg



图8-16。STD A-1和B-1硝酸盐精度评估(5.31%和2.76%)。

imagen8-16.jpg


米娜·奥斯特

以下数字提供了在Pampa Mina Oeste中对碘的精确度图表的结果(图8.17)和硝酸盐(图8.18)变量。

图8-17。STD A-1和B-1碘精度评估(560ppm和260ppm)。

imagen8-17.jpg
SQM TRS Nueva Victoria
帕格。65













图8-18。STD A-1和B-1硝酸盐精度评估(5.31%和2.76%)。

imagen8-18.jpg

复制件

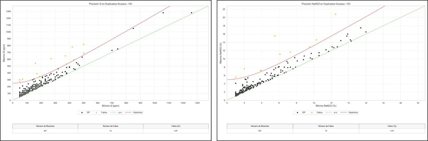
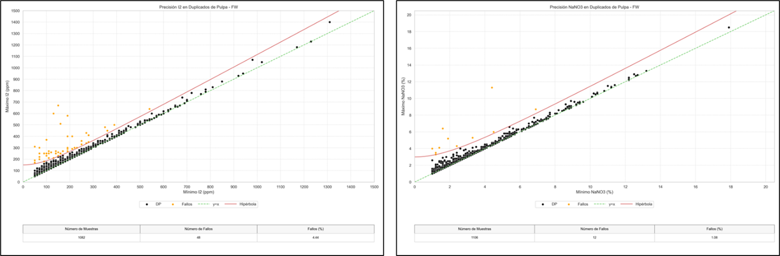
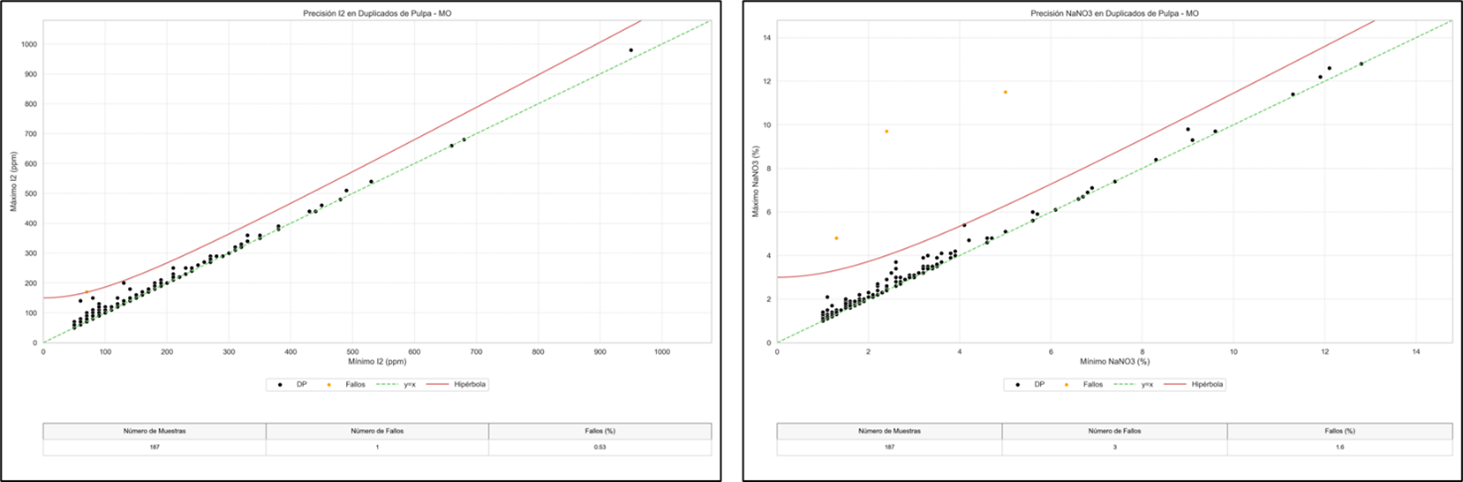
埃尔莫萨

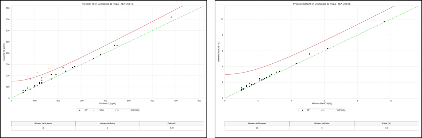
粗和罚款重复

在重复的结果中,碘和硝酸盐在粗(表8-3)和纸浆(表8-4)对于pampa hermosa,未观察到以下准确度结果(图8-19图8-20).

表8-3。结果汇总表复制粗-Hermosa

统计学家 硝酸盐品级% 差异 统计学家 碘级ppm 差异
原创 检查 原件-支票 原创 检查 原件-支票
398 398 0 400 400 0
平均 5.905 5.951 -0.05 平均 261.4 267.5 -6.1
站起来。偏差 3.819 3.823 0 站起来。偏差 211.2 204.3 7
%差异 -0.78 %差异 -2.34
最低 1 1 最低 50 50
百分位25 3 3.175 百分位25 130 140
中位数 5.2 5.1 中位数 190 200
百分位75 7.9 7.6 百分位75 310 317.5
最大值 26.4 26.5 最大值 1510 1600
相关指数 0.88 相关指数 0.86








SQM TRS Nueva Victoria
帕格。66











表8-4。结果汇总表复制纸浆-Hermosa

统计学家 硝酸盐品级% 差异 统计学家 碘级ppm 差异
原创 检查 原件-支票 原创 检查 原件-支票
1,210 1,210 0 1,218 1,218 0
平均 5.62 5.60 0.01 平均 253.5 256 -2.5
站起来。偏差 3.63 3.65 -0.02 站起来。偏差 194.4 193.2 1.2
%差异 0.22 %差异 -0.99
最低 1 1 最低 50 50
百分位25 2.93 2.9 百分位25 130 130
中位数 4.7 4.6 中位数 190 200
百分位75 7.4 7.4 百分位75 310 310
最大值 25.5 26 最大值 1,700 1,730
相关指数 0.98 相关指数 0.98











图8-19。结果图复制粗(I2和硝酸盐)-Hermosa

imagen8-19.jpg

图8-20。结果图复制纸浆(I2和硝酸盐)-Hermosa

SQM TRS Nueva Victoria
帕格。67











imagen8-20.jpg



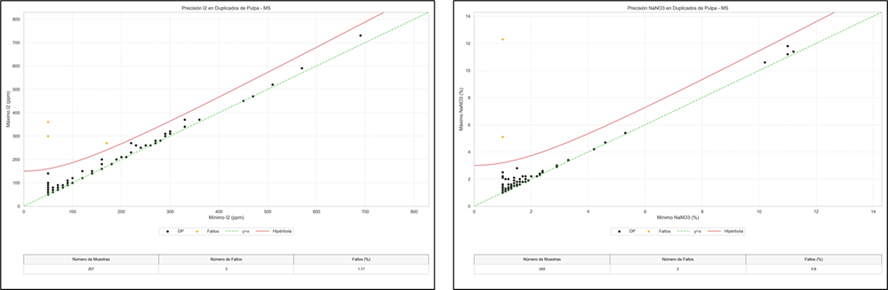
Hermosa Oeste

粗和罚款重复

在重复的结果中,碘和硝酸盐在粗(表8-5)和纸浆(表8-6)对于pampa Hermosa Oeste,未观察到以下准确度结果(图8-21图8-22).

表8-5。结果汇总表复制粗– Hermosa Oeste

统计学家 硝酸盐品级% 差异 统计学家 碘级ppm 差异
原创 检查 原件-支票 原创 检查 原件-支票
411 411 402 402
平均 2.984 2.897 0.09 平均 177.71 177.84 -0.1
站起来。偏差 2.639 2.44 0.2 站起来。偏差 124.03 116.04 7.99
%差异 2.92 %差异 -0.07
最低 1 1 最低 50 50
百分位25 1.2 1.3 百分位25 90 100
中位数 2.1 2 中位数 140 150
百分位75 3.7 3.5 百分位75 210 210
最大值 19.5 14.5 最大值 830 820
相关指数 0.86 相关指数 0.83














SQM TRS Nueva Victoria
帕格。68











表8-6。结果汇总表复制纸浆– Hermosa Oeste

统计学家 硝酸盐品级% 差异 统计学家 碘级ppm 差异
原创 检查 原件-支票 原创 检查 原件-支票
669 669 669 669
平均 3.07 3.07 0 平均 212.2 217.4 -5.2
站起来。偏差 2.59 2.61 -0.02 站起来。偏差 181.5 196.4 -14.9
%差异 0 %差异 -2.45
最低 1 1 最低 50 50
百分位25 1.4 1.4 百分位25 100 100
中位数 2.3 2.3 中位数 150 160
百分位75 3.6 3.6 百分位75 270 260
最大值 18.2 18.3 最大值 1350 2320
相关指数 0.92 相关指数 0.88



图8-21。结果图复制粗(I2和硝酸盐)– Hermosa Oeste

imagen8-21.jpg


图8-22。结果图复制纸浆(I2和硝酸盐)– Hermosa Oeste

SQM TRS Nueva Victoria
帕格。69











imagen8-22.jpg


Franja Oeste

粗和罚款重复

在重复的结果中,碘和硝酸盐在粗(表8-7)和纸浆(表8-8)对于Pampa Franja Oeste,未观察到以下准确度结果(图8-23图8-24).

表8-7。结果汇总表复制粗– Franja Oeste

统计学家 硝酸盐品级% 差异 统计学家 碘级ppm 差异
原创 检查 原件-支票 原创 检查 原件-支票
411 411 402 402
平均 2.984 2.897 0.09 平均 177.71 177.84 -0.1
站起来。偏差 2.639 2.44 0.2 站起来。偏差 124.03 116.04 7.99
%差异 2.92 %差异 -0.07
最低 1 1 最低 50 50
百分位25 1.2 1.3 百分位25 90 100
中位数 2.1 2 中位数 140 150
百分位75 3.7 3.5 百分位75 210 210
最大值 19.5 14.5 最大值 830 820
相关指数 0.86 相关指数 0.83


表8-8。结果汇总表复制纸浆– Franja Oeste

SQM TRS Nueva Victoria
帕格。70











统计学家 硝酸盐品级% 差异 统计学家 碘级ppm 差异
原创 检查 原件-支票 原创 检查 原件-支票
1,106 1,106 1,082 1,082
平均 2.87 2.88 0 平均 184.86 190.25 -5.4
站起来。偏差 2.23 2.22 0.01 站起来。偏差 152.24 154.68 -2.44
%差异 -0.14 %差异 -2.91
最低 1 1 最低 50 50
百分位25 1.3 1.3 百分位25 90 90
中位数 2.1 2.2 中位数 140 140
百分位75 3.4 3.4 百分位75 220 220
最大值 18.5 17.9 最大值 1310 1400
相关指数 0.98 相关指数 0.97









图8-23。结果图复制粗(I2和硝酸盐)– Franja Oeste

figura8-23.jpg















SQM TRS Nueva Victoria
帕格。71











图8-24。结果图复制纸浆(I2和硝酸盐)– Franja Oeste

figura8-24.jpg


米娜·苏尔

粗和罚款重复

在重复的结果中,碘和硝酸盐在粗(表8-9)和纸浆(表8-10)对于Pampa Mina Sur,未观察到以下准确度结果(图8-25和图8-26).

表8-9。结果汇总表复制粗– Mina Sur

统计学家 硝酸盐品级% 差异 统计学家 碘级ppm 差异
原创 检查 原件-支票 原创 检查 原件-支票
82 82 84 84
平均 1.46 1.45 0.01 平均 91.79 85.95 5.80
站起来。偏差 1.15 1.36 -0.21 站起来。偏差 70.91 81.08 -10.20
%差异 0.55 %差异 6.36
最低 1 1 最低 50 50
百分位25 1 1 百分位25 50 50
中位数 1 1 中位数 60 50
百分位75 1.4 1.33 百分位75 110 87.5
最大值 7.5 10.9 最大值 510 670
相关指数 0.92 相关指数 0.72











SQM TRS Nueva Victoria
帕格。72











表8-10。结果汇总表复制纸浆– Mina Sur

统计学家 硝酸盐品级% 差异 统计学家 碘级ppm 差异
原创 检查 原件-支票 原创 检查 原件-支票
249 249 257 257
平均 1.46 1.39 0.07 平均 88.2 87.3 0.9
站起来。偏差 1.54 1.35 0.20 站起来。偏差 94.3 91.2 3.1
%差异 4.64 %差异 1.06
最低 1 1 最低 50 50
百分位25 1 1 百分位25 50 50
中位数 1 1 中位数 60 50
百分位75 1.3 1.3 百分位75 70 70
最大值 12.3 11.4 最大值 510 670
相关指数 0.86 相关指数 0.95


图8-25。结果图复制粗(I2和硝酸盐)– Mina Sur

imagen8-25.jpg


图8-26。结果图复制纸浆(I2和硝酸盐)– Mina Sur

imagen8-26.jpg

SQM TRS Nueva Victoria
帕格。73











米娜·奥斯特

粗和罚款重复

在重复的结果中,碘和硝酸盐在粗(表8-11)和纸浆(表8-12)对于pampa mina oeste,未观察到以下准确度结果(图8-27图8-28).


表8-11。结果汇总表复制粗– Mina Oeste

统计学家 硝酸盐品级% 差异 统计学家 碘级ppm 差异
原创 检查 原件-支票 原创 检查 原件-支票
63 63 63 63
平均 2.33 2.61 -0.28 平均 201.6 196 5.6
站起来。偏差 1.47 1.83 -0.37 站起来。偏差 145.4 140.6 4.8
%差异 -12.19 %差异 2.76
最低 1 1 最低 50 60
百分位25 1.1 1.3 百分位25 125 110
中位数 2 2.2 中位数 170 160
百分位75 2.9 2.95 百分位75 225 225
最大值 8.2 9.7 最大值 940 910
相关指数 0.74 相关指数 0.938


表8-12。结果汇总表复制Pulp – Mina Oeste

统计学家 硝酸盐品级% 差异 统计学家 碘级ppm 差异
原创 检查 原件-支票 原创 检查 原件-支票
187 187 187 187
平均 2.74 2.64 0.1 平均 167.86 167.54 0.3
站起来。偏差 2.36 2.23 0.14 站起来。偏差 128.6 126.8 1.9
%差异 3.5 %差异 0.19
最低 1 1 最低 50 50
百分位25 1.2 1.15 百分位25 80 90
中位数 1.8 1.8 中位数 120 1220
百分位75 3.3 3.2 百分位75 215 210
最大值 12.8 12.8 最大值 980 950
相关指数 0.94 相关指数 0.99








SQM TRS Nueva Victoria
帕格。74











图8-27。结果图复制粗(I2和硝酸盐)– Mina Oeste

imagen8-27.jpg

图8-28。结果图复制纸浆(I2和硝酸盐)– Mina Oeste

imagen8-28.jpg



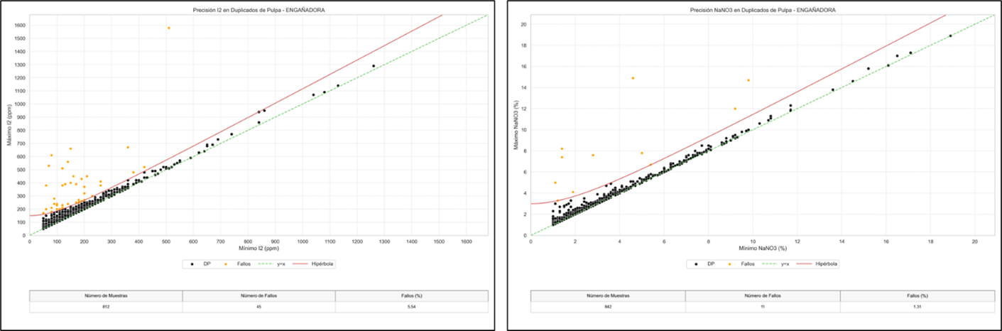
恩加尼亚多拉

粗和罚款重复

在重复的结果中,碘和硝酸盐在粗(表8-13)和纸浆(表8-14)对于pampa Enga ñ adora,未观察到以下精度结果(图8-29和图8-30).















SQM TRS Nueva Victoria
帕格。75











表8-13。结果汇总表复制粗– Enga ñ adora

统计学家 硝酸盐品级% 差异 统计学家 碘级ppm 差异
原创 检查 原件-支票 原创 检查 原件-支票
285 285 281 281
平均 3 3.1 -0.1 平均 182.1 185.05 -3
站起来。偏差 2.1 2.5 -0.4 站起来。偏差 129.5 133.4 -3.8
%差异 -2.4 %差异 -1.62
最低 1 1 最低 50 50
百分位25 1.4 1.4 百分位25 100 100
中位数 2.4 2.5 中位数 150 150
百分位75 4 3.9 百分位75 220 220
最大值 15.1 21.1 最大值 1,150 870
相关指数 0.81 相关指数 0.75



表8-14。结果汇总表复制Pulp – Enga ñ adora

统计学家 硝酸盐品级% 差异 统计学家 碘级ppm 差异
原创 检查 原件-支票 原创 检查 原件-支票
842 842 812 812
平均 3.057 3.022 0.03 平均 173.73 180.78 -7
站起来。偏差 2.51 2.47 0.038 站起来。偏差 137.8 148.6 -10.8
%差异 1.12 %差异 -4.05
最低 1 1 最低 50 50
百分位25 1.4 1.4 百分位25 90 100
中位数 2.2 2.1 中位数 135 140
百分位75 3.875 3.8 百分位75 200 210
最大值 18.9 18.9 最大值 1,260 1,580
相关指数 0.973 相关指数 0.895















SQM TRS Nueva Victoria
帕格。76











图8-29。结果图复制粗(I2和硝酸盐)– Enga ñ adora

imagen8-29.jpg


图8-30。结果图复制纸浆(I2和硝酸盐)– Enga ñ adora

imagen8-30.jpg



TEA Oeste

粗和罚款重复

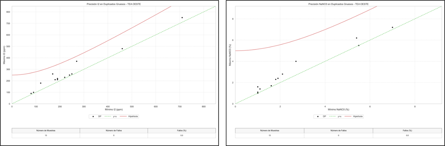
在重复的结果中,碘和硝酸盐在粗(表8-15)和纸浆(表8-16)对于pampa tea oeste,未观察到以下准确度结果(图8-31图8-32).













表8-15。结果汇总表复制粗– Tea Oeste
SQM TRS Nueva Victoria
帕格。77












统计学家 硝酸盐品级% 差异 统计学家 碘级ppm 差异
原创 检查 原件-支票 原创 检查 原件-支票
13 13 13 13
平均 2.81 2.68 0.12 平均 261.5 260 1.5
站起来。偏差 2.16 2.02 0.14 站起来。偏差 169.4 176.7 -7.3
%差异 4.38 %差异 0.59
最低 1 1 最低 90 80
百分位25 1.1 1.4 百分位25 170 180
中位数 1.9 1.8 中位数 220 220
百分位75 4 2.5 百分位75 260 260
最大值 7 7.2 最大值 710 750
相关指数 0.97 相关指数 0.96



表8-16。结果汇总表复制Pulp – Tea Oeste

统计学家 硝酸盐品级% 差异 统计学家 碘级ppm 差异
原创 检查 原件-支票 原创 检查 原件-支票
33 33 33 33
平均 2.306 2.303 0 平均 187.27 190.3 -3
站起来。偏差 1.82 1.84 -0.02 站起来。偏差 146.9 142.8 4.1
%差异 0.13 %差异 -1.62
最低 1 1 最低 50 50
百分位25 1 1.1 百分位25 100 100
中位数 1.7 1.6 中位数 130 140
百分位75 2.5 2.6 百分位75 230 260
最大值 9.6 9.7 最大值 720 680
相关指数 0.995 相关指数 0.958















图8-31。结果图复制粗(I2和硝酸盐)– Tea Oeste
SQM TRS Nueva Victoria
帕格。78












imagen8-31.jpg


图8-32。结果图复制纸浆(I2和硝酸盐)– Tea Oeste

imagen8-32.jpg



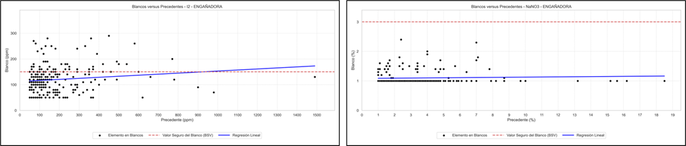
空白

质量控制中的污染以白色样本的对照来表示,下面是新维多利亚洲潘帕斯地区空白对照结果汇总表(图8-17).
















表8-17。结果空白汇总表– Nueva Victoria
SQM TRS Nueva Victoria
帕格。79












部门
I2
3
样本 平均 Desv展台 OCS % OCS 样本 平均 Desv展台 OCS % OCS
埃尔莫萨 393 62.4 18.3 0 0 392 1.4 0.5 1 0.003
Hermosa Oeste 229 62 47 5 0.022 229 1.7 0.5 0 0
Franja Oeste 342 86.1 26.9 0 0 348 1 0.1 0 0
米娜·苏尔 85 54.9 9.2 0 0 84 1.2 0.3 0 0
米娜·奥斯特 64 51.7 5.5 0 0 64 1.2 0.2 0 0
恩加尼亚多拉 191 94.5 30.1 0 0 264 1.1 0.2 0 0
Tea Oeste 11 80.9 35.6 0 0 11 1 0.1 0 0
椰子油 5 52 4.5 0 0 5 1.1 0.1 0 0


以下数字对应了白对照样本量最高的4个潘帕斯,Hermosa、Hermosa Oeste、Franja Oeste和Enga ñ adora(图8-33,图8-34,图8-35图8-36).

图8-33。空白图(I2和硝酸盐)– Hermosa

imagen8-33.jpg

图8-34。空白图(I2和硝酸盐)– Hermosa Oeste

imagen8-34.jpg













SQM TRS Nueva Victoria
帕格。80











图8-35。空白图(I2和硝酸盐)– Franja Oeste

imagen8-35.jpg

图8-36。空白(I2和硝酸盐)图– Enga ñ adora

imagen8-36.jpg


8.3.3样本安全
SQM对采样、机械制样和化学分析保持严格控制。在每个阶段,样本的安全性和监管链都得到了保障,使用了描述为此目的应遵循的步骤的协议。根据以下部分,所有这些控制都通过Acquire平台进行管理和控制,自2022年第三季度以来,SQM正在实施过程中。
本节重点介绍您当前的流程和过程,并介绍建议在GIM Suite中部署的数据管理流程。
下面的工作流架构演示了GIM Suite的数据流和对象需求。

8.3. 3.1规划RC钻孔

此次钻探由地质区使用建模软件进行规划,该软件生成一个Excel文件,其中包含先前对钻探的识别,随后将对其进行修改以进行最终识别,同时还标明了东部和北部坐标以及计划深度。这个规划钻孔是导入任务到Arena应该允许用户从文件导入规划钻孔数据。必须在PSAD56中输入坐标。对象必须输入
SQM TRS Nueva Victoria
帕格。81











输入时按计划进行钻探的状态,以及将探测规划的标识存储在虚拟字段中。用于导入计划钻孔的模板文件。
将显示计划钻探信息的“竞技场”中的任务。

图8-34。资料图计划钻探(Arena)。
image_40.jpg

8.3.3.2页眉

一般情况下,一个钻井计划最多可进行3万米或更多的钻井,取决于在一年中的目标,每个钻机在一个月内钻探0.4万到0.5万米之间,承包商公司执行钻井并每月向地质区交付带有在现场获取的信息的文件。 一些最终计划的钻探可能由于设施条件差而无法执行。

进口最终钻头:Acquire 4中允许用户导入最终钻孔的领口数据的导入对象,也考虑导入原始样本及其各自重复的地形。由于地质具有与地质填图相同的伸展性,因此表示占用炮眼复合体以存储这些数据。

数据捕获项圈:Data capture of sand based on BLastholes,which will be used in the field for capture of collar and sample data,where you must indicate the sounding that the repolicate ground sample can take,the section of the first sample will be entered manually by user,once it must consider the highlight section of the drilling,the following section may be indicated automatically by the application,con样本的相关性将继续由占用土地的支票簿控制,用户必须手动输入实地采集的第一个样本的相关性,后续样本的相关性将由应用程序自动输入。在此数据捕获中,用户还可以更改探头的取消状态,从而识别未在现场执行的钻孔。

导入最终坐标:随着Acquire 4的这个importer对象,用户将输入钻井的最终坐标数据,importer将验证最终坐标是否包含与计划坐标相关的大于10%的米的差异,在数据输入时向用户指示一条消息。

咨询探针领:《竞技场》中的任务,将显示探空者项链的信息。

Dashboard Planned vs Executed Meters:Dashboard in Sand,在穿孔的仪表上显示带有计划仪表信息的图表和网格,从而提供额外的信息来控制钻探活动的仪表。该数据可按钻探执行日期和矿山的扇区进行过滤。

选择样本相关:Acquire 4中的数据输入对象,这将允许用户输入一系列相关样本,从而可以选择哪些样本将被打印标签。对象必须注明要打印的初始样本ID,这样才能避免用户错误。
SQM TRS Nueva Victoria
帕格。82












样本标签报告:在Acquire 4中的报告允许用户以支票簿的格式打印样本标签,该报告将应用于A4或字母大小的纸上,考虑到打印将在纸板纸上进行。标签将带有每个样本识别的条码,从而使用户能够在输入第一个样本的识别时使用平板相机读取条码
8.3.3.3地质测绘

在地质填图中,采集了岩性、碎屑、粘土、颜色、硫酸盐、盐壳、硬石膏地壳、硫酸盐底座、碎屑百分比和观测数据。

地质测绘:允许用户进行钻探地质测绘的“Arena”中的数据捕获,这一工具必须允许用户在现场进行测绘,使其不连接到矿网。任务将占领炮眼作为任务类型。

导入地质测绘:允许输入实地开展的地质测绘数据的“竞技场”中的进口商。

地质力学测绘:“竞技场”中的数据捕获,将在那里捕获钻探的地质力学数据。对于与样本无关的数据,此数据捕获必须是钻孔类型。

导入地质力学测绘:允许输入野外进行的地质力学测绘数据的“竞技场”中的进口商。

咨询钻井地质:将显示钻探地质信息的“竞技场”中的任务。

咨询钻井地质力学:将显示钻探地质力学信息的“竞技场”中的任务。

8.3.3.4调运样品进行机械配制

创建实物样品制备调度单:在这个对象中,用户可以生成实物制备的样品发送顺序。为办公室号码创建一个相关和标识符。

打印实物样品制备派单:将允许执行装运订单报告打印到实物准备的对象。

实体办公接待:在Acquire中允许用户指示在中试工厂收到的样本的脚本对象,该对象必须通过物理调度号码进行过滤,它将在其中提供与此调度相关的样本,从而使用户能够选择样本并在系统中指示这些样本已收到。对象必须指示并自动创建纸浆样本,指示每个样本生成的位置。

咨询钻井调度到准备:Task in Sand that will show the information of dispatching the samples of the drilling that were sent to mechanical preparation。

咨询纸浆样本:Arena中的任务,将在与试点工厂收到的物理调度数量相关的数据网格中拥有纸浆样本的信息。

在钻孔阶段,开始钻孔前,要在钻杆上做标记,标明取样距离。该钻机配备了一个旋风装置,以减缓颗粒速度,在其下,放置一个袋子来收集样本。

从旋风中收集到的样本被小心地存放在塑料袋中,然后用带有条形码的顺序卡片进行识别并捆绑。主管监督要求修改钻探的已确定样本(粗样),提出另一个样本,并注意到每个切割样本在天平中获得的重量。这种数据收集是通过Acquire平台完成的。

每天将样品装载到将运往样品工厂的卡车上,现按以下步骤操作:
SQM TRS Nueva Victoria
帕格。83












a.SQM主管提供一份调度指南,其中包含钻孔和要收集的样本总数,并向样本工厂负责人提及样本数量和没有回收的样本数量(如果有)。这份调度指南是为Acquire平台生成的。

b.样品按照钻孔顺序装料,同样方式卸料。

c.到达工厂后,必须向区域经理申请相应的许可证,区域经理将提供卸货指南,该指南考虑样品应该如何定位在托盘上。

d.装有样品的托盘从其存储位置移至分锥器所在位置的样品制备区。

在样品制备的所有阶段,都特别注意保持样品的识别,并在使用后清洁设备。已包装并贴上标签的样品,按照“卡利切”样品的装箱说明进行采集,尊重样品的相关顺序、必须在箱中存放的顺序和按箱容量分装的样品数量。

托盘被贴上了标明相应信息和日期的标签(图8-37)再转运至位于Nueva Victoria的Testigoteca(核心仓库)Iris和Testigoteca TEA(图8-38),要么是暂时的,要么是最终的,送到实验室之后。

图8-37。a)样品储存b)钻孔和样品标签
image_49.jpg

SQM TRS Nueva Victoria
帕格。84











图8-38。Iris – Nueva Victoria的茶仓
image_50.jpg
化验样本由实验室具备适当资质的工作人员采集。样本的分析结果由专业分析师报告到LIMS软件系统,集成到平台Acquire。
自动LIMS触发一封电子邮件给用户,并且只发送给那些被授权发送信息的人。
8.4适足性意见
主管人员认为,SQM在Nueva Victoria使用的样品和程序在与制备、分析、安全性相对应的方面符合适当的标准,而没有显示可能改变从程序中得出的结果的获得的相关缺陷。
SQM TRS Nueva Victoria
帕格。85











9数据验证
9.1程序

QP对钻井程序、样本收集、处理和质量控制、钻芯和岩屑的地质测绘以及实验室和分析程序进行的验证如前几节所审查的那样,提供了质量保证。根据对SQM程序和标准的审查,这些协议被认为是充分的,具有出色的标准,以保证从钻探活动和实验室分析中获得的数据的质量。

9.2数据管理

通过钻探,在水平进行储层深度和连续性的勘察,为此采用400x400m、200x200m、100x100m、100T和50x50m的探矿网格。根据钻孔网格的大小,使用不同的插值方法估算地质资源(更多详细信息,请参见1.3矿产资源声明)。

从这些反向空气钻孔活动中获得的样品被送到SQM的内部实验室,该实验室在其机械和化学处理方面有质量控制标准。对所有调查网格a(400x400m、200x200m、100x100;100T和50x50m)中的对照样本进行QA-QC分析。该QA-QC包括与原始(或初级)样品相比,分析重复样品中NaNO3和碘的浓度。

9.3技术程序

主管人员表示,在监管链(样本产地可追溯性)、样本后续制备分析和安全方面,SQM应用所需程序,确保现场和实验室数据的最佳收集;确保结果的控制和质量。

9.4质量控制程序

主管人员表示,在SQM,质量控制分析通过包括定期分析重复项和插入样品进行质量控制的协议,确保从样品的制备和随后的化学分析中对样品进行精确监测。

9.5精确度评估

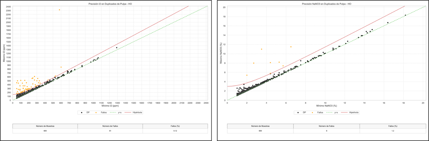
关于准确性评估,合资格人士表示,400x400、200x200和100x100目重复样品的碘和硝酸盐水平与原始样品的等级有较好的相关性(图表证明,相关系数较高)。但建议始终保持对这一评价的永久控制。在这个过程中,要及时预防和发现任何可能发生的异常.

9.6准确性评估

对Nueva Victoria所有潘帕斯的标准/标准样品钻探活动进行QA-QC分析,由实验室进行和分析。得到的结果表明,分析相对于SQM使用的标准的变化显示出可接受的平均偏差,NaNO3的平均值为-6.37 %,碘的平均值为3.27%。




SQM TRS Nueva Victoria
帕格。86











9.7合资格人士对数据充分性的意见

合资格人士表示,SQM用来估算新维多利亚州地质资源和储量的方法是足够的。

400x400m钻孔网格可能意味着每个品位插值器显示的连续性,平均矿化品位具有中等置信度,因为不确定在应用修正因素后这些资源的全部或部分将转化为矿产储量。

200x200m钻孔网格生成更详细的地质信息,可以定义地质单元、连续性、等级和功率。因此,在这个勘探阶段,可以定义用于地质冶金测试的部门。这些资源符合指示资源的条件。
如果勘探网格随着钻探100x100m、100T和50x50m而依次减少,则地质信息更加稳健、可靠,这使得对矿床的特征描述具有显着的可信度。这些资源被认定为实测资源。
SQM TRS Nueva Victoria
帕格。87











10矿物加工和冶金检测
自2009年以来,通过实验室测试开展了进一步的研究,以不断改进产量估计和碘和硝酸盐等有价值元素的回收。这些工作侧重于caliche化学和物理表征,从而有可能制定一套策略,为已确定的每个caliche矿区提供更好的预测和恢复预测,这些矿区正在并将在Nueva Victoria的工厂进行处理。
需要注意的是,在Nueva Victoria于2002年开始运营之前,SQM Nitrates & Iodine探索了通过在Pedro de Valdivia的加工厂制定的试验计划扩大和/或优化碘生产的选项,以建立精矿的氧化处理。这些测试表明,在常规工艺中可以避免浮选阶段,碘生产工艺使用外部氧化剂运作良好,并且经济上可行且建造和操作成本较低。因此,使用来自不同资源的不同碘卤水完成了广泛的测试,以确认这些结果,并考虑了适用于Nueva Victoria工艺厂的氧化阶段。
2016年,鉴于智利北部缺水,工业界为其工艺研究了新的可持续水源。用海水进行了一种caliche浸出试验方案,以确定其技术可行性、正面和负面影响或冶金回收和性能等效性。该工厂现场的一家试验工厂展示了其浸出工艺的可行性。测试的历史发展使得根据其组成和身体行为来区分主要类别的caliche类型成为可能。这些测试旨在优化流程,以保证符合客户的产品规格,另一方面,确保有害元素可以保持在既定限度以下。
十多年的多系统研究为碘的浸出工艺、回收、生产提供了基础。这包括对有助于制定和建立当前操作程序的试验进行审查。
10.1冶金试验的历史发展
2009年,heap & ponds management创建了一个工作组,负责开发测试,以不断改进产量估算和从堆和蒸发池中回收有价值的元素,如碘和硝酸盐。2010年2月初,第一个冶金测试工作方案在位于Iris区的试点工厂设施中提出。其主要目标是通过中试规模测试,提供所有必要的数据,以指导、模拟、加强并产生足够的知识,以了解浸出堆和蒸发池生产过程背后的现象学。
最初的工作方案是围绕以下主题制定的:
审查堆的建设性方面。
研究堆的热力学、动力学、水力现象。
从性能和生产水平两方面设计配置。
工作方案活动按专业划分,每项活动的目标和遵循的方法汇总于下表。

SQM TRS Nueva Victoria
帕格。88











表10-1。最初为研究Caliche行为而制定的测试计划的方法论。
活动 目标 方法论
堆物理方面 桩的几何形状和高度 最优尺寸及高度对性能的影响 不同高度下的数学方法和柱体浸出试验
粒度测定 大小的影响和最大最优的确定 三级粒度测定的浸出试验
加载中 装载形状的影响和操作的优化 装料中不同尺寸偏析的柱渗透性
润湿要求 润湿效应对产量影响的测定 立柱试验,干湿矿石
Caliche表征 按采矿部门划分的特征 化学分析、XRD和可处理性测试
液压 浸渍率、灌溉和灌溉系统配置 建立最佳 数学方法与工业水平测试
动力学 物种溶解度 建立碘和硝酸盐浸出中干扰物的浓度 连续浸出试验
灌溉配置的效果 lixiviant种类的影响 列测试
隔离阶段 粘土对浸出的影响 搅拌反应堆试验
系统配置 桩体返工研究 评估对产量的影响 列测试
太阳能蒸发池 AFN/卤水混合物研究 减少食盐收获时间 搅拌和托盘反应堆测试
套路 样品处理 试验样品的制备和分离
可治疗性测试 caliche可在堆中的行为数据,根据被开发的扇区 列测试
灌溉元件和流量计质量控制 在同质基础上审查灌溉保证控制
这第一个冶金测试工作计划导致建立适当的堆尺寸,最大ROM尺寸和堆灌溉配置。除了让位于对caliche溶解度及其对浸出行为的研究。应用于所有公司资源的化学、物理、矿物学、冶金表征试验图解。
SQM通过其研发区域,在工厂和/或中试规模开展了以下测试,这些测试已允许改进回收过程和产品质量:
碘化物溶液清洗测试。
碘厂用氢气和/或氯氧化测试碘化物。
清洗试验使得在使用助剂和使用活性炭氧化溶液过滤之前建立两个阶段成为可能。此外,还界定了加强这一阶段的清洗工作,需要在碘化物溶液中添加微量二氧化硫。同时,碘化物氧化测试允许结合使用适当比例的过氧化氢和/或氯,以浮选的方式免除碘浓缩阶段,获得碘晶体含量高的纸浆。
目前,所进行的冶金试验与材料的物理化学性质和浸出过程中的行为有关。与这些测试相关的程序如下所述。
SQM TRS Nueva Victoria
帕格。89











10.2冶金检测
开发的测试的主要目的是评估不同矿物对浸出的反应。在中试工厂-实验室中,生成复合材料表征和回收数据库的测试数据集。下文详述的测试有以下具体目标:
确定分析的材料是否足够服从于浸出过程,硝酸盐和碘溶液浓度,以通过建立在工厂中的分离和回收方法进行生产。
优化这一过程,以保证与矿物学和化学表征以及待处理矿物的物理和粒度表征有内在联系的回收率。
确定有害元素,建立运行机制,使其保持在一定限度以下,保证一定的产品质量。
SQM的分析和中试实验室进行以下化学、矿物学和冶金测试:
显微镜和化学成分。
物理性质:尾部测试、Borra测试、实验室粒度测定、嵌入测试、渗透性。
浸出测试。
目前,SQM正在进行工厂规模测试,通过对待浸出矿物进行分类来优化堆浸操作。冶金研究是针对被称为地表采矿(SM)的采矿方法进行的,该方法包括通过带有切割滚筒的拖拉机破碎和提取“caliche地幔”材料,这可以获得尺寸分布更均匀的更小的矿物。
在与ROM材料相同的条件下对这种材料进行的初步浸出测试导致ROM堆中大约12%的回收率更高。
为了开发这些测试,已经收购和评估了两个不同的SM团队:
滚动系统可用性。
切割系统设计。
对岩石条件的敏感性。
生产力的可变性。
消费和更换组件。
2024年采矿计划的目标是通过SM处理10%的矿物caliche,通过采石场选择,获得估计碘+ 12%和硝酸盐+ 6%的最大回收率。在业务层面,将监测回收情况,以确定年度连续开采水平。希望通过这项工作确定一个最佳比例的SM矿物纳入ROM库存,以提高回收率。
在以下章节中,给出了样品制备和表征程序的描述,用于冶金测试,以及通过化学分析的操作的过程和产品监测/控制活动。
10.2.1样品制备
冶金检测的样品是通过采样活动获得的。所使用的方法与不同活动中使用的不同钻探方法有关,以通过100T-200网格钻探活动和金刚石钻探获得岩心样品进行分析(更多详细信息在S第7.3条钻探方法和结果)。利用从试坑(calicatas)、装载面、桩、钻孔和金刚石钻头中分选的材料,制备复合样品以确定碘和硝酸盐品位,并确定材料的物理化学性质以预测其在浸出过程中的行为。
SQM TRS Nueva Victoria
帕格。90











样品根据机械制备指南进行分离,该指南旨在为每次测试提供最小所需质量和特征尺寸的有效指南,以优化可用材料的使用。这允许成功的冶金测试,确保结果的有效性和可重复性。为预测未来的矿产资源,对Nueva Victoria地产的样品进行取样和开展冶金测试的方法包括概述在图10.1
图10-1。Nueva Victoria采样方法和冶金测试发展的一般阶段。
image_51.jpg
至于冶金、表征、浸出和物理性能测试的开发,这些都是由在采矿-地质-冶金领域拥有丰富经验的专业团队开发的。冶金试验中的工作程序设想将样品送到内部实验室,按照以下细节进行分析和试验工作:
位于安托法加斯塔的分析实验室提供化学和矿物学分析。
位于Iris-Nueva Victoria的Pilot Plant Laboratory,用于完成物理和浸出响应测试。
参与冶金试验发展的每个实验室的名称、地点和职责详情载于S第10.4段分析和测试实验室。记录钻探计划的报告提供了采样和样品制备方法、符合当前行业标准的分析程序的详细描述。质量控制在各个阶段实施,以确保和验证收集过程在每个阶段成功发生并具有代表性。为确定样品的代表性,下面展示一张NV区的金刚石钻探活动地图,以估算待开采资源的caliche的物理和化学性质(图10-2).

SQM TRS Nueva Victoria
帕格。91











图10-2。NV部门用于冶金测试的复合样品的金刚石钻孔活动地图

fig_10x2.jpg

10.2.2Caliche矿物学和化学表征
作为SQM硝酸盐测试工作的一部分,对复合样品进行了矿物学测试。为开发其矿物学特征及其蚀变,采用X射线衍射(XRD)对元素组成进行了研究。进行颗粒矿物分析(PMA)以确定样品的矿物含量。
对组分硝酸盐、氯化物、碘酸盐、硫酸盐和硅酸盐进行了Caliche矿物学表征。
此外,Caliche化学表征在碘、硝酸盐、钠2所以4(%)、CA(%)、K(%)、MG(%)、KClO4(%)、NACL(%)、Na(%)、Na(%)、H33(%),以及4是从内部实验室获得的化学分析中获得的
SQM TRS Nueva Victoria
帕格。92











公司。分析方法显示在表10-2.有关SQM内部和员工运营实验室的更多详细信息,请参阅S第10.4段分析和测试实验室。
针对每种方法使用的协议在材料、设备、程序和控制措施方面都有适当的记录。用于计算碘和硝酸盐等级的程序详情载于第10.2.3节
表10-2。应用于Caliche或复合材料表征的方法。
参数 单位 方法
碘级 ppm 体积氧化还原
硝酸盐等级 % 紫外-可见
2所以4
% 重量/ICP
CA % 电位/直接吸气– AA或ICP完成
% 电位/直接吸气– AA或ICP完成
K % 直接吸气– AA或ICP完成
所以4
% 重量/ICP
KCLO4
% 电位/直接吸气– AA或ICP完成
NACL % 体积
% 直接吸气– AA或ICP完成
H33
% 体积或ICP表面处理
公司人员经营的内部分析实验室负责样品的化学和矿物学分析。这些实验室位于安托法加斯塔市,对应以下四个子设施:
卡利切-碘实验室
研究与发展实验室
质量控制实验室
SEM和XRD实验室
该公司报告的化学和矿物学表征结果在以下几点上具有结论性:
盐水基质中最易溶解的部分由硫酸盐、硝酸盐和氯化物组成。
盐基质中存在的离子组成存在差异(SM(%))。
硬石膏、多卤石和格劳伯石,以及溶解性较差的矿物质,都有硫酸钙的缔合。
从化学盐的角度来看,该矿床在提取工艺方面是有利的,因为它平均含有49%的可溶性盐,钙含量高(> 2.5%),氯化物和硫酸盐浓度良好(分别约为11%和13%)。
作为一种多为半软矿床,地表开采(SM)方法几乎可以应用于所有矿床。该矿床的地质力学特征以及低碎屑含量和低磨蚀性(由calicatas证明)使得应用SM技术的开采成本较低。
10.2.3Caliche硝酸盐和碘级测定
复合样品(从试坑(calicatas)、装载面、桩、钻孔和金刚石桩中分选的材料)按碘和硝酸盐品位进行分析。这些分析由位于安托法加斯塔市的Caliche和Iodine实验室进行。碘和硝酸盐分析设施已通过ISO-9001:2015认证,T ü V莱茵为此提供质量管理体系认证。最新的重新认证流程于2020年11月获得批准,有效期至2023年3月15日。
SQM TRS Nueva Victoria
帕格。93











10.2.3.1碘测定
测定caliche中碘的方法是氧化还原容积法,它是基于一种确切已知浓度溶液的滴定,称为标准溶液,逐渐添加到另一种浓度未知的溶液中,直到两种溶液之间的化学反应完全(等效点)。
质量控制控制包括设备状态检查、样品试剂空白、滴定器浓度检查、对一个标准进行重复分析并配置样品以确认其价值。

10.2.3.2硝酸盐测定
用紫外-可见分子吸收光谱法测定方块中的硝酸盐品位。这种技术允许根据紫外-可见光谱的特定波长(100至800nm之间)对溶液中的参数进行量化。
该测定使用分子吸收分光光度计POE-011-01,即POE-17-01,其中使用了一个玻璃试管,其中装有用过滤后的蒸馏水浸出得到的过滤溶液。所得结果以硝酸百分率表示。
QA标准和结果有效性通过以下方式实现:
事先设备验证。
一班一次进行对比硝酸盐分析,通过将相同样品的读数与其他紫外可见设备进行对比,并在Kjeldahl法蒸馏设备中检查读数,进行氮的测定。
每10个样本进行一次标准和质量控制样本输入。
虽然认证是专门针对碘和硝酸盐品位测定的,但这家实验室是专门从事矿物资源化学和矿物学分析的,在这一领域有着长期的经验。QP认为,Antofagasta Caliches和Iodine实验室使用的质量控制和分析程序具有高质量。
图10.3 UDK169与AutoKjel自动进样器-全自动Kjeldahl氮蛋白分析仪
image_54.jpg
10.2.4Caliche物理特性
为了测量、识别和描述矿物物理测试矿物特性被开发来预测它在特定处理条件下将如何反应。所执行的测试汇总于表10-3.在实地考察期间有可能
SQM TRS Nueva Victoria
帕格。94











验证Iris中试植物实验室嵌入、沉降、压实试验的开展情况,详见图10-3.
表10-3。Caliche Minerals物理性质的测定。
测试 参数 程序 目标 影响
尾部测试 沉降和压实 沉降试验,每小时测量一次清除率和碎屑饼,持续约12小时 获得粉矿沉降压实速率 冠不稳定性和中生代的证据。灌溉率
Borra测试 精料% 经过絮凝和倾析过程,在-# 35 # + 100和#-100之间测量保留的材料。矿石的絮凝和倾析 获得矿石絮凝量和倾析工艺 可能延迟灌溉的罚款的百分比。灌溉率。Canalizations。
尺寸分布 微细% 颗粒度的标准测试,给出了200目以下的百分比 获得%微细 %保水和产量损失
渗透率 K(cm/h) 使用恒载渗透率计和达西定律 测量矿石的渗透程度 萃取的萃取动力学降低
嵌入式 奥飞娱乐 岩石可湿性测量程序 测量矿石的润湿程度 浸渍时间的变异性
图10-4。在Iris中试工厂实验室进行了嵌入、压实和沉降测试。
image_55.jpg
表10-4提供对比TEA和Orcoma条件的物理测试结果汇总。
SQM TRS Nueva Victoria
帕格。95











表10-4 Pampa Orcoma和TEA开发项目物理试验对比结果。
部门 沉降 压实 %罚款 #-200 奥飞娱乐
0.024 7.54 31.86 10.57 2.37
ORCOMA 0.025 10.05 32.98 12.29 2.29
根据结果,可以突出以下几点:
沉降:两者都有中等的沉降速度,这意味着需要浸渍和长时间的休息来稳定。
压实:Orcoma具有良好的压实,这表明在多孔床中具有更大的均匀性,这允许达到高灌溉速率,因此具有更好的动力学。
罚款:这两个部门都呈现高比例的罚款,这意味着最好的浸渍使用应该是水以外的解决方案。这种情况的负面影响可能会增加,具体取决于产生水袋和沟渠的精细材料(例如粘土)的类型。
材料#-200:与微细相对应,是产生通道的,在这两个部门都表现出非常高的价值。
参数Alpha:在中等水平,这些意味着可以接受的嵌入速度,可以通过缓慢的受控浸渍来改善。
由于测量的物理特性与灌溉策略直接相关,因此结论是,考虑到混合滴灌和喷灌的标准浸渍阶段,两种卡利奇都应以类似的方式处理。


10.2.5物理表征的修改和改进

在2024年期间,对物理测试进行了修改,以便使目前正在执行的测试自动化。为此,程序是与已经执行的那些并行执行,以便在2025年继续进行仅有的自动化测试。

自动化土壤粒度分析:

它通过斯托克斯定律计算粒度分布,范围从63 μ m到2 μ m,而不仅仅是在离散的时间点进行几次测量。它允许无人值守、自动化操作。这导致总体错误率为0.5% ——更低的常规粒度分析方法。

结果分析:
这类信息允许估计可能在浸出堆中引起渗滤问题的细物质(-10 #)的数量,即所有小于50微米的颗粒大小,或所谓的影响渗滤的淤泥(limo)和粘土(arcilla)。

对于Hermosa扇区,测量扇区和变异函数被调整为球面模型:






SQM TRS Nueva Victoria
帕格。96











图10-5.埃莫萨省淤泥分布含量。

image4.jpg

图10-6. Hermosa地区淤泥变异图
image2.jpg

10.2.6搅拌浸出试验
浸出测试在公司位于Iris中试工厂的内部实验室设施中进行。下面简单介绍一下搅拌连续浸出试验程序。
搅拌反应器中的浸出
在没有挡板的塑料反应器中,在大气压和温度下进行浸出实验。采用200转螺旋桨搅拌器搅拌浸出悬浮液。简而言之,所有的实验都是通过以下方式进行的:
环境条件。
Caliche样品粒度100%目-65 #目。

SQM TRS Nueva Victoria
帕格。97











卡利切质量480、320或200克。
L/S比2:1。
浸出时间2小时。
包括使用排水液在内的三种接触浸出。
启动浸出实验,首先在一个反应器中填充蒸馏水,然后将溶液轻轻搅拌。几分钟后,caliche浓缩液加入溶液中,搅拌增加到最终速率。
完成后,对产品进行过滤,通过检查与浸出剂接触的分析物和矿物质的提取、单位消耗量和碘提取响应,对卤水溶液进行分析。
连续浸出的与搅拌容器浸出相辅相成,在搅拌容器中进行,参数与上述相同。然而,它考虑将三个caliche样品与所得的每个阶段的排水溶液先后浸出。这项测试的目的是丰富碘和硝酸盐等感兴趣元素的这种溶液,以评估这种溶液在堆中渗透时的堆性能。搅拌容器反应器连续浸出的代表性方案展示在图10-7.
图10-7。连续浸出测试开发程序
image_56.jpg
分析了每个接触点的每种分析物和矿物质的提取。该公司报告的这些结果在以下几点上具有结论性:
较高的可溶性盐量,较低的是萃取量。
盐基质中钙的比例越高,提取率越高。
浸出物理化学质量由可溶性盐含量低于50%决定。
对于TEA板块的一个caliche,化学表征和浸出结果显示在表10-5,平均盐基质可溶性盐63.7%,碘收率56.4%。
SQM TRS Nueva Victoria
帕格。98











表10-5从TEA和连续浸出试验结果中获得的样品的化学表征。
部门 网状 预计的恢复情况 要素
Mton 碘(ppm)
纳诺3
2所以4
CA k
所以4AP
KCIO4
NACL
H33
埃尔莫萨 100-100T 155 408 6.7 17.3 1.82 0.95 0.84 10.84 0.04 12.6 8.13 0.23
北茶 100T 62 428 5.8 18.4 2.21 1 0.85 10.6 0.08 14.5 9.45 0.4
苏泰阿 200 22 412 4.7 21 3.02 1.1 0.81 10.57 0.02 14.2 7.97 0.39
TEA Oeste 2000 75 407 5.4 16.6 2.31 0.97 0.69 8.44 0.05 16.7 8.87 0.57
平均 314 412 6.1 17.6 2.1 0.97 0.8 10.2 0.05 14.1 8.56 0.36
以下图表,包括在图10-8,展示TEA和Pampa Orcoma两种资源的搅拌浸出试验结果。这些图表表示作为可溶性盐含量函数实现的硝酸盐和碘产量。
在图表中,绿色线对应于实验产量结果,而橙色线表示Pampa Orcoma产量因数为90%的建模结果。相当于模型显示的90%的收率是,碘为66.3%,硝酸盐为63.4%。这些因数收益率保守地用于项目的经济评估。
与实验结果相对应的绿色线显示,Pampa Orcoma的可溶性盐含量为46.5%的矿石在碘中的收率为73%,在硝酸盐中的收率为70.5%,而TEA的矿石,可溶性盐含量为62.9%,在碘中的收率为55.5%,在硝酸盐中的收率为60.7%。两种资源的硝酸产率相差70.5% vs 60.7%,碘产率相差73% vs 55.5%。硝酸盐和碘产率差异分别为9%和17%。
SQM TRS Nueva Victoria
帕格。99











图10-8。连续搅拌浸出试验得到的硝酸盐、碘收率。
image_57.jpg
image_58.jpg
10.2.7使用海水进行柱浸试验
水资源供应有限,这对采矿业来说是一个关键问题,因此,海水等其他浸出剂可能是一个可行的替代方案。因此,对迷你柱中的caliche浸出进行了实验研究,以评估海水的效果。
本研究旨在分析海水对硝酸盐-碘采矿属性不同部门的caliche浸出的影响,使用在Mejillones湾近海100米和15米深以下采样的海水。
在以下浸渍-灌溉策略和条件下执行的测试类型一式两份:
浸水-用水灌溉(MC 1-MC2)。
SQM TRS Nueva Victoria
帕格。100











浸水-用60% v/v水灌溉-用再循环的弱酸性水(AFA)灌溉40% v/v。(MC 3-MC 4)。
海水浸渍-海水灌溉(MC 5-MC 6)。
海水浸渍-混合60% v/v海水灌溉-40% v/v AFA(MC 7-MC 8)
测试开发条件在表10-6.
由柱内处置的材料的粒度测定确定的成分。
表10-6海水浸出实验的条件。
参数 详情
弥撒 3,031.3克
粒度测定 1‘’-3/4‘’-1/2‘’-1/4‘’-20‘’目
测试时长 7天
总浸渍 19小时浇水/休息时间表
连续灌溉 1小时/2小时-1小时/1小时/1小时h-2小时/1小时
灌溉速率流量-流量 5天20小时
实验结果表明,硝酸盐、碘酸盐等高溶解性矿物用海水快速浸出,相对于原水法没有太大差异。
关于硝酸盐和碘提取,更高的NO3提取,在图10-9,是在用海水浸出时观察到的以及更高的IO3用海水浸出时观察到萃取(MC5和MC6曲线对比MC1和MC2曲线)。
除上述情况外,当比较水/AFA和海水/AFA在碘浸出中实现的萃取量时,曲线MC3和MC4与MC7和MC8相比,海水/AFA混合物更好(MC7和MC8)。而对于硝酸盐来说,使用海水作为混合物和提取就像碘一样,在增加方面没有明显的区别。
图10-9。海水浸出法提取硝酸盐和碘的结果。
image_59.jpg
a)用海水提取硝酸盐
SQM TRS Nueva Victoria
帕格。101











image_60.jpg
b)用海水提取碘
未来堆行为将通过利用海水进行柱体浸出试验进行研究,包括柱体中不同的灌溉速率和床层高度,并分析每个物种的实验浓度。
10.2.8实验室控制程序
目前,有一个质量控制系统来监测碘生产操作,这包括从入口卤水表征开始的监测过程,然后是对切割和氧化卤水的采样和表征,以及获得的颗粒产品。从碘颗粒厂得到的产品,进行一系列分析,量化纯度、氯/溴比、硫酸盐、汞、残留量、颜色指数。
对液体和固体样品的分析在位于安托法加斯塔市的实验室设施中进行,分析实验室涉及两个装置:
Caliche-Iodine实验室:Caliches中碘和硝酸盐的测定。
研发实验室:负责执行AAS、ICP-OES、电位法、常规滴定法、溶液密度测定的设施。
有关SQM内部和员工运营实验室的更多详细信息,请参阅S第10.4段分析和测试实验室。
表10-7显示了实验室要求的基本分析集以及用于测定它们的方法。
SQM TRS Nueva Victoria
帕格。102











表10-7 Caliche浸出卤水和碘Prill要求分析一览表
碘溶液
参数 方法
碘级 体积氧化还原
硝酸盐等级 紫外-可见
酸碱度 电位法
酸度 体积酸碱
碱度 体积酸碱
H33
体积或ICP表面处理
2所以4
重量/ICP
CA 电位/直接吸气-AA或ICP完成
电位/直接吸气-AA或ICP完成
K 直接志向-AA或ICP完成
所以4
重量/ICP
KClO4
电位法
NACL 体积
直接志向-AA或ICP完成
碘普里尔
参数 方法
纯度或碘数 电位法
溴化物和氯化物 体积
非挥发性材料(残渣) 重量法
硫酸盐 比浊法
水星 分光光度法
着色指数 比色法
SQM的硝酸盐和碘加工厂已经生产多年,从碘工艺剩余溶液中处理和回收蒸发池中的硝酸盐的冶金要求是众所周知的。因此,最近没有开展与蒸发研究有关的新的冶金研究。然而,一旦池塘系统运行,蒸发测试的采样和化验程序如下:
卤水样品采集定期进行,以测量卤水特性,如化学分析、密度、卤水活性等。样品由公司内部实验室采用与其他卤水样品相同的方法和质量控制程序进行抽取。
从池塘中收集沉淀盐进行化学分析,以评估蒸发途径、盐水演变以及盐的物理和化学特性。
10.3样本代表性
公司建立了质量保证/质量控制(QA/QC)措施,以确保采样、制备、化验的可靠性和准确性,以及化验得到的结果。这些措施包括实地程序和检查,涵盖监测以发现和纠正钻探、探矿、取样和化验过程中的任何错误,以及数据管理和数据库完整性等方面。这样做是为了确保产生的数据是可靠的,可以用于资源估计和预测采收率估计。
根据采样协议,负责该活动的技术人员一旦记录下来,就会将样本从钻探现场运送到一个安全的私人设施。分析样本在位于Nueva Victoria场地和Iris区的内部“中试工厂实验室”制备和化验。协议确保正确输入
SQM TRS Nueva Victoria
帕格。103











数据库通过跟踪来自其采样或采集点的样本,用身份证识别它们,并记录对交付/接收的样本做了什么。这套流程和溯源说明对应的是一份名为《Caliche AR样品制备程序》的文件。
公司应用在实验室建立的质量控制协议,接收根据活动开发的所有区域的caliche样品,与发送样品的文件一起准备调度,准备,并插入质量控制,这将是对结果的精确度和准确性的验证。LIMS数据管理系统用于随机订购标准,空白和重复在相应的请求。通过化学物种分析,建立标准或标准QA/QC样品和复制品的插入率。
对结果的处理确立了以下标准:
高于和低于检测下限的样本数量。
重复值的差异进行评估。例如,在比较硝酸盐和碘等级的重复时,以绝对值计算的最大差异为0.4%的NaNO3而碘的0.014%被接受。
对于测量的标准,接受与核证值容差为+/-2个标准差的结果。
如有任何偏差,实验室经理审查并要求检查样品,以防重复或标准不合规。
至于物理表征和浸出测试,所有测试一式两份开发。测定结果在重复项中的数值差异为2%时被接受。
鉴于上述QA/QC控制和文件,QP认为测试样品代表了不同类型和类型的矿化和矿床。用于操作控制的采样是caliche的代表,因为它们是直接从正在开采或计划开采的区域获得的。caliche分析和表征测试适用于基于恢复估计的良好运营规划。
10.4分析和测试实验室
冶金检测方案指导样品送到内部负责分析检测的实验室:
位于安托法加斯塔的分析实验室,负责化学和矿物学分析,由四个实验室组成(见表10-8).
位于Iris-Nueva Victoria的Pilot Plant Laboratory负责样本接收以及物理和浸出响应测试。
下表详细列出了可用的设施以及在每一项设施中进行的分析。
表10-8可供分析的装置清单。
实验室 位置 分析
卡利切-碘实验室 安托法加斯塔 Caliches中碘和硝酸盐的测定,探针
研究与发展实验室 安托法加斯塔 AAS、ICP-OES、电位法、常规滴定、溶液密度
质量控制实验室 安托法加斯塔 偏振光显微镜、粒度分布
SEM和XRD实验室 安托法加斯塔 SEM和XRD
中试工厂实验室 新维多利亚 物理表征和矿石浸出测试
位于安托法加斯塔的Caliche and Iodine Laboratories(LCY)提供的碘和硝酸盐检测设施已通过ISO-9001:2015认证。认证由T ü V Rheinland授予,有效期为2020-2023年。
SQM TRS Nueva Victoria
帕格。104











需要注意的是,部分勘探工作的重点是卡利切下方可能存在的金和铜金属矿化。因此,样品被送往独立于SQM并获得国际标准组织(ISO)认可和/或认证的外部分析实验室:
Andes Analytical Assay(AAA)(ISO 9001认证)。
ALS Global Chile(ISO/IEC 17025)。
Centro de Investigaci ó n Minera y Metal ú rgica(CIMM)(ISO/IEC 17025)。
SQM TRS Nueva Victoria
帕格。105











10.5测试和相关结果
10.5.1冶金回收率估算
将Caliche表征结果与冶金结果进行对比,以制定感兴趣元素或有价值元素的元素浓度和回收率与试剂消耗之间的关系。
报告的分析与实现的回收之间的关系如下:
可以根据盐基质的类型和浸出液中盐类的影响建立关于回收的影响。随着可溶性盐量的增加,萃取量较低,而SM中较高的钙导致更高的萃取量。
恢复性能更好的卡利奇斯倾向于更快的倒出(速度)和更好的压实。
较高的精细度阻碍了床的渗流,损害了浸出和超细的能力,这可能会延迟灌溉或导致区域避免被灌溉。
水力传导率或渗透系数越高,床的浸出性行为越好。
对于冶金回收率估算,制定的模型包含以下要素:
化学-矿物组分。
产量。
物理特性:沉降速度、压实、细粉和超细百分比、均匀系数、润湿。
冶金分析的重点是确定与这些变量相关的关系,因为这些关系可以应用于区块以确定沉积结果。从化学和产量的角度来看,单耗(UC,水量)或总灌溉盐量(盐浓度,g/L)与碘提取之间建立了关系。使用回归的最佳子集来确定这些预测因子与冶金结果之间的最佳线性关系。因此,碘和硝酸盐回收方程由以下公式表示并图10-10:
image_61.jpg
image_62.jpg
image_63.jpg
image_64.jpg
SQM TRS Nueva Victoria
帕格。106











图10-10。碘回收作为总盐含量的函数。
image_65.jpg
的图表图10-10比较两种SQM资源TEA和Pampa Orcoma(简称ORC)样品的碘产量结果,作为总盐的函数。矿物样品(MS)通过其可溶性盐含量百分比进行区分,例如,样品MS-45(TEA)对应于TEA部门的矿物样品,其特征是45%的可溶性盐。按照这个逻辑,MS-45(ORC),对应的是来自Pampa Orcoma的矿物样品,其可溶性盐含量为45%。可以看出,与45%的矿石含量相比,产出矩阵含量为65%意味着回收率较低。
总之,如前所述,冶金测试允许在caliche特征和回收率之间建立基线关系。在碘的情况下,单耗和可溶性盐含量之间建立了关系,而对于硝酸盐,则根据硝酸盐的等级、单耗和盐基质建立了关系。允许在工业规模下估算产量的关系。
10.5.2灌溉策略选择
在物理性质方面,冶金分析允许将caliche分类确定为不稳定、非常不稳定、稳定、非常稳定,这就产生了浸渍阶段的灌溉策略。结果,在caliche分类中建立了参数影响排名,顺序如下(从影响较高到影响较低):
1.压实度(c)。
2.沉降速度(s)。
3.具有润湿度(α)的罚款和超细百分比(% f;百分比通过# 200)。
4.均匀度(CU)。
加权建立一个值,将根据浸渍类型放置在选择规模上,以获得最高产量(见图10-11):
规模1.1至1.9;脉冲坡道70天用中间溶液灌溉。
SQM TRS Nueva Victoria
帕格。107











规模1.9至2.6;脉冲坡道60天用中间溶液灌溉。
规模2.6至3.3;脉冲坡道50天有水灌溉。
规模3.3至3.9;脉冲坡道40天用水灌溉。
图10-11。浸渍阶段的参数尺度和灌溉策略。
image_67.jpg
10.5.3工业规模产量估算
所有从所进行的冶金试验中产生的知识,都转化为一个程序的执行,用于对堆的工业规模性能进行估算。堆产量估算及灌溉策略选择程序如下:
对实际堆盐矩阵的审查与从不同采矿多边形的金刚石钻孔样品中获得的结果进行了比较。得到了两者之间的相关因子,这允许从应用于金刚石钻孔样品的测试中确定堆如何以更精确的方式进行。
利用盐基质值,估算出每个开采多边形的产量,然后通过每个多边形材料对堆建设的百分比贡献,估算出堆产量。
根据每个多边形的物理质量结果百分比,即C m/min、压实、%细料、Alpha、#-200,为每个堆选择灌溉策略。
比如583号桩,物理测试表明,桩倾向于在树冠产生泥浆,不稳定。建议进行为期60天的润湿,以避免产生浑浊。建议是以设计速度灌溉。
583号桩的真实成分,由多边形金刚石钻孔活动确定,显示在表10-9其中可以观察到一些差异。
SQM TRS Nueva Victoria
帕格。108











表10-9 Nueva Victoria运营中的583堆浸桩确定的成分比较。
类型 Real vs. Diamond Salts Matrix
碘级
(ppm)
硝酸盐等级
(%)
Na2SO4 CA K KClO4 NACL H3BO3 盐溶性
样本 400 4.0 17.9 2.0 1.3 0.5 0.1 10.1 4.3 0.3 57.8
真实 424 4.2 16.4 1.9 1.2 0.6 1.4 10.5 4.6 0.3 58.3
通过建立的方法、组成和物理特性,得出的583桩产量估算值为54.5%。估计方案如下所示图10-12.
图10-12。灌溉策略选择
Polygon的参与
chart-367cd767fa794e848e9.jpg
chart-585b0a83c2854ec1be9.jpg
以下图表显示了Nueva Victoria工厂2008-2020年期间碘和硝酸盐的年度产量,并将观察到的产量值与模型预测的值进行对比。
年工业吞吐量值与模型预测的值分别显示在图10-13其中观察到了良好的相关程度。
年工业吞吐量数值与模型预测值如下图所示,其中观察到良好的相关程度。

SQM TRS Nueva Victoria
帕格。109











图10-13。硝酸盐和碘产量估算及产业相关性
image.jpg
与项目硝酸盐、碘收率的新关联,是用10年工业运行数据作出的。这种相关性将水的可用性(CU)与可溶性盐分的量(Caliche*党卫军*MS)被溶解存在于caliche中,与感兴趣的物种(碘和硝酸盐)直接相关。

Nueva Victoria已在CU 0.40 m的范围内运营3/t和0.6(m3/t)。CU越高,CRS(再循环装药盐)越低,因此性能越好。

高可溶性盐(SS)的Caliches,CRS增加,CU增加更显著。
Caliche with low SS,less straight slope,the CU is not as significant
ST PUGE to Ponds:AFA中存在的总盐到蒸发的太阳能池塘。
单耗:对应处理过的caliche质量的淡水对渗滤液。

MS:caliche中所含总盐

SS:可溶性盐
10.6重大风险因素

堆浸的主要风险因素是卡利奇斯化学和物理表征的错误,这使得我们能够正确预测未来卡利奇斯的行为。这就是为什么,在2024年期间,新的标准物理caliche测试是
SQM TRS Nueva Victoria
帕格。110











实施,使它们能够可复制和可靠,并提供可直接用于恢复模型的信息。

其他风险:
对回收或所获产品质量有害的元素构成风险。原材料中的镁(硫酸镁或泻盐)和高氯酸盐等不溶性材料和元素也对工艺造成负面影响。在这方面,本报告提供了对工艺输入和输出流程进行的测试的信息,例如盐水和碘、硝酸钾和硝酸钠的成品,这些元素,从而显示了公司对改善运营和获得最佳产品的持续关注。
植物控制系统分析等级并确保它们符合要求的门槛值,不会影响盐水中有价值物种的浓度或影响植物性能。因此,对可能对潜在经济开采产生重大影响的加工因素或有害元素进行控制。例如,对卤水进行监测,将装载2-2.5克/升泻盐的卤水清除到废水池中。
除上述情况外,该公司还有兴趣开发或纳入一种新的阶段、工艺和/或技术,以减轻已知因素的影响。这是在不断注重不断改进流程的情况下实现的。
10.7合资格人士的意见
10.7.1理化表征
从所进行的测试中获得的矿物学和化学表征结果,以及所要处理的矿物的物理和粒度表征,允许在项目的初始概念阶段和既定过程中不断评估不同的加工路线,以确保此种工艺有效和最新,和/或还根据资源的性质审查最佳替代品以回收有价值的元素。此外,分析方法确定有害元素,以在操作中建立机制,使这些可以保持在限值以下,以确保一定的产品质量。
10.7.2化学–冶金测试
在实验室和中试工厂进行的冶金测试工作足以为caliche资源建立适当的加工路线。
测试计划证明,在工厂中建立的分离和回收方法可以充分扩展,以生产碘盐和硝酸盐。已经有可能生成一个模型,该模型可以帮助制定初始灌溉阶段的操作计划,以改善浸出中的碘和硝酸盐回收。
用于生成冶金数据的样本具有足够的代表性,可以支持对规划绩效的估计,并且在估计矿产资源的回收率方面是合适的。
10.7.3创新与发展
该公司拥有一支研发团队,该团队在开发新工艺和产品方面展示了重要进展,以最大限度地从已开发的资源中获得回报。
研究由三个不同的单位开发,涵盖主题,如化学工艺设计、相化学、化学分析方法学和成品物理特性。这些涉及原材料表征、操作可追溯性和成品。
SQM TRS Nueva Victoria
帕格。111

tm2311827d1_ex96-4img001.jpg
11矿产资源估算
11.1关键假设、参数和方法
本子部分包含与项目密度a等级相关的前瞻性信息。可能导致实际结果与前瞻性信息中的结论、估计、设计、预测或预测存在重大差异的重大因素包括与本小节中提出的一个或多个重大因素或假设的任何重大差异,包括与迄今为止收集和测试的样本不同的实际原位特征、与当前测试工作结果产生不同结果的设备和操作性能。
根据每个扇区可用的钻孔间距网格,资源估算过程有所不同:

实测矿产资源:使用普通克里金法使用全3D区块模型估计具有Block模型、钻孔间距网格为50x50m、100T和100的扇区,该模型包含变量,例如碘、硝酸盐、可溶性盐、地质、岩土、地形等。对于Nueva Victoria,所有行业定义的Measured Resources都有一个可用的Block模型。

指示矿产资源:具有Block模型的扇区;钻孔间距为200x200m的网格,是使用包含变量的反距离加权(IDW)使用全3D块模型进行估计的,该模型包含变量,例如碘、硝酸盐、可溶性盐、地质、岩土工程、地形等。对于Nueva Victoria,所有区域定义的指示资源都有一个可用的Block模型。

推断矿产资源:钻孔间距网格大于200x200m至400x400m的扇区采用多边形方法进行2D估算。这个推断资源没有区块模型。输出是多边形,然后通过乘以面积、厚度和密度将其转换为吨位。

11.1.1样本数据库
2024年Nueva Victoria模型包括碘和硝酸盐的估计,在较小网格的情况下,测量的矿产资源包括可溶性盐、元素、岩性和硬度参数。
表11-1汇总了碘和表11-2Nueva Victoria的硝酸盐。


表11-1。新维多利亚省碘的基本样本统计
部门 变量 样本数量 最低 最大值 平均 标准。开发人员。 方差 简历 峰度
Franja Oeste 74.738 50 2.670 209 166 27.593 0,8 14,7
埃尔莫萨 85.983 50 3.500 249 224 50.261 0,9 9,5
Hermosa Oeste 49.123 50 3.040 241 211 44.563 0,9 12,6
北米娜 124.590 50 2.000 353 242 58.729 0,7 9
米娜·奥斯特 185.934 50 2.370 271 228 52.139 0,8 10,8
Pampa Enga ñ adora 10.485 50 2.920 169 203 41.087 1,2 28,6
Tea Sur 10.633 50 2.000 273 182 33.099 0,7 10,6
Tea Oeste 15.052 50 4.140 273 235 55.366 0,9 16,5
托尔卡萨 47.930 50 2.000 248 244 59.477 1,0 11,8





SQM TRS Nueva Victoria
帕格。112

tm2311827d1_ex96-4img001.jpg
表11-2。新维多利亚省硝酸盐的基本样本统计
部门 变量 样本数量 最低 最大值 平均 标准。开发人员。 方差 简历 峰度
Franja Oeste 硝酸盐 74,738 1 38 3,0 2,5 6,3 0,8 7,4
埃尔莫萨 硝酸盐 85,983 1 39,6 5,8 3,9 15,2 0,7 2,0
Hermosa Oeste 硝酸盐 49,123 1 27,7 3,9 3,4 11,6 0,9 4,8
北米娜 硝酸盐 124,590 1 20 3,8 3,2 10,2 0,8 5,2
米娜·奥斯特 硝酸盐 185,934 1 25,9 4,2 3,9 15,3 0,9 3,9
Pampa Enga ñ adora 硝酸盐 10,485 1 20 3,4 3,5 12,3 1,0 5,6
Tea Sur 硝酸盐 10,633 1 22,6 2,9 2,6 6,8 0,9 8,5
Tea Oeste 硝酸盐 15,052 1 28 3,7 3,1 9,6 0,8 5,3
托尔卡萨 硝酸盐 47,930 1 28,7 3,4 3,7 13,7 1,1 6,2

11.1.2地质域和建模
用于一个地质单元内每个区块的估算(UG)(图11-1)仅使用在该域中发现的复合牌号、元素和硬度参数(UG之间的硬接触)。主要的UG被描述为:
覆盖物、覆盖物(UG 1)。
矿化地幔,Caliche(UG 2)。
标的(UG 3)。

图11-1。地质模型UG1和UG2(Pampa Hermosa-Pampa Mina Norte)

image7.jpg

11.1.3化验合成
考虑到所有样本长度相同(0.5m),块高也为0.5m,SQM没有将样本数据库复合,直接用于估算过程。

11.1.4异常值等级和等级封顶的评价
异常值的定义和控制是行业普遍做法that是必要和有用的,以防止潜在的对体积和等级的高估。SQM未对分析样品中碘和硝酸盐的测定品位制定检出限值(上限)。矿床内碘和硝酸盐的品位分布使得没有样本被判定为极端,因此在估算过程中没有使用样本限制。
SQM TRS Nueva Victoria
帕格。113


11.1.5比重(SG)

在Nueva Victoria站点,利用阿基米德原理在不同区域进行了723次密度测量。这种方法适用于任何类型的样品,无论是不规则样品(对照)还是圆柱形样品(试管)。相关标准和建议与ASTM规定的标准和建议相对应。在这种情况下,将使用以下ASTM D-4531和ASTM D-4543。测试包括对先前干燥的样品进行称重,将岩石样品或试管浸入熔化的石蜡中,并在空气中称重并浸入水中。这一过程将确定样品的单位重量,与水的性质(密度)和样品在3种环境中呈现的重量差异有关:干燥、石蜡干燥和石蜡浸渍。

还在Nueva Victoria使用油井剖面技术进行了一项地球物理研究。本研究通过使用卡尺、自然伽马和密度探针,提供了在表层下岩性表征中关键物理特性的详细视图。在这一过程中,对146口井进行了测量,最大深度达6米,为评估感兴趣的地层提供了宝贵的数据。所进行的钻探取得的数据,间隔一厘米取样,每个钻孔独立处理(图11-2).最后,将通过分析获得的密度与实验室中计算的密度进行比较,由客户端提供用于分析。这种比较允许根据实验室结果评估原位测量的精度,为收集的数据的一致性和可靠性提供全面的视角。

表11-3显示扇区,实验室,样品和钻孔分析和比重。这些结果证明了SQM使用的历史值(2.1 GR/CC)是合理的。
表11-3。Nueva Victoria的比重样本
采矿 实验室 N °样本 比重(g/CC)
新维多利亚 外部 144 2.3
内部 59 2.2
伽马-伽马 39 1.8
外部 380 2.2
内部 140 2.2
伽马-伽马 107 2
平均 2.11

SQM TRS Nueva Victoria
帕格。114


图11-2。Nueva Victoria的密度分析位置。
plano_densidadxnvx2024.jpg
SQM TRS Nueva Victoria
帕格。115


11.1.6Block模型矿产资源评价
如前所述,钻孔间距网格大于50x50m至100x100m的扇区使用普通克里金法使用全3D块模型进行估计,钻孔网格大于100x100m且高达200x200m的扇区使用反距离加权也使用块模型进行估计,用于插值碘、硝酸盐、可溶性盐、地质、岩土、地形等。对于Nueva Victoria,所有定义的区域测量和指示资源都有一个可用的Block模型。
Block模型参数与域11-4 显示了Datamine Studio 3中构建的块模型的定义。所有扇区的区块大小为25x25x0.5m。
表11-4。Block模型尺寸
部门 参数 易事特 海拔
Franja Oeste M200 产地(m) 405,150 7,667,900 808
射程(m) 18,100 17,000 598
决赛(米) 423,250 7,684,900 1,406
Block大小 50 50 0.5
区块数N ° 362 340 1,196
Franja Oeste M100T 产地(m) 411,950 7,668,775 882
射程(m) 8,275 15,850 378
决赛(米) 420,225 7,684,625 1,260
Block大小 25 25 0.5
区块数N ° 331 634 756
埃尔莫萨 产地(m) 414,950 7,704,175 1,066
射程(m) 9,100 9,050 179
决赛(米) 424,050 7,713,225 1,245
Block大小 25 25 0.5
区块数N ° 364 362 358
Hermosa Oeste 产地(m) 404,325 7,703,775 813
射程(m) 12,875 13,850 462
决赛(米) 417,200 7,717,625 1,275
Block大小 25 25 0.5
区块数N ° 515 554 924
Hermosa Oeste M200 产地(m) 401,475 7,687,600 710
射程(m) 25,000 26,500 584
决赛(米) 426,475 7,714,100 1,294
Block大小 50 50 0.5
区块数N ° 500 530 1,168
北米娜 产地(m) 428,425 7,689,400 951
射程(m) 10,700 5,450 153
决赛(米) 439,125 7,694,850 1,104
Block大小 25 25 0.5
区块数N ° 428 218 306
米娜·奥斯特 产地(m) 419,975 7,680,075 901
射程(m) 9,650 15,650 258
决赛(米) 429,625 7,695,725 1,159
Block大小 25 25 0.5
区块数N ° 386 626 516
SQM TRS Nueva Victoria
帕格。116


米娜·苏尔 产地(m) 432,050 7,676,500 897
射程(m) 11,450 7,725 148
决赛(米) 443,500 7,684,225 1,045
Block大小 25 25 0.5
区块数N ° 458 309 296
Pampa Enga ñ adora 产地(m) 401,475 7,687,600 710
射程(m) 25,000 26,500 584
决赛(米) 426,475 7,714,100 1,294
Block大小 50 50 0.5
区块数N ° 500 530 1,168
苏泰阿 产地(m) 412,750 7,689,600 1,084
射程(m) 2,850 5,475 150
决赛(米) 415,600 7,695,075 1,234
Block大小 25 25 0.5
区块数N ° 114 219 300
TEA Unificado 产地(m) 409,950 7,692,050 991
射程(m) 11,050 13,025 204
决赛(米) 421,000 7,705,075 1,194
Block大小 25 25 0.5
区块数N ° 442 521 407
托尔卡萨 产地(m) 428,950 7,671,975 851
射程(m) 5,100 4,575 148
决赛(米) 434,050 7,676,550 999
Block大小 25 25 0.5
区块数N ° 204 183 296
SQM TRS Nueva Victoria
帕格。117


图11-3用Nueva Victoria内的街区模型展示了各区域的平面图
图11-3。Nueva Victoria的Block样板位置。
fig_11x1.jpg
尽管Nueva Victoria Block模型的边界之间存在重叠,但是对于矿产资源的估算不存在重复的区块,这些模型中的每一个都有每个区域的不同数据库给出的其他区域的边界。

变异学
使用独立于UG的所有钻孔样品构建的实验变异函数。对变异函数进行建模和调整,得到了构造范围和基台、金块效应和主要成矿方向等参数。对碘进行了实验变异谱计算和建模,并用于碘和硝酸盐的估计。
SQM TRS Nueva Victoria
帕格。118


表11-5 描述了用于估算碘和硝酸盐的每个区域中使用的碘的变异函数模型。
表11-5。新维多利亚省碘和硝酸盐的变异谱模型
部门 变量 轮调 金块效应 范围1 窗台1
Z Y X Z Y X
北米娜 0 0 0 6964 0.5 80 80 46607
米娜·苏尔 0 0 0 28270 0.5 80 75 76582
TEA Oeste 45 0 0 11042 0.5 162 168 48542
埃尔莫萨 45 0 0 20714 0.5 160 145 59524
Hermosa Oeste 0 0 0 29821 0.5 168 177 42500
Franja Oeste 0 0 0 17690 0.5 119 177 22187
托尔卡萨 0 0 0 39821 0.5 80 80 50351
部门 变量 轮调 金块效应 范围1 窗台1
Z Y X Z Y X
诺特 硝酸盐 0 0 0 6.4 0.5 80 80 10
米娜·苏尔 0 0 0 0.91 0.5 80 75 8
TEA Oeste 0 0 0 4.16 0.5 160 172 8
埃尔莫萨 45 0 0 9.16 0.5 155 147 14
Hermosa Oeste 0 0 0 5 0.5 168 151 9
Franja Oeste 45 0 0 3.77 0.5 128 141 5
托尔卡萨 0 0 0 7.38 0.5 80 80 10
金块效应在总窗台的6%到39%之间变化,这表明每个区域之间的碘行为不同。总航程约80米至最多160米(图11-4).这些变异函数范围符合SQM对Measured Mineral Resources的定义,即使用大于50x50m到100x100m的钻孔网格估计区块。(Block模型评估)。
所执行的QP和独立分析以确认SQM使用的变异函数模型,一般来说,获得与SQM使用的相似的金块效应、总门槛和变异函数范围。
图11-4。新维多利亚省碘和硝酸盐的变异谱模型。
image_78.jpg
SQM TRS Nueva Victoria
帕格。119


插值和外推参数
Nueva Victoria的碘和硝酸盐品位估算是使用普通克里金法(KO)对每个UG进行一次评估。SQM使用交叉验证来确定搜索半径、最小和最大使用样本数等估计参数。在交叉验证方法中,通过移除每个观察结果并使用剩余的来预测移除样本值,对数据进行验证。在平稳过程的情况下,它将允许诊断变异函数模型和其他搜索参数是否充分描述了数据的空间依赖性。
将Block模型与地质模型截取,以标记估算过程中使用的地质单元。
KO计划包括以下标准和限制:
估算过程中不使用封顶。
所有UG之间已经实施了硬接触。
没有对任何UG使用octant限制。
没有对任何UG实施每个钻孔采样的限制。
表11-6 总结了各GU和扇区的定位、实现的搜索半径和样本选择方案。Search ellipsoid radio是根据变异函数范围选择的。4个潘帕斯的例子被纳入
表11-6。每个板块的样本选择。
部门 变量 范围1 样本
Z Y X 米尼蒙 马克西蒙
北米娜 0.5 80 80 3 20
米娜·苏尔 0.5 80 75 3 20
TEA Oeste 0.5 162 168 3 20
埃尔莫萨 0.5 160 145 3 20
Hermosa Oeste 0.5 168 177 3 20
Franja Oeste 0.5 119 177 3 20
托尔卡萨 0.5 80 80 3 20
部门 变量 范围1 样本
Z Y X 米尼蒙 马克西蒙
诺特 硝酸盐 0.5 80 80 3 20
米娜·苏尔 0.5 80 75 3 20
TEA Oeste 0.5 160 172 3 20
埃尔莫萨 0.5 155 147 3 20
Hermosa Oeste 0.5 168 151 3 20
Franja Oeste 0.5 128 141 3 20
托尔卡萨 0.5 80 80 3 20
一旦进行了估计,通过将3D块模型转换为具有所有估计变量的平均定律的点(X和Y坐标)的2D网格,进行垂直重新锁定。当2D网格点可用时,应用运营和矿山规划参数,根据所需的碘品位确定吨位/品位曲线。最后,使用GIS软件(Arcview和Mapinfo)绘制多边形,限制了具有经济潜力的估计矿产资源。
Block模型验证
对块模型进行了验证,以评估KO的性能和输入值的符合性。块模型验证考虑到:
SQM TRS Nueva Victoria
帕格。120


估计区块与钻孔样品等级的统计比较。
通过每个方向(东面、北面和高程)进行估计区块和样本的全局和局部比较进行以下测试:各向异性分析、搜索邻域、相似性分析、季节性分析、多变量比较、累积分布函数、趋势分析近邻(NN)。
可视化验证,以检查锁模型是否与示例数据匹配。
11.1.7全球统计
QP在样本品位和估计区块之间进行了统计验证。样本平均等级的全球统计可能受到几个因素的影响,例如样本密度、分组,以及在更大程度上,存在在估计计划中受到限制的高等级。
因此,使用最近邻(NN)方法计算样本等级的全球统计数据,其搜索范围与估计中使用的搜索范围相同。这一比较的摘要显示在表11-7 表11-8 对于碘和硝酸盐,其中负值表示块平均品位相对于复合平均品位的负差异,反之亦然。总的来说,5%以下的差异是令人满意的,10%以上的差异需要关注。估算结果表明,在可接受的范围内发现了相对差异。
表11-7。全球碘统计数据比较
部门 #数据 最低 最大值 平均 标准。开发
Franja Oeste 620.739 50 1.367 210
埃尔莫萨 919.739 50 3.156 237
Hermosa Oeste 335.842 50 1.962 240
北米娜 437.603 50 1.770 353
米娜·奥斯特 1.019.717 50 1.965 272
Pampa Enga ñ adora 158.585 50 2.805 157
Tea Sur 109.531 50 1.152 280
Tea Oeste 121.179 50 2.122 276
托尔卡萨 289.243 50 2.000 243
Nueva Victoria LP 324.646 50 1.969 231
表11-8。硝酸盐的全球统计比较
部门 #数据 最低 最大值 平均 标准。开发
Franja Oeste 硝酸盐 620.739 1,0 18,1 3,1
埃尔莫萨 硝酸盐 919.739 1,0 21,6 5,7
Hermosa Oeste 硝酸盐 335.842 1,0 19,8 3,8
北米娜 硝酸盐 437.603 1,0 19,5 3,6
米娜·奥斯特 硝酸盐 1.019.717 1,0 18,3 4,1
Pampa Enga ñ adora 硝酸盐 158.585 1,0 20,0 3,8
Tea Sur 硝酸盐 109.531 1,0 15,2 3,0
Tea Oeste 硝酸盐 121.179 1,0 14,5 3,5
托尔卡萨 硝酸盐 289.243 1,0 22,5 3,4
Nueva Victoria LP 硝酸盐 324.646 1,0 30,3 4,0
SQM TRS Nueva Victoria
帕格。121


11.1.7.1.Swath地块
为了评估区块等级与数据相关的稳健性,进行了以下测试以验证生成模型的稳健性(各向异性分析、搜索邻域、相似性分析、季节性分析、多变量比较、累积分布函数、趋势分析近邻NN)。从图11-5 提供了TEA每个变量的图表摘要。总的来说,结果表明,估计值合理地遵循了在局部和全球范围内从矿床品位中发现的趋势,而没有观察到过度的平滑程度。

图11-5。碘茶的Swath地块
teayodo.jpg
评论
从开展的分析中,得出以下结论:
有轻微的各向异性。
改变搜索椭圆,在120到300米之间提供的交叉验证非常少,这主要是一个空间结构,其中第一个结构(对方差贡献最大的结构)范围很短,第二个对变异函数的总方差贡献非常小,其影响很小。
160米量级的搜索水平有一个提升,主要体现在这对标准化误差的影响上。
模型的相似度水平尊重在高水平钻探样品中存在的相似度水平,碘和硝酸盐都会发生这种情况。
碘和硝酸盐之间原始数据中存在的相关指数,保留在块模型中。
该模型呈现出一种轻微的乐观情绪,并以一种非常不具影响力的方式低估了局部不确定性,无论是在数据层面还是在分布函数层面的理论上。
分析区域的平均值显示,在样本水平上,碘的平均值为303ppm,在区块水平上为308ppm。
分析区域平均呈现,样本水平平均硝酸盐为5.09%,块水平为5.11%。
交叉验证质量好,鲁棒性高。
该模型在碘和硝酸盐中均准确地表示了25 x 25 x 0.5块的矿床品位。呈现出对局部不确定性的轻微乐观和极少有影响力的低估。





SQM TRS Nueva Victoria
帕格。122



图11-6图11-7为Hermosa提供了每个变量的图的摘要。总的来说,结果表明,估计值合理地遵循了在局部和全球范围内从矿床品位中发现的趋势,而没有观察到过度的平滑程度。

图11-6。Iodine Hermosa的Swath地块
hermosayodo.jpg

图11-7。硝酸盐Hermosa的Swath地块
hermosanitrato.jpg
评论
从开展的分析中,得出以下结论:
有轻微的各向异性。
改变搜索椭圆,120到300米之间提供的交叉验证非常少,这主要是一个空间结构,其中第一个结构(对方差贡献最大的结构)范围很短,第二个对变异函数的总方差贡献非常小,其影响很小。
160米量级的搜索水平有提升主要体现在这对标准化误差的影响上。
模型的相似度水平尊重在高水平钻探样品中存在的相似度水平,碘和硝酸盐都会发生这种情况。
碘和硝酸盐之间原始数据中存在的相关指数,保留在块模型中。
该模型呈现出一种轻微的乐观情绪,并以一种非常不具影响力的方式低估了局部不确定性,无论是在数据层面还是在分布函数层面的理论上。
分析区域的平均值显示,在样本水平上,碘的平均值为224ppm,在区块水平上为251ppm。
SQM TRS Nueva Victoria
帕格。123


分析区域平均呈现,样本水平平均硝酸盐为5.8%,块水平为5.7%。
交叉验证质量好,鲁棒性高。
该模型在碘和硝酸盐中均准确地表示了25 x 25 x 0.5块的矿床品位。呈现出对局部不确定性的轻微乐观和极少有影响力的低估。

图11-8图11-9为Hermosa提供了每个变量的图的摘要。总的来说,结果表明,估计值合理地遵循了在局部和全球范围内从矿床品位中发现的趋势,而没有观察到过度的平滑程度。
图11-8。碘Torcaza的Swath地块
torcazayodo.jpg

图11-9。硝酸盐Torcaza的Swath地块
torcazanitrato.jpg

评论
从开展的分析中,得出以下结论:
有轻微的各向异性。
改变搜索椭圆,在120到300米之间提供的交叉验证非常少,这主要是一个空间结构,其中第一个结构(对方差贡献最大的结构)范围很短,第二个对变异函数的总方差贡献非常小,其影响很小。
160米量级的搜索水平有一个提升,主要体现在这对标准化误差的影响上。
SQM TRS Nueva Victoria
帕格。124


模型的相似度水平尊重在高水平钻探样品中存在的相似度水平,碘和硝酸盐都会发生这种情况。
碘和硝酸盐之间原始数据中存在的相关指数,保留在块模型中。
该模型呈现出一种轻微的乐观情绪,并以一种非常不具影响力的方式低估了局部不确定性,无论是在数据层面还是在分布函数层面的理论上。
分析区域的平均值显示,在样本水平上,碘的平均值为244ppm,在区块水平上为243ppm。
所分析区域的平均呈现,在样本水平上平均硝酸盐为3.4%,在区块水平上为3.4%。
交叉验证质量好,鲁棒性高。
该模型在碘和硝酸盐中均准确地表示了25 x 25 x 0.5块的矿床品位。呈现出对局部不确定性的轻微乐观和极少有影响力的低估

SQM TRS Nueva Victoria
帕格。125


11.1.7.2视觉验证
为了直观验证碘和硝酸盐的估算,QP完成了一组横截面和植物视图的审查。验证显示了样本在块中的合适表示。在局部,块在横截面和植物视图中都匹配估计样本。总的来说,碘和硝酸盐等级的复合数据块模型数据之间有足够的匹配。高品位地区适当代表,高品位样品表现出适当控制。
图11-10图11-17在Franja Oeste、Hermosa、Hermosa Oeste和Mina Oeste展示带有估计模型和硝酸盐和碘样本的一系列水平植物视图。

图11-10。Visual validation of iodine estimation,plan view Franja oeste
image8.jpg















SQM TRS Nueva Victoria
帕格。126


图11-11。Nitrate估算的可视化验证,Plan View Franja Oeste
image11.jpg
























SQM TRS Nueva Victoria
帕格。127


图11-12。碘估计的视觉验证,平面图视图Hermosa

image1.jpg

























SQM TRS Nueva Victoria
帕格。128


图11-13。硝酸盐估算的可视化验证,平面视图Hermosa
image6.jpg

























SQM TRS Nueva Victoria
帕格。129


图11-14。碘估计的视觉验证,平面图Hermosa Oeste
image5.jpg
























SQM TRS Nueva Victoria
帕格。130


图11-15。硝酸盐估算可视化验证,平面图Hermosa Oeste
image9.jpg


























SQM TRS Nueva Victoria
帕格。131



图11-16。视觉化验证碘估算,平面图Mina Oeste

image10.jpg
























SQM TRS Nueva Victoria
帕格。132


图11-17。硝酸盐估算的可视化验证,Plan View Mina Oeste

image3.jpg

11.1.8Polygon矿产资源评估
本小节包含与项目矿产资源经济开采前景确立相关的前瞻性信息。可能导致实际结果与前瞻性信息中的结论、估计、设计、预测或预测存在重大差异的重大因素包括与本小节中所述的一个或多个重大因素或假设的任何重大差异,包括截止利润假设、成本预测和产品价格预测。
对于钻孔间距网格大于200x200m至400x400m的扇区,采用多边形方法进行矿产资源评价。表11-9显示了用于定义新维多利亚州具有经济潜力的多边形的参数。
表11-9。用于定义新维多利亚每个钻孔经济间隔的经济和运营参数
参数 价值
地幔厚度 2.0m以上
盖板厚度 小于3.0m
废物/矿物比率 小于1.0

SQM TRS Nueva Victoria
帕格。133




这些参数是为每个多边形计算经济潜力的输入,然后使用多边形面积、厚度和密度(2.1 g/CC)的乘法将其转换为吨位。

11.2.矿产资源估算
本子部分包含与该项目的矿产资源估算相关的前瞻性信息。可能导致实际结果与前瞻性信息中的结论、估计、设计、预测或预测存在重大差异的重大因素包括与本小节中提出的一个或多个重大因素或假设的任何重大差异,包括地质a等级解释和控制以及与确定经济开采前景相关的假设和预测。
表11-10.总结新维多利亚省硝酸盐和碘的矿产资源估算,不包括储量。
表11-10。矿产资源估算,不包括矿产储量,截至2024年12月31日
新维多利亚 推断资源 指示资源 计量资源
吨位(MT) 硝酸盐(%) 碘(ppm) 吨位(MT) 硝酸盐(%) 碘(ppm) 吨位(MT) 硝酸盐(%) 碘(ppm)
Franja Oeste 16.0 3.9 401 12.6 2.2 251 21.1 3.5 282
埃尔莫萨 46.6 5.1 169
Hermosa Oeste 17.0 4.7 387 9.6 4.9 267 18.3 3.8 230
北米娜 14.7 2.5 272
米娜·奥斯特 50.9 2.8 180
米娜·苏尔 12.6 3.0 274
苏泰阿 5.9 2.5 249
TEA Unificado 37.2 3.8 241
TEA Oeste 13.0 3.8 307 7.9 3.5 265
托尔卡萨 7.8 2.7 197
恩加尼亚多拉 6.1 4.3 252
椰子油 5.1 7.3 302
洛杉矶 9.3 7.9 331
TEA Oeste 1.1 4.0 397
合计 48.5 5.3 372 41.4 3.6 272 223.1 3.6 218
注意事项:
(a)矿产资源不是矿产储量,不具备证明的经济可行性。不能确定全部或任何部分矿产资源将在应用修正因子后转化为矿产储量。
(b)矿产资源按原位报告,不包括矿产储量,即在报告的LOM期间没有加工损失的估计矿产储量从包括矿产储量的矿产资源中减去。
(c)由于数字四舍五入和使用平均方法造成的差异,数值比较可能不相加。
(d)单位“MT”;%,“ppm”分别指百万吨、重量百分比、百万分率。
SQM TRS Nueva Victoria
帕格。134


(e)矿产资源量估算考虑了caliche厚度≥ 2.0m和覆盖层厚度≤ 3.0m。平均碘等级考虑了产生碘的成本和中长期价格预测,如在第11款,1619的这个TRS。
(f)随着每年对矿产资源估算过程进行审查和改进,矿产资源可能会在几何、吨位或品位方面发生变化。
(g)Marco Fazzi和Freddy Ildefonso是负责矿产资源的QP。

11.3矿产资源分类
本子部分包含与该项目的矿产资源分类相关的前瞻性信息。可能导致实际结果与前瞻性信息中的结论、估计、设计、预测或预测存在重大差异的重大因素包括与本小节中提出的一个或多个重大因素或假设(包括地质和品位连续性分析和假设)的任何重大差异。
SQM定义的矿产资源分类基于钻孔间距网格:
实测资源使用大于50 x 50 m和最大100 x 100 m的钻孔网格定义,这使得可以非常可靠地划定矿化体的尺寸、地幔厚度和品位以及矿化的连续性。SQM进行的变异性和不确定性研究表明,相对估计相对误差小于5%。
指示资源使用大于100 x 100米和最大200 x 200米的钻孔网格进行定义,这使得可以以合理的可信度划定矿化体的尺寸、地幔厚度、吨位和品位。SQM进行的变异性和不确定性研究表明,相对估计相对误差小于8%。
推断矿产资源使用大于200x200m和最大400x400m的钻孔网格定义。当在公认存在caliche的地区或地区进行探矿时,或当钻孔网格伴随着一些较小网格的探矿,确认矿化的连续性时,可以预期这些资源有一个可持续的基础,以给予它们合理的信心水平,因此,可以确定矿化体的尺寸、地幔厚度、吨位和品位。获得的信息由地表地质补充UGs的定义。

11.4矿产资源不确定性讨论
矿产资源估计可能受到数据质量、矿化和/或冶金回收的自然地质可变性以及支持经济开采合理前景的经济假设的准确性(包括金属价格)以及采矿和加工成本的重大影响。
推断的矿产资源在地质上过于投机,无法对其进行经济考虑,以使其能够被归类为矿产储量。
矿产资源还可能受到品位估算过程中使用的估算方法、参数和假设的影响,包括数据的顶切(封顶)或搜索和估算策略,尽管QP认为这对矿产资源估算产生实质性影响的可能性很小。
11.5对多种商品矿产资源估计的假设

对于Nueva Victoria,资源取决于一个截止福利封套> 0.1。
SQM TRS Nueva Victoria
帕格。135


11.6有资格的人对可能影响经济采掘前景的因素的意见
由于Nueva Victoria是一个拥有20多年运营经验和数据的活跃矿山,QP认为,该矿山已适当考虑了支持经济开采矿产资源所需的相关技术和经济因素。
QP不知道本技术报告中未讨论的任何可能对矿产资源估算产生重大影响的环境、许可、法律、所有权、税收、社会经济、营销、政治或其他相关因素。
SQM TRS Nueva Victoria
帕格。136


12矿产储量估算
12.1估算方法、参数和方法
本子部分包含与项目矿产储量估算的关键假设、参数和方法相关的前瞻性信息。可能导致实际结果与前瞻性中的结论、估计、设计、预测或预测存在重大差异的材料因素包括与本子节中提出的一个或多个材料因素或假设的任何重大差异,包括矿产资源模型吨和品位以及矿山设计参数。
矿产储量估算是基于使用反向空气钻机在200x200m、100x100m、100T m(100x50m)和50x50m网格间距中执行的钻孔获得的样本品位。
测量资源是从通过数值插值技术(普通克里金法)构建的3D块中评估的,其中硝酸盐、碘和可溶性盐含量信息可从间距等于或小于100 x 100米的钻孔网格中获得的数据中获得。
指示资源由采用反距离加权(IDW)插值技术建造并以200x200m钻孔间距定义的3D区块进行评估。
Mineral Reserves考虑SQM的采矿计划标准,其中包括以下内容:
Caliche厚度≥ 2.0m
废/矿比≤ 1
截止效益≥ 3美元/吨。
矿产储量对斜率不超过8%的板块有限制。
碘颗粒平均生产成本对应21.5美元/千克,碘衍生物销售价格为42.0美元/千克。用于硝酸盐精矿卤水1,硝酸衍生物价格平均为101美元/千克。
采矿计划中考虑的采矿部门(见图12-1)根据SQM获得的环境许可和一系列附加因素(主要通道布局、堆塘位置、到处理厂的距离等)进行划定。采矿是在25x25m的区块中进行的,考虑到应用于该矿床的平均密度值为2.1t/m φ,确定要提取的caliche体积。
使用这些标准SQM估计体积(caliche)被视为探明储量基于构建的3D区块模型,以定义测量的矿产资源,并应用上面定义的标准来确定采矿计划。
使用从中密度钻孔探矿网格(200x200m)获得的硝酸盐和碘品位以及其他相关数据,通过反距离加权法估算的指示资源量,使用上述相同的矿产储量标准,caliche和超载厚度和切割效益(> 3美元/t),表示为概略储量。



SQM TRS Nueva Victoria
帕格。137


图12-1新维多利亚省储备部门图
fig_12x2.jpg

12.2截止受益
SQM在历史上一直使用300ppm的碘边界品位,今年它认为是一个边界效益(BC),以最大限度地提高每个区块的经济价值。

该方法为每个pampa生成一个截止效益(美元/吨矿物)大于0.1的最佳经济包络。在每个pampa中,必须考虑以下几点:

•柱中每吨矿物的累积效益必须大于或等于截止效益。

•满足前一个条件的列中最后一个区块,其每吨值必须大于或等于截止效益;否则,向上进行垂直搜索。
SQM TRS Nueva Victoria
帕格。138


12.3分类和标准
本子部分包含与项目矿产储量分类相关的前瞻性信息。可能导致实际结果与前瞻性信息中的结论、估计、设计、预测或预测存在重大差异的重大因素包括与本子节中提出的一个或多个重大因素或假设的任何重大差异,包括矿产资源模型吨、品位和分类。
矿床的地质特征(亚水平、表层和有限厚度)允许考虑所有的矿产储量,因为无论SQM使用的采矿提取方法(钻爆、地表开采),都可以提取探明和概略储量的整个体积/质量。
任何因临时基础设施限制(池塘、管道、道路等)而无法开采的采矿区块(25x25米),仍被算作矿产储量,因为一旦临时限制解除,就可能被开采。
探明储量已根据实测资源量确定,分类为描述在S第11.3条与修饰因子,如在S第12.1条第12.2节.
概略储量已从指示资源量中确定,其分类如S第11.3条.附加标准,如S第12.1条第12.2节.
12.4矿产储量
本子部分包含与项目矿产储量估算相关的前瞻性信息。可能导致实际结果与前瞻性信息中的结论、估计、设计、预测或预测存在重大差异的重大因素包括与本子节中提出的一个或多个重大因素或假设的任何重大差异,这些因素包括矿产资源模型吨和品位,修正因素包括采矿和回收因素、生产率和进度、采矿设备生产力、商品市场和价格以及预计运营和资本成本。
Nueva Victoria矿分为三个区:Nueva Victoria、Tente en el Aire(TEA)和Hermosa。各板块进一步细分为开采子行业(见图12-1).
Nueva Victoria板块包含以下板块:
Mina Sur、Mina Oeste、Mina Norte、Oeste 3、Lobo、las Salinas、Torcaza、Iris Vig í a和Franja Oeste;
Tente en el Aire(TEA)Sector(Central Sector)包含以下子行业:
TEA Oeste、TEA Sur、TEA Central、TEA Unificado、Fortuna、Pampa Enga ñ adora和Cocar;
最后,Hermosa区(北部和东北部):
Hermosa、Hermosa Oeste和Coru ñ a
SQM在智利当局目前批准的具有环境许可证的区域内从这些部门提取“卡利什”。很快,SQM计划获得额外的环境许可证,以将采矿扩展到TEA领域。
SQM对Nueva Victoria厂址的caliche开采速度高达37,000 ktpy(第0515/2012号决议豁免),对TEA项目的开采速度高达28,000 ktpy(第0047/2022号决议豁免),这意味着在Nueva Victoria的caliche提取产量为65,000 ktpy。
2024年caliche采矿生产目标探明储量49.2公吨2平均416ppm I的碘级2和5.17% NaNO的硝酸盐3.
SQM的2025-2040年采矿计划(Nueva Victoria-SQM Industrial Plan)设定的总开采量为858mt的caliche,产量介于48mt和54mt之间。这种材料的90%(772mt)将通过爆破提取,10%(85.8mt)将通过露天采矿提取。长期矿山(LP)的碘平均品位为327ppm,硝酸盐平均品位为4.9%。
SQM TRS Nueva Victoria
帕格。139


2Nueva Victoria矿的五年采矿计划(5YP)由探明储量的开采确定。SQM每年都会执行一项计划,对用于定义指示资源(100x100m或200x200m)的探矿网格进行重新分类,以使用更高密度的钻孔间距网格(100T m或50x50m)将这些转换为测量资源。

矿产储量估算标准如下:
使用来自高分辨率钻孔间距活动(100x100m、100T m或50x50m)的数据,通过3D模型块和普通克里金法定义的测量矿产资源来建立探明矿产储量。
使用来自中分辨率钻孔间距活动(200x200m)的数据加权的反向距离的3D模型Block定义的指示矿产资源用于建立概略矿产储量。
考虑到SQM(钻爆和SM)使用的采矿方法以及堆浸结构处理以获得碘和硝酸盐的富集卤水,Nueva Victoria的所有被勘探部门都有环境许可经营。
本文考虑了修正因素。所有许可证都是现行的,虽然没有正式协议,但这些业务与社区有着长期的关系,其中一些社区是公司城镇。开采、加工、下游成本、开采损失、稀释、回收率在t中核算他的操作截止等级。作为该项目自2002年开始运营,与运营成本和回收相关的风险被认为微乎其微。
根据所描述的资源到储量转换和资格认定规则,对Nueva Victoria的探明矿产储量和概略矿产储量进行了估算,如表12-1汇总SQM在Nueva Victoria矿调查的不同部门的估计矿产储量。
表12-1 Nueva Victoria矿的矿产储量(2024年12月31日生效)
探明储量 可能的储量 总储备
吨位(MT) 781.4 254.4 1,035.83
碘级(ppm) 302.7 366.3 318.3
硝酸盐品位(%) 4.5 5.7 4.8
碘(kT) 237 93 330
硝酸盐(kT) 3.5 2 2
注意事项:
a)矿产储量以大于3美元/吨的边界效益(BC)、≥ 2.0m的caliche厚度和坡度不大于8%的扇区限制为依据。
b)探明矿产储量基于按上述(a)中所述标准测量的矿产资源。
c)矿产储量申报为原位矿石(caliche)。
d)单位“MT”、“KT”、“PPM”、%分别指百万吨、千吨、百万分之一、重量百分比。
e)矿产储量基于323美元/吨的硝酸盐价格和42.0美元/千克的碘价。矿产储量也基于经济可行性,如税后贴现现金流(见第19节).
f)Marco Fazzi是QP,Freddy Ildefonso负责矿产储量。
g)QP不知道有任何环境、许可、法律、所有权、税收、社会经济、营销、政治或其他相关因素可能对矿产储量估计产生重大影响,而这些因素未在本TRS中讨论。
SQM TRS Nueva Victoria
帕格。140


h)由于数字四舍五入和使用平均方法造成的差异,数值的比较可能不会合计。
按部门分列的矿产储量最终估计数汇总于表12-2.用于核对概算的程序如下:
经核实的吨位和平均品位(碘和硝酸盐)作为矿产储量按部门与先前分析的测量和指示资源量(第11款).
经核查,SQM估计矿产储量的区域位于智利当局批准环境许可证的区域,同时也在考虑应用修正因素。
确认在长期矿山计划(2025-2040年)中考虑到具有矿产储量的每个部门和矿矿石总量(caliche)具有经济可开采性。
考虑了合资格人士对可能影响经济开采前景的技术和经济因素的判断。
表12-2按部门分列的Nueva Victoria矿储量(2024年12月31日生效)

部门 探明储量 探明储量 总储备金
吨位(MTon) 硝酸盐
(%)
碘(ppm) 吨位(MTon) 硝酸盐
(%)
碘(ppm) 吨位(MTon) 硝酸盐
(%)
碘(ppm)
Franja Oeste 59.7 3.8 329 24.0 2.8 319 83.7 3.5 326
埃尔莫萨 199.4 6.1 271 199.4 6.1 271
赫莫萨W 69.9 4.6 306 59.3 6.2 347 129.1 5.3 325
北米娜 68.4 3.3 334 68.4 3.3 334
米娜·奥斯特 126.0 3.9 290 126.0 3.9 290
米娜·苏尔 45.5 3.4 330 45.5 3.4 330
苏泰阿 10.8 3.0 311 10.8 3.0 311
Tea Unificado 152.7 4.4 316 152.7 4.4 316
茶w 24.5 3.8 351 33.1 3.9 380 57.6 3.9 368
托尔卡萨 24.6 3.5 281 24.6 3.5 281
恩加尼亚多拉 23.1 4.4 316 23.1 4.4 316
椰子油 23.0 8.0 405 23.0 8.0 405
科鲁尼亚 37.0 5.8 411 37.0 5.8 411
福图纳 27.0 8.4 350 27.0 8.4 350
鸢尾花Vigia 9.0 3.6 401 9.0 3.6 401
Oeste 3 15.0 5.9 402 15.0 5.9 402
茶中央 4 6.5 375 4.0 6.5 375
合计 781.4 4.5 303 254.4 5.7 366 1035.8 4.8 318

Nueva Victoria的开发部门包括:
Mina Oeste、Mina Sur、Mina Norte、Oeste 3、Iris Vig í a、Torcaza和Franja Oeste(见ubication in the图12-1Nueva Victoria的保护区地图)。
Tente en el Aire(TEA)的开发部门包括:
SQM TRS Nueva Victoria
帕格。141


TEA Oeste、TEA Sur、TEA Central、TEA Felipe、Fortuna、Pampa Enga ñ adora和Cocar(见ubication in the图12-2(Nueva Victoria保护区地图)。
Hermosa的开发部门认为:
Hermosa、Hermosa Oeste和Coru ñ a(见ubication in the图12-1Nueva Victoria的保护区地图)。

12.5合资格人士的意见
矿产储量估算以实测和指示矿产资源量为依据。这些信息是参考Nueva Victoria提供的。合资格人士对矿产资源估算和修正因素进行了审计,将测量和指示的资源转化为探明和概略储量。
合资格人士还对矿产储量与产量进行了核对,并表示此类储量适合用于矿山规划。
SQM TRS Nueva Victoria
帕格。142


13采矿方法
SQM提供了2025年至2040年期间的产量预测(采矿计划MP)。对这份采矿计划进行了核查,即计划开采的部门有智利当局批准的环境许可证;总吨位和平均碘和硝酸盐品位与估计的矿产储量一致;矿物矿石(caliche)的总量是经济可开采的,SQM设定的颗粒状碘和卤水硝酸盐精矿(卤水硝酸盐)的生产是可以实现的,同时考虑到采矿的稀释和质量损失以及浸出和加工的回收因素。
Nueva Victoria矿山的采矿包括土壤和超载清除、从地表提取矿物、装载和运输矿物(caliche)以制作堆浸垫以获得富含碘和硝酸盐的溶液(卤水浸出液)。
成矿可描述为层状、亚水平、浅表(≤ 5.0m)、厚度有限(平均3.0m)。矿物的提取过程受到含有该矿物资源的地质构造(caliches)的表层和表层层状配置的制约。这一采矿过程已获得智利当地采矿当局的批准(SERNAGEOMIN)3.通常,提取包括几米厚的挖掘(一个高达6.0米的连续台架(覆盖层+ caliche),其中使用传统方法-钻孔和爆破以及SM提取矿物。提取的矿石由前装载机和/或铲子装载,并由刚性漏斗采矿卡车运输到堆浸结构。
浓缩过程从原位浸出开始,通过滴灌/喷灌的堆浸垫获得碘和硝酸盐富集溶液,然后送到处理厂获得最终产品。采矿和提取过程总结在表13-1.
3SERNAGEOMIN 2005年6月30日第1469/2005号决议(“Nueva Victoria矿山和碘化物工厂矿山开采方法和矿物处理及扩建正规化条例”);根据矿业部第132/04号《矿务、采矿安全条例》第22条,由SERNAGEOMIN 2012年11月29日第0515/2012号决议更新)。
表13-1。Nueva Victoria-SQM caliche矿山特点总结
采矿系统 Opencast with a single and continuous bench with a height up to 6 m
钻孔 阿特拉斯·科普柯车型Smart T45 ANS桑迪维克DP1500
爆破开采(炸药) ANFO、起爆索、150GR APD助推器和非电雷管。
功率因数0.365公斤/吨
露天采矿 地面挖土机(带切割鼓的拖拉机)
装载和运输
前置式装载机(12至14米3)、100至150吨货车(60米3至94米3容量)
表土剥离(表层清除)
0.15米3土壤和覆盖层/吨caliche
Caliche生产 每日14万吨(tpd)
稀释因子 ± 10ppm碘(< 2.5%)
复苏因子 56%的碘和52%的硝酸盐(2008-2022年期间)
堆浸用水量
0.39至0.60米3/吨浸出法caliche(2008-2022年期间)
无菌(a)/矿石质量比
1吨:8吨
(a)这种材料被SQM用来构建堆垫的底座。废料的最终体积可以忽略不计。
13.1地质技术和水文模型,以及与矿山设计和规划相关的其他参数
本子部分包含与该项目的矿山设计相关的前瞻性信息。可能导致实际结果与前瞻性信息中的结论、估计、设计、预测或预测存在重大差异的重大因素包括与本小节中阐述的一个或多个重大因素或假设的任何重大差异。
SQM TRS Nueva Victoria
帕格。143


Nueva Victoria的采矿相对简单,因为只需要去除表面一层厚达1.0 m的无菌物质(土壤+覆盖层)(砂岩、角砾岩和硬石膏结壳),就可以去除。随后提取矿石(caliche),厚度为2.0-6.0 m(平均3.0m)。Caliche的岩土特性(多聚沉积角砾岩)允许垂直采矿台面,从而可以提高采矿资源的开采效率。
采矿条件不需要对采矿工作面进行物理稳定性分析;因此,不需要进行具体的岩土实地调查和设计。平均高度约4.70米(1.0米土+覆盖层和3.2米卡利切)的单个终台是典型的作业(图13-1).
图13-1。Nueva Victoria Caliche矿地层柱及示意图剖面、示意图开采过程
image_139.jpg
由于其几乎不存在地表径流和地表渗透(降雨量非常少的区域),且开采深度较浅,因此在开挖时无法达到地下水位。因此,不需要地表水管理和/或矿山排水计划来控制地下水并避免孔隙压力的存在所产生的问题。
因此,本次采矿作业不需要详细的岩土、水文、水文地质模型作为其作业和/或采矿设计和采矿计划。
采矿作业采用爆破和露天两种方法。在每个区域使用的方法的选择取决于一个变量,该变量由待挖掘的caliche的硬度及其与基础设施的接近程度定义,在那里可能存在爆破损坏的潜在风险。
SQM TRS Nueva Victoria
帕格。144


硬度是在地质调查和勘探过程中确定的,与现场地质学家从钻孔判断的以下定性技术标准有关:
Caliche钻探的钻孔截面在直径上表现出塌陷和/或粗糙度的等级为软(硬度1)或半软(硬度2)。
在caliche钻探的钻孔部分,如果钻孔直径一致且光滑,则被评定为硬度(硬度3)。
该参数包含在区块模型中,用于采矿和堆浸整形决策。
提取的矿物储存在位于同一一般开采区域的堆积物中。堆浸垫是在以前采空区建设的。垫子被灌溉以通过水溶解(孕卤水溶液)浸出目标成分(碘和硝酸盐)。
SQM已分析堆浸稳定性4以验证这些采矿结构在不利条件(最大可信地震)下的物理长期稳定性。考虑了已封闭的堆浸设施分析的地质力学条件,具有以下特点:
湿密度20.4千牛顿/立方米(kN/m φ)。
内摩擦角32 º。
2.8kPa的凝聚力。
一种分级压实材料被用来支撑桩所在的衬板。该规格以经验为依据,一般以18.5kN/m φ的湿密度、38 °的摩擦角()和无内聚力来定义。在土基和堆料之间有一块HDPE薄板,防水处理堆浸垫基础。土工膜HDPE与排水层材料的界面模拟为10厘米厚的材料层,采用摩擦角= 25 °,表示土壤与土工膜之间产生的摩擦力。
最大可信地震最大加速度值定为0.86g(g = 9.8 m/s2),而设计地震则定为0.35克。
水平地震系数(Kh)是通过智利常用的表达式和垂直地震系数(Kv)是根据NCH2369 of。2003年,作为横向系数的2/3。因此,在堆的稳定性分析中,一个Kh值0.21和Kv的0.14被用于最大可信地震;和一个Kh的0.11和Kv的0.07用于设计地震。
4Informe T é CNICO AN á lisis de estabilidad de taludes pilas 300 y 350。SQM N ° 14220m-6745-800-IN-001。Procure Servicios de Ingenier í a(21146-800-IN-001),2021年5月。
稳定性分析使用静态销钉平衡方法(Morgenstern-Price Limit均衡法)和GeoStudio的Slope软件执行,结果符合最小安全因子标准。
基于本文件中发展的分析,可以得出以下结论(表13-2图13-2):
在当前状态下分析的堆的坡度是稳定的防滑。
封堵后没有一堆需要坡面剖面处理。
SQM TRS Nueva Victoria
帕格。145


表13-2。密闭堆浸(Nueva Victoria)边坡稳定性分析总结结果
堆垫数
静态机箱(FSadm= 1,4)
伪静态设计地震
(FSadm= 1,2)
伪静态最大可信地震
(FSadm= 1,0)
300 1.93 1.42 1.09
350 1.91 1.42 1.1
图13-2。岩土分析结果:堆# 300,假设最大可信地震
image_141.jpg
技术报告‘’AN á lisis de estabilidad de taludes pilas 300 y 350’。文档SQM N ° 14220m-6745-800-IN-001。Procure Servicios de Ingenier í a(21146-800-IN-001),2021年5月。
13.2生产率、预期矿山寿命、采矿单元尺寸以及采矿稀释和恢复因素
The MP considers a total caliche extraction of 858 mt,with a production growing from 48 mtpy to 54 mtpy,as shown in表13-3.对于要提取的MP总caliche,预计其碘品位介于313至362ppm之间,硝酸盐品位介于4.6%至5.6%之间。
平均碘品位为327ppm,总碘颗粒产量估计为34.2tpd(12,481tpy碘)。同样,对于4.9%的硝酸盐平均品位,用于化肥生产的平均硝酸盐估计为2,540.9吨/日(用于化肥的硝酸盐含量为927千吨/年)。
矿区面积扩大至40公里x50公里(见图12-2).采矿顺序的定义基于从地质调查中为caliche建立的生产性厚度数据、已有批准的采矿许可证、到处理厂的距离以及确保在计划安装基础设施的区域(堆基地、管道、道路、通道、干线等)下有未来计划基础设施的区域在建立这些要素之前作为采矿目标或在基础设施复员后进行开采。
Mineral Reserves考虑SQM的采矿计划标准,其中包括以下内容:
Caliche厚度≥ 2.0m。
坡度≤ 8.0%。
废/矿比≤ 1.0
截止效益≥ 3.0美元/吨。
SQM TRS Nueva Victoria
帕格。146


除上述作业参数外,确定矿区还考虑了以下地质参数:
岩性。
硬度参数。
影响caliche浸出的总盐(caliche盐基质)。
影响caliche浸出的总盐元素(大多数离子)。
采矿期间对矿区底板进行GPS控制,以尽量减少目标碘和硝酸盐品位的稀释。

SQM TRS Nueva Victoria
帕格。147



表13-3。采矿计划(2025-2040年)

材料运动 单位 2025 2026 2027 2028 2029 2030 2031-2040 合计
Nueva Victoria Sector矿石吨位 公吨 48 54 54 54 54 54 540 858
碘(I2)原位 ppm 362 362 357 351 343 338 313 327
平均品位硝酸盐(NaNO3) % 5.6% 5.6% 5.6% 5.5% 5.5% 5.4% 4.6% 4.9%
矿石开采总量(CALICHE) 公吨 48 54 54 54 54 54 540 858
碘(I2)原位 kt 17 20 19 19 19 18 169 280.8
产出工艺生产颗粒状碘 % 66.0% 67.0% 74.9% 74.7% 74.3% 73.8% 68.8% 70.0%
产生的波纹碘 kt 11.5 13.1 14.4 14.2 13.7 13.5 116.2 196.6
硝酸盐原位 kt 2,688 3,024 3,008 2,999 2,962 2,921 24,695 42,297
生产硝酸盐的产量过程 % 40.0% 40.0% 40.0% 40.0% 39.0% 38.0% 32.0% 35.1%
浸出生产硝酸盐 kt 1,075 1,210 1,198 1,185 1,157 1,122 7,892 14,839
池塘产出生产硝酸盐盐 % 100.0% 100.0% 100.0% 100.0% 100.0% 100.0% 100.0% 100.0%
化肥用硝酸盐 kt 1,075 1,210 1,198 1,185 1,157 1,122 7,892 14,839
SQM TRS Nueva Victoria
帕格。148


采矿产生的品位稀释估计低于2.5%(± 10ppm碘),硝酸盐(± 0.12%硝酸盐)低于2.3%。在caliche开采过程中,由于矿化厚度较低(≤ 5.0m),爆破过程对矿化地幔底板有双重影响:夹杂下垫层物质以及过度开挖。这些倾向于补偿,稀释或等级损失很小或可以忽略不计(碘为± 10ppm)。
挖掘深度由装载设备上的GPS控制。SQM认为计划的采矿回收率为90%,(MP 2025-2040的平均值)。
矿物(caliche)的提取、装载和运输过程包括:
表层和表层清除(厚度在0.5至1.0米之间)沉积在附近已开采或贫瘠区域的。这种材料被用来建造堆浸结构的底座。
Caliche提取,最大深度6米,使用炸药(钻爆),或地面挖掘机(SM型地形平地机SEM)。
进行爆破是为了实现良好的破碎、良好的底板控制、适合装载设备的矿石尺寸,并避免进一步处理(5.0-6.0厘米以下的碎片占20%,37.0厘米以下的碎片占80%,最大直径为100厘米)。
SM被用于开采靠近基础设施、可能因爆破而受损的区域,以提取较软的卡利切区域,并获得提取的矿物的更均匀的粒度,从而在碘和硝酸盐浸出过程中产生更好的回收率。此外,它产生的粉尘排放比钻孔和爆破要少。使用矿工与钻爆的决定是基于岩石的简单抗压强度参数(高达35兆帕[ MPa ]),以限制材料磨蚀性,以及卡利切碎屑的存在。
该设备允许通过旋转带有钨合金增强铁尖的切割鼓进行矿物碎裂,从而将矿物粉碎,获得大约15.0厘米的平均和均匀尺寸(3.5厘米以下20%,15.0厘米以下80%和D最大45.0厘米,为平均值)。滚筒位于机器的后部,这使得可以在履带保持在地面上的同时切割矿物,以免损坏破碎的材料。
Caliche装车,使用前端装载机和/或铲子。
将矿物运至堆浸垫,使用矿用车(刚性料斗,100t至150t)。
堆浸垫(图13-3)建成累计1公吨,高度在7至15米之间,冠区6.5万米2.
图13-3。Nueva Victoria Mine(caliches)的垫层构造和形态
image_142.jpg
image_143.jpg
SQM TRS Nueva Victoria
帕格。149


SQM进行的物理稳定性分析报告称,这些堆在长期内是稳定的(封闭堆),并且不需要对斜坡进行修改以进行封闭。
来自地面采矿的碎片材料来到与ROM分离的堆。
堆建过程有几个阶段:
场地准备和建设堆基和周界护墙,以方便收集丰富的解决方案。
堆底面积为8.4万m ²,最大横坡度为2.5%,以方便排出富含碘和硝酸盐的溶液。
堆基建筑材料(0.4m厚)来自无菌材料,经辊压至95%的正常proctor(水分和/或密度不在现场测试)。
在此基础层的顶部铺设了HDPE、防水土工膜。
为了保护土工膜,在上面放置了一层0.5米厚的贫瘠材料(以避免堆内储存的ROM/SM碎片对膜的破坏)。
用大吨位卡车(100至150吨)装载堆垫料。浸出垫建在两个升降机中,每个升降机平均高3.25米。堆垫的平均高度为6.5米。
浸渍,包括用工业水对堆进行初步润湿,在灌溉和休息的交替循环中,为期60天。在这一阶段,桩开始其初始溶液排水(卤水)
连续灌溉直至浸出循环在以下阶段完成:
灌溉中间卤水:第一次通过溶液循环通过最老的一半堆以增加额外电荷的阶段。持续时间长达280天。
混合:由再循环卤水Feble混合物组成的灌溉阶段5和水。这些堆的排水被认为是SI,用于灌溉其他堆。这一阶段持续约60-80天。
洗涤:一堆生命的最后阶段,用最后一次灌溉水,大约20-30天。
总的来说,每堆大约有300到500天的周期,在此期间堆的高度下降15-20 %。
使用的灌溉系统是滴头和喷头混合的系统。在滴头的情况下,堆可以用塑料布或毯子覆盖,以减少蒸发损失并提高灌溉系统的效率。
浸出溶液通过通道通过重力收集,将液体引导到一个水槽,在那里通过手提泵和管道再循环到盐水接收池和积水池。
一旦堆场停运,尾矿既可以用于其他堆场的基地建设,也可以作为枯竭的堆场留在现场。
2024年,对于堆浸工艺,总需水量为586L/s堆浸至Nueva Victoria-Iris浓缩厂的富集溶液流量为2,025 m φ/h(单耗0.41m φ/吨caliche浸出),而堆浸至Nueva Victoria-Iris浓缩厂的富集溶液流量为2,025 m φ/h。在该过程中SQM应用再循环系统进行浸出,以实现比使用的淡水更高的卤水产量。NV矿山堆浸工艺水力效率在75%-79 %区间,平均77%。
在2025-2040年长期(MP)中,单位耗水量范围为0.40-0.50m φ/吨的卡利切浸出平均0.49m φ/吨。预计2025-2040年的浸出过程设想增加用水(抽水地下水和海水)从2025年的586L/s到2031年的856L/s.这增加了浸出中使用的水
SQM TRS Nueva Victoria
帕格。150


该工艺可改善堆浸结构中碘和硝酸盐的提取,从而在冶金回收过程中获得更好的性能。
从2025-2040年长期来看,ROM堆浸(钻头和爆破材料)中的浸出工艺平均碘产量为75.3%,硝酸盐产量为57.2%。
SM产生的均匀和更小的碎裂允许硝酸盐产率提高6%(约为63.2%的回收率)和碘产率提高12%(约为87.3%的回收率)。
堆浸工艺性能制约因素包括可用水量、边坡整形7(斜坡无法灌溉)、再浸渍和资源/储量建模错误。最后一个因素最能影响年度目标产量与实际实现的偏差。这种偏差通常高达碘的-5 %和硝酸盐的-10 %。
除堆放外,其他设施有溶液池(卤水、调和、中间溶液)和水和备用池(卤水和中间溶液)。约有7个容量在8000 m φ至36000 m φ、高度在3.0至4.9 m之间的矩形池塘,它们有泵系统,其功能是将工业水、卤水Feble(BF)、中间卤水驱动到堆浸,通过HDPE管道,从caliche堆中提取最大量的碘和硝酸盐(连续灌溉过程)。
从盐水池中,富集的溶液通过HPDE管道送到碘化物工厂。
7堆形态意味着33 º(1.53H:1.0V)的自然斜率。
13.3生产和最终矿山概要
SQM在采矿作业中与地形控制合作,通过该作业去除土壤和覆盖层(在Nueva Victoria平均厚度在0.3至1米之间变化)并提取caliche(平均厚度为3.0米)。
鉴于相对于所涉及的表面积(690公顷/年)而言,挖掘面积很小(平均4.70米),因此无法正确可视化显示矿山最终情况的地形图。
图13-4描绘了2025年至2040年期间的最终矿山轮廓(长期计划)。

SQM TRS Nueva Victoria
帕格。151



图13-4。最终矿山大纲-Nueva Victoria采矿计划2025-2040年
plan_quinquenalxv1002.jpg
2025-2040年长期(MP)的Caliche产量数据涉及总产量为858mt,平均品位为327ppm的碘和4.9%的硝酸盐。
SQM TRS Nueva Victoria
帕格。152


基于采矿和浸出工艺设定的生产要素,预计本期(2025-2040年)共生产196.6kt碘和14839kt化肥用硝酸盐,即生产平均含量为36.5tpd碘(0.50g/L)和2541tpd化肥用硝酸盐(137g/l)的新鲜盐水溶液(74400 m φ/d)将送到加工厂。请注意,此处考虑的稀释因子是在上述指示资源到可能储量因子之外的.
表13-4。Nueva Victoria Mine Period 2025 – 2040的矿山和垫层浸出生产。

LOM 2025-2040 卡利切 %比率 硝酸盐
产量(公吨)
858
平均品位(碘ppm/硝酸盐ppm) 327 4.9%
原位估算(kT) 280.8 42,297
传统采矿(KT) 776.5 90.5%
地表开采(kT) 81.5 9.5%
采矿产量 95.0%
等级稀释因子 2.25% 2.5%
品位稀释
±7.36
±0.12
采矿过程效率 90.0% 90.0%
堆浸中的带料矿物(kT) 280.8 42,297
堆浸ROM从传统采矿中回收 69.0% 34.5%
传统采矿堆产生的堆ROM(kT) 174 13,194
露天采矿堆浸回收 84% 41%
堆生产ROM地表开采 22 1,635
堆浸总产量(kT) 197 14,839
堆浸总产量(tpd) 33.7 2540.9
堆浸总产量(ktpy)
12 927
堆浸回收系数 70.0% 35.1%

13.4剥离、地下开发、回填的要求
初步的地面准备工作需要挖掘平均厚度在50厘米至100厘米之间的土壤类型材料(平均厚度为50厘米)和矿物(caliche)上方的覆盖层或废料的表层。
这是由推土机式履带式拖拉机和Whelldozer式轮式拖拉机完成的。这些废料沉积在附近的采空区或贫瘠区域。
SQM有8台50吨至70吨的推土机型拖拉机和4台25吨至35吨的打泥机型拖拉机,用于这些任务。
Caliche采矿是通过使用炸药和/或地面采矿进行的,最大深度为6米(平均3.0米,最小可开采厚度为1.5米),在Nueva Victoria的年Caliche生产速度为52公吨。
钻孔爆破提取采用矩形爆破花纹方式进行,考虑平均钻孔厚度3.5m。
SQM TRS Nueva Victoria
帕格。153


表13-5 Nueva Victoria矿山爆破规律
直径(英寸) 负担(m) 间距(m) 路基(m)
3.5 2.8至3.2 2.2至2.8 0.5至0.8
4.0 2.8至3.4 2.8至3.4 0.7至1.2
4.5 3.4至3.8 3.4至3.8 1.0至1.5
通常,Nueva Victoria使用的钻孔网格为2.8 x 3.0 m和3.0 x 3.2 m,钻孔直径为4 "。阿特拉斯·科普柯钻机(F9和D7设备)用于钻井(使用DTH锤进行冲击钻井)。
所用炸药为ANFO,由94%硝酸铵和6.0%燃料油组成,其密度为0.82-0.84g/cc,起爆速度在3800-4100 m/s之间。每个钻孔装药量为24.3公斤。
0.80m的回填(梗塞)设置无菌材料。起爆用150克APD助推器和非电雷管作为引爆器,起爆用导爆索。超挖(路基)0.5-1.5m不等。爆破假设岩石密度为2.1t/m φ的完整岩石,炸药荷载系数为365克/吨(荷载系数为0.767kg/m φ的爆破卡利切),提取卡利切12.95万吨/日。The F图13-5描绘了一场典型的爆炸。
图13-5。Nueva Victoria矿(caliches)典型爆炸事故
image_145.jpg
SQM拥有两款威猛T1655;系列设备,带有旋转滚筒和履带。每台机组可生产3公吨产能。它还拥有SEM-Wirtgen 2500SM系列设备(图13-6),具有与威猛(Vermeer)设备不同的切割设计,具有履带式履带,能够使用传送带堆叠或将材料直接装载到卡车上。
SQM TRS Nueva Victoria
帕格。154


图13-6。Terrain Leveler和SME设备(Vermeer)
image_146.jpg
image_147.jpg
13.5所需采矿设备车队和人员
本子部分包含与该项目的设备选择相关的前瞻性信息。可能导致实际结果与前瞻性信息中的结论、估计、设计、预测或预测存在重大差异的重大因素包括与本小节中提出的一个或多个重大因素或假设的任何重大差异,包括劳动力和设备可用性以及生产率。
SQM在Nueva Victoria矿山拥有足够的设备,可按要求生产足够的caliche,用于开采和建造堆浸垫,并获得送往处理厂以获得碘和硝酸盐终端产品的浓缩白酒。
可用于实现Nueva Victoria当前生产采矿计划(2025-2040年)的Caliche的设备汇总于表13-6.目前设备产能已通过QP评估,将满足未来生产要求。
表13-6 Nueva Victoria矿山装备车队
设备 数量 类型或尺寸
前装载机 6
12.5和15米3
铲子 5
13至15米3/150至200吨
地面掘进机(SME) 4 100至200吨
卡车 25 100至150吨
推土机 9 50至70吨
Whelldozer 5 35吨
钻头 10 3.5至4.5英寸顶锤(直径)
等级 3 5-7米
滚子 2 10-15吨
挖掘机 3
桶容量1-1.5 m3
Nueva Victoria运营部门的工作人员由1276名专业人员组成,这一总数包括316名专门从事浸出工艺的专业人员、612名从事采矿作业的专业人员、228名从事碘化物和碘化厂的专业人员以及120名从事蒸发池的专业人员。不使用承包商采矿和劳动力。
Nueva Victoria矿山运营包括一些为现场人员提供的一般服务设施:办公室、浴室、卡车维修和洗涤棚、更衣室、食堂(固定或移动)、仓库、饮用水厂(反渗透)和/或饮用水储存罐、污水处理厂和变压器。
SQM TRS Nueva Victoria
帕格。155


14处理和回收方法
本子部分包含与该项目的硝酸盐和碘浓缩器、浸出和溶剂萃取吞吐量和设计、设备特性和规格相关的前瞻性信息。可能导致实际结果与前瞻性信息中的结论、估计、设计、预测或预测存在重大差异的重大因素包括与本子节中提出的一个或多个重大因素或假设的任何重大差异,包括与历史操作或迄今为止测试的样品不同的实际矿石进料特征、与历史操作产生不同结果的设备和操作性能、历史和当前的测试工作结果以及冶金回收因素。
Nueva Victoria Property包括caliche矿区、堆浸和加工厂,以生产作为主要产品的碘和作为次要产品的硝酸盐。矿山设施集中在以下三个SQM物业区域:Nueva Victoria、Sur Viejo和Iris。
Nueva Victoria矿石中平均含有4.5%的硝酸盐和303ppm的碘,这在当前的TRS(S第12段。4个矿产探明储量)。一部分碘和硝酸盐是水溶性的,在堆浸过程中被提取出来。在提取碘化物后,一部分碘化物耗尽的溶液被反馈到堆浸过程中。剩余的耗碘溶液被泵送到蒸发池,从中回收硝酸盐。
采用标准的露天采矿方法对卡利切矿进行开采。Caliche采矿发生在Nueva Victoria Property内约844.5 km ²的区域。caliche采矿的名义费率目前为45.45mtpy。来自堆浸的妊娠浸液(PLS)通过管道输送到碘化物工厂Nueva Victoria、TEA和Iris,位于距离堆场约20公里处,这两个工厂的产能分别为11 ktpy、5 ktpy(2024年12月投产)。
Pampa Hermosa项目的2010年环境许可考虑在Nueva Victoria安装硝酸盐厂生产硝酸钠和硝酸钾。这尚未实施,目前Nueva Victoria的硝酸盐生产在Coya Sur(Antofagasta地区)进行。
Nueva Victoria业务目前拥有以下设施:
Caliche矿山和矿山运营中心。
Nueva Victoria碘化物工厂和Nueva Victoria碘化物工厂。

TEA碘化物装置(M4)
碘化物-碘虹膜植物。
中和厂。
蒸发池。
废盐沉积。
工业供水。
配套设施:营地和办公室、生活垃圾处理场、危险废物场、无害化工业废物场。
SQM TRS Nueva Victoria
帕格。156


图14-1展示了在Nueva Victoria生产碘颗粒和硝酸盐的Caliche矿物加工主要阶段的框图。以下部分介绍了运营阶段和矿物加工设施。
图14-1。简化的Nueva Victoria流程流程表
image_148.jpg
14.1.流程说明
Nueva Victoria Property包括caliche采矿、堆浸和加工厂,以获得作为主要产品的碘和作为副产品的硝酸盐。
图14-2 展示了Nueva Victoria的Caliche矿石中碘和浓硝酸盐的矿物生产过程示意图。这张图显示,该过程可归纳为六个相关阶段:采矿、浸出、
SQM TRS Nueva Victoria
帕格。157


在碘化物工厂中提取,在碘化物工厂中转化,中和,以及蒸发-浓缩太阳池。下文将介绍这些阶段中的每一个阶段。
图14-2。Nueva Victoria矿产生产流程示意图
image_149.jpg
提取过程从清除非矿化土壤和非矿化覆盖层开始,到装载和运输caliche到浸出堆结束。有关此操作的更多详细信息,请参见第13.2节
两类矿石,由SQM定义,在现场处理。这些包括矿石类别1(爆破提取ROM矿石)、矿石类别2(SM提取矿石).
SM矿石的面糊破碎导致生成的PLS中的可用矿盐回收率更高。截至2024年,这种材料占堆浸垫上堆积的矿物的20%。这种材料在堆浸垫中添加的相对比例将在长期内依次增加。
SQM根据REN ° 0515/2012(Resolution Exempt,授权矿产开采的政府许可)。授权开采率额外增加了28公吨,达到了Nueva Victoria Property的授权总开采量65公吨。使用炸药提取caliche,然后装入并转移到堆浸垫中。使用工艺水浸出caliche,并通过碘化物工厂流出的耗尽溶液进行增强。来自碘工艺的贫化(弱)溶液的这一成分被SQM称为BF,对应于弱酸性水(也称为agua feble á cida [ AFA ])。

SQM TRS Nueva Victoria
帕格。158


The表14-1总结了扩建项目考虑的变化。
表14-1随着TEA项目的扩大对运营的修改
安装 当前形势 修改 与TEA项目的情况
Nueva Victoria表面积获准开采 408.5 km ² 增加436 km ² Nueva Victoria总可开采面积844.5 km ²
Nueva Victoria的caliche采矿率 37公吨 增加28mtpy 总开采率65mtpy
Iris的caliche开采率 6.48公吨 无修改 无修改
碘化物生产,Nueva Victoria 11 Ktpy 增加12Ktpy 碘化物总产量25Ktpy
碘化物生产、虹膜 2 Ktpy 无修改
碘生产,Nueva Victoria 11 Ktpy 增加12Ktpy 制碘率合计23KTPY
制碘,虹膜 2 Ktpy 无修改
制盐 1,025公吨(2,050公吨与Pampa Hermosa) 增加1.95mtpy 富硝酸盐盐总产率4mtpy
蒸发池 8.34 km ² 增加10.17 km ² 总蒸发池面积18.51 km ²
用水 810.8 L/s(工业用地下水抽取) 增加900L/s(抽取海水) 工业用水总许可用水量1,710.8L/s
为处理矿石和获得碘盐和硝酸盐而进行的操作介绍如下。
14.1.1矿区和运营中心

SQM Nueva Victoria和Iris Properties占地面积约844.5 km ²(Nueva Victoria West、North和South)。在行政上,SQM区分:
矿区(矿产地)。
办公及配套建筑物、仓库、货车修理厂、堆浸桩、工业用水、浸出液(卤水)储存池。
SQM将Nueva Victoria和Iris的加工厂和办公区分别称为Nueva Victoria矿山运营中心(COM)和Iris COM。
在矿区内部有COM,其目标是管理不同的解决方案。基本上,一个COM是由浸出过程中产生的卤水和相同所需的水的浸出堆和积水池形成的。因此,Nueva Victoria和Iris的COM都是具有卤水积蓄池、AFA接收和积蓄池、工业水塘和中间溶液的设施,对应于灌溉解决方案。
所有卤水、工业用水和BF蓄水池都衬有防渗膜(通常是HDPE或PVC),以防止其内容物渗入底层地面。
14.1.2堆浸
浸出堆是在非矿化地面上建造的,以免覆盖宝贵的caliche资源。土地是在建设堆浸垫前准备的。土壤留下1~4%的坡度剖面,促进排水溶液重力流动。底座上覆盖了一层不透水土工膜(PVC,或HDPE),以防止浸出溶液渗入地下,从而使溶液可以收集在浸出堆的脚趾处。在土工膜上铺上一层40-50厘米厚的保护性细料层(非矿化chusca(风化材料)或废浸出的caliche),以保护其不被矿山车辆过境损坏或被锋利的石头刺穿。
SQM TRS Nueva Victoria
帕格。159


然后将待浸出的caliche嵌入保护层之上。浸出桩采用矩形底座,高度在7至15米之间,树冠面积6.5万m ²建造。一旦卡利切的堆叠完成,堆灌溉以溶解卡利切中存在的可溶性矿物盐。
堆浸作业采用灌溉与休耕交替循环。所使用的灌溉系统既有喷头,也有滴灌。堆浸过程从开始到结束一般需要425天左右(一般情况下,每个堆的操作范围大约为300-500天)。在整个浸出循环中,可溶性矿物盐的去除导致每个浸出堆的高度下降15%到20%。
图14-3展示了堆浸过程的示意图。这些堆的组织方式是重复使用它们提供的解决方案生产堆(最新的),生产富碘溶液将被送到碘厂,以及排水为生产堆提供食物的较旧的堆。在其灌溉周期结束时,一个(旧的)堆作为惰性碎屑离开系统,另一端进入一个新的堆,从而形成一个连续的过程。
图14-3。Nueva Victoria堆浸过程示意图
image_150.jpg
堆浸过程中的各个阶段(图14-3)如下:
1)堆浸渍阶段:对应的是用工业用水对浸出桩进行初始灌溉。在这一阶段,堆开始在其底部产生含盐浸出液,称为盐水。第1阶段持续约50-70天。
2)灌溉阶段:在190-280天期间,堆用孕体浸出液(PLS)或富碘盐水进行灌溉。之后,堆用再循环AFA的混合物灌溉,SQM在aprox期间将其称为BF和工业水。60-80天。
3)最后阶段:用工业水对堆进行终水灌溉,最大限度地提高可溶性盐的总萃取量。这一阶段持续约20-30天。
堆浸过程中得到的PLS被操作称为卤水。从浸出堆中排出的浸出液(卤水),根据其化学质量,在COM处用管道输送到劣质溶液、中间溶液、富盐溶液储存池(积存池)。从这里,它们通过管道输送到Nueva Victoria、TEA和Iris加工厂。
作为减少大陆地下水使用的持续努力的一部分,SQM目前正在评估:
海水融入工业给水。
SQM TRS Nueva Victoria
帕格。160


通过越来越多地依靠滴灌而不是喷灌和用不透水膜覆盖正在进行灌溉的浸出桩的表面来减少浸出桩的蒸发失水。
用浮式六边盖覆盖这些池面,减少工业积水池蒸发失水

14.1.3碘-碘生产
这些设施分三个区,分别对应:Nueva Victoria、Sur Viejo和Iris。碘化物和碘生产工厂位于Nueva Victoria。
该碘化物工厂通过一条20公里长的管道与Nueva Victoria COM相连。新的碘化物工厂战略性地位于COM5附近的TEA矿,以降低泵送溶液的能耗。
碘化物工艺包括将通过堆浸工艺从caliche中回收的碘酸盐转化为碘化物。在Nueva Victoria-TEA和Iris站点的积蓄池中,盐水被分离成贫度、中度和富度,这使得SQM能够确保向碘化物工厂的盐水进料线中的最佳碘酸盐浓度(在0.5– 1.0g/L碘酸盐范围内)。
从碘化物工厂输出的富碘溶液,然后被输入到碘工厂生产碘珍珠(prill),SQM最终产品。
碘化物工厂的另一项产出是消耗碘化物的浸出液,SQM通常将其称为BF,或AFA。碘化物工厂生产的BF可以通过两种替代路径进行路线:
可再循环至堆浸作业。
可以通过添加石灰或碳酸钠(卤水feble neutral [ BFN,AFN ])送到中和工厂,在那里BF被中和。BFN被送往Viejo Sur的太阳能蒸发池,在那里生产富含硝酸盐的盐,然后送往SQM Coya Sur设施的硝酸盐生产厂进行加工,该厂位于Nueva Victoria以南160公里处,智利北部安托法加斯塔地区Mar í a Elena镇东南7公里处。
在Iris和Nueva Victoria服务工厂,这一过程旨在通过添加二氧化硫将caliche浸出液中的碘酸钠还原为游离碘,然后对其进行分离和提纯。所需的二氧化硫是通过燃烧硫磺产生的。获得游离碘的过程有两个阶段:从碘酸盐(碘化物工厂)生产碘化物和从碘化物(碘化物工厂)生产碘。碘及碘衍生物生产设施已按照德国莱茵T ü V提供质量管理体系认证的ISO-9001:2015和ISO-50001:2018方案合格。
以下是在Nueva Victoria和Iris服务工厂进行的碘酸盐到碘转化过程的描述。
14.1. 3.1 Nueva Victoria碘生产
Nueva Victoria碘加工厂位于SQM Nueva Victoria综合体的出入控制(garita)东南1公里处。占地面积约15公顷。它包括:
3碘酸转碘化物模块。
1个碘化物到碘模块。

一座新的碘化物工厂于2024年12月投产。这个新的生产中心的碘产能为每年5000吨,生产的碘化物被送到Nueva Victoria碘厂生产prill碘。新工厂位于TEA矿,靠近COM 5。
SQM TRS Nueva Victoria
帕格。161


卡利切矿石堆浸出的浸出液(卤水)通过管道输送到每一个碘酸盐到碘化物模块的卤水接收池。这种盐水的碘酸盐含量最低在0.4克/升之间,理想工作浓度为0.7克/升碘当量。
图14-4介绍了碘回收过程的示意图。
图14-4。Nueva Victoria和TEA的碘回收流程示意图
image_151.jpg
该过程的第一阶段发生在碘化物工厂。当使用二氧化硫将一部分卤水(碘酸盐)还原为碘化物时,该过程就开始了。二氧化硫是从硫磺燃烧系统中得到的。然后,碘化物溶液与第二部分新鲜溶液(碘酸盐)接触,得到碘(1)。反应发生在pH 1,8-2,0,如下式所述:
5I(aq)+ IO3(AQ)+ 6H+(aq)→ 3i2(s)+ 3h2O(l)
这种通过碘酸盐和碘化物在酸性溶液中反应生产碘的工艺被称为“切割”。

当发生反应时,纸浆正被送往溶剂萃取工艺,以煤油为溶剂提纯浓缩碘化物、SQM中间产物。Nueva Victoria有三个这样的SX工厂(SX1、SX2和SX3)。
SX工厂的产量为:
碘化物高浓溶液。
耗碘酸性溶液,SQM简称AFA(BF)。
煤油溶剂再循环至SX工艺启动。
AFA的一部分被回收到堆浸过程中,第二部分被送到Sur Viejo的太阳能蒸发池中。然后使用石灰或碳酸钠将溶液中和,进入太阳能蒸发系统,用于回收钾盐和硝酸钠盐,然后用卡车运到Coya Sur的SQM Property进行提炼。
来自碘化物工厂的碘化物高浓溶液采用2阶段工艺精制而成。首先它被过滤,然后通过活性碳塔,去除任何煤油和重金属痕迹。
碘化物高浓缩溶液随后被送到碘厂的下一阶段工艺,在那里被氧化,使用过氧化氢和氯作为氧化剂。这样得到的碘浆随后被熔化,随后起粒,产生被称为“颗粒”的碘球,具有金属光泽。
SQM TRS Nueva Victoria
帕格。162


图14-5介绍了Nueva Victoria的碘化物和碘工厂综合体的总体布局,包括获得TEA扩建环境许可后所需的额外产能。
图14-5。总排排图。Nueva Victoria的碘-碘植物
image_152.jpg
14.1. 3.2碘化虹膜-碘生产
Iris工厂在其COM内有一个碘碘工厂。碘生产设施目前无法运作,因此碘盐水被用于为新维多利亚的碘厂提供原料。图14-6 展示了Iris工厂的生产流程示意图。
图14-6。鸢尾植物工艺图
image_153.jpg
Iris工厂可以处理碘酸根浓度低于0.4克/升碘当量的卤水。
SQM TRS Nueva Victoria
帕格。163


吸收塔中产生的碘化物被送往反应器,在那里与工厂新鲜盐水储存池中的新鲜盐水(碘酸盐)混合。碘酸盐和碘化物反应得到碘(I2).
富碘溶液被泵送到吹气塔(吹气塔),在那里从溶液中脱除并转移到空气中。然后将碘/空气送至剥离塔,在浓碘溶液中转运。
这一解决方案被路由到碘化物再循环槽,创建一个浓缩循环。富含碘的卤水被送往Nueva Victoria碘厂提炼。
14.1.4中和厂
Nueva Victoria的中和工厂占地面积约为59.76公顷。它包括AFA储存池、固体沉淀池、中和池、工业水塘、试剂储存库、抽水基础设施和支持设施。中和厂接收来自碘化物工厂的AFA溶液。AFA与石灰(氢氧化钙)浆料混合,在中和池中对其进行中和。
14.1.5太阳能蒸发池
蒸发式太阳池(SQM称为pozas),以及相关的转运泵,位于Sur Viejo(图14-7).Evapo-浓缩过程有5个阶段。这些池塘有不同类型,考虑到它们的功能,它们的大小各不相同。Sur Viejo蒸发池深度为3.2m,表面积约为7600,000 m2.所使用的池塘配置(池塘类型)详见 表14-2.年平均蒸发量约为5 L/m ²/d(5 mm/d或1,825 mm/y)。
表14-2 Sur Viejo的太阳能蒸发池类型
池塘类型 说明
第1阶段池塘 AFA碱化池
第2阶段池塘 卤水预浓缩,1期池
第3阶段池塘 卤水预浓缩、2期池
第4阶段池塘 切断或控制池
第5阶段池塘 高品位硝酸池
6级蒸发序列设计用于逐步浓缩蒸发的卤水。随着这一过程的推进,高溶性硝酸盐(KNO3和NaNO3)在卤水中变得越来越集中,因为卤石和阿斯特拉坎尼塔等杂质逐渐从不断浓缩的卤水中析出。蒸发-浓缩过程中的6个阶段分别介绍如下。
阶段1:AFA碱化
阶段1对应AFA碱化(AFA中和)阶段。第1阶段基础设施包括中和计划、生石灰(氧化钙、CaO)储存筒仓、生产熟石灰(氢氧化钙、CaOH2)和一个带有搅拌器的反应器,将熟化的石灰浆混合到AFA中。熟石灰-AFA混合物(第1阶段卤水)排入第1阶段池塘。这一阶段的主要目标是将卤水的pH值从AFA的pH1.6-2.0提高到1阶段卤水的pH6.0-7.0。
生石灰消耗速率(kg/m φ的AFA)在0.30-0.60 kg/m之间变化3,取决于进水AFA的酸度。第1阶段卤水也可以称为BFN,或FEBL Neutral Water(FNW)。
第2 & 3阶段:卤水预浓缩池塘
卤水依次通过12.5万m ²第2阶段和25万m ²第3阶段蒸发池。该过程的目标是用KNO将AFN蒸发-浓缩至饱和3和NaNO3,逐渐沉淀出杂质,主要是石盐(NACL)和Astrakanita(Na2镁(SO4)2·4H2O)晶体。
SQM TRS Nueva Victoria
帕格。164


第四阶段:截流或控制池
Evapo-concentration continues during stage 4,gradually concentrating KNO3和NaNO3趋向饱和水平。
阶段五:高品位硝酸池
KNO3和NaNO3在第5阶段池塘中结晶出来。获得的高硝酸盐盐类包括残留杂质,包括NaCl、Astrakanita、KClO4,H33,和管理社会组织4.KNO的相对占比3和NaNO3在高硝酸盐中,反映了它们在输入阶段1的AFA中的比例。

当高硝酸盐盐的沉淀准备就绪时,盐被收获、储存并送往SQM Coya Sur工厂进行进一步提炼,然后再出售。
TEA项目规划的Nueva Victoria Mine蒸发池可以在 图14-8尺寸显示在表14-3.
表14-3 TEA项目太阳能蒸发池类型
池塘类型 说明 长度x宽度(m x m)
表面积(m2)
表面积(Ha)
第1阶段池塘 AFA碱化池 500 x 320 160,000 16
第2阶段池塘 卤水预浓缩,1期池 500x250 125,000 12.5
第3阶段池塘 卤水预浓缩、2期池 500x500 250,000 25
第4阶段池塘 截流或界塘 240 x 165 39,600 3.96
第5阶段池塘 高品位硝酸池 280x250 70,000 7
SQM TRS Nueva Victoria
帕格。165


图14-7。Sur Viejo蒸发池总体布置
image_154.jpg
SQM TRS Nueva Victoria
帕格。166


图14-8。TEA蒸发池总体布置
image_155.jpg
14.1.6Sur Viejo硝酸盐厂(计划)
构成Pampa Hermosa项目环境批准的2010年环境许可证(RCA 890/10)考虑在Sur Viejo建造一座硝酸盐工厂,毗邻现有蒸发池。硝酸盐工厂尚未建设,因此由Sur Viejo蒸发池序列生产的高硝酸盐被用卡车运往SQM Coya Sur工厂进行提炼。
Sur Viejo硝酸盐工厂的产能将是1.2mtpy的精制NaNO3& KNO3.占地8.2公顷。模块化结构,它将包括4个模块,每个模块都有一个300ktpy的NaNO3/KNO3产能。该工厂将接收来自蒸发池序列第5阶段的高硝酸盐盐水,这些盐水将通过结晶器、固液分离器、浓缩器和离心机进行。由此产生的商业产品将是硝酸钠和湿硝酸钾。
14.2.生产规格和效率
SQM TRS Nueva Victoria
帕格。167


14.2.1工艺标准
表14-4包含Nueva Victoria处理电路的主要标准摘要。
表14-4工艺标准概要。矿址caliche堆浸和生产碘工艺。
标准
采矿能力和等级
卡利切矿山开采
48至54公吨
开发未来经验证的地区 28公吨
平均成绩
4.9%硝酸盐;327ppm碘
可用性/可用性的使用
采矿开采系数 80 - 90 %
植物可用性因素 96.7%
Caliche碘PO因子
每吨碎屑碘4.4公吨Caliche
Caliche硝酸盐PO因子
58吨Caliche/硝酸盐
Caliche碘虹膜因子
堆浸
浸渍阶段 每堆300至500天
中间解决方案
混灌阶段
用工业水冲洗阶段
标准
堆浸
水+ AFA混灌 40%稀释AFA
堆排水 250至450天
碘盐水浊度 < 150台大
产量和工厂产能
碘酸盐/碘化物收率 92 - 95%
碘化物/碘产量 98%
Nueva Victoria的产能
13 Ktpy碘化物在Nueva Victoria
Iodine Prill产品纯度 99,8%
高硝酸盐产能
1.100ktpy
以下部分总结了Nueva Victoria的生产力和预测。
SQM TRS Nueva Victoria
帕格。168


14.2.2太阳池规格
蒸发池操作的具体标准总结在表14-5:
表14-5太阳能蒸发系统的流入和流出说明
系统输入流量 单位 价值
AFA饲料流 立方米/小时 1,050
硝酸钠(NaNO3) 克/升 124
钾(K) 12.5
高氯酸钾(KClO4) 1.2
镁(mg) 15
硼w/硼酸(H3BO3) 4.0
系统流出 单位 价值
丢弃盐 3,900,000
阿斯特拉坎石 % 25
氯化钠 % 75
高硝酸盐生产 2,050,000
硝酸钠(NaNO3) 1,050,000
硝酸钠(NaNO3) % 41.9
硝酸钾(KNO3) 11.4
高氯酸钾(KClO4) 0.32
镁(mg) 1.3
硼w/硼酸(H3BO3) 2.4
14.2.3产量平衡和产量
自2014年以来,SQM一直在制定一项计划,在Nueva Victoria开发新的caliche矿区,并在Nueva Victoria增加硝酸盐和碘的产量。关于Iris Property,不打算对操作进行任何修改。近年来,通过向国家环境委员会提交的扩建项目,投资增加了Nueva Victoria业务的供水能力,扩大了太阳能蒸发池的容量,并实施了新的采矿和溶液收集区域。这些项目是Pampa Hermosa项目(2010年获批)和TEA项目,目前正在进行中。Pampa Hermosa的批准允许将Nueva Victoria业务的名义产能提高到11 ktpy碘,生产高达1.2 mtpy的硝酸盐,并使用高达665.7 L/s的新水权。这一能力的增加是通过在Nueva Victoria COM的34.9公顷面积上增加新的碘化物生产模块和新的支持设施实现的。
Nueva Victoria(包括Iris Operation)目前的碘总产能为13ktpy,这为SQM提供了根据市场情况(碘价)调整生产的灵活性。2019年加工卡利切42.20mt,平均碘品位为465ppm碘,从中产生了10.7kt的颗粒状碘。就2023年而言,开采的caliche的平均碘品位为398ppm碘,43.45mt的caliche加工产生12.2kt的颗粒碘(11.4kt来自Nueva Victoria,0.8kt来自PB)。2024年caliche平均碘品位408ppm,加工45.45mt caliche,生产11.4t Iodine Prill。

SQM TRS Nueva Victoria
帕格。169


表14-6 介绍了包括Iris在内的Nueva Victoria 2024年碘和硝酸盐产量的概要。
表14-6包括虹膜在内的Nueva Victoria 2024年碘和硝酸盐汇总
碘平衡NV 单位 2024年总计
Caliche加工 公吨 45.45
Caliche硝酸级 % 5.0%
Caliche碘级 ppm 408
碘堆产量 % 66%
盐水送厂
公里3
17,789
专注度 GPL 69.00
碘化物生产 11,596
碘厂产量 % 98.3%
生产的碘 kt 11.4
碘化物工厂产量 % 96%
碘化物全球产量 % 62%
虹膜碘生产 单位 2024年总计
富碘盐水喂给碘化物工厂
m3
0
碘化物到Nueva Victoria碘厂 0.00
碘化物工厂产量 % —%
从碘化虹膜中提取有纹碘的平均产量 98%
全球碘产量虹膜 —%
生产的碘 0.00
硝酸盐平衡NV 单位 2024年总计
AFA派往Sur Viejo蒸发池
毫米3
8,945,214
AFA中的硝酸盐被送往Sur Viejo蒸发池
吨NaNO3
1,112,460
AFA中的硝酸盐浓度送至Sur Viejo蒸发池 g/l(ppt) 125
纳诺3等级
% 50%
NaNO产量3来自Sur Viejo蒸发池
56.86%
表14-7 显示了2024-2019年的产量数据:
表14-7 Nueva Victoria 2019年至2024年生产数据。
Nueva Victoria(包括Iris) 2024 2023 2022 2021 2020 2019
Caliche矿开采质量(公吨) 49,169 43,450 45,400 41,428 43,420 42,196
Caliche矿石中碘品位(ppm) 416 398 430 441 452 465
生产的碘质量(KT) 11.6 12.2 12.4 8.7 10.6 10.7

14.2.4.产量估算
近年来,还进行了投资,以从潘帕赫莫萨环境研究批准的两个水源增加Nueva Victoria业务的供水能力,并扩大太阳能蒸发池容量,实施新的采矿和溶液收集区域。
SQM TRS Nueva Victoria
帕格。170


由于Pampa Hermosa项目,要增加硝酸盐产量,就必须将Sur Viejo工业区并入。这一板块,太阳能蒸发池将扩大,将有2种池子:
预浓缩池塘:四个坑(500x250m,深度3.2m)和13个塘(500x250m,深度2.2m),总容积517.5万m3.
生产池塘:面积1,645,000 m2;3,290,000 m3,47个池塘(140 x 250米,深度2米),总容积329万米3.
此外,将在已有的基础上再建造两座中和工厂;将建造一座硝酸盐生产工厂(达到1.2mtpy硝酸钠和/或硝酸钾的总产能),并建立新的盐储存区(最终产品、富含硝酸盐的盐、废弃的盐和中和工艺残渣)。这些设施将涉及总面积1328公顷。
就未来而言,Nueva Victoria,以及Iris的采矿(见第13.2节,看表13-3)和产业规划,其经济分析将在后面的第19章(见表19-1)考虑到2026年Caliche的提取速度为54Mtpy,并估计碘和硝酸盐产量将增加。预计增长是连续的,预计在2025-2030年期间将达到13.9ktpy,到2031-2040年的碘产量将达到11.62ktpy。
表14-8表明要实现承诺生产需要将用水量提高到0.50米32027-2040年/吨;2025-2030年生产碘的产率工艺平均为74.6%,2031-2040年为68.8%,2025-2030年生产硝酸盐的产率工艺平均为39.5%,2031-2040年为32%。
各年度的指示产量值已使用经验产量比作为可溶性盐含量、硝酸盐等级和单耗的函数进行计算。
表14-8 Nueva Victoria加工厂生产汇总。
参数 2025 2026 2027 2028 2029 2030 2031-2040 合计
Caliche矿石加工质量(公吨) 48 54 54 54 54 54 540 858
耗水量(m3/吨Caliche)
0.40 0.42 0.50 0.50 0.50 0.50 0.50 0.47
矿石品位(ppm,I2)
362 362 357 351 343 338 313 327
矿石品位(硝酸盐%) 5.6% 5.6% 5.6% 5.5% 5.5% 5.4% 4.6% 4.9%
可溶性盐类,% 60.2% 67.4% 66.1% 67.7% 66.0% 68.0% 65.7% 65.8%
生产碘的产量过程,% 66.0% 67.0% 74.9% 74.7% 74.3% 73.8% 68.8% 70.0%
生产硝酸盐的产量过程,% 40.0% 40.0% 40.0% 40.0% 39.0% 38.0% 32.0% 35.1%
产生的波纹碘(kt) 11.5 13.1 14.4 14.2 13.7 13.5 116.2 196.6
化肥用硝酸盐(kT) 1,075 1,210 1,198 1,185 1,157 1,122 7,892 14,839
14.3流程要求
本子部分包含与项目对能源、水、工艺材料和人员的预计需求相关的前瞻性信息。可能导致实际结果与前瞻性信息中的结论、估计、设计、预测或预测存在重大差异的重大因素包括与本小节中阐述的一个或多个重大因素或假设的任何重大差异,包括从历史操作中产生不同结果的实际工厂要求。

SQM TRS Nueva Victoria
帕格。171


图14-9。 展示了Nueva Victoria的工艺图,其中包含了TEA项目,给出了整体的生产过程平衡。需要注意的是,输入数量将取决于caliche化学特性,以及碘化物装置的运行(无论是在SX还是井喷模式下运行),但不会超过图表中所示的那些。
图14-9。随着TEA延期的实施,预计Nueva Victoria的水和试剂消费量
image_156.jpg
显示的平衡情景对应的是用23ktpy的碘粒生产处理65mtpy的caliche的情况。
TEA项目中考虑的基础设施扩建计划将满足未来的能源和水需求。这包括将在矿山运营中心、供水中心、Nueva Victoria矿区以及Sur Viejo工业区使用新变压器连接到电力装置的输电线路。
以下章节详细介绍能源、水、工作人员、工艺投入消耗。
SQM TRS Nueva Victoria
帕格。172


14.3.1能源和燃料要求
电力和能源
电力供应来自永久的电力线路到现场。其职能是向工业区供电以开展作业,并向加成系统供电,具体是通过已安装的变电站。该设施设有控制入口和配电中心。这个中心有运行、实验室、厂房的启动电源。
新维多利亚有一个变电站,有两个配电系统。一个系统容量为50兆瓦,另一个系统容量为60兆瓦。与Nueva Victoria 50 MW线路相关,SQM申报的2024年耗电量为38,582,894千瓦时(kWh),而对于Nueva Victoria 60 MW线路,能耗为107,328,061 kWh。
就所消耗的电力而言,考虑到365天和24小时的日历年,所示能量值转化为可用50兆瓦电力线的消耗为4.4兆瓦,可用60兆瓦电力线的消耗为12.3兆瓦。因此,2024年的电力消耗约为16.70兆瓦。
目前,NV有一个辅助发电系统,支持NV和TEA碘化物和碘厂的1600KVA。
燃料
该操作需要22,126 m3/y的柴油和581吨/年的燃料油。燃料由正式授权的燃料卡车提供。

14.3.2供水和用水

供水系统
基本消费、饮用水消费(经处理后可装在桶中,由外部供应商配发)和工业质量工作都需要供水。据报道,整个区域由位于新维多利亚的工业供水中心供应。
对于工业供水,将以平均711.6 L/s的速度从Salar de Sur Viejo、Salar de Llamara和Pampa del Tamarugal的井田中抽取地下水。
SQM有:
Sur Viejo 4口井,消费权总计107L/s。
Iris的5口井,消费权总计64.5 L/s。
Salar de Llamara 7口井,消费权总计244.7L/s。
Soronal 7口井,消费权总计168.3L/s。
4个集水区,位于Salar de Bellavista井以东,消耗权总计127.1 L/s。
SQM预计在其水权中增加以下水资源供应能力:
从位于Salar de Llamara的TC-10井抽取地下水。
通过在Quebrada Amarga授予的最高60 L/s的永久和连续地表消耗权利提取地表水。




SQM TRS Nueva Victoria
帕格。173


此外,在2024年期间,NV平均每年有24.2 L/s的外部供水用于浸出工艺。
工业输水管道将地下水池塘连接到新维多利亚的采矿和工业区。对于水的提取、抽水和运输,有一个管道、泵站和电力线路的网络,允许提取所需的工业水,并将其运输和再分配到需要的不同点。
水供应给现有工艺储水罐。原水用于所有需要低溶解固体和盐分清水的用途,主要用于试剂补充。
原水在反渗透系统中处理;其基础设施包括用于储水(工业或饮用水)的水箱。饮用水储水罐还供应用水,用于:
8711.6 L/s(智利监管机构Direcci ó n General de Aguas(DGA)批准
安全淋浴器和其他类似应用:
消防– Nueva Victoria、Iris和Sur Viejo COMS大楼配备了用于消防的储水罐,可提供消火栓和喷淋系统。
冷却水。
蒸汽生成锅炉。
此外,TEA项目考虑采用海水供应系统(900L/s设计流量)补充工业过程供水。海水将从帕蒂略斯港海岸抽取,该地位于Nueva Victoria Property西北58公里处,位于伊基克市SSW 55公里处。这些海水将储存在Nueva Victoria的接待池中。
用水量
表14-9汇总2020、2021、2022、2023和2024年按部门划分的SQM用于工业供水的地下水抽水率。
表14-9工业供水抽取地下水的历史速率
年份 Sur Viejo(L/s) Llamara(L/s) 虹膜(L/s) 索罗纳尔(L/s) Pampa Tamarugal(L/s) 合计(L/s)
2020 104.7 225.5 61 126.9 117.2 635.3
2021 106.5 221.5 61.3 129 120 638.3
2022 103.1 203.9 60.4 126.1 122.8 616.3
2023 101.9 226.2 59.6 118.6 110.9 617.2
2024 103.1 230.6 59.2 112 124.3 629.2
饮用水将被要求覆盖所有工人的消费和卫生需求。饮用水供应考虑的使用率为100升/人/天,其中2升/人/天对应的是工作台面和食堂的饮用水。商业瓶装水将提供给工作人员。卫生用水将由位于营地和办公区的储存罐供应,储存罐将配备氯化系统。每月共需719名工人,综合考虑Nueva Victoria和Iris业务,因此饮用水总量将为72 m3/日(0.83L/s)。
SQM TRS Nueva Victoria
帕格。174


表14-10提供了2024年按饮用水和工业用水分列的估计年度需水量细目。堆浸工艺对应最大需水量。
表14-10 Nueva Victoria工业和饮用水消费量
过程 年投放量(m丨/年) 等效利率(L/s)
工业用水
堆浸 17,691,696 561
Puquios回注 1,264,329 40
我的 158,112 5
碘化物-碘植物 255,397 8
中和厂
太阳能蒸发池 423,774 13
营地 63,246 2
工业用水合计 19,856,554 629
饮用水 26,207 0.83
图14-10介绍了Nueva Victoria在2008 – 2024年期间堆浸作业的历史耗水量。2024年堆浸的工业用水量为561 L/s。
图14-10。Nueva Victoria堆浸作业自有水井消耗工业用水的历史速率(L/s)
chart-ebb71631cbd64e65b10.jpg
未来工艺用水要求
未来工艺用水需求,由于TEA项目纳入,将通过增加900L/s的海水供应系统来覆盖。这一海水供应系统从位于Patillos湾的一个取水口延伸至距离海滩线25米和852米的深度,一直延伸到位于Nueva Victoria的海水系统终端站的海水储存池。
SQM TRS Nueva Victoria
帕格。175


该系统将于2026年开始实施,容量为900L/s。
14.3.3人员配置要求
新维多利亚运营期间估计需要1276名工人,表14-11总结当前的劳动力需求。
表14-11按业务活动需要的人员
业务活动 现任人事,Nueva Victoria Operations
卡利切矿业 612
浸出过程 234
维护(矿山-工厂-SEP) 137
碘化物生产 72
碘生产 101
中和系统 2
蒸发系统-运营 118
合计 1,276

14.3.4加工厂耗材
将硫、氯、石蜡、氢氧化钠或硫酸等原料添加到工厂中,生产出浓缩的碘化物溶液,然后用于制碘。这些物资从全国各地用卡车运输。与5号干线衔接的A-412是投入供应和原材料发运所需车流的主要通道。
试剂用量汇总
表14-12汇总了Nueva Victoria运营所需的主要年度材料到11kt碘颗粒的名义生产速度。该表还包括TEA项目未来扩展的总需求。值得注意的是,部分投入品可以用替代化合物替代;例如,硫可以用液体二氧化硫替代,煤油可以用氢氧化钠替代,最后,石灰可以用碳酸钠替代。
需要注意的是,通过植物处理的历史运营数据研究了消费因素的范围。范围是根据处理后的资源中获得的卤水的不同品质而建立的。这些因素允许预测试剂和工艺投入的需求,包括年度、短期和长期规划。

SQM TRS Nueva Victoria
帕格。176


表14-12工艺试剂及每年消耗率,NV
试剂和耗材 功能或过程区 单位 Consumption of Nueva Victoria(11 kton碘粒) 含茶消费(23kton碘粒)
次氯酸钠 海水管道吸入中添加次氯酸钠溶液。 TPY 29 60
碘化物和碘消费量 TPY 2,228 4,659
23,102 48,305
硝酸铵 爆破必备 TPY 13,860 22,000
硫酸 碘化物工厂 TPY 16,652 34,464
硫磺 碘化物和碘植物 TPY 9,058 24,699
825 2,990
液体二氧化硫 用作固体硫磺的替代品 TPY 23,626 49,399
2,860 5,980
煤油 在碘化物工厂作为溶剂 TPY 6,007 12,062
氢氧化钠 在碘厂和碘化剂厂作为煤油替代品 TPY 1,935 34,464
166 690
氯气 向碘厂供应氯气作为氧化剂 TPY 2,563 5,360
致碘化物植物 TPY 247 517
过滤辅助 用于碘化和碘化植物的α纤维素粉末 TPY 72 150
TPY 43 90
氯化钠 碘化物工厂 TPY 613 1,281
TPY 6,353 13,284
双氧水 碘植物作为氧化剂 TPY 2,136 5,520
活性炭 在碘厂 TPY 52 117
磺酸 在碘厂 TPY 72 150
焦亚硫酸钠 碘厂 TPY 132 276
石灰(75%曹) 中和厂 TPY 7,979 19,000
TPY 2,391 5,000
石灰(95%曹) TPY 2,674 2,500
碳酸钠 石灰替代中和厂 TPY 17,217 36,000
TPY 16,483 34,464
其他
燃料油 碘厂 TPY 399 1,817
包装 个人电脑/月 15,105 31,584
聚乙烯袋 包装 个人电脑/月 17,948 37,527
Krealon包袋 包装 个人电脑/月 16,452 34,399
马克西包袋 包装 个人电脑/月 414 865

SQM TRS Nueva Victoria
帕格。177


表14-13与硝酸盐装置(计划)的工艺试剂及每年消耗速率。
试剂和耗材 单位 消费
氯化钾 TPY 924,000
钾盐 3,314,000
燃料油 33,500
柴油 31,500
试剂处理和储存
为了运作,所使用的投入储存在库存和储罐中,这是称为投入接收和储存区的区域内可用的设施。为了存储Nueva Victoria工厂使用的投入,使用了以下基础设施:
硫磺储存设施。
煤油罐。
硫酸罐。
过氧化物罐。
氯气罐(移动)。
Bunker油罐。
柴油油箱。
磺酸酸罐。
就Iris碘厂使用的投入品而言,储存设施包括:
硫磺储存设施。
硫酸罐。
柴油油箱。
烧碱罐。
碳酸钙仓。
每个试剂储存系统组件根据相容性进行分离,并位于受限制的安全壳区域内,以防止溢出扩散和不相容试剂混合。设置了排污池和泵槽,用于溢漏控制。
14.3.5空气供应
600-700kPA的高压空气由压缩机就地生产,既满足厂房要求,也满足设备要求。高压空气供应通过位于整个工厂的空气接收器进行干燥和分配。每个加工厂都有一个压缩机房,为压缩机供气。
14.4合资格人士的意见
据负责冶金和资源处理的QP Gino Slanzi Guerra:
到2023年的预计生产计划中计划处理的资源的冶金测试数据表明,回收方法是充分的。过去几年进行的实验室、工作台和中试工厂规模试验计划确定了原料合理适合生产,并证明了它是
SQM TRS Nueva Victoria
帕格。178


使用工厂建立的分离和回收方法生产碘盐和硝酸盐在技术上是可能的。基于这一分析,最合适的工艺路线,基于测试结果和对材料的进一步经济分析,是选择的单元操作,否则对行业来说是典型的。
此外,历史工艺性能数据证明了基于矿物学含量的采收率估算模型的可靠性。试剂预测和投药将基于确定矿物品位、有价值元素含量和杂质含量的分析过程,以确保系统处理要求有效。尽管已知有害元素和加工因素会影响运营和产品,但该公司已纳入专有方法对其进行适当控制和消除。这些都得到了其专业人员的高水平专业知识的支持,这一点已在所访问的不同站点得到验证。
从试验中获得的待处理矿物的矿物学、化学、物理和粒度表征结果,允许在项目的初始概念阶段或在已经确定的过程中对加工路线进行持续评估,以确保该过程有效和有效,和/或根据资源性质审查最佳替代品以回收有价值的元素。此外,分析方法确定有害元素,在操作中建立机制,使这些可以保持在限值以下,以确保一定的产品质量。
SQM TRS Nueva Victoria
帕格。179


15项目基础设施
本节包含与构成项目基础设施的设施的位置和设计相关的前瞻性信息。可能导致实际结果与前瞻性信息中的结论、估计、设计、预测或预测存在重大差异的重大因素包括与本小节中提出的一个或多个重大因素或假设的任何重大差异,包括项目开发计划和时间表、具有所描述特征的可用路线和设施场地、设施设计标准、准入和批准时间。对新维多利亚省基础设施的分析是在考虑当前设施和与未来项目相关的要求的情况下制定的。本节介绍现有设施和计划的扩建项目。
SQM在Iquique省和Tamarugal省的Tarapac á地区、Nueva Victoria和Iris的采矿地点位于Iquique省和Tamarugal省的Tarapac á地区,Iquique和Pozo Almonte公社,在Nueva Victoria的情况下分别位于Iquque东南约145公里和Pozo Almonte以南约85公里,在Iris的情况下则位于Iquque东南120公里,靠近Iris办公室(图15-1).这些工程整体涉及面积约92.998公顷,包括TEA项目。地理参考位置为7,682,276 N,431,488E,平均海拔891 masl。
2002年底,为了恢复Nueva Victoria East的采矿业务,SQM在Nueva Victoria East重新建立了采矿业务。Nueva Victoria的矿物通过卡车运送到堆浸设施,在那里生产碘。这个站点由位于Nueva Victoria、Sur Viejo和Iris对应的三个区的设施组成。
图15-2显示了新维多利亚的地理位置。作为参考,它还显示了属于SQM的其他站点(Coya Sur、Salar de Atacama和Salar del Carmen),以及用于分销其产品的设施(托科皮拉港、安托法加斯塔港和伊基克港)。
从caliche,这个站点通过堆浸和蒸发池产生富含碘和硝酸盐的盐。生产硝酸盐和碘所需的主要原材料是卡利切矿物,这是从SQM的露天矿中获得的。目前开采的区域位于Nueva Victoria西北约35公里处。
从caliche中提取碘是一个成熟的过程,但处理过的矿物的碘和其他化学成分含量以及其他操作参数的变化需要高水平的技术专长才能有效管理。
智利北部的Caliche矿藏蕴藏着一种世界闻名的独特的硝酸盐和碘矿藏,是世界上最大的天然硝酸盐商业开采来源。从这些caliche矿藏中,生产出种类繁多的硝酸酯基产品,用作特种植物营养素和工业应用以及碘和碘衍生物。
SQM TRS Nueva Victoria
帕格。180


图15-1。新维多利亚的一般位置
image_158.jpg
SQM TRS Nueva Victoria
帕格。181


图15-2。Nueva Victoria生产区位置
image_159.jpg
碘及其衍生物广泛应用于医疗、制药、农业和工业领域,包括X射线造影剂、液晶显示器(LCD/LED)屏幕用偏光膜、防腐剂、杀菌剂和消毒剂,以及医药合成、电子、颜料和染料组件。
Nueva Victoria工厂的caliche矿物浸出产生的溶液被用于从其中所含的碘酸盐中生产碘。在Nueva Victoria、Pedro de Valdivia和Iris的工厂中,使用溶剂萃取法从碘化物形式的水溶液和浓缩溶液中提取碘。有关工艺设施以及碘和硝酸盐提取的详细信息,请参见 14.
波纹碘用于质量控制目的,使用其执行的国际标准程序进行测试,然后包装在20-50公斤的桶或350-700公斤的马克西袋中,并通过卡车运输到Antofagasta、Mejillones或Iquique出口。
图15-3展示了Nueva Victoria的工艺图。

SQM TRS Nueva Victoria
帕格。182


图15-3。Nueva Victoria工厂工艺图
image_160.jpg
SQM S.A.截至2022年12月31日的采矿业务与Caliche矿产资源相关的采矿特许权下的表面积约为558,562公顷(图15-4).
图15-4。Nueva Victoria网站资源图解
image_161.jpg
2010年9月,国家环境委员会(现为环境评估处)批准了Pampa Hermosa在智利Tarapac á地区的环境研究(RCA N ° 890/2010)。
此次批准允许SQM在Nueva Victoria拥有每年1.1万吨碘的生产能力,并可生产高达1.2吨的硝酸盐,每年提取高达37吨的caliche,并使用高达665.7 L/s的新水权。
SQM TRS Nueva Victoria
帕格。183


在Iris,SQM已批准每年生产2,000吨碘,每年的caliche提取量高达6.48公吨。近年来,SQM已投资从Pampa Hermosa环境研究批准的两个水源中增加Nueva Victoria业务的水容量,并扩大太阳能蒸发池的容量,并实施新的矿区和溶液收集。
2011年和2013年,SQM在Nueva Victoria完成了碘厂产能扩张。
2014年,SQM对Nueva Victoria的硝酸盐和碘的新采矿部门开发和增产进行了投资,在该地点实现了约8500吨/年碘的生产能力(包括Iris设施)。
2015年11月,Pedro de Valdivia的采矿和硝酸盐作业暂停,该地点的碘产量减少,以利用Nueva Victoria更高效的生产设施。Pampa Blanca于2010年暂停运营,Maria Elena于2013年10月暂停运营。
2017年期间,Nueva Victoria的碘产能增至约10,000吨/年。
目前,Nueva Victoria在约48000公顷的区域内拥有约13,000公吨的碘产能和每年1,000,000公吨的硝酸盐。
目前碘生产厂(Nueva Victoria、Iris、Pedro de Valdivia)的总有效产能约为14,800吨/年。
2024年的碘总产量为13,100吨;来自Nueva Victoria的11,400吨(有装载fronts TEA和NV Norte),来自Pedro de Valdivia的1,700吨。Nueva Victoria还配备了从其他工厂交付的碘化物生产碘的设备。有根据市场情况调整生产的灵活性。
生产的一些碘被用于在位于智利圣地亚哥附近的设施中制造无机碘衍生物,这是一种用于营养和农业应用的中间产品,并与采购碘的公司Ajay合作生产有机和无机碘衍生物。碘衍生产品主要在南美、非洲、亚洲市场销售,Ajay及其附属公司的碘衍生物主要在北美和欧洲市场销售。
2020年期间,在TEA项目开发和环境处理方面取得了进展。2021年11月,SQM的TEA项目获得塔拉帕卡州环境评估委员会的有利分类。
该项目涉及投资3.5亿美元,旨在纳入Nueva Victoria矿生产碘化物、碘和富含硝酸盐的盐的新矿区,这将增加待提取的caliche总量以及这些工艺的海水使用量。
该项目包括修改Nueva Victoria矿,其中包括:
a)新矿区(436公里2),以28mtpy的caliche提取率,导致总共65mtpy。
b)两座新的碘化物生产工厂(每座6000吨/年),总计23000吨/年,其中一座5000吨/年的工厂已在运营。
c)1座新的碘生产工厂(1.2万吨/年),总计2.3万吨/年,暂未投产。
d)新建蒸发池,生产富硝酸盐的盐(1950000吨/年),总计4,000,000吨/年。
e)新的可运营灌溉中心和应覆盖新矿区的配管解决方案正在建设中。
f)正在建设中的新货车车间及道路、赌场、办公室、控制室等配套基础设施。
g)一个新的中和系统,一个从Patillos Bay区到矿区的海水输送(最大900 L/s),正在建设中。
SQM TRS Nueva Victoria
帕格。184


15.1进入生产、储存和端口装载区
车辆通行的主要通道将通过一条私人既有道路和A-760路线。这条私家公路将从5号公路进入。可从A-750路线或从5路线进入A-760路线。
此外,TEA项目还考虑了两条服务道路——一条连接西北地区(矿区)和沿海地区的道路,那里是海水吸入工程所在的地方;一条内部道路,将由南向北延伸,与电力传输线路平行。
SQM的产品和原材料由卡车运输,卡车由第三方根据长期、专用合同运营。
碘原料,从用于硝酸盐生产的同一卡利什获得,加工、包装并专门储存在Nueva Victoria和Pedro de Valdivia设施中。
碘是用FIBC桶和最大袋包装的,里面有一个内层的聚乙烯袋和氧气屏障。运输时,它被整合在集装箱中,用卡车送到适合装卸的港口码头,主要在安托法加斯塔、梅希隆内斯和伊基克。
然后用集装箱船将它们运往不同的市场,或者用卡车运往圣地亚哥,在那里Ajay-SQM智利的工厂生产碘衍生物。
在Nueva Victoria,生产硝酸盐原料用于生产Coya Sur的硝酸钾,该工厂也归SQM所有,位于Nueva Victoria西南161公里处,道路通行。
15.2生产区和基础设施
Nueva Victoria产区的主要设施如下:
卡利切提取矿。
工业供水。
浸出。
碘化物植物NV。
Iodine and Prilling Plant NV。
蒸发池。
碘虹膜植物。
营地和办公室。
生活垃圾处理场。
危险废品场。
无害化工业废料场。
图15-5描绘了Nueva Victoria的站点布局。

SQM TRS Nueva Victoria
帕格。185


图15-5。Nueva Victoria网站布局
image_162.jpg
以下将更详细地描述Nueva Victoria矿区和工艺设施。
15.2.1.Caliche矿区
Caliche矿石在Nueva Victoria和Iris进行爆破和挖掘。SQM将开采的caliche矿石最小厚度为1.5米。矿藏采用25x25m网格模式开采。
Nueva Victoria获准开采的地表面积为844 km ²。
随着TEA扩建的纳入,Nueva Victoria的整体开采率为65.0公吨。
15.2.2堆浸
堆浸:平台(通常为90x500m),周边有栏杆,底部防水有HDPE膜),装载所需的caliche(400-1000mton之间),用不同溶液(工业水、工业水+ BF混合物或中间溶液)灌溉。
矿山运营中心(COM)代表一套堆浸设施,具有盐水积水池(贫溶液、中间溶液、富溶液)、再循环盐水池、工业水塘及其各自的泵送和脉冲系统。
辅助基础设施包括面向工人的一般服务设施。
SQM TRS Nueva Victoria
帕格。186


15.2.3碘化物植物
Nueva Victoria碘化物工厂的碘化物产量总计11 ktpy。随着TEA的扩大,Nueva Victoria碘化物的合并产量将达到23 ktpy。
碘化物工厂的基础设施包括以下方面:
储水池以容纳从堆浸作业中接收到的卤水。
所以2发电单元。
吸收塔及其各自的拾取罐。
SX单位。
剥离系统。
气体洗涤系统。
BF储水池,配有各自的泵。
15.2.4碘厂
Nueva Victoria的碘厂从Nueva Victoria的碘厂接收碘化物。Nueva Victoria碘厂目前的产能为11 ktpy。这一增长至23 ktpy white the TEA expansion。
碘厂的基础设施包括以下内容:
碘化物储存池(浓缩、过滤、调理)。
过滤器(perrin,或双相板)。
碘化物调理用活性碳塔。
氧化剂。
反应器(用于熔炼、精炼和打粒阶段)。
有刺的塔。
Prill分级筛分系统。
气体洗涤系统。
锅炉房。
仓库进行包装、暂存(产品待审批)。
具有产品存储的机架系统的调度仓库。
15.2.5Nueva Victoria的辅助基础设施
以下设施可用于储存碘化物和碘化物工厂使用的消耗品:
用于生成二氧化硫的硫磺库存。
煤油罐。
硫酸罐。
SQM TRS Nueva Victoria
帕格。187


双氧水储罐。
氯气移动式储存罐。
储油罐。
柴油储罐。
磺酸储罐。
新维多利亚号还配备了以下系统和基础设施:
消防供水系统。
储水罐及其各自的泵和管道系统分布在整个工厂安装中。
反渗透系统,包括储水罐(工业或饮用水)。
发电机房。
压缩机室。
控制室。
办公楼。
与中间工艺解决方案一起使用的池塘。
设备维修车间。
物料及更换零件堆场。
电气控制室。
15.2.6蒸发池
该设施位于Sur Viejo的工业区,在距离Nueva Victoria的碘化物工厂20公里处接收AFA管道。
目前Nueva Victoria的高硝酸盐产量为2.05mtpy。随着TEA的扩张,预计这将增加到总计4公吨。
目前的设施占地面积为8.34 km ²,这将随着TEA扩建而增加到总计18.51 km ²。
蒸发池设施包括以下基础设施:
中和厂提高进水AFA酸碱度。
太阳能蒸发池。
辅助设施。
图15-6提供Sur Viejo蒸发池设施的鸟瞰图。

SQM TRS Nueva Victoria
帕格。188


图15-6。Sur Viejo工业区蒸发池概况
image_163.jpg
15.2.7中和厂
AFA通过与氢氧化钙浆料混合而中和。中和发生在排放到允许悬浮中的固体(例如石膏)沉降的池塘中的混合池中。
15.2.8太阳能蒸发池
太阳能蒸发池分为预浓缩水池、生产水池和净化水池。图15-7展示了部分太阳能蒸发池的全景。

SQM TRS Nueva Victoria
帕格。189


图15-7。Sur Viejo太阳能蒸发池概况
image_164.jpg
在预浓缩池中,丢弃盐沉淀,将其收获并放置在具有防水底座的丢弃盐堆中,以回收挤压或浸渍后的溶液。生产池中富硝酸盐沉淀物在产品池中收获和储存。
这些富含硝酸盐的盐通过卡车运往SQM在安托法加斯塔地区的设施
15.2.9辅助设施
其中包括办公室、浴室、更衣室和为在那里工作的人员提供的自助餐厅、反渗透工厂和污水处理厂(TAS)。
15.2.10虹膜碘厂
位于Iris COM,包括以下基础设施:
碘化物工厂
辅助安装
碘厂
图15-8展示了虹膜碘厂的鸟瞰图。

SQM TRS Nueva Victoria
帕格。190


图15-8。虹膜碘植物区概况
image_165.jpg
在Iris工厂生产碘,涵盖接收原材料到生产碘颗粒作为最终产品。
碘厂包括的主要设备和基础设施有:
所以2发电炉
加碘吸收塔,每个塔都有各自的TK拾取、冷却器和TK密封
来自加碘塔的碘接收TK
带有各自TK密封的洗涤器或气体洗涤器
初级切割的TK
井喷模块,由吸收塔、解吸塔和NaOH TK组成
浓缩碘化物TK
用于井喷模块的卤水feble池丢弃解决方案,与各自的泵
结晶器(二次切割)
反应器(用于冶炼、精炼和打粒阶段)
Prilling塔
烘干机和筛子
锅炉房。
SQM TRS Nueva Victoria
帕格。191


包装和装运设施包括。
辅助设施
AT Iris碘厂的储存设施包括:
硫磺堆场
硫酸罐
柴油油箱
烧碱罐
该工厂周围的其他基础设施包括:
渗透植物和储水池
TAS工厂(污水处理)
发电机房
压缩机
控制室
行政办公室
与中间工艺解决方案一起使用的池塘
维修车间
营地和办公室
在Nueva Victoria和Iris的工业部门,可提供以下附属设施:
一般办公设施
办事处
培训室
自助餐厅
营地
仓库
生活垃圾处理场
危险废物堆场和
无害工业废料场
15.3通讯
这些设施通过卫星链路或由外部供应商提供的光纤提供电话、互联网和电视服务。
运营人员的通信是通过相同频率的通信无线电。
SQM TRS Nueva Victoria
帕格。192


与控制系统、CCTV、内部电话、能源、数据监控的通信,都是通过自己的光纤,将过程工厂和控制室连接起来。
信息系统和IT
除上述设施外,SQM还运营多个计算机和信息系统,将其主要子公司与智利和世界其他地区的运营和行政设施连接起来。IT和信息系统主要用于财务、会计、人力资源、供应和库存跟踪、开票、质量控制、研究活动,以及生产和维护过程控制。主机计算机系统设在圣地亚哥办事处,智利和国际子公司通过数据链路相互连接。
15.4供水
Nueva Victoria工厂的水是从生产设施附近的地下水池中获得的。目前,新的环评TEA认为来自渡槽的海水将由SQM建造。
对于工业供水,在Salar de Sur Viejo、Pampa del Tamarugal和Salar de Llamara有地下水提取池,其水权已获批准,如表15-1:
表15-1。批准的水权,按部门
Ponds位置区域 核准水权(l/s)
南比耶霍撒拉尔 107
Pampa del Tamarugal 359.9
拉马拉萨拉尔 244.7
合计 711.6
目前授权的工业用地下水开采量为711.6L/s,因海水输送(TEA项目)额外增加了900L/s,总计达到工业用1611.6L/s。
2022-2024年期间的平均取水记录(L/s)包含在表15-2
表15-2。按部门分列的平均水开采量
 池塘位置部门
水提取均值2022(l/s) 水提取均值2023(l/s) 取水量均值2024(l/s)
南比耶霍撒拉尔 103.10 101.9 103
Pampa del Tamarugal 309.30 289.1 295.5
拉马拉萨拉尔 203.90 226.20 230.6
合计 616.30 617.20 629
用管道、泵站、输电线组成的网络进行取水、抽水,输送到蓄水池,从那里到需要的不同点。平均用水量为561 l/s。
提取629 L/s与消耗561 L/s的差异,换言之,68 L/s(约合2144448 m φ/y)是在水池和/或池塘中积累的。
15.5水处理
2024年废水处理厂处理水量为63,072 m φ。
现场产生的采矿废料对应的是枯竭的堆浸、覆盖层、废盐。
SQM TRS Nueva Victoria
帕格。193


15.6电力供应
图15-9对应于Nueva Victoria Tap-Off,这是一座现有变电站,通过连接到国家输电线路Lagunas-San Sim ó n段的50兆伏安变压器为SQM现有设施供电。该变压器为Sur Viejo和Llamara变电站电路提供66千伏电压等级,并为生产工厂供电提供23千伏电压等级。

除Tap-off外,SQM正在现有Tap-off以北5公里处建设一座100兆伏安的变电站,该变电站将断开Lagunas-San Sim ó n 220千伏线路。新变电站考虑安装一台电压为66和23千伏的100兆伏安变压器,该变压器将为SQM的新海水项目提供能源,此外还将加强该公司在第一区域运营的能源矩阵。

图15-9。S/E Tap Off Nueva Victoria地理位置
image_166.jpg
SQM TRS Nueva Victoria
帕格。194


16市场研究
本节包含与项目的商品需求和价格相关的前瞻性信息。可能导致实际结果与前瞻性信息中的结论、估计、设计、预测或预测存在重大差异的重大因素包括与本节所述的一个或多个重大因素或假设的任何重大差异,包括现行经济状况、商品需求和价格与长期预测的相同。
16.1碘及其衍生物
16.1.1公司

碘和碘衍生物被广泛应用于医疗、农业和工业应用以及人类和动物营养产品中。它们主要应用于X射线造影剂、偏光膜和制药领域。
工业化学品在玻璃、炸药和陶瓷制造等某些化学工艺中有着广泛的应用。工业硝酸盐也被用于聚光太阳能发电厂,作为能源储存的手段。

碘及其衍生物: 我们相信,我们是世界领先的碘和碘衍生物生产商,这些产品广泛应用于医疗、制药、农业和工业领域,包括X射线造影剂、LCD和LED用偏光膜、防腐剂、杀菌剂和消毒剂,用于合成药品、电子产品、颜料和染料成分。

工业化学品:我们生产和销售三种工业化学品:硝酸钠、硝酸钾和氯化钾。硝酸钠主要用于生产玻璃、炸药、金属处理、金属回收和绝缘材料生产等用途。硝酸钾用于特种玻璃制造,也是生产陶瓷、搪瓷工业、金属处理和火工品用炉料的重要原料。太阳能盐是硝酸钾和硝酸钠的结合体,在集中式太阳能发电厂中被用作蓄热介质。氯化钾是一种用于生产氢氧化钾的基础化学品,除其他用途外,它还被用作石油钻探以及食品加工中的添加剂。

表16-1。SQM2024、2023和2022年收入百分比拆分
收入细分 2024 2023 2022
特种植物营养 21% 12% 11%
锂及衍生物 49% 69% 76%
碘及衍生物 21% 12% 7%
6% 4% 4%
工业化学品 2% 2% 2%
其他产品和服务 1% —% —%
合计 100% 100% 100%

16.1.2经营战略

碘及其衍生物

我们在碘业务上的策略是(i)鼓励需求增长并促进碘的新用途;(ii)根据客户的要求提供质量一致的产品;(iii)通过放置在每个主要地区的仓库与我们的客户建立本地和可信赖的关系;(iv)实现并保持足够的市场份额,以优化我们的成本和可用产能的使用;(v)通过Ajay-SQM集团(“ASG”)参与碘回收项目,与美国Ajay Chemicals Inc.(简称“Ajay”)的合资企业,通过改进工艺和提高生产力来降低生产成本,以更有效地竞争。
SQM TRS Nueva Victoria
帕格。195



工业 化学品

我们在工业化学品业务方面的策略是:(i)保持我们在工业硝酸盐市场的领导地位;(ii)鼓励不同应用领域的需求增长以及探索新的潜在应用;(iii)将自己定位为行业的长期、可靠供应商,与研发计划和工业举措保持密切关系;(iv)通过改进工艺和提高生产力来降低我们的生产成本,以便更有效地竞争;(v)根据客户的要求提供质量一致的产品。

16.1.3主要业务条线

16.1.3.1 碘及其衍生物

我们相信,我们是世界上最大的碘生产国。2024年,我们的碘及碘衍生物收入达9.683亿美元,占当年总收入的21.4%,较2023年的8.922亿美元有所增长。这一增长主要归因于销量高于2023年。2024年的平均碘价格比2023年低约2.3%。2024年,我们的销量增长了约11.1%。我们估计,我们的销售额在2024年约占全球碘销量的37%。
下表显示了我们在2024、2023和2022年的碘和碘衍生物的总销量和收入:
表16-2。2022-2024年碘和衍生物的数量和收入
销量
(千公吨)
2024 2023 2022
碘及衍生物 14.5 13.1 12.7
总收入
(百万美元)
968.3 892.2 754.3

16.1. 3.1.1市场

碘和碘衍生物被广泛用于医疗、农业和工业应用以及人类和动物营养产品。碘和碘衍生物在X射线造影剂、杀菌剂、防腐剂和消毒剂、医药中间体、LCD和LED屏幕用偏光膜、化学品、有机化合物和颜料等产品的配方中被用作原料或催化剂。碘还以碘酸钾或碘化钾的形式添加到食用盐中,以预防碘缺乏症。

X射线造影剂是碘的主导应用,约占需求的37%。碘的高原子序数和密度使其非常适合这种应用,因为它在体内的存在有助于增加具有相似X射线密度的组织、器官和血管之间的对比度。其他应用包括药品,我们认为占需求的13%;LCD和LED屏幕,13%;碘伏和聚维酮碘,6%;动物营养,7%;氟化物衍生物,6%;杀菌剂,5%;尼龙,3%;人类营养,3%和其他应用,7%。

2024年,我们的估计表明,与上一年相比,市场经历了大约7%的好转。这种扩张主要可以归因于影响各个行业的一系列关键因素。首先,更广泛的全球经济复苏导致今年的GDP好于预期,工业生产推动了公司投资,尤其是在印度和中国。此外,由于该行业主要参与者的显着扩张和强劲表现,对造影剂的需求已经加速,政府在医疗保健和新技术方面的支出发挥了关键作用。最后,虽然高价格减缓了某些行业的需求,例如碘酒和杀菌剂,但这些应用的下降幅度小于其他行业的增长,导致碘需求强劲。

相反,对X射线造影剂的需求成为碘市场增长的主要驱动力。这一增长主要是由于医疗保健支出增加、慢性病患病率增加导致
SQM TRS Nueva Victoria
帕格。196


诊断成像、CT手术量的增加、成像技术的进步和人口向老龄化的转变。诊断成像的使用越来越多,特别是在中国、欧洲和美国,显着提振了对碘造影剂的需求,抵消了其他行业出现的一些下降。

16.1. 3.1.2产品

我们在智利伊基克附近的Nueva Victoria工厂、Pedro de Valdivia工厂和我们最新增加的Pampa Blanca矿区生产碘,这两个矿区都位于智利Mar í a Elena附近。我们的碘总产能约为每年14,300公吨。

我们通过Ajay SQM Group(“ASG”)生产有机和无机碘衍生物。ASG成立于上世纪90年代中期,在美国、智利和法国设有生产工厂。ASG是全球领先的无机和有机碘衍生物生产商之一。

根据我们的碘业务战略,我们不断致力于开发以碘为基础的产品的新应用,追求业务的持续扩张并保持我们的市场领先地位。

我们按照国际质量标准生产我们的碘和碘衍生物,并根据ISO9001:2015计划对我们的碘设施和生产工艺进行了认证,为我们实施的质量管理体系和国际质量控制标准提供第三方认证。


16.1. 3.1.3营销与客户
2024年,我们在大约33个国家向131个客户销售我们的碘产品,我们的大部分销售是出口。两个客户分别占该分部销售额至少10%,占碘销售额约33%。最大的10家客户在此期间合计占销售额的约77%。另一方面,没有供应商单独集中至少10%的该业务线的销售成本。
下表显示了我们收入的地域细分:
表16-3。收入的地域细分:碘及其衍生物
收入细分 2024 2023 2022
北美洲 16% 14% 19%
欧洲 38% 41% 38%
智利 0% 0% 0%
中南美洲(不包括智利) 2% 2% 2%
亚洲及其他 43% 42% 41%

我们通过我们自己的全球代表处网络以及我们的销售、支持和分销附属公司销售碘酒。我们在世界各地的设施中保持碘库存,以便于及时交付给客户。碘销售是根据现货采购订单或在供应协议框架内进行的。供应协议一般会规定年度最低和最高采购承诺,价格会根据当时的市场价格定期调整。


16.1. 3.1.4竞争

全球主要的碘生产国位于智利、日本和美国。俄罗斯、土库曼斯坦、阿塞拜疆、印度尼西亚和中国也生产碘。

碘在智利是由一种被称为caliche矿石的独特矿物生产的,而在日本、美国、俄罗斯、土库曼斯坦、阿塞拜疆和印度尼西亚,生产商从主要获得的地下卤水中提取碘
SQM TRS Nueva Victoria
帕格。197


连同开采天然气和石油。回收的碘废物生产主要来自中国和日本。

5家智利公司占2024年全球碘总销量的约60%,其中SQM约占37%,其他4家生产商占剩余的23%。智利的其他生产商是由智利控股公司Inverraz S.A.控制的S.C.M. Cosayach(科萨亚赫);由智利Urruticoechea家族拥有的ACF Minera S.A.;由ACF Minera S.A.和丰田通商的合资企业Algorta Norte S.A.;以及由中国公司Tewoo拥有的Atacama Minerals。

我们估计,包括回收碘在内,8家日本碘生产商在2024年约占全球碘销量的23%。

我们估计,2024年美国的碘生产商占世界碘销量的近5%。碘回收在世界范围内是一个日益增长的趋势。几家生产商拥有回收设施,从碘废物流中回收碘和碘衍生物。

我们估计16%的碘供应来自于碘回收。通过ASG或单独的方式,我们也在积极参与使用欧美多种化学工艺的碘化侧流的碘回收业务。

碘及碘衍生物产品价格由市场行情决定。世界碘价格的变化取决于,除其他外,任何特定时间的供需关系。碘供应的差异主要取决于碘生产商(包括美国)的生产水平及其各自的业务战略。2024年,我们的年度平均碘销售价格与2023年相比略有下降,从2023年观察到的平均销售价格约为每公斤68美元,到2024年达到约每公斤67美元。

对碘的需求取决于经济活动的总体水平以及作为碘和碘衍生物产品主要用户的医疗、制药、工业和其他部门的需求水平。某些碘的替代品可用于某些应用,例如防腐剂和消毒剂,这可能是一种具有成本效益的碘替代品,具体取决于现行价格。

碘及碘衍生物产品销售的主要竞争因素是可靠性、价格、质量、客户服务以及替代品的价格和可得性。我们相信,由于我们的采矿储量的规模和质量以及可用的产能,与其他生产商相比,我们具有竞争优势。我们相信我们的碘与其他制造商在某些先进工业工艺中生产的碘具有竞争力。我们还相信,我们与最大客户建立的长期关系使我们在竞争中受益。


16.1.3.2 工业化学品
2024年,我们来自工业化学品的收入为7820万美元,约占当年总收入的1.7%,较2023年的1.752亿美元下降55.4%,原因是该业务线的销量增加,抵消了较低的销售价格。与去年报告的销量相比,2024年的销量下降了70.9%,而与2023年报告的平均价格相比,该业务线的平均价格在2024年期间增长了53.1%。
SQM TRS Nueva Victoria
帕格。198


下表显示了我们在2024年、2023年和2022年的工业化学品销量和总收入:
表16-4。2022-2024年工业化学品数量和收入
销量
(千公吨)
2024 2023 2022
工业化学品 52.6 180.4 147.0
总收入
(百万美元)
78.2 175.2 165.2

16.1. 3. 2.1市场

工业用硝酸钠和硝酸钾被广泛应用于工业领域,包括生产玻璃、陶瓷和炸药、金属回收、绝缘材料、金属处理、热太阳能和各种化学工艺。

我们还感受到了在与光热发电技术相关的储热解决方案中使用太阳能盐的日益增长的兴趣。由于其经过验证的性能,太阳能盐正在工业热过程和热废物解决方案中进行测试。这些新的应用可能会在不久的将来为太阳能盐的使用带来新的机会,比如改造燃煤电厂。

16.1. 3.2.2产品

我们生产和销售三种工业化学品:硝酸钠、硝酸钾和氯化钾。硝酸钠主要用于生产玻璃、炸药、金属处理、金属回收和生产绝缘材料、粘合剂等用途。硝酸钾用于特种玻璃制造,也是生产陶瓷、搪瓷工业、金属处理和火工品用炉料的重要原料。太阳能盐是硝酸钾和硝酸钠的结合体,在集中式太阳能发电厂中被用作蓄热介质。氯化钾是一种用于生产氢氧化钾的基础化学品,除其他用途外,它还被用作石油钻探和食品加工中的添加剂。

除了生产用于农业应用的硝酸钠和硝酸钾外,我们还生产不同等级的这些产品,包括用于工业应用的颗粒级产品。这些等级主要在化学纯度上有所不同。我们在生产工业级硝酸盐方面具有操作上的灵活性,因为它们与同等的农业级用相同的工艺生产,只需要额外的纯化步骤。我们可能会在有一定限制的情况下,根据市场情况将生产从一个等级转移到另一个等级。这种灵活性使我们能够最大限度地提高收益率并降低商业风险。除生产工业硝酸盐外,我们还生产、营销和销售工业级氯化钾。

16.1. 3. 2.3营销与客户
2024年,我们在53个国家销售我们的工业硝酸盐产品,约有274个客户。没有单一客户至少占该分部销售额的10%,10个最大客户合计约占该分部收入的27%。另一方面,没有供应商个别集中度低于该业务线销售成本的10%……我们向Corfo支付与销售Salar de Atacama生产的不同产品相关的租赁付款,包括碳酸锂、氢氧化锂和氯化钾。请参阅我们的合并财务报表附注22.2,了解在所有列报期间向Corfo支付的租赁付款的披露情况。
SQM TRS Nueva Victoria
帕格。199


下表显示了我们收入的地域细分:
表16-5。收入的地域细分:工业化学品
收入细分 2024 2023 2022
北美洲 56% 27% 36%
欧洲 24% 12% 17%
智利 1% 1% 1%
中南美洲(不包括智利) 10% 6% 7%
亚洲及其他 9% 54% 39%

我们的工业化学品产品主要通过我们自己的网络办事处、物流平台、代表和经销商进行营销。我们保持更新的库存我们的库存硝酸钠和硝酸钾,按分级分类,以方便迅速从我们的仓库发货。我们为客户提供支持,并不断与他们合作,以提高我们的服务和质量,同时为我们的产品开发新的产品和应用。

16.1. 3. 2.4竞争

我们相信,我们是世界上最大的工业硝酸钠和硝酸钾生产商之一。2024年,我们估计工业硝酸钾按体积计算的市场份额为32%,工业硝酸钠为29%(不包括中国和印度的国内需求)。

我们在硝酸钠方面的竞争对手主要以欧洲和亚洲为基地,生产硝酸钠作为其他生产工艺的副产品。在硝酸钠方面,德国企业BASF AG以及东欧和中国的几家生产商具有竞争力,因为它们生产工业硝酸钠作为副产品。我们的工业硝酸钠等级还与替代化学品进行间接竞争,包括碳酸钠、硫酸钠、硝酸钙和硝酸铵,它们可能用于某些应用,以取代硝酸钠,并可从全球大量生产商处获得。

我们在工业硝酸钾业务中的主要竞争对手是海发化学、Kemapco和一些中国生产商,我们估计它们在2024年的市场份额分别为18%、9%和15%。工业硝酸钠和工业硝酸钾生产商基于产品质量、交付可靠性、价格、客户服务等属性进行市场竞争。我们的运营以高质量和低成本提供这两种产品。

在工业氯化钾市场,我们是比较小的生产商,主要集中供应区域需求。

16.2专项计划营养


16.2.1公司

特种植物养分是提高作物产量和品质的优质肥料。我们的重点产品是硝酸钾,主要用于高价值作物的施肥。我们还作为商品肥料在全球范围内生产和销售氯化钾。此外,我们在全球范围内交易其他补充肥料,以使我们的产品多样化。

特种植物营养:我们提供三种主要类型的专用植物养分,用于施肥、直接土壤和叶面应用:硝酸钾、硝酸钠和专用混合物。我们还销售其他特种肥料,包括第三方产品。这些产品有固体或液体形式,主要用于水果、花卉和一些蔬菜等高价值作物上。它们被广泛应用于现代农业技术,如水培、大棚、施肥(肥料在灌溉前先溶于水)。

SQM TRS Nueva Victoria
帕格。200


特种植物养分提供了优于商品肥料的优势,例如吸收快、水溶性好、氯化物含量低。硝酸钾是一种关键产品,有结晶和颗粒形式,可用于各种应用。结晶硝酸钾适合施肥和叶面使用,而颗粒是直接施用土壤的理想选择。

我们以以下品牌销售我们的产品:Ultrasol®(施肥),QROP®(土壤施用),Speedfol®(叶面应用),以及Allganic®(有机农业)。

老练的客户现在寻求的是一体化的解决方案,而不是单一的产品。我们的产品包括定制的混合物和农艺服务,增强植物营养以获得更好的产量和质量。我们的产品源自天然硝酸盐化合物或盐水钾,具有有益的微量元素,提供优于合成肥料的优势。因此,与标准肥料相比,特殊营养素的价格要高得多。

钾:氯化钾是由从阿塔卡马盐沼提取的卤水生产的。这种商品肥料用于滋养各种作物,包括玉米、水稻、甘蔗、大豆、小麦等。

其他产品和服务:我们出售各种肥料和混合物,包括我们不生产的。我们是硝酸钾的最大生产商,硝酸钾、硫酸盐、氯化物的分销商。

16.2.2经营战略

特种植物营养

我们对特种植物营养业务的战略包括:
利用我们产品相对于商品肥料的优势。
扩大我们高利润的钾和天然硝酸根营养素的销售。
投资于互补性业务,以增强我们的产品组合,提高产量,降低成本,并增加营销价值。
在战略位置的搅拌站中开发新的养分混合物。
专注于可溶性和叶面应用确立领先地位的市场。
通过战略联盟加强全球分销和营销。
以改进工艺和提高劳动生产率降低生产成本。
根据客户要求提供始终如一的优质产品。


我们的钾业务战略包括:
灵活地根据需要提供结晶或颗粒产品。
瞄准具有物流优势的市场,并与我们的特色植物营养业务产生协同效应。
提供始终如一的质量以满足客户要求。

16.2.3主要业务条线

16.2. 3.1特种植物营养
2024年,特种植物营养素收入减少至9.419亿美元,占我们当年总收入的20.8%,较2023年特种植物营养素收入的9.139亿美元增长3.1%。2024年价格下降约11.9%。

据估计,我们是全球最大的硝酸钾生产商。按数量计算,我们的销售额约占2024年全球所有农业用途硝酸钾销售额的41%。

SQM TRS Nueva Victoria
帕格。201


表16-6。2022-2024年特种植物营养量和收入
销量
(千公吨)
2024 2023 2022
硝酸钠 12.5 16.7 14.4
硝酸钾和硝酸钾钠 534.0 443.5 477.4
特产混合 276.7 243.4 218.0
其他特色植物营养素 159.7 136.5 138.1
总收入
(百万美元)
941.9 913.9 1,172.3

16.2. 3.1.2市场

特种植物营养素服务于各种农业用途,包括为蔬菜和水果等高价值作物施肥。这些肥料必须是高度可溶性和无杂质的现代灌溉方法,如滴灌和微喷系统。硝酸钾因其无氯成分、高溶解度、适当的pH值和缺乏杂质而在这些营养物质中脱颖而出,使其能够比氯化钾和硫酸盐等替代品获得更高的价格。

现代灌溉系统广泛应用于受保护的作物和高价值水果种植园,如温室、隧道(用于浆果)和遮荫房(用于西红柿)。特种养分也应用于马铃薯和烟草生产等生态位的叶面和颗粒土壤应用。

特种植物养分具有独特的特性,当应用于特定作物和土壤时,可以提高生产力并改善质量。与从其他氮和钾来源获得的商品肥料,如尿素和氯化钾相比,这些产品提供了一定的好处。

1990年以来,国际特种植物养分市场拓展速度快于商品肥料市场。促成因素包括:(i)采用新的农业技术,如施肥、水培和温室;(ii)土地成本上升和水资源短缺,这促使农民提高产量并减少水消耗;(iii)对更高质量作物的需求不断增长。

然而,在2022年和2023年期间,农业可溶性硝酸钾市场的消费量分别减少了约12%和8%,原因是价格显着上涨、不利的气候条件和高通胀率。这些估计数不包括中国当地生产和销售的硝酸钾,仅占净进出口。

尽管连续两年下滑,但2024年对特种植物营养市场来说是个好年景。我们估计,不包括中国境内生产和消费的市场增长了17%左右,达到略低于我们在2020年期间看到的水平。

16.2. 3.1.2产品

我们生产三种主要类型的特色植物营养素,为施肥、直接施用土壤和叶面肥提供营养解决方案:硝酸钾(KNO3)、硝酸钠(NaNO3)和特色混合物。我们还销售其他特种肥料,包括第三方生产的产品。所有这些产品都以固体或液体形式主要用于水果、花卉和一些蔬菜等高价值作物上。这些肥料被广泛应用于使用现代农业技术的作物,如水培、大棚和有叶面施用和施肥的作物(在后一种情况下,肥料在灌溉前先溶解在水中)。

特种植物养分相对于商品肥料具有一定的优势,如吸收快速有效(无需硝化)、水溶性优越、氯化物含量低等。该业务线中最重要的产品之一是硝酸钾,它以结晶或颗粒形式上市,允许不同的应用
SQM TRS Nueva Victoria
帕格。202


方法。结晶硝酸钾产品是施肥和叶面应用的理想选择,硝酸钾珠适合直接土壤应用。

特殊混合物是在我们或我们的附属公司和世界各地的相关公司运营的混合工厂中使用我们自己的特殊植物营养素和其他成分生产的。

我们的特色“Ultrasol”蔬菜混合物的优势包括以下几点:
全水溶性,可高效用于水培、施肥、叶面施用、先进农业技术,减少用水量。
不含氯,防止对氯敏感的作物产生毒性。
与尿素或氨基肥料相比,提供硝酸形式的氮以更快地吸收养分。

我们根据产品的不同应用和用途,为其商业化开发了品牌。我们的主要品牌有:Ultrasol®(施肥),QROP®(土壤应用),Speedfol®(叶面应用)和Allganic®(有机农业)。

2024年期间,我们持续增长Ultrasoline等差异化肥料的销售®为了改善根系生长和最佳氮代谢,ProP®更有效的磷吸收,以及Prohydric®为了更有效的施肥和用水。

特种养分根据施用方法可分为特种田间肥料或水溶性肥料。

特种大田肥料通过人工或机械方式直接施用于土壤。它们的高溶解性、无氯化物性质和非酸性反应使其成为烟草、土豆、咖啡、棉花以及某些水果和蔬菜等作物的理想选择。

水溶性肥料通过现代灌溉系统输送,必须是高度可溶性、营养丰富、无杂质、盐分指数低的肥料。硝酸钾是这里的关键营养素,因为它平衡了硝氮和无氯化钾,对这些系统中的植物营养至关重要。

硝酸钾在叶面喂养中至关重要,可以预防和纠正营养缺乏,避免压力。它有助于平衡水果生产和植物生长,特别是在有生理障碍的作物中。


16.2. 3.1.3营销与客户
2024年,我们在大约100个国家和超过1,500个客户销售我们的特色植物营养素。在2024年期间,没有任何单一客户单独占该细分市场销售额的至少10%。10家最大客户合计占该期间销售额的约25%。没有一家供应商的销售成本占比超过该业务条线的10%。
下表显示了我们收入的地域细分:
表16-7。销售地域细分:特色植物营养
收入细分 2024 2023 2022
智利 12% 12% 11%
中南美洲(不包括智利) 12% 8% 11%
欧洲 17% 14% 17%
北美洲 39% 45% 42%
亚洲及其他 21% 21% 20%

SQM TRS Nueva Victoria
帕格。203


我们通过我们的商业办事处和分销商网络在全球范围内分销我们的特种植物营养产品。2024年,我们看到超声波等差别化肥料销量持续增长®为了增强根系生长和最佳氮代谢,ProP®用于改善磷吸收,以及Prohydric®这支持更有效的施肥和用水。

我们在主要市场的商业办事处保持我们的特种植物营养素的库存,以便于及时交付给客户。通过现货采购订单或短期合同进行销售。

作为我们营销战略的一部分,我们为客户提供技术和农艺方面的帮助。我们的知识基于我们的农艺团队与全球生产商合作进行的广泛研究和研究。这些专业知识支持开发特定配方以及水培和施肥营养计划,使我们能够提供知情建议。

通过与客户密切合作,我们确定了对新产品和潜在高价值市场的需求。我们的特色植物养分被用于各种作物,特别是增值作物,它们帮助客户提高产量和质量,以实现溢价定价。

我们的客户分布在不同的地区,因此,我们预计不会有任何季节性或周期性因素对我们的特色植物营养素的销售产生重大影响。


16.2. 3.1.4竞争

影响特种营养素销售竞争的主要因素包括产品质量、物流、农艺服务专业知识和定价。

我们认为自己是世界上最大的农业用硝酸钾生产国。我们的硝酸钾面临来自特种和商品替代品的间接竞争,一些客户可能会根据所涉及的土壤类型和作物选择这些替代品。

2024年,按数量计算,我们的销售额约占全球农业硝酸钾市场的41%。在100%可溶性硝酸钾细分市场,我们的主要竞争对手是以色列的Haifa Chemicals Ltd.(“Haifa”)。我们估计,海法的销售额在2024年占全球农业硝酸钾销售额的22%左右(不包括中国生产商在中国国内市场内的销售额)。

Kemapco是Arab Potash旗下的一家约旦生产商,在约旦亚喀巴港附近经营一家生产设施。我们估计,Kemapco的销售额约占2024年全球农业硝酸钾销售额的13%。

ACF是另一家主要专注于碘生产的智利生产商,自2005年以来一直从caliche矿石中生产硝酸钾。此外,几家硝酸钾制造商在中国开展业务,其大部分生产在中国国内消费。


16.2. 3.2钾
2024年,我们的氯化钾和硫酸钾收入为2.708亿美元,占总收入的6.0%,与2023年相比下降3.0%,原因是价格下降,部分被年内销量增加所抵消。2024年的平均价格比2023年的平均价格低约24.2%。我们在2024年的销量比2023年报告的销量高出约28.0%。
SQM TRS Nueva Victoria
帕格。204


下表显示了我们2024年、2023年和2022年氯化钾和硫酸钾的销量和收入:
表16-8。2022-2024年钾的数量和收入
销量
(千公吨)
2024 2023 2022
氯化钾和硫酸钾 695.0 543.1 480.5
总收入
(百万美元)
270.8 279.1 437.2

16.2. 3. 2.1市场

在过去十年中,由于几个因素,例如世界人口不断增长、对以蛋白质为基础的饮食的需求增加以及可耕地减少,对氯化钾和化肥的需求总体上有所增加。这些因素促进了肥料需求的增长,因为它们努力最大限度地提高作物产量,并继续更有效地利用资源。据估计,2024年的需求达到约7200万吨,比2023年的约6800万吨有所增加,这主要是由于价格下降以及来自白俄罗斯和俄罗斯的钾供应增加。

国际肥料协会的研究表明,谷物约占全球钾需求的39%,包括玉米(17%)、大米(12%)、小麦(8%)。油料作物占全球消费量的25%,大豆占13%,油棕榈占9%。其他用途约占36%。

16.2. 3.2.2产品

我们通过从Salar de Atacama提取盐水生产氯化钾,盐水中含有丰富的钾和其他盐。氯化钾是各种作物使用最多、成本效益最高的钾基肥料。我们提供两个等级的氯化钾:标准的和压实的。

钾是植物发育所需的三种必需常量营养素之一。适用于能够耐受相对较高的氯化物含量的作物施肥,以及在充足降雨或灌溉条件下生长的作物,以防止氯化物在根系中积累。

使用钾的好处包括:
产量和质量提高
增强蛋白质生产
改善光合作用
强化同化物质运输和储存
更好的用水效率

氯化钾还被用作生产硝酸钾和其他特种营养颗粒混合物(NPK)的原料。自2009年以来,我们的有效终端产品产能增加到每年超过200万吨,为我们提供了更大的灵活性和市场覆盖率。

16.2. 3. 2.3营销与客户
SQM TRS Nueva Victoria
帕格。205


下表显示了我们收入的地域细分:

表16-9。销售地域细分:钾
收入细分 2024 2023 2022
北美洲 23% 24% 16%
欧洲 15% 11% 6%
智利 13% 11% 15%
中南美洲(不包括智利) 33% 34% 41%
亚洲及其他 16% 20% 22%

16.2. 3. 2.4竞争

2024年,据估计,我们约占全球氯化钾销售额的0.9%。我们的主要竞争对手是Nutrien、Uralkali、Belaruskali、Mosaic。2024年,预计Nutrien在全球销售额中的占比约为15%,Uralkali约为16%,Mosaic约为8%,Belaruskali约为15%。

16.2. 3.3其他产品

SQM通过销售第三方肥料(包括特种肥料和商品)产生收入。这些肥料在全球范围内大量交易,被用作特种混合物的原材料,或用于增强我们的产品组合。我们在商业管理、供应、灵活性和库存管理方面建立了能力,使我们能够应对不断变化的化肥市场,并从这些交易中获得利润。

表16-10。销售地域细分:其他产品
收入细分 2024 2023
北美洲 74% 87%
欧洲 16% 4%
智利 2% 5%
中南美洲(不包括智利) 5% 3%
亚洲及其他 3% 1%
SQM TRS Nueva Victoria
帕格。206


17环境研究、许可和社会或社区影响
以下部分详细介绍了该项目的监管环境。它介绍了适用的法律法规,并列出了开始采矿作业所需的许可证。环境评估过程要求收集关于许多组成部分的数据,并举行磋商,以告知项目的相关利益相关者。这一清单和咨询过程的主要结果也记录在本节中。还概述了水和采矿废物基础设施的设计标准。最后,在目前可获得的信息范围内,介绍了该矿山恢复计划的大致轮廓。
17.1环境研究
第19,300/1994号《环境一般基础法》(第19,300号法律或《环境法》)、第20.417/2010号法律的修正案和最高法令N40/2012号《环境影响评估服务条例》(DS N40/2012或RSEIA))确定了必须如何开发、运营和关闭产生某种类型环境影响的项目。关于采矿项目,《环境法》第3.i条规定,采矿项目在开发前必须提交环境影响评估系统(SEIA)。
包括“Pampa Hermosa”和“Tente en el Aire”项目的Nueva Victoria项目已向环境影响评估系统(SEIA)提交了总计15次,原因是以下项目:
Salar Sur Viejo地下水提取项目通过DIA提交并获得RCA 036/1997批准
由环评提交并经RCA N ° 058/1997批准的漏洞草案
Nueva Victoria扩展通过DIA提交并获得RCA N° 004/2005批准)
通过DIA提交并经RCA N° 032/2005批准的招募电话草案)
Nueva Victoria Sur矿通过DIA提出并经RCA N° 0173/2006批准。
Nueva Victori的修改a碘化物p由DIA提出并经RCA N ° 094/2007批准的lant
由DIA提出并经RCA N ° 070/2008批准的Nueva Victoria碘厂中的氯掺入)
更新Nueva Victoria行动通过DIA提交并获得RCA N° 124/2008批准。
Nueva Victoria矿区通过环评提交并经RCA N° 042/2008批准。
蒸发式虹膜管道和水池通过DIA提出并经RCA N ° 061/2009批准。
Pampa Hermosa项目通过环评提交并获得RCA N° 890/2010批准
由DIA提出并经RCA N° 076/2012批准的Nueva Victoria South矿区扩建。
Tente en el Aire由环评呈报并经RCA N ° 20210100112/2021批准1

对Llamara中的回注系统进行部分修改普基奥斯 经环评呈报并获RCA N° 20239900145/2023批准

新维多利亚的海水管道改造和补充工程介绍通过DIA并获得RCA批准N ° 2023010039/2023


1Resoluci ó n 202401101155/2024决议,项目“空中Costa Tente Sector的建设性调整”不需要在执行前提交给环境影响评估系统。
SQM TRS Nueva Victoria
帕格。207


17.1.1基线研究
每次项目都提交给SEIA;开展了基线环境研究。最后一项环境影响研究(环评)获批的是TEA。
以下是对基线某些组成部分的更详细分析:
水文
遗址水文方面,近年年均降水量均小于2毫米,多年来均为零降水。该地区记录的最大24小时不足10毫米,历史最大值在3至7毫米之间波动。无永久性地表径流通道,零星径流伴生极端降水事件。据估计,这些扇区的溪流能够遏制这些极端降水事件产生的径流。
水文地质学
在项目影响范围内,已授予41口井的地下水权。都是消耗性的、永久性的、持续性的。
在影响区域,有四个截然不同的水文地质单元:A1、A3、C5和D1(IMAGE)。A单元水文地质蓄水、输水潜力高,C单元蓄水潜力低,D单元无潜力。
D1单元对应致密至轻微断裂/蚀变安山岩,局部断裂/蚀变闪长岩无含水量。它的潜力是不存在的,因为它没有收到任何充值由于它的位置。
C5号机组对应的是夹砂、粘土和淤泥的砂质粘土碎石,不含水。由于现场有降水,它有一个低到空的补给。
A3单元对应的是位于Pampa del Tamarugal西部地区的蒸发岩矿床。具有中高透水率。
A1单元对应的是低固结的砂石,主要在中部盆地形成活动矿床。具有中高透水率,最大值4280m2/天。
根据研究,没有证据显示沿海山脉的计划工程面积下存在水。在计划工程的西北部和西南部,有局部盆地有地下水。在东部,可以观察到属于Pampa del Tamarugal含水层的地下水。在工程以北的索罗纳尔盐滩,有地下水,深度在0.8至19.6米之间。
根据水化信息,该地区的水对应于氯化钠类型。
SQM TRS Nueva Victoria
帕格。208


图17-1。授予水权的水井位置
image_169.jpg
SQM TRS Nueva Victoria
帕格。209


图17-2。背景采集区域水文地质图
image_170.jpg
土壤
影响区域呈现的土壤几乎没有土壤发育,主要是由于场地极端干旱的条件,限制了土壤形成过程的强度。定义了四种不同的同质土壤单元,即“沉积平原土壤”在该领域占主导地位(76.6%)。
区内土壤pH值呈中性至强碱性;盐碱性极强,碱性极强。具有壤土-沙质(FA)和沙壤土(AF)纹理的土壤占主导地位。所有这些特征都将该部门的所有土壤置于使用能力VIII(“没有农业、牲畜或林业价值的土壤,其用途仅限于野生动物、娱乐或流域保护”)范围内。
影响区域内呈现的土壤资源不被视为区域内的稀缺或独特资源。此外,它支持生物多样性的能力非常低,这使它成为一个不适宜居住的栖息地(绝对的沙漠条件)。
SQM TRS Nueva Victoria
帕格。210


植物
至于受项目影响的植被,主要植被类型为「Prosopis Tamarugo种植园”,覆盖研究面积的96.6%。紧随其后的是“Distichlis Spicata草甸“,占1.9%;代表最少的是”兰德贝基草甸",为0.1%。
影响周边有保存原生森林形成(植被类型“Prosopis Tamarugoforest ");不过,目前还远远不是项目直接介入的领域。只有植物区系元素对植被类型的干预"兰德龙舌兰Meadow "被认为是,它没有特有物种或保护类别的物种。
在植物区系方面,在项目影响范围内确定了4个物种,2个属于木兰纲,2个属于小马纲。在一个保护类别中有2个物种:Prosopis Tamarugo(tamarugo),列为濒危;及普罗索皮斯·阿尔巴(Algarrobo Blanco),分类为脱离危险。这两个物种都被认为是本土的。影响区域以本土和特有物种为主。
关于环境奇点(1,根据文件《SEIA中影响区域描述指南,陆地生态系统的土壤、植物群和动物组分描述》(SEA,2015)),原生森林形成Prosopis Tamarugo被检测到,因为这是一个稀缺的干旱区域,因为存在一个被列为濒危物种;不过,该项目不会影响到Prosopis Tamarugo.
野生动物
确定了38个本土物种:27种鸟类、7种哺乳动物和4种爬行动物。
在某些保护状态下确定了18个物种:
身处险境:黑燕鸥,小燕鸥。
脆弱:Garuma Seagull、Nun Seagull、Humboldt Penguin、Guanay、Stolzmann's Dragon、Chungungo(仅在Patillos Islote区检测到)。
近受威胁:北方鼠耳蝠。
罕见:特蕾莎的走廊
已知充分:Tamarugal Sebo-Eater,Lile;
最不关心:四带赛车手、布比、共同海狮、大北壁虎、奇拉狐、卡尔佩奥狐。
检出6种外来物种:狗、驴、骡子、山羊、野兔和瓜伦。
沿海地区的物种丰富度最高,检出20种。紧随其后的是Pampa del Tamarugal国家储备部门,有14种,然后是Pampas部门,有9种。特别是,在沿海地区(Chanavayita地区)发现了较小的燕鸥,有7只成虫和5只活跃的巢穴处于孵化阶段。黑燕鸥和其他种类的科原虫科仅通过屠体检测到,未发现筑巢地点。在沿海地区和潘帕斯地区发现了Garuma海鸥,发现了9只成鸟,并检测到了孤立的筑巢事件。
真菌和地衣
研究区内未检出真菌物种。检出地衣36种,其中4种属保护类:阿卡罗孢子虫阿喀罗孢子虫,均属于数据缺陷类别;和AcarosporaBullata和Polycauliona Ascendens在最不关心的类别中。
生物海洋学
进行了海洋基线,以Patillos湾的一个区域和Caleta Caramucho以北的一个区域作为研究区域(大于项目的影响区域)。
SQM TRS Nueva Victoria
帕格。211


在采样期间(2017年冬季至2018年冬季),已识别的浮游植物分类群数量在41至47个之间变化;浮游动物的数量在24至68个之间变化。
鱼类方面,共发现16个分类群,数量最多的是墨西哥卷饼(C. crusma)、比拉盖(C. variegatus)和波拉奇利亚(Scartichthys细菌属).在具有岩石基质的样带中观察到最高的鱼类丰度。
人类环境
对于项目人文环境影响区域的定义,考虑了具有某种类型住房、生产性和/或文化用途的部门。据此,审议了对应海岸部门的Chanavayita、Caleta C á ñ amo和Caramucho定居点,以及对应Pampa部门的Colonia Pintados和Victoria定居点。
图17-3。影响领域的部门
image_171.jpg
SQM TRS Nueva Victoria
帕格。212


文化遗产
从古生物学角度来看,项目所在的部门具有低到中等的潜力。该部门的大多数地质单位在调查期间没有出现感兴趣的古生物学发现;然而,沿海矿床单位(PIHI)显示出中到高潜力,除了其特征外,还显示出在该领域发现了化石碎片。
关于考古,一项调查发现了3017个受该项目影响的遗产元素。它们被分为五类:761个点发现、194个空中类型发现、239个线性类型发现、71个岩屑地点和1752个卡利切罗。线性元素大多被归类为巷道,总长近410公里。具体发现分为孤立发现、信号结构、动物骨骼、石刻。关于发现的时间,76%的人被确定为按时间顺序划分的历史,5.5%的人可以追溯到前西班牙裔时代。
17.1.2环境影响研究
至于Pampa Hermosa项目,根据环评结果(第5章),分析了该项目的活动及其可能的环境影响。这使得能够确定在项目的不同阶段以及它们所在的位置可能直接或间接受到影响的环境成分。
对于那些重大的环境影响,设计了管理措施,以减轻、修复和补偿相关的受影响要素。

下表汇总了这些信息。

SQM TRS Nueva Victoria
帕格。213


表17-1。Pampa Hermosa项目环境影响,通过环评“部分修改Llamara水库回注系统”修改及承诺措施
影响 相中

发生
措施类型 措施
Salar de Llamara池塘(p ú quios)地表水位下降 运营 缓解 实施水力障:包括在泵区和池塘之间注水,诱导含水层水位升高,从而产生一个分水线,隔离两个区的水力行为,并防止凹陷锥体扩散并影响池塘的水位。这一影响通过环评“部分修改Llamara水库回注系统”进行修改
设计了一个预警计划“PAT”,应将其理解为与实施液压屏障相辅相成的环境管理工具,即如果液压屏障冒着效率不足以满足为P ú quios和水文植被定义的环境目标的风险,PAT将被激活。这一影响是通过环评“部分修改Llamara水库的回注系统”进行修改的。包括自愿承诺在2030年前用海水取代拉马拉盐沼的大陆水,用于采矿作业。即在Pampa Hermosa项目批准日期11年前,将其提取仅限于注入缓解措施所需的流量。
拉马拉盐沼自然塔马鲁戈地层和植物物种栖息地生命状态的改变 运营 缓解 45 l/s井TC-10错峰抽取地下水和排除抽取地下水。
设计了一项预警计划,考虑应用旨在维持人口活力值的预警和恢复措施,将实施的主要措施是a)在预警阶段灌溉tamarugos和b)在恢复阶段减少抽水流量。
Tamarugo恢复灌溉计划:该计划的目的将是恢复Salar de Llamara的Tamarugo的活力,因为该项目的抽水可能会受到水资源紧张的影响。为此目的,考虑根据一定时期内超过为启动Tamarugo警报所定义的阈值的Tamarugo数量,灌溉处于正常或不良状态的标本。这项措施将与Llamara Tamarugo系统的早期预警计划挂钩,因此将酌情与Tamarugo警报和恢复阶段的行动一起实施。
使用Pampa del Tamarugal国家保护区的租户牧场主因取水而改变生计系统。 建设、运营和关闭 缓解 井集水点的变化
错峰取水
Tamarugo工厂生产计划
Tamarugo种植计划
支持对Tamarugo树进行植物检疫控制的方案
罗望子树可持续管理方案
养牛场农场主的生产性发展计划
SQM承诺不影响Quebrada Amarga区Quillagua社区的生计系统;每月与社区领导层保持联系,以监测该区与项目有关的任何情况的产生,如果领导层提供的信息表明可归因于项目的任何情况,将采取相应措施,以保持不影响的承诺;并就这些与Quillagua领导层的接触向主管当局提交年度报告,检测到的可归因于该项目的情况以及为此目的采取的行动。
文化遗产的变迁 建设、运营和关闭 缓解 对提出适用以标牌、围栏为主的缓解措施的地理标志、石器作坊、墓葬遗址和记录在案的动漫物,创建考古禁区,确保其得到保护和保障。
Compensation 在不同的赔偿活动中追回的物资将有一个确定的目的地,如亨伯斯通的硝石博物馆公司
研究、保存、加强平塔多士站的计划
来源:自行阐述,基于从RCA N ° 890/2010获得的信息
SQM TRS Nueva Victoria
帕格。214


Pampa Hermosa项目目前正处于制裁程序(制裁文件D-027-2016),针对当局在2016年期间检测到的与违反项目环境评估决议(RCA 890/2010)中规定的某些承诺有关的违规行为,主要与水资源及其对环境系统(公共、tamarugos)的影响有关。沿着这些思路,2019年SQM提出了解决这一问题的充分计划:修订和更正的环境合规计划,其中纳入了当局提出的意见,遵守了既定的内容和标准以及法律要求,以确保遵守被侵犯的要求。
PDC于2019年2月26日由res.ex N ° 24/rol D-027-2016.批准,并由res.ex.修订。N ° 27/ROL D-027-2016,08.11.22。
该方案确立了具体行动,以提高对构成该项目的环境系统的认识和后续行动,承认社区的作用,并在监测环境变量方面提供更大的透明度。最终报告于2023年提交,正在等待环境监管局(SMA)的回复。
需要注意的是,上述“对Llamara水库中的回注系统进行部分修改”的环评是作为该公司提出的这一合规计划承诺的一部分提出的。该项目对应于对Pampa Hermosa项目(RCA N ° 890/2010)的修改,地理上仅限于“Salar de Llamara的P ú quios区”,其目标是修改RCA N ° 890/2010的recital 7.1.1的缓解措施,该措施旨在最大限度地减少水提取对项目影响区域内存在的生物系统的二次影响,允许以不影响其周围的水生和陆地生物群的方式保持池塘表面水平。该项目还修改了预警计划的第一阶段警报Llamara含水层,以及加强与Llamara P ú quios相关的监测计划。
至于Tente en el Aire项目,其目标是将新的矿区纳入“Nueva Victoria”矿山,以生产富含碘化物、碘和硝酸盐的盐,这意味着需要提取的caliche总量、富含碘化物、碘和硝酸盐的盐的生产以及这些工艺的海水使用增加。

SQM TRS Nueva Victoria
帕格。215


该项目的环境影响以及公司提出的减轻、修复或补偿这些影响的措施如下表所示:
表17-2。Tente en el Aire项目的环境影响和承诺措施
影响 相中

发生
措施类型 措施
小燕鸥Chanavayita筑巢相关筑巢栖息地干预 建设、运营和关闭 缓解 小燕鸥繁殖季外施工并在筑巢区外安装噪声自动监测站。
施工阶段常设环境督察
“Chanavayita”工地附近工程搬迁:安装工地1和线性工程。
施工和运行时应用隔音措施:施工时应用声学屏,运行时应用辅助泵站封装。
Compensation Chanavayita通道筑巢地点管理措施计划:加强市政犬舍的犬类管制;在Chanavayita通道筑巢地点安装寓意标牌;环境教育计划;以及研究计划,以表征Chanavayita地点小燕鸥的栖息地和繁殖动态。
项目北部板块海燕筑巢相关筑巢栖息地介入。 建设、运营和关闭 缓解 燕子繁殖季节禁止施工。
作业阶段禁止采矿开采
禁止在生殖季节移走设施
燕子筑巢地点“Pampa Hermosa”保护缓冲区延长。
延长“Pampa Hermosa”筑巢地的排除区域和禁止采矿活动,因为之前的措施。
有筑巢记录的潜在筑巢地点周围20m保护缓冲区,靠近项目线性工程路线。
Compensation 补偿措施MC-4“禁区保护”:业主同意不勘探、不开采本矿产或其名下未列入项目的矿产;同意要求对地表物业构成产权负担。
考古文化遗产涂改 建设和运营 缓解 MM1-古生物学归纳讲座
MM2-古生物感兴趣元素的拯救和面积(面)的释放
MM3-沿海地区施工期间正在进行的古生物监测
MM4-创建考古文化遗产保护区
MM5-施工期间永久考古监测
MM6-考古学入门讲座
Compensation MC1-盐石博物馆公司为保护文化遗产作品而进行的仓库改进或装修。
古生物文化遗产变更 MC2-关于地方和区域古生物学的科学教育出版物。
MC3-密集考古调查和文献记录
MC4-保护禁区
来源:基于RCA N °20210100112/2021
SQM TRS Nueva Victoria
帕格。216


17.2运营和关闭后要求和计划
17.2.1废物处置要求及计划
在采矿作业过程中,会产生两种废物。矿物和非矿物废物。
矿物废料
矿物废料或采矿残留物在这种情况下指的是惰性盐,称为废盐。这些盐被运到某些地区存放,以蛋糕的形式堆积在地面上。
为此,Nueva Victoria场址拥有当局根据现行法规(矿业部采矿安全条例第132/2002号最高法令第339条,用于建立垃圾填埋场)提交和批准的收集废弃盐的部门许可证,此外,它还拥有相应的环境授权。
目前,废弃的盐存放在Sur Viejo工业区的库存中(面积约为1328公顷,其中还包括最终产品的储存区)。然而,在Tente en el Aire项目(2021年11月获得环境批准)中,该项目扩大了Nueva Victoria目前的运营,计划建立一个新的矿床,用于处理蒸发池中的废弃盐和中和过程的废物。这个新罐体将有360公顷的面积,其中将放置高达50米的物料堆积蛋糕,由此产生的估计总容量为102,500,000吨(弃盐4,997,000 t/y和石膏110,150 t/y),以测试项目“废物堆对应的弃盐沉积物,项目Tente en en el Aire”la Res.ex 424/2022。这些盐是中性的,不会造成当局宣称的健康风险。
关于这些矿床的管理,需要注意的是,组成它们的盐类的吸湿性有利于压实和随后的胶结。
鉴于这些特性(形成结壳的盐和中和过程残余物在盐水中的最终浸渍水平约为20%),不会产生颗粒或气体的排放。
关于可能的流出物的管理,新的水箱将有一个周界排水系统,这将允许一方面收集由浸渍溶液产生的径流或径流产生的溶液,这些溶液将被疏导到4个收集池,以便随后泵送到蒸发池,另一方面,这个排水系统的功能将是雨水的疏导。
废盐矿床承诺每年进行监测,以验证它们是否符合设计变量,并在矿山关闭时保持盐水中和过程的弃盐和残留物。
非矿物废料
所有类型的废物都可以归类为非矿物废物,而根据智利现行的环境和部门法规,这些废物又可以归类为危险废物和非危险废物。
在与这类项目相关的无害废物中,我们可以提到家庭可同化的固体废物、废水处理系统产生的污泥、无害投入物的容器、无害丢弃物、与维护相关的废物以及在突发事件中开展的行动的生成产品等。
危险废物(RESPEL)来自工艺弃置物、更换设备和机械产生的废旧维修润滑油、电池、油漆残留物、墨盒、荧光管、受污染的清洁材料等。
这类废物的处置具有目前申报的环境和部门法律授权S第17.3条.
17.2.2环境授权中确立的监测管理方案
Pampa Hermosa项目实施商定的环境监测计划内容包括:项目阶段、需测量和控制的环境成分、关联环境影响、监测
SQM TRS Nueva Victoria
帕格。217


计划、测量方法或程序、监测点的位置、用于表征所述组件的状态和演变的参数、允许或承诺的水平或限制、监测计划根据项目阶段的持续时间和频率、提供带有监测结果的报告、指明将接收此类文件的主管机构以及评估历史中的位置。
“Pampa Hermosa”项目的水文地质环境监测计划与Aducci ó n Llamara项目的环境监测计划(PSA)相同(由RCA第32/05号承诺,并根据第097/07号决议修改)。这样,PSA Aducci ó n Llamara的承诺将并入PSA Pampa Hermosa。
为实施“Tente en el Aire”项目,承诺为不同组成部分制定监测计划。该计划说明如下:
关于文化遗产部分,后续计划包括古生物学诱导会谈;古生物感兴趣元素的抢救和区域(地表)的发布;沿海地区建设期间的永久古生物学监测;地方和区域古生物学的科学说教出版物;创建考古文化遗产保护区域;建设期间的永久考古监测;考古诱导会谈;以及密集的考古勘探和文献。同样,对硝石博物馆公司的酒庄进行改良或改造,以保护文化遗产的碎片。
关于野生动物部分,监测计划包括排除燕鸥筑巢点的矿区;修改布局,在燕鸥筑巢点的线性工程中建立预防区域;Chanavayita小燕鸥筑巢点;保护排除区域;研究潘帕埃莫萨地区燕鸥(Procellariformes:Hydrobatidae)的生态学、物候和行为学;增加筑巢点“潘帕埃莫萨”栖息地使用的研究计划。
17.2.3运营期间和关闭后水管理的要求和计划
Nueva Victoria工业作业的水提取是环保批准的,总计810 L/s,考虑到使用RCA 890/2010批准的570.8 L/s的水,这一流量超出了环评“Lagunas”(RCA 58/1997)和DIA“从Salar de Sur Viejo提取地下水”(RCA 36/1997)和DIA“Expansion Nueva Victoria”(RCA 04/2005)中考虑的120 L/s。
需要注意的是,上一个环境批准的项目(环评“Tente en el Aire”-RCA 20210100112/2021),尽管caliche的开采和加工率增加,但依靠使用900 l/s的海水,并没有增加预计的淡水需求。
提取是从详细介绍的5个地点进行的表17-3,位于Salar de Sur Viejo、Salar de Llamara和Pampa del Tamarugal(环境保护区),主要由地下水源组成,地表水的一小部分。
表17-3。月均流量期2024 Nueva Victoria
Sur Viejo(l/s) Llamara(l/s) 虹膜(l/s) 索罗纳尔(l/s) CPC(l/s) 总流量(l/s)
103 231 59.2 112 124.3 629
16% 37% 9% 18% 20% 100%
表17-4展示了水资源如何在新维多利亚行动的不同部门之间分配。
表17-4。Nueva Victoria行动各组成部分之间的淡水消耗分布。
Pozas(l/s) Puqu í os注射液(l/s) 矿山(l/s) 加工厂(l/s) 营地(l/s) 浸出(l/s)
2.3% 4.6% 0.8% 1.3% 0.3% 90.7%
SQM TRS Nueva Victoria
帕格。218


关于从自然来源提取水的信息是公开的,通过环境监测计划(PES)的报告部分向智利监管局报告。
PES实现了监测可能受到项目影响的生态系统的目标,从而保证了它们的保护和它们提供的生态系统服务的持久性。水文地质报告包括地下水位、地下水和地表水的水化学质量、供应井和地表水开采点的累计抽水率和水量。
PES还记录了注入水以产生液压屏障的缓解措施,以保护P ú quios湿地免受与从Llamara含水层抽取地下水相关的地下水位下降的影响。对注入水的化学质量进行监测,确保P ú quios湿地地下水的水化学不受不利影响。
正如更新Nueva Victoria场地的关闭计划(豁免第814/2022号决议)所确定的那样,与水资源有关的关闭计划的工程或行动包括拆除金属结构、管道和设备、停用泵井、拆除钢管、拆除电力线路、拆除变电站和清除废物。
17.3环境和部门许可状况
该项目已向SEIA提交了15次。在9个案例中,项目是通过环境影响报告书(EIS)提交的,在4个案例中,项目是通过环境影响评估(环评)提交的,并且在所有案例中,项目均获得环境主管部门的授权。17.1包含每个项目的环境授权。
此外,该项目需要不同的部门许可才能运营。下表显示了每个RCA中定义的适用于每个项目的部门许可:

SQM TRS Nueva Victoria
帕格。219


表17-5。环境决议中界定的部门许可
部门许可证(PAS)名称 PAS编号 部门批准决议
开展研究性捕捞的许可 119 经第20210100112/2021号决议批准的RCA20210100112。
考古发掘许可 132或EX 76 RCA042/2008.第5175/2012号决议批准;4531/2014;1493/2015;548/2020
RCA124/2008。第659/2009号决议核准
RCA 890/2010。第5416/2010号决议批准;6164/2010;568/2011;1490/2011;3738/2011;5802/2011;6613/2011;2974/2012;3851/2012;1947/2014;3502/2015;1950/2018;2848/2020;3772/2021;5159/2024。
RCA076/2012。第3885/2012号决议核准
RCA 20210100112第3395/2022号决议(古生物学)批准;第5043/2022号决议;第113/2023号决议;第1407/2023号决议;第4385/2024号决议。
RCA20230100139第2241/2024号决议批准(古生物学)
储存采矿废料的许可证 136或EX88 RCA004/2005;RCA173/2006;042/2008;RCA076/2012。第2552/2015、2129/2020号决议批准(浸出桩);2959/2016(废弃库存)
第2129/2020号决议批准的RCA890/2010(浸出桩);2959/2016;1570/2020(废弃库存)
RCA20210100112经第424/2022号决议批准。(废弃库存桩);Res.N ° 0728/2024(废弃库存桩)
Res.N ° 0135/2025(废弃库存桩)
批准采矿结束计划 137 RCA890/2010,第515/2012号决议批准。
RCA(036/1997;058/1997;04/2005;032/2005;173/2006;094/2007;042/2008;070/2008;076/2012)经第1858/2015号决议批准。经第2817/2015号决议修正。
RCA 20210100112第814/2022号决议,经第1511/2022号决议修正。(更新PDC。包括ASD)。
建设、改造、扩建任何公共或私人工程的许可,用于污水的疏散、处理或最终处置 138或EX 91 RCA004/2005,第2543/2006号决议核准
RCA124/2008。第3428/2014号决议核准
RCA 890/2010。第1970/2013号决议批准;3079/2011;3427/2014;339/2018;220116087/2022;3429/2014;3079/2011;3430/2014;1137/2007;1139/2007;2401409016/2024;220115414/2022;220115414;2009/2019;3134/2019;Res.N ° 466/2016;6712/2021:275/2020
建造、改造、扩建任何公共或私营设施的许可,用于疏散、处理或最终处置工业或采矿废物 139 不要求
任何种类的任何垃圾和废物处理厂的建设、改造、扩建许可;或任何种类的垃圾和废物的堆积、选择、产业化、贸易或最终处置的任何场所的安装许可。 140或EX 93 RCA004/2005。号决议批准。1813/2006; 2167/2014
RCA124/2008。第2547/2010号决议核准。
RCA 890/2010。第1807/2016号决议批准;第758/2018号决议批准;第17581/2021号决议批准;第2482/2019号决议批准
RCA20210100112批准Res.2301315361/2023;Res.2401333155/2024
卫生填埋场新建、修缮、改建、扩建许可 141 RCA N ° 890/2010经第N ° 1054/2001号决议批准,授权经营卫生填埋场;RES.N ° 936授权经营卫生填埋场;RES.N ° 733批准经营卫生填埋场项目。
SQM TRS Nueva Victoria
帕格。220


危险废物贮存场址建设许可 142 RCA890/2010。第1495/2017号决议批准;第081/2018号;第753/2018号;第289/2018号;2301442729/2023号;2301496155/2023号;2301310900/2023号;2201283666/20224号;
RCA 20210100112/2021第N ° 2201283666/2023号决议批准
RCA 20239911145/2023经第N ° 2401544922号决议批准,授权Respel Llamara 1运营;第N ° 2401635349号决议授权Respel Llamara 2 y 3运营。
狩猎或捕获动物标本的许可 146 RCA 20210100112第80/2022号决议批准;-82/2022;-86/2022。
部分水工工程施工许可 155 RCA 20210100112海水水池。Res No. 3538/2022批准:太阳能蒸发池Res No. 4014/2023。
修改水道的许可证 156 RCA 20210100112。经决议N °批准。139/2022
许可将农村土地细分和城市化,以住房补充一项产业活动,装备农村部门,或设立水疗中心或旅游营地;或用于城市范围以外的工业、设备、旅游、人口建设。 160或EX 96 RCA124/2008。经决议N °批准。577/2011
工业或仓储场所资质许可。 161 RCA004/2005决议N °批准。686/2014
资料来源:SQM详解

此外,还需要获得开发方法和加工厂的授权。这些授权是:
Res.Annex 1447/2018。Exploitation方法更新– Office Iris
前Res.ex。1646/2011.批准项目“更新Nueva Victoria行动”。
Res.1602/2010。批准项目“废弃盐类Sur Viejo的库存”。
第621/2006号决议。Nueva Victoria对caliche的开采增加。
Res.1469/2005。使Nueva Victoria矿山和碘厂的矿山开采方法和矿物处理及扩建正规化。
res.1351/2004。Iris办事处开发方法和加工厂正规化。
前Res.ex。515/2012.更新开采方法、矿物处理和关闭计划。
前Res.ex。121/2022.茶项目效益厂房。

17.4社会和社区
本子部分包含与该项目的当地个人或团体的计划、谈判或协议相关的前瞻性信息。可能导致实际结果与前瞻性信息中的结论、估计、设计、预测或预测存在重大差异的重大因素包括与本小节中提出的一个或多个重大因素或假设的任何重大差异,包括监管框架在研究期间没有变化;没有不可预见的环境、社会或社区事件扰乱及时批准。
SQM TRS Nueva Victoria
帕格。221


17.4.1与个人或当地团体的计划、谈判或协议
该公司与土着和非土着组织就不同方面达成了协议,这些协议既来自先前的承诺,也来自与公司社区关系政策相关的项目,例如:

继续支持所有必要行动,以保持Quillagua饮用水供应的业务连续性,其净化和分配系统由Quillagua农村饮用水委员会(APR)管理。在这个意义上,继续对APR操作人员进行专门的咨询和培训,对状态进行评估,对渗透装置进行更换或改进,并扩大储水罐的容量,以向装置的运行连续性推进,特别是在夏季期间。

支持加强拉地拉那老年人社会组织。

对TEA的环境承诺

为我们自己的员工以及在现场工作的合作者开展关于良好做法的社区关系协议的谈话培训,作为与我们所在社区的指导行为。

Llamara环境承诺

与Quebrada Amarga和Salar de Llamara区的Tamentica和Huatacondo社区开展动植物生物群参与式监测和水测量。

波佐阿尔蒙特

1.支持波佐阿尔蒙特Sergio Gonzalez Gutierrez高中,实施有专门课本的图书馆;实施为所教授的不同学科发展的安全服。

2.与Sergio Gonzalez de Pozo Almonte高中的学生一起指导访问Nueva Victoria,以便了解SQM的生产过程,为他们的专业经验。

3.与来自Pozo Almonte的社会团体一起指导访问Nueva Victoria,了解SQM的影响力和生产力。

4.ASIQUIM。就公司开发的化学工艺及其影响向Huatacondo、Tamentica、Pintados和Victoria等城镇进行培训。

5.与“Fundaci ó n Sonrisas”联合,支持Pozo Almonte和La Tirana镇200名学童的口腔健康防治工作。

6.联合“Fundaci ó n Arturo L ó pez P é rez,FALP”诊断,用于预防Pozo Almonte镇180名妇女和La Tirana镇72名妇女的乳腺癌。

7.培训和支持La Tirana镇(La Huayca土着协会)的企业家,以加强他们的生产活动。

8.支持拉地拉那社区老年人纪念相关日期并与该国其他地区的老年人交流经验。

9.纪念Pozo Almonte公社的遗产日期如硝石日或潘皮纳周,活动在第一个聚集了500人,第二个聚集了2000人。

Chanavayita

1.支持辛迪加N° 1,2,3,4,5,6为其每个成员开发个人、社会和生产性项目。
SQM TRS Nueva Victoria
帕格。222



2.支持地方世袭庆祝活动。

3.支持在当地开展儿童青少年社会教育经验交流。

4.支持学童落实学习过程所需的学习用品和工具。

卡拉穆乔

1.支持N1 ° 1,2和3辛迪加为其每个成员开发个人、社会和生产性项目。

2.支持地方遗产庆祝活动的纪念活动。

C á ñ amo

1.支持扩大卫生岗位所需的基础设施建设。

2.支持辛迪加N1为其每个成员开发个人、社会和生产性项目。

3.支持地方遗产庆祝活动的纪念活动。
关于在基拉瓜的贡献:

1.ONA基金会:关于遗产交易、木材和织布机的工作坊
2.维修
3.Chug的操作-Chug
4.Factor de Cambio基金会竞争基金
5.向农民运送动物饲料
6.Quillagua水培合作社
7.幼儿园教学教材
8.地方遗产庆祝活动
在公司关系政策框架内,维持以下工作小组:
查纳瓦伊塔
1.Chanavayita N ° 1渔民联盟工作组。
2.Chanavayita的N2 °渔民联盟工作表。
3.Chanavayita N ° 3渔民联合会工作表。
4.Chanavayita的N4 °渔民联盟工作表。
5.Chanavayita N ° 5渔民联合会工作表。
6.渔民协会工作表N ° 6 Chanavayita。

卡拉穆乔

1.Caramucho的工作台社会组织。
2.沿海联盟工作组,其中汇集了:Caramucho的N1 °联盟、Caramucho的N2 °渔民联盟和大麻渔民联盟。
3.工作组渔民联盟N ° 3 Caramucho
SQM TRS Nueva Victoria
帕格。223



C á ñ amo

1.C á ñ amo的工作台社会组织。

2.渔民协会N ° 1 C á ñ amo工作表。
波佐阿尔蒙特
1.Colonia Pintados的“Asociaci ó n Ind í gena Multi é tnica Tierras de Jehov á”工作表
2.“Asociaci ó n Ind í gena Aymara Juventud del Desierto”工作组
3.工作台Victoria Office Neighborhood Council。
4.与GHPPI Familia Choque、Bellavista Sector、RNPT的工作表
5.与Sandra Vicentelo家族的工作桌,Tament í ca。

6.与“GPHI Tament í ca”的工作协议。
7.工作组Aymara土著协会Campesinos Pampa del Tamarugal。
8.Tarapac á乳制品合作社和乳制品生产商工作组。

9.工作桌“Asociaci ó n Ind í gena de la Huayca”at la Huayca。

10.工作桌“Grupo Humano Perteneciente a Pueblo Ind í genas Comunidad de la Huayca – Familia Ceballos”at La Huayca。

11.与“Asociaci ó n Ind í gena Aymara Campesina Pampa del Tamarugal”的工作桌。

12.Huatacondo的工作桌“Comunidad Ind í gena Quechua de Huatacondo”。
17.4.2采购承诺或当地承包
尽管有上述规定,作为其社区关系政策的一部分,SQM有旨在雇用当地劳动力的计划,例如:
就业能力工作坊,旨在提高求职面试的履历。
More Suppliers Program of Tarapac á,由Tarapac á Industrial Association执行,其中SQM为执行该计划产生赞助付款。
与市信息办公室的传播渠道Laboral of the Municipal of Pozo Almonte of Labor offer of the company。
渠道传播及跟进各组织附对企业的劳务要约的地方协作(工作表)不同实例。
与Pozo Almonte的Liceo合作的引产和专业实践教育支持计划
17.4.3社会风险矩阵
社会风险矩阵对SQM的活动可能对其运营、声誉、监管合规和对可持续发展的承诺产生的各种影响进行了分类。这样,影响按发生概率分类,从不可能到几乎可以肯定,其后果从可以忽略到非常高。

SQM TRS Nueva Victoria
帕格。224


基于这种分类的结果,可以进行分析,以区分所分析的地点、相关的风险水平(低、中、显着或极端)、优先级(低、中或高)以及与之相关的操作。

这使得可以明确关注可能受到影响的部门和领域,并根据风险矩阵提供的结果,监测和建立方案,以确定威胁和改进机会。

虽然由于公司的保密分析,无法提供矩阵上的详细信息,但可以注意到,没有发现被归类为极端的风险。
17.5矿山关闭
本子部分包含与该项目的矿山关闭相关的前瞻性信息。可能导致实际结果与前瞻性信息中的结论、估计、设计、预测或预测存在重大差异的重大因素包括与本小节中提出的一个或多个重大因素或假设的任何重大差异,包括现行经济条件继续存在,因此单位成本与按固定(或实际)美元计算的估计相同,预计的劳动力和设备生产力水平在关闭时是适当的,估计的基础设施和采矿设施在关闭时是适当的。
17.5.1封城、整治、填海计划
在项目阶段,将通过更新2022年5月16日批准的“Nueva Victoria e Iris”采矿屠宰计划(RPC-57.1585),通过豁免决议N ° 814并经豁免决议N °修改,维持国家地质和矿务局(SNGM)批准的“Faena Nueva Victoria”关闭计划中确立的措施。1511,由国家地质和矿务局(SERNAGEOMIN)。此更新包括
SQM TRS Nueva Victoria
帕格。225


遵循采矿现场决议。分辨率N °。2015年第1858号决议,经第N °号决议修正。2015年第2817号决议已实施。

N ° 项目名称 分辨率 年份
1 开发方法正规化和种植鸢尾办公室效益 1351 2004
2 矿山和矿物处理方法正规化及Nueva Victoria矿山和碘化物工厂扩建 1469 2005
3 修改RCA N° 004/2005 88 2016
4 新维多利亚州的Caliche开采增加 621 2006
5 虹膜屠宰关闭计划 376 2009
6 存放废弃盐类Sur Viejo 1602 2010
7 更新新维多利亚行动 1646 2011
8 Pampa Hermosa:更新开采方法、矿物处理和关闭计划 515 2012
9 Iris碘厂部分临时停产 49 2014
10 Nueva Victoria矿场的关闭计划 1858 2015
11 修改豁免分辨率N °。1858/2015 2817 2015
12 更新利用方法– Iris Office网站 1447 2018
13 丢弃盐类作为无菌垃圾场 424 2022
14 批准与枯竭浸出桩“Faena Nueva Victoria”相对应的废物堆放场 2129 2020
15 茶饮项目效益厂房 121 2022
16 开发方法TEA项目 47 2022
17 Nueva Victoria矿场更新计划关闭 814 2022
18 为Nueva Victoria矿场整改Res.N ° 814更新关闭计划 1511 2022
19 Iris采矿作业的部分临时关闭计划 2500 2022
20 延长“IRIS”采矿作业部分临时关闭计划 2578 2024
21 Nueva Victoria矿场耗尽浸出堆对应的废料堆审批 728 2024
22 Nueva Victoria矿场耗尽浸出堆对应的废料堆审批 135 2025
将实施的措施包括拆除金属结构、设备、材料、电路板和电气系统、设施断电、关闭通道和安装信号。与项目停止运营有关的活动将完全按照项目关闭之日有效的法律规定进行,特别是与保护工人和环境有关的活动。
关闭措施
以下是主要或剩余设施的关闭和关闭后措施,即在矿山使用寿命结束后仍留在现场的设施。其余设施为浸出堆、尾矿池和太阳能蒸发池。
在垃圾收集的情况下,将在封边后阶段进行边坡稳定措施。对于浸出桩的封闭,将考虑拆除构筑物、设备、电气设备、混凝土构筑物、支撑构筑物和管道,以及封闭通道和安装封闭信号。针对太阳能蒸发池的封闭,确定了清除富硝酸盐盐类、拆除护墙、混凝土结构、支撑结构等措施。
对于其余的补充和辅助设施,措施也是以保护人畜安全为目的,基本上是拆除构筑物、封闭道路、信号安装、设施断电和周边封闭、土地平整等。
SQM TRS Nueva Victoria
帕格。226


所有措施均为“人身安全”类核查手段对应摄影报道。
风险分析
SERNAGEOMIN考虑到第20,551号法律和第N ° 41/2012号最高法令,要求业主进行风险评估,考虑在矿场使用寿命结束时关闭对人和环境健康的影响。这一风险评估是在考虑目前有效的矿山关闭风险评估方法的情况下进行的。评估结果显示,与Nueva Victoria矿山和TEA项目剩余设施相关的风险较低且不显着(见表17-6).
SQM TRS Nueva Victoria
帕格。227


表17-6。Nueva Victoria和TEA项目矿山主要设施风险评估
注册 风险 风险说明 Level Nueva Victoria 水平项目茶 意义
太阳能蒸发池
PE1 PE1.P 因地震超禁区的水池边坡发生故障致人死亡。 不重要
PE1.MA 对环境因在水池边坡出现故障,因地震超出禁区。 不重要
PE2 PE2.P to persons for DAR渗透 不重要
PE2.MA 以DAR渗透方式向环境 不重要
丢弃盐矿
DE1 DE1.P 给人因降雨造成地下水污染(渗入溶液)。 不重要
DE1.MA 因降雨造成地下水污染(溶液渗入)而致环境。 不重要
DE2 DE2.P 因洪水/水灾造成地下水污染致人 不重要
DE2.MA 因水灾/水灾造成地下水污染而对环境 不重要
DE3 DE3.P 对人因风造成的微粒排放到大气中。 不重要
DE3.MA 因风对大气产生的微粒排放而对环境 不重要
DE4 DE4.P 因强降雨造成地表水污染致人 不重要
DE4.MA 因强降雨造成地表水污染对环境 不重要
DE5 DE5.P 因水灾造成地表水污染致人 不重要
DE5.MA 因水灾造成地表水污染对环境 不重要
DE6 DE6.P 由于水的侵蚀而导致的边坡破坏给人 不重要
DE6.MA 向环境进行水蚀致边坡破坏 不重要
DE7 DE7.P 因地震导致边坡崩塌致人 不重要
DE7.MA 因地震引发边坡破坏对环境 不重要
我的
MR1 MR1.P 给人因坑边坡失效,因地震超出禁区。 不重要
MR1.MA 因地震造成超过禁区的坑坡破坏而致环境。 不重要
MR2 MR2.P 因矿山向人渗入DAR 不重要
MR2.MA 因矿山向环境渗透致DAR 不重要
来源:Nueva Victoria和TEA项目矿山关闭计划更新(进行中)的附件10。
SQM TRS Nueva Victoria
帕格。228


17.5.2关闭成本
考虑到关闭和关闭后活动,Nueva Victoria和Iris项目采矿场地的关闭总量为284,507 UF(272,272 UF用于关闭,12,236 UF用于关闭后)。以下是在更新“Nueva Victoria e Iris”矿场关闭计划中向当局报告的费用摘要(见表17-717-8).
表17-7。Nueva Victoria矿场关闭费用
项目 合计(UF)
直接结算总成本 173,333
间接成本 17,333
或有事项 38,133
增值税(19%) 43,472
合计 272,272
资料来源:R第814/2022号决议,经第1511/2022号决议修正。(更新PDC。包括ASD)
表17-8。Nueva Victoria矿场关闭后的成本
项目 合计(UF)
直接成本 7,789
间接成本 779
或有事项 1,714
增值税(19%) 1,954
合计 12,236
rce:第814/2022号决议,经第1511/2022号决议修正。(更新PDC。包括ASD
根据技术报告,使用寿命呈现技术和构成的保障是考虑到关闭计划的总成本,使用寿命为21年,其预计运营将到2040年。以下是保障宪法的发展情况。
表17-9。Nueva Victoria的一般背景
一般背景
使用的贴现率 1.55%
认证寿命结束 2040
采矿场地的关闭年份 2050
SQM TRS Nueva Victoria
帕格。229


表17-10。通过安装Nueva Victoria矿山关闭计划提供保证。
按装置划分的保证表
安装 总成本(UF) 年份完成
运营
年份开始
关闭
结束
关闭年份
矿山(Caliche) 13,364 2040 2041 2050
矿山运营中心(COM) 35,899
蒸发池和中和系统 11,711
海水供应 51,824
ND碘化物工厂 7,529
茶碘化剂厂 10,253
NV碘化物工厂(TEA项目) 5,107
碘厂NV 4,690
碘化物植物-虹膜碘 20,939
Iodine Plant NV(TEA项目) 4,697
露营地和办公室 7,985
工业供水 47,442
缓解工程Salar Llamara 1,290
危废场 2,345
Patio de Res.Non-Hazardous Industrial 703
道路 8,099
去电 43
标牌 969
清拆游泳池及泳池 10,701
撤回投入 26,681
对结账后基金(UF)的缴款 282,871
SQM TRS Nueva Victoria
帕格。230


18资本和运营成本
本节包含与项目的资本和运营成本估算相关的前瞻性信息。可能导致实际结果与前瞻性信息中的结论、估计、设计、预测或预测存在重大差异的重大因素包括与本节所述的一项或多项重大因素或假设的任何重大差异,包括现行经济条件继续存在,使得单位成本与按固定(或实际)美元计算的估计值、预计的劳动力和设备生产率水平相同,并且意外情况足以说明重大因素或假设的变化。
Nueva Victoria场址生产碘盐和硝酸盐的主要设施如下:
卡利切矿业
堆浸
碘化物和碘植物
太阳能蒸发池
水资源供应
电气分配系统
一般设施
18.1资本成本
碘和硝酸盐生产作业的主要设施,包括caliche提取、浸出、水资源、碘化物和碘生产工厂、太阳能蒸发池,以及其他次要设施。办公室和服务包括,除其他外,以下:公共区域、供应区、厂房、实验室和仓库。
Nueva Victoria项目的大部分主要资本支出已经完成。据报道,截至2024年底,投资于这些设施的资本成本约为11.64亿美元,按主要类别划分的相对支出如下表18-1.
表18-1。Nueva Victoria an Iris业务的资本支出汇总
资本成本
%合计 毫米美元
类别 100% 1,164,322
卡利切矿业(*) 27% 311,841
堆浸 24% 282,163
碘化物和碘厂 20% 232,795
太阳能蒸发池 15% 179,469
水资源供应 7% 84,239
电气分配系统 3% 30,327
一般设施
4% 43,488
据报道,截至2024年12月31日的账面净值约为MUSD 474.3,根据SQM将在未来8年内折旧,不包括采矿设备,因为它是根据使用小时数折旧的。
18.1.1卡利切矿业
SQM在智利伊基克附近的Nueva Victoria和Iris生产富含碘化物、碘和硝酸盐的盐,这是从Nueva Victoria附近的矿山中提取的矿物caliche。
SQM TRS Nueva Victoria
帕格。231


该矿山的资本投资主要用于设备包括卡车、前装载机、推土机、钻头、地面采矿机(维密尔、维特根)、推土机、平地机。其他投资是在建筑物和支持设施及相关设备方面。
18.1.2堆浸
浸出桩由平台(通常为90x500m,具有周长护墙和底部防水HDPE膜)组成,这些平台装载必要的caliche,并用不同的溶液(水、混合物或桩的中间溶液)灌溉。
矿山运营中心(COM)是一组浸出堆,具有盐水积蓄池、再循环“弱盐水”池、工业水塘及其各自的抽水系统。
主要资本支出形式为管道、电气设施和设备、泵、池塘和支撑设备。
18.1.3碘化物和碘植物
碘化物和碘厂的主要投资在罐体和醒酒器设备、泵和管道、设备和电气设施、建筑物和井。Prilate碘厂的主要投资存在于管道和泵、机械设备(反应堆、罐体、塔架)和建筑物中。
18.1.4太阳能蒸发池
这些位于Sur Viejo工业区的池塘,接收在获得碘化物过程中产生的“弱盐水”馏分(BF),这些馏分通过3条每条约20公里的管道输送。目前蒸发池面积为8.34km ²,随着TEA项目增加到总计18.51km ²。
18.1.5水资源
首要投资是管道、水泵、建筑物和水井。
18.1.6电气分配系统
主要投资于变压器、变电站、配电系统和相关的支持设施。
18.1.7一般设施
一般设施投资包括实验室、火灾探测系统、照明、仓库。
18.2未来投资
2020年期间,Tente en el Aire项目的开发和环境处理取得了进展。2021年11月,塔拉帕卡地区环境评估委员会同意对SQM提出的“Tente en el Aire”项目进行有利分类。
该倡议投资6.3亿美元,旨在纳入新的矿区,以在Nueva Victoria场地生产碘化物、碘和富含硝酸盐的盐,这需要增加caliche提取物的总量,并增加上述工艺的用水。
该项目对应于对Nueva Victoria Faena的修改,包括:
a)新矿区(约43586公顷),卡利切开采率2800万t/y,共产生65m t/y。
b)新增2个碘化物生产装置(各6000 t/y),合计2.3万t/y。
c)新建制碘装置(1.2万t/y),累计2.3万t/y。
SQM TRS Nueva Victoria
帕格。232


d)新建蒸发池生产富硝酸盐的盐(1950000 t/y),共产生4000000 t/y。
e)一种新的中和系统,从Bah í a Patillos区到矿区的海水加成(最大900 L/s)。
f)国家电力系统新的电力传输线。
长期的额外资本估计为9.46亿美元,包括用于设备的采矿和浸出操作的维持资本,提高质量、性能、可持续性和提高产能等方面。营业成本分布情况列示于T能18-2:
表18-2投资估算
投资
(百万美元)
2025 2026 2027 2028 2029 2030
2031-2040
合计
海水管道 202 128 329
新维多利亚 160 49 48 75 83 48 483 946
实施Nueva Victoria扩建的投资细节;总金额为630 MMUSD,该项目包括:
900l/s的海水管道:投资329MMUSD,这包括管道、电力系统和海水取水口。

TEA太阳能蒸发面积增加:投资125MMUSD

增加Portage容量和运营中心:随着时间的推移投资1.36亿美元

新建TEA碘化物工厂TEA:投资40MMUSD,已投入运营,自2024年11月

18.3营业成本
生产碘和硝酸盐的主要成本涉及以下组成部分:碘和硝酸盐的常见生产成本,如采矿、浸出和海水,工厂碘的生产成本,以及在Coya Sur场地加工前的硝酸盐生产成本。
Coya Sur工厂的硝酸盐生产成本和额外的太阳能盐加工费用加在一起。对上述费用,已加上折旧及其他。
估计的总单位运营成本列于表18-3.这些是基于上述每个细分类别的历史单位运营成本。
从长期来看,预计总运营成本将在三个主要类别(普通;碘生产和运输;硝酸盐生产和运输)中几乎平均分摊。
表18-3 Nueva Victoria营业成本
成本类别 估计单位成本
常见(采矿/浸出/海水) 4.04美元/吨caliche
碘生产(包括运输到港口) 23,95美元/吨碘
硝酸盐生产 73.56美元/吨硝酸盐
硝酸盐运输至Coya Sur 27.55美元/吨硝酸盐
SQM TRS Nueva Victoria
帕格。233


19经济分析
本节包含与项目经济分析相关的前瞻性信息。可能导致实际结果与前瞻性信息中的结论、估计、设计、预测或预测存在重大差异的重大因素包括与本小节中提出的一个或多个重大因素或假设的任何重大差异,这些因素或假设包括估计的资本和运营成本、项目时间表和批准时间、资金的可用性、预计的商品市场和价格。
19.1主要假设
经济分析中使用的资本和运营成本如第18款.用于碘和硝酸盐的销售价格如第16款.现金流使用了5.3%的贴现率,被认为是合理的,考虑了资金成本和项目风险。28%的所得税率考虑周到,本节显示的所有成本、价格和价值均以2024年美元为单位。
19.2生产和销售
2025-2040年期间碘和硝酸盐的估计产量载于表19-1.所示产量未考虑Pampa Blanca项目的影响,该项目以单独的TRS形式呈现。
19.3价格和收入
碘的销售采用42.0美元/公斤(4.2万美元/吨)的平均销售价格,基于 第16款.这个价格评估为离岸价港口。
作为一家垂直整合公司,采矿业务的硝酸盐生产被引导到Coya Sur的工厂,以生产特种肥料产品。化肥用硝酸盐盐估算销售价格为323美元/吨,假设基于在Coya Sur销售的化肥成品平均销售价格为820美元/吨,减去在Coya Sur的生产成本497美元/吨。
这些价格以及来自碘和硝酸盐销售的收入流显示在表19-2。




SQM TRS Nueva Victoria
帕格。234


表19-1。Nueva Victoria长期矿山生产

材料运动 单位 2025 2026 2027 2028 2029 2030 2031-2040 合计
Nueva Victoria Sector矿石吨位 公吨 48 54 54 54 54 54 540 858
碘(I2)原位 ppm 362 362 357 351 343 338 313 327
平均品位硝酸盐(NaNO3) % 5.6% 5.6% 5.6% 5.5% 5.5% 5.4% 4.6% 4.9%
矿石开采总量(CALICHE) 公吨 48 54 54 54 54 54 540 858
碘(I2)原位 kt 17 20 19 19 19 18 169 280.8
产出工艺生产颗粒状碘 % 66.0% 67.0% 74.9% 74.7% 74.3% 73.8% 68.8% 70.0%
产生的波纹碘 kt 11.5 13.1 14.4 14.2 13.7 13.5 116.2 196.6
硝酸盐原位 kt 2,688 3,024 3,008 2,999 2,962 2,921 24,695 42,297
生产硝酸盐的产量过程 % 40.0% 40.0% 40.0% 40.0% 39.0% 38.0% 32.0% 35.1%
浸出生产硝酸盐 kt 1,075 1,210 1,198 1,185 1,157 1,122 7,892 14,839
池塘产出生产硝酸盐盐 % 100.0% 100.0% 100.0% 100.0% 100.0% 100.0% 100.0% 100.0%
化肥用硝酸盐 kt 1,075 1,210 1,198 1,185 1,157 1,122 7,892 14,839

SQM TRS Nueva Victoria
帕格。235


表19-2。Nueva Victoria碘和硝酸盐价格和收入



价格 单位 2025 2026 2027 2028 2029 2030 2031-2040 合计
美元/吨 42,000 42,000 42,000 42,000 42,000 42,000 42,000 42,000
向Coya Sur交付的硝酸盐 美元/吨 323 323 323 323 323 323 323 323
收入 单位
2025
2026
2027
2028
2029
2030
2031-2040
合计
百万美元 482 550 606 595 577 566 4,881 8,257
向Coya Sur交付的硝酸盐 百万美元 347 391 387 383 374 362 2,548 4,792
总收入 百万美元 829 940 993 978 951 928 7,429 13,049





SQM TRS Nueva Victoria
帕格。236


19.4运营成本
与Nueva Victoria生产碘和硝酸盐相关的运营成本如下文所述第18款并在以下主要领域发生:
1.共同
2.碘生产
3.硝酸盐生产
有关运营成本的更多详细信息,请参见第18.3节.这些单元操作中的每一项的单位成本显示在表19-3.


SQM TRS Nueva Victoria
帕格。237


表19-3。Nueva Victoria运营成本。

成本 单位 2025 2026 2027 2028 2029 2030 2031-2040 合计
共同
采矿 百万美元 121 136 136 137 136 136 1,363 2,166
无水浸出 百万美元 65 73 73 73 73 73 726 1,154
水w/o能源 百万美元 17 19 14 14 14 9 90 176
采矿总成本 百万美元 202 228 223 223 223 218 2,180 3,496
碘生产
解决方案成本 百万美元 166 186 182 183 183 180 1,910 2,989
碘化物工厂 百万美元 37 43 47 46 45 44 378 639
碘厂 百万美元 37 43 47 46 45 44 378 639
碘生产总成本 百万美元 240 271 275 275 273 267 2,666 4,268
碘生产总成本 美元/公斤碘 20.9 20.7 19.1 19.4 19.8 19.8 22.9 21.7
硝酸盐生产
解决方案成本 百万美元 37 41 41 41 40 38 270 507
池塘和准备 百万美元 33 37 36 36 35 34 239 449
收获产量 百万美元 8 9 8 8 8 8 56 105
其他(G & A) 百万美元 2 2 2 2 2 2 16 31
运输至南科亚 百万美元 30 33 33 33 32 31 217 409
硝酸盐生产总成本 百万美元 109 122 121 120 117 113 798 1,500
硝酸盐生产总成本 美元/吨硝酸盐 101 101 101 101 101 101 101 101
闭合增生 百万美元 11
营业总成本 百万美元 349 394 397 395 390 381 3,475 5,779

SQM TRS Nueva Victoria
帕格。238


19.5资本开支
Nueva Victoria项目的大部分主要资本支出已经完成。
最重要的拟议未来资本支出是用于支持拟议TEA扩建项目的海水管道。这项投资预计在2025-2026年期间需要3.29亿美元。
长期额外资本估计为9.46亿美元,包括与TEA扩建项目相关的资本以及采矿和浸出业务的持续资本。用于设备、提高质量、性能、可持续性和提高产能等方面。
据估计,2040年现金流的关闭成本为1100万美元。
有关Nueva Victoria项目资本支出的更多详细信息,请参见第18.1节第18.2节.长期(2025-2040年)的资本支出估计数列于表18-2。
19.6现金流预测
Nueva Victoria项目的现金流列示于表19-4.以下是现金流的主要结果摘要:
总收入:估计为13,049百万美元,包括碘和硝酸盐的销售。
总运营成本:预计为57.79亿美元。
EBITDA:估计为72.69亿美元。
税前毛收入的税率为28%。
关闭成本:估计为1100万美元。
资本支出估计为12.75亿美元。
营运资本的净变化是基于两个月的EBITDA。
采用5.3%的贴现率确定NPV。QP认为这是合理考虑资金成本和项目风险的本次TRS申请的合理贴现率。
税后现金流:现金流的计算方法是从总收入中减去所有运营成本、税收、资本成本、利息支付和关闭成本。
净现值:以5.3%的贴现率估算税后NPV为30.60亿美元。
QP认为成本估算的准确性和偶然性完全在预可行性研究(PFS)标准之内,并且足以进行支持Nueva Victoria矿产储量估算的经济分析。


SQM TRS Nueva Victoria
帕格。239


表19-4。估计本期净现值(NPV)

收入 单位 2025 2026 2027 2028 2029 2030 2031-2040 合计
总收入 百万美元 829 940 993 978 951 928 7,429 13,049
成本
采矿总成本 百万美元 202 228 223 223 223 218 2,180 3,496
碘生产总成本 百万美元 240 271 275 275 273 267 2,666 4,268
硝酸盐生产总成本 百万美元 109 122 121 120 117 113 798 1,500
闭合增生 百万美元 11 11
营业总成本 百万美元 349 394 397 395 390 381 3,475 5,779
EBITDA 百万美元 480 547 596 583 561 548 3,955 7,269
折旧 百万美元 48 56 79 79 79 87 846 1,275
税前总收入 百万美元 432 490 517 504 482 461 3,109 5,994
税收 28% 121 137 145 141 135 129 870 1,678
营业收入 百万美元 311 353 372 363 347 332 2,238 4,316
加回折旧 百万美元 48 56 79 79 79 87 846 1,275
加回闭合吸积 百万美元 0 0 0 0 0 0 11 22
税后净收入 百万美元 359 409 451 442 426 419 3,095 5,602
总资本支出 百万美元 362 176 48 75 83 48 483 1,275
关闭成本 百万美元 11
营运资金 百万美元 2 11 8 -2 -4 -2 -50 (36)
税前现金流 百万美元 116 360 540 510 481 502 3,522 6,030
税后现金流 百万美元 (5) 222 395 369 347 373 2,663 4,363
税前净现值 百万美元 4,298
税后净现值 百万美元 3,060
贴现率 百万美元 5.3%
SQM TRS Nueva Victoria
帕格。240


19.7敏感性分析
通过自主变动商品价格(碘、硝酸盐)、运营成本、资金成本进行敏感性分析。灵敏度分析结果显示在图19-5它显示了每个关键指标的相对灵敏度。
图19-5。灵敏度分析

chart-710d0fd881344703942.jpg
如上图所示,项目NPV对运营成本和商品价格同样敏感,而对资金成本最不敏感。对于一个成熟、成熟的项目来说,这是可以预期的,其大部分基础设施已经到位,并且在本研究讨论的LOM期间目前没有计划的非常大的项目。碘和硝酸盐价格对NPV的影响相似,硝酸盐价格的影响略大。
SQM TRS Nueva Victoria
帕格。241


20邻接属性
SQM有权在智利北部I区和II区覆盖超过1,539,177公顷的有效区域内勘探和/或开采caliche矿产资源。前景矿床位于平坦的土地或“潘帕斯”。
Hermosa Oeste
Tente en el Aire Oeste。
潘帕埃尔莫萨
Pampa Enga ñ adora
埃尔莫萨
福图纳
椰子油
科鲁尼亚
埃尔莫萨苏尔
Los á ngeles
Tente en el aireà(TEA Sur – TEA Central – TEA Felipe – COP5)
Franja Oeste
Iris Vig í a
奥斯特三世
托尔卡萨
苏尔
奥斯特
所有勘探区均已勘探,勘探方案结果表明,这些前景反映出含有硝酸盐和碘的矿化趋势。2022年,Hermosa Oeste和Tente en el Aire Oeste地区5,250公顷的详细勘探计划正在进行中。另一方面,勘探工作的重点是在caliche地下发现的可能的金属矿化。该地区存在显著的金属矿化潜力,尤其是铜和金。勘探产生了发现,在某些情况下可能会导致开采、发现销售和未来版税的产生。
沿着SQM-Nueva Victoria的边界,如下图所示图20-1,还有一些小规模的采矿权。总共有两个采矿地段(绿色显示:东北和东南),接近物业边界。
SQM TRS Nueva Victoria
帕格。242


图20-1。Nueva Victoria毗邻楼盘。
image_173.jpg
SQM TRS Nueva Victoria
帕格。243


21.其他相关数据和信息
QP未知本TRS有任何其他相关数据或信息需披露。
SQM TRS Nueva Victoria
帕格。244


22解释和结论
本节包含与矿产资源和项目长期计划相关的前瞻性信息。可能导致实际结果与结论、估计、设计、前瞻性信息中的预测或预测包括与本子节中提出的一个或多个重要因素或假设的任何重大差异,这些因素或假设包括:地质和品位解释和控制以及与确定经济开采前景相关的假设和预测;品位连续性分析和假设;矿产资源模型吨和品位以及矿山设计参数;与历史操作或迄今为止测试的样品不同的实际工厂进料特性;设备和操作性能根据历史运营以及历史和当前测试工作结果得出不同结果;采矿策略和生产率;预期矿山寿命和采矿单元尺寸;长期内的普遍经济状况、商品市场和价格;研究期间的监管框架没有变化,没有不可预见的环境、社会或社区事件扰乱及时批准;估计的资本和运营成本;以及项目时间表和批准时间与可用资金。
Nueva Victoria矿是一家经过验证的碘和硝肥产品生产商。目前的勘探钻探已确定矿产资源和矿产储量,足以将生产持续到2040年。为实现这一目标,必须实施某些计划中的战略投资,包括为该行动建立一个海水取水和供应系统。
为得出这一结论,审查了地质、钻探、采矿、选矿等方面的现有数据,得出矿产资源、成本、回收率合理的结论。运营的最大风险将在于市场状况的变化或运营投入的成本。
本报告所做的工作表明,矿山、堆浸设施以及碘和硝酸盐作业与技术上可行和经济上可行的项目相对应。最合适的工艺路线被确定为现有工厂的选定单元操作,否则这是行业的典型。
硝酸盐和碘工艺目前的需求,如动力、水、人工、供应等,由于这是一个成熟的操作,有多年的生产支持,目前的项目基础设施。因此,有价值的硝酸盐和碘种类的性能信息由大量历史生产数据组成,这些数据对于预测加工厂的冶金回收率很有用。与此同时,冶金测试旨在估计不同的caliche矿石对浸出的响应。
Resources的Freddy Ildefonso QP和Reserves and Resources的Marco Fazzi QP得出的结论是,在编写这份技术报告时所做的工作包括申报矿产储量的充分细节和信息。关于资源处理过程,负责的QP,Gino Slanzi的结论是,已经使用了适当的工作实践和设备、设计方法和加工设备选择标准。此外,公司开发了新工艺,持续、系统地优化了运营。
QP认为,Nueva Victoria项目的采矿和持续开发应继续进行,并纳入SQM的企业计划。
SQM TRS Nueva Victoria
帕格。245


22.1结果
22.1.1地质和矿产资源
Nueva Victoria是位于中间凹陷的硝酸盐碘矿床,东部受限于沿海山脉(代表侏罗纪岩浆弧)和Precordillera(与源自智利北部巨型Cu-AU矿床的岩浆活动有关),为它们的沉积和集中形成了天然屏障。
Nueva Victoria地质团队对矿化控制有清晰的认识,地质和矿床相关知识已被适当地用于开发和指导勘探、建模和估算过程。
矿产资源估算的采样方法、样品制备、分析和安全性均可接受。采集的样本数据充分反映了矿床的尺寸、矿化的真实宽度以及矿床的风格。采样在碘和硝酸盐等级中具有代表性。
截至2024年12月31日,Nueva Victoria的碘和硝酸盐矿产资源(测量、指示和推断,不包括矿产储量)为311公吨,碘平均品位为249ppm,硝酸盐为3.87%。
SQM持有与当前操作相似的地质和地貌的大型资产头寸。SQM很可能会继续在Nueva Victoria地区寻找更多的矿产资源。
22.1.2采矿和矿产储量
Nueva Victoria自2002年开始运营,是一家稳定的企业,应该会持续生产到未来。
22.1.3冶金和矿物加工
据负责冶金和资源处理的QP Gino Slanzi Guerra:
有一个适当记录的覆盖系统验证计划,以限制浸出过程中的渗透。该文件根据环境合规标准建立了安装和检漏程序。
迄今为止进行的冶金测试工作足以为caliche资源建立适当的加工路线。冶金试验结果表明,回收率取决于盐基含量,另一方面,这一点的最大化与已研究的浸渍周期相关联,根据分类物理性质建立灌溉规模。所得数据适用于估算矿产资源回收率的目的。
根据年度、短期和长期生产计划,根据采矿计划对不同类型的待开采材料进行产量估算,根据其物理和化学性质分类,获得被认为对资源相当充足的回收率预测。
除了ROM采矿方法,还有一种称为“地表采矿”的采矿方法,根据用扩孔设备进行的测试,可以获得更小尺寸的矿物和更均匀的粒度,这意味着在浸出过程中获得更高的碘和硝酸盐回收率。
试剂预测和投药基于确定矿石品位、有价值元素含量和杂质含量的分析过程,以确保系统的处理要求有效。这些被转化为消费率因素,被成熟地研究。
由于水的获取可能受到不同的自然和人为因素的影响,因此使用海水是未来或当前运营的可行替代方案。然而,这可能会增加运营成本,导致额外的维护天数。
SQM TRS Nueva Victoria
帕格。246


在操作过程中,对输入系统的杂质含量和母液中的浓度进行监测,以最终检测出任何可能影响处理方法及其产品特性的情况。
22.2风险
22.2.1采矿和矿产储量
随着采矿进入新的区域,例如Hermosa Oeste,生产、稀释和回收因素可能会根据运营因素发生变化。这些因素和采矿成本应按部门进行评估。
22.2.2冶金和矿物加工
目前定义的工艺无法产生所需的预期数量和/或质量的风险。然而,已经对处理过的材料进行了详尽的表征测试,而且,在工艺的所有阶段,都有控制措施,以便在一定范围内管理成功的操作。
自然资源中杂质程度随时间增加可能超过模型预测的风险,从而可能导致不符合某些产品标准。因此,可能需要纳入其他工艺阶段,随着先前工程研究的发展,以符合标准。
22.2.3其他风险
碘和化肥的价格一直在稳定增长,尽管产品价格是一个风险,但预计很小。
智利目前的宪法讨论进程产生了一种社会和政治风险,这可能会改变对采矿业的实际监管,这可能会影响到采矿财产、税收和未来的特许权使用费。
22.3重大机遇
22.3.1地质和矿产资源
使用区块模型方法提高资源估算简单性和可复制性的机会很大,不仅在较小的50x50m和高达200x200m的钻孔网格情况下,而且对于较大的钻孔网格,避免通过钻孔间距将资源模型和数据库分开,使资源模型的估算和管理达到行业标准。
22.3.2采矿和矿产储量
通过实施选择性开采标准来提高开采效率,以提高产出品位。由于该矿床是一个单一的采矿平台,因此有机会建立一个较小的选择性采矿单元并开采不规则多边形,以提高输送到浸出垫的头部品位。
地面采矿机的优势将提供更好的浸出回收率,并可能通过评估刀盘设计和操作参数进行优化。应注意以最终产品生产价格为基础评估成本。
22.3.3冶金和矿物加工
通过最大限度地回收和最小化成本的地面采矿确定最佳开采水平。
改善堆坡灌溉条件,提高碘、硝酸盐回收率。
23建议
SQM TRS Nueva Victoria
帕格。247


23.1地质和矿产资源
继续使用认证标准进行QAQC计划,以确保SQM Caliche Yodo实验室化学分析中的精度、准确性和污染控制,目标是根据行业最佳实践拥有一个可审计的数据库。
将资源估算的区块模型方法扩展到更大的钻孔网格,避免通过钻孔间距将资源模型和数据库分开。

与外部公司审计整个资源估算过程,即钻井数据库、资源量估算、储量估值的专家评审
23.2采矿和矿产储备
继续进行矿产资源分类计划,维护和改进具有多矿分析的区块估值方法,用于矿产储量的报告,以实现SQM价值的最大化。
与加工集团合作,配矿计划可以优化未来的成本和回收平衡,应该很快进行研究,以便更好地预测矿山寿命的生产和设备需求。
23.3冶金和矿物加工
从投料堆的角度来看,有必要进行回收研究,以建立最大限度回收和最小化成本的最佳年度运营水平。该研究将允许定义在矿山寿命期间要扩孔的矿石百分比,以依次提高回收率。
关于灌溉,应审查允许有效利用水的替代方案,考虑灌溉桩的侧向区域,以增加碘和硝酸盐的回收。
一个相关方面是在该过程中加入海水,这一决定在当前缺水的情况下受到重视,最终是对该项目的贡献,但是,应该研究处理因素的影响,例如来自这一来源的杂质。
宜开展试验,确定管控桩内水行为的水文地质参数。审查矿床的特性,它在桩的底部充当粘合剂的保护剂,目前是一种称为“chusca”的精细材料,可以用分类颗粒材料代替,有利于溶液的渗透。
通过堆浸模拟评估可浸出材料被认为很重要,这允许构建一个caliche浸出的概念模型,以期对抛石进行二次处理,以提高整体回收率。
致力于生成代表堆浸出、颗粒尺寸减小(ROM与Scarious粒度)的模型,因此,整个堆和不同物种在不同硝酸盐碘提取速率下的同时溶解的模型,是有贡献和相关的。
关于生成材料使用选项,建议对矿山属性边界内的可用粘土进行详细的岩土工程表征,以评估现场是否有足够的粘土材料用作浸出垫下的低渗透土壤衬垫床。
环境问题包括渗滤液或酸水管理、大气排放管理、尾矿堆管理和渗滤液抛渣。
上述所有建议均在申报的CAPEX/OPEX范围内考虑,并不意味着执行这些建议的额外成本。
SQM TRS Nueva Victoria
帕格。248


24参考资料
Chong,G.,Gajardo,A.,Hartley,A.,Moreno,T. 2007。工业Minerals和岩石。In Moreno,T. & Gibbons,W.(eds)the Geology of Chile 7,201-214
Ericksen,G.E. 1981。智利硝酸盐矿床的地质和成因。美国地质调查局专业论文1188-b。
Fiesta,B. 1966年。El origen del salitre de Chile。Sociedad Espa ñ ola de Historia Natural Bolet í n,Secci ó n Geol ó gica 64(1),47-56。
穆勒,G. 1960。北智利硝酸盐矿床形成理论通过((毛细管浓度))。国际地质大会,21日,哥本哈根1960,报告1,76-86。
Pueyo,J.J.;Chong,G.;Vega,M. 1998。Mineralog í a y evoluci ó n de las salmueras madres en el yacimiento de nitratos Pedro de Valdivia,安托法加斯塔,智利。Revista a Geol ó gica de Chile,Vol.25,No. 1,p.3-15。
Reich,M.,Snyder,G.T.,Alvarez,F.,P é rez,A.,Palacios,C.,Vargas,G.,Cameron,E.M.,Muramatsu,Y.,Fehn,U. 2013。在干旱地区使用碘来限制超原uid来源:来自Chuquicamata氧化毯的见解。经济地质108,163-171。
Reich,M.,Bao,H. 2018。阿塔卡马沙漠的硝酸盐沉积物:长期超干旱的标志。Elements,Vol.14,251 – 256
SQM TRS Nueva Victoria
帕格。249


25依赖注册人提供的资料
符合条件的人在编制其关于修改因素以下方面的调查结果和结论时依赖于注册人提供的信息:
1)宏观经济趋势、数据和假设,以及利率。
2)矿山和加工运营成本。
3)预计销售数量和价格。
4)注册人控制范围内的营销信息和计划。
5)环境和社会许可
SQM TRS Nueva Victoria
帕格。250