查看原文
免责申明:同花顺翻译提供中文译文,我们力求但不保证数据的完全准确,翻译内容仅供参考!
EX-99.5 11 tm2529220d4 _ ex99-5.htm 展览99.5
附件 99.5
初步–以完成为准

GRAPHIC

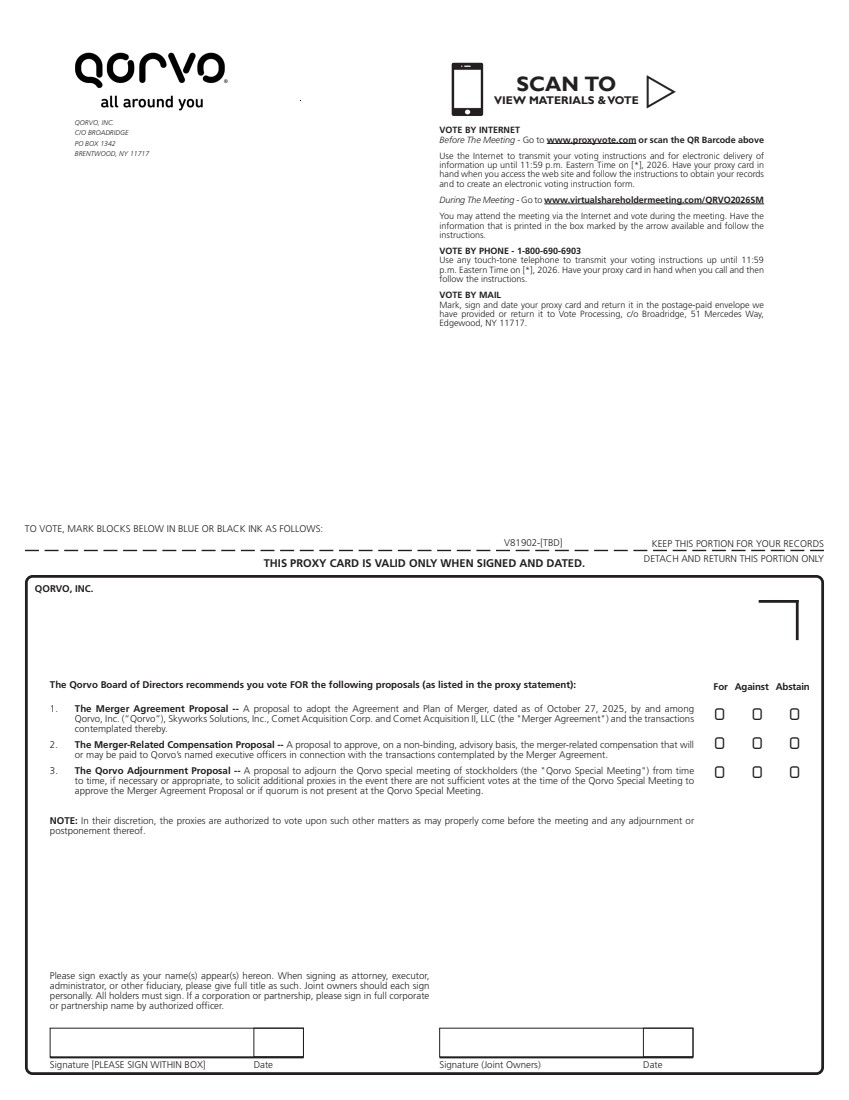
签名【请在方框内签名】日期签名(共同所有人)投票日期,在下面用蓝色或黑色墨水标记方块如下:保留此部分作为您的记录DETACH并返回此部分仅此代理卡在签名并注明日期时有效。V81902-[待定] 1。合并协议提案-关于采用由Qorvo, Inc.(“Qorvo”)、Skyworks Solutions, Inc.、Comet Acquisition Corp.和Comet Acquisition II,LLC于2025年10月27日签署的协议和合并计划的提案(“合并协议”和该等提案,即“合并协议提案”)。2.与合并相关的补偿提案-在不具约束力的咨询基础上批准将会或可能会就合并协议所拟进行的交易向Qorvo指定的执行官支付的与合并相关的补偿的提案。3.Qorvo休会提案--在必要或适当的情况下,不时举行Qorvo特别股东大会(“Qorvo特别会议”)以征集额外代理人的提案,以防在Qorvo特别会议召开时没有足够的票数批准合并协议提案,或者在未达到出席Qorvo特别会议的法定人数的情况下。For against abstain!!!!!!Qorvo董事会建议您对以下提案(如代理声明中所列)投票:QORVO,INC。C/O Broadridge PO BOX 1342 Brentwood,NY 11717 QORVO,INC。请与您在此出现的姓名完全一致地签名。在以律师、被执行人、管理人、其他受托人身份签字时,请提供完整的标题。共同所有人应各自亲自签字。所有持有人必须签字。如属法团或合伙企业,请获授权人员签署完整的法团或合伙名称。注:授权代理人酌情就会议之前可能适当提出的其他事项及其任何休会或延期进行表决。!!!扫描查看材料&会前通过互联网投票-到www.proxyvote.com或扫描上面的二维码条码使用互联网传输您的投票指示和电子传递信息,直至美国东部时间晚上11:59 [*], 2026.当您访问网站并按照指示获取您的记录和创建电子投票指示表格时,请准备好您的代理卡。会议期间-请访问www.virtualshareholdermeeting.com/QRVO2026SM您可以通过互联网参加会议,并在会议期间进行投票。拥有箭头标记的框中打印的信息可用,并按照说明操作。电话投票-1-800-690-6903使用任何按键式电话传送您的投票指示,直至美国东部时间晚上11:59 [*], 2026.打电话时要准备好代理卡,然后按照指示操作。以邮寄标记方式投票,签署并注明您的代理卡日期,并将其放入我们提供的已付邮资信封中退回或退回至Vote Processing,c/o Broadridge,51 Mercedes Way,Edgewood,NY 11717。

GRAPHIC

关于特别会议代理材料可用性的重要通知:通知和代理声明可在www.proxyvote.com上查阅。V81903-[待定] QORVO,INC。股东特别会议[*], 2026, [*】,太平洋时间本次代理是代表QORVO董事会征集的。股东特此指定(s)Robert A. Bruggeworth和Jason K. Givens或他们中的任何一人作为代理人,各自有权指定其替代人选,并在此授权(s)他们代表并投票,如本投票反面指定的,该股东有权/有权在将于[*],太平洋时间,于[*], 2026,几乎通过互联网www.virtualshareholdermeeting.com/QRVO2026SM,以及任何延期或延期。此代理,当正确执行时,将按照此处指示的方式进行投票。如果未做出此类指示,则该代理人将按照Qorvo董事会对此处包含的每项提案的建议进行投票。如果任何其他事项适当地在会议之前提出,以及任何延期或延期,代理人中指名的人将酌情就这些事项进行投票。续,且必须在另一方签字并注明日期