查看原文
免责申明:同花顺翻译提供中文译文,我们力求但不保证数据的完全准确,翻译内容仅供参考!
EX-10.1 3 展览101boeingsa-22ex.htm EX-10.1波音公司第22号补充协议 展览101boeingsa-22exe
SWA-PA-03729 1 SA-22波音专有补充协议第22号购买波音公司与西南航空公司之间的第03729号协议。关于波音737-8型和737-7型飞机,这份截至2024年4月18日签订的第22号补充协议(SA-22)是波音公司(一家特拉华州公司(波音))与西南航空公司(一家德克萨斯州公司(客户))之间订立的。RECITALS:鉴于客户与波音订立日期为2011年12月13日的采购协议编号PA-03729(经修订及补充,采购协议),内容有关购买及销售波音737-8型飞机(737-8型飞机)及737-7型飞机(737-7型飞机)(737-8型飞机及737-7型飞机统称“飞机”)。本SA-22是对采购协议的修订,并被纳入采购协议。此处使用但未另行定义的大写术语将具有购买协议中规定的含义;鉴于客户和波音同意根据第1号信函协议的条款,将三(3)架飞机和型号从737-7型飞机改期为737-8型飞机。SWA-PA-03729-LA-2202855R4题为“2023-2025 MAX生产计划”,十九(19)架飞机(替代飞机)如下:2022年8月一(1)日、2025年1月五(5)日、2025年2月六(6)日和2025年3月七(7)日预定升级交付月份;鉴于客户和波音同意修订购买协议条款,以纳入有关条款,因此,客户和波音同意重新安排可选飞机附件1-A和1-B、飞机交付、说明、价格、和预付款737-8期权飞机;[ * * * ] =某些已识别信息已被排除在展品之外,因为这些信息既不重要,又属于注册人视为私人或机密的类型。[***]


 
SWA-PA-03729 2 SA-22 BOEING Proprietary Now,Therefore,各方同意采购协议按以下规定进行修订或另行约定如下:1。目录。现将《采购协议》目录全部删除,改为新的目录(附后),其中列出本SA-22修订或增加的表格、展品、信函协议,并以“SA-22”标识。此类经修订的目录通过此项参考纳入采购协议。2.表格。2.1.表1a,飞机交付、说明、价格和预付款– 737-8飞机,特此全部删除,并由随附的新的表1a(以“SA-22”标识)取代,并通过此引用并入购买协议。表1A更新为2022年8月、2025年1月、2025年2月和2025年3月增加了十九(19)架交付月份升级的替代飞机。2.2.表1b,飞机交付、说明、价格和预付款– 737-7飞机,现将其全部删除,改为随附的新的表1b(以“SA-22”标识),并通过此引用并入购买协议。表1B更新为:增加一百零八(108)个序号,改期三(3)2025年3月和(3)2025年8月飞机,转换十九(19)个替代飞机。2.3.附件1-A,飞机交付、说明、价格和预付款– 737-8原始期权飞机,特此全部删除,取而代之的是一个新的附件1-A(以“SA-22”标识),并通过此引用并入购买协议。附件1A已更新,将两(2)架2025年6月原选项飞机改期至2025年10月。2.4.附件1-B,飞机交付、说明、价格和预付款– 737-82020年期权飞机,特此全部删除,取而代之的是一个新的附件1-B(以“SA-22”标识),并通过此引用并入购买协议。附件1B已更新,改期十三(13)架2020年可选飞机:三(3)架2025年7月至2025年10月、三(3)架2025年8月至2025年10月及2025年11月、三(3)架2025年9月至2025年11月、三(3)架2025年10月至2025年12月及一(1)架2025年12月至2026年1月。


 
SWA-PA-03729 3 SA-22波音专营权3。信函协议。3.1.信函协议编号特此将题为“2023/2024 MAX生产计划”的SWA-PA-03729-LA-2202855R3全部删除,代之以Letter Agreement No。题为“2023-2025 MAX生产计划”的SWA-PA-03729-LA-2202855R4。信函协议编号SWA-PA-03729-LA-2202855R4已更新以修订生产信函条款,并在2022年8月、2025年1月、2025年2月和2025年3月增加了十九(19)架737-8飞机的转换,交付月升级3.2。标题为[ * * * ]的信函协议SWA-PA-03729-LA-2400908通过此引用添加到采购协议中。信函协议SWA-PA-03729-LA-2400908提供[ * * * ]。4.SA-22 [ * * * ]。4.1.由于三(3)架2025年3月和三(3)架2025年8月飞机的替代、加速和滑动,在本SA-22中描述,客户[ * * * ]。由于涉及剩余的替代飞机,客户同意继续[ * * * ]。5.杂项。5.1.采购协议按上述规定进行修订,采购协议的所有其他条款和条件保持不变,并具有充分的效力和效力。上述各节中列出的任何目录、信函协议或其他文件均通过引用并入本SA-22。截至上述日期和年份的重迭执行。波音公司西南航空公司。作者:/s/Herbert C. Portillo作者:/s/Jon Stephens姓名:Herbert C. Portillo姓名:Jon Stephens Its:Attorney-in-fact Its:VP Fleet Management


 
SWA-PA-03729 SA-22第1页BOEING专有目录条目标题第1条数量,型号及说明SA-2第2条交付时间表第3条价格第4条付款SA-2第5条附加条款表标题1A 737-8飞机信息表SA-22 1B 737-7飞机信息表SA-22展品A1 737-8飞机构型SA-11 A2 737-7飞机构型SA-8 A-3 737-8后市场飞机构型SA-17 B *飞机交付要求和责任B-1后市场飞机技术SA-17验收和交付要求和责任补充展品标题AE1 *升级调整/机身和可选特性BFE1 BFE变量适用于737-8 SA-7 BFE2 BFE变量适用于737-7 SA-8 CS1客户支持变量CS1-7MAX客户支持变量SA-2 EE1 *发动机升级/发动机保修和专利赔偿


 
SWA-PA-03729 SA-22第2页BOEING专有SLP1 *使用寿命保单组件信函协议标题SWA-PA-03729-LA-1106463R3未结事项SA-8 SWA-PA-03729-LA-1106464 * SWA-PA-03729-LA-1106465 * SWA-PA-03729-LA-1106466 SWA-PA-03729-LA-1106467R3 SA-20 SWA-PA-03729-LA-1106468 * SWA-PA-03729-LA-1106469R1 SA-2 SWA-PA-03729-LA-1106471R2替代飞机SA-2


 


 


 
表1A至购买协议第PA-03729飞机交付,说明,价格及预付款737-8飞机机身型号/MTOW:737-8 181,200磅详细规格:D019A008-P(5/1/2017)发动机型号/推力:CFMLEAP-1B28(2)27,900磅机身价格基准年/升级公式:Jul-11非标机身价格:[ * * * ]发动机价格基准年/升级公式:不适用不适用可选特性:[ * * * ]机身和特性小计:[ * * * ]机身升级数据:发动机价格(每架飞机):[ * * * ]基准年指数(ECI):[ * * * ]飞机基本价格(不含BFE/SPE):[ * * * ]基准年指数(CPI):[ * * * ] BuBuBuBuBuBuBuBuBuBuBuBuBuBuBuBuBuBuBuBuBuBuBuBuBuBuBu到期/Mos。交付前):交付升级因子数*(3.3)在签署24 Mos时的串行升级Adv支付基数。2 1/18/12/9/6 Mos。总日期*(1)日期*(3.2)飞机(机身)数量*(2)系数[ * * * ]每A/P的票据价格[ * * * ] [ * * * ] [ * * * ] [ * * * ] 2017年7月[ * * * ] 1 [ * * * ] 36929 [ * * * ] [ * * * ]注1 [ * * * ] [ * * ] [ * * * ] [ * * * ] [ * * * ]注1 [ * * * ] [ * * * ] [ * * * ] [ * * * ] [ * * * ] [ * * * ]注1 [ * * * * ] [ * * * ] [ * * ] [ * * * ] [ * * * ]注1 [ * * * * ] [ * * * ] [ * * * ] [ * * * ]注1 [ * * * * * ][ * * * ] [ * * * ] Aug-2017 [ * * * ] 1 [ * * * ] 42567 [ * * * ] [ * * * ]注1 [ * * * ] [ * * ] [ * * ] [ * * * ] [ * * * ] Aug-2017 [ * * * ] 1 [ * * * ] 42563 [ * * * ] [ * * * ]注1 [ * * * * ] [ * * * ]注1 [ * * * * ] [ * * * ] [ * * * ] [ * * * ] [ * * * ] [ * * * ] Aug-2017 [ * * * ] 1 [ * * * * ] 42566 [ * * * ] [ * * * ]注1 [ * * * ] [ * * * ] [ * * * ] [ * * * ] [ * * * ] [ * *[ * * * ] [ * * * ] [ * * * ] [ * * * ] [ * * * ] [ * * * ] [ * * * ] 2018年3月[ * * * ] 1 [ * * * ] 36989 [ * * * ] [ * * * ] [ * * * ] [ * * * ] [ * * * ] [ * * * ] [ * * * ] 2018年3月[ * * * ] 1 [ * * * * ] 42571 [ * * * ] [ * * ] [ * * ] [ * * ] [ * * ] [ * * * ] [ * * * ] [ * * * ] [ * * * ] [ * * * * ] [ * * * ] [ * * * ] [ * * * ] [ * * * ] 2018年4月[ * * * ] 1 [ * * * * ] 42546 [ * * * ] [ * * *42549 [ * * * ] [ * * * ] [ * * * ] [ * * * ] [ * * * ] [ * * * ] [ * * * ] 2018年8月[ * * * ] 1 [ * * * ] 42574 [ * * * ] [ * * * ] [ * * * ] [ * * * ] [ * * * ] [ * * ] [ * * * ] 2018年8月[ * * * ] 1 [ * * * * ] 42575 [ * * * ] [ * * ] [ * * * ] [ * * ] [ * * * ] [ * * * ] [ * * * ] [ * * * ] [ * * * ] [ * * * ] [ * * * ] [ * * * ] [ * * * ] [ * * * ] 2018年9月[ * * * ] 2 [ * * * * ] 42573、42576 [ *


 
表1A至购买协议编号。PA-03729飞机交付、说明、价格和预付款737-8飞机发票升级制造商升级估算每架飞机的预付款(安培。到期/Mos。交付前):交付升级因子数*(3.3)在签署24 Mos时的串行升级Adv支付基数。2 1/18/12/9/6 Mos。总日期*(1)日期*(3.2)飞机(机身)数量*(2)因子[ * * * ]每A/P的票据价格[ * * * ] [ * * * ] [ * * * ] [ * * * ] Feb-2021 [ * * * ] 2 [ * * * ] 65437,65436 [ * * * ] [ * * * ] [ * * * ] [ * * * ] [ * * * ] [ * * * ] [ * * * ] 2021年2月[ * * * ] 1 [ * * * ] 42634 [ * * * ] [ * * * ] [ * * * ] [ * * * ] [ * * * ] [ * * * ] [ * * * ] 2021年2月[ * * * ] 1 [ * * * * ] 36722 [ * * * ] [ * * ] [ * * * ] [ * * * ] [ * * * ] [ * * * ] [ * * * ] [ * * * ] [ * * * ] [ * * * ] [ * * * ] [ * * * ] [ * * * ] [ * * * ] [ * * * * ] [ * * * ] [ * * * * ] [ * * *42661 [ * * * ] [ * * * ] [ * * * ] [ * * * ] [ * * * ] [ * * * ] [ * * * ] 2021年3月[ * * * ] 1 [ * * * ] 65439 [ * * * ] [ * * * ] [ * * * ] [ * * * ] [ * * * ] [ * * * ] [ * * * ] [ * * * ] [ * * * ] 2021年3月[ * * * ] 1 [ * * * * ] 65440 [ * * * ] [ * * * ] [ * * * ] [ * * * ] [ * * * ] [ * * * ] [ * * * ] [ * * * ] [ * * * ] [ * * * ] [ * * * ] [ * * * ] [ * * * ] [ * * * ] [ * * * * ] [ * * *42662 [ * * * ] [ * * * ] [ * * * ] [ * * * ] [ * * * ] [ * * ] [ * * * ] 2021年4月[ * * * ] 1 [ * * * ] 42536 [ * * ] [ * * * ] [ * * * ] [ * * * ] [ * * * ] [ * * * ] [ * * * ] [ * * * ] 2021年4月[ * * * ] 1 [ * * * * ] 42664 [ * * * ] [ * * * ] [ * * * ] [ * * * ] [ * * * ] [ * * * ] [ * * * ] [ * * * * ] [ * * ] [ * * * ] [ * * * ] [ * * * ] [ * * * ] [ * * * ] [ * * * ] [ * * * ] [ * * * ] [ *2022年3月[ * * * ] 1 [ * * * ] 67209 [ * * * ] [ * * * ]附注6 [ * * * ] [ * * * ] [ * * ] [ * * * ] [ * * * ] 2022年4月[ * * * ] 1 [ * * * ] 67216 [ * * * ] [ * * * ]附注6 [ * * * ] [ * * ] [ * * * ] [ * * * ] [ * * * ] [ * * * ] 2022年4月[ * * * ] 1 [ * * * * ] [ * * * ] [ * * * ] [ * * * ] 1 [ * * * * ] [ * * * ] [ * * * ] 2022年4月[ * * * * ] 1 [ * * * * ] 67213 [ * * * ] [ * * * ]注6 [ * * * * ] [ * * * ] [ * *[ * * * ] 1 [ * * * ] 67215 [ * * * ] [ * * * ]附注6 [ * * * ] [ * * * ] [ * * * ] [ * * * ] [ * * * ] 2022年5月[ * * * ] 1 [ * * * ] 60223 [ * * * ] [ * * * ]附注6 [ * * * ] [ * * * ] [ * * * ] [ * * * ] [ * * * ] [ * * * ] 2022年5月[ * * * ] [ * * * ] [ * * * ] 1 [ * * * * ] [ * * * ] [ * * * ] [ * * * ] [ * * * * ] [ * * * ] [ * * * ] [ * * * ] [ * * * ] [ * * * * ] [ * * * * ] [ * * * * ] [ * * * * *1 [ * * * ] 67521 [ * * * ] [ * * * ]附注6 [ * * * ] [ * * * ] [ * * * ] [ * * * ] [ * * ] 2022年6月[ * * * ] 1 [ * * * ] 67514 [ * * * ] [ * * * ]附注6 [ * * * ] [ * * * ] [ * * ] [ * * * ] [ * * * ] [ * * * ] [ * * * ] [ * * * ] 2022年6月[ * * * ] [ * * * ] 1 [ * * * * ] [ * * * ] [ * * * ] [ * * * ] [ * * * * ] [ * * * ] 1 [ * * * * ] [ * * * ]注6 [ * * * * ] [ * * * ] [ * * * ] [ * * * ] [ * * *


 
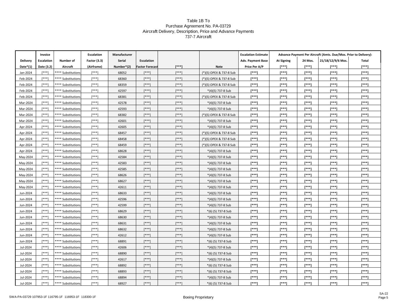
表1A至购买协议编号。PA-03729飞机交付、说明、价格和预付款737-8飞机发票升级制造商升级估算每架飞机的预付款(安培。到期/Mos。交付前):交付升级因子数*(3.3)在签署24 Mos时的串行升级Adv支付基数。2 1/18/12/9/6 Mos。总日期*(1)日期*(3.2)飞机(机体)数量*(2)系数[ * * * ]每A/P的票据价格[ * * * ] [ * * * ] [ * * * ] [ * * * ] 2022年6月[ * * ] 1 [ * * * ] 67516 [ * * * ] [ * * * ]注6 [ * * * ] [ * * * ] [ * * * ] [ * * * ] [ * * * ] 2022年6月[ * * * ] 1 [ * * * * ] [ * * * ] [ * * * ] [ * * * ] [ * * * ] [ * * * ] [ * * * ] [ * * * ] [ * * * ] [ * * * * ] [ * * * * ] [ * * * * ] [ * * * * * ] [ * * * * * ] [ * * * *[ * * * ] [ * * * ] 2022年7月[ * * * ] 1 [ * * * ] 67753 [ * * * ] [ * * * ]附注8 [ * * * ] [ * * * ] [ * * * ] [ * * * ] [ * * * ] 2022年7月[ * * * ] 1 [ * * * ] 67754 [ * * * ] [ * * * ] [ * * ]附注8 [ * * * ] [ * * ] [ * * ] [ * * ] [ * * * ] [ * * * ] [ * * * ] [ * * * ] [ * * ] 2022年7月[ * * * * ] 1 [ * * * * ] [ * * ] [ * * ] [ * * * ] [ * * ] [ * * * ] [ * * ] [ * * * * ] [ * * * ] [ * * * * ] [ *[ * * * ] 2022年7月[ * * * ] 1 [ * * * ] 67762 [ * * * ] [ * * * ]附注8 [ * * * ] [ * * * ] [ * * * ] [ * * * ] [ * * * ] [ * * * ] 2022年7月[ * * * ] 1 [ * * * ] 67760 [ * * * ] [ * * * ] [ * * ]附注8 [ * * * ] [ * * * ] [ * * * ] [ * * * ] [ * * * ] [ * * * ] [ * * * ] 2022年7月[ * * * ] 1 [ * * * ] 67761 [ * * * ] [ * * * ]注8 [ * * * ] [ * * * ] [ * * * ] [ * * * ] [ * * * ] [ * * * ] [ * * * ] [ * *2022年8月[ * * * ] 1 [ * * * ] 67774 [ * * * ] [ * * * ]附注6 [ * * * ] [ * * * ] [ * * * ] [ * * * ] [ * * * ] 2022年8月[ * * * ] 1 [ * * * ] 67773 [ * * * ] [ * * * ]附注6 [ * * * ] [ * * * ] [ * * * ] [ * * * ] [ * * * ] 2022年8月[ * * * ] 1 [ * * * * ] [ * * * ] [ * * * ] 1 [ * * * * ] [ * * * ] [ * * ] [ * * * ] [ * * * ] [ * * * ] [ * * * ] [ * * * ] [ * * * * ] [ * * * * ] [ * * * * * ] [ * * * * *[ * * * ] 1 [ * * * ] 67777 [ * * * ] [ * * * ]附注8 [ * * * ] [ * * * ] [ * * * ] [ * * * ] [ * * * ] 2022年8月[ * * * ] 1 [ * * * ] 67776 [ * * * ] [ * * * ] [ * * * ]附注8 [ * * * ] [ * * * ] [ * * ] [ * * * ] [ * * * ] [ * * * ] 2022年9月[ * * * ] 1 [ * * * * * ] [ * * * ] [ * * * ] 2022年9月[ * * * * ] [ * * * * ]附注6 [ * * * * ] [ * * * ] [ * * * ] [ * * * ] [ * * * ] [ * * * ] [ * * * ] [ * * * ] [ *67478 [ * * * ] [ * * * ]附注5 Sep-2022 [ * * * ] 1 [ * * * ] 67475 [ * * * ] [ * * * ]附注5 SWA-PA-03729 107813/108198/108732波音专有SA-22第3页


 
表1A至购买协议编号。PA-03729飞机交付、说明、价格和预付款737-8飞机发票升级制造商升级估算每架飞机的预付款(安培。到期/MOS。交付前):交付升级因子数*(3.3)在签署24 Mos时的串行升级Adv支付基数。2 1/18/12/9/6 Mos。总日期*(1)日期*(3.2)飞机(机体)数量*(2)系数[ * * * ]每A/P的票据价格[ * * * ] [ * * * ] [ * * * ] [ * * * ] 2022年9月[ * * ] 1 [ * * * ] 42598 [ * * * ] [ * * ]附注5 2022年9月[ * * * ] 1 [ * * * ] 67474 [ * * * ] [ * * ]附注5 2022年10月[ * * * ] 1 [ * * * ] 67481 [ * * * ] [ * * ]附注5 Oct-2022 [ * * * ] 1 [ * * * ] 67487 [ * * * ] [ * * * ]附注5 Oct-2022 [ * * * ] 1 [ * * * ] 67785 [ * * * ] [ * * ]67512 [ * * * ] [ * * * ]附注6 [ * * * ] [ * * * ] [ * * * ] [ * * * ] [ * * * ] 2023年1月[ * * * ] 1 [ * * * ] 67485 [ * * * ] [ * * * ]附注5 2023年1月[ * * * ] 1 [ * * * ] 67484 [ * * * ] [ * * * ]附注5 2023年1月[ * * * ] 1 [ * * * * ] 67482 [ * * * ] [ * * * ]附注5 2023年1月[ * * * ] 1 [ * * * * ] 67752 [ * * * ] [ * * * ]附注5 2023年1月[ * * * * ] 1 [ * * * ]2023年1月5日[ * * * ] 1 [ * * * ] 67793 [ * * * ] [ * * * ]附注2023年2月5日[ * * * ] 1 [ * * * ] 60650 [ * * * ] [ * * * ]附注6 [ * * * ] [ * * * ] [ * * * ] [ * * * ] [ * * * ] [ * * * ] 2023年2月[ * * ] 1 [ * * * ] 67492 [ * * * ] [ * * * ]附注5 Feb-2023 [ * * * ] 1 [ * * * * ] 67490 [ * * * ] [ * * * ]附注5 Feb-2023 [ * * * ] 1 [ * * * ] 67491 [ * * * ] [ * * * ]附注5 Feb-2023 [ * * * ] 1 [ * * * * ] 67488 [ * *[ * * * ] [ * * * ] 2023年3月[ * * * ] 1 [ * * * ] 67826 [ * * * ] [ * * * ]附注5 2023年3月[ * * * ] 1 [ * * * ] 67825 [ * * * ] [ * * * ]附注5 2023年3月[ * * * ] 1 [ * * * ] 42591 [ * * * ] [ * * * ]附注5 2023年3月[ * * * ] 1 [ * * * ] 67498 [ * * * ] [ * * * ]附注5 2023年3月[ * * * ] 1 [ * * * * ] 67497 [ * * * ] [ * * * ]附注5 2023年3月[ * * * * ] 1 [ * * * * ]/108198/108732波音专有SA-22第4页


 
表1A至购买协议编号。PA-03729飞机交付、说明、价格和预付款737-8飞机发票升级制造商升级估算每架飞机的预付款(安培。到期/Mos。交付前):交付升级因子数*(3.3)在签署24 Mos时的串行升级Adv支付基数。2 1/18/12/9/6 Mos。总日期*(1)日期*(3.2)飞机(机体)数量*(2)系数[ * * * ]票据价格每A/P [ * * * ] [ * * * ] [ * * * ] [ * * * ] 2023年4月[ * * * ] 1 [ * * * ] 42657 [ * * * ] [ * * * ] 2023年4月7日注[ * * * ] 1 [ * * * ] 42671 [ * * * ] [ * * ] 2023年5月7日注[ * * * ] 1 [ * * * ] 67470 [ * * * ] [ * * * ]注2023年5月5日[ * * * ] 1 [ * * * ] 67865 [ * * * ] [ * * ]注2023年5月7日[ * * * ] 1 [ * * * ] 67864 [ * * * ] [ * * ][ * * * ] 1 [ * * * ] 67859 [ * * * ] [ * * * ]附注7 May-2023 [ * * * ] 1 [ * * * ] 67858 [ * * * ] [ * * * ]附注7 May-2023 [ * * * ] 1 [ * * * ] 42679 [ * * * ] [ * * ]附注7 May-2023 [ * * * ] 1 [ * * * ] 67915 [ * * * ] [ * * ]附注7 Jun-2023 [ * * ] 1 [ * * * ] 42678 [ * * * ] [ * * ]附注7 Jun-2023 [ * * * ] 1 [ * * * ] 42688 [ * * * ] [ * * ]附注7 Jun-2023 [ * * * ] 1 [ * * * ] 67918 [ * * * ] [ * * * ] [ * *[ * * * ] 1 [ * * * ] 67919 [ * * * ] [ * * * ]附注7 JUL-2023 [ * * * ] 1 [ * * * ] 67913 [ * * * ] [ * * * ]附注7 JUL-2023 [ * * * ] 1 [ * * * ] 42684 [ * * * ] [ * * ]附注7 JUL-2023 [ * * * ] 1 [ * * * * ] 67966 [ * * * ] [ * * * ]附注7 JUL-2023 [ * * * ] 1 [ * * * * ] 67965 [ * * * ] [ * * * ]附注7 JUL-2023 [ * * * ] 1 [ * * * * ] 42683 [ * * * ] [ * * * ]附注7 JUL-2023 [ * * * ] 1 [ *[ * * * ] 1 [ * * * ] 42687 [ * * * ] [ * * * ]附注7 Aug-2023 [ * * * ] 1 [ * * * ] 68046 [ * * * ] [ * * * ]附注7 Aug-2023 [ * * * ] 1 [ * * * ] 68 118 [ * * * ] [ * * ]附注7 Aug-2023 [ * * * ] 1 [ * * * ] 68 119 [ * * * ] [ * * * ]附注7 Sep-2023 [ * * * ] 1 [ * * * * ] 67961 [ * * * ] [ * * * ]附注7 Sep-2023 [ * * * ] 1 [ * * * ] 42685 [ * * * ] [ * * ]附注7 Sep-2023 [ * * * ] 1 [ * * * ] 68117 [ * * * ] [


 
表1A至购买协议编号。PA-03729飞机交付、说明、价格和预付款737-8飞机发票升级制造商升级估算每架飞机的预付款(安培。到期/Mos。交付前):交付升级因子数*(3.3)在签署24 Mos时的串行升级Adv支付基数。2 1/18/12/9/6 Mos。总日期*(1)日期*(3.2)飞机(机身)数量*(2)系数[ * * * ]每A/P的票据价格[ * * * ] [ * * * ] [ * * * ] [ * * * ] Oct-2023 [ * * ] 1 [ * * * ] 42560 [ * * * ] [ * * ]附注2023年10月9日[ * * * ] 1 [ * * * ] 42690 [ * * * ] [ * * ]附注2023年11月7日[ * * * ] 1 [ * * * ] 68048 [ * * * ] [ * * * ]附注2023年11月7日[ * * * ] 1 [ * * * ] 68120 [ * * * ] [ * * ]附注2023年11月7日[ * * * ] 1 [ * * * ] 67963 [ * * * ] [ * * ]注[ * * * ] 1 [ * * * ] 68051 [ * * * ] [ * * * ]附注2023年12月7日[ * * * ] 1 [ * * * ] 68049 [ * * * ] [ * * * ]附注2023年12月7日[ * * * ] 1 [ * * * ] 42686 [ * * * ] [ * * * ]附注2023年12月7日[ * * * ] 1 [ * * * * ] 42682 [ * * * ] [ * * * ]附注2023年12月7日[ * * * ] 1 [ * * * ] 42695 [ * * * ] [ * * * ]附注2023年12月9日[ * * * ] 1 [ * * * ] 68183 [ * * * ] [ * * * ]附注2023年12月9日[ * * * ] 1 [ * * * ] 42689 [ * * * * ] [ * * ][ * * * ] 1 [ * * * ] 42693 [ * * * ] [ * * * ]附注9 Mar-2024 [ * * * ] 1 [ * * * ] 42581 [ * * * ] [ * * * ]附注9 Jan-2024 [ * * * ] 1 [ * * * ] 42565 [ * * * ] [ * * ]附注9 Jan-2024 [ * * * ] 1 [ * * * ] 68116 [ * * * ] [ * * * ]附注7 Jan-2024 [ * * * ] 1 [ * * * ] 42564 [ * * * ] [ * * ]附注9 Jan-2024 [ * * * ] 1 [ * * * ] 42594 [ * * * ] [ * * ]附注9 Jan-2024 [ * * * ] 1 [ * * * * ] 42568 [ * * *[ * * * ] 1 [ * * * ] 42597 [ * * * ] [ * * * ]附注2024年2月10日[ * * * ] 1 [ * * * ] 68381 [ * * * ] [ * * * ]附注2024年3月10日[ * * * ] 1 [ * * * ] 42578 [ * * * ] [ * * ]附注2024年3月10日[ * * * ] 1 [ * * * ] 42593 [ * * * ] [ * * * ]附注2024年3月10日[ * * * ] 1 [ * * * * ] 68382 [ * * * ] [ * * * ]附注2024年3月10日[ * * * ] 1 [ * * * * ] 1 [ * * * ] 68382 [ * * * ] [ * * * ]附注2024年3月10日[ * * * ] 1 [ * * * ] 42601 [ * * * ] [ *


 
表1A至购买协议编号PA-03729飞机交付、说明、价格和预付款737-8飞机发票升级制造商升级估算预付款每架飞机(安培。到期/Mos。交付前):交付升级因子数*(3.3)在签署24 Mos时的串行升级Adv支付基数。2 1/18/12/9/6 Mos。总日期*(1)日期*(3.2)飞机(机体)数量*(2)系数[ * * * ]每A/P的票据价格[ * * * ] [ * * * ] [ * * * ] [ * * * ] 2024年4月[ * * ] 1 [ * * * ] 68457 [ * * * ] [ * * ] 2024年4月10日注[ * * * ] 1 [ * * * ] 68458 [ * * * ] [ * * * ] 2024年4月10日注[ * * * ] 1 [ * * * ] 68459 [ * * * ] [ * * ] 2024年4月10日注[ * * * ] 1 [ * * * ] 68628 [ * * * ] [ * * ]注2024年5月10日[ * * * ] 1 [ * * * ] 42584 [[ * * * ] 1 [ * * * ] 42611 [ * * * ] [ * * * ]附注10 Jun-2024 [ * * * ] 1 [ * * * ] 68633 [ * * * ] [ * * * ]附注10 Jun-2024 [ * * * ] 1 [ * * * ] 42596 [ * * * ] [ * * ]附注10 Jun-2024 [ * * * ] 1 [ * * * ] 42599 [ * * * ] [ * * * ]附注10 Jun-2024 [ * * * ] 1 [ * * * * ] 68629 [ * * * ] [ * * * ]附注10 Jun-2024 [ * * * ] 1 [ * * * * ] 68630 [ * * * ] [ * * ]附注10 Jun-2024 [ * * * ] 1 [ * * * * ] 68631 [ * *[ * * * ] 1 [ * * * ] 68890 [ * * * ] [ * * ]附注10 JUL-2024 [ * * * ] 1 [ * * * ] 42617 [ * * * ] [ * * ]附注10 JUL-2024 [ * * * ] 1 [ * * * ] 68892 [ * * * ] [ * * ]附注10 JUL-2024 [ * * * ] 1 [ * * * ] 68893 [ * * * ] [ * * ]附注10 JUL-2024 [ * * * ] 1 [ * * * * ] 68894 [ * * * ] [ * * ]附注10 JUL-2024 [ * * * ] 1 [ * * * * ] [ * * ]注10 Aug-2024 [ * * * ] 1 [ * * * * ] 42[ * * * ] 1 [ * * * ] 68928 [ * * * ] [ * * * ]附注2024年11月10日[ * * * ] 1 [ * * * ] 68929 [ * * * ] [ * * * ]附注2024年11月10日[ * * * ] 1 [ * * * ] 68931 [ * * * ] [ * * ]附注2024年11月10日[ * * * ] 1 [ * * * ] 42610 [ * * * ] [ * * * ]附注2024年11月10日[ * * * ] 1 [ * * * * ] 42626 [ * * * ] [ * * * ]附注2024年11月10日[ * * * ] 1 [ * * * * ]附注2024 [ * * * ] 1 [ * * * ] 68932 [ * * * ] [ * * ]附注2025年1月10日[ * * * ] 1 [ * * * * ] 426


 
表1A至购买协议编号。PA-03729飞机交付、说明、价格和预付款737-8飞机发票升级制造商升级估算每架飞机的预付款(安培。到期/Mos。交付前):交付升级因子数*(3.3)在签署24 Mos时的串行升级Adv支付基数。2 1/18/12/9/6 Mos。总日期*(1)日期*(3.2)飞机(机身)数量*(2)系数[ * * * ]每A/P的票据价格[ * * * ] [ * * * ] [ * * * ] [ * * * ] 2025年1月[ * * ] 1 [ * * * ] 42675 [ * * * ] [ * * ]注2025年1月11日[ * * ] 1 [ * * * ] 36981 [ * * * ] [ * * * ]注2025年1月11日[ * * * ] 1 [ * * * ] 69677 [ * * * ] [ * * * ]注2025年1月11日[ * * * ] 1 [ * * * ] 69678 [ * * * ] [ * * * ]注2025年2月11日[ * * * ] 1 [ * * * ] 36986 [ * * * ] [ * * * ][ * * * ] 1 [ * * * ] 42692 [ * * * ] [ * * * ]注2025年2月11日[ * * * ] 1 [ * * * ] 69915 [ * * * ] [ * * * ]注2025年3月11日[ * * * ] 1 [ * * * ] 42630 [ * * * ] [ * * * ]注2025年3月11日[ * * * ] 1 [ * * * ] 67325 [ * * * ] [ * * * ]注2025年3月11日[ * * * ] 1 [ * * * ] 67326 [ * * * ] [ * * * ]注2025年3月11日[ * * * ] 1 [ * * * * ] 69918 [ * * * ] [ * * * ]注2025年3月11日[ * * * ] 1 [ * * * ] 69922 [ * * * ] [ * * * ] [ * *[ * * * ] [ * * * ] [ * * * ] [ * * * ] [ * * * ] 2027年1月[ * * * ] 1 [ * * * ] 42580 [ * * * ] [ * * * ] [ * * * ] [ * * * ] [ * * * ] [ * * * ] [ * * * ] [ * * * ] 2027年1月[ * * * ] 1 [ * * * ] 42541 [ * * * ] [ * * * ] [ * * ] [ * * ] [ * * * ] [ * * * ] [ * * * ] [ * * * ] 2027年2月[ * * * ] 1 [ * * * * ] 42579 [ * * * ] [ * * * ] [ * * * ] [ * * * ] [ * * * ] [ * * * ] [ * * * ] [ * * * ] 202[ * * * ] [ * * * ] 2027年3月[ * * * ] 1 [ * * * ] 42669 [ * * * ] [ * * * ] [ * * ] [ * * * ] [ * * * ] [ * * * ] [ * * * ] [ * * * ] 2027年3月[ * * * ] 1 [ * * * ] 42553 [ * * * ] [ * * * ] [ * * ] [ * * ] [ * * ] [ * * ] [ * * ] [ * * * ] [ * * * ] [ * * * ] [ * * * ] [ * * * ] 2027年3月[ * * * * ] 1 [ * * * * ] 42607 [ * * * ] [ * * * ] [ * * * ] [ * * ] [ * * * ] 1 [ * * * * ] 65445 [ * * * ][ * * * ] 1 [ * * * ] 42665 [ * * * ] [ * * * ] [ * * * ] [ * * * ] [ * * * ] [ * * * ] [ * * * ] 2027年5月[ * * * ] 1 [ * * * ] 42674 [ * * * ] [ * * * ] [ * * * ] [ * * * ] [ * * * ] [ * * * ] [ * * * ] [ * * * ] [ * * * ] [ * * * ] SWA-PA-03729 107813/108198/108732波音专有SA-22第8页


 
表1a购买协议编号PA-03729飞机交付、说明、价格和预付款737-8飞机发票升级制造商升级估算每架飞机的预付款(安培。到期/Mos。交付前):交付升级因子数*(3.3)在签署24 Mos时的串行升级Adv支付基数。2 1/18/12/9/6 Mos。总日期*(1)日期*(3.2)飞机(机身)数量*(2)系数[ * * * ]每A/P的票据价格[ * * * ] [ * * * ] [ * * * ] [ * * * ] Jun-2027 [ * * * ] 1 [ * * * ] 65443 [ * * * ] [ * * * ] [ * * ] [ * * * ] [ * * * ] [ * * * ] [ * * * ] Jun-2027 [ * * * ] 1 [ * * * * ] [ * * * ] [ * * * ] [ * * * ] [ * * * ] Jun-2027 [ * * * ] 1 [ * * * ] 65842 [ * * * ] [ * * * ]注3 [ * * * ] [ * * * ] [ * * ] [ * * ] [ * * ] [ * *[ * * * ] [ * * * ] [ * * * ] [ * * * ] [ * * * ] [ * * * ] Jul-2027 [ * * * ] 1 [ * * * ] 42694 [ * * * ] [ * * * ] [ * * * ] [ * * * ] [ * * * ] [ * * ] [ * * * ] [ * * * ] [ * * * ] 2027年8月[ * * * ] 1 [ * * * * ] 65852 [ * * * ] [ * * * ]注3 [ * * * * ] [ * * * ] [ * * * ] [ * * * ] [ * * * ] [ * * * ] [ * * * ] [ * * * ] [ * * * ] [ * * * ] [ * * * ] [ * * * ] [ * * * ] [ * * * * ] [[ * * * ] 65845 [ * * * ] [ * * * ]附注3 [ * * * ] [ * * * ] [ * * ] [ * * * ] [ * * ] [ * * ] 2027年9月[ * * * ] 1 [ * * * ] 65447 [ * * * ] [ * * * ] [ * * ] [ * * ] [ * * * ] [ * * * ] [ * * * ] [ * * * ] [ * * * ] [ * * * ] Oct-2027 [ * * * * ] [ * * * ] 1 [ * * * * ] [ * * * ] [ * * * ] Oct-2027 [ * * * ] [ * * * ] [ * * * ] [ * * * ] [ * * * ]注3 [ * * * * ] [ * * * ] [ * * * ] [ * *[ * * * ] [ * * * ] [ * * * ] [ * * * ] Nov-2027 [ * * * ] 1 [ * * * ] 42543 [ * * * ] [ * * * ] [ * * * ] [ * * * ] [ * * * ] [ * * * ] [ * * * ] [ * * * ] Dec-2027 [ * * * ] 1 [ * * * ] 65847 [ * * * ] [ * * ]注3 [ * * * ] [ * * * ] [ * * * ] [ * * * ]注3 [ * * * * ] [ * * * ] [ * * * ] [ * * * ] [ * * * ] [ * * * ] [ * * * ] [ * * * ] [ * * * ] [ * * * ] [ * * * * ] [ * * * * ] [ * * *[ * * * ] 1 [ * * * ] 36733 [ * * * * ] [ * * * ] [ * * * ] [ * * * ] [ * * * ] [ * * * ] Feb-2028 [ * * * ] 1 [ * * * ] 37034 [ * * * ] [ * * * ] [ * * ] [ * * * ] [ * * ] [ * * * ] [ * * * ] [ * * * ] [ * * * ] Feb-2028 [ * * * ] [ * * * ] [ * * * ] [ * * * ] [ * * * ] 1 [ * * * * * ] [ * * * ] [ * * * ] [ * * * ] [ * * * ] [ * * * ] [ * * * * ] [ * * * ] [ * * * * ] [ * * * * ] [ * * * *2028年3月[ * * * ] 1 [ * * * ] 38815 [ * * * ] [ * * * ] [ * * * ] [ * * * ] [ * * * ] [ * * * ] [ * * * ] [ * * * ] SWA-PA-03729 107813/108198/108732波音专有SA-22第9页


 
表1A至购买协议编号。PA-03729飞机交付、说明、价格和预付款737-8飞机发票升级制造商升级估算每架飞机的预付款(安培。到期/Mos。交付前):交付升级因子数*(3.3)在签署24 Mos时的串行升级Adv支付基数。2 1/18/12/9/6 Mos。总日期*(1)日期*(3.2)飞机(机身)数量*(2)系数[ * * * ]每A/P的票据价格[ * * * ] [ * * * ] [ * * * ] [ * * * ] [ * * ] 2028年3月[ * * * ] 1 [ * * * ] 65475 [ * * * ] [ * * ] [ * * * ] [ * * ] [ * * ] [ * * * ] [ * * ] [ * * * ] [ * * * ] 2028年4月[ * * * ] 1 [ * * * * ] 42552 [ * * * ] [ * * * ] [ * * * ] [ * * * ] [ * * * ] [ * * * ] [ * * * ] [ * * * ] [ * * * ] [ * * * ] [ * * * ] [ * * * ] [ * *[ * * * ] [ * * * ] [ * * * ] [ * * * ] 2028年5月[ * * * ] 1 [ * * * ] 35972 [ * * * ] [ * * * ] [ * * * ] [ * * * ] [ * * * ] [ * * * ] [ * * * ] [ * * * ] 2028年5月[ * * * ] 1 [ * * * ] 36736 [ * * * ] [ * * * ] [ * * * ] [ * * * ] [ * * * ] [ * * * ] [ * * * ] [ * * ] [ * * * ] 2028年5月[ * * * * ] 1 [ * * * * ] 35974 [ * * * ] [ * * ] [ * * * ] [ * * ] [ * * * ] [ * * * ] [ * * * ] [ * * * ] [[ * * * ] [ * * * ] [ * * * ] 2028年7月[ * * * ] 1 [ * * * * ] 42542 [ * * * ] [ * * * ] [ * * * ] [ * * * ] [ * * * ] [ * * * ] [ * * * ] [ * * * ] 2028年7月[ * * * ] 1 [ * * * * ] 36730 [ * * * ] [ * * * ] [ * * ] [ * * ] [ * * ] [ * * ] [ * * * ] [ * * * ] [ * * * ] [ * * * ] [ * * * ] [ * * * ] [ * * * ] [ * * * ] [ * * * ] [ * * * * ] [ * * * ] [ * * * ] [ * * * * ] [ * * * * ] [ * * * * *[ * * * ] [ * * * ] [ * * * ] [ * * * ] 2028年9月[ * * * ] 1 [ * * * ] 38804 [ * * * ] [ * * * ] [ * * * ] [ * * * ] [ * * * ] [ * * * ] [ * * * ] [ * * * ] 2028年9月[ * * * ] 1 [ * * * ] 65866 [ * * * ] [ * * * ]注3 [ * * * ] [ * * ] [ * * ] [ * * ] [ * * ] [ * * * ] [ * * ] [ * * ] 2028年9月[ * * * ] 1 [ * * * ] 65451 [ * * * ] [ * * ] [ * * * ] [ * * * ] [ * * * ] [ * * * ] [ * * * ] 2028年10月[ *[ * * * ] [ * * * ]注3 [ * * * ] [ * * * ] [ * * * ] [ * * * ] [ * * * ] 2028年11月[ * * * ] 1 [ * * * ] 65868 [ * * * ] [ * * * ]注3 [ * * * ] [ * * ] [ * * ] [ * * ] [ * * * ] [ * * * ] [ * * ] 2028年11月[ * * * ] 1 [ * * * * ] 65869 [ * * * ] [ * * * ] [ * * * ]注3 [ * * * ] [ * * * ] [ * * * ] [ * * ] [ * * * ] [ * * * ] [ * * ] [ * * * ] [ * * * ] [ * * * ] [ * * * ] [ * * * * ] [ * * * *[ * * * ] [ * * * ] SWA-PA-03729 107813/108198/108732波音专有SA-22第10页


 
表1A至购买协议编号。PA-03729飞机交付、说明、价格和预付款737-8飞机发票升级制造商升级估算每架飞机的预付款(安培。到期/Mos。交付前):交付升级因子数*(3.3)在签署24 Mos时的串行升级Adv支付基数。2 1/18/12/9/6 Mos。总日期*(1)日期*(3.2)飞机(机身)数量*(2)系数[ * * * ]每A/P的票据价格[ * * * ] [ * * * ] [ * * * ] [ * * * ] 2029年1月[ * * * ] 1 [ * * * ] 65846 [ * * * ] [ * * * ]注3 [ * * * ] [ * * ] [ * * ] [ * * ] [ * * ] [ * * ] [ * * ] 2029年1月[ * * * ] 1 [ * * * * ] [ * * * ] [ * * * ] [ * * * ] [ * * * ] [ * * * ] [ * * * ] [ * * * ] [ * * * ] [ * * * ] [ * * * ] [ * * * ] [ * * * ] [ * * * * ] [ * * *[ * * * ] [ * * * ] [ * * * ] [ * * * ] [ * * * ] [ * * * ] 2029年3月[ * * * ] 1 [ * * * ] 65873 [ * * * ] [ * * ]注3 [ * * * ] [ * * * ] [ * * ] [ * * * ] [ * * ] [ * * * ] [ * * * ] [ * * * ] [ * * * ] [ * * * ] [ * * * ] [ * * * ] 1 [ * * * * ] 65872 [ * * * * ] [ * * * ] [ * * * ]注3 [ * * * ] [ * * * ] [ * * * ] [ * * * ] [ * * * ] [ * * * ] [ * * * ] [ * * * * ] [ * * * * ] [ * * * *[ * * * ] [ * * * ] [ * * * ] [ * * * ] [ * * * ] [ * * * ] [ * * * ] 2029年5月[ * * * ] 1 [ * * * ] 65457 [ * * * ] [ * * * ] [ * * * ] [ * * * ] [ * * * ] [ * * ] [ * * * ] [ * * * ] [ * * * ] 2029年5月[ * * * ] 1 [ * * * * ] 42658 [ * * * ] [ * * * ] [ * * * ] [ * * * ] [ * * * ] [ * * * ] [ * * * ] [ * * * ] [ * * * ] [ * * * ] [ * * * ] [ * * * ] [ * * * ] [ * * * ] [ * * * ] [ * * * ] [ *65837 [ * * * ] [ * * * ]附注3 [ * * * ] [ * * * ] [ * * * ] [ * * * ] [ * * * ] 2029年8月[ * * * ] 1 [ * * * ] 65838 [ * * * ] [ * * * ]注3 [ * * * ] [ * * * ] [ * * ] [ * * * ] [ * * ] [ * * * ] [ * * * ] 2029年8月[ * * * ] 1 [ * * * * ] 65839 [ * * * ] [ * * * ]注3 [ * * * ] [ * * * ] [ * * * ] [ * * * ] [ * * * ] [ * * * ] [ * * * ] [ * * * ] [ * * * ] [ * * * ] [ * * * ] [ * * * * ] [ * *[ * * * ] [ * * * ] [ * * * ] [ * * * ] [ * * * ] 2029年11月[ * * * ] 1 [ * * * ] 65462 [ * * * ] [ * * * ] [ * * * ] [ * * * ] [ * * * ] [ * * * ] [ * * * ] 2029年11月[ * * * ] 1 [ * * * ] 65466 [ * * * ] [ * * * ] [ * * * ] [ * * * ] [ * * * ] [ * * * ] [ * * * ] [ * * * ] [ * * * ] [ * * * ] [ * * * ] [ * * * ] [ * * * ] [ * * * ] [ * * * * ] [ * * * ] [ * * * * ] [ * * * * ] [ * * * * ] [ * *


 
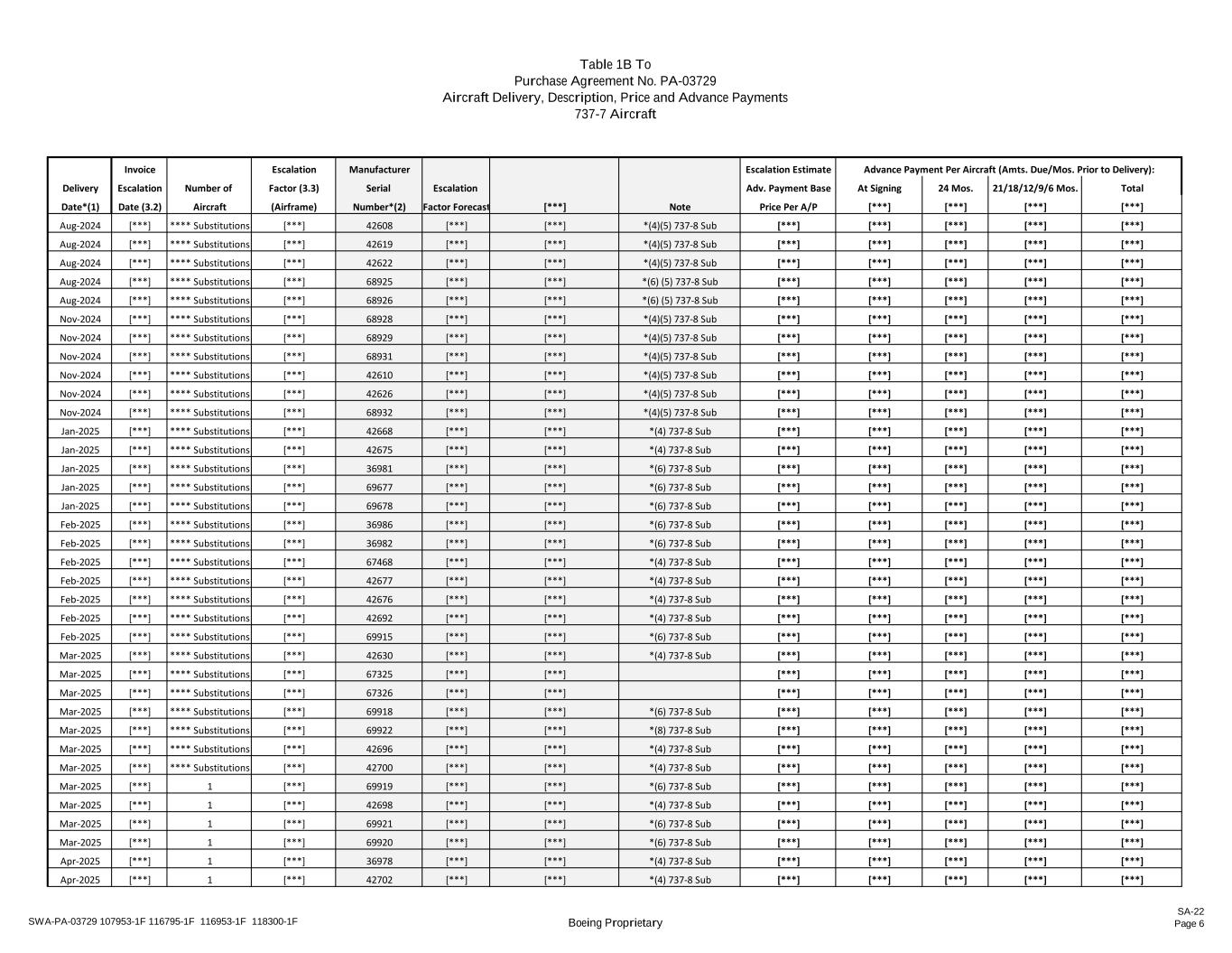
表1A至购买协议编号。PA-03729飞机交付、说明、价格和预付款737-8飞机发票升级制造商升级估算每架飞机的预付款(安培。到期/Mos。交付前):交付升级因子数*(3.3)在签署24 Mos时的串行升级Adv支付基数。2 1/18/12/9/6 Mos。总日期*(1)日期*(3.2)飞机(机身)编号*(2)因子[ * * * ]每A/P的票据价格[ * * * ] [ * * * ] [ * * * ] [ * * * ] *(2)制造商序列号(MSN)仅供参考,可能会发生变化。↓ * * * * * * * * * * * * * * * * * * * * * * * * * * * * * * * * * * * * * * * * * * * * * * * * * * * * * * * * * * * * * * * * * * * * * * * * * * * * * * * * * * * * * * * * * * * * * * * * * * * * * * * * * * * * * * * * * * * * * * * * * * * * * * * * * * * * * * * * * * * * * * * * * * * * * * * * * * * * * * * * * * * * * * * * * * * * * * * * * * * * * * * * * * * * * * * * * * *参考表1b和信函协议编号。SWA-PA-03729-LA-2103755为这些(40)替代飞机的定价条款和条件。(6)根据SWA-PA-03729-LA-1106474行使Remarket Aircraft,题为Option Aircraft(7)将SA-18的四十八(48)737-7替换为737-8:(10)2023年1月/(10)2023年2月/(10)2023年3月/(10)2023年4月/(8)2023年5月。参考表1b和信函协议编号。SWA-PA-03729-LA-2202855R1,2023 MAX生产计划,为这些(48)架替代飞机的定价条款和条件。(8)根据SWA-PA-03729-LA-1106474,题为Option Aircraft和SWA-PA-03729-LA-2103755,题为2022/2023生产计划*(3.1)[ * * * ](2)[ * * * ](9)从SA-19将十七(17)737-7替换为737-8:(3)2023年6月、(5)2023年7月、(2)2023年8月、(4)2023年9月和(3)2023年10月。参考表1b和信函协议编号。SWA-PA-3729-LA-2202855R1(10)将四十七(47)737-7从SA-20/SA-21替换为737-8:(4)2023年11月、(4)2023年12月、(5)2024年1月、(6)2024年2月、(8)2024年3月、(8)2024年4月、(8)2024年5月、(1)2024年6月和(3)11月。参考表1B和信函协议编号。SWA-PA-3729-LA-2202855R3(11)将十九(19)737-7从SA-22替换为737-8:(5)2025年1月、(6)2025年2月、(7)2025年3月、(1)2022年8月[ * * * ]。参考表1b和信函协议编号。SWA-PA-3729-LA-2202855R4 SWA-PA-03729 107813/108198/108732波音专有SA-22第12页


 
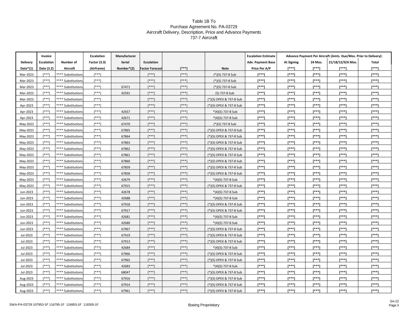
表1b购买协议编号。PA-03729飞机交付,说明,价格及预付款737-7飞机机身型号/MTOW:737-7 17.7万磅详细规格:D019A008SWA17P-1 2Q11外置FCST发动机型号/推力:CFMLEAP-1B27(1)2.64万磅机身价格基准年/升级公式:Jul-11 ECI-MFG/CPI机身价格:[ * * * ]发动机价格基准年/升级公式:N/A N/A可选特性:[ * * * ]机身及特性小计:[ * * * ]机身升级数据:发动机价格(每架):[ * * * ]基准年指数(ECI):[ * * * ]飞机基本价格(不含BFE/SPE):[ * * * ]基准年指数(到期/Mos。交付前):交付升级因数(3.3)串行升级adv.24 Mos时的支付基数。2 1/18/12/9/6 Mos。总日期*(1)日期(3.2)飞机(机身)数量*(2)因素预测[ * * * ]每A/P注价[ * * * ] [ * * * ] [ * * * ] [ * * * ] Aug-Dec‘24 [ * * * ] 1 [ * * * ] 42586 [ * * * ] [ * * ] [ * * ] [ * * ] [ * * ] [ * * ] [ * * ] [ * * ] Aug-Dec’24 [ * * * ] 1 [ * * * ] 42586 [ * * * ] [ * * * ] [ * * * ] [ * * ] [ * * ] [ * * * ] [ * * ] [ * * * ] [ * * ] [ * * ] [ * * * ] [ * * * ] [ * * * ] [ * * * ] [ * * * * ][ * * * ] [ * * * ] [ * * * ] Aug-Dec‘24 [ * * * ] 1 [ * * * ] 42614 [ * * * ] [ * * * ] [ * * * ] [ * * * ] [ * * * ] [ * * * ] [ * * * ] [ * * * ] Aug-Dec’24 [ * * * ] 1 [ * * * ] 42620 [ * * * ] [ * * * ] [ * * * ] [ * * ] [ * * * ] [ * * ] [ * * * ] [ * * * ] [ * * * * ] Aug-Dec‘24 [ * * * ] 1 [ * * * * ] [ * * ] [ * * * ] [ * * ] Aug-Dec’24 [ * * * ] 1 [ * * * * ]Aug-Dec‘24 [ * * * ] 1 [ * * * ] 42603 [ * * * ] [ * * * ] [ * * * ] [ * * * ] [ * * * ] [ * * * ] Aug-Dec’24 [ * * * ] 1 [ * * * ] 42604 [ * * * ] [ * * * ] [ * * ] [ * * * ] [ * * * ] [ * * * ] [ * * * ] [ * * * ] Aug-Dec‘24 [ * * * ] 1 [ * * * ] 42604 [ * * * ] [ * * * ] [ * * * ] [ * * * ] [ * * * ] [ * * * ] Aug-Dec’24 [ * * * ] 1 [ * * * ] 42635 [ * * * ] [ * * * ] [ * * * ] [ *[ * * * ] 42595 [ * * * ] [ * * * ] [ * * * ] [ * * * ] [ * * * ] [ * * * ] [ * * * ] SWA-PA-03729 107953-1F 116795-1F 116953-1F 116953-1F 118300-1F波音专有SA-22第1页


 
表1b购买协议编号。PA-03729飞机交付、说明、价格和预付款737-7飞机发票升级制造商升级估算每架飞机的预付款(安培。到期/Mos。交付前):交付升级数量因数(3.3)串行升级adv.24 Mos时的支付基数。2 1/18/12/9/6 Mos。总日期*(1)日期(3.2)飞机(机身)数量*(2)因素预测[ * * * ]每A/P的注价[ * * * ] [ * * * ] [ * * * ] [ * * * ] Aug-Dec‘24 [ * * * ] 1 [ * * * ] 67466 [ * * * ] [ * * * ](*)737-8分[ * * * ] [ * * * ] [ * * * ] [ * * * ] [ * * * ] Aug-Dec’24 [ * * * ] 1 [ * * * * ] 67465 [ * * * ] [ * * * ](*)737-8分[ * * ] [ * * * ] [ * * * ] [ * * * ] Aug-Dec'24 [ * * * ] 1 [ * *[ * * * ](*)(5)737-8子[ * * * ] [ * * * ] [ * * * ] [ * * * ] [ * * ] 2022年9月[ * * ] * * *换人[ * * * ] [ * * * ] [ * * * ] [ * * ](*)(5)737-8子[ * * * ] [ * * * ] [ * * * ] [ * * * ] [ * * * ] [ * * * ] [ * * * ] 2022年9月[ * * * ] [ * * * ] [ * * * ] [ * * * ] [ * * * ] [ * * * ] [ * * * ] [ * * * ] [ * * * ] [ * * * ] [ * * * ] [ * * * ] [ * * * ] [ * * * ] [ * * * * ] [ * * *[ * * * ] 2022年9月[ * * * ] * * *换人[ * * * ] [ * * * ] [ * * ](*)(5)737-8子[ * * * ] [ * * * ] [ * * * ] [ * * * ] [ * * * ] 2022年10月[ * * * ] * * *换人[ * * ] [ * * * ] [ * * * ](*)(5)737-8子[ * * * ] [ * * ] [ * * * ] [ * * * ] [ * * * ] [ * * * ] [ * * * ] [ * * * ] 2022年10月[ * * * ] * * *换人[ * * ] [ * * * ] [ * * ](*)(5)737-8子[ * * * ] [ * * * ] [ * * * ] [ * * * ]737-8分[ * * * ] [ * * * ] [ * * * ] [ * * * ] [ * * * ] 2023年1月[ * * * ] * * *换人[ * * * ] [ * * * ] [ * * * ](*)(5)737-8分[ * * * ] [ * * * ] [ * * * ] [ * * * ] [ * * * ] [ * * * ] 2023年1月[ * * * ] * * *换人[ * * ] [ * * * ] [ * * * ] [ * * * ](*)(5)OPEX & 737-8分[ * * * ] [ * * * ] [ * * * ] [ * * * ] [ * * * ] [ * * * ] 2023年1月[ * * * ] * * *换人[ * * * ] [ * * * ] [ * *[ * * * ] [ * * * ] [ * * * ] [ * * * ] 2023年1月[ * * * ] * * *换人[ * * ] [ * * ] [ * * * ](*)(5)737-8分[ * * * ] [ * * * ] [ * * * ] [ * * * ] [ * * * ] [ * * * ] 2023年2月[ * * * ] * * * *换人[ * * * ] [ * * * ] [ * * * ](*)(5)737-8分[ * * * ] [ * * * ] [ * * * ] [ * * * ] [ * * * ] [ * * * ] [ * * * ] [ * * * ] [ * * * ] 2023年2月[ * * * ] * *换人[ * * * ] [ * * * ] [ * * * ](** * * *替换[ * * * ] [ * * * ] [ * * * ](*)(5)OPEX & 737-8 Sub [ * * * ] [ * * * ] [ * * * ] [ * * * ] [ * * * ] [ * * * ] Mar-2023 [ * * * ] * * *替换[ * * ] [ * * * ] [ * * * ](*)(5)OPEX & 737-8 Sub [ * * * ] [ * * * ] [ * * * ] [ * * * ] [ * * * ] [ * * * ] [ * * * ] [ * * * ] [ * * * ] [ * * * ] [ * * * ] [ * * * ] [ * * * ] [ * * * ] [ * * * ] [ * * * * ] [ * * * * ] [ * *


 
表1b购买协议编号。PA-03729飞机交付、说明、价格和预付款737-7飞机发票升级制造商升级估算每架飞机的预付款(安培。到期/Mos。交付前):交付升级因数(3.3)串行升级adv.24 Mos时的支付基数。2 1/18/12/9/6 Mos。总日期*(1)日期(3.2)飞机(机身)数量*(2)因素预测[ * * * ]每A/P注价[ * * * ] [ * * * ] [ * * * ] [ * * * ] Mar-2023 [ * * * ] * * *替换[ * * ] [ * * * ] [ * * * ](*)(5)737-8子[ * * * ] [ * * * ] [ * * * ] [ * * * ] [ * * * ] [ * * * ] Mar-2023 [ * * * ] * * *替换[ * * * ] [ * * * ] [ * * * ] [ * * * ] [ * * * ] [ * * * ] [ * * * ] [ * * * ] [ * * * ] [ * * * ] [ * * * * ] [ * * * ] [ * * * ** * * *替换[ * * * ] [ * * * ] [ * * * ](*)(5)OPEX & 737-8子[ * * * ] [ * * * ] [ * * * ] [ * * * ] [ * * * ] 2023年4月[ * * ] * * *替换[ * * * ] 42657 [ * * * ] [ * * * ] *(4)(5)737-8子[ * * * ] [ * * * ] [ * * * ] [ * * * ] [ * * * ] [ * * * ] 2023年4月[ * * * ] * *替换[ * * * ] 42671 [ * * * ] [ * * * ] *(4)(5)737-8子[ * * * ] [ * * * ] [ * * * ]2023年5月[ * * * ] * * * *换人[ * * * ] 67863 [ * * * ] [ * * * ](*)(5)OPEX & 737-8 Sub [ * * * ] [ * * * ] [ * * * ] [ * * * ] [ * * * ] [ * * * ] 2023年5月[ * * ] * * *换人[ * * * ] 67862 [ * * * ] [ * * * ](*)(5)OPEX & 737-8 Sub [ * * * ] [ * * * ] [ * * * ] [ * * * ] [ * * * ] [ * * * ] 2023年5月[ * * ] * * *换人[ * * * ] 67861 [ * * * ] [ * * ] [ * * * ](*)(5)OPEX & 737-8OPEX & 737-8 Sub [ * * * ] [ * * * ] [ * * * ] [ * * * ] [ * * * ] 2023年5月[ * * * ] * * *换人[ * * * ] 42679 [ * * * ] [ * * * ] *(4)(5)737-8 Sub [ * * * ] [ * * * ] [ * * * ] [ * * * ] [ * * * ] [ * * * ] 2023年5月[ * * * ] * *换人[ * * * ] 67915 [ * * * ] [ * * * ](*)(5)OPEX & 737-8 Sub [ * * * ] [ * * * ] [ * * * ] [ * * * ] [ * * * ] 2023年6月[ * * * ] * * *换人[ *[ * * * ] [ * * * ](*)(5)OPEX & 737-8子[ * * * ] [ * * * ] [ * * * ] [ * * * ] [ * * * ] Jun-2023 [ * * * ] * * *替换[ * * ] 42681 [ * * * ] [ * * * ] *(4)(5)737-8子[ * * * ] [ * * * ] [ * * * ] [ * * * ] [ * * * ] Jun-2023 [ * * * ] * * *替换[ * * * ] 42680 [ * * * ] [ * * * ] * *(4)(5)737-8子[ * * * ] [ * * * ] [ * * * ] [ * * * ] [ * * * ] 2023年6月[[ * * * ] * * * *换人[ * * * ] 42684 [ * * * ] [ * * * ] *(4)(5)737-8子[ * * * ] [ * * * ] [ * * * ] [ * * * ] [ * * * ] [ * * * ] JUL-2023 [ * * * ] * * *换人[ * * * ] 67966 [ * * * ] [ * * * ](*)(5)OPEX & 737-8子[ * * * ] [ * * * ] [ * * * ] [ * * * ] [ * * * ] [ * * * ] [ * * * ] [ * * * ] JUL-2023 [ * * * ] * * *换人[ * * * ] 67965 [ * * * ] [ * * * ](*)(5)[ * * * ] [ * * * ] [ * * * ] [ * * * ] Aug-2023 [ * * * ] * * *换人[ * * * ] 67914 [ * * * ] [ * * * ](*)(5)OPEX & 737-8 Sub [ * * * ] [ * * ] [ * * * ] [ * * ] [ * * * ] [ * * * ] Aug-2023 [ * * * ] * * *换人[ * * * ] 67961 [ * * * ] [ * * * ](*)(5)OPEX & 737-8 Sub [ * * * ] [ * * * ] [ * * ] [ * * ] [ * * * ] SWA-PA-03729 107953-1F 116795-1F 116953-1F 118300-1F


 
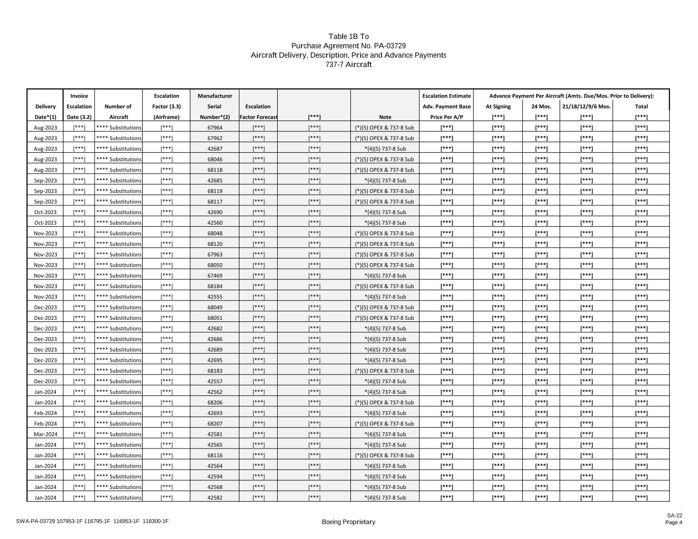
表1b购买协议编号。PA-03729飞机交付、说明、价格和预付款737-7飞机发票升级制造商升级估算每架飞机的预付款(安培。到期/Mos。交付前):交付升级数因数(3.3)串行升级adv.Payment base at signing 24 Mos。2 1/18/12/9/6 Mos。总日期*(1)日期(3.2)飞机(机身)数量*(2)因素预测[ * * * ]每A/P的注价[ * * * ] [ * * * ] [ * * * ] [ * * * ] Aug-2023 [ * * ] * * *替换[ * * ] 67964 [ * * * ] [ * * * ](*)(5)OPEX & 737-8 Sub [ * * * ] [ * * * ] [ * * * ] [ * * * ] [ * * * ] [ * * * ] [ * * * ] Aug-2023 [ * * * ] * * *替换[ * * ] 67962 [ * * * ] [ * * * ](*)(5)OPEX & 737-8 Sub [ * * * ] [ * * * ] [ * * * ] [ * * *737-8子[ * * * ] [ * * * ] [ * * * ] [ * * * ] [ * * * ] Sep-2023 [ * * * ] * * *替换[ * * * ] 42685 [ * * * ] [ * * * ] *(4)(5)737-8子[ * * * ] [ * * * ] [ * * * ] [ * * * ] [ * * * ] [ * * * ] Sep-2023 [ * * ] * * *替换[ * * ] 68 119 [ * * * ] [ * * * ](*)(5)OPEX & 737-8子[ * * * ] [ * * * ] [ * * ] [ * * * ] [ * * * ] [ * * * ] Sep-2023 [ * * * ] * * *替换[ * * *(*)(5)OPEX & 737-8 Sub [ * * * ] [ * * * ] [ * * * ] [ * * * ] [ * * ] 2023年11月[ * * * ] * * *替换[ * * * ] 68120 [ * * * ] [ * * * ](*)(5)OPEX & 737-8 Sub [ * * * * ] [ * * * ] [ * * * ] [ * * * ] [ * * * ] [ * * * ] [ * * * ] 2023年11月[ * * * ] * * *替换[ * * * ] 67963 [ * * * ] [ * * * ](*)(5)OPEX & 737-8 Sub [ * * * ] [ * * * ] [ * * * ] [ * * * ] [ * * * ] 2023年11月[ * * * ] * *[ * * * ] * * * *替换[ * * * ] 42555 [ * * * ] [ * * * ] *(4)(5)737-8子[ * * * ] [ * * * ] [ * * * ] [ * * * ] [ * * * ] [ * * * ] dec-2023 [ * * ] * * *替换[ * * ] 68049 [ * * * ] [ * * * ](*)(5)OPEX & 737-8子[ * * * ] [ * * ] [ * * * ] [ * * * ] [ * * * ] [ * * * ] [ * * * ] [ * * * ] [ * * * ] dec-2023 [ * * * ] * * *替换[ * * ] 68051 [ * * * ] [ * * * ](*)(5)OPEX &Dec-2023 [ * * * ] * * *替换[ * * * ] 42695 [ * * * ] [ * * * ] *(4)(5)737-8子[ * * * ] [ * * * ] [ * * * ] [ * * * ] [ * * * ] Dec-2023 [ * * * ] * * *替换[ * * ] 68183 [ * * * ] [ * * ](*)(5)OPEX & 737-8子[ * * * ] [ * * ] [ * * * ] [ * * * ] [ * * * ] [ * * * ] [ * * * ] [ * * * ] dec-2023 [ * * * ] * * ] [ * * * ]替换[ * * * ] 42557 [ * * * ] [ * * * ] * *(4)(5)737-8子[ *[ * * * ] 2024年2月[ * * * ] * * *换人[ * * * ] 68 207 [ * * * ] [ * * * ](*)(5)OPEX & 737-8 Sub [ * * * ] [ * * * ] [ * * ] [ * * * ] [ * * * ] [ * * * ] [ * * ] 2024年3月[ * * * ] * * *换人[ * * ] 42581 [ * * * ] [ * * ] * * * ] *(4)(5)737-8 Sub [ * * * ] [ * * * ] [ * * * ] [ * * * ] [ * * * ] [ * * * ] [ * * * ] 2024年1月[ * * * ] * *换人[ * * * ] 42565 [ * * * ] [ * * ] * * *(4)([ * * * ] [ * * * ] 2024年1月[ * * * ] * * *替换[ * * * ] 42568 [ * * * ] [ * * * ] *(4)(5)737-8分[ * * * ] [ * * * ] [ * * * ] [ * * * ] [ * * * ] [ * * * ] 2024年1月[ * * ] * * *替换[ * * ] 42582 [ * * * ] [ * * ] * * ] *(4)(5)737-8分[ * * * ] [ * * * ] [ * * * ] [ * * ] [ * * ] [ * * ] [ * * ] [ * * ] SWA-PA-03729 107953-1F 116795-1F 116953-1F 118300-1F波音专有SA-22第4页


 
表1b购买协议编号。PA-03729飞机交付、说明、价格和预付款737-7飞机发票升级制造商升级估算每架飞机的预付款(安培。到期/Mos。交付前):交付升级数量因数(3.3)串行升级adv.24 Mos时的支付基数。2 1/18/12/9/6 Mos。总日期*(1)日期(3.2)飞机(机身)数量*(2)因素预测[ * * * ]每A/P注价[ * * * ] [ * * * ] [ * * ] [ * * * ] [ * * ] 2024年1月[ * * ] * * *替换[ * * ] 68052 [ * * * ] [ * * * ](*)(5)OPEX & 737-8 Sub [ * * * ] [ * * ] [ * * * ] [ * * * ] [ * * * ] [ * * * ] [ * * * ] [ * * * ] Feb-2024 [ * * * ] * * *替换[ * * * ] 68360 [ * * * ] [ * * * ](*)(5)OPEX & 737-8 Sub [ * * * ] [ * * * ] [ * * * ]737-8子[ * * * ] [ * * * ] [ * * * ] [ * * * ] [ * * * ] Mar-2024 [ * * * ] * * *换人[ * * * ] 42578 [ * * * ] [ * * * ] *(4)(5)737-8子[ * * * ] [ * * * ] [ * * * ] [ * * * ] [ * * * ] [ * * * ] Mar-2024 [ * * * ] * * *换人[ * * * ] 42593 [ * * * ] [ * * * ] *(4)(5)737-8子[ * * * ] [ * * * ] [ * * * ] [ * * * ] [ * * * ] [ * * * ] Mar-2024 [ * * ] * * * *换人[ * * * * ] 68686868& 737-8子[ * * * ] [ * * * ] [ * * * ] [ * * * ] [ * * * ] 2024年4月[ * * * ] * * *替换[ * * * ] 68458 [ * * * ] [ * * * ](*)(5)OPEX & 737-8子[ * * * ] [ * * * ] [ * * * ] [ * * * ] [ * * * ] [ * * * ] 2024年4月[ * * * ] * * *替换[ * * * ] 68459 [ * * * ] [ * * * ](*)(5)OPEX & 737-8子[ * * * ] [ * * * ] [ * * * ] [ * * * ] [ * * * ] [ * * * ] 2024年4月[ * * * ] * * * * * * * * * * * * *[ * * * ] *(4)(5)737-8子[ * * * ] [ * * * ] [ * * * ] [ * * * ] [ * * ] 2024年5月[ * * * ] * * *替换[ * * * ] 68626 [ * * * ] [ * * * ] *(4)(5)737-8子[ * * * ] [ * * * ] [ * * * ] [ * * * ] [ * * * ] [ * * * ] 2024年5月[ * * * ] * * *替换[ * * * ] 68627 [ * * * ] [ * * * ] *(4)(5)737-8子[ * * * ] [ * * * ] [ * * * ] [ * * * ] [ * * * ] 2024年5月[ * * * ] * * * * * * * * * * * * * *次[ * * * ] [ * * * ] [ * * * ] [ * * * ] [ * * * ] Jun-2024 [ * * * ] * * *换人[ * * * ] 68629 [ * * * ] [ * * * ] *(6)(5)737-8次[ * * * ] [ * * * ] [ * * ] [ * * * ] [ * * * ] Jun-2024 [ * * * ] * * *换人[ * * * ] 68630 [ * * * ] [ * * * ] *(4)(5)737-8次[ * * * ] [ * * * ] [ * * * ] [ * * * ] [ * * * ] [ * * * ] Jun-2024 [ * * ] * * *换人[ * * * ] 68631 [ *[ * * * ] [ * * * ] [ * * * ] [ * * * ] [ * * * ] 2024年7月[ * * * ] * * *换人[ * * ] 42606 [ * * * ] [ * * ] *(4)(5)737-8次[ * * * ] [ * * * ] [ * * * ] [ * * ] [ * * * ] [ * * * ] [ * * * ] 2024年7月[ * * * ] * * *换人[ * * * ] 68890 [ * * * ] [ * * * ] *(6)(5)737-8次[ * * * ] [ * * * ] [ * * * ] [ * * * ] [ * * * ] [ * * * ] [ * * * ] 2024年7月[ * * * ] * * *换人[ * * * ] 42617 [ *[ * * * ] [ * * * ] [ * * * ] [ * * * ] [ * * * ] 2024年7月[ * * * ] * * *换人[ * * * ] 68927 [ * * * ] [ * * * ] *(6)(5)737-8子[ * * * ] [ * * * ] [ * * * ] [ * * ] [ * * * ] [ * * * ] SWA-PA-03729 107953-1F 116795-1F 116953-1F 118300-1F波音专有SA-22第5页


 
表1b购买协议编号。PA-03729飞机交付、说明、价格和预付款737-7飞机发票升级制造商升级估算每架飞机的预付款(安培。到期/Mos。交付前):交付升级数量因数(3.3)串行升级adv.24 Mos时的支付基数。2 1/18/12/9/6 Mos。*(1)日期(3.2)飞机(机体)数量*(2)因子预测[ * * * ]每A/P的注价[ * * * ] [ * * ] [ * * ] [ * * ] Aug-2024 [ * * ] * *替换[ * * ] 42608 [ * * ] [ * * ] *(4)(5)737-8分[ * * ] [ * * ] [ * * ] [ * * ] [ * * ] [ * * ] Aug-2024 [ * * ] * *替换[ * * ] 42619 [ * * ] [ * * ] *(4)(5)737-8分[ * * ] [ * * ] [ * * ] [ * * ] [ * * ] [ * * ] [ * * ] [ * * ] [ * * ] [ * * ] [ * * ] [ * * ] [ *[ * * * ] 2024年11月[ * * * ] * * * *换人[ * * * ] 68928 [ * * * ] [ * * * ] *(4)(5)737-8子[ * * * ] [ * * * ] [ * * * ] [ * * * ] [ * * * ] [ * * * ] 2024年11月[ * * ] * * *换人[ * * * ] 68929 [ * * * ] [ * * ] * * ] *(4)(5)737-8子[ * * * ] [ * * * ] [ * * * ] [ * * * ] [ * * * ] [ * * * ] [ * * * ] 2024年11月[ * * * ] * * *换人[ * * * ] 68931 [ * * * ] [ * * * ] *(4)(5)737-8子[* * * *换人[ * * * ] 42668 [ * * * ] [ * * * ] *(4)737-8子[ * * * ] [ * * * ] [ * * * ] [ * * * ] [ * * * ] 2025年1月[ * * * ] * * *换人[ * * * ] 42675 [ * * * ] [ * * * ] *(4)737-8子[ * * * ] [ * * * ] [ * * * ] [ * * * ] [ * * * ] [ * * * ] 2025年1月[ * * * ] * * *换人[ * * * ] 36981 [ * * * ] [ * * * ] *(6)737-8子[ * * * ] [ * * * ] [ * * * ] [ * * * ] [ * * * * ] [ * * * * ] J36982 [ * * * ] [ * * * ] *(6)737-8子[ * * * ] [ * * * ] [ * * * ] [ * * ] Feb-2025 [ * * * ] * * *替换[ * * * ] 67468 [ * * * ] [ * * * ] *(4)737-8子[ * * * ] [ * * * ] [ * * * ] [ * * * ] [ * * * ] [ * * * ] Feb-2025 [ * * * ] * * *替换[ * * * ] 42677 [ * * * ] [ * * * ] *(4)737-8子[ * * * ] [ * * * ] [ * * * ] [ * * * ] [ * * * ] Feb-2025 [ * * * ] * * * * [ * * * ] * * * * **(4)737-8次[ * * * ] [ * * * ] [ * * * ] [ * * * ] [ * * * ] [ * * ] Mar-2025 [ * * * ] * * *换人[ * * * ] 67325 [ * * * ] [ * * * ] [ * * * ] [ * * * ] [ * * * ] [ * * * ] Mar-2025 [ * * * ] [ * * * ] [ * * * ] [ * * * ] [ * * * ] [ * * * ] [ * * * ] [ * * * ] [ * * * ] [ * * * ] [ * * * ] [ * * * ] [ * * * ] [ * * * ] [ * * * ] [ * * * ] [ * * * ] [ * * * ] [ * * * * ] [ * * * * ] [ * *[ * * * ] 1 [ * * * ] 69919 [ * * * ] [ * * * ] *(6)737-8子[ * * * ] [ * * * ] [ * * * ] [ * * * ] [ * * * ] [ * * * ] 2025年3月[ * * * ] 1 [ * * * ] 42698 [ * * * ] [ * * * ] *(4)737-8子[ * * * ] [ * * ] [ * * ] [ * * * ] [ * * * ] [ * * * ] 2025年3月[ * * * ] 1 [ * * * * ] 69921 [ * * * ] [ * * * ] *(6)737-8子[ * * * ] [ * * * ] [ * * * ] [ * * * ] [ * * * ] 2025年3月[ * * * ] 1 [ * * *


 
表1b购买协议编号。PA-03729飞机交付、说明、价格和预付款737-7飞机发票升级制造商升级估算每架飞机的预付款(安培。到期/Mos。交付前):交付升级数量因数(3.3)串行升级adv.24 Mos时的支付基数。2 1/18/12/9/6 Mos。总日期*(1)日期(3.2)飞机(机身)数量*(2)因子预测[ * * * ]每A/P的注价[ * * * ] [ * * * ] [ * * * ] [ * * * ] [ * * * ] Apr-2025 [ * * * ] 1 [ * * * ] 42701 [ * * * ] [ * * * ] *(4)737-8子[ * * * ] [ * * * ] [ * * ] [ * * ] [ * * * ] [ * * * ] Apr-2025 [ * * * ] 1 [ * * * * ] 67319 [ * * * ] [ * * * ] [ * * * ] [ * * ] [ * * ] [ * * ] [ * * ] [ * * ] [ * * * ] [ * * * ] [ * * * ] [ * * * ]2025年5月[ * * * ] 1 [ * * * ] 67322 [ * * * ] [ * * * ] [ * * * ] [ * * * ] [ * * * ] [ * * * ] 2025年6月[ * * * ] 1 [ * * * ] 42624 [ * * * ] [ * * * ] *(4)737-8分[ * * * ] [ * * * ] [ * * * ] [ * * * ] [ * * * ] [ * * * ] 2025年6月[ * * * ] 1 [ * * * ] 67323 [ * * * ] [ * * * ] [ * * * ] [ * * * ] [ * * * ] [ * * * ] [ * * * ] [ * * * ] [ * * * ] [ * * * ] [ * * * ] [ * * * ] [ * * * ] [ * * * *[ * * * ] *(4)737-8分[ * * * ] [ * * * ] [ * * * ] [ * * * ] [ * * * ] 2025年8月[ * * * ] 1 [ * * * ] 67328 [ * * * ] [ * * * ] [ * * * ] [ * * * ] [ * * * ] [ * * ] [ * * * ] 2025年8月[ * * * ] 1 [ * * * * ] 67327 [ * * * ] [ * * * ] [ * * * ] [ * * * ] [ * * * ] [ * * * * ] [ * * * ] [ * * * ] [ * * * ] [ * * * ] [ * * * ] [ * * * ] [ * * * ] [ * * * ] [ * * * ] [ * * * ] [ * * * * ] [ * * *[ * * * ] 67331 [ * * * ] [ * * * ] [ * * * ] [ * * * ] [ * * * ] [ * * * ] [ * * ] [ * * * ] 2025年11月[ * * * ] 1 [ * * * ] 69013 [ * * * ] [ * * * ] *(4)737-8分/*(9)改期权[ * * * ] [ * * * ] [ * * * ] [ * * * ] [ * * * ] [ * * * ] [ * * * ] 2025年11月[ * * * * ] 1 [ * * * * ] 69014 [ * * * * ] [ * * * ] * * * * * * * * * * * * * * * * * * * * * * * * * * * * * * * * * * * * * * * * * * *[ * * * ] 67334 [ * * * ] [ * * * ] *(9)改期权[ * * * ] [ * * * ] [ * * * ] [ * * * ] [ * * * ] Dec-2025 [ * * * ] 1 [ * * * ] 42639 [ * * * ] [ * * * ] *(4)737-8子/*(9)改期权[ * * * ] [ * * * ] [ * * ] [ * * * ] [ * * * ] [ * * * ] Dec-2025 [ * * * ] 1 [ * * * * ] 42636 [ * * * ] [ * * * ] * * * * * * * * * * * * * * * * * * * * * * * * * * * * * * * * * * * * * * * * * * * * * *[ * * * ] 67336 [ * * * ] [ * * * ] *(9)改期权[ * * * ] [ * * * ] [ * * ] [ * * * ] [ * * * ] 2026年1月[ * * * ] 1 [ * * * ] 69040 [ * * * ] [ * * ] *(4)737-8分[ * * * ] [ * * * ] [ * * * ] [ * * * ] [ * * * ] [ * * * ] 2026年1月[ * * * ] 1 [ * * * * ] 69041 [ * * * ] [ * * ] * * ] *(4)737-8分[ * * * ] [ * * ] [ * * ] [ * * * ] [ * * ] SWA-PA-03729 107953-1F 116795-1F 1


 
表1b购买协议编号。PA-03729飞机交付、说明、价格和预付款737-7飞机发票升级制造商升级估算每架飞机的预付款(安培。到期/Mos。交付前):交付升级因数(3.3)串行升级adv.24 Mos时的支付基数。2 1/18/12/9/6 Mos。总日期*(1)日期(3.2)飞机(机身)数量*(2)因素预测[ * * * ]每A/P的注价[ * * * ] [ * * * ] [ * * * ] [ * * * ] [ * * ] 2026年1月[ * * * ] 1 [ * * * ] 67339 [ * * * ] [ * * ] [ * * ] [ * * * ] [ * * ] [ * * ] [ * * ] [ * * * ] 2026年1月[ * * * ] 1 [ * * * * ] 67404 [ * * * ] [ * * * ] [ * * * ] [ * * * ] [ * * * ] [ * * * ] [ * * * ] [ * * * ] [ * * * ] [ * * * ] 2026年2月[ * * * ] 1 [ * * * ] 69043 [ *[ * * * ] 42640 [ * * * ] [ * * * ] *(4)737-8子[ * * * ] [ * * * ] [ * * * ] [ * * * ] [ * * * ] 2026年3月[ * * * ] 1 [ * * * ] 42628 [ * * * ] [ * * * ] *(4)737-8子[ * * * ] [ * * * ] [ * * * ] [ * * * ] [ * * * ] [ * * * ] [ * * * ] 2026年3月[ * * * ] 1 [ * * * * ] 67342 [ * * * ] [ * * * ] [ * * * ] [ * * ] [ * * * ] [ * * * ] [ * * * ] [ * * * ] [ * * * * ] [ * * * * ] [ * * * * *分[ * * * ] [ * * * ] [ * * * ] [ * * * ] [ * * * ] 2026年4月[ * * * ] 1 [ * * * ] 69426 [ * * * ] [ * * * ] *(4)737-8分[ * * * ] [ * * * ] [ * * ] [ * * * ] [ * * ] [ * * * ] [ * * ] 2026年4月[ * * * ] 1 [ * * * ] 67408 [ * * * ] [ * * * ] [ * * * ] [ * * * ] [ * * * ] [ * * * ] [ * * * ] [ * * * ] [ * * * ] [ * * * ] [ * * * ] [ * * * ] [ * * * ] [ * * * ] [ * * * ] [ * * * ] [ * * * * ] [2026年5月[ * * * ] 1 [ * * * ] 67409 [ * * * ] [ * * * ] [ * * * ] [ * * * ] [ * * ] [ * * * ] 2026年5月[ * * * ] 1 [ * * * * ] 67410 [ * * * ] [ * * * ] [ * * * ] [ * * ] [ * * * ] [ * * * ] [ * * * ] [ * * * ] [ * * * ] [ * * * ] [ * * * ] [ * * * ] [ * * * ] [ * * * ] 2026年6月[ * * * ] 1 [ * * * * ] [ * * * ] [ * * ] [ * * * ] [ * * * ] [ * * * ] [ * * * * ] [ * * * * * * * * * * * * * * * * *[ * * * ] *(4)737-8分[ * * * ] [ * * * ] [ * * * ] [ * * * ] [ * * * ] [ * * ] 2026年7月[ * * * ] 1 [ * * * ] 69007 [ * * * ] [ * * * ] *(4)737-8分[ * * * ] [ * * * ] [ * * ] [ * * * ] [ * * * ] [ * * * ] [ * * ] 2026年7月[ * * * ] [ * * * ] [ * * * ] [ * * * ] [ * * * ] [ * * * ] [ * * * ] [ * * * ] [ * * * ] [ * * * * ] [ * * * * * ] [ * * * * * * * * * * * * * * * * * * * * * * * * *[ * * * ] *(4)737-8分[ * * * ] [ * * * ] [ * * * ] [ * * * ] [ * * * ] SWA-PA-03729 107953-1F 116795-1F 116953-1F 118300-1F波音专有SA-22第8页


 
表1b购买协议编号。PA-03729飞机交付、说明、价格和预付款737-7飞机发票升级制造商升级估算每架飞机的预付款(安培。到期/Mos。交付前):交付升级因数(3.3)串行升级adv.24 Mos时的支付基数。2 1/18/12/9/6 Mos。总日期*(1)日期(3.2)飞机(机身)数量*(2)因素预测[ * * * ]每A/P的注价[ * * * ] [ * * * ] [ * * * ] [ * * * ] Aug-2026 [ * * * ] 1 [ * * * ] 67348 [ * * * ] [ * * * ] [ * * ] [ * * ] [ * * * ] [ * * * ] [ * * ] [ * * * ] Aug-2026 [ * * * ] 1 [ * * * * ] [ * * * ] [ * * * ] [ * * * ] Aug-2026 [ * * * ] 1 [ * * * * * ] [ * * * ] [ * * * ] [ * * * ] [ * * * ] [ * * * ] [ * * * * ] [ * * * * * ] [ *2026年9月[ * * * ] 1 [ * * * ] 67414 [ * * * ] [ * * * ] [ * * * ] [ * * * ] [ * * * ] [ * * * ] 2026年10月[ * * * ] 1 [ * * * ] 69039 [ * * * ] [ * * * ] *(4)737-8子[ * * * ] [ * * * ] [ * * * ] [ * * ] [ * * * ] [ * * * ] [ * * * ] 2026年10月[ * * * ] 1 [ * * * * ] 69042 [ * * * ] [ * * * ] *(4)737-8子[ * * * ] [ * * * ] [ * * * ] [ * * * ] [ * * * ] 2026年10月[ * * * ] 1 [ * * * * ] 673分[ * * * ] [ * * * ] [ * * * ] [ * * * ] [ * * * ] 2026年11月[ * * * ] 1 [ * * * ] 42663 [ * * * ] [ * * * ] *(4)737-8分[ * * * ] [ * * * ] [ * * ] [ * * * ] [ * * ] [ * * * ] [ * * ] 2026年11月[ * * * ] 1 [ * * * ] 67352 [ * * * ] [ * * ] [ * * ] [ * * * ] [ * * * ] [ * * * ] [ * * * ] [ * * * ] [ * * * ] [ * * * ] [ * * * ] [ * * * ] [ * * * ] [ * * * ] [ * * * ] [ * * * ] [ * * * ] [ * *2027年1月[ * * * ] 1 [ * * * ] 67354 [ * * * ] [ * * * ] [ * * * ] [ * * * ] [ * * ] [ * * * ] [ * * * ] Feb-2027 [ * * * ] 1 [ * * * ] 67355 [ * * * ] [ * * * ] [ * * ] [ * * * ] [ * * * ] [ * * * ] [ * * * ] [ * * * ] [ * * * ] [ * * * ] Mar-2027 [ * * * * ] [ * * * ] [ * * * ] [ * * * ] [ * * * ] [ * * * ] [ * * * ] [ * * * ] [ * * * ] [ * * * ] [ * * * ] [ * * * ] [ * * * ] [ * * * ] [ *[ * * * ] [ * * * ] [ * * * ] 2027年5月[ * * * ] 1 [ * * * * ] 67359 [ * * * ] [ * * * ] [ * * * ] [ * * * ] [ * * * ] [ * * * ] [ * * * ] [ * * * ] [ * * * ] 2027年6月[ * * * ] 1 [ * * * ] [ * * ] [ * * * ] [ * * * ] [ * * * ] [ * * * ] [ * * * ] [ * * * ] [ * * * ] [ * * * ] [ * * * ] [ * * * ] [ * * * ] [ * * * * ] [ * * * * ] [ * * * * * ] [ * * * * * * * * * * * * * * * * * * * * * * * * *9


 
表1b购买协议编号。PA-03729飞机交付、说明、价格和预付款737-7飞机发票升级制造商升级估算每架飞机的预付款(安培。到期/Mos。交付前):交付升级数量因数(3.3)串行升级adv.24 Mos时的支付基数。2 1/18/12/9/6 Mos。总日期*(1)日期(3.2)飞机(机身)数量*(2)因子预测[ * * * ]每A/P的注价[ * * * ] [ * * * ] [ * * * ] [ * * * ] Oct-2027 [ * * * ] 1 [ * * * ] 67365 [ * * ] [ * * * ] [ * * ] [ * * ] [ * * * ] [ * * * ] [ * * * ] [ * * * ] Nov-2027 [ * * * ] 1 [ * * * * ] [ * * * ] [ * * * ] Nov-2027 [ * * * ] [ * * * ] [ * * * ] [ * * ] [ * * * ] [ * * * ] [ * * * ] [ * * * ] [ * * * * ] [ * * * * ] [ * * * * * *[ * * * ] [ * * * ] [ * * * ] [ * * * ] [ * * * ] [ * * * ] 2028年3月[ * * * ] 1 [ * * * ] 67371 [ * * * ] [ * * * ] [ * * * ] [ * * * ] [ * * * ] [ * * * ] [ * * * ] [ * * * ] 2028年4月[ * * * ] 1 [ * * * * ] 67373 [ * * * ] [ * * * ] [ * * * ] [ * * * ] [ * * * ] [ * * * ] [ * * * ] [ * * * ] [ * * * ] 2028年5月[ * * * ] 1 [ * * * * ] 67375 [ * * * ] [ * * * ] [ * * * ] [ * * * ] [ * * * ] [ * * *[ * * * ] [ * * * ] [ * * * ] 2028年10月[ * * * ] 1 [ * * * * ] 67381 [ * * * ] [ * * * ] [ * * * ] [ * * * ] [ * * * ] [ * * * ] [ * * * ] 2028年10月[ * * * ] 1 [ * * * * ] 67380 [ * * * ] [ * * * ] [ * * * ] [ * * ] [ * * * ] [ * * * ] [ * * * ] [ * * * ] [ * * * ] [ * * * ] [ * * * ] 2028年11月[ * * * ] 1 [ * * * * ] 67382 [ * * * ] [ * * * ] [ * * * ] [ * * * ] [ * * * ] [ * * * ] [ * * * ] [ * * *737-7(2023)事务所[ * * * ] [ * * * ] [ * * * ] [ * * * ] [ * * * ] 2029年1月[ * * * ] 1 [ * * * ] 69681 [ * * * ] [ * * * ] *(7)737-7(2023)事务所[ * * * ] [ * * * ] [ * * * ] [ * * * ] [ * * * ] [ * * * ] Feb-2029 [ * * * ] 1 [ * * * * ] 67386 [ * * * ] [ * * * ] [ * * * ] [ * * * ] [ * * * ] [ * * * ] [ * * * ] [ * * * ] [ * * * ] [ * * * ] [ * * * ] Feb-2029 [ * * * ] 1 [ * * * ] 69682[ * * * ] 67388 [ * * * ] [ * * * ] [ * * * ] [ * * * ] [ * * * ] [ * * * ] [ * * ] [ * * * ] Mar-2029 [ * * * ] 1 [ * * * ] 69685 [ * * * ] [ * * ] *(7)737-7(2023)事务所[ * * * ] [ * * * ] [ * * * ] [ * * * ] [ * * * ] [ * * * ] [ * * * ] Apr-2029 [ * * * ] 1 [ * * * * ] [ * * * ] [ * * * ] [ * * * ] [ * * * ] [ * * * ] [ * * * ] [ * * * ] [ * * * ] [ * * * * ] [ * * * * ] [ * * * * * *专有SA-22第10页


 
表1b购买协议编号。PA-03729飞机交付、说明、价格和预付款737-7飞机发票升级制造商升级估算每架飞机的预付款(安培。到期/Mos。交付前):交付升级因数(3.3)串行升级adv.24 Mos时的支付基数。2 1/18/12/9/6 Mos。总日期*(1)日期(3.2)飞机(机身)数量*(2)因素预测[ * * * ]每A/P的注价[ * * * ] [ * * * ] [ * * * ] [ * * * ] May-2029 [ * * * ] 1 [ * * * ] 69688 [ * * * ] [ * * * ] *(7)737-7(2023)事务所[ * * * ] [ * * * ] [ * * ] [ * * * ] [ * * * ] [ * * * ] Jun-2029 [ * * * ] 1 [ * * * * ] 67392 [ * * * ] [ * * * ] [ * * ] [ * * * ] [ * * * ] [ * * * ] [ * * * ] [ * * * ] [ * * * ] [ * * * ] [ * * * ] [[ * * * ] 1 [ * * * ] 69690 [ * * * ] [ * * * ] *(7)737-7(2023)商行[ * * * ] [ * * * ] [ * * * ] [ * * * ] [ * * * ] Aug-2029 [ * * * ] 1 [ * * * ] 67396 [ * * * ] [ * * * ] [ * * ] [ * * * ] [ * * * ] [ * * * ] [ * * * ] [ * * * ] Aug-2029 [ * * * * ] 1 [ * * * * ] 67397 [ * * * ] [ * * * ] [ * * * ] [ * * ] [ * * * ] [ * * * ] [ * * * ] [ * * * ] [ * * * ] [ * * * ] [ * * * * ] [67400 [ * * * ] [ * * * ] [ * * * ] [ * * * ] [ * * * ] [ * * * ] [ * * * ] Oct-2029 [ * * * ] 1 [ * * * ] 69693 [ * * * ] [ * * * ] *(7)737-7(2023)事务所[ * * * ] [ * * * ] [ * * * ] [ * * * ] [ * * * ] Oct-2029 [ * * * ] 1 [ * * * * ] 69694 [ * * * ] [ * * ] * * ] *(7)737-7(2023)事务所[ * * * ] [ * * * ] [ * * * ] [ * * * ] [ * * * ] [ * * * ] [ * * * ] [ * * * ] [ * * * ] [ * * *[ * * * ] 67402 [ * * * ] [ * * * ] [ * * * ] [ * * * ] [ * * * ] [ * * * ] [ * * ] 2030年1月[ * * * ] 1 [ * * * ] 69697 [ * * * ] [ * * * ] *(7)737-7(2023)事务所[ * * * ] [ * * * ] [ * * * ] [ * * * ] [ * * * ] [ * * * ] 2030年1月[ * * * ] 1 [ * * * * ] 69698 [ * * * ] [ * * * ] [ * * * ] *(7)737-7(2023)事务所[ * * * ] [ * * * ] [ * * * ] [ * * * ] [ * * * ] [ * * * ] 2030年1月[ * * * ] 1 [ * * *商行[ * * * ] [ * * * ] [ * * * ] [ * * * ] [ * * * ] Feb-2030 [ * * * ] 1 [ * * * ] 69703 [ * * * ] [ * * * ] *(7)737-7(2023)商行[ * * * ] [ * * * ] [ * * * ] [ * * * ] [ * * * ] Mar-2030 [ * * * ] 1 [ * * * * ] 69704 [ * * * ] [ * * ] [ * * ] *(7)737-7(2023)商行[ * * * ] [ * * * ] [ * * * ] [ * * * ] [ * * * ] [ * * * ] [ * * * ] [ * * * ] Mar-2030 [ * * * ] 1 [ * * * ] 69705 [ * * * ][ * * * ] [ * * * ] [ * * * ] Apr-2030 [ * * * ] 1 [ * * * ] 69709 [ * * * ] [ * * ] *(7)737-7(2023)商行[ * * * ] [ * * * ] [ * * ] [ * * * ] [ * * * ] Apr-2030 [ * * ] 1 [ * * * ] 69710 [ * * * ] [ * * ] * *(7)737-7(2023)商行[ * * * ] [ * * * ] [ * * ] [ * * * ] [ * * * ] [ * * * ] [ * * * ] [ * * * ] [ * * * ] [ * * * ] Apr-2030 [ * * * ] 1 [ * * * * ] 69711 [ * * * ] [ * * * ] *


 
表1b购买协议编号。PA-03729飞机交付、说明、价格和预付款737-7飞机发票升级制造商升级估算每架飞机的预付款(安培。到期/Mos。交付前):交付升级数量因数(3.3)串行升级adv.24 Mos时的支付基数。2 1/18/12/9/6 Mos。总日期*(1)日期(3.2)飞机(机体)数量*(2)因子预测[ * * * ]每A/P的注价[ * * * ] [ * * * ] [ * * * ] [ * * * ] May-2030 [ * * ] 1 [ * * * ] 69712 [ * * * ] [ * * ] *(7)737-7(2023)事务所[ * * * ] [ * * * ] [ * * * ] [ * * ] [ * * * ] [ * * * ] May-2030 [ * * * ] 1 [ * * * * ] 69713 [ * * * ] [ * * * ] *(7)737-7(2023)事务所[ * * * ] [ * * * ] [ * * * ] [ * * * ] [ * * * ] May-2030 [ * * * ] 1 [ * *[ * * * ] 1 [ * * * ] 69717 [ * * * ] [ * * * ] *(7)737-7(2023)事务所[ * * * ] [ * * * ] [ * * * ] [ * * * ] [ * * * ] Jun-2030 [ * * * ] 1 [ * * * ] 69718 [ * * * ] [ * * * ] *(7)737-7(2023)事务所[ * * * ] [ * * ] [ * * ] [ * * ] [ * * * ] [ * * * ] Jun-2030 [ * * * ] 1 [ * * * * ] 69719 [ * * * ] [ * * ] * * ] *(7)737-7(2023)事务所[ * * * ] [ * * * ] [ * * * ] [ * * * ] [ * * * ] [ *69723 [ * * * ] [ * * * ] *(7)737-7(2023)事务所[ * * * ] [ * * * ] [ * * * ] [ * * * ] Aug-2030 [ * * * ] 1 [ * * * ] 69724 [ * * * ] [ * * ] *(7)737-7(2023)事务所[ * * * ] [ * * * ] [ * * ] [ * * ] [ * * ] [ * * ] Aug-2030 [ * * * ] 1 [ * * * ] 69725 [ * * * ] [ * * ] * * ] *(7)737-7(2023)事务所[ * * * ] [ * * * ] [ * * ] [ * * ] [ * * * ] [ * * ] Aug-2030 [ * * * ] 1 [ * * * ] 697*(7)737-7(2023)事务所[ * * * ] [ * * * ] [ * * * ] [ * * * ] [ * * * ] [ * * ] Sep-2030 [ * * * ] 1 [ * * * ] 69730 [ * * * ] [ * * * ] *(7)737-7(2023)事务所[ * * * ] [ * * * ] [ * * * ] [ * * * ] [ * * * ] Sep-2030 [ * * * ] 1 [ * * * * ] 69731 [ * * * ] [ * * ] [ * * ] *(7)737-7(2023)事务所[ * * * ] [ * * * ] [ * * * ] [ * * * ] [ * * * ] Oct-2030 [ * * * ] 1 [ * * * ] 69732 [ * *商行[ * * * ] [ * * * ] [ * * * ] [ * * * ] [ * * * ] Nov-2030 [ * * * ] 1 [ * * * ] 69736 [ * * * ] [ * * * ] *(7)737-7(2023)商行[ * * * ] [ * * * ] [ * * * ] [ * * * ] [ * * * ] [ * * * ] Nov-2030 [ * * * ] 1 [ * * * * ] 69737 [ * * ] [ * * * ] [ * * ] *(7)737-7(2023)商行[ * * * ] [ * * * ] [ * * * ] [ * * * ] [ * * * ] [ * * * ] [ * * * ] [ * * * ] Nov-2030 [ * * * ] 1 [ * * * ] 69738 [ *[ * * * ] [ * * * ] [ * * * ] 2031年1月[ * * * ] 1 [ * * * ] 69742 [ * * * ] [ * * ] *(7)737-7(2023)商行[ * * * ] [ * * * ] [ * * ] [ * * * ] [ * * * ] 2031年1月[ * * ] 1 [ * * * ] 69743 [ * * * ] [ * * ] * *(7)737-7(2023)商行[ * * * ] [ * * * ] [ * * * ] [ * * * ] [ * * * ] [ * * * ] [ * * * ] [ * * * ] [ * * * ] [ * * * ] [ * * * ] [ * * * ] [ * * * ] [ * * * * ] [ * * * * ] [ * * *SWA-PA-03729 107953-1F 116795-1F 116953-1F 118300-1F波音专有SA-22第12页


 
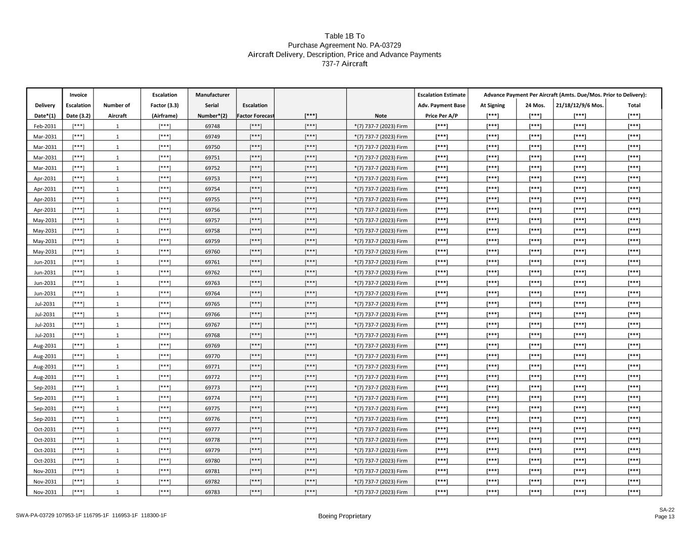
表1b购买协议编号。PA-03729飞机交付、说明、价格和预付款737-7飞机发票升级制造商升级估算每架飞机的预付款(安培。到期/Mos。交付前):交付升级因数(3.3)串行升级adv.Payment base at signing 24 Mos。2 1/18/12/9/6 Mos。总日期*(1)日期(3.2)飞机(机身)数量*(2)因素预测[ * * * * ]每A/P注价[ * * * ] [ * * * ] [ * * * ] [ * * * ] Feb-2031 [ * * * ] 1 [ * * * ] 69748 [ * * * ] [ * * ] *(7)737-7(2023)公司[ * * * ] [ * * * ] [ * * * ] [ * * * ] [ * * * ] [ * * * ] [ * * * ] Mar-2031 [ * * * ] 1 [ * * * * ] 69749 [ * * * ] [ * * ] * * * * * * * * * * * * * * * * * * * * * * * * * * * * * * * * * * * * * * * * * *[ * * * ] 1 [ * * * ] 69753 [ * * * ] [ * * * ] *(7)737-7(2023)事务所[ * * * ] [ * * * ] [ * * * ] [ * * * ] [ * * ] Apr-2031 [ * * * ] 1 [ * * * ] 69754 [ * * * ] [ * * ] *(7)737-7(2023)事务所[ * * * ] [ * * ] [ * * ] [ * * ] [ * * ] [ * * ] [ * * * ] [ * * * ] Apr-2031 [ * * * ] 1 [ * * * * ] 69755 [ * * * ] [ * * ] [ * * ] *(7)737-7(2023)事务所[ * * * * ] [ * * * ] [ * * * ] [ *69759 [ * * * ] [ * * * ] *(7)737-7(2023)事务所[ * * * ] [ * * * ] [ * * ] [ * * * ] [ * * * ] May-2031 [ * * * ] 1 [ * * * ] 69760 [ * * * ] [ * * ] *(7)737-7(2023)事务所[ * * * ] [ * * * ] [ * * * ] [ * * * ] [ * * * ] [ * * * ] Jun-2031 [ * * * ] 1 [ * * * * ] 69761 [ * * * ] [ * * ] * * ] *(7)737-7(2023)事务所[ * * * ] [ * * * ] [ * * * ] [ * * * ] [ * * * ] [ * * * ] Jun-2031 [ * * **(7)737-7(2023)事务所[ * * * ] [ * * * ] [ * * * ] [ * * * ] [ * * ] [ * * ] Jul-2031 [ * * * ] 1 [ * * * ] 69766 [ * * * ] [ * * ] *(7)737-7(2023)事务所[ * * * ] [ * * * ] [ * * * ] [ * * * ] [ * * * ] Jul-2031 [ * * ] [ * * * ] [ * * * ] [ * * * ] [ * * * ] Jul-2031 [ * * * * * ] [ * * ] [ * * * * ] [ * * ] [ * * ] [ * * ] [ * * ] [ * * * ] [ * * * ] [ * * * * ] [ * * * ] [ * * * * ]商行[ * * * ] [ * * * ] [ * * * ] [ * * * ] [ * * * ] Aug-2031 [ * * * ] 1 [ * * * ] 69772 [ * * * ] [ * * * ] *(7)737-7(2023)商行[ * * * ] [ * * * ] [ * * * ] [ * * ] [ * * * ] [ * * * ] Sep-2031 [ * * * ] 1 [ * * * * ] 69773 [ * * * ] [ * * ] * * ] *(7)737-7(2023)商行[ * * * ] [ * * * ] [ * * * ] [ * * * ] [ * * * ] [ * * * ] [ * * * ] Sep-2031 [ * * * ] 1 [ * * * ] 69774 [ * * * ][ * * * ] [ * * * ] [ * * * ] Oct-2031 [ * * * ] 1 [ * * * ] 69778 [ * * * ] [ * * ] *(7)737-7(2023)商行[ * * * ] [ * * * ] [ * * ] [ * * * ] [ * * * ] Oct-2031 [ * * * ] 1 [ * * * ] 69779 [ * * * ] [ * * ] *(7)737-7(2023)商行[ * * * ] [ * * * ] [ * * ] [ * * * ] [ * * * ] [ * * * ] [ * * * ] Oct-2031 [ * * * ] 1 [ * * * * ] 69780 [ * * * ] [ * * * ] *(7)737-7(2023)商行[ * * *SWA-PA-03729 107953-1F 116795-1F 116953-1F 118300-1F波音专有SA-22第13页


 
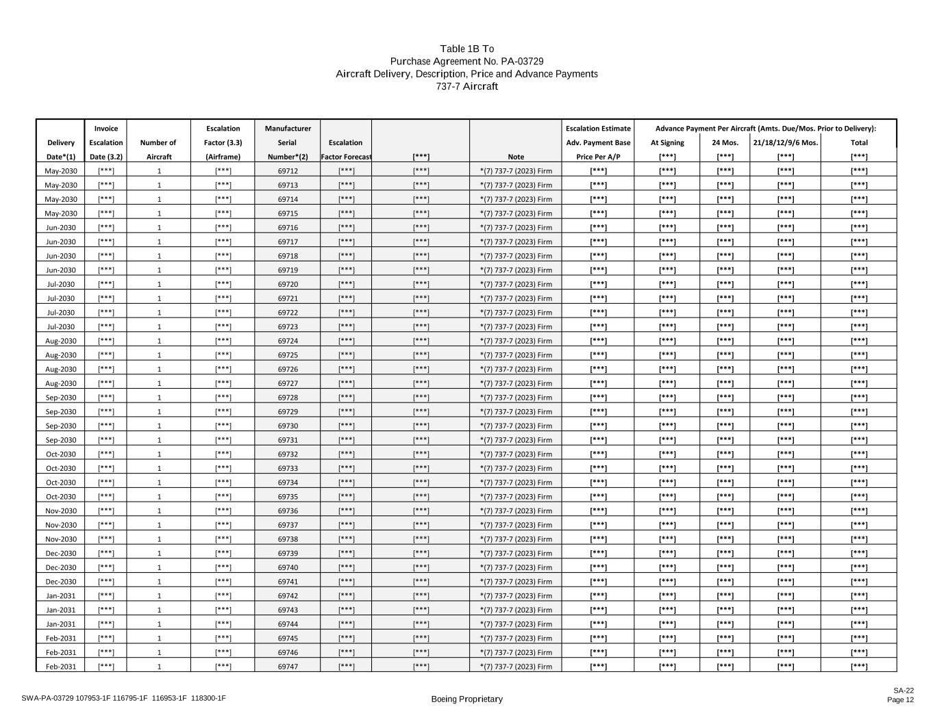
表1b购买协议编号。PA-03729飞机交付、说明、价格和预付款737-7飞机发票升级制造商升级估算每架飞机的预付款(安培。到期/Mos。交付前):交付升级系数(3.3)串行升级adv.24个月签约时的支付基数。2 1/18/12/9/6 Mos。总日期*(1)日期(3.2)飞机(机身)数量*(2)因子预测[ * * * ]每A/P的注价[ * * * ] [ * * * ] [ * * * ] [ * * ] [ * * ] Dec-2031 [ * * * ] 1 [ * * * ] 69784 [ * * ] [ * * * ] *(7)737-7(2023)事务所[ * * * ] [ * * * ] [ * * * ] [ * * * ] [ * * * ] [ * * * ] Dec-2031 [ * * * ] 1 [ * * * * ] 69785 [ * * * ] [ * * * ] * *(7)737-7(2023)事务所[ * * * ] [ * * * ] [ * * * ] [ * * * ] [ * * * ] Dec-2031 [ * **(3.2)[ * * * ] *(3.3)[ * * * ] *(4)[ * * * ] *(6)737-8子:原期权替代为-7 SWA-PA-03729-LA-1106471R2/SWA-PA-03729-LA-1106473R2 *(7)737-7(2023)公司:新一百一十六(108)-7 2023公司A/C SWA-PA-03729-LA-2304184 *(8)737-8子:2020年期权替代为-7 SWA-PA-03729-LA-1106471R2/SWA-PA-03729-LA-1106473R2 *(9)重新安排权利/2025按LA-2400提供的灵活交付位置SWA-PA-3729-LA-2202855R2和本表1B对这一百五十二(152)架替代飞机的定价条款和条件。SWA-PA-03729 107953-1F 116795-1F 116953-1F 118300-1F波音专有SA-22第14页


 
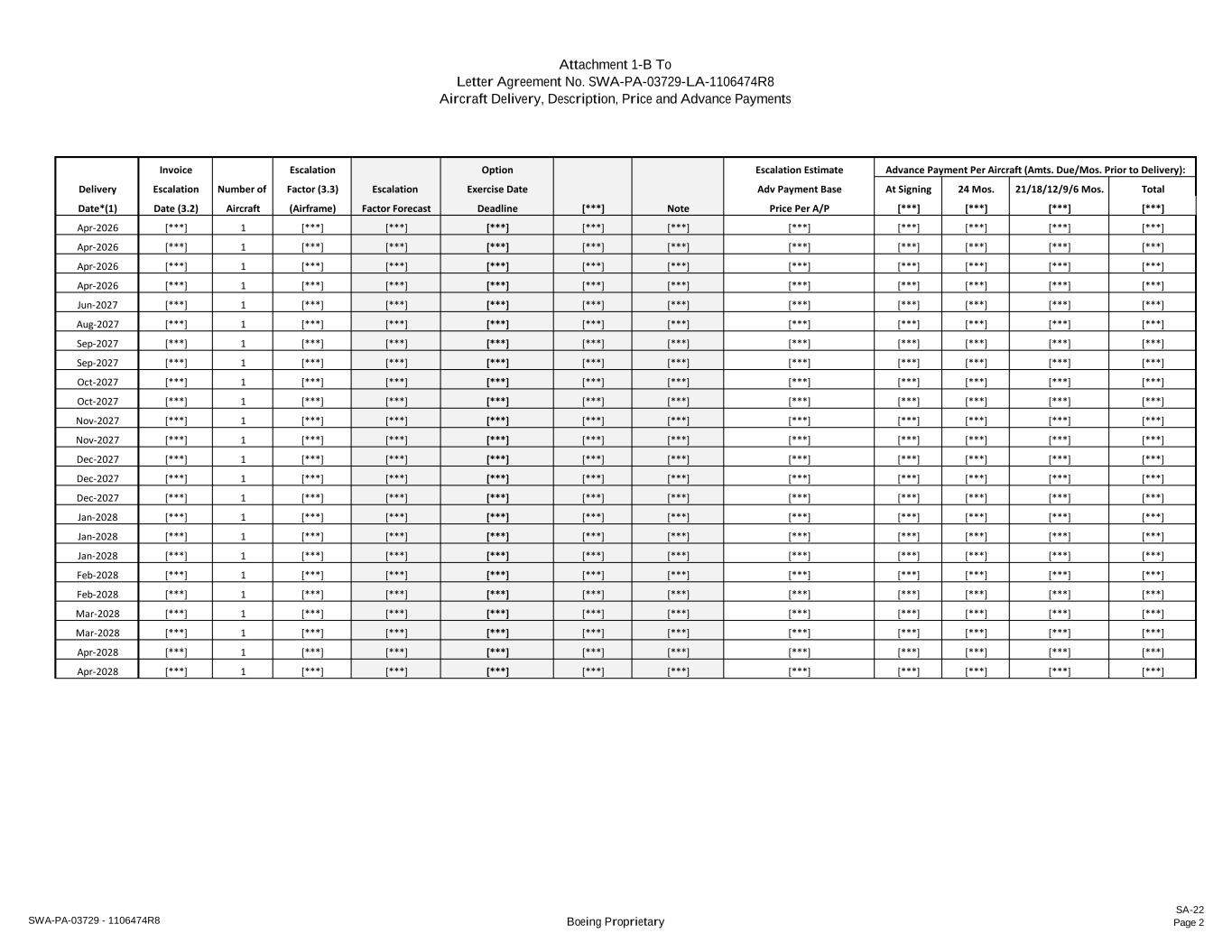
第1106474R8号信函协议附件1-a飞机交付、说明、价格和预付款机身型号/MTOW:737-818.12万磅详细规格:D019A008-S(5/1/2017)发动机型号/推力:CFMLEAP-1B28(1)27900磅机身价格基准年/升级公式:Jul-11机身价格:[ * * * ]发动机价格基准年/升级公式:N/a可选特性:[ * * * ]机身和特性小计:[ * * * ]机身升级数据:发动机价格(每架飞机):[ * * * ]基准年指数(ECI):[ * * * ]飞机基本价格(不含BFE/SPE):[ * * * ]基准年指数(CPI):[ * * * ]买方精装设备(BFE)估到期/Mos。交割前):交割升级因子数(3.3)交割升级行权日期ADV支付基数在签订24个月。2 1/18/12/9/6 Mos。总日期*(1)日期(3.2)飞机(机身)因数预测截止日期[ * * * ]每A/P注价[ * * * ] [ * * * ] [ * * * ] [ * * * ] Oct-2025 [ * * * ] 1 [ * * * ] [ * * * ] [ * * ] [ * * ] [ * * ] [ * * * ] [ * * * ] [ * * * ] [ * * * ] [ * * * ] [ * * * ] Oct-2025 [ * * * ] 1 [ * * * * ] [ * * * ] [ * * * ] [ * * * ] [ * * * ] [ * * * ] [ * * * ] [ * * * ] [ * * * ] [ * * * ] [ * * * * ] [ * * * * ] [ * * * * ] [ * * * *[ * * * * ] [ * * * ] [ * * * ] [ * * * ] [ * * * ] [ * * * ] [ * * ] [ * * * ] [ * * * ] [ * * * ] [ * * * ] 2027年7月[ * * * ] 1 [ * * * ] [ * * * ] [ * * * ] [ * * * ] [ * * * ] [ * * * ] [ * * * ] [ * * * ] [ * * * ] [ * * * ] [ * * * ] [ * * * ] [ * * * ] [ * * * ] [ * * * ] [ * * * ] [ * * * ] [ * * * ] [ * * * ] [ * * * ] [ * * * ] [ * * * ] [ * * * ] [ * * * * ] [ * * * * ] [ * * * *


 
第1-b号信函协议的附件。SWA-PA-03729-LA-1106474R8飞机交付,说明,价格及预付款机身型号/MTOW:737-8 181,200磅详细规格:D019A008-S(5/1/2017)4Q20外置FCST发动机型号/推力:CFMLEAP-1B28(1)27,900磅机身价格基准年/升级公式:JUL-11非标机身价格:[ * * * ]发动机价格基准年/升级公式:JUL-11非标可选特性:[ * * * ]机身及特性小计:[ * * * ]机身升级数据:发动机价格(每架飞机):[ * * * ]基准年指数(ECI):[ * * * ]飞机基本价格(不含BFE/SPE):[ * * * ]基准年指数(CPI):[ * * * ]到期/Mos。交割前):交割升级因子数(3.3)交割升级行权日期ADV支付基数在签订24个月。2 1/18/12/9/6 Mos。总日期*(1)日期(3.2)飞机(机身)因数预测截止日期[ * * * ]每A/P的注价[ * * * ] [ * * * ] [ * * * ] [ * * * ] Oct-2025 [ * * * ] 1 [ * * * ] [ * * * ] [ * * ] [ * * * ] [ * * ] [ * * * ] [ * * * ] [ * * * ] [ * * * ] [ * * * ] Oct-2025 [ * * * ] 1 [ * * * * ] [ * * * ] [ * * * ] [ * * * ] [ * * * ] [ * * * ] [ * * * ] [ * * * ] [ * * * ] [ * * * ] [ * * * ] [ * * * ] [ * * * ] [ * * * ] [ * * * ] [[ * * * ] [ * * * ] [ * * * ] [ * * * ] [ * * * ] [ * * * ] [ * * * ] [ * * ] [ * * * ] 2025年11月[ * * * ] 1 [ * * * ] [ * * * ] [ * * * ] [ * * * ] [ * * * ] [ * * * ] [ * * * ] [ * * * ] [ * * * ] [ * * * ] [ * * * ] [ * * * ] 2025年11月[ * * * ] 1 [ * * * * ] [ * * * ] [ * * * ] [ * * * ] [ * * * ] [ * * * ] [ * * * ] [ * * * ] [ * * * ] [ * * * ] [ * * * ] [ * * * * ] [ * * * ] [ * * * * ] [ * *[ * * * ] [ * * * ] 2026年2月[ * * * ] 1 [ * * * ] [ * * * ] [ * * * ] [ * * * ] [ * * * ] [ * * * ] [ * * * ] [ * * * ] [ * * * ] [ * * * ] [ * * * ] [ * * * ] 2026年3月[ * * * ] 1 [ * * * ] [ * * * ] [ * * ] [ * * ] [ * * * ] [ * * * ] [ * * * ] [ * * * ] [ * * * ] [ * * * ] [ * * * * ] [ * * * ] [ * * * ] [ * * * ] [ * * * * ] [ * * * ] [ * * * * ] [ * * * * ] [ * * * * ] [ * * * * ] [ * * *


 
第1-b号信函协议附件。SWA-PA-03729-LA-1106474R8飞机交付、说明、价格和预付款发票升级选项升级估计每架飞机的预付款(安培。到期/Mos。交割前):交割升级因子数(3.3)交割升级行权日期ADV支付基数在签订24个月。2 1/18/12/9/6 Mos。总日期*(1)日期(3.2)飞机(机身)因数预测截止日期[ * * * ]每A/P的注价[ * * * ] [ * * * ] [ * * * ] [ * * * ] 2026年4月[ * * * ] 1 [ * * * ] [ * * * ] [ * * * ] [ * * * ] [ * * ] [ * * * ] [ * * ] [ * * * ] [ * * * ] [ * * * ] [ * * * ] [ * * * ] 2026年4月[ * * * ] 1 [ * * * * ] [ * * * ] [ * * ] [ * * * ] [ * * ] [ * * * ] [ * * * ] [ * * * ] [ * * * ] [ * * * ] [ * * * ] [ * * * ] [ * * * * ] [ * * *[ * * * ] [ * * * ] [ * * * ] [ * * * ] [ * * * ] [ * * * ] [ * * ] [ * * ] [ * * ] [ * * * ] 2027年9月[ * * * ] 1 [ * * * ] [ * * ] [ * * ] [ * * ] [ * * ] [ * * ] [ * * ] [ * * * ] [ * * ] [ * * * ] [ * * ] [ * * ] [ * * ] [ * * ] Oct-2027 [ * * * ] [ * * * ] [ * * ] [ * * ] [ * * ] [ * * ] [ * * ] [ * * ] [ * * ] [ * * ] [ * * ] [ * * ] [ * * ] [ * * * ] [ * * * ] [ * * * ] [ * * * * ] [[ * * * ] [ * * * ] 2027年12月[ * * * ] 1 [ * * * ] [ * * * ] [ * * * ] [ * * ] [ * * * ] [ * * * ] [ * * * ] [ * * * ] [ * * * ] [ * * * ] [ * * * ] 2028年1月[ * * * ] 1 [ * * * ] [ * * * ] [ * * * ] [ * * * ] [ * * * ] [ * * * ] [ * * * ] [ * * * ] [ * * * ] [ * * * ] [ * * * ] [ * * * ] [ * * * ] [ * * * ] [ * * * ] 2028年1月[ * * * ] 1 [ * * * * ] [ * * * ] [ * * * ] [ * * * ] [ * * * ] [ * * *[ * * * ] [ * * * ] [ * * * ] [ * * * ] [ * * * ] [ * * * ] [ * * * ] 2028年4月[ * * * ] 1 [ * * * ] [ * * * ] [ * * * ] [ * * * ] [ * * * ] [ * * * ] [ * * * ] [ * * ] [ * * * ] [ * * * ] [ * * * ] [ * * * ] [ * * * ] 2028年4月[ * * * ] 1 [ * * * * ] [ * * * ] [ * * * ] [ * * * ] [ * * * ] [ * * * ] [ * * * ] [ * * * ] [ * * * ] [ * * * ] [ * * * ] [ * * * ] [ * * * * ] [ * * * * ] [ * * * * *


 
第1-b号信函协议附件。SWA-PA-03729-LA-1106474R8飞机交付、说明、价格和预付款发票升级选项升级估计每架飞机的预付款(安培。到期/Mos。交割前):交割升级因子数(3.3)交割升级行权日ADV支付基数在签订24个月。2 1/18/12/9/6 Mos。总日期*(1)日期(3.2)飞机(机身)因数预测截止日期[ * * * ]每A/P注价[ * * * ] [ * * * ] [ * * * ] [ * * * ] 2028年5月[ * * * ] 1 [ * * * ] [ * * * ] [ * * * ] [ * * * ] [ * * ] [ * * * ] [ * * * ] [ * * * ] [ * * * ] [ * * * ] [ * * * ] 2028年5月[ * * * ] 1 [ * * * * ] [ * * * ] [ * * * ] [ * * * ] [ * * * ] [ * * * ] [ * * * ] [ * * * ] [ * * * ] [ * * * ] [ * * * ] [ * * * ] [ * * * ] [ * * * ] [ * *[ * * * * ] [ * * * ] [ * * * ] [ * * * ] [ * * * ] [ * * * ] [ * * * ] [ * * ] [ * * * ] Aug-2028 [ * * * ] 1 [ * * * ] [ * * * ] [ * * * ] [ * * * ] [ * * * ] [ * * * ] [ * * * ] [ * * * ] [ * * * ] [ * * * ] [ * * * ]合计:49 *(1)[ * * * ] *(2)制造商序列号(MSN)仅供参考,可能会发生变化*(3.2)[ * * * ] *(3.3)[ * * * ]注:*(3.1)[ * * * ](1)[ * * * ] SWA-PA-03729-1106474R8波音


 
SWA-PA-03729-LA-2202855R4 SA-22 2023 MAX生产计划第1页BOEING Proprietary The Boeing Company P.O. Box 3707 Seattle,WA 98124-2207 SWA-PA-03729-LA-2202855R4 西南航空有限公司 2702 Love Field Drive P.O. Box 36611 Dallas,Texas 75235-1611 Subject:2023-2025 MAX生产计划参考:1)采购协议编号The Boeing Company(Boeing)与西南航空有限公司(客户)就型号为737-8和型号为737-7的飞机(统称为飞机)订立的PA-03729(购买协议)2)表1A至题为“第PA-03729飞机交付、说明、价格和预付款737-8飞机”(表1a)3)表1B至题为“表1B至第PA-03729飞机交付、说明、价格及预付款737-7飞机”(表1b)本函件协议(函件协议)对采购协议进行修订和补充。本信函协议中使用但未定义的所有术语与采购协议中的含义相同。1.737-8特种替代飞机1.1波音公司和客户已同意替换2023年1月至2025年3月预定升级交付月份的一百三十一(131)型737-7飞机(737-8特种2023-2025替代飞机),如下表所示,并反映在购买协议的表1A和表1B中。737-8特种2023-2025代用飞机升级交付月数量2023年1月2023年2月10日2023年3月10日2023年4月10日10 [ * * * ]


 
SWA-PA-03729-LA-2202855R4 SA-22 2023-2025 MAX生产计划第2页波音专有2023年5月8日2023年6月3日2023年7月5日2023年8月2日2023年9月4日2023年10月3日2023年12月4日2024年1月4日2024年2月6日2024年3月8日2024年4月8日2024年5月8日2024年6月1日2024年11月3日2025年1月5日2025年2月7日2025年3月7日合计1311.2 1.3 [ * * * ] [ * * * ]


 
SWA-PA-03729-LA-2202855R4 SA-22 2023-2025 MAX生产计划第3页BOEING专有1.42。尽管购买协议有任何其他规定,转让(i)本信函协议和(ii)第SWA-PA-03729-LA-2103755是考虑到客户成为飞机的运营商而提供给客户的,不能全部或部分转让。3.保密客户了解到,本信函协议中包含的某些商业和财务信息被波音视为机密,并具有价值,正是因为这些信息一般不能提供给其他方。Customer同意将本信函协议内容的披露仅限于(a)其董事和高级职员,(b)需要了解履行其义务的内容的Customer员工(包括但不限于那些履行会计、财务、行政和其他融资和购买所需职能的员工,交付或租赁飞机),且其理解未经波音公司和(c)客户的任何审计人员和律师的事先书面同意,不得向任何其他人或实体(本条允许披露的人除外)披露其内容,这些人或实体有需要了解此类信息并已签署与本条类似的相同形式和内容的保密协议,或以其他方式受保密义务约束。未经波音公司同意,不允许向其他方披露,除非适用法律或政府法规可能要求。客户应就遵守此类义务向波音公司承担全部责任。[***]


 
SWA-PA-03729-LA-2202855R4 SA-22 2023-2025 MAX生产计划第4页BOEING Proprietary very truly yours,the BOEING Company by/s/Herbert C. Portillo name Herbert C. Portillo its attorney-in-fact accepted and agreed to this date:April 18,2024 Southwest Airlines CO。by/s/Jon Stephens将Jon Stephens命名为其车队管理副总裁


 
SWA-PA-03729-LA-2400908 SA-22第1页BOEING PropROPRIETARY The Boeing Company P.O. Box 3707 Seattle,WA 98124-2207 SWA-PA-03729-LA-2400908 西南航空有限公司 2702 Love Field Drive P.O. Box 36611 Dallas,Texas 75235-1611标的:参考:采购协议编号The Boeing Company(波音公司)与西南航空有限公司(客户)关于737-8型和737-7型飞机(航空器)的PA-03729(采购协议)本信函协议(信函协议)对采购协议进行修订和补充。本信函协议中使用但未定义的所有术语与采购协议中的含义相同。1.1.1在执行本函件协议时,六(6)架737-7飞机计划于2025年11月交付,六(6)架737-7飞机计划于2025年12月交付,每一架均反映在采购协议的表1B(重新安排飞机)中。1.2 1.3 2.[***] [***] [***] [***] [***] [***] [***]


 
SWA-PA-03729-LA-2400908 SA-22第2页BOEING Proprietary 3。4.5.6.7.8.作业。尽管采购协议有任何其他规定,但考虑到客户的[ * * * ] [ * * * ] [ * * * ] [ * * * ] [ * * * ] [ * * * ] [ * * * ] [ * * * ] [ * * * ] [ * * * ] [ * * * ]


 
SWA-PA-03729-LA-2400908 SA-22第3页BOEING Proprietary 9。保密。客户了解到,本信函协议中包含的某些商业和财务信息被波音视为机密信息,并具有价值,正是因为这些信息一般不能提供给其他方。Customer同意将本信函协议内容的披露仅限于(a)其董事和高级管理人员,(b)需要了解履行其义务的内容的Customer员工(包括但不限于那些履行会计、财务、行政和其他融资和购买所需职能的员工,交付或租赁飞机),且其理解未经波音公司和(c)客户的任何审计人员和律师的事先书面同意,不得向任何其他人或实体(本条允许披露的人除外)披露其内容,这些人或实体有需要了解此类信息并已签署与本条类似的相同形式和内容的保密协议,或以其他方式受保密义务约束。未经波音公司同意,不允许向其他方披露,除非适用法律或政府法规可能要求。客户应就遵守此类义务向波音公司承担全部责任。----本页其余部分为空白----[ * * * ]


 
SWA-PA-03729-LA-2400908 SA-22 [ * * * ]第4页BOEING Proprietary very truly yours,the BOEING Company The BOEING Company by/s/Herbert C. Portillo name Herbert C. Portillo its attorney-in-fact accepted and agreed to this date:April 18,2024 Southwest Airlines CO。by/s/Jon Stephens将Jon Stephens命名为其车队管理副总裁