查看原文
免责申明:同花顺翻译提供中文译文,我们力求但不保证数据的完全准确,翻译内容仅供参考!
FWP 1 ef20017451 _ fwp.htm ML 14m EAFE ARN 1.25

 
以完成为准
日期为初步条款清单
2023年12月29日
根据第433条规则提交
登记声明第333-275898号
(至《招股章程》及《招股章程补充,
各日期为2023年12月20日及产品补充权益ARN-1日期为2023年12月27日)
  

单位
每单位本金10美元
CUSIP编号
定价日期*
结算日期*
到期日*
2024年1月
2024年2月
2025年3月

*可根据票据首次向公众发售定价的实际日期(“定价日期”)作出更改

           

加速回报票据®与国际股票篮子挂钩
        到期约14个月
   3比1的上行敞口增加篮子,受制于[ 17.00%至21.00% ]的上限回报
  篮子将由欧元斯托克50®指数,富时指数®100指数、日经平均指数、瑞士市场指数、标普/ASX 200指数、富时®中国50指数。欧元斯托克50®指数将被赋予40.00%的初始权重,富时各®100指数和日经平均指数将分别获得20.00%的初始权重,瑞士市场指数和标普/ASX 200指数将分别获得7.50%的初始权重,富时®中国50指数将被赋予5.00%的初始权重
   1对1的下行风险敞口在篮子里减少,你100%的本金都有风险
    所有付款均在到期时发生,受制于加拿大皇家银行的信用风险
    不定期付息
    除了下文所述的承销折扣外,这些票据还包括每单位0.05美元的对冲相关费用。见“构建笔记”
       二级市场流动性有限,无交易所上市
      这些票据是无担保债务证券,不是储蓄账户或银行的受保存款。这些票据不受加拿大存款保险公司、美国联邦存款保险公司或加拿大或美国任何其他政府机构的保险或担保

      
这些票据由加拿大皇家银行(“RBC”)发行。票据与一种常规的债务证券有重要区别,包括不同的投资风险和一定的额外成本。见本条款清单第TS-6页开始、产品补充权益ARN-1第PS-7页开始的“风险因素”。
截至定价日,这些票据的初步估计价值预计在每单位9.13美元至9.63美元之间,低于下面列出的公开发行价格。有关更多信息,请参阅下一页的“摘要”、本条款清单第TS-6页开始的“风险因素”和下文的“构建票据”。你的笔记在任何时候的实际价值都会反映很多因素,无法准确预测。


美国证券交易委员会(“SEC”)、任何州证券委员会或任何其他监管机构均未批准或不批准这些证券,或确定本票据招股说明书(定义见下文)是否真实或完整。任何相反的陈述都是刑事犯罪。



 每单位
合计
公开发行价格(1)
$10.000
$
承销折扣(1)
$0.175
$
扣除开支前的收益予加拿大皇家银行
$9.825
$

(1)
对于个人投资者在此次发行中的单笔交易或与投资者家庭的合并交易中购买的任何30万股或更多,公开发行价格和承销折扣将分别为每股9.950美元和每股0.125美元。见下文“分配预案补充”。
笔记:
未向FDIC投保
不是银行担保
可能会失去价值


美银证券
2024年1月


加速回报票据®
与国际股票指数篮子挂钩,将于2025年3月到期
总结
加速回归笔记®与2025年3月到期的国际股票指数篮子(“票据”)挂钩的是我们的高级无担保债务证券。这些票据没有加拿大存款保险公司或美国联邦存款保险公司的担保或保险,也没有抵押品担保。这些票据将与我们所有其他无担保和非次级债务具有同等地位。票据到期的任何付款,包括本金的任何偿还,都将受到加拿大皇家银行的信用风险的影响。这些票据并非不可保释票据(定义见招股章程补充文件)。这些票据为您提供了一个杠杆回报,但有上限,如果市场度量的期末价值,也就是下面描述的国际股票指数篮子(“篮子”),大于起始价值。如果期末值低于起始值,您将损失全部或部分票据本金。票据的任何付款将根据每单位10美元的本金金额计算,并将取决于篮子的表现,但须遵守我们的信用风险。见下文“票据条款”。
篮子由欧元斯托克50组成®指数,富时指数®100指数、日经平均指数、瑞士市场指数、标普/ASX 200指数、富时®中国50指数(每个“篮子成分”)。定价日,欧元对斯托克50®指数将被赋予40.00%的初始权重,富时各®100指数和日经平均指数将分别获得20.00%的初始权重,瑞士市场指数和标普/ASX 200指数将分别获得7.50%的初始权重,富时®中国50指数给予5.00%的初始权重。
票据的经济条款(包括上限价值)是基于我们的内部资金利率,即我们通过发行市场挂钩票据借入资金所支付的利率以及某些相关对冲安排的经济条款。我们的内部资金利率通常低于我们发行常规固定或浮动利率债务证券时支付的利率。这种资金利率的差异,以及下文所述的承销折扣和对冲相关费用,将降低票据对你的经济条款和票据在定价日的初始估计价值。由于这些因素,您购买票据所支付的公开发行价格将高于票据的初始估计价值。
在这份条款清单的封面上,我们提供了票据的初步估计价值范围。这一初步估计价值范围是根据我们和我们的关联公司的定价模型确定的,该模型考虑了我们的内部资金利率和与票据相关的对冲安排的市场价格。于定价日期计算的票据的初步估计价值将在票据中提供给投资者的最终条款清单中列出。有关初始估计值和票据结构的更多信息,请参阅下文“构建票据结构”。
票据条款

发行人:

加拿大皇家银行(“RBC”)

校长
金额:

每台10.00美元

任期:

约14个月

市场
措施:

由欧元斯托克50组成的国际股票指数篮子®指数(彭博代码:“SX5E”),富时®100指数(彭博代码:“UKX”)、日经平均指数(彭博代码:“NKY”)、瑞士市场指数(彭博代码:“SMI”)、标普/ASX 200指数(彭博代码:“AS51”)和富时®中国50指数(彭博代码:“XIN0I”)。每个篮子成分都是一个价格回报指数。

起始值:

定价日起算值设置为100.00。

期末值:

到期估值期内每个计算日发生的篮子价值的平均值。如产品补充EQUITY ARN-1第PS-24页所述,如果发生市场扰乱事件,预定的计算日可能会推迟。

参与
费率:

300%

上限价值:

每单位[ 11.70至12.10美元],即较本金额有[ 17.00%至21.00% ]的回报。实际封顶价值将在定价日确定。

成熟度
估值
期间:

到期日前不久的五个预定计算日。

费用和
收费:

封面上列出的每单位0.175美元的承销折扣和下文“构建票据”中描述的每单位0.05美元的对冲相关费用。

计算
代理:

BoFA Securities,Inc.(“BoFAS”)
赎回金额厘定

在到期日,您将收到按以下方式确定的每单位现金付款:

 
加速回报票据®
TS-2

加速回报票据®
与国际股票指数篮子挂钩,将于2025年3月到期
票据的条款和风险载于本条款清单及以下各项:
2023年12月27日产品补充权益ARN-1:
2023年12月20日J系列MTN招股说明书补充:
2023年12月20日招股章程:
这些文件(合称“票据招股说明书”)已作为注册声明的一部分提交给SEC,可按上述方式在SEC网站上免费查阅,或通过致电1-800-294-1322从美林、Pierce、Fenner & Smith Incorporated(“MLPF & S”)或美国银行获得。在您投资之前,您应该阅读票据招股说明书,包括本条款清单,以了解有关我们和本次发行的信息。您可能收到的任何先前或同期的口头陈述以及任何其他书面材料均由Note Prospectus取代。本术语表中使用但未定义的大写术语具有产品补充权益ARN-1中规定的含义。除非另有说明或上下文另有要求,本文件中所有提及“我们”、“我们”、“我们的”或类似的提及均指RBC。

投资者注意事项
在以下情况下,您不妨考虑投资票据:
您预计篮子的价值将从起始值到结束值适度增加。
如果篮子的价值从起始值下降到期末值,你愿意冒本金和回报损失的风险。
你接受票据的回报将被封顶。
您愿意放弃对常规计息债务证券支付的利息。
你愿意放弃拥有篮子组件中包含的股票的股息或其他好处。
您愿意在到期前接受有限或没有市场的销售,并理解票据的市场价格(如果有的话)将受到各种因素的影响,包括我们的实际和感知的信誉、我们的内部资金利率以及票据上的费用和收费。
您愿意承担我们的信用风险,作为票据发行人,在票据下的所有付款,包括赎回金额。
在以下情况下,这些票据可能不适合您进行投资:
您认为篮子的价值将从起始价值下降到结束价值,或者它不会在票据期限内充分增加以提供您想要的回报。
你寻求本金偿还或保本。
你寻求投资的无上限回报。
您寻求对您的投资的利息支付或其他当前收入。
您希望获得对Basket Components中包含的股票支付的股息或其他分配。
你寻求的投资将有一个流动的二级市场。
您不愿意或无法在票据上承担市场风险或承担我们作为票据发行人的信用风险。
 
我们敦促您在投资票据之前咨询您的投资、法律、税务、会计和其他顾问。

加速回报票据®
TS-3

加速回报票据®
与国际股票指数篮子挂钩,将于2025年3月到期
假设支付概况和到期付款示例
下图基于假设数字和数值。

加速回报票据®
这张图表反映了票据的回报,基于300%的参与率和每单位11.90美元的假设上限价值(上限价值范围的中点[ 11.70美元至12.10美元])。绿线反映了票据的回报,而虚线灰线反映了直接投资于篮子成分中包含的股票的回报,不包括股息。
这张图表仅为说明目的而准备。
下表和示例仅供说明之用。他们基于假设价值观和展示假设票据上的回报。它们说明了根据100.00的起始值、300%的参与率、11.90美元/单位的假设封顶值和一系列假设的期末值计算赎回金额和总收益率。您收到的实际金额和由此产生的总收益率将取决于实际期末价值和上限价值,以及您是否持有票据到期。以下示例未考虑投资票据的任何税务后果。
对于最近假设篮子的历史价值,见下面的“篮子”部分。有关篮子组件的近期实际水平,请参阅下面的“篮子组件”部分。每个篮子成分都是一个价格回报指数,因此期末价值将不包括任何篮子成分中包含的股票所支付的股息所产生的任何收入,否则,如果您直接投资于这些股票,您将有权获得这些收入。此外,票据上的所有付款都受到发行人信用风险的影响。

期末价值
 
百分比变化
起始值到结束
价值
 
赎回金额每
单位
 
总回报率
笔记
0.00
 
-100.00%
 
$0.00
 
-100.00%
50.00
 
-50.00%
 
$5.00
 
-50.00%
80.00
 
-20.00%
 
$8.00
 
-20.00%
90.00
 
-10.00%
 
$9.00
 
-10.00%
94.00
 
-6.00%
 
$9.40
 
-6.00%
97.00
 
-3.00%
 
$9.70
 
-3.00%
100.00(1)
 
0.00%
 
$10.00
 
0.00%
102.00
 
2.00%
 
$10.60
 
6.00%
103.00
 
3.00%
 
$10.90
 
9.00%
106.34
 
6.34%
 
$11.90(2)
 
19.00%
110.00
 
10.00%
 
$11.90
 
19.00%
120.00
 
20.00%
 
$11.90
 
19.00%
130.00
 
30.00%
 
$11.90
 
19.00%
140.00
 
40.00%
 
$11.90
 
19.00%
150.00
 
50.00%
 
$11.90
 
19.00%
160.00
 
60.00%
 
$11.90
 
19.00%

(1)
定价日起算值设置为100.00。
(2)
每单位赎回金额不能超过假设上限价值。

加速回报票据®
TS-4

加速回报票据®
与国际股票指数篮子挂钩,将于2025年3月到期
赎回金额计算实例
例1
期末值为80.00,为起始值的80.00%:
起始值:
100.00
期末值:
80.00
= $8.00每单位赎回金额

例2
期末值为103.00,为起始值的103.00%:
起始值:
100.00
期末值:
103.00
= $10.90每单位赎回金额

例3
期末值为130.00,为起始值的130.00个百分点:
起始值:
100.00
期末值:
130.00
= 19.00美元,然而,由于票据的赎回金额不能超过假设的上限价值,赎回金额将为每单位11.90美元

加速回报票据®
TS-5

加速回报票据®
与国际股票指数篮子挂钩,将于2025年3月到期
风险因素
这些票据与一种常规的债务证券有重要区别。对票据的投资涉及重大风险,包括以下所列风险。您应该仔细查阅产品补充EQUITY ARN-1第PS-7页、MTN招股说明书补充文件第S-3页以及上述招股说明书第1页开始的“风险因素”部分中与附注相关的风险的更详细说明。我们还敦促您在投资票据之前咨询您的投资、法律、税务、会计和其他顾问。
结构相关风险

根据到期日前不久衡量的篮子表现,您的投资可能会导致亏损;本金没有保证收益。

您在票据上的回报可能低于您拥有期限相当的传统固定或浮动利率债务证券所能获得的收益率。

票据的付款受制于我们的信用风险,我们的信用的实际或感知变化预计将影响票据的价值。如果我们资不抵债或无力支付我们的义务,您可能会损失您的全部投资。

您的投资回报仅限于上限价值所代表的回报,可能低于直接投资于篮子成分中包含的股票的可比投资。
估值和市场相关风险

票据的初始估计值仅为估计值,在特定时间点通过参考我们和我们的关联公司的定价模型确定。这些定价模型考虑了某些假设和变量,包括我们的信用利差、定价日我们的内部资金利率、对冲交易的中间市场条款、对利率和波动性的预期、价格敏感性分析以及票据的预期期限。这些定价模型部分依赖于对未来事件的某些预测,这可能被证明是不正确的。

你为这些票据支付的公开发行价格将超过最初的估计价值。如果您试图在票据到期前出售,其市场价值可能低于您为其支付的价格,并低于初始估计价值。这是由于(其中包括)篮子价值的变化、我们的内部资金利率,以及将承销折扣和对冲相关费用纳入公开发行价格,所有这些都在下文“构建票据”中进一步描述。这些因素,连同票据期限内的各种信用、市场和经济因素,预计将降低您可能能够在任何二级市场上出售票据的价格,并将以复杂和不可预测的方式影响票据的价值。

初步估计价值并不代表我们、MLPF & S、美国银行或我们的任何关联公司愿意在任何时候在任何二级市场(如果存在)购买贵方票据的最低或最高价格。贵司票据在发行后的任何时候的价值都会根据许多无法准确预测的因素而变化,包括篮子的表现、我们的信誉和市场条件的变化。

预计不会为这些票据发展交易市场。我们、MLPF & S或美国银行都没有义务为这些票据做市或回购。无法保证任何一方愿意在任何二级市场以任何价格购买您的票据。
冲突相关风险

我们的业务、对冲和交易活动,以及美国银行、MLPF & S和我们各自的关联公司的业务、对冲和交易活动(包括篮子组件中包含的公司的股票交易),以及我们、美国银行、MLPF & S或我们各自的关联公司为我们客户的账户从事的任何对冲和交易活动,可能会影响票据的市场价值和回报,并可能与您产生利益冲突。

可能存在涉及计算代理的潜在利益冲突,这就是美国银行。我们有权任免计算代理。
市场计量相关风险

一个篮子组件的电平变化可能会被其他篮子组件电平的变化所抵消。由于初始组件权重不同,部分篮子组件水平的变化将比其他篮子组件水平的类似变化对篮子价值的影响更大。

指数主办人可能会以影响其水平的方式调整每个篮子成分,指数主办人没有义务考虑你的利益。

您将不享有Basket Components所代表的证券持有人的权利,并且您将无权获得这些证券的发行人提供的证券或股息或其他分配。

虽然我们、美国银行、MLPF & S或我们各自的关联公司可能不时拥有Basket Components中包含的公司的证券,但我们、美国银行、MLPF & S和我们各自的关联公司并不控制Basket Components中包含的任何公司,也没有核实任何其他公司所作的任何披露。

加速回报票据®
TS-6

加速回报票据®
与国际股票指数篮子挂钩,将于2025年3月到期

您的票据回报和票据价值可能会受到汇率变动和影响国际证券市场的因素的影响,特别是篮子成分所代表的国家的变化。此外,如果您在票据期限内拥有篮子成分所代表的证券,您将不会获得篮子成分所包含的证券对美元交易的货币价值增加的任何好处,尽管篮子成分的水平可能会受到市场一般汇率变动的不利影响。
涉税风险

票据的美国联邦所得税后果是不确定的,可能对票据持有人不利。见下文“美国联邦所得税后果摘要”和产品补充权益ARN-1第PS-38页开始的“美国联邦所得税摘要”。有关投资票据的加拿大联邦所得税后果的讨论,请参阅2023年12月20日招股说明书中的“税收后果——加拿大税收”。
票据的其他条款
市场衡量业务日
以下定义将取代和取代产品补充权益ARN-1中对“市场计量营业日”的定义。

“市场衡量业务日”是指:


(A)
欧洲期货交易所(EURO StoXX50)的每®Index)、伦敦证券交易所(就富时®100指数)、东京证券交易所(关于日经平均指数)、瑞士六大交易所(关于瑞士市场指数)、澳大利亚证券交易所(关于标普/ASX 200指数)、香港联合交易所(关于富时®中国50指数)(或上述交易所的任何继任者)开放交易;和

(b)
Basket Components或其任何后继组件被计算并发布。

加速回报票据®
TS-7

加速回报票据®
与国际股票指数篮子挂钩,将于2025年3月到期
篮子
该篮子旨在让投资者参与篮子成分从起始价值到结束价值的水平的百分比变化。篮子组件在下面的“篮子组件”一节中进行了描述。每个篮子组件将在定价日期被分配一个初始权重,如下表所示。
有关篮子价值计算的更多信息,请参阅产品补充权益ARN-1第PS-31页开始的标题为“ARNS的描述——篮子市场措施”的部分。
如果以2023年12月21日为定价日,对于每个篮子成分,初始成分权重、收盘水平、假设成分比和对篮子价值的初始贡献如下:

篮子组件
彭博
符号
初始
成分
重量
收盘
水平(1)(2)
假设
成分
(1)(3)
初始篮子
价值
贡献
欧元斯托克50®指数
SX5E
40.00%
4,524.86
0.00884005
40.00
富时®100指数
UKX
20.00%
7,694.73
0.00259918
20.00
日经平均指数
NKY
20.00%
33,140.47
0.00060349
20.00
瑞士市场指数
SMI
7.50%
11,132.60
0.00067370
7.50
标普/ASX 200指数
AS51
7.50%
7,504.121
0.00099945
7.50
富时®中国50指数
XIN0I
5.00%
10,732.61
0.00046587
5.00
       
起始值
100.00


(1)
每个篮子成分的实际收盘水平和由此产生的实际成分比率将在定价日期确定,但须按产品补充权益ARN-1第PS-31页开始的题为“ARNs的描述——篮子市场措施——每个篮子成分的成分比率的确定”一节中更全面的描述进行调整。

(2)
这些是篮子成分在2023年12月21日的收盘水平。

(3)
每个假设成分比率等于相关篮子成分的初始成分权重(百分比)乘以100,然后除以该篮子成分在2023年12月21日的收盘水平,并四舍五入到小数点后八位。
计算代理将通过将到期估值期内每个计算日的每个篮子成分的收盘水平乘积和适用于该篮子成分的成分比率相加,计算出篮子的期末值。如果任何篮子成分在任何预定计算日发生市场扰乱事件,该篮子成分的收盘水平将按照产品补充权益ARN-1中题为“ARNs的描述——篮子市场措施——篮子的期末价值”的部分中更全面的描述来确定。

加速回报票据®
TS-8

加速回报票据®
与国际股票指数篮子挂钩,将于2025年3月到期
虽然在定价日期之前不会存在篮子的实际历史信息,但下图列出了篮子在2013年1月1日至2023年12月21日期间的假设每日历史表现。该图表基于篮子成分的实际每日历史水平,基于截至2012年12月31日确定的篮子成分的收盘水平的假设成分比率,以及截至该日期的篮子价值100.00。篮子上的这种假设历史数据并不一定表明篮子的未来表现或票据的价值可能是多少。篮子价值在下文所列任何期间的任何假设历史上升或下降趋势,均不表示篮子价值在票据期限内的任何时间或多或少可能增加或减少。
假设篮子的历史表现

加速回报票据®
TS-9

加速回报票据®
与国际股票指数篮子挂钩,将于2025年3月到期
篮子组件
本条款清单中包含的有关篮子组件的所有披露,包括但不限于其构成、计算方法以及其组件的变化,均来自公开来源。该信息反映了斯托克有限公司(“斯托克”)各自关于欧元斯托克50的政策,并可能因此而发生变化®指数(“SX5E”)、富时国际有限公司(“FTSE”)就富时®100指数和富时指数®中国50指数(“UKX”和“XIN0I”,分别)、Nikkei Inc.(“Nikkei”)相对于日经平均指数(“NKY”)、日内瓦、苏黎世、SIX Group Ltd.、其某些附属公司、以及第六家瑞士交易所(“SIX交易所”)管理委员会(“SIX Exchange”)相对于瑞士市场指数(“SMI”),以及标普全球的一个部门丨S & P TERM3 Dow Jones Indices LLC(“标普”)相对于标普/ASX 200指数(“AS51”)(TOXX、FTSE、Nikkei、SIX Exchange和标普合称“指数发起人”)指数发起者没有继续发布的义务,可随时中止或暂停发布任何篮子组件。任何指数发起人停止发布篮子成分的后果在产品补充权益ARN-1中题为“ARNs的描述——指数的终止”的部分中进行了讨论。我们、计算代理、MLPF & S或美国银行均不对任何篮子组件或任何后续指数的计算、维护或发布承担任何责任。
欧元斯托克50®指数
欧元斯托克50®Index(简称“SX5E”)是由目前由德意志交易所集团(Deutsche B ö rse AG)拥有的斯托克证券交易所创建的。SX5E于1998年2月开始发布,基于1991年12月31日的初始SX5E等级为1000。
组成和维护
SX5E由来自20欧元内的市场板块龙头的50只成分股组成®超级行业指数,代表斯托克欧洲600指数的欧元区部分®超级行业指数。
SX5E的组成每年进行一次审查,基于8月最后一个交易日的收盘股票数据。成分股公布时间为9月首个交易日。成份股变动于9月第3个星期五实施,并于翌日交易日生效。对SX5E的组成进行了更改,以确保SX5E包括来自欧元区内部的50个市场部门领导者。
如下文所述,用于计算SX5E的每个成分股的自由流通量因子将按季度进行审查、计算和实施,并在下一个季度审查之前固定不变。
SX5E也在持续审查中。对影响SX5E构成的公司行为(包括首次公开募股、合并和收购、分拆、退市和破产)立即进行审查。任何改变都是根据企业行动的类型和影响的大小宣布、实施和生效的。
SX5E的计算
SX5E使用“Laspeyres公式”计算,该公式针对固定的基数数量权重衡量成分股的总价格变化。SX5E值的计算公式可以表示如下:
SX5E =
SX5E的自由流通市值

SX5E调整后基日市值
“SX5E的自由流通市值”等于截至SX5E计算时各成分股的收盘价、市值、自由流通因子的乘积之和。
SX5E还受制于一个除数,该除数经过调整,以保持SX5E值在因公司行为而发生变化时的连续性,例如删除和增加股票、股票替代、股票股息和股票分割。

加速回报票据®
TS-10

加速回报票据®
与国际股票指数篮子挂钩,将于2025年3月到期
下图展示了SX5E在2013年1月1日至2023年12月21日期间的每日历史表现。我们从Bloomberg L.P.获得了这一历史数据。我们没有独立验证从Bloomberg L.P.获得的信息的准确性或完整性。2023年12月21日,SX5E的收盘水平为4524.86。
欧元斯托克50的历史表现®指数
SX5E上的这些历史数据并不一定表明SX5E未来的表现,也不一定表明这些笔记的价值可能是多少。SX5E的水平在上述任何时期的任何历史上升或下降趋势,并不表明SX5E的水平在票据期限内的任何时间或多或少有可能增加或减少。
在投资这些笔记之前,您应该咨询SX5E级别的公开来源。

许可协议
加拿大皇家银行已与斯托克公司签订了一项非排他性许可协议,规定向我们和我们的某些关联或子公司提供许可,以换取费用,以使用斯托克公司拥有和发布的与某些证券有关的指数(包括SX5E)的权利,包括特此提供的票据。
我们与斯托克之间的许可协议要求在本文件中说明以下语言:
除了SX5E的许可和与票据相关使用的相关商标外,斯托克与我们没有任何关系。斯托克没有:

对票据进行保荐、背书、销售、推介;

建议任何人投资于特此发售的票据或任何其他证券;

对票据的时间、金额或定价负有任何责任或义务或作出任何决定;

对票据的行政、管理、营销有任何责任或义务;或者

在确定、组成或计算SX5E时考虑票据或票据持有人的需要,或有任何义务这样做。
斯托克将不承担与票据有关的任何责任。具体来说:

斯托克不作任何明示或暗示的保证,并否认任何及所有有关以下方面的保证:

票据、票据持有人或任何其他人就使用SX5E和SX5E中包含的数据将获得的结果;

SX5E及其数据的准确性或完整性;

SX5E及其数据的适销性和特定目的或用途的适用性;

对于SX5E或其数据中的任何错误、遗漏或中断,斯托克将不承担任何责任;以及

在任何情况下,斯托克都不会对任何利润损失或间接、惩罚性、特殊或后果性损害或损失承担责任,即使斯托克知道它们可能会发生。
我们与斯托克之间的许可协议完全是为了他们和我们的利益,而不是为了票据持有人或任何其他第三方的利益。

加速回报票据®
TS-11

加速回报票据®
与国际股票指数篮子挂钩,将于2025年3月到期
富时指数®100指数

富时指数®100指数(the“UKX”) 是伦敦证券交易所交易的100家资本最高的英国上市蓝筹股公司的市值加权指数。截至1983年12月30日,UKX的基础等级为1000。它是由伦敦证券交易所(London Stock Exchange Plc)(“交易所”)旗下公司FTSE International Limited(“FTSE”)计算、发布和传播的。有关UKX的更多信息,请访问以下网站:www.ftserussell.com。该网站上的信息不包括在本文件中或通过引用并入。富时没有义务继续发布UKX,并可能随时停止发布UKX。

UKX是伦敦证券交易所交易的100家资本最高的英国上市蓝筹股公司的市值加权指数。富时将纳入UKX的100家公司分为20个板块:汽车和零部件、银行、基础资源、化学品、建筑和材料、消费品和服务、能源、金融服务、食品、饮料和烟草、医疗保健、工业商品和服务、保险、媒体、个人护理、药品和杂货店、房地产、零售商、科技、电信、旅游和休闲以及公用事业。

指数构成和选择标准

UKX由100家在英国上市的最大蓝筹公司组成,以完全市值为基础,这些公司通过了价格和流动性的筛选测试。UKX在3月、6月、9月和12月根据审查月份第一个星期五之前的星期二营业结束时的数据按季度进行审查。富时罗素欧洲、中东和非洲区域咨询委员会(“委员会”)每季度召开一次会议,以批准该指数的成分股。这些会议在3月、6月、9月和12月的第一个星期五之前的星期三举行。在ICE期货欧洲期货和期权合约到期后,任何成分变更将在审查月份的第三个星期五(即星期一生效)收盘后实施。

资格标准

只有金融行为监管局在其《上市规则》原始手册中定义的“优质上市”股权股票才有资格被纳入UKX。符合条件的股票在被纳入指数前,必须通过价格和流动性筛选。此外,如果发行公司是在英国注册成立的,股票的最低自由流通量(如下所述)通常必须为25%,如果是非在英国注册成立的,则必须超过50%。

价格屏幕—关于价格筛选,委员会必须确信存在一个准确可靠的价格,以确定一家公司的市场价值。要获得纳入UKX的资格,一只股票必须在伦敦证券交易所全面上市,并在SETS上以英镑计价(SETS是伦敦证券交易所对英国蓝筹股证券的交易服务)。

流动性筛选—关于流动性,每只符合条件的股票在6月份通过计算其每月每日交易的中位数,每年进行流动性测试。在计算任何证券每月每日交易的中位数时,每个月必须至少存在五个交易日,否则该月份将被排除在测试之外。流动性测试从前一年5月的第一个工作日到本年度4月的最后一个工作日。中位数交易是通过对每一天的交易总额进行排名并选择排名中间的一天来计算的。任何一段时间的暂停都不包括在测试中。流动性测试在测试期小于12个月的情况下按比例应用。目前未被纳入UKX的股票,如果在6月年度指数审查前的12个月中至少有10个月的每月每日交易中位数(在应用任何可投资性加权后)的基础上,其已发行股票的成交量至少不超过0.025%,则在下一次年度审查之前将不符合纳入条件。现有成分股在年度指数审查前的12个月中至少有8个月未能根据其每月每日交易中位数交易至少0.015%的已发行股份(在应用任何可投资性加权后),将被从UKX中移除,并且在下一次年度审查之前将没有资格被纳入。新发行的股票将在其发行后的季度审查中获得纳入指数的资格,条件是它们在审查日期前至少有20个交易日的最低交易记录,并且它们已根据自上市以来每月每日交易中位数上交至少0.025%的已发行股份(在应用任何可投资性加权后)。

此外,为了被纳入UKX,一家公司需要在非限制性股东手中拥有超过5%的投票权(在其所有股本证券中汇总,包括在可识别的情况下未上市或交易的证券)。当前不符合这一要求的这一指数成分股,要到2022年9月的审查才能满足要求;否则,他们将被要求从UKX中移除。

市值排名—通过价格和流动性筛选的合格股票,在根据股票公开交易的程度进行任何调整之前,由委员会根据其市值进行排名。只有一家成分公司的上市股本份额才会被纳入其市值计算。公司拥有两类或两类以上上市股权的,二级行按照该二级行的市场价格纳入公司市值计算。委员会将在富时指数中增加一只股票®100指数在季评时如果在全部市值排名中升至第90位或以上,如果在这些排名中跌至第111位或以下,将在季评时删除某只股票。市值排名使用截至审核前一日收盘时的数据计算。

加速回报票据®
TS-12

加速回报票据®
与国际股票指数篮子挂钩,将于2025年3月到期
100成分限制— UKX始终包含100个成分。如果有资格被插入指数的公司数量多于有资格被移除的公司数量,则该指数排名最低的成分股将被移除,以便在纳入有资格被插入的股票后,股票总数保持在100只。同样,如果有资格被移除的公司数量多于在季度审查时被插入的公司数量,则将插入当时未被纳入UKX的富时全股指数排名最高公司的证券,以匹配被移除的公司数量,以便将总数保持在100家。

指数计算
UKX是一个市值加权指数。这意味着,较大公司的价格变动(即代表指数较大百分比的公司)对指数水平的影响将大于较小公司的价格变动(即代表指数较小百分比的公司)。
UKX的值由一个分数表示,(a)其分子是总和产品(i)每只成份股的价格,(ii)每只该等成份的已发行股份数目,及(iii)每只该等成份的自由流通量系数(下文更全面地描述),及(b)其分母为除数。除数表示指数在基日的已发行股本总额;该除数可能会根据需要进行调整,以便在不扭曲指数的情况下允许个别证券的已发行股本发生变化。

如上文所述,对每个指数成分应用自由流通量因子。通过采用这种方法,FTSE使用每个成分股的可投资市值,而不是总市值来确定UKX的价值。可投资市值是根据自由流通限制和外资所有权限制进行的完全市值调整。以下不包括在自由流通股范围内:国家、地区、市和地方政府直接拥有的股份(不包括独立管理的政府养老金计划持有的股份);主权财富基金持有的各持股比例均为已发行股份总数10%或以上的股份;公司董事、高级管理人员和管理人员及其家庭和直接关系以及与其有关联关系的公司持有的股份;员工持股计划内持有的股份;公众公司或公众公司非上市子公司持有的股份;创始人、发起人、前董事、创始风险投资和私募股权公司、私人公司和个人(包括雇员)持股达到或超过已发行股份总数的10%;持有人受锁定条款约束的所有股份(在该条款存续期间,之后因锁定条款到期而导致的自由流通股变动将在下一次季度审查时实施,但以股份和自由流通股变动信息截止日或之前发生的锁定到期日为限,这通常是生效日期前五周的星期五);出于公开宣布的战略原因而持有的股份,包括由几个一致行动人持有的股份;以及受制于通常被视为受限制的持续合同协议(例如掉期)的股份。
每当出现被认为是重大的错误或失真时,UKX都会被重新计算。UKX的用户将通过适当的媒体获得通知。

指数维持
UKX每季度审查一次自由流通量的变化。股票的自由流通量也会在某些公司事件后进行审查和必要时进行调整。因并购而产生的调整在行动被确定为最终行动后适用于指数,通常是在目标公司最后交易日期收盘后,并提供适当的通知。在应用初始自由流通量限制后,只有当股票的取整自由流通量在现有取整自由流通量之上或之下移动超过三个百分点时,股票的自由流通量才会发生变化。自由流通盘在15%及以下的公司,不受三个百分点门槛限制,变化大于一个百分点的将更新。

如果UKX公司计划在定期审查变更宣布后但尚未实施之前被删除,则选择富时全股指数排名最高的成分股(目前不是UKX的成员)作为替代公司。但是,如果该替代公司已经被安排作为指标审查的一部分被添加,那么将选择排名第二高的公司作为替代。(富时全股指数的设计代表了符合纳入富时英国指数系列资格的所有公司全部市值的98%。)
如果作为定期审查的一部分,被删除的公司已经将在UKX中被替换,则将被先前宣布为该指数的审查补充的最大公司所替换。也就是说,审核新增将提前,与季度内删除同步实施。

如果一家成分公司被分拆成立两家或更多公司,那么产生的公司将有资格被纳入为UKX成分,基于其各自的完全市值(在应用任何可投资性权重之前),前提是它们在所有其他方面都符合条件。任何因分拆产生的合格公司,在20个工作日后没有可用的市场价格,将被移除。如果拆分导致纳入不合格的非股权证券,这类证券将在UKX中保留两个交易日,然后被移除。如某成分股被摘牌或不再有实盘报价,则将其从成分股名单中删除,并由截至删除前两日指数计算收盘时排名最高的合格公司取代。

加速回报票据®
TS-13

加速回报票据®
与国际股票指数篮子挂钩,将于2025年3月到期
资本化调整
一家公司的溢价上市次级线,如果其在根据股票公开交易的程度应用任何调整之前的总市值,超过该公司本级线总市值的25%且次级线本身符合条件,则将被考虑纳入指数。如果一条副线的总市值在年度审查中低于公司主线总市值的20%,则该副线将从UKX中删除,除非其总市值仍高于在该审查中继续被纳入为UKX成分股的资格水平。如果一家公司已经部分支付了股份,这些股份连同未偿还的看涨期权都包含在UKX中。购买普通股和可转换证券的认股权证在被行使或转换后的季度审查之前不包括在UKX中。

股份加权变动—为计算UKX,每个成分证券的已发行股份数量以最接近的份额表示,为防止出现大量不重要的权重变化,只有在指数体系内持有的已发行股份总数累计变化超过1%时,才会修正每个成分证券的已发行股份数量。每季度在3月、6月、9月和12月的第三个星期五营业结束后进行变更。季度自由流通盘和股份变动截止日之前的自由流通盘和股份变动数据将被采用。
如公司行动适用于涉及已发行股份数目变动的成分,股份变动将与公司行动同时适用。如果新股的首次发行或现有股票的二次发行导致(i)10亿美元的可投资市值变化,或(ii)指数股票5%的变化和2.5亿美元的可投资市值变化,则股份和自由流通股的变化将在季度更新周期之外实施。通常,变更将在认购期结束之日收盘后实施。如果发现事件发生在认购期结束后两天以上,变更将推迟到下一个季度审查。

已发行股份增加—当一家公司增加其发行的股票数量时,该公司的市值增加,总市值也会相应上升。调整指数除数,保持指数数值不变。

加权修正—一家公司的市值调整考虑到各种公司行为。为防止UKX的价值因这类事件而发生变化,所有影响UKX市值的公司行为都需要进行抵消除数调整。通过调整除数,UKX的值在事件发生前后保持不变。以下是较为频繁的企业行为及其导致的调整的汇总。


企业行动类型
 
调整
 
调整为除数

发行新股
 
股份加权增加
 

股份回购
 
股票权重下降
 

发红利或拆股
 
股份加权及股价按拆分条款调整
 

供股—供股是指公司通过以低于市场价格的固定比例向股东提供额外股份来筹集新资金。这些权利在设定的日期——除权日——成为股份的附属物。在这一日期,公司标的股票的价格将按权利的价值下跌。供股的效果是通过供股创造的额外股份价值减去股价下跌的价值来增加公司的市值。公司的股份权重和指数除数也进行了调整,以防止指数随着除权日股价的减少而下跌。

如市场价格等于或低于供股价格于紧接交易除息前收市时,则不作调整。在这种情况下,任何由此产生的新股只有在知悉吸收比例并连同公司自由流通量的任何相关变化后,才会被添加到指数权重中。如果供股具有高度稀释性且比例大于十比一,富时将把新股纳入单独的临时线,以反映权利的市场价值(连同固定在未行使的权利认购价价值的临时线),直至认购期结束,此时临时线将被删除,新股将并入现有的股份线。若配股涉及非股权且无法确定权利价值,则不会在除权日对母股进行调整。权利线将在除权日以零值计入指数(不包含现金赎回价值)。权利线交易的,两天后按市价删除。如果不交易,将以零值删除。

市场扰乱

如果在计算指数时的任何时间,市场中存在被FTSE判断影响成分价格质量的系统问题或情况,该指数将被宣布为指示性(例如,通常在权益市场存在“快速市场”的情况下)。消息“IND”将对照FTSE计算的指数值显示。委员会必须确信,为确定一家公司的市场价值而存在一个准确可靠的价格。如果委员会认为无法获得“准确可靠”的价格,它可能会将一种证券排除在UKX之外。

在确定指数或指数系列是否应因不准确而重新计算和/或重新发行相关数据产品时,富时将遵循富时罗素指数重新计算指南中规定的步骤。

加速回报票据®
TS-14

加速回报票据®
与国际股票指数篮子挂钩,将于2025年3月到期
下图展示了UKX在2013年1月1日至2023年12月21日期间的每日历史表现。我们从Bloomberg L.P.获得了这一历史数据。我们没有独立验证从Bloomberg L.P.获得的信息的准确性或完整性。2023年12月21日,UKX的收盘水平为7694.73。
富时指数的历史表现®100指数
UKX的这些历史数据并不一定表明UKX的未来表现或票据的价值可能是多少。UKX的水平在上述任何时期的任何历史上升或下降趋势并不表明UKX的水平在票据期限内的任何时间或多或少可能增加或减少。
在投资这些票据之前,您应该咨询公开的来源,了解UKX的水平。
许可协议
这些票据绝不是由FTSE或交易所或金融时报有限公司(“FT”)以任何方式赞助、背书、出售或推广的,FTSE或交易所或FT均不对使用UKX将获得的结果和/或上述UKX在任何特定日期的任何特定时间所处的数字或其他情况作出任何明示或暗示的保证或陈述。UKX仅由FTSE编制和计算。然而,FTSE或交易所或FT均不对任何人就UKX中的任何错误承担责任(无论是疏忽或其他),并且FTSE或交易所或FT均不承担任何义务将其中的任何错误告知任何人。“FTSE100”是伦敦证券交易所有限公司和英国金融时报有限公司的商标,由FTSE授权使用。“All-World”是FTSE的商标。

加速回报票据®
TS-15

加速回报票据®
与国际股票指数篮子挂钩,将于2025年3月到期
日经平均指数
日经225指数(The Nikkei 225 Index,简称“NKY”)由在东京证券交易所(“TSE”)Prime市场上市的225只股票组成,并按调整后的价格权重指数计算。在TSE主要市场上市的股票是TSE交投最活跃的股票之一。NKY由Nikkei Inc.计算并发布。NKY始于1950年9月7日。追溯到1949年5月16日,也就是二战后东京证券交易所首次重新开放的日子。自1970年日经指数从东京证券交易所接管以来,NKY一直由日经公司计算和发布。该指数由Bloomberg L.P.报告,代码为“NKY”。
定期审查
每年1月底和7月底对成分进行两次复核(各一次,“定期复核”),按照以下规则进行。检讨结果于四月及十月首个交易日生效。定期审议时重新洗牌的成分最多为三(3)个,不包括因企业重组导致的成分变化。
选取不包括ETF、REITs、优先股、优先证券和跟踪股票在内的TSE Prime市场中流动性最强的450只股票组成“高流动性群体”。股票的流动性评估采用两种度量,(1)其前5年的“交易价值”,(2)其前5年的“交易价值的价格波动幅度”,计算为(高价/低价)/交易价值。NKY当前未被列入高流动性组(即排名451或更低)的成分将从NKY中删除。75只流动性最强的股票自动被纳入NKY。
被列入高流动性组的450家公司被划分为六个工业部门类别:科技、金融、消费品、工业材料、资本货物/其他和运输/公用事业。这六个板块大类进一步划分为36个产业分类如下:

科技–医药、电机、汽车&汽车零部件、精密仪器、通信;

金融–银行、其他金融服务、证券、保险;

消费品–渔业、食品、零售、服务;

材料–矿业、纺织服装、造纸纸浆、化工、石油、橡胶、玻璃陶瓷、钢铁、有色金属、贸易公司;

资本货物/其他–建筑、机械、造船、运输设备、其他制造业、房地产;以及

运输及公用事业–铁路及巴士、陆运、海运、空运、仓储、电力、燃气。
其余指数股票由日经公司从高流动性组别中挑选。Nikkei Inc.的目标是在每个板块中实现“适当数量”的成分,定义为高流动性组中每个板块股票数量的一半。候选人被提交给由学者和市场专业人士组成的委员会,根据委员会的评论,日经公司将最终确定并宣布这些变化。对于代表性过高的行业,这些行业的当前成分按流动性最低到最高的顺序删除,直到达到适当的数量。对于代表性不足的板块,非成分股按照流动性最高到最低的顺序从高流动性组中加入,直至达到适当的数量。
特别更换规则
(a)被指定为“将被除牌的证券”或“处于戒备状态的证券”,(b)因合并、股份交换或股份转让等公司重组而被除牌,或(c)转入非TSE主要市场的指数股票,应从NKY中删除。被指定为“受监管证券”的指数股票在被指定时仍应是NKY的成分股,除非NKY认为将该指数股票保留为NKY的成分股非常不合适(例如,退市的可能性极高)。
当一只指数样本股被删除时,将按照流动性最高的顺序,从高流动性组中的同一板块中选择一只替换指数样本股。尽管有前一句,但根据删除的时间和情况,可适用以下规则:(a)当此类删除安排在接近定期审查时,可在定期审查过程中选择替代指标存量;(b)当在定期审查之间的短时间内安排多次删除时,不得使用非常替换规则,而是通过评估流动性和部门平衡情况使用定期审查程序逐一选择新增。
当一只指数股票因公司重组而被删除,并由一家实质上相似的公司(例如,合并的存续公司或新成立的母公司)继任时,该继任公司的股票通常会作为替代指数股票被添加到NKY中,前提是该公司必须在短期内在TSE主要市场上市或将在短期内上市。当一家公司被分拆并且有多家公司在TSE Prime市场保持上市时,成功进行大部分操作的公司的股票通常会作为替代指数股票被添加到NKY中。
一般是一删一换当天生效,保持成分数225。然而,在必要时,在删除后进行添加,在此期间,NKY可能会以少于225个成分计算。
NKY的计算
NKY是一种经过修改的价格加权指数(即,指数股票在NKY中的权重基于其每股价格而不是发行人的总市值),其计算方法是:(i)将每只指数股票的每股价格乘以该指数股票的相应价格调整系数,(ii)计算所有这些产品的总和,以及(iii)将该总和除以除数(the

加速回报票据®
TS-16

加速回报票据®
与国际股票指数篮子挂钩,将于2025年3月到期
“除数”)。通常,每只指数股票的最后成交价被用来计算指数收盘水平。若由TSE申报,将使用“特别报价”代替最后成交价。如果某只股票在给定交易日没有交易,也没有特别的报价,那么就使用了“基准价”。在大多数情况下,基准价将是紧接前一交易日的最后成交价。该除数最初是使用1949年5月16日(二战后TSE重新开放的日期)的历史数据设定为225。除数将按以下规定进行定期调整。
拟加入NKY的股票价格调整系数为1。但是,当该股票在1月底和7月底的每股价格超过成分价格之和的1%时,可能会赋予1以外的值(0.1至0.9,以0.1为增量),而价格调整因子设置在最高值将导致调整后的股票价格低于成分价格之和的1%。股票拆分后可能会调整价格调整因子,以保持该成分的价格水平不变。此外,如果拟新增股票的日均成交金额与其预期权重相比相对较低,则该股票可加入上述方法设定的价值的二分之一(四舍五入至最接近的0.1)的价格调整因子。在这种情况下,股票的价格调整系数原则上提高到下次定期审议时的计划值。
当某个成分的权重超过某个阈值(“权重上限阈值”)时,可以应用上限比率来暂时降低该成分的权重。在2022年10月的定期审议中引入了12%的权重上限阈值。2023年10月定期审议时权重上限阈值降至11%,2024年10月定期审议时进一步降至10%对于适用上限比率的成分,该成分价格采用“价格上限调整系数”进行调整,计算方法为价格调整系数乘以上限比率,其乘积向下取整至最接近的0.1。
除数用于在NKY中保持指数随时间的连续性。当出现(a)成分的变化,(b)影响指数股票的某些公司行为,或(c)应用、取消或修改股票的上限比率或将股票的价格调整因子从计划价值的一半增加到计划价值时,用于计算NKY水平的股票价格总和(即分子)发生变化。如果除数(即分母)没有相应更新,则当天的NKY水平将与前一天的NKY水平不同,即使所有指数股票的价格相同。相应地,为了使NKY的水平不受此类非市场事件的影响而保持不变,调整除数以使NKY的水平不受非市场事件的影响。
NKY的水平目前在TSE交易时间内每5秒计算一次。
下图显示了2013年1月1日至2023年12月21日期间NKY的每日历史表现。我们从Bloomberg L.P.获得了这一历史数据。我们没有独立验证从Bloomberg L.P.获得的信息的准确性或完整性。2023年12月21日,NKY收盘水平为33,140.47。
日经225指数历史表现
NKY的这一历史数据并不一定表明NKY未来的表现或票据的价值可能是多少。NKY水平在上述任何时期的任何历史上升或下降趋势,并不表明NKY水平在票据期限内的任何时候或多或少有可能增加或减少。
在投资这些票据之前,您应该咨询公开的来源,了解NKY的水平。

加速回报票据®
TS-17

加速回报票据®
与国际股票指数篮子挂钩,将于2025年3月到期
许可协议
RBC已与Nikkei签订了一项非排他性许可协议,这将允许我们和我们的关联公司在此次发行中使用NKY以换取费用。我们与日经没有关联;日经与我们之间的唯一关系将是NKY的使用许可和与NKY相关的商标。
日经新闻没有义务继续计算和传播NKY。这些票据不是由日经新闻赞助、背书、出售或推广的。不应从本文件所载信息中推断,日经就一般投资于证券的可取性,或特别投资于票据的可取性,或NKY追踪一般股票市场表现的能力,向我们、票据的任何持有人或任何公众成员作出任何暗示或明示的陈述或保证。
日经确定、组成和计算NKY,而不考虑笔记。Nikkei没有义务在确定、组成或计算NKY时考虑到您或任何其他有兴趣的人对票据的兴趣。日经不负责,也没有参与确定票据的条款、价格或金额,也不会负责或参与任何有关到期应付票据本金金额的确定或计算。日经没有与票据的管理、营销或交易有关的义务或责任。
Nikkei对NKY的计算和传播过程中的任何错误或遗漏,或在确定NKY的任何级别或票据上的任何应付金额时应用NKY的方式不承担任何责任。
Nikkei不保证NKY或NKY中包含的任何数据的准确性或完整性。Nikkei对任何错误或遗漏不承担任何责任。
“日经®”是日经指数的商标。这些票据并非由日经公司赞助、背书、出售或推广,日经公司对投资于这些票据的可取性不作任何陈述。

加速回报票据®
TS-18

加速回报票据®
与国际股票指数篮子挂钩,将于2025年3月到期
瑞士市场指数
瑞士市场指数(“SMI”):

最早于1988年6月30日以1,500的基础水平推出;及

由SIX Group Ltd.(“指数主办人”)赞助、计算、发布和传播。

SMI是一个价格回报自由流通市值加权指数,由在六家瑞士交易所交易的20只最大和流动性最好的股票组成。瑞士第六交易所的指数团队负责管理SMI,并得到一个指数委员会(咨询委员会)的支持,该委员会就指数相关事项提供意见,特别是与指数规则的变更以及既定审查和接受期之外的调整、纳入和排除有关的意见。指数委员会每年至少召开两次会议。
SMI构成及遴选标准
SMI由在六家瑞士交易所交易、自由流通股达到或超过20%且不是投资公司的排名最高的20只股票组成。股权领域主要是瑞士国内公司;然而,在某些情况下,可能包括在瑞士六大交易所一级上市的外国发行人或不持有任何其他符合条件的公司的任何股份并在瑞士六大交易所一级上市的投资公司。
每种证券的排名由以下标准综合确定:

过去12个月期间的平均自由流通市值(与瑞士绩效指数的总市值相比,瑞士绩效指数作为整体瑞士股票市场的基准和SMI的指数范围),以及

过去12个月期间的累计订单簿成交额(与瑞士绩效指数的总成交额相比)。
在9月的第三个星期五收市后发出至少两个月的事先通知后,每年重组SMI。对于最近12个月期间上市的公司,累计订单簿成交额外推,剔除上市后前五个交易日。普通指数重组以此前7月1日至6月30日的数据为基础。基于过去12个月期间平均自由流通市值和累计订单簿成交额的临时临时临时选择(排名)名单也于截止日期3月31日、9月30日和12月31日公布。
选取排名最高的18只证券纳入SMI。为减少成交额,对排名19至22的证券申请缓冲。在排名19至22的证券中,当前成分优先于其他证券进行选择。之后,根据最高等级添加新组件,直至达到20个组件。
如果一家公司在几个交易所有一级上市,并且该公司在瑞士六大交易所产生的总营业额不到50%,除非它满足额外的流动性标准,否则它将不会被纳入SMI。为此目的,瑞士绩效指数的所有组成部分都是根据其在过去12个月期间的累计订单成交量相对于瑞士绩效指数的总成交量进行排名的。这类证券必须在过去12个月期间的累计订单簿成交额方面至少排名18位或更高才能入选SMI,如果排名23位或更低,则将自动被排除出SMI。
对SMI进行维护
成分变化.在公司行为导致市场发生重大变化的情况下,瑞士指数委员会可以应指数委员会的请求,决定一种证券在年度审查期之外被纳入SMI,只要该证券明确达到纳入标准。出于同样的原因,如果不再满足加入SMI的要求,证券也可以被排除在外。作为一般规则,在3月、6月、9月和12月的第三个星期五收盘后,每季度进行三个月后进入SMI的特别承兑(例如,在11月底之前的第五个交易日或之前上市的证券,要到次年3月才能计入)。如已确认退市,将于3月、6月、9月和12月第三个星期五下一次即将举行的普通指数审议时将其从指数中剔除,通知期至少为五个交易日。但是,如果在普通指数审核之前退市就已经生效,则该证券在退市生效之日被排除在指数之外。同样,由于未决接管而不再符合留在SMI标准的指数成分可能会被提前从指数中排除。如果一家公司在普通指数审核前被剔除,将由评选名单上排名最高且尚未成为指数组成部分的候选人取代,以保持20个成分。
股份数目及自由流通量.纳入SMI的证券根据其自由流通市值进行加权,并受限于上限因素,如下所述。自由流通市值等于股价乘以股数乘以自由流通系数。股份数为流通股数。它们构成总股本,全部认购并全部或部分缴足并在商业登记簿上登记。流通中的资本不包括有条件资本或法定资本。
自由流通因子表示非固定所有权并因此可自由流通的股份数量的相对比例。自由流通系数仅计算有投票权的股份。达到或超过上市门槛的实质股份

加速回报票据®
TS-19

加速回报票据®
与国际股票指数篮子挂钩,将于2025年3月到期
5%,且为固定所有权,从市值中扣除。满足以下条件的股份被视为固定所有权:

股东协议约束的个人或群体持有的股份。

根据公开已知事实,与公司有长期利益关系的个人或群体持有的股份。
无论上述规定如何,下列集团持有的股份均算作自由流通股:

管理员

受托人

投资基金公司

养恤基金

投资公司
如果一个人或一组人因其活动区域或缺乏重要信息而无法明确分类,指数主办人将自行评估。
对于固定所有权的股份数量的计算,瑞士六大交易所可能会使用提交给它的报告以及它自己进行的发行人调查获得的数据。
如果发行人列出了不同类别的股份,则在计算自由流通系数时分别考虑这些因素。
股票数量和自由流通因子在每年3月、6月、9月和12月的第三个星期五收盘后调整。此类变更至少在调整日前一个月预先公告,尽管指数主办人保留在调整日前考虑近期变化的权利,因此确定的新证券在实施前五个交易日公告。
为避免频繁地对权重进行轻微变动并维护SMI的稳定性,在以下情况下,非常公司行为可能导致在普通指数审查之外调整股份数量或自由流通股因素:

公司行动导致股份数目调整至少10%

公司行动导致自由流通系数调整至少5%
此类调整在根据可获得的信息经过两个交易日的通知期后生效。
上限加权和季度内违约.每个指数成分的权重每季度重置一次,并等于其自由流通市值,即该指数成分的股数乘以其自由流通因子,但须遵守在每次普通指数审查时将指数成分的权重限制为18%的上限因素。指数中备考权重(即应用上限因子前)小于或等于18%的指数成分基于其自由流通市值的上限因子等于1(即上限因子不修改指数成分的备考权重)。备考权重在指数中大于18%的指数成份,其基于自由流通市值的上限因子等于(a)18%除以(b)其在指数中的备考权重。超额权重(备考权重减去封顶权重的差额)在其他指数成分股中按比例分配。一旦两个指数成分的权重各超过20%(“季度内违规”),指数成分股在两次普通指数审查之间的上限也将达到18%。若在收盘后观察到季度内违约,则在下一交易日收盘后实施新的封顶因子,使每个此类指数成分的权重不超过18%,自下一交易日收盘后生效。如果一个发行人在SMI中由一只以上证券代表,则这些证券的自由流通市值累计,用于计算上限因素。
SMI的计算
指数发起人使用“Laspeyres公式”计算SMI,这是一个衡量一篮子商品价值相对于其初始值的变化的公式。指标值的计算公式可表述如下:
SMI =
SMI的自由流通市值
除数

“SMI的自由流通市值”等于最后支付价格、股份数量、自由流通因子、上限因子的乘积之和,如果包含外国股票,则等于计算指数值时的当前瑞郎汇率。指数值是实时计算的,每当对成分股进行交易时就会更新。凡任何交易日有任何SMI成份股票价格不可用时,指数主办人将对该指数成份股票采用最后可得价格。在计算SMI时,仅使用六家瑞士交易所电子订单簿中的价格。
除数值和调整
除数是一个用于计算指数的技术数字,经过调整以反映由于公司事件导致的市值变化。
以下是常见的企业事件及其对指数除数的影响。
事件
除数变化?
定期现金股息
股权分置

加速回报票据®
TS-20

加速回报票据®
与国际股票指数篮子挂钩,将于2025年3月到期
供股
如果配股用于筹集资金,则除数增加。
 
如果配股用于返还资本,则除数减少。

并购活动

并购是指一家或多家公司的股权结构发生变更的公司行为。这可能导致所涉公司消失(退市),并形成新公司(合并)或一家公司并入另一家公司(收购)。公司行为可能导致新上市或退市,导致指数构成调整。在这两种情况下,涉及公司的股份数量或自由流通因素都有可能发生变化,这也可能导致常规审查周期之外的调整。这样的调整将根据中期和最终结果并考虑两个交易日的通知期而生效。

分拆

当一家公司将其部分业务出售给一家新公司并将其股票上市时,就会发生分拆。这家新成立的公司的股份平均分配给现有公司的股东。因此,分拆通常被视为非常支付。然而,在分拆的除权日没有市场价格。为了获得这样的市场价格,分拆出来的公司在除权日被添加到具有参考价格的指数中,这意味着指数成分的数量临时增加了一个。指数对市值的调整是在除权日的下一个交易日根据除权日的收盘价进行的。

下图为2013年1月1日-2023年12月21日期间SMI的日度历史表现。我们从Bloomberg L.P.获得了这一历史数据。我们对从Bloomberg L.P.获得的信息的准确性或完整性未进行独立验证。2023年12月21日,SMI收盘水平为11132.60点。
瑞士市场指数历史表现
SMI的这些历史数据并不一定代表SMI未来的表现或票据的价值。在上述任何时期内,SMI水平的任何历史上升或下降趋势,并不表明SMI水平在票据期限内的任何时间或多或少可能增加或减少。
在投资这些票据之前,您应该查阅公开来源以了解SMI的水平。

加速回报票据®
TS-21

加速回报票据®
与国际股票指数篮子挂钩,将于2025年3月到期
许可协议
这些票据绝不是由SIX Swiss Exchange Ltd以任何方式赞助、背书、出售或推广的,并且SIX Swiss Exchange Ltd不对使用瑞士市场指数将获得的结果和/或瑞士市场指数在任何特定日期的任何特定时间所处的数字或其他情况作出任何明示或暗示的保证或陈述。然而,SIX Swiss Exchange Ltd不对任何人就瑞士市场指数中的任何错误承担责任(无论是疏忽还是其他),并且SIX Swiss Exchange Ltd不承担任何义务将其中的任何错误告知任何人。
®SIX Group,SIX Swiss Exchange,SPI,Swiss Performance Index(SPI),SPI EXTRA,SPI ex SLI,SMI,Swiss Market Index(SMI),SMI MED(SMIM),SMI扩容,SXI,SXI Real Estate,SXI Swiss Real Estate,SXITERM8 Life Sciences,SXI Bio + Medtech,SLI,SLI Swiss Leader Index,SBI,SBI Swiss Bond Index,SAR,SAR SWISS Average Rate,SARON,SCR,SCR SWISS Current Rate

加速回报票据®
TS-22

加速回报票据®
与国际股票指数篮子挂钩,将于2025年3月到期
标普/ASX 200指数
标普®/ASX 200指数(“AS51”):

最早于1979年由澳大利亚证券交易所推出,并于2000年4月3日被其目前的指数赞助商收购并重新推出;和

是由标普道琼斯指数有限责任公司赞助、计算、发布和传播。

AS51包括200只按流通市值调整后在澳大利亚证券交易所(“ASX”)上市的规模最大、流动性最强的股票。
上市
只有在ASX上市的股票才被考虑纳入AS51。
住所
AS51来自于整个ASX上市股票领域,其中包括在ASX的一级和二级上市。当ASX不是主要交易所且股票在多个市场上市时,就会发生第二上市。这包括在海外注册成立或注册并在ASX以外的交易所进行主要上市的外国注册实体。
合资格证券
要获得资格,所有普通股和股权优先股(不具有固定收益性质)必须按照全球行业分类标准(" GICS®").提供保证固定回报的可转换股票、债券、权证和优先股等混合型股票不符合条件。投资于证券组合的上市投资公司和上市投资信托不符合纳入条件。股权和抵押REITs符合纳入条件。目前成为收购目标的公司没有资格被纳入。
流通市值-调整后市值
AS51的成分公司是根据流通调整后的市值选择的。
流通市值调整是根据该证券过去六个月的ASX股价历史(根据调整价格的公司行为进行调整)、最新可获得的股票数量和可投资权重因子(“IWF”)确定的。
股票数量
在考虑纳入或推广到该指数的证券的指数资格时,所考虑的指数证券的数量是基于最新可用的ASX报价证券。对于国内证券(在澳大利亚注册成立并在ASX交易的公司、在海外注册成立但在ASX独家上市的公司以及在海外注册成立并在其他海外市场交易但其大部分交易活动在ASX上的公司),该数字纯粹基于TERM3提供的最新可用数据。
对于外国注册地证券,标普将为外国实体报价由CHESS存托权益(“CDI”)代表的指数证券数量。当CDI未发行时,标普将使用在澳大利亚登记册(CHESS,如果提供,发行人担保登记册)上持有的证券总数。外国实体的这一报价数字代表了澳大利亚股权资本,从而使AS51越来越能反映澳大利亚市场。
与已发行普通股的典型情况相比,CDI的数量或外国实体在ASX报价的股票数量可能会经历更大的波动。因此,将在三个月期间适用一个平均数。对于发证不足三个月的CDI,将适用可用的历史记录。
如果CDI信息不是由公司或公司的股票登记册提供给ASX,则对澳大利亚股权资本的估计将来自CHESS数据,并最终来自登记来源的数据。
IWF
该指数是浮动调整的,这意味着计算该指数时使用的股票数量仅反映投资者可获得的股票,而不是公司所有已发行股票。标普寻求将长期、战略性股东持有的股份排除在外,该群体通常包括:高级职员、董事以及持股情况公开披露的相关个人(“D & O股份”)、私募股权、风险投资、特殊股权公司、资产管理公司和具有直接董事会代表的保险公司、限制性股票持有人(作为部分锁定协议持有的股份除外)、公司发起的员工股份计划/信托、固定缴款计划/储蓄、投资计划、与公司相关的基金会或家族信托、各级政府实体(政府退休或养老基金除外),主权财富基金和监管文件中报告的被列为公司5%或以上利益相关者的任何个人(统称“战略持有人”)。为此,标普将仓位超过一家公司流通股5%的所有持股排除在流通调整后的股数之外,以用于指数计算(存托银行、养老基金(包括政府养老金和退休基金)、共同基金、交易所交易基金提供商、投资基金、没有直接董事会代表的资产管理公司、保险公司的投资基金以及与该公司无关的独立基金会除外)。即使作为一个集团,D & O股份总数低于5%,但前提是有其他战略持股超过5%,D & O股份也被排除在流通股之外。

加速回报票据®
TS-23

加速回报票据®
与国际股票指数篮子挂钩,将于2025年3月到期
排除是通过计算每只被纳入指数的股票的可投资权重因子(IWF)来完成的,如下所示:
IWF =(可用流通股)/(流通股总数)
可用流通股定义为已发行股份总数减去战略持有人持有的股份。在大多数情况下,IWF是以最接近的一个百分点报告的。对于具有多个股票分类线的公司,为每个股票分类线单独计算一个IWF。
一家公司的IWF最低必须为0.3,才有资格被纳入该指数;但是,对于正在进行的指数成员资格,并不需要达到或高于0.3的IWF。
作为9月季度再平衡的一部分,每年都会对国际货币基金组织进行审查。除了每年一度的IWF审查外,某些事件可能还需要进行季度内或季度的IWF更新。
流动性测试
只有定期交易的股票才有资格被纳入。股票需要至少50%的相对流动性才能纳入指数。任何股票的相对流动性下降到50%阈值的一半以下将不符合资格,并在下一个季度审查时被移除。股票的相对流动性计算如下:
相对流动性=股票流动性中位数/市场流动性
其中股票流动性中位数是该股票在ASX的每日交易价值中位数除以该股票过去六个月的平均流通调整市值,市场流动性是使用All Ordinaries Index中500只成分股的股票流动性中位数的市值加权平均值确定的,该指数衡量整个澳大利亚股票市场的表现,由在ASX上市的500只最大证券组成,没有流动性筛选或最低IWF要求。
指数维持
标普每季度对成分股进行再平衡,以确保充足的市值和流动性。交易数据使用的参考日期是再平衡前一个月的第二个至上周五。季度审查变更在3月、6月、9月和12月的第三个星期五收市后生效。符合条件的股票根据其流通调整市值排名相对于规定的200只证券的额度考虑纳入指数。
为了限制指数换手水平,符合条件的非成份股一般只有在当前成份股由于足够低的排名和/或流动性而被排除在外时才会考虑纳入指数,基于流通调整市值。通常,合格的非成分证券必须排名第179位或更高才能被添加到指数中,而当前的成分股必须排名第221位或更低才能从指数中删除。这些缓冲旨在限制每季度再平衡时可能发生的指数成交额水平,并作为指数委员会得出指数任何潜在成分变化的指导方针。然而,指数委员会拥有完全的酌处权,可以在情况需要时绕过这些规则。
在重新平衡日期之间,通常只有在因指数删除而产生空缺时才进行指数添加。指数加法是根据流通调整市值和流动性进行的。当一家公司在季度内被添加时,它承担了它所取代的公司的权重。在所有其他情况下,只有在季度再平衡时才会增加。
由指数成分股分拆的公司在除权日以零价格加入指数。如果分拆公司根据其流通调整市值被认为不符合指数资格,那么将在至少一天的常规方式交易后将其从指数中剔除。
首次公开募股仅在出现适当空缺或由于重新平衡时才添加到AS51中,并受制于至少八周的经证明的流动性。对于交易量可观证明纳入指数是合理的非凡的大型发行,可能会有一个例外。
由于收购、合并和分拆,或由于暂停或破产,可能会在指数再平衡日期之间发生删除。一旦有足够证据表明交易将完成,将做出从AS51中删除股票的决定。因并购而被剔除的股票,以证券在删除日的收盘价从AS51中被剔除,用于只收现金的要约。否则,采用市场上最优可得价格。
每个指数成分的股票数量每季度审查一次,并四舍五入到最接近的千只。
外国注册证券的股票更新将在每个季度再平衡时进行。只有当CDI的三个月平均数或在发行人担保登记的澳大利亚分支(如提供)和CHESS中持有的证券总额在再平衡基准日与当前使用的股份数量有5%或更多的差异时,才会对已发行股份数量进行更新。如果CDI信息不是由公司或公司的股票登记册提供给ASX,则对澳大利亚股权资本的估计将来自CHESS数据,并最终来自登记来源的数据。
成分股股份数量季度内变动
某些强制性行动,例如合并或收购驱动的份额/IWF变化、股票分割和强制分配不受实施的最低门槛限制,并在交易发生时实施。因某些非强制性公司行为而导致的材料份额/IWF变化遵循加速实施规则(定义见下文)并附有充分的提前通知。

加速回报票据®
TS-24

加速回报票据®
与国际股票指数篮子挂钩,将于2025年3月到期
加速实施规则
1.公开发行。公开发行新的公司发行股份和/或售股股东发售的现有股份,包括大宗出售和现货次级,在事件规模达到重要性门槛标准的情况下,将有资格获得加速实施处理:
(a)至少1.5亿美元,以及
(b)至少5%的事前总股份。
除实质性门槛外,公开发行还需满足以下条件:
被承保。
拥有向有关部门备案的公开招股说明书、发行文件或招股说明书摘要。
从官方来源获得公开确认,此次发行已经完成。
对于涉及新公司股份和售股股东发售的现有股份同时组合的公开发售,如果公开发售中的任何一项至少代表总股份的5%和1.5亿美元,这两个事件都将实施。受影响公司同时进行的任何股份回购也将纳入实施。
2.Dutch Auctions,self-tender offer回购,and split-off exchange offers。一旦这些非强制性企业行动类型的结果被标普公开宣布并核实,它们将有资格获得加速实施处理,无论其规模大小。
对于具有多个股票分类线的公司,上述规定的标准适用于每个单独的多个股票分类线,而不是公司股份总数。
加速实施规则的例外情况
对于规模至少为10亿美元、受加速实施规则约束的非强制性公司行为,标普将应用股份变动,以及由此产生的任何IWF变动,使用公告发布时公开的最新股份和所有权信息,即使发行规模低于5%的门槛。这一例外确保使用最新的可用信息及时识别非常大的事件。
任何未全额支付或未全额结算的发行,如远期销售协议,都不符合加速实施的条件。因认购收据条款完成或远期销售协议结算而产生的股份更新按未来季度股份再平衡更新。
加速实施规则未涵盖的所有非强制性事件(包括但不限于定向增发、收购民营企业、转换非指数股线)将在每个日历季度的第三个月的第三个星期五每季度同步实施。此外,未根据加速实施规则实施但被认定符合条件的事件(例如,由于事件发生时缺乏可公开获得的信息)作为季度再平衡的一部分予以实施。
公告政策
对于加速实施,标普将为所有非美国上市股票、美国上市存托凭证和国际间上市股票提供两(2)个工作日的通知,为所有非存托凭证美国上市股票提供一(1)个工作日的通知。
IWF更新
低于10亿美元的事件的加速实施将包括对公司IWF的调整,仅当此类IWF变化有助于新的流通股总数模拟此次发行中可用的股份时。为了最大限度地减少不必要的周转,这些IWF更改不需要满足任何实施的最低门槛要求。任何导致IWF为0.96或更高的IWF变化,在下一次IWF年度审查中向上取整至1.00。对于至少10亿美元的事件加速实施,公司IWF的任何变化将包括该公告发布时可公开获得的最新份额和所有权信息。
只有当更改至少代表当前已发行股票总数的5%并且与不符合加速实施规则的单一公司行动有关时,才会在季度审查时对IWF进行更改。
因衍生证券转换、收购私营公司或收购不在主要交易所交易的非指数公司而导致的季度股份变动事件被视为可供投资者使用,除非有明确信息表明新所有者是战略持有人。
除上述情况外,IWF变更仅在IWF年度审查时进行。
再平衡指引– Share/IWF冻结
A份额/IWF冻结期在每个季度再平衡期间实施。冻结期在每个再平衡月份的第二个星期五(即3月、6月、9月、12月)之前的星期二收市后开始,在再平衡月份的第三个星期五收市后结束。备考文件一般在第一个周五收盘后发布,比再平衡生效日期早两周。为便于说明,如果再平衡备考文件定于3月5日(星期五)发布,则份额/IWF冻结期将从3月9日(星期二)收盘后开始,并将在随后的3月19日(即再平衡月的第三个星期五)收盘后结束。
在股份/IWF冻结期间,股份和IWF不发生变化,加速实施规则暂停,但强制性公司行动事件(如合并活动、股票分割和供股)除外。此次停牌包括所有变更事项

加速回报票据®
TS-25

加速回报票据®
与国际股票指数篮子挂钩,将于2025年3月到期
符合加速实施的条件,并且通常会在份额/IWF冻结期间宣布或生效。在冻结期结束时,所有暂停的变动将在再平衡月份的第三个星期五公布,并在季度再平衡生效日期后的五个工作日实施。
指数计算
AS51是使用基础加权汇总方法计算得出的。AS51在任何一天公布指数价值的价值由一个分数决定,该分数的分子是AS51中每只股票的价格乘以该股票被纳入AS51的股票数量乘以该股票的IWF的总和,其分母是除数,下文将对其进行更全面的描述。
为了防止AS51的价值因为公司行为而发生变化,所有公司行为都可能需要标普进行指数或除数调整。这有助于维护指数的价值,并确保AS51的移动不反映构成AS51的单个公司的公司行为。
下表汇总了指数方法下的指数调整类型及其后果:

企业行动
 
治疗
 

公司新增/删除
 
加法
公司按流通市值权重加入。指数市值净变动引起除数调整。
删除
所有股票在指数中的权重将按比例变动。相对权重将保持不变。指数除数会因指数市值的净变化而发生变化。
 

已发行股份变动
 
增加(减少)流通股增加(减少)该指数的流通市值。指数市值变化引起除数调整。
 

拆分/反向拆分
 
流通股按拆分比例调整。股价按拆分比例调整。指数市值没有变化,没有除数调整。
 

分拆
 
分拆在除权日以零价格加入指数。分拆指数份额以分拆比例为基础。在除权日,分拆将具有与其母公司相同的属性,并将在指数中至少保留一个交易日。因此,除息日的指数除数将不会发生变化。
如果分拆不符合继续纳入的条件,将在除权日后将其移除。被删除的分拆的权重按比例再投资于所有指数成分,从而使所有指数成分的相对权重保持不变。指数市值的净变化将引起除数变化。
 

IWF变化
 
增加(减少)IWF增加(减少)市值指数。指数市值的净变化导致除数调整。
 

普通股利
 
当一家公司支付普通现金股息时,指数不对股票的价格或份额进行任何调整。结果,指数没有除数调整。
 

特别股息
 
股价按股息金额调整。指数市值净变化引起除数调整。
 

供股
 
所有于除权日入息的供股,均在假设供股获悉数认购的情况下适用。股价由供股价值调整,流通股由供股比例增加。市值净变动引起除数调整。
 

重新计算政策

加速回报票据®
TS-26

加速回报票据®
与国际股票指数篮子挂钩,将于2025年3月到期
如果发生以下情况之一,标普保留自行决定重新计算和重新发布AS51的权利:
一种或多种成分证券的收盘价有误或修正;
错过或误用企业活动;
不正确应用公司行动或指数方法;
公司行动的迟发公告;或
计算错误或数据输入错误。
重新计算指数的决定是由标普的指数经理和/或标普的澳大利亚指数委员会(“ASX委员会”)酌情决定的,如下文将进一步讨论。在做出任何此类决定时,都会考虑因重新计算而产生的潜在市场影响或中断。如果发生上述事件之一,除了第三个项目符号中描述的,在其发生的两个交易日内被发现,一般会重新计算指数。如果在两个交易日期限之后发现此类事件,ASX委员会应决定是否应重新计算该指数。如果方法的应用不正确,导致指数成分的组成和/或权重不正确,ASX委员会应按照规定的准则决定是否重新计算指数。重新计算指数的,应当在发现和复核问题后的合理时间范围内进行。
计算和定价中断
用于计算该指数的价格来自ICE和Refinitiv。如果主要供应商出现中断或故障,标普将切换到备用供应商。实时计算和发布的值将被中断,直到实现供应商转换。如果交易所出现故障或中断,包括相关证券在内的指数实时计算将受到影响,直到问题得到解决。在此类中断事件期间,标普将继续计算并发布采用最新可用价格的指数值。这可能会导致在某些成分证券不受中断影响的情况下,在完全中断或部分更新的情况下导致指数持平(例如,价值没有变化)。在极端情况下,标普可能会决定推迟指数调整或不发布该指数。

意外的交易所关闭

当市场/交易所完全或部分未能开盘或交易暂时停止时,就会发生意外的市场/交易所关闭。这可以适用于单个交易所或整个市场,当所有主要交易所都关闭和/或不交易时。意外的市场/交易所关闭通常是由于不可预见的情况,例如自然灾害、恶劣天气、停电或其他事件。
如果发生意外的交易所休市,标普将使用以下准则:
如果在开盘交易之前发生意外的交易所休市并且表明某一天将不会开盘交易,标普将把这一天视为不定期的市场假期。
如果市场中断在盘中发生,标普将等待受影响的交易所发布收盘价清单,然后使用该清单计算收盘指数值。如果没有公布名单,则使用每只证券在中断前的最后一笔交易来计算指数收盘价。如果一只证券没有交易报告,则使用根据公司行为调整后的前收盘价进行指数计算。

加速回报票据®
TS-27

加速回报票据®
与国际股票指数篮子挂钩,将于2025年3月到期
下图展示了AS51在2013年1月1日至2023年12月21日期间的每日历史表现。我们从Bloomberg L.P.获得了这一历史数据。我们没有独立验证从Bloomberg L.P.获得的信息的准确性或完整性。2023年12月21日,AS51的收盘水平为7,504.12 1。
标普/ASX 200指数历史表现

AS51上的这些历史数据并不一定表明AS51未来的表现或票据的价值可能是多少。AS51水平在上述任何时期的任何历史上升或下降趋势均不表明AS51水平在票据期限内的任何时间或多或少可能增加或减少。
在投资这些票据之前,您应该咨询公开的来源,了解AS51的水平。

许可协议
AS51由标普澳大利亚指数委员会(“ASX委员会”)发布和维护,该委员会由来自标准普尔和澳大利亚证券交易所的代表组成的团队。AS51由标普®/ASX 100只股票外加另外100只由ASX委员会选出的股票。AS51基本上涵盖了经过流动性和规模评估的大盘股和中盘股。有关AS51的更多信息可从澳大利亚证券交易所网站www.asx.com.au获得。我们没有通过引用将网站或其包含的任何材料纳入本文件。

加速回报票据®
TS-28

加速回报票据®
与国际股票指数篮子挂钩,将于2025年3月到期
富时指数®中国50指数

富时指数®中国50指数(“XIN0I”)旨在代表在香港联合交易所有限公司(“香港联交所”)上市的中国公司的表现。

富时指数的组成®中国50指数

XIN0I目前以规模最大、流动性最好的50只中国股票(称为“H”股、“红筹”股和“P筹”股)为基础,在港交所上市交易。

“H”股是指在中华人民共和国(“中国”)注册成立并在香港联交所买卖的公司的证券。

“红筹”股份是指在中华人民共和国境外注册成立的公司的证券,这些公司在香港联交所进行交易,并实质上由中国内地国有实体直接或间接拥有,其大部分收入或资产来自中国内地。一家公司必须满足以下标准,其股票才能被评定为“红筹”:


The公司在中国境外注册成立;及

The公司在香港联交所上市;及

过了公司55%的收入或资产来自中国;及

公司实际控制人(如有)为中国国有实体;或

该公司由中国国有实体,即政府、各省或直辖市,通过战略持有量合计超过其表决权的30%(无实际控制人报告时)。

现有“红筹”公司如未达到上述一项或多项标准,将不再被归类为“红筹”。

“P筹”股份是指在中华人民共和国境外注册成立并在香港联交所交易的公司(红筹公司除外)的证券,但由中国大陆公司和个人控制,公司的成立和起源均在中国大陆,其大部分收入或资产来自中国大陆。一家公司必须满足以下标准,其股票才能被评定为“P芯片”:


公司于中国境外注册成立;及

The公司在香港联交所上市;及

过了55公司收入或资产的百分比来自中国;及

The公司由中国大陆公司或个人控制,其成立和起源地在中国大陆。

现有“P芯片”公司未达到上述一项或多项标准或符合“红筹”公司定义的,不再归为“P芯片”。如果数据可以支持作为“红筹”或“P筹”的任务,这类公司将被归类为“红筹”。

准入和排除标准

目前,只有H股、P芯片股份和红筹股份符合纳入XIN0I的条件。每个成分股还必须是富时全球指数的当前成分股,这是一个市值加权指数,代表大中型市值发达市场和新兴市场股票的表现,覆盖全球90-95 %的可投资市值。业务为持有股权和其他投资(例如投资信托)的公司不符合纳入条件。 相关“N”类份额已被纳入富时全球指数的新增符合条件的P芯片份额,在经过至少3个月的交易期后,将有资格在下一次季度审查时被纳入XIN0I。“N”股是指由中国大陆公司或个人控制的、在中国大陆设立和起源并在中国境外注册成立并在纽约证券交易所(“NYSE”)、纳斯达克股票市场或NYSE American上市交易的公司的证券,其大部分收入或资产来源于中国大陆。

证券必须具有足够的流动性才能进行交易;因此,除其他外,以下标准用于确保排除非流动性证券:

价格.要有一个准确可靠的价格,才能决定企业的市场价值。

流动性.作为富时全球指数审查的一部分,每种证券将在3月和9月通过计算其每日交易量的月度中值,每半年进行一次流动性测试。在计算某一特定月份任何证券的日交易量的中位数时,该月份最少必须存在5个交易日,否则该月份将被排除在测试之外。就每个月而言,每只证券的每日成交量计算为按审核截止日的自由流通量调整后的当日已发行股份的百分比。然后将这些日值按降序排列,如果有奇数天数,则选择中间排名日的值,如果有偶数天数,则选择中间两个的平均值,从而取中位数。交易量为零的每日总量被纳入排名;因此,未能交易的证券

加速回报票据®
TS-29

加速回报票据®
与国际股票指数篮子挂钩,将于2025年3月到期

一个月中有一半以上的日子该月的成交量中位数为零。任何一段时间的暂停将不包括在测试中。流动性测试将在测试期少于12个月的情况下按比例应用。

营业额。根据全面市场检讨前十二个月中的十个月每月每日成交量中位数计算,非成分股的成交量不超过其已发行股份的0.05%(在应用任何自由流通盘权重后),将不符合纳入指数的资格。 根据在全面市场审查前的十二个月中至少八个月的每月每日成交量中位数计算,现有成分股的成交量不超过其已发行股份的0.04%(在应用任何自由流通盘权重后),将从指数中剔除。

新问题.没有十二个月交易记录的新发行在审核时必须有至少三个月的交易记录。自上市以来,它们必须根据每月每日交易量的中位数,按比例成交至少0.05%的自由流通股调整后股份。在测试流动性时,将使用截至测试期间最后一个日期的自由流通权重来计算该期间的整个时间。

交易屏幕。过去一年内(截至并包括审核截止日)60个及以上交易日未交易的现有及非成份证券,将不符合纳入指数的条件。定期/临时市场假期和不定期休市将不计入总数;否则,将不考虑证券不交易的原因。所有标准交易日均纳入计算范围(视情况在周五和周日)。特设非标交易日不纳入计算。如果一只证券没有交易满一年,60天期限将根据其上市以来通过的可用交易日数按比例评级。需按比例计算的,以上一年度至审核截止日(含审核截止日)基础市场可用交易日数为计算依据。由于此屏幕而从XIN0I中删除的证券,只有在删除后的12个月后才会被重新考虑纳入。就指数资格而言,将按新问题处理。

XIN0I由富时国际有限公司管理,受一个咨询委员会——富时罗素亚太区域股票咨询委员会的监督。富时罗素亚太区域股票咨询委员会负责承担XIN0I基本规则的定期审查,并考虑基本规则的变更。


富时指数的计算®中国50指数

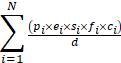
XIN0I是使用富时集团的自由流通指数计算方法计算得出的。XIN0I使用以下公式计算:


其中“i”是从1到"N", “N”是XIN0I的证券数量,“pi”是组件证券的最新交易价格“i,” “ei”是将证券的本币兑换成富时指数所需的汇率®中国50指数的基础货币,“si”为已发行证券的股份数量,“fi”是富时公布的自由流通因子,将适用于此类证券,以允许对其权重进行修正,“ci”是富时在最近一次XIN0I季度审查中公布的上限因子,而“d”是除数,这一数字代表XIN0I在基日的已发行股本总额,可能会进行调整,以允许个别证券的已发行股本发生变化,而不会扭曲XIN0I。封顶因素的作用是将任何单个公司的权重限制为不超过XIN0I的9%,并将所有权重大于4.5%的公司的总权重限制为不超过XIN0I的38%。

XIN0I使用具有当地证券交易所报价和路透实时即期汇率的证券的实际交易价格进行计算。FTSE从自由流通股中排除:(i)公众公司或公众公司的非上市子公司持有的股份;(ii)公司董事、高级管理人员和管理人员及/或其家人持有的股份,直接关系或关联公司;(iii)在员工持股计划中持有的股份;(iv)政府持股;(v)受外资所有权限制的股份;(vi)战略投资者持有的股份;(vii)受锁定条款约束的股份(在锁定期间);(viii)受制于通常被视为受限制的持续合同协议(如掉期)的股份;(ix)公司持有的不可转让的股份A股改革后未转换该等股份及(x)受锁定的非流通A股股份(直至锁定期满且该等股份可在交易所自由流通)。

自由流通量是使用四舍五入到小数点后12位的可用已公布信息计算得出的。自由流通量在5%或以下的公司被排除在XIN0I之外。6月,无论规模大小,都将更新成分股的自由流通量。没有应用缓冲区。

加速回报票据®
TS-30

加速回报票据®
与国际股票指数篮子挂钩,将于2025年3月到期
外国所有权限制(如有)在计算自由流通量限制后适用。如果外资所有权限制比自由流通限制更严格,则适用精确的外资所有权限制。如果外资所有权限制较少限制或等于自由流通股限制,则适用自由流通股限制。

XIN0I定期审查自由流通量的变化。这些审查与XIN0I进行的季度审查不谋而合。将使用2月、5月、8月和11月第三个周五之后的周一收盘时的数据对成分股进行审查。凡中国或香港在第三个星期五之后的星期一有市场假期,将使用两个市场均开放的第三个星期五之后的星期一之前的最后一个交易日的收盘时间。任何变更的实施均在3月、6月、9月和12月的第三个星期五收盘时进行。股票的自由流通量也会在某些公司事件后进行审查和必要时进行调整。如果公司事件包括影响XIN0I的公司行为,则自由流通量的任何变化与公司行为同时实施。如果没有公司行动,自由流通量的变化将在公司事件发生后在切实可行的范围内尽快适用。

下图展示了XIN0I在2013年1月1日至2023年12月21日期间的每日历史表现。我们从Bloomberg L.P.获得了这一历史数据。我们没有独立验证从Bloomberg L.P.获得的信息的准确性或完整性。2023年12月21日,XIN0I的收盘水平为10,732.61。
富时中国50历史表现®指数
这一历史数据在 XIN0I不一定表示未来的表现XIN0I或者这些笔记的价值可能是多少。水平的任何历史上升或下降趋势 XIN0I在上述任何时期内,并不表明XIN0I在票据期限内的任何时间或多或少有可能增加或减少。
在投资这些票据之前,您应该咨询公开的来源,了解这些票据的水平XIN0I.

许可协议

XIN01由富时公司单独开发。XIN01与伦敦证券交易所集团有限公司及其集团企业(统称“伦敦证交所集团”)没有任何关联或赞助、背书、销售或推广。富时罗素是伦敦证交所集团某些公司的交易名称。

XIN01的所有权利归属于拥有XIN01的相关LSE集团公司。“富时®”是相关LSE集团公司的商标,并由任何其他LSE集团公司根据许可使用。

XIN01由FTSE International Limited或其关联公司、代理或合作伙伴或代表其计算。伦敦证交所集团不对因(a)XIN01的使用、依赖或XIN01的任何错误或(b)XIN01的投资或运营而引起的任何人承担任何责任。伦敦证交所集团不对将从XIN01获得的结果或XIN01是否适合RBC提出的目的提出任何索赔、预测、保证或陈述。

加速回报票据®
TS-31

加速回报票据®
与国际股票指数篮子挂钩,将于2025年3月到期
分配计划的补充
根据我们与美国银行的分销协议,美国银行将按本条款清单封面所示的公开发行价格(减去所示承销折扣)作为本金向我们购买票据。
MLPF & S将从美国银行购买票据以进行转售,并将获得与票据销售有关的销售特许权,金额不超过本条款清单封面规定的全额承销折扣。
我们将向LFT Securities,LLC支付费用,以就此次发行提供某些电子平台服务,这将减少票据对您的经济条款。美国银行的关联公司拥有LFT Securities,LLC的所有权权益。
我们可能会在定价日期后超过两个工作日的日期在纽约州纽约州交付票据。根据1934年《证券交易法》第15c6-1条,二级市场的交易一般需要在两个工作日内结算,除非任何此类交易的当事人另有明确约定。因此,如果票据的初始结算发生在定价日起两个工作日以上,则希望在原始发行日期前两个工作日以上交易票据的购买者将被要求指定替代结算安排,以防止结算失败。
这些票据将不会在任何证券交易所上市。在最初的票据发售中,票据将以最低100个单位的投资金额出售。如果您下单购买票据,则表示您同意MLPF & S和/或其关联公司之一作为委托人为您的账户进行交易。
MLPF & S和美国银行可能会回购和转售这些票据,回购和转售的价格与当时的市场价格相关或按协议价格进行,这些价格将包括MLPF & S和美国银行的交易佣金和加价或减价。MLPF & S和BOFAS可在这些做市交易中担任委托人或代理人;但是,两者均无义务从事任何此类交易。MLPF & S和美国银行可酌情在票据发行后的短暂、未确定的初始期间内,以可能超过票据初始估计价值的价格在二级市场上提出购买票据。MLPF & S或美国银行为票据提供的任何价格将基于当时的市场条件和其他考虑,包括篮子的表现和票据的剩余期限。然而,我们、MLPF & S、美国银行或我们各自的任何关联公司均无义务以任何价格或任何时间购买贵公司的票据,我们无法向贵公司保证,我们、MLPF & S、美国银行或我们各自的任何关联公司将以等于或超过票据初始估计价值的价格购买贵公司的票据。
贵方账户报表显示的票据价值将基于美国银行对票据价值的估计,如果美国银行或其其他关联公司要在票据中做市,它没有义务这样做。如上文所述,该估计将基于美国银行根据当时的市场条件和其他考虑因素可能为票据支付的价格,并将包括交易成本。在某些时候,这一价格可能高于或低于票据的初始估计价值。
与这些要约或销售有关的票据招股说明书的分发将完全是为了向投资者提供就其首次发售向投资者提供的票据条款的描述。二级市场投资者不应、也不会被授权依赖票据招股说明书获取有关RBC的信息或用于前一句所述以外的任何目的。
如本条款清单封面所述,投资者的家庭一般将包括以下任一方持有的账户,这些账户由MLPF & S酌情确定,并根据MLPF & S当时可获得的信息以善意行事:

投资者的配偶(含一名境内伴侣)、兄弟姐妹、父母、祖父母、配偶的父母、子女、孙子女,但不包括阿姨、叔叔、堂兄弟姐妹、侄女、侄子或个人投资者不在其直接或直接以上或以下的任何其他家庭关系的账户;

家庭投资工具,包括基金会、有限合伙企业和个人控股公司,但前提是该工具的受益所有人仅由上述投资者或投资者家庭成员组成;和

信托的设保人和/或受益人仅由上述投资者或投资者家庭成员组成的信托;条件是,信托购买票据一般不能与受托人个人账户进行的任何购买合并在一起。
退休账户中的购买将不被视为个人投资者个人或其他非退休账户的同一家庭的一部分,但个人退休账户(“IRAs”)、简化员工养老金计划(“SEPs”)、员工储蓄激励匹配计划(“SIMPLE”)以及单一参与者或仅所有者账户(即除其配偶外没有员工的个体经营者、企业主或合伙人持有的退休账户)除外。

如果您对这些规定适用于您的具体情况有任何疑问或认为您符合条件,请联系您的美林财务顾问。

加速回报票据®
TS-32

加速回报票据®
与国际股票指数篮子挂钩,将于2025年3月到期
构建笔记
这些票据是我们的债务证券,其回报与篮子的表现挂钩。正如我们所有的债务证券,包括我们的市场挂钩票据的情况一样,票据的经济条款反映了我们在定价时的实际或感知的信誉。此外,由于与市场挂钩的票据导致我们的运营、资金和负债管理成本增加,我们通常以比我们称为内部资金利率的利率更有利的利率借入这些票据下的资金,这是我们可能为传统的固定或浮动利率债务证券支付的利率。这种通常相对较低的内部资金利率反映在票据的经济条款中,以及与市场挂钩票据相关的费用和收费,通常会导致票据在定价日的初始估计价值低于其公开发行价格。
到期时,我们需要向票据持有人支付赎回金额,这将根据每单位本金10美元计算,并将取决于篮子的表现。为履行这些付款义务,在我们发行票据时,我们可能会选择与美国银行或其关联公司之一订立某些对冲安排(其中可能包括看涨期权、看跌期权或其他衍生工具)。这些对冲安排的条款是通过征求市场参与者的出价确定的,包括MLPF & S、美国银行及其关联公司,并考虑到多项因素,包括我们的信誉、利率变动、篮子成分的波动性、票据的期限和对冲安排的期限。票据的经济条款及其初步估计价值部分取决于这些对冲安排的条款。
美国银行已告知我们,套期保值安排将包括每单位约0.05美元的套期保值相关费用,反映出这些交易将记入美国银行的估计利润。由于对冲带来风险,并可能受到不可预测的市场力量的影响,这些对冲安排带来的额外利润和损失可能由美国银行或任何第三方对冲商实现。
如需更多信息,请参阅产品补充权益ARN-1第PS-7页开始的“风险因素——估值和市场相关风险”和第PS-20页的“收益使用和套期保值”。

加速回报票据®
TS-33

加速回报票据®
与国际股票指数篮子挂钩,将于2025年3月到期
加拿大联邦所得税后果摘要
有关票据中与投资相关的重大加拿大联邦所得税后果的讨论,请参阅日期为2023年12月20日的招股说明书中题为“税收后果——加拿大税收”的部分。
美国联邦所得税后果汇总
您应该在票据中考虑投资的美国联邦所得税后果,包括以下内容:

不存在直接涉及票据定性的法定、司法、行政机关。

您同意我们(在没有相反的法定、监管、行政或司法裁决的情况下)就所有税务目的将票据定性并将其视为与篮子有关的预付现金结算衍生合约。

根据票据的这种特征和税务处理,美国持有人(定义见招股说明书第45页)通常会在票据出售或到期时确认资本收益或损失。如果你持有票据超过一年,这个资本收益或损失一般会是长期的资本收益或损失。

无法保证美国国税局或任何法院会同意这种定性和税务处理。

根据美国国税局当前的指导方针,如果有“股息等值”付款(如产品补充文件中所述)的预扣,将不适用于截至本文件日期发行的票据,除非此类票据是“delta-one”工具。随附的产品补充文件中的讨论经过修改,以反映美国国税局的指导意见,该指导意见指出,美国财政部和美国国税局打算修改美国财政部规定的生效日期,规定对股息等值支付的预扣将不适用于非delta-one工具且在2025年1月1日之前发行的特定股票挂钩工具。

您应该咨询您自己的税务顾问,了解获得、拥有和处置票据对您的美国联邦所得税后果,以及根据任何州、地方、外国或其他税务管辖区的法律产生的任何税务后果,以及美国联邦或其他税法变化可能产生的影响。您应该仔细查看产品补充权益ARN-1第PS-38页开始的题为“美国联邦所得税摘要”部分下的讨论。
在哪里可以找到更多信息
我们已就本条款清单所涉及的发行向SEC提交了注册声明(包括产品补充、招股说明书补充和招股说明书)。在您投资之前,您应该阅读票据招股说明书,包括这份条款清单,以及我们向SEC提交的其他文件,以获得有关我们和此次发行的更完整信息。您可以通过访问SEC网站www.sec.gov上的EDGAR免费获得这些文件。或者,如果您提出要求,我们、任何代理或参与此次发行的任何经销商将安排向您发送这些文件,请拨打MLPF & S或美国银行免费电话1-800-294-1322。
“加速退货票据®”和“ARNs® 是MLPF & S和美国银行的母公司美国银行公司的注册服务标志。


加速回报票据®
TS-34