查看原文
免责申明:同花顺翻译提供中文译文,我们力求但不保证数据的完全准确,翻译内容仅供参考!
DEFA14A 1 tm261502d3 _ defa14a.htm DEFA14A

 

美国

证券交易委员会
华盛顿特区20549

 

附表14a

 

根据第14(a)节的代理声明
《1934年证券交易法》

 

由注册人x提交

 

由注册人以外的一方提交的↓

 

选中相应的框:

 

¨ 初步代理声明

 

¨ 机密,仅供委员会使用(在规则14a-6(e)(2)允许的情况下)

 

¨ 最终代理声明

 

x  确定的附加材料

 

¨ 根据第240.14a-12节征集材料

 

XPO, Inc.

(注册人的名称在其章程中指明)

 

不适用
(提交代理声明的人的姓名,如非注册人)

 

 

缴纳备案费(勾选相应方框):

 

x 无需任何费用。
   
¨ 之前用前期材料支付的费用。
   
¨ 根据《交易法》规则14a6(i)(1)和0-11,项目25(b)要求在展品中的表格上计算的费用。

 

 

 

GRAPHIC

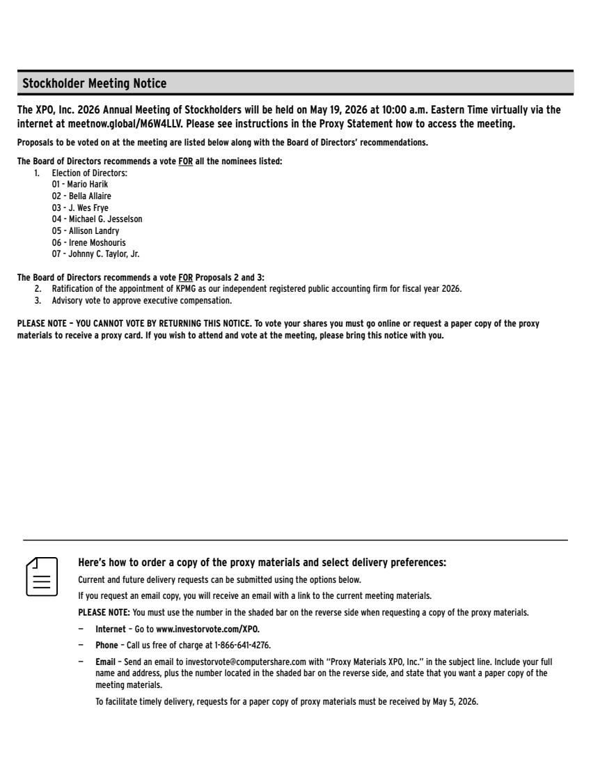
www.investorvote.com/XPO Step 1:Go to www.investorvote.com/XPO。第二步:点击右侧图标查看会议资料。第三步:返回investorvote.com窗口,按照屏幕提示登录。在线上www.investorvote.com/XPO或扫二维码—您的控号位于下方阴影栏。股东大会通知0494QC关于根据美国证券交易委员会规则将于2026年5月19日举行的XPO, Inc. 2026年度股东大会代理材料可用性的重要通知,您收到的通知是,年度股东大会代理材料可在互联网上查阅。按照以下说明查看材料并在线投票或索取副本。年会的表决项目和地点在反面。你的投票很重要!本通讯仅概述您在互联网上可以获得的更完整的代理材料。我们鼓励您在投票前访问和审查代理材料中包含的所有重要信息。表格10-K的2026年年会通知、代理声明和2025年年度报告可在以下网址查阅:获取代理材料副本–如果您希望收到代理材料副本,您必须索取一份。索取复印件不向你收费。请于2026年5月5日或之前按反面指示提出要求,以方便及时交付。2Not Easy Online Access — View your proxy materials and vote。当你上网时,你还可以通过同意接收未来材料的电子交付来帮助环境。第4步:根据您的交付偏好,在每个屏幕上按照指示进行选择。第五步:投票表决你的股份。

GRAPHIC

以下是订购代理材料副本并选择交付首选项的方法:可以使用以下选项提交当前和未来的交付请求。如果您要求电子邮件副本,您将收到一封电子邮件,其中包含当前会议材料的链接。请注意:请求代理材料副本时,必须使用反面阴影栏中的数字。—互联网–请访问www.investorvote.com/XPO。—电话–免费电话1-866-641-4276。—邮箱–发送邮件至investorvote@computershare.com,主题行注明“Proxy Materials XPO, Inc.”。包括您的全名和地址,加上位于反面阴影栏的号码,并说明您想要一份会议材料的纸质副本。为便于及时交付,必须在2026年5月5日之前收到要求提供代理材料纸质副本的请求。XPO, Inc. 2026年度股东大会将于美国东部时间2026年5月19日上午10:00以虚拟方式通过互联网meetnow.global/M6W4LLV举行。请参阅代理声明中的说明如何访问会议。将在会议上表决的提案与董事会的建议一起列于下文。董事会建议对所列所有被提名人进行投票:1。选举董事:01-Mario Harik 02-Bella Allaire 03-J. Wes Frye 04-Michael G. Jesselson 05-Allison Landry 06-Irene Moshouris 07-Johnny C. Taylor, Jr.董事会建议对提案2和3投赞成票:2。批准任命毕马威会计师事务所为我们的2026财年独立注册会计师事务所。3.咨询投票通过高管薪酬。请注意–您不能通过返回此通知进行投票。要投票你的股份,你必须上网或要求一份代理材料的纸质副本,以获得代理卡。如欲出席会议并参加表决,请携带本通知。股东大会通知